Movatterモバイル変換


[0]ホーム

URL:


CN113669059A - Coal mine rock burst prevention and hydraulic fracturing cutting top pressure relief method - Google Patents

Coal mine rock burst prevention and hydraulic fracturing cutting top pressure relief method
Download PDF

Info

Publication number
CN113669059A
CN113669059ACN202110878367.3ACN202110878367ACN113669059ACN 113669059 ACN113669059 ACN 113669059ACN 202110878367 ACN202110878367 ACN 202110878367ACN 113669059 ACN113669059 ACN 113669059A
Authority
CN
China
Prior art keywords
hole
hydraulic fracturing
holes
pressure
cutting
Prior art date
Legal status (The legal status is an assumption and is not a legal conclusion. Google has not performed a legal analysis and makes no representation as to the accuracy of the status listed.)
Granted
Application number
CN202110878367.3A
Other languages
Chinese (zh)
Other versions
CN113669059B (en
Inventor
亓佳利
刘耀琪
曹安业
Current Assignee (The listed assignees may be inaccurate. Google has not performed a legal analysis and makes no representation or warranty as to the accuracy of the list.)
China University of Mining and Technology Beijing CUMTB
Original Assignee
China University of Mining and Technology Beijing CUMTB
Priority date (The priority date is an assumption and is not a legal conclusion. Google has not performed a legal analysis and makes no representation as to the accuracy of the date listed.)
Filing date
Publication date
Application filed by China University of Mining and Technology Beijing CUMTBfiledCriticalChina University of Mining and Technology Beijing CUMTB
Priority to CN202110878367.3ApriorityCriticalpatent/CN113669059B/en
Publication of CN113669059ApublicationCriticalpatent/CN113669059A/en
Application grantedgrantedCritical
Publication of CN113669059BpublicationCriticalpatent/CN113669059B/en
Expired - Fee Relatedlegal-statusCriticalCurrent
Anticipated expirationlegal-statusCritical

Links

Images

Classifications

Landscapes

Abstract

Translated fromChinese

本发明提供了一种煤矿冲击地压防治水力裂切断顶卸压方法,涉及煤矿冲击地压防治技术领域。本发明的方法包括如下步骤:步骤1、确定目标断顶岩层位置及断顶厚度;步骤2、确定水力裂切孔施工参数;步骤3、水力裂切施工布置;步骤4、水力裂切目标断顶岩层;步骤5、裂切效果检测。本发明的煤矿冲击地压防治水力裂切断顶卸压方法,应用于冲击地压矿井,断顶卸压安全、高效,施工操作便捷,胀裂器等可以反复使用,成本大幅降低;实现顶板目标所需断顶岩层精准预裂并在覆岩运动矿山压力作用下充分连通冒落降低动载破坏作用,规避炸药爆破切顶的安全缺陷、施工弊端,在煤矿预防冲击地压防治工程实际中具有极高的应用、推广价值。

Figure 202110878367

The invention provides a method for preventing and controlling hydraulic fracturing of coal mine rock burst, and relates to the technical field of coal mine rock burst prevention and control. The method of the present invention includes the following steps: step 1, determining the position and thickness of the target fault top rock formation; step 2, determining the construction parameters of hydraulic fracturing and cutting holes; step 3, hydraulic fracturing construction arrangement; Top rock layer; step 5, cracking effect detection. The method for preventing and controlling hydraulic fracturing of coal mine rock burst and cutting off top pressure relief of the invention is applied to rock burst mines, and the top off pressure relief is safe, efficient, convenient for construction and operation, the expander can be used repeatedly, and the cost is greatly reduced; The required faulted top strata are accurately pre-split and fully connected and caving under the action of the overlying rock movement mine pressure to reduce the dynamic load damage, avoid the safety defects and construction drawbacks of the explosive blasting roof cutting, and have great advantages in the practice of coal mine rockburst prevention and control engineering. High application and promotion value.

