Movatterモバイル変換


[0]ホーム

URL:


CN113673554A - A Radar High Resolution Range Profile Target Recognition Method Based on Width Learning - Google Patents

A Radar High Resolution Range Profile Target Recognition Method Based on Width Learning
Download PDF

Info

Publication number
CN113673554A
CN113673554ACN202110770720.6ACN202110770720ACN113673554ACN 113673554 ACN113673554 ACN 113673554ACN 202110770720 ACN202110770720 ACN 202110770720ACN 113673554 ACN113673554 ACN 113673554A
Authority
CN
China
Prior art keywords
resolution range
width learning
range image
radar
learning model
Prior art date
Legal status (The legal status is an assumption and is not a legal conclusion. Google has not performed a legal analysis and makes no representation as to the accuracy of the status listed.)
Granted
Application number
CN202110770720.6A
Other languages
Chinese (zh)
Other versions
CN113673554B (en
Inventor
王鹏辉
孙嘉琪
丁军
刘宏伟
邵帅
陈渤
纠博
王英华
Current Assignee (The listed assignees may be inaccurate. Google has not performed a legal analysis and makes no representation or warranty as to the accuracy of the list.)
Xidian University
Original Assignee
Xidian University
Priority date (The priority date is an assumption and is not a legal conclusion. Google has not performed a legal analysis and makes no representation as to the accuracy of the date listed.)
Filing date
Publication date
Application filed by Xidian UniversityfiledCriticalXidian University
Priority to CN202110770720.6ApriorityCriticalpatent/CN113673554B/en
Publication of CN113673554ApublicationCriticalpatent/CN113673554A/en
Application grantedgrantedCritical
Publication of CN113673554BpublicationCriticalpatent/CN113673554B/en
Activelegal-statusCriticalCurrent
Anticipated expirationlegal-statusCritical

Links

Images

Classifications

Landscapes

Abstract

Translated fromChinese

本发明公开了一种基于宽度学习的雷达高分辨距离像目标识别方法,包括:获取高分辨距离像数据并生成训练集;构建宽度学习模型;利用所述训练集对所述宽度学习模型进行训练,得到经训练的宽度学习模型;利用所述经训练的宽度学习模型对待识别的原始高分辨距离像数据进行识别,获取识别结果。本发明使用宽度学习模型对雷达高分辨距离像数据的高维特征进行提取,在保证识别精度的前提下,可以快速地对雷达目标进行识别,在预测精度、识别时间方面有着较为明显的优势。

Figure 202110770720

The invention discloses a radar high-resolution range image target recognition method based on width learning, comprising: acquiring high-resolution range image data and generating a training set; building a width learning model; and using the training set to train the width learning model , obtain a trained width learning model; use the trained width learning model to identify the original high-resolution range image data to be identified, and obtain the identification result. The invention uses the width learning model to extract the high-dimensional features of the radar high-resolution range image data, can quickly identify the radar target on the premise of ensuring the recognition accuracy, and has obvious advantages in terms of prediction accuracy and recognition time.

