Movatterモバイル変換


[0]ホーム

URL:


CN113653510A - Method for blocking the penetration of micro-cracks in rock formation by CO2 mineralized nano-silica grouting material - Google Patents

Method for blocking the penetration of micro-cracks in rock formation by CO2 mineralized nano-silica grouting material
Download PDF

Info

Publication number
CN113653510A
CN113653510ACN202111009703.7ACN202111009703ACN113653510ACN 113653510 ACN113653510 ACN 113653510ACN 202111009703 ACN202111009703 ACN 202111009703ACN 113653510 ACN113653510 ACN 113653510A
Authority
CN
China
Prior art keywords
micro
grouting
nano
silica gel
mineralized
Prior art date
Legal status (The legal status is an assumption and is not a legal conclusion. Google has not performed a legal analysis and makes no representation as to the accuracy of the status listed.)
Granted
Application number
CN202111009703.7A
Other languages
Chinese (zh)
Other versions
CN113653510B (en
Inventor
马立强
吴乙辉
翟江涛
王洋洋
Current Assignee (The listed assignees may be inaccurate. Google has not performed a legal analysis and makes no representation or warranty as to the accuracy of the list.)
China University of Mining and Technology Beijing CUMTB
Original Assignee
China University of Mining and Technology Beijing CUMTB
Priority date (The priority date is an assumption and is not a legal conclusion. Google has not performed a legal analysis and makes no representation as to the accuracy of the date listed.)
Filing date
Publication date
Application filed by China University of Mining and Technology Beijing CUMTBfiledCriticalChina University of Mining and Technology Beijing CUMTB
Priority to CN202111009703.7ApriorityCriticalpatent/CN113653510B/en
Publication of CN113653510ApublicationCriticalpatent/CN113653510A/en
Application grantedgrantedCritical
Publication of CN113653510BpublicationCriticalpatent/CN113653510B/en
Activelegal-statusCriticalCurrent
Anticipated expirationlegal-statusCritical

Links

Images

Classifications

Landscapes

Abstract

Translated fromChinese

本发明公开一种CO2矿化纳米硅胶注浆材料阻断岩层微裂隙渗透的方法,适用于煤矿井下使用。确定采矿活动扰动围岩导致的上行微裂隙发育高度和下行微裂隙发育深度,根据工作面采深及空隙压力梯度计算最大孔隙压力;将硅基材料与水按质量比1:100~50:100混合得到基液;将纳米颗粒与基液按质量比1:1000~100:1000混合得到纳米流体;将纳米流体通过注浆管道与顶底板注浆钻孔分别注入上行微裂隙发育区和下行微裂隙发育区中,压力不再变化时停止注入,最后将CO2气体分别注入上行微裂隙发育区和下行微裂隙发育区中形成原位纳米硅胶,从而封闭微裂隙。其步骤简单,使用方便,具有广泛的实用性。

Figure 202111009703

The invention discloses a method for blocking the penetration of micro-cracks in rock formations by CO2 mineralized nano-silica grouting material, which is suitable for use in underground coal mines. Determine the development height of the upward micro-cracks and the development depth of the downward micro-cracks caused by the disturbance of the surrounding rock by mining activities, and calculate the maximum pore pressure according to the mining depth of the working face and the pore pressure gradient; Mix to obtain base fluid; mix nanoparticles and base fluid in a mass ratio of 1:1000 to 100:1000 to obtain nanofluid; inject nanofluid into the upward micro-crack development area and the downward micro-crack through the grouting pipeline and the grouting hole on the roof and floor respectively. In the fracture development zone, the injection is stopped when the pressure no longer changes, and finallyCO2 gas is injected into the upward micro fracture development zone and the downward micro fracture development zone respectively to form in-situ nano-silica gel, thereby sealing the micro fractures. The steps are simple, the use is convenient, and the utility model has wide practicability.