Figure 202110878367

Description

Coal mine rock burst prevention and hydraulic fracturing cutting top pressure relief method
Technical Field
The invention relates to the technical field of coal mine rock burst prevention and control, in particular to a method for preventing and controlling hydraulic fracture and cutting off top pressure relief of coal mine rock burst.
Background
In recent years, a plurality of rock burst accidents occur in the vast mining area in the south of Luxi, which causes serious economic loss and casualties. When rock burst occurs, the characteristics of large impact energy, wide damage range, low predictability and the like are often shown. At present, the pressure relief of rock burst is mainly adopted for intervention, and the top breaking pressure relief of a coal seam roof gradually becomes a main pressure relief method in addition to the pressure relief of the coal seam in the aspect of the pressure relief of the rock burst. At present, the top breaking and pressure relief is realized mainly by adopting an explosive blasting top cutting technology, and the key of the explosive blasting top cutting technology is to realize the full communication of the blasting cracks of the target rock stratum of the top plate. The coal mine underground application practice shows that the existing explosive blasting and roof cutting technology mainly has the following defects and disadvantages: firstly, a large amount of explosives are required to be loaded and the charging coupling property and the blasting roof cutting effect are repeatedly verified when the roof target rock stratum is successfully cut off and is subjected to roof caving, and time and labor are consumed in the processes of charging, hole sealing and the like; secondly, the crack development condition and the blasting effect evaluation cannot be visually observed generally due to hole sealing reasons after blasting, and if residual blasting or explosion rejection treatment is inconvenient, the life safety of production and constructors is threatened; in addition, the existing initiating explosive and other initiating explosive belong to national control articles, strict requirements are provided for approval and use of the initiating explosive and other initiating explosive, and the application of the initiating explosive and other initiating explosive in a goaf of a high-gas mine is also forbidden or limited by the national directive. Therefore, the method for safely, efficiently, conveniently and low-consumption top-breaking pressure relief applied to the rock burst mine has important theoretical and practical significance.
Disclosure of Invention
The invention aims to provide a method for preventing and controlling hydraulic fracture and cutting off the roof for pressure relief of coal mine rock burst, which is applied to a rock burst mine to realize safe, efficient, convenient and low-consumption roof cutting and pressure relief.
In order to achieve the above purpose, the technical solution adopted by the invention is as follows:
a method for preventing and controlling hydraulic fracture and cutting top pressure relief of coal mine rock burst comprises the following steps:
step 1, determining the position and the top breaking thickness of a target top breaking rock stratum
Covering a rock stratum construction detection hole above a coal seam roof near a construction area, counting the layer position distribution and the thickness of a hard thick rock stratum in the detection hole, taking the hard thick rock stratum in the range of a fracture zone above the coal seam roof as a target top breaking rock stratum, and taking the thickness corresponding to the target top breaking rock stratum as the top breaking thickness;
step 2, determining hydraulic fracture and cut hole construction parameters
The aperture of the splitting hole is 70-110 mm;
the depth L of the fractured hole is determined by adopting the following formula:
L=KH/sinθ;
in the formula:
l is the depth of the cracked hole; k is a surplus coefficient and has a value range of 1.1 to 1.3; h is the maximum distance between the target broken top rock layer and the construction position of the fracture cut hole; theta is a fracture-cut hole angle, and the value range of theta is 60-80 degrees;
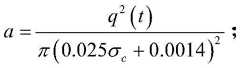
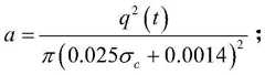
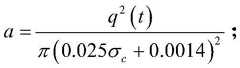
the crack hole spacing a is determined by the following formula:
Figure BDA0003190817720000021
in the formula:
a is the spacing between the split holes; q (t) is the expansion pressure over time during hydraulic fracturing; sigmacUniaxial compressive strength, MP, for a target fractured roof formationa
Step 3, hydraulic fracturing construction arrangement
Performing fracture-cutting hole construction according to the hydraulic fracture-cutting hole construction parameters in the step 2, after the fracture-cutting hole construction is completed, sequentially connecting a plurality of expansion devices to form a chain structure, connecting the expansion device at the lowest end with a high-pressure water pump positioned outside a fracture-cutting hole through a supercharger, and pushing the plurality of expansion devices in the chain structure into the fracture-cutting hole and within the fracture thickness range of the target fracture-top rock stratum;
step 4, hydraulic fracture cutting of target top rock layer
Starting a high-pressure water pump, injecting high-pressure water into the spalling device in the fractured hole by the high-pressure water pump for construction, carrying out compression expansion on the spalling device, applying fracture pressure on the target fractured top rock layer, cutting off the target fractured top rock layer, and withdrawing the spalling device from the fractured hole after pressure reduction;
step 5, detecting the splitting effect
Constructing a plurality of detection holes around the fracture hole, connecting the fracture hole and plugging the fracture hole by a high-pressure water pump through a pipeline, injecting high-pressure water into the fracture hole by the high-pressure water pump, and judging the fracture effect by the water outlet condition of the detection holes.
Preferably, in step 1, the hard thick rock formation is a single-layer rock formation with a thickness of more than 10m and a uniaxial compressive strength of more than 60 MPa.
Preferably, in the step 2, inclined hydraulic fracture cutting hole groups and trend hydraulic fracture cutting hole groups are alternately arranged along the side roadway, the trend hydraulic fracture cutting hole groups are positioned between the two groups of inclined hydraulic fracture cutting hole groups, the spacing range of the inclined hydraulic fracture cutting hole groups is 15-20 m, and the spacing range of the trend hydraulic fracture cutting hole groups is 15-20 m;
each inclined hydraulic fracture hole group comprises 3 fracture holes and 2 guide holes, wherein the 3 fracture holes and the 2 guide holes are arranged along the inclination, the 3 fracture holes and the 2 guide holes are arranged in a fan shape along the production side towards the target broken top rock layer, the 3 fracture holes are sequentially far away from the production side, the fracture holes and the guide holes are alternately arranged, and the guide holes are positioned between the adjacent fracture holes;
every group trend water conservancy splits cuts hole group and includes 3 and splits the cut hole, and 3 are split the cut hole and arrange along the trend, and 3 are split the cut hole and incline to production group side and goaf side and arrange, and the hole interval that adjacent splits the cut hole is 0.3 to 0.5 m.