Figure 202110770720

Description

Radar high-resolution range profile target identification method based on width learning
Technical Field
The invention belongs to the technical field of radars, and particularly relates to a radar high-resolution range profile target identification method based on width learning, which can be used for identifying a high-resolution range profile target.
Background
The echoes of a broadband radar target are referred to as a high resolution range profile. The high-resolution range profile is a projection distribution profile of sub-echoes of each scattering point of the target along the direction of the radar sight, contains information such as relative positions and amplitudes of the scattering points of the target, has the advantages of easiness in acquisition and processing, and is very valuable for target classification and identification, so that the range profile becomes a hotspot of research in the field of radar automatic target identification.
At present, most documents for researching radar automatic target identification technology based on high-resolution range profiles are based on deep networks, and a good identification effect is obtained at the present stage. However, as the amount of data increases, most deep networks include a large number of parameters and a large number of network layers for higher accuracy, and thus require a large amount of computing resources and a long modeling period and recognition time. In addition, most deep networks use a back propagation algorithm to minimize the error between the actual output and the target output of the network, and further update the weights layer by layer, which also results in a slow modeling speed of the deep network and time consumption. This is a difficult problem to overcome for radar target recognition systems with high real-time requirements in engineering.
Disclosure of Invention
In order to solve the problems in the prior art, the invention provides a radar high-resolution range profile target identification method based on width learning. The technical problem to be solved by the invention is realized by the following technical scheme:
the invention provides a radar high-resolution range profile target identification method based on width learning, which comprises the following steps:
s1: acquiring high-resolution range profile data and generating a training set;
s2: constructing a width learning model;
s3: training the width learning model by using the training set to obtain a trained width learning model;
s4: and identifying the original high-resolution range profile data to be identified by utilizing the trained width learning model to obtain an identification result.
In an embodiment of the present invention, the S1 includes:
s1 a: extracting high-resolution range profile data in a broadband radar echo signal and preprocessing the high-resolution range profile data to obtain high-resolution range profile time domain characteristic data;
s1 b: establishing a radar target database according to the high-resolution range profile time domain characteristic data subjected to the modulo two norm normalization processing, and setting a label value for each target category in the radar target database;
s1 c: and selecting a preset number of samples from the radar target database to form a training set.
In one embodiment of the invention, the pre-processing comprises:
performing modulo two norm normalization processing on the high-resolution range profile data:
Figure BDA0003152849480000021
wherein X represents the high-resolution range profile time domain feature data after modulo two-norm normalization, X represents the original high-resolution range profile data, | | · | | survival2Representing a modulo two-norm operation.
In an embodiment of the present invention, the S1 further includes:
and selecting a preset number of samples from the radar target database to form a test set, wherein the high-resolution range profile data in the test set and the high-resolution range profile data in the training set have any pitch angle.
In an embodiment of the present invention, the S2 includes:
s2 a: performing power transformation operation on the processed high-resolution range profile time domain feature data:
U=Xk
wherein U is data after power transformation, X is high-resolution range profile time domain characteristic data after modulo two norm normalization processing, and k is a power transformation coefficient;
s2 b: setting ith mapping characteristic node output Z of width learning modeli
Figure BDA0003152849480000022
Wherein Z isiOutput for ith mapping feature node, phiiIn order to be a function of the mapping,
Figure BDA0003152849480000023
as a weight matrix, the weight matrix is,
Figure BDA0003152849480000024
is a bias matrix, and n is the number of characteristic nodes;
s2 c: splicing the mapping feature node outputs into a whole:
Zn=[Z1,Z2…,Zn]
wherein Z isnRepresenting a set of all mapped feature node outputs;
s2 d: set of mapping feature nodes ZnTransforming to obtain the jth enhanced node output E in the width learning modelj
Figure BDA0003152849480000025
Wherein E isjAnd for the jth enhancement node output, ζ is a nonlinear transformation function,
Figure BDA0003152849480000031
and
Figure BDA0003152849480000032
for random generationA weight matrix and a bias matrix, wherein m represents the number of enhanced nodes;
s2 e: splicing the enhanced node outputs into a whole:
Ej=[E1,E2…,Ej]
wherein E isjRepresenting a set of all enhanced node outputs;
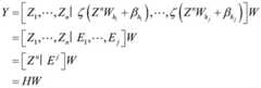
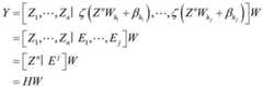
s2 f: setting an output of the width learning model:
Figure BDA0003152849480000033
where W is the link weight value and H is the set of mapped feature node outputs and enhanced node outputs.
In an embodiment of the present invention, the S3 includes:
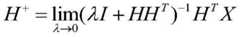
inputting all samples in the training set into the width learning model, and solving the connection weight value:
W=H+Y
H+calculated from the following formula:
Figure BDA0003152849480000034
where λ represents a regularization coefficient and I represents an identity matrix.