Figure 202111009703

Description

CO2Method for blocking rock stratum microcrack permeation by mineralized nano silica gel grouting material
Technical Field
The patent aims to invent a method for blocking the permeability of rock stratum microcracks, which is particularly suitable for coalCO in the technical field of carbon mining2A method for blocking permeability of rock stratum microcracks by using mineralized nano silica gel grouting material.
Background
After coal mining, the instability of the top plate and the bottom plate rock stratum of the goaf causes deformation and damage of surrounding rocks, rock stratum disturbance and fracture development change underground seepage field distribution, and an underground water funnel which takes the goaf as a water collecting area and a water guide fracture as a seepage center is formed, so that a large amount of underground water and surface water are lost, and the problems of environmental damage, such as plant withering, desertification and the like, are caused. If not, water will permeate into the goaf, finally causing water burst and causing safety accidents.
In the past decades, ecological problems in coal mining have come to be of great concern, water resource protection and utilization are major challenges in green mining, and in order to prevent and treat aquifer and surface water loss and environmental damage caused by mining, damage before and after mining is pretreated. Wherein, the formation of crack has obvious influence to the direct infiltration of aquifer, uses the grout or chemical grout slip casting can effectively block the infiltration. The micro-cracks have small influence on early-stage water seepage, but when the micro-cracks are contacted with a water-bearing layer for a long time, mineral substances in rocks are decomposed under the action of water (formula 4), so that the micro-cracks develop to form large cracks, and a series of problems after the water seepage and the cracks develop can be effectively prevented and treated by researching micro-crack pretreatment.
Figure BDA0003238443350000011
Conventional cement slurries are suitable for large fractures in the upper layers of the goaf, but during production there are also micro-fractures above the fractured zone, these micro-fractures having an average width of less than 0.15 mm. The cement slurry is distributed with particles with larger diameters, has higher initial viscosity (100-1200 mPa.s), can not be effectively injected into micro cracks, can generate secondary fracturing when the injection pressure is increased, can expand the micro cracks into large cracks, can not be injected for reinforcement, and can form a water guide channel. There is therefore a need to develop a slurry that can penetrate into microcracks and effectively block the path of water seepage.
In addition, China takes coal as a main energy source for a long time, and the coal uses CO discharged by the coal2Accounting for 72 percent of the total discharge of China and 28 percent of the whole world, and causing the problems of global warming, climate change and the like. In order to control the increasing CO in the atmosphere2Concentration, mitigation of climate change problems, CO2Efficient handling, containment and utilization of the same is already at issue.
Disclosure of Invention
Aiming at the technical problems, the invention provides the CO with simple steps and good using effect2A method for blocking the permeability of rock stratum microcracks by mineralized nano silica gel grouting material.
To achieve the above technical objects, the CO of the present invention2The method for blocking the permeability of the rock stratum microcracks by using the mineralized nano silica gel grouting material is characterized by comprising the following steps of:
step one, sampling and testing aquifer water of a mining area to be constructed, and determining the concentrations of sodium ions, calcium ions, bicarbonate ions, magnesium ions and sulfate ions in the aquifer water;
calculating and determining the ascending micro-fracture development height and the descending micro-fracture development depth caused by disturbance of surrounding rock by mining activities through parameters such as mining height, mining depth, filling rate and influence degree coefficient of filling rate on overburden rock fracture development, coal seam inclination angle and working face length, and further determining construction parameters such as angle, depth, aperture and interval of grouting drilling;
step three, calculating the maximum pore pressure according to the mining depth of the working face and the pore pressure gradient;
step four, mixing the silicon-based material and water according to the mass ratio of 1: 100-50: 100, and fully stirring to obtain a base solution;
mixing the nano particles with a base liquid according to the mass ratio of 1: 1000-100: 1000, and performing ultrasonic dispersion and stirring to obtain a nano fluid;
sixthly, constructing grouting drill holes according to the construction parameters determined in the second step, and respectively injecting nano fluid into the upward microcrack development area through a grouting pipeline and the top and bottom plate grouting drill holes by utilizing a mineralized nano silica gel grouting systemAnd in the downstream microcrack development zone, the injection pressure does not exceed the maximum pore pressure, and the injection is stopped when the pressure does not change. Seventhly, utilizing the mineralized nano silica gel grouting system to drill the CO through the grouting of the top and bottom plates2And gas is respectively injected into the ascending microcrack development area and the descending microcrack development area, the injection pressure does not exceed the maximum pore pressure, and the injection is stopped when the pressure is not changed. Due to CO2Good gas permeability to CO2The gas reacts with the nano fluid injected into the micro cracks in the micro crack development area to form in-situ nano silica gel, so that the micro cracks are sealed.