Preferably, in step 4, according to the direction gradually far away from the production side, high-pressure water is injected into the crack breaking device of each crack cutting hole from the bottom end to the top end of the crack cutting hole one by one.
Preferably, in step 3, the construction of the fracture-cut hole is not less than 200m beyond the advanced working face.
Preferably, a one-way stop valve and a pressure release valve are arranged between the adjacent expansion devices.
Preferably, in the step 4, the high-pressure water pump injects high-pressure water into the internal expanding and cracking device of the fracture-cut hole, so that the construction distance is not less than 150m beyond the advanced working face.
Preferably, in the step 4, the high-pressure water pump injects the dilatant into the fractured holeConstructing under high pressure water with pressure not greater than 70MPaAnd the high-pressure water injection time is not more than 10 min.
Preferably, the length of the expander is set to 1 to 1.5 m.
Preferably, the detection hole is connected with a flow meter through a pipeline and is plugged, and the flow meter records the water outlet flow speed and flow rate so as to judge the crack cutting effect.
The beneficial technical effects of the invention are as follows:
the method for preventing and controlling hydraulic fracture and cutting off the top to relieve pressure in coal mine rock burst is applied to a rock burst mine, the top breaking and pressure relieving are safe and efficient, the construction operation is convenient, a bursting device and the like can be used repeatedly, and the cost is greatly reduced; the method has the advantages that the accurate pre-splitting of the broken top rock layer required by the top plate target is realized, the broken top rock layer is fully communicated under the action of overlying strata movement mine pressure, the falling is reduced, the dynamic load damage effect is reduced, the safety defect and the construction defect of explosive blasting roof cutting are avoided, and the method has extremely high application and popularization values in the coal mine rock burst prevention and control engineering practice.
Drawings
FIG. 1 is a flow chart of a method for preventing and controlling hydraulic fracture and cutting off top pressure relief of coal mine rock burst according to an embodiment of the invention;
FIG. 2 is a plan view of a fracture cut hole construction layout in a method for preventing coal mine rock burst from hydraulic fracture, cutting off, jacking and relieving pressure according to an embodiment of the invention;
FIG. 3 is a layout cross-sectional view of a dip hydraulic fracture cut hole group in a method for preventing hydraulic fracture from cutting off top pressure relief of coal mine rock burst according to an embodiment of the invention;
FIG. 4 is a layout cross-sectional view of a strike hydraulic fracture cut-off top pressure relief method for coal mine rock burst prevention and control in an embodiment of the invention.
Detailed Description
In order to make the objects, technical solutions and advantages of the present invention more apparent, the present invention is further described in detail below with reference to the accompanying drawings in combination with the specific embodiments. Certain embodiments of the invention now will be described more fully hereinafter with reference to the accompanying drawings, in which some, but not all embodiments of the invention are shown. Indeed, various embodiments of the invention may be embodied in many different forms and should not be construed as limited to the embodiments set forth herein; rather, these embodiments are provided so that this disclosure will satisfy applicable legal requirements.
In the description of the present invention, it should be noted that the terms "inside", "outside", "upper", "lower", "front", "rear", and the like indicate orientations or positional relationships based on those shown in the drawings, and are only for convenience of description and simplification of description, but do not indicate or imply that the referred device or element must have a specific orientation, be constructed in a specific orientation, and be operated, and thus, should not be construed as limiting the present invention. Furthermore, the terms "first" and "second" are used for descriptive purposes only and are not to be construed as indicating or implying relative importance.
The method for preventing and controlling hydraulic fracture and cutting top pressure relief of coal mine rock burst in the embodiment is shown in fig. 1 to 4.
A method for preventing and controlling hydraulic fracture and cutting off top pressure relief of coal mine rock burst comprises the following steps:
step 1, determining the position and the top breaking thickness of a target top breaking rock stratum
After the working face is mined, the rock stratum of the goaf begins to fall, and a fall zone, a fracture zone and a bent subsidence zone are gradually formed above the coal seam.
And (3) covering a rock stratum construction detection hole above the coal seam roof near the construction area, counting the layer position distribution and the thickness of the hard thick rock stratum in the detection hole, taking the hard thick rock stratum within the range of the fracture zone above the coal seam roof as a target top breaking rock stratum, and taking the thickness corresponding to the target top breaking rock stratum as the top breaking thickness.
Wherein the hard thick rock stratum is a rock stratum with a single-layer thickness of more than 10m and a uniaxial compressive strength of more than 60 MPa.
Step 2, determining hydraulic fracture and cut hole construction parameters
The aperture of the splitting hole is 70-110 mm;
the depth L of the fractured hole is determined by adopting the following formula:
L=KH/sinθ;
in the formula:
l is the depth of the cracked hole; k is a surplus coefficient and has a value range of 1.1 to 1.3; h is the maximum distance between the target broken top rock layer and the construction position of the fracture cut hole; theta is a fracture-cut hole angle, and the value range of theta is 60-80 degrees;
the crack hole spacing a is determined by the following formula:
Figure BDA0003190817720000041
in the formula:
a is the spacing between the split holes; q (t) is the expansion pressure over time during hydraulic fracturing; sigmacUniaxial compressive strength, MP, for a target fractured roof formationa
In addition, inclined hydraulic fracture cutting hole groups and trend hydraulic fracture cutting hole groups are alternately arranged along the hollow side roadway, the trend hydraulic fracture cutting hole groups are positioned between the two groups of inclined hydraulic fracture cutting hole groups, the spacing range of the inclined hydraulic fracture cutting hole groups is 15-20 m, and the spacing range of the trend hydraulic fracture cutting hole groups is 15-20 m;
each inclined hydraulic fracture hole group comprises 3 fracture holes (marked by a, b and c in figure 3) and 2 guide holes (marked by d and e in figure 3), wherein the 3 fracture holes and the 2 guide holes are arranged along the inclination, the 3 fracture holes and the 2 guide holes are arranged in a fan shape towards a target fractured top rock layer along a production wall, the 3 fracture holes are sequentially far away from the production wall, the fracture holes and the guide holes are alternately arranged, and the guide holes are positioned between the adjacent fracture holes;
each group of strike hydraulic fracture hole group comprises 3 fracture holes (marked with a, b and c in figure 4), the 3 fracture holes are arranged along the strike, the 3 fracture holes are obliquely arranged towards the production side and the goaf side, and the hole distance between every two adjacent fracture holes is 0.3-0.5 m.