In an embodiment of the present invention, after the S3, the method further includes:
testing the trained width learning model using a test set.
Another aspect of the present invention provides a storage medium having a computer program stored therein, the computer program being configured to execute the steps of the radar high-resolution range profile target identification method according to any one of the above embodiments.
Yet another aspect of the present invention provides an electronic device, including a memory and a processor, where the memory stores a computer program, and the processor, when calling the computer program in the memory, implements the steps of the radar high-resolution range profile target identification method according to any one of the above embodiments.
Compared with the prior art, the invention has the beneficial effects that:
according to the radar high-resolution range profile target identification method based on width learning, due to the fact that the width learning model is used, the high-dimensional features of the radar high-resolution range profile data are extracted, and the radar target can be quickly identified on the premise that identification accuracy is guaranteed. Compared with a deep network, the method has obvious advantages in the aspects of prediction accuracy and recognition time.
The present invention will be described in further detail with reference to the accompanying drawings and examples.
Drawings
FIG. 1 is a flowchart of a method for identifying a radar high-resolution range profile target based on width learning according to an embodiment of the present invention;
FIG. 2 is a diagram of a width learning model according to an embodiment of the present invention;
fig. 3 is a simulation experiment result diagram of a radar high-resolution range profile target identification method based on width learning according to an embodiment of the present invention.
Detailed Description
In order to further explain the technical means and effects of the present invention adopted to achieve the predetermined invention, the following describes in detail a radar high-resolution range profile target identification method based on width learning according to the present invention with reference to the accompanying drawings and the detailed description.
The foregoing and other technical matters, features and effects of the present invention will be apparent from the following detailed description of the embodiments, which is to be read in connection with the accompanying drawings. The technical means and effects of the present invention adopted to achieve the predetermined purpose can be more deeply and specifically understood through the description of the specific embodiments, however, the attached drawings are provided for reference and description only and are not used for limiting the technical scheme of the present invention.
It is noted that, herein, relational terms such as first and second, and the like may be used solely to distinguish one entity or action from another entity or action without necessarily requiring or implying any actual such relationship or order between such entities or actions. Also, the terms "comprises," "comprising," or any other variation thereof, are intended to cover a non-exclusive inclusion, such that an article or device that comprises a list of elements does not include only those elements but may include other elements not expressly listed. Without further limitation, an element defined by the phrase "comprising an … …" does not exclude the presence of additional like elements in the article or device comprising the element.
Example one
Referring to fig. 1, fig. 1 is a flowchart of a method for identifying a target in a radar high-resolution range profile based on width learning according to an embodiment of the present invention. The method comprises the following steps:
s1: high resolution range profile data is acquired and a training set is generated.
Specifically, step S1 includes:
s1 a: and extracting high-resolution range profile data in the broadband radar echo signal and preprocessing the high-resolution range profile data to obtain high-resolution range profile time domain characteristic data.
Specifically, the pretreatment comprises: the high-resolution range profile data is subjected to the following two-norm normalization processing:
Figure BDA0003152849480000051
wherein X represents the high-resolution range profile time domain feature data after modulo two-norm normalization, X represents the acquired original high-resolution range profile data, | | & | luminance2Representing a modulo two-norm operation.
S1 b: establishing a radar target database according to the high-resolution range profile time domain characteristic data subjected to the modulo two norm normalization processing, and setting a label value for each target category in the radar target database;
specifically, the object classes described herein may be different aircraft types to be identified, such as data for a B-737 aircraft, data for an A-330 aircraft, and so forth.
Further, setting a tag value for each target category within the radar target database includes:
label of the first category of data as d1,d1The value is 1;
label the second category of data as d2,d2The value is 2;
and so on … …
Label of data of M-th category as dM,dMThe value is M, where M is the total number of target classes.
Exemplarily, assuming that different airplane types in the high-resolution range profile data are to be identified, the target class is the airplane type, assuming that the B-737 airplane is the first class, all tags containing the time domain feature data of the high-resolution range profile of the B-737 airplane in the radar target database are all recorded as d1(ii) a Assuming that the A-330 plane is in the second category, all labels containing the high-resolution range profile time domain feature data of the A-330 plane in the radar target database are marked as d2And so on.
During data acquisition, a radar is generally aimed at a certain model of airplane (such as B-747) to acquire a large amount of data, and the data comprises various different pitch angles; the next model (e.g., A-330) is then collected, again including various pitch angles, and so on. These different models of aircraft target data together make up the radar target database.