The mineralized nano silica gel grouting system comprises: CO22A tank and a nanofluid tank, wherein the nanofluid tank is connected with a high-pressure pump station for providing grouting power, CO2The outlets of the tank and the nano fluid tank are connected with a grouting pipeline through a three-way switching valve, and the grouting pipeline comprises a pressure meter and a flow meter monitoring device.
In the first step, the aquifer water in the mining area is sampled and tested, and the nano silica gel is suitable for the aquifer water with the sodium ion concentration of 0-5000 mug/L, the calcium ion concentration of 0-1000 mug/L, the bicarbonate ion concentration of 0-2000 mug/L, the magnesium ion concentration of 0-1000 mug/L and the sulfate ion concentration of 0-2000 mug/L.
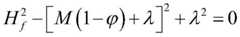
In the second step, the ascending microcrack development height caused by the disturbance of the surrounding rock by mining activities is as follows:
Figure BDA0003238443350000021
in the formula, HfM is the ascending micro-crack development height; m is the mining height M;
Figure BDA0003238443350000022
is the filling rate; and lambda is the influence degree coefficient of the filling rate on the development of the overlying strata fracture.
In the second step, the development depth of the descending microcracks caused by the disturbance of the surrounding rock by mining activities is as follows:
h=0.0187H+0.2278α+3.4858M+0.0435L-8.2539
in the formula, h is the development depth of the descending microcracks, m; h is the mining depth m; alpha is the coal bed inclination angle, °; l is the working face length, m; m is the mining height M;
in the fourth step, the pH value of the base liquid is 8-14, and the initial viscosity is 2-80 mPa.s.
And fifthly, preparing the nanofluid by adopting a two-step method, wherein the particle size of the nanoparticles is 5-500 nm, the nanoparticles are non-metal nanoparticles, semi-metal particles or magnetic nanoparticles, the stirring time is 5-120 minutes, the stirring speed is 100-2000 r/min, and the ultrasonic dispersion time greater than 20kHz is 5-120 minutes.
In the sixth step, in order to ensure that the injection pressure can not cause secondary fracturing on the microcracked rock mass, the injection amount of the nano fluid is 0.1-500 m3/d;
In step seven, CO2The gas flow is 0.1-100L/min, the viscosity of the formed nano silica gel is 100-5000 mPa.s, and the pH value is 4-12.
CO (carbon monoxide)2The detection method of the method for blocking the permeability of the rock stratum microcracks by the mineralized nano silica gel grouting material comprises a sealed rock core holder for holding a tested rock core, wherein one side of the rock core holder is provided with an injection end, the other side of the rock core holder is provided with an output end, the injection end is connected with a grouting pipeline of a mineralized nano silica gel grouting system through a pipeline, the output end is connected with a fractionating tower through a pipeline, and a valve and a monitoring device are also arranged on the pipeline connected with the fractionating tower;
the method comprises the following specific steps:
s1, firstly, preparing a standard sandstone test piece for testing, and manufacturing micro-cracks in the sandstone test piece in a mode of uniaxial compression of the sandstone test piece, wherein the sandstone test piece has micro-cracks and porous medium pores for permeability testing;
s2, installing the sandstone test piece in a rock core holder, displaying pressure change during liquid and gas injection by using a monitoring device, testing initial permeability before grouting by using pressure difference between two ends, testing initial permeability by using advanced injection flow (less than 0.5 and more than 1.5mL/min), and calculating the permeability by using the following formula until no pressure fluctuation occurs in each advanced injection flow in the process:
Figure BDA0003238443350000031
in the formula: q is the flow, m3/s;KabsAs permeability, m2(ii) a μ is the solution viscosity, Ns/m2(ii) a A is the cross-sectional area, m2(ii) a Δ P is the pressure difference, Pa; l is the length, m.
S3, taking out the sandstone test piece from the clamp, drying at high temperature, and cooling the dried sandstone test piece to normal temperature to prepare for grouting;
s4, preparing base liquid from the silicon-based material and water according to the mass ratio of 10:100, dispersing nano particles in the base liquid to prepare nano fluid, injecting the nano fluid into the sandstone test piece in the core holder until the sandstone test piece is saturated, and judging that the sandstone test piece is saturated when bubbles appear in the fractionating tower;
s5 closing the outflow end and then injecting CO through the injection end2Gas, CO injection2The flow control is changed into pressure control, and CO is injected into the sandstone test piece saturated by the nano fluid2Stopping CO until the desired pressure2Injecting, closing the injection end, observing the injected CO2Reacting with the nano fluid in the rock core, observing pressure change through the monitoring devices at two ends, and indicating CO when the pressure of the monitoring devices at two ends is balanced2Reacting with the nano fluid in the rock core to form nano silica gel;