And (4) arranging the inclined hydraulic fracture cutting hole groups, and when the target fractured top rock layer is subjected to hydraulic fracture cutting in the step 4, cutting off the target fractured top rock layer along the position of the inclined hydraulic fracture cutting hole group, wherein a bursting device is not arranged in the guide hole, the bursting device is arranged in the fracture cutting hole, the bursting device is expanded under pressure to generate cracks at the position of the target fractured top rock layer fractured fracture cutting hole, and the guide hole is used for communicating the cracks at the position of the adjacent fracture cutting hole.
The hydraulic fracture cut hole groups are arranged in this way, and when the hydraulic fracture target breaks the top rock layer in the step 4, the pressure of the top plate on the side of the coal pillar in the section can be effectively reduced.
Step 3, hydraulic fracturing construction arrangement
And (3) according to the hydraulic fracturing hole construction parameters in the step (2), adopting a drilling machine with a positioning and guiding function to perform fracturing hole construction to the position of the target fractured top rock layer, and ensuring that the deflection error of the fracturing hole is not more than 10%. And the distance from the crack cut hole construction to the advanced working face is not less than 200 m.
After the fracturing hole construction is completed, the multiple expanding and fracturing devices are sequentially connected to form a chain structure, the expanding and fracturing device at the lowest end is connected with a high-pressure water pump located outside the fracturing hole through a supercharger, and the multiple expanding and fracturing devices in the chain structure are pushed into the fracturing hole and are within the fracture thickness range of the target fracture roof rock stratum.
And a one-way stop valve and a pressure release valve are arranged between the adjacent expanding devices. And a one-way stop valve is arranged to prevent high-pressure water in the spalling device from being guided. And a pressure relief valve is arranged to avoid the bursting device from being broken due to overlarge instantaneous pressure of high-pressure water.
The length of the bursting device is set to be 1-1.5 m, and the surface of the bursting device is provided with a protective shell to avoid abrasion of the bursting device when the bursting device moves in a splitting hole.
Step 4, hydraulic fracture cutting of target top rock layer
Starting a high-pressure water pump, adjusting a booster to set high-pressure water pressure, injecting high-pressure water into a fracturing device in a fracturing hole by the high-pressure water pump for construction, carrying out compression expansion on the fracturing device, applying fracturing pressure on a target fractured top rock layer, cutting off the target fractured top rock layer, and withdrawing the fracturing device from the fracturing hole after pressure reduction;
wherein, the high-pressure water pump injects high-pressure water into the cracking device in the cracking hole to construct the distance not less than 150m beyond the advanced working face.
According to the direction gradually far away from the production side, high-pressure water is injected into the crack breaking device of each crack cutting hole one by one from the bottom end to the top end of each crack cutting hole.
Injecting high-pressure water into the crack expander in the crack cutting hole by a high-pressure water pump for construction, wherein the pressure of the high-pressure water is not more than 70MPaHigh pressure waterThe injection time is not more than 10 min.
By the construction of the target broken top rock layer through hydraulic fracturing, in combination with the inclined hydraulic fracturing hole group arranged in the step 2, the aim of shortening the periodic pressure step distance is achieved in the inclined direction of the working face, the fractured holes are arranged to incline to the production side of the working face, the rock stratum of the target broken top rock layer naturally collapses after being stressed by the directional damage generated by hydraulic fracturing, the lower rock stratum is drawn and extruded to move, the mine pressure display law is fully utilized, after a cover rock top plate enters a goaf, the rock stratum in the target broken top rock layer naturally collapses, the direct top rock stratum in a lower caving zone is broken along with the pressure, so that the whole self collapse is realized, the target broken top rock stratum and the rock stratum in the lower caving zone collapse together collapse, the goaf can be filled, a more compact structure is formed to seal the goaf, the influence range of the leading and the lateral stress of the working face is reduced, and the influence of the cover rock is reduced, and double functions of top cutting and pressure relief are realized. And (3) combining the trend hydraulic fracturing and cutting hole group arranged in the step (2), the pressure of the top plate on the side of the sectional coal pillar can be effectively reduced.
Step 5, detecting the splitting effect
Constructing a plurality of detection holes around the fracture-cut hole, connecting the fracture-cut hole and plugging the fracture-cut hole by a high-pressure water pump through a pipeline, injecting high-pressure water into the fracture-cut hole by the high-pressure water pump, judging the fracture-cut effect by the water outlet condition of the detection holes, and judging whether to increase or decrease subsequent fracture-cut holes according to the fracture-cut effect.
Specifically, the inspection hole is connected with a flow meter through a pipeline and is plugged, the flow meter records the water outlet flow speed and flow, and the flow speed and flow of water flowing out of the inspection hole are used for judging the splitting effect.
Up to this point, the present embodiment has been described in detail with reference to the accompanying drawings. From the above description, those skilled in the art should clearly understand that the method for preventing hydraulic fracture and cutting off top pressure relief of coal mine rock burst according to the present invention. The method for preventing and controlling hydraulic fracture and cutting off the top to relieve pressure in coal mine rock burst is applied to a rock burst mine, the top breaking and pressure relieving are safe and efficient, the construction operation is convenient, a bursting device and the like can be used repeatedly, and the cost is greatly reduced; the method has the advantages that the accurate pre-splitting of the broken top rock layer required by the top plate target is realized, the broken top rock layer is fully communicated under the action of overlying strata movement mine pressure, the falling is reduced, the dynamic load damage effect is reduced, the safety defect and the construction defect of explosive blasting roof cutting are avoided, and the method has extremely high application and popularization values in the coal mine rock burst prevention and control engineering practice.
The above-mentioned embodiments are intended to illustrate the objects, technical solutions and advantages of the present invention in further detail, and it should be understood that the above-mentioned embodiments are only exemplary embodiments of the present invention, and are not intended to limit the present invention, and any modifications, equivalents, improvements and the like made within the spirit and principle of the present invention should be included in the protection scope of the present invention.