It should be noted that the object category described herein may also be other objects, such as ships and the like.
S1 c: and selecting a preset number of samples from the radar target database to form a training set, and selecting a preset number of samples from the radar target database to form a testing set, wherein the high-resolution range profile data in the testing set and the high-resolution range profile data in the training set have different pitch angles.
The radar target database contains data of various target types, such as data of a B-737 airplane and data of an A-330 airplane. The data of each target category is usually obtained from different pitch angles, that is, different pitch angles are included, for example, the data of the B-737 airplane has the pitch angles of 3 degrees, 5 degrees, etc., and the data of the a-330 airplane also has the pitch angles of 3 degrees, 5 degrees, etc. In order to verify the popularization capability of the method, the pitch angles of different degrees are adopted when the training set and the test set are selected.
Specifically, samples with each target pitch angle of 3 degrees are selected from a radar target database to form a training sample set; and selecting samples with target pitch angles of 5 degrees from a radar target database to form a test sample set. However, in other embodiments, any pitch angle sample may be selected to form the training set, and similarly, any pitch angle sample may be selected to form the testing set.
It should be noted that each of the above-mentioned object types to be identified, such as different airplane types, is included in the training sample set and the test sample set.
S2: building a Width learning model
The width learning model generates characteristic nodes by carrying out characteristic mapping on input data, and then generates enhanced nodes by carrying out nonlinear transformation on the characteristic nodes. And splicing the characteristic nodes and the enhanced nodes to form a hidden layer. The input data passes through the hidden layer to obtain the final output. Referring to fig. 2, fig. 2 is a schematic diagram of a width learning model according to an embodiment of the present invention.
Specifically, step S2 includes:
s2 a: performing power transformation operation on the processed high-resolution range profile time domain feature data
U=Xk
U is data after power transformation, X is high-resolution range profile time domain feature data after modulo two norm normalization processing, k is a power transformation coefficient, and the value of k can be obtained according to practical experience and can be 0.1, 0.3, 0.5, 0.7 and 0.9, preferably 0.3.
S2 b: setting ith mapping characteristic node of width learning modelOutput Zi
Figure BDA0003152849480000061
Wherein Z isiOutput for ith mapping feature node, phiiIn order to be a function of the mapping,
Figure BDA0003152849480000062
as a weight matrix, the weight matrix is,
Figure BDA0003152849480000063
for the bias matrix, n is the number of feature nodes. The weight matrix and the bias matrix are generated randomly, and the mapping function is a linear transformation function.
S2 c: splicing the mapping feature node outputs into a whole:
Zn=[Z1,Z2…,Zn]
wherein Z isnRepresenting the set of all mapped feature node outputs.
S2 d: mapping the feature node set Z bynTransforming to obtain the ith enhanced node output E in the width learning modelj
Figure BDA0003152849480000071
Wherein E isjAnd for the jth enhancement node output, ζ is a nonlinear transformation function,
Figure BDA0003152849480000072
and
Figure BDA0003152849480000073
m represents the number of enhanced nodes for randomly generated weight matrix and bias matrix.
S2 e: the enhanced nodes are aggregated and connected into a whole by the following formula:
Ej=[E1,E2…,Ej]
wherein E isjRepresenting the set of all enhanced node outputs.
S2 f: from the feature nodes and the enhanced nodes set forth above, the output of the width learning model is represented as:
Figure BDA0003152849480000074
wherein Y is the output of the width learning model, and W is a connection weight value, which is a set of mapping feature node output and enhancement node output. According to the above equation, the solution of the connection weight value is as follows:
W=H+Y,
wherein H+Can be calculated from the following formula:
Figure BDA0003152849480000075
where λ represents a regularization coefficient and I represents an identity matrix.
S3: and training the width learning model by using the training set to obtain a trained width learning model.
And (4) inputting the high-resolution range profile data in the training set obtained in the step (S1) into the width learning model, and obtaining and updating the connection weight value to obtain the trained width learning model.
Specifically, all samples in the training set are input into the width learning model, and the connection weight value is obtained:
W=H+Y
H+calculated from the following formula:
Figure BDA0003152849480000081
where λ represents a regularization coefficient and I represents an identity matrix.
Further, after the S3, the method further includes:
testing the trained width learning model using a test set.
Specifically, the test set is used as high-resolution range profile data to be recognized, the data in the test set is input into a trained width learning model for recognition, a classification label of a target to be recognized is obtained, and the recognition effect of the width learning model is tested. It should be noted that, in order to test the effect of the model, the test set of this embodiment selects high-resolution range profile data with a pitch angle of 5 °.
S4: and processing the original high-resolution range profile data to be recognized by utilizing the trained width learning model to obtain a recognition result.