s6, after the nano silica gel is formed, opening the injection end and the outflow end, and repeating the step S2 to detect the permeability change of the sandstone test piece filled with the nano silica gel.
Has the advantages that: the invention develops a nano fluid with low initial viscosity by adopting a silicon-based material and nano particles to carry out micro-crack permeability blocking, and adopts a two-step injection method, namely, the nano fluid is injected firstly, and then CO is injected2Gas is dissolved and reacted, and the gel is formed in situ in the rock microcracks. The nanoparticles reduce gas-liquid surface tension and increase CO with their high surface area2The dissolution rate effectively reduces the permeability of the microcracks in the mining rock body, prevents the development of the microcracks and blocks a water seepage path. The method uses a grouting materialIn the form of a feedstock, CO2Mineralization is injected into the fractures of the subterranean formation to aid in the carbon neutralization process.
Drawings
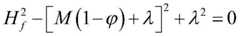
FIG. 1 is a schematic structural diagram of a mineralized nano silica gel grouting system according to the present invention;
FIG. 2 is a schematic diagram of an experimental apparatus for the detection method of the present invention.
Wherein: 1. a high pressure pump station; 2. CO22A tank; a nanofluid tank; 4. a valve; 5. a monitoring device; 6. grouting pipelines; 7. a mining area; 8. a collapse zone; 9. ascending a large fissure development area; 10. ascending a micro-crack development area; 11. descending a large fissure development zone; 12. descending a microcrack development zone; 13. working face propulsion direction; 14. grouting and drilling; 15. an injection end; 16. a core holder; 17. an output end; 18; a fractionating tower.
Detailed Description
Embodiments of the invention are further described below with reference to the accompanying drawings:
one kind of CO of the present invention2A method for blocking stratum microcrack permeation by mineralized nano silica gel grouting material is applied to amining area 7, wherein acaving zone 8 exists in themining area 7, an ascending large crack development area 9 exists above thecaving zone 8, an ascendingmicrocrack development area 10 exists above the ascending large crack development area 9, a descending largecrack development area 11 exists below thecaving zone 8, and a descendingmicrocrack development area 12 exists below the descending largecrack development area 11.
Which comprises the following steps:
step one, sampling and testing aquifer water of a mining area to be constructed, and determining the concentrations of sodium ions, calcium ions, bicarbonate ions, magnesium ions and sulfate ions in the aquifer water; the sampling test is carried out on the aquifer water in the mining area, and the nano silica gel is suitable for the aquifer water with the sodium ion concentration of 0-5000 mug/L, the calcium ion concentration of 0-1000 mug/L, the bicarbonate ion concentration of 0-2000 mug/L, the magnesium ion concentration of 0-1000 mug/L and the sulfate ion concentration of 0-2000 mug/L.
Calculating and determining the ascending micro-fracture development height and the descending micro-fracture development depth caused by disturbance of surrounding rock by mining activities through parameters such as mining height, mining depth, filling rate and influence degree coefficient of filling rate on overburden rock fracture development, coal seam inclination angle and working face length, and further determining construction parameters such as angle, depth, aperture and interval of grouting drilling; in the second step, the ascending microcrack development height caused by the disturbance of the surrounding rock by mining activities is as follows:
Figure BDA0003238443350000041
in the formula, HfM is the ascending micro-crack development height; m is the mining height M;
Figure BDA0003238443350000051
is the filling rate; lambda is the influence degree coefficient of the filling rate on the development of the overlying strata fracture; the development depth of the descending microcracks caused by the disturbance of the surrounding rock by mining activities is as follows:
h=0.0187H+0.2278α+3.4858M+0.0435L-8.2539
in the formula, h is the development depth of the descending microcracks, m; h is the mining depth m; alpha is the coal bed inclination angle, °; l is the working face length, m; m is the mining height M;
step three, calculating the maximum pore pressure according to the mining depth of the working face and the pore pressure gradient;
mixing the silicon-based material and water according to the mass ratio of 1: 100-50: 100, and fully stirring to obtain a base liquid, wherein the pH value of the base liquid is 8-14, and the initial viscosity is 2-80 mPa.s;
mixing the nano particles and a base liquid according to a mass ratio of 1: 1000-100: 1000, and performing ultrasonic dispersion and stirring to obtain a nano fluid, wherein the particle size of the nano particles is 5-500 nm, the nano particles are nonmetal nano particles, semimetal particles or magnetic nano particles, and the nano fluid is prepared by adopting a two-step method, wherein the stirring time is 5-120 minutes, the stirring speed is 100-2000 r/min, and the ultrasonic dispersion time greater than 20kHz is 5-120 minutes;