Claims (10)

Translated fromChinese
1.一种煤矿冲击地压防治水力裂切断顶卸压方法,其特征在于,所述方法包括如下步骤:1. a method for preventing and controlling hydraulic fracturing, top and pressure relief of coal mine rock burst, is characterized in that, described method comprises the steps:步骤1、确定目标断顶岩层位置及断顶厚度Step 1. Determine the position and thickness of the target fault top rock formation在施工区域附近向煤层顶板上方上覆岩层施工探测孔,统计探测孔中的坚硬厚岩层的层位分布和厚度,将煤层顶板上方裂隙带范围内的坚硬厚岩层作为目标断顶岩层,将目标断顶岩层对应的厚度作为断顶厚度;Construction of detection holes in the overlying strata above the coal seam roof near the construction area, statistics of the horizon distribution and thickness of the hard and thick rock layers in the detection holes, and the hard and thick rock layers within the fracture zone above the coal seam roof as the target fault roof rock layer, The thickness corresponding to the faulted top rock layer is taken as the thickness of the faulted top;步骤2、确定水力裂切孔施工参数Step 2. Determine the construction parameters of hydraulic fracturing裂切孔孔径为70至110mm;The diameter of the slitting hole is 70 to 110mm;裂切孔深度L采用如下公式确定:Crack hole depth L is determined by the following formula:L=KH/sinθ;L=KH/sinθ;式中:where:L为裂切孔深度;K为富余系数,取值范围为1.1至1.3;H为目标断顶岩层距离裂切孔施工位置的最大距离;θ为裂切孔角度,θ取值范围为60°至80°;L is the depth of the fissure hole; K is the redundancy coefficient, ranging from 1.1 to 1.3; H is the maximum distance from the target fault top rock layer to the construction position of the fissure hole; θ is the angle of the fissure hole, and the value range of θ is 60° to 80°;裂切孔间距a采用如下公式确定:The split hole spacing a is determined by the following formula:
Figure FDA0003190817710000011
Figure FDA0003190817710000011
式中:where:a为裂切孔间距;q(t)为水力裂切过程中随时间产生的膨胀压力;σc为目标断顶岩层的单轴抗压强度,MPaa is the spacing between the fractured holes; q(t) is the expansion pressure generated over time during the hydraulic fracturing process; σc is the uniaxial compressive strength of the target rock formation, MPa ;步骤3、水力裂切施工布置Step 3, hydraulic fracturing construction layout按照步骤2的水力裂切孔施工参数进行裂切孔施工,裂切孔施工完成后,将多个胀裂器依次连接呈链状结构,最下端的胀裂器经增压器连接位于裂切孔外的高压水泵,将成链状结构的多个胀裂器推送至裂切孔内且于目标断顶岩层的断顶厚度范围内;According to the hydraulic fracturing and hole-cutting construction parameters in step 2, the cracking and hole-cutting construction is carried out. After the cracking and hole-cutting construction is completed, multiple expanders are connected in sequence to form a chain-like structure. The high-pressure water pump outside the hole pushes a plurality of crackers in a chain-like structure into the cracking hole and within the thickness of the target fault top rock formation;步骤4、水力裂切目标断顶岩层Step 4. Hydraulic fracturing to cut the target rock formation启动高压水泵,高压水泵向裂切孔内胀裂器注入高压水施工,胀裂器受压膨胀,对目标断顶岩层施加裂切压力,切断目标断顶岩层,降压后将胀裂器从裂切孔内退出;The high-pressure water pump is started, and the high-pressure water pump injects high-pressure water into the expander in the cracking hole for construction. The expander is expanded under pressure, and the cracking pressure is applied to the target faulted top rock formation, and the target faulted top rock layer is cut off. Exit from the slitting hole;步骤5、裂切效果检测Step 5. Detection of cracking effect在裂切孔周围施工若干个检测孔,由高压水泵经管路连接裂切孔并封堵裂切孔,由高压水泵向裂切孔内注入高压水,由检测孔的出水情况判断裂切效果。A number of detection holes are constructed around the cracking holes. The high-pressure water pump connects the cracking holes through pipelines and blocks the cracking holes. High-pressure water is injected into the cracking holes by the high-pressure water pump.2.根据权利要求1所述的一种煤矿冲击地压防治水力裂切断顶卸压方法,其特征在于:步骤1中,所述坚硬厚岩层为单层厚度大于10m、单轴抗压强度大于60MPa的岩层。2 . The method for preventing and controlling hydraulic fracturing by cutting off top pressure in a coal mine according to claim 1 , wherein in step 1, the hard thick rock layer has a single layer thickness greater than 10m and a uniaxial compressive strength greater than 10m. 3 . 60MPa rock formation.3.