Specifically, the high-resolution range profile data to be recognized is input into the trained width learning model, and the class label of the target in the high-resolution range profile data can be obtained. For example, the high-resolution range image of the airplane is input into the width learning model, so that the recognition result of the width learning model for the airplane type can be obtained.
It should be noted that, in practical applications, the trained width learning model can identify a target in the high-resolution range image data of any pitch angle.
The effects of the embodiments of the present invention will be described in further detail with reference to simulation experiments.
1. Simulation conditions are as follows:
the hardware platform of the simulation experiment is as follows: the processor is Intel (R) core (TM) i7-8700k CPU, the main frequency is 3.2GHz, and the memory is 16 GB.
The software platform of the simulation experiment is as follows: windows 10 operating system and python 3.6.
The data used in the simulation experiment is high-resolution range profile simulation data of 10 types of airplanes, the number of training samples of targets of all types of airplanes is 9000, and the total number of the training samples is 90000; the number of target test samples of each type of airplane is 1000, the total number of test samples is 10000, and the pitch angles of the training set and the test set of each type of airplane are respectively 3 degrees and 5 degrees.
2. Simulation content and result analysis thereof:
the method of the embodiment of the invention and the conventional convolutional neural network method are respectively used for identifying the high-resolution range profile, and the classification accuracy results under different bandwidths are shown in fig. 3, wherein the abscissa represents the bandwidth and respectively represents 400MHz, 500MHz, 600MHz, 700MHz, 800MHz, 900MHz, 1000MHz, 1100MHz, 1200MHz and 1300MHz, and the ordinate represents the accurate identification rate. In fig. 3, a solid square node line represents a relationship curve between the accurate recognition rate and different bandwidths obtained by the method of the present invention, and a solid circular node line represents a relationship curve between the accurate recognition rate and different bandwidths obtained by the conventional convolutional neural network.
As can be seen from FIG. 3, the accurate recognition rate of the method of the present invention is superior to that of the existing convolutional neural network method. When the bandwidth is 400MHz to 1000MHz, the recognition rate of the width learning model of the invention is higher than that of the existing convolutional neural network by about 3 percentage points on average, which shows that the feature extraction capability of the width learning model is better than that of the convolutional neural network. When the bandwidth is 1100MHz to 1300MHz, the identification rates of the two methods are similar, because the large bandwidth contains more information, and the two methods can better extract the characteristics of the high-resolution range profile, so the identification rates are similar.
FIG. 3 shows the recognition rate curves for the two methods, and Table 1 shows the comparison of the computation times for the breadth learning model method of the present invention and the prior convolutional neural network method.
TABLE 1 comparison of computation times for a breadth learning model and a convolutional neural network
Figure BDA0003152849480000091
As can be seen from Table 1, the training time average of the breadth learning model is about 9.5s, and the training time average of the convolutional neural network is about 420 s. The computation time of the convolutional neural network is about 45 times that of the width learning model. This is because iterative update of the convolutional neural network is time-consuming, which results in much higher computation time than width learning, which does not have the complex structure of the convolutional neural network, and thus computation time is greatly reduced.
In conclusion, the radar high-resolution range profile target identification method of the embodiment uses the width learning model to extract the high-dimensional features of the radar high-resolution range profile data, and can quickly identify the radar target on the premise of ensuring the identification precision. Compared with a neural network, the method has obvious advantages in the aspects of prediction accuracy and recognition time.
Another embodiment of the present invention provides a storage medium, in which a computer program is stored, the computer program being used for executing the steps of the radar high-resolution range profile object recognition method in the above-mentioned embodiment. Yet another aspect of the present invention provides an electronic device, including a memory and a processor, where the memory stores a computer program, and the processor implements the steps of the radar high-resolution range profile object recognition method according to the above embodiment when calling the computer program in the memory. Specifically, the integrated module implemented in the form of a software functional module may be stored in a computer readable storage medium. The software functional module is stored in a storage medium and includes several instructions to enable an electronic device (which may be a personal computer, a server, or a network device) or a processor (processor) to execute some steps of the method according to the embodiments of the present invention. And the aforementioned storage medium includes: various media capable of storing program codes, such as a usb disk, a removable hard disk, a Read-Only Memory (ROM), a Random Access Memory (RAM), a magnetic disk, or an optical disk.
The foregoing is a more detailed description of the invention in connection with specific preferred embodiments and it is not intended that the invention be limited to these specific details. For those skilled in the art to which the invention pertains, several simple deductions or substitutions can be made without departing from the spirit of the invention, and all shall be considered as belonging to the protection scope of the invention.