step six, respectively detecting amethod 10 for detecting the ascending micro-crack development area from the edge of thecaving zone 8 and a method for detecting the descending micro-crack development area according to the construction parameters determined in the step twoIn thedetection method 12, an inclined construction groutingdrilling detection method 14 is adopted, the trend of the groutingdrilling detection method 14 is opposite to the advancingdirection 13 of a working face, a mineralized nano silica gel grouting system is used for injecting a nanofluid detection method 3 detection method into an uplink micro-fracture developmentarea detection method 10 and a downlink micro-fracture developmentarea detection method 12 through a grouting pipeline detection method 6 and a top and bottom plate groutingdrilling detection method 14 detection method respectively, the injection pressure of nano flow does not exceed the maximum pore pressure, and the injection is stopped when the pressure is not changed; in order to ensure that the injection pressure can not cause secondary fracturing on the microcracked rock mass, the injection amount of the nano fluid is 0.1-500 m3/d;
Step seven, utilizing a mineralized nano silica gel grouting system to perform grouting and drilling detection on the top and bottom plates by adetection method 142The gas detection method 4 is respectively injected into thedetection method 10 for the ascending microcrack development zone and thedetection method 12 for the descending microcrack development zone, and CO is2The gas flow is 0.1-100L/min, the viscosity of the formed nano silica gel is 100-5000 mPa.s, and the pH value is 4-12; the injection pressure does not exceed the maximum pore pressure, and the injection is stopped when the pressure is not changed any more; due to CO2Gas detection method 4 detection method good permeability, making CO2The gas detection method 4 is reacted with the nano fluid injected into the micro cracks in the micro crack development area by thedetection method 3 to form in-situ nano silica gel, so that the micro cracks are sealed. The mineralized nano silica gel grouting system comprises: CO22Atank detection method 2 and a nano fluidtank detection method 3, wherein the nano fluidtank detection method 3 is connected with a high pressure pump station detection method 1 for providing grouting power, and a CO detection method2The outlet of the detection method of thetank detection method 2 and the detection method of thenano fluid tank 3 is connected with a grouting pipeline detection method 6 through a three-way switching valve, and the grouting pipeline detection method 6 comprises a pressure meter and flow meter monitoring device detection method 5.
CO (carbon monoxide)2Mineralized nano silica gel grouting material for blocking rock stratum microcrackThe detection method of the gap penetration method comprises adetection method 16 for a core holder used for holding a detected core and sealing the detected core, wherein one side of thedetection method 16 for the core holder is provided with adetection method 15 for an injection end, and the other side of the detection method is provided with a detection method 17 for an output end, thedetection method 15 for the injection end is connected with a detection method 6 for a grouting pipeline of a mineralized nano silica gel grouting system through a pipeline, the detection method 17 for the output end is connected with a detection method for a fractionating tower through a pipeline, and a detection method 5 for a valve detection method 4 and a detection method for a monitoring device are also arranged on a pipeline connected with the detection method for the fractionating tower;
example 1
For convenience of explanation, taking a laboratory scale as an example, as shown in fig. 2, a method for blocking the permeability of rock microcracks by using a CO2 mineralized nano silica gel grouting material is applied to low-permeability rock masses and rock masses which are mined to form microcracks, and the method comprises the following steps:
the method is characterized in that a standard sandstone test piece with the diameter of 50mm and the length of 100mm is used for testing, micro cracks and porous medium pores used for permeability testing exist in the test piece, and the specific implementation mode of the method is as follows:
and step one, manufacturing the micro-cracks in a mode of compressing the sandstone test piece by a single shaft.
And step two, the sandstone is arranged in the core holder, two ends of the sandstone are connected with pressure gauges to display pressure changes when liquid and gas are injected, and the initial permeability before grouting is tested through the pressure difference between the two ends. The initial permeability was tested by a three-step injection flow detection method of 0.5, 1, 1.5mL/min, during which each flow was carried out until there was no pressure fluctuation, and the permeability was calculated by the following formula:
Figure BDA0003238443350000061
in the formula: q-flow, m3/s;KabsPermeability, m2(ii) a Mu-solution viscosity, Ns/m2(ii) a A-cross-sectional area, m2(ii) a Δ P-pressure differential, Pa; l-length, m.
And step three, taking the sandstone out of the holder, drying the sandstone at 110 ℃ for 24 hours, and cooling the dried sandstone to normal temperature to prepare for grouting.
Dissolving the silicon-based material in water to prepare a base solution with the mass ratio of 10%, dispersing the nano particles in the base solution to prepare a nano fluid, and then injecting the nano fluid into sandstone at the flow rate of 1mL/min until the nano fluid is saturated, wherein the saturation point is based on that bubbles cannot be observed in thefractionating tower 18.