根据权利要求1所述的一种煤矿冲击地压防治水力裂切断顶卸压方法,其特征在于:步骤2中,在沿空侧巷道交替布置倾向水力裂切孔组和走向水力裂切孔组,走向水力裂切孔组位于两组倾向水力裂切孔组之间,倾向水力裂切孔组的间距范围为15至20m,走向水力裂切孔组的间距范围为15至20m;3. A method for preventing and controlling hydraulic fracturing, top and pressure relief according to claim 1, characterized in that: in step 2, alternately arranging inclination hydraulic fracturing and cutting hole groups and strike hydraulic fracturing along the gobside roadway Hole group, the strike hydraulic fracturing hole group is located between two groups of inclined hydraulic fracturing hole groups, the spacing range of the inclined hydraulic fracturing hole group is 15 to 20m, and the spacing range of the strike hydraulic fracturing hole group is 15 to 20m;每一组倾向水力裂切孔组包括3个裂切孔和2个导向孔,3个裂切孔、2个导向孔沿着倾向布置,3个裂切孔、2个导向孔沿着生产帮朝向目标断顶岩层呈扇形布置,3个裂切孔依次远离生产帮,裂切孔、导向孔交替布置,导向孔位于相邻裂切孔之间;Each group of inclined hydraulic fracturing holes includes 3 splitting holes and 2 pilot holes, 3 splitting holes and 2 pilot holes are arranged along the inclination, 3 splitting holes and 2 pilot holes are arranged along the production line. The strata towards the target fault top are arranged in a fan shape, the 3 fissures are located away from the production side in turn, the fissures and the pilot holes are alternately arranged, and the pilot holes are located between adjacent fissures;每一组走向水力裂切孔组包括3个裂切孔,3个裂切孔沿着走向布置,3个裂切孔向生产帮侧和采空区侧倾斜布置,相邻的裂切孔的孔间距为0.3至0.5m。Each strike hydraulic fracturing hole group includes 3 fissures, 3 fissures are arranged along the strike, 3 fissures are arranged obliquely to the production side and the goaf side, and the adjacent fissures are arranged along the strike. The hole spacing is 0.3 to 0.5m.4.根据权利要求3所述的一种煤矿冲击地压防治水力裂切断顶卸压方法,其特征在于:步骤4中,按照逐渐远离生产帮的方向,每个裂切孔从裂切孔底端至顶端的方向,逐一向所在裂切孔胀裂器注入高压水。4. A method for preventing and controlling hydraulic fracturing, top and pressure relief according to claim 3, characterized in that: in step 4, according to the direction of gradually moving away from the production line, each cracking hole starts from the bottom of the cracking hole. In the direction from end to top, inject high-pressure water into the cracking hole expander one by one.5.根据权利要求1所述的一种煤矿冲击地压防治水力裂切断顶卸压方法,其特征在于:步骤3中,所述裂切孔施工超前工作面以外不小于200m。5 . The method of claim 1 , wherein in step 3, the construction of the fracturing and cutting holes is not less than 200m beyond the working face ahead of time. 6 .6.根据权利要求1所述的一种煤矿冲击地压防治水力裂切断顶卸压方法,其特征在于:相邻的胀裂器之间设置有单向截止阀和泄压阀。6 . The method for preventing and controlling hydraulic fracturing by cutting off top pressure in a coal mine according to claim 1 , wherein a one-way stop valve and a pressure relief valve are arranged between adjacent expanders. 7 .7.根据权利要求1所述的一种煤矿冲击地压防治水力裂切断顶卸压方法,其特征在于:步骤4中,高压水泵向裂切孔内胀裂器注入高压水施工超前工作面以外不小于150m。7. A method for preventing and controlling hydraulic fracturing, top and pressure relief according to claim 1, characterized in that: in step 4, the high-pressure water pump injects high-pressure water into the breaker in the fracturing hole and constructs beyond the advanced working face Not less than 150m.8.根据权利要求1所述的一种煤矿冲击地压防治水力裂切断顶卸压方法,其特征在于:步骤4中,高压水泵向裂切孔内胀裂器注入高压水施工,高压水的压力不大于70MPa,高压水注入时间不大于10min。8. A method for preventing and controlling hydraulic fracturing, top and pressure relief according to claim 1, characterized in that: in step 4, the high-pressure water pump injects high-pressure water into the cracker in the fracturing hole for construction, and the high-pressure water The pressure is not more than70MPa , and the injection time of high-pressure water is not more than 10min.9.根据权利要求1所述的一种煤矿冲击地压防治水力裂切断顶卸压方法,其特征在于:所述胀裂器的长度设置为1至1.5m。9 . The method for preventing hydraulic fracturing by cutting off the top and unloading pressure according to claim 1 , wherein the length of the expander is set to 1 to 1.5 m. 10 .10.根据权利要求1所述的一种煤矿冲击地压防治水力裂切断顶卸压方法,其特征在于:检测孔经管路连接流速计并封堵检测孔,由流速计记录出水流速及流量以判断裂切效果。10. A method for preventing and controlling hydraulic fracturing, top and pressure relief according to claim 1, characterized in that: the detection hole is connected to a flowmeter through a pipeline and the detection hole is blocked, and the flow rate and flow rate of the water outlet are recorded by the flowmeter. Determine the effect of cutting.
CN202110878367.3A2021-07-312021-07-31 A kind of coal mine rock burst pressure prevention and control hydraulic fracturing cutting top pressure relief methodExpired - Fee RelatedCN113669059B (en)