Claims (9)

Translated fromChinese
1.一种基于宽度学习的雷达高分辨距离像目标识别方法,其特征在于,包括:1. a radar high-resolution range image target recognition method based on width learning, is characterized in that, comprises:S1:获取高分辨距离像数据并设置标签,生成训练集;S1: Obtain high-resolution distance image data and set labels to generate a training set;S2:构建宽度学习模型;S2: Build a width learning model;S3:利用所述训练集对所述宽度学习模型进行训练,得到经训练的宽度学习模型;S3: Use the training set to train the width learning model to obtain a trained width learning model;S4:利用所述经训练的宽度学习模型对待识别的原始高分辨距离像数据进行识别,获取识别结果。S4: Use the trained width learning model to identify the original high-resolution range image data to be identified, and obtain an identification result.2.根据权利要求1所述的基于宽度学习的雷达高分辨距离像目标识别方法,其特征在于,所述S1包括:2. the radar high-resolution range image target recognition method based on width learning according to claim 1, is characterized in that, described S1 comprises:S1a:提取宽带雷达回波信号中的高分辨距离像数据并进行预处理,得到高分辨距离像时域特征数据;S1a: Extract the high-resolution range image data in the broadband radar echo signal and preprocess it to obtain the time-domain feature data of the high-resolution range image;S1b:根据模二范数归一化处理后的高分辨距离像时域特征数据建立雷达目标数据库,并对所述雷达目标数据库内的各个目标类别设置标签值;S1b: establish a radar target database according to the time-domain feature data of the high-resolution range image normalized by the modulo-two norm, and set a label value for each target category in the radar target database;S1c:从所述雷达目标数据库中选取预定数量的样本组成训练集。S1c: Select a predetermined number of samples from the radar target database to form a training set.3.根据权利要求2所述的基于宽度学习的雷达高分辨距离像目标识别方法,其特征在于,所述预处理包括:3. the radar high-resolution range image target recognition method based on width learning according to claim 2, is characterized in that, described preprocessing comprises:对所述高分辨距离像数据进行模二范数归一化处理:Perform modulo-two norm normalization processing on the high-resolution range image data:
Figure FDA0003152849470000011
Figure FDA0003152849470000011
其中,X表示模二范数归一化处理后的高分辨距离像时域特征数据,x表示原始高分辨距离像数据,||·||2表示求模二范数操作。Among them, X represents the time-domain feature data of the high-resolution range image after the normalization of the modulo 2 norm, x represents the original high-resolution range image data, and ||·||2 represents the operation of obtaining the modulo 2 norm.4.根据权利要求2所述的基于宽度学习的雷达高分辨距离像目标识别方法,其特征在于,所述S1还包括:4. the radar high-resolution range image target recognition method based on width learning according to claim 2, is characterized in that, described S1 also comprises:从所述雷达目标数据库中选取预定数量的样本组成测试集,并且所述测试集中的高分辨距离像数据和所述训练集中的高分辨距离像数据具有任意的俯仰角度。A predetermined number of samples are selected from the radar target database to form a test set, and the high-resolution range image data in the test set and the high-resolution range image data in the training set have arbitrary pitch angles.5.根据权利要求2所述的基于宽度学习的雷达高分辨距离像目标识别方法,其特征在于,所述S2包括:5. the radar high-resolution range image target recognition method based on width learning according to claim 2, is characterized in that, described S2 comprises:S2a:将处理后的高分辨距离像时域特征数据进行幂变换操作:S2a: Perform power transformation on the processed high-resolution range image time-domain feature data:U=XkU=Xk其中,U为幂变换后的数据,X为模二范数归一化处理后的高分辨距离像时域特征数据,k为幂变换系数;Among them, U is the data after power transformation, X is the time-domain feature data of the high-resolution range image after modulo-2 norm normalization, and k is the power transformation coefficient;S2b:设定宽度学习模型的第i个映射特征节点输出ZiS2b: Set the output Zi of the ith mapped feature node of the width learning model;