Step five in CO injection2Before the gas is injected, the outflow end is closed, and CO is injected2The flow control is changed into pressure control, and CO is injected into the sandstone saturated by the nano fluid2Stopping CO when the pressure reaches 2MPa2Injecting, closing the injection end, injecting CO2And (4) reacting with the nano fluid in the rock core, observing pressure change, and indicating that the reaction is finished to form nano silica gel by pressure balance.
And step six, after the formation of the nano silica gel is determined, opening the injection end and the outflow end, and testing the permeability change of the sandstone after grouting according to the step two.
Example 2
For convenience of explanation, as shown in fig. 2, a method for blocking the permeability of rock microfractures by using a CO2 mineralized nano silica gel grouting material is applied to low permeability and mining to form microfracture rock bodies, and comprises the following steps:
the standard sandstone with the diameter of 50mm and the length of 100mm is used for testing, micro-cracks and porous medium pores exist in a test piece, and the method is used for permeability testing, and the specific implementation mode of the method is as follows:
and step one, manufacturing the micro-cracks in a mode of compressing the sandstone test piece by a single shaft.
And step two, installing the sandstone test piece in the rock core holder, connecting pressure gauges at two ends of the sandstone test piece to display pressure changes when liquid and gas are injected, and testing the initial permeability before grouting through the pressure difference at the two ends. The initial permeability is tested by a three-time advanced injection flow detection method of 0.5, 1 and 1.5mL/min, each flow is subjected to no pressure fluctuation in the process, and the permeability is calculated by aformula detection method 3.
And step three, taking the sandstone out of the holder, drying the sandstone at 110 ℃ for 24 hours, and cooling the dried sandstone to normal temperature to prepare for grouting.
Dissolving the silicon-based material in water to prepare a base solution with the mass ratio of 5%, dispersing the nano particles in the base solution to prepare a nano fluid, and then injecting the nano fluid into sandstone at the flow rate of 1mL/min until the nano fluid is saturated, wherein the saturation point is based on that bubbles cannot be observed in thefractionating tower 18.
Step five in CO injection2Before the gas is injected, the outflow end is closed, and CO is injected2Changing flow control to pressure control, injecting CO into the sandstone saturated with nanofluid2Stopping CO when the pressure reaches 2MPa2Injecting, closing the injection end, injecting CO2And (4) reacting with the nano fluid in the rock core, observing pressure change, and indicating that the reaction is finished to form nano silica gel by pressure balance.
And step six, after the formation of the nano silica gel is determined, opening the injection end and the outflow end, and testing the permeability change of the sandstone after grouting according to the step two.
Example 3
For convenience of explanation, as shown in fig. 2, a method for blocking the permeability of rock microfractures by using a CO2 mineralized nano silica gel grouting material is applied to low permeability and mining to form microfracture rock bodies, and comprises the following steps:
the invention uses standard sandstone with the diameter of 50mm and the length of 100mm for testing, and the test piece has micro-cracks and porous medium pores and is used for permeability testing, and the specific implementation mode of the method is as follows:
and step one, manufacturing the micro-cracks in a mode of compressing the sandstone test piece by a single shaft.
And step two, the sandstone is arranged in the core holder, two ends of the sandstone are connected with pressure gauges to display pressure changes when liquid and gas are injected, and the initial permeability before grouting is tested through the pressure difference between the two ends. The initial permeability was tested by a three-step injection flow detection method of 0.5, 1, 1.5mL/min, each flow was carried out until there was no pressure fluctuation in the process, and the permeability was calculated by equation (3).
And step three, taking the sandstone out of the holder, drying the sandstone at 110 ℃ for 24 hours, and cooling the dried sandstone to normal temperature to prepare for grouting.
Dissolving the silicon-based material in water to prepare a base solution with the mass ratio of 10%, dispersing the nano particles in the base solution to prepare a nano fluid, and then injecting the nano fluid into sandstone at the flow rate of 1mL/min until the nano fluid is saturated, wherein the saturation point is based on that bubbles cannot be observed in thefractionating tower 18.
Step five in CO injection2Before the gas is injected, the outflow end is closed, and CO is injected2Changing flow control to pressure control, injecting CO into the sandstone saturated with nanofluid2Stopping CO2 injection when the pressure reaches 1MPa, closing the injection end, and injecting CO2And (4) reacting with the nano fluid in the rock core, observing pressure change, and indicating that the reaction is finished to form nano silica gel by pressure balance.
And step six, after the formation of the nano silica gel is determined, opening the injection end and the outflow end, and testing the permeability change of the sandstone after grouting according to the step two.
TABLE 1 variation of microcrack permeability under different examples
Initial permeabilityPermeability after grouting
Example 16.82×10-15m26.91×10-17m2
Example 27.21×10-15m215.8×10-17m2
Example 36.45×10-15m231.6×10-17m2