Priority Applications (1)

Application NumberPriority DateFiling DateTitle
CN202110878367.3ACN113669059B (en)2021-07-312021-07-31 A kind of coal mine rock burst pressure prevention and control hydraulic fracturing cutting top pressure relief method

Applications Claiming Priority (1)

Application NumberPriority DateFiling DateTitle
CN202110878367.3ACN113669059B (en)2021-07-312021-07-31 A kind of coal mine rock burst pressure prevention and control hydraulic fracturing cutting top pressure relief method

Publications (2)

Publication NumberPublication Date
CN113669059Atrue CN113669059A (en)2021-11-19
CN113669059B CN113669059B (en)2022-05-13

Family

ID=78541028

Family Applications (1)

Application NumberTitlePriority DateFiling Date
CN202110878367.3AExpired - Fee RelatedCN113669059B (en)2021-07-312021-07-31 A kind of coal mine rock burst pressure prevention and control hydraulic fracturing cutting top pressure relief method

Country Status (1)

CountryLink
CN (1)CN113669059B (en)

Cited By (3)

* Cited by examiner, † Cited by third party
Publication numberPriority datePublication dateAssigneeTitle
CN114673499A (en)*2022-03-182022-06-28中煤地生态环境科技有限公司Method for preventing rock burst
CN114876459A (en)*2022-04-222022-08-09中煤科工开采研究院有限公司 A method for evaluating pressure relief effect of coal mine roof pre-splitting
CN119083996A (en)*2024-08-292024-12-06太原理工大学 An operation method for optimizing the coal pillar of the stop mining line by cutting the top to relieve pressure and protect the lane at the end of mining

Citations (5)

* Cited by examiner, † Cited by third party
Publication numberPriority datePublication dateAssigneeTitle
CN102678120A (en)*2012-05-182012-09-19河南大有能源股份有限公司Method for releasing pressure and removing danger of rock burst
CN104213919A (en)*2014-08-062014-12-17中国矿业大学Prevention method of shallow-buried steeply-inclined coal seam rock burst
CN109736805A (en)*2018-12-122019-05-10天地科技股份有限公司A kind of method of the modified release watershed management bump of thick-layer tight roof
CN112196532A (en)*2020-09-292021-01-08安徽理工大学Method for reducing stress of coal pillar by pre-splitting roof rock stratum through large-diameter deep-hole spherical explosive package
CN112780340A (en)*2021-01-052021-05-11陕西彬长孟村矿业有限公司Method for preventing rock burst in advance in coal mine underground and upper regions

Patent Citations (5)

* Cited by examiner, † Cited by third party
Publication numberPriority datePublication dateAssigneeTitle
CN102678120A (en)*2012-05-182012-09-19河南大有能源股份有限公司Method for releasing pressure and removing danger of rock burst
CN104213919A (en)*2014-08-062014-12-17中国矿业大学Prevention method of shallow-buried steeply-inclined coal seam rock burst
CN109736805A (en)*2018-12-122019-05-10天地科技股份有限公司A kind of method of the modified release watershed management bump of thick-layer tight roof
CN112196532A (en)*2020-09-292021-01-08安徽理工大学Method for reducing stress of coal pillar by pre-splitting roof rock stratum through large-diameter deep-hole spherical explosive package
CN112780340A (en)*2021-01-052021-05-11陕西彬长孟村矿业有限公司Method for preventing rock burst in advance in coal mine underground and upper regions

Cited By (3)

* Cited by examiner, † Cited by third party
Publication numberPriority datePublication dateAssigneeTitle
CN114673499A (en)*2022-03-182022-06-28中煤地生态环境科技有限公司Method for preventing rock burst
CN114876459A (en)*2022-04-222022-08-09中煤科工开采研究院有限公司 A method for evaluating pressure relief effect of coal mine roof pre-splitting
CN119083996A (en)*2024-08-292024-12-06太原理工大学 An operation method for optimizing the coal pillar of the stop mining line by cutting the top to relieve pressure and protect the lane at the end of mining

Also Published As

Publication numberPublication date
CN113669059B (en)2022-05-13

Similar Documents

PublicationPublication DateTitle
CN113669059B (en) A kind of coal mine rock burst pressure prevention and control hydraulic fracturing cutting top pressure relief method
CN103527198B (en)Cut a tight roof/top coal hydraulic fracture control method
CN108894787B (en) Fracturing Relief Method for Stress Concentration of Remaining Ore Pillar in Overlying Goaf
AU2023251557B2 (en)Method for fracturing rock formation through fracture network based on variable-frequency pulse and device thereof
AU2018405437B2 (en)Method and device for controlling top coal caving property by pulsed hydraulic fracturing
CN103195466B (en)A kind of directed hydraulic pressure demolition improves the method for gas permeability of coal seam
CN102678120B (en)Method for releasing pressure and removing danger of rock burst
Sharafat et al.Controlled blasting in underground construction: A case study of a tunnel plug demolition in the Neelum Jhelum hydroelectric project
CN109139092B (en)One-hole multipurpose construction method for treating impact and gas disaster of deep-buried coal seam
CN109751075B (en) Gas control method for bedding drilling in medium-hard coal seam
CN110439579B (en)Advanced pre-grouting method for open-type TBM (tunnel boring machine) water-rich tunnel
CN104314610A (en)Outburst eliminating method for coal roadway stripe region
CN107816365A (en)A kind of quick-fried pumping integration anti-burst method of coal seam drilling
CN110985123A (en)High-pressure hydraulic pre-cracking dangerous impact ore pressure crossheading roadway drilling arrangement method
CN111502662A (en)Prevention and control method for deep pressure relief shallow part reinforcement of rock burst mine advanced coal body
CN108301811A (en)A kind of efficient pumping method of hypotonicity coal-bed gas
CN110017140B (en)Method for preventing and treating coal pillar compression type rock burst
CN117846593A (en) A method for arranging long drilling holes for roof blasting in artificial pressure relief layer
CN113446004A (en)Perforation arrangement method for simultaneously pre-splitting lateral roof and trend roof of coal mine roadway
CN108708722B (en)Method for efficiently preventing rock burst of low-permeability coal seam
CN114034217A (en)Emulsion explosive blasting oriented seam forming and top cutting method based on cutting groove
CN118835999A (en)Rock burst roadway pressure relief-spraying-anchoring cooperative control method
CN108301861A (en)A kind of efficient method for implanting of hypotonicity coal seam dustfall agent
CN116182659B (en) A method for preventing and controlling rock burst by unloading pressure in a drilling and blasting tunnel in hard rock formation
CN117211802A (en)Advanced blasting pressure relief method for tunnel

Legal Events

DateCodeTitleDescription
PB01Publication
PB01Publication
SE01Entry into force of request for substantive examination
SE01Entry into force of request for substantive examination
GR01Patent grant
GR01Patent grant
CF01Termination of patent right due to non-payment of annual fee
CF01Termination of patent right due to non-payment of annual fee

Granted publication date:20220513


[8]ページ先頭

©2009-2025 Movatter.jp