Figure FDA0003152849470000021
Figure FDA0003152849470000021
其中,Zi为第i个映射特征节点输出,φi为映射函数,
Figure FDA0003152849470000022
为权值矩阵,
Figure FDA0003152849470000023
为偏置矩阵,n为特征节点的数量;
Among them, Zi is the output of the i-th mapped feature node, φi is the mapping function,
Figure FDA0003152849470000022
is the weight matrix,
Figure FDA0003152849470000023
is the bias matrix, n is the number of feature nodes;
S2c:将所述映射特征节点输出拼接成一个整体:S2c: Splicing the output of the mapped feature nodes into a whole:Zn=[Z1,Z2…,Zn]Zn = [Z1 , Z2 . . . , Zn ]其中,Zn表示所有映射特征节点输出的集合;Among them, Zn represents the set of all mapped feature node outputs;S2d:对映射特征节点集合Zn进行变换,得到宽度学习模型中第j个增强节点输出EjS2d: Transform the mapping feature node set Zn to obtain the output Ej of the j-th enhanced node in the width learning model;
Figure FDA0003152849470000024
Figure FDA0003152849470000024
其中,Ej为第j个增强节点输出,ζ为非线性变换函数,
Figure FDA0003152849470000025
Figure FDA0003152849470000026
为随机生成的权值矩阵和偏置矩阵,m表示增强节点的数量;
Among them, Ej is the output of the j-th enhancement node, ζ is the nonlinear transformation function,
Figure FDA0003152849470000025
and
Figure FDA0003152849470000026
are randomly generated weight matrix and bias matrix, m represents the number of enhanced nodes;
S2e:将所述增强节点输出拼接成一个整体:S2e: Concatenate the enhancement node outputs into a whole:Ej=[E1,E2…,Ej]Ej =[E1 ,E2 . . . ,Ej ]其中,Ej表示所有增强节点输出的集合;Among them, Ej represents the set of all enhanced node outputs;S2f:设定所述宽度学习模型的输出:S2f: Set the output of the width learning model:
Figure FDA0003152849470000027
Figure FDA0003152849470000027
其中,W是连接权重值,H为映射特征节点输出和增强节点输出的集合。where W is the connection weight value, and H is the set of mapping feature node outputs and enhancement node outputs.
6.根据权利要求5所述的基于宽度学习的雷达高分辨距离像目标识别方法,其特征在于,所述S3包括:6. the radar high-resolution range image target recognition method based on width learning according to claim 5, is characterized in that, described S3 comprises:将所述训练集中的样本全部输入所述宽度学习模型中,求得所述连接权重值:All the samples in the training set are input into the width learning model, and the connection weight value is obtained:W=H+YW = H+ YH+由下式计算得出:H+ is calculated by:
Figure FDA0003152849470000031
Figure FDA0003152849470000031
其中,λ表示正则化系数,I表示单位矩阵。where λ represents the regularization coefficient and I represents the identity matrix.
7.根据权利要求5所述的基于宽度学习的雷达高分辨距离像目标识别方法,其特征在于,在所述S3之后还包括:7. the radar high-resolution range image target recognition method based on width learning according to claim 5, is characterized in that, after described S3 also comprises:利用测试集对所述经训练的宽度学习模型进行测试。The trained width learning model is tested with a test set.8.一种存储介质,其特征在于,所述存储介质中存储有计算机程序,所述计算机程序用于执行权利要求1至7中任一项所述的雷达高分辨距离像目标识别方法的步骤。8. A storage medium, wherein a computer program is stored in the storage medium, and the computer program is used to execute the steps of the radar high-resolution range image target recognition method according to any one of claims 1 to 7 .9.一种电子设备,其特征在于,包括存储器和处理器,所述存储器中存储有计算机程序,所述处理器调用所述存储器中的计算机程序时实现如权利要求1至7任一项所述雷达高分辨距离像目标识别方法的步骤。9. An electronic device, characterized in that it comprises a memory and a processor, wherein a computer program is stored in the memory, and when the processor calls the computer program in the memory, any one of claims 1 to 7 is implemented. Describe the steps of the radar high-resolution range profile target recognition method.
CN202110770720.6A2021-07-072021-07-07Radar high-resolution range profile target recognition method based on width learningActiveCN113673554B (en)

Priority Applications (1)

Application NumberPriority DateFiling DateTitle
CN202110770720.6ACN113673554B (en)2021-07-072021-07-07Radar high-resolution range profile target recognition method based on width learning

Applications Claiming Priority (1)

Application NumberPriority DateFiling DateTitle
CN202110770720.6ACN113673554B (en)2021-07-072021-07-07Radar high-resolution range profile target recognition method based on width learning

Publications (2)

Publication NumberPublication Date
CN113673554Atrue CN113673554A (en)2021-11-19
CN113673554B CN113673554B (en)2024-06-14

Family

ID=78538697

Family Applications (1)

Application NumberTitlePriority DateFiling Date
CN202110770720.6AActiveCN113673554B (en)2021-07-072021-07-07Radar high-resolution range profile target recognition method based on width learning

Country Status (1)

CountryLink
CN (1)CN113673554B (en)

Citations (6)

* Cited by examiner, † Cited by third party
Publication numberPriority datePublication dateAssigneeTitle
US6531976B1 (en)*2001-09-072003-03-11Lockheed Martin CorporationAdaptive digital beamforming radar technique for creating high resolution range profile for target in motion in the presence of jamming
US20170061249A1 (en)*2015-08-262017-03-02Digitalglobe, Inc.Broad area geospatial object detection using autogenerated deep learning models
CN109492766A (en)*2018-11-072019-03-19西安交通大学A kind of width learning method based on minimum P norm
WO2020037960A1 (en)*2018-08-212020-02-27深圳大学Sar target recognition method and apparatus, computer device, and storage medium
CN111458688A (en)*2020-03-132020-07-28西安电子科技大学 A radar high-resolution range image target recognition method based on 3D convolutional network
CN111931813A (en)*2020-07-022020-11-13北京理工大学 A CNN-based Width Learning Classification Method

Patent Citations (6)

* Cited by examiner, † Cited by third party
Publication numberPriority datePublication dateAssigneeTitle
US6531976B1 (en)*2001-09-072003-03-11Lockheed Martin CorporationAdaptive digital beamforming radar technique for creating high resolution range profile for target in motion in the presence of jamming
US20170061249A1 (en)*2015-08-262017-03-02Digitalglobe, Inc.Broad area geospatial object detection using autogenerated deep learning models
WO2020037960A1 (en)*2018-08-212020-02-27深圳大学Sar target recognition method and apparatus, computer device, and storage medium
CN109492766A (en)*2018-11-072019-03-19西安交通大学A kind of width learning method based on minimum P norm
CN111458688A (en)*2020-03-132020-07-28西安电子科技大学 A radar high-resolution range image target recognition method based on 3D convolutional network
CN111931813A (en)*2020-07-022020-11-13北京理工大学 A CNN-based Width Learning Classification Method

Non-Patent Citations (1)

* Cited by examiner, † Cited by third party
Title
BO LI等: "《A Study on Radar Target Detection Based on Broad Learning System》", PROCEEDINGS OF THE 2020 4TH INTERNATIONAL CONFERENCE ON DIGITAL SIGNAL PROCESSING, pages 369 - 373*

Also Published As

Publication numberPublication date
CN113673554B (en)2024-06-14

Similar Documents

PublicationPublication DateTitle
CN111178458B (en)Training of classification model, object classification method and device
CN113177587B (en)Generalized zero sample target classification method based on active learning and variational self-encoder
CN114118259B (en) Target detection method and device
CN113486917B (en)Radar HRRP small sample target recognition method based on metric learning
CN112163450A (en)Based on S3High-frequency ground wave radar ship target detection method based on D learning algorithm
CN114740441B (en)Low-speed small target radar echo identification method based on small sample
CN108764310A (en)SAR target identification methods based on multiple dimensioned multiple features depth forest
CN101598784A (en) Statistical recognition method of radar range profile under strong noise background based on FA model
CN105913081A (en)Improved PCAnet-based SAR image classification method
CN112686297B (en) A method and system for classifying the motion state of a radar target
Kiratiratanapruk et al.Automatic detection of rice disease in images of various leaf sizes
CN113239959A (en)Radar HRRP target identification method based on decoupling representation variational self-coding machine
Hess et al.Deep learning for bias‐correcting CMIP6‐class earth system models
CN113743180A (en)CNNKD-based radar HRRP small sample target identification method
CN115565019A (en)Single-channel high-resolution SAR image ground object classification method based on deep self-supervision generation countermeasure
Lin et al.A deep clustering algorithm based on gaussian mixture model
CN120182582B (en) Small sample HRRP radar target recognition method, device, equipment and medium
CN112347910A (en) A Signal Fingerprint Recognition Method Based on Multimodal Deep Learning
CN110110625A (en)SAR image target identification method and device
CN114863209B (en)Unsupervised domain adaptation modeling method, system, equipment and medium for category proportion guidance
CN113361472B (en)Radar HRRP target identification method based on ILFACs model
CN102737253A (en)SAR (Synthetic Aperture Radar) image target identification method
CN113673554B (en)Radar high-resolution range profile target recognition method based on width learning
CN117951553A (en)Abnormality detection method and device, electronic equipment and storage medium
CN116933869A (en)Map construction method, device, computer equipment and storage medium

Legal Events

DateCodeTitleDescription
PB01Publication
PB01Publication
SE01Entry into force of request for substantive examination
SE01Entry into force of request for substantive examination
GR01Patent grant
GR01Patent grant

[8]ページ先頭

©2009-2025 Movatter.jp