Claims (10)

Translated fromChinese
1.一种CO2矿化纳米硅胶注浆材料阻断岩层微裂隙渗透的方法,其特征在于包括如下步骤:1. a method of CO2 mineralized nano silica gel grouting material blocking rock formation micro-crack infiltration is characterized in that comprising the steps:步骤一、对待施工的矿区的含水层水进行取样测试,确定含水层水中的钠离子、钙离子、碳酸氢根离子、镁离子和硫酸根离子的浓度;Step 1: Sampling and testing the aquifer water in the mining area to be constructed to determine the concentrations of sodium ions, calcium ions, bicarbonate ions, magnesium ions and sulfate ions in the aquifer water;步骤二、通过采高、采深、充填率、充填率对覆岩裂隙发育的影响程度系数、煤层倾角和工作面长度等参数,计算确定采矿活动扰动围岩导致的上行微裂隙发育高度和下行微裂隙发育深度,进而确定注浆钻孔的角度、深度、孔径、间排距等施工参数;Step 2: Calculate and determine the development height and descending height of upward micro-fissures caused by the disturbance of surrounding rock by mining activities through parameters such as mining height, mining depth, filling rate, and the influence degree coefficient of filling rate on the development of overlying fissures, coal seam dip angle and working face length. The development depth of micro-cracks, and then determine the construction parameters such as the angle, depth, aperture, and spacing of grouting drilling holes;步骤三、根据工作面采深及空隙压力梯度计算最大孔隙压力;Step 3: Calculate the maximum pore pressure according to the mining depth of the working face and the pore pressure gradient;步骤四、将硅基材料与水按质量比1:100~50:100进行混合,充分搅拌后得到基液;Step 4: Mix the silicon-based material with water in a mass ratio of 1:100 to 50:100, and fully stir to obtain a base liquid;步骤五、将纳米颗粒与基液按质量比1:1000~100:1000进行混合,并利用超声分散和搅拌后得到纳米流体;Step 5, mixing the nanoparticles with the base liquid in a mass ratio of 1:1000-100:1000, and using ultrasonic dispersion and stirring to obtain the nanofluid;步骤六、根据步骤二确定的施工参数施工注浆钻孔(14),利用矿化纳米硅胶注浆系统将纳米流体(3)通过注浆管道(6)与顶底板注浆钻孔(14)分别注入上行微裂隙发育区(10)和下行微裂隙发育区(12)中,注入压力不超过最大孔隙压力,压力不再变化时停止注入;Step 6: constructing the grouting hole (14) according to the construction parameters determined in step 2, and using the mineralized nano silica gel grouting system to pass the nanofluid (3) through the grouting pipe (6) and the roof and floor grouting hole (14) Inject into the upward micro-fracture development zone (10) and the downward micro-fracture development zone (12) respectively, the injection pressure does not exceed the maximum pore pressure, and the injection is stopped when the pressure no longer changes;步骤七、利用矿化纳米硅胶注浆系统通过顶底板的注浆钻孔(14)将CO2气体分别注入上行微裂隙发育区(10)和下行微裂隙发育区(12)中,注入压力不超过最大孔隙压力,压力不再变化时停止注入,由于CO2气体良好的渗透性,使CO2气体与微裂隙发育区内的细微裂隙中注入的纳米流体(3)反应,形成原位纳米硅胶,从而封闭微裂隙。Step 7. Use the mineralized nano-silica grouting system to inject CO2 gas into the upward micro-fracture development area (10) and the downward micro-fracture development area (12) respectively through the grouting hole (14) on the roof and floor, and the injection pressure is not high. When the maximum pore pressure is exceeded, the injection is stopped when the pressure no longer changes. Due to the good permeability ofCO2 gas, theCO2 gas reacts with the nanofluid (3) injected into the microcracks in the microcrack development area to form in-situ nano-silica gel , thereby closing the microcracks.2.根据权利要求1所述的CO2矿化纳米硅胶注浆材料阻断岩层微裂隙渗透的方法,其特征在于所述矿化纳米硅胶注浆系统包括:CO2罐(2)和纳米流体罐(3),其中纳米流体罐(3)连接有提供注浆动力的高压泵站(1),CO2罐(2)和纳米流体罐(3)的出口通过三通切换阀连接有注浆管路(6),注浆管路(6)上包括压力表和流量表的监测装置(5)。2. The method for CO2 mineralized nano silica gel grouting material to block the penetration of rock formation micro-cracks according to claim 1, wherein the mineralized nano silica gel grouting system comprises: a CO2 tank (2) and a nanofluid A tank (3), wherein the nanofluidic tank (3) is connected with a high-pressure pump station (1) that provides grouting power, and the outlet of theCO2 tank (2) and the nanofluidic tank (3) is connected with a grouting through a three-way switching valve The pipeline (6) and the grouting pipeline (6) include a monitoring device (5) for a pressure gauge and a flow meter.3.根据权利要求1所述的CO2矿化纳米硅胶注浆材料阻断岩层微裂隙渗透的方法,其特征在于步骤一中,对矿区含水层水进行取样测试,纳米硅胶适用的含水层水中钠离子浓度为0~5000μg/L、钙离子浓度为0~1000μg/L、碳酸氢根离子浓度为0~2000μg/L、镁离子浓度为0~1000μg/L、硫酸根离子浓度为0~2000μg/L。3. The method for CO2 mineralized nano silica gel grouting material according to claim 1 to block the penetration of rock formation micro-fissures, it is characterized in that in step 1, sampling test is carried out to the water in the aquifer of the mining area, and the water in the aquifer suitable for nano silica gel is Sodium ion concentration is 0-5000μg/L, calcium ion concentration is 0-1000μg/L, bicarbonate ion concentration is 0-2000μg/L, magnesium ion concentration is 0-1000μg/L, sulfate ion concentration is 0-2000μg /L.4.根据权利要求1所述的CO2矿化纳米硅胶注浆材料阻断岩层微裂隙渗透的方法,其特征在于步骤二中,采矿活动扰动围岩导致的上行微裂隙发育高度为:4. CO according to claim1 mineralized nano silica gel grouting material blocks the method for the penetration of rock formation micro-cracks, it is characterized in that in step 2, the development height of upward micro-cracks caused by mining activity disturbing surrounding rock is:
Figure FDA0003238443340000011
Figure FDA0003238443340000011
式中,Hf为上行微裂隙发育高度,m;M为采高,m;
Figure FDA0003238443340000021
为充填率;λ为充填率对覆岩裂隙发育的影响程度系数。
In the formula, Hf is the development height of upward micro-fractures, m; M is the mining height, m;
Figure FDA0003238443340000021
is the filling rate; λ is the influence degree coefficient of the filling rate on the development of overlying fissures.
5.根据权利要求1所述的CO2矿化纳米硅胶注浆材料阻断岩层微裂隙渗透的方法,其特征在于步骤二中,采矿活动扰动围岩导致的下行微裂隙发育深度为:5. CO according to claim1 mineralized nano silica gel grouting material blocking the method of rock formation micro-fissure infiltration, it is characterized in that in step 2, the descending micro-fissure development depth that mining activity disturbs surrounding rock and causes is:h=0.0187H+0.2278α+3.4858M+0.0435L-8.2539h=0.0187H+0.2278α+3.4858M+0.0435L-8.2539式中,h为下行微裂隙发育深度,m;H为采深,m;α为煤层倾角,°;L为工作面长度,m;M为采高,m。In the formula, h is the development depth of descending micro-fractures, m; H is the mining depth, m; α is the dip angle of the coal seam, °; L is the length of the working face, m; M is the mining height, m.6.根据权利要求1所述的CO2矿化纳米硅胶注浆材料阻断岩层微裂隙渗透的方法,其特征在于步骤四中,基液的pH值为8~14,初始黏度为2~80mPa.s。6 . The method for blocking the infiltration of rock formation micro-cracks by CO2 mineralized nano-silica grouting material according to claim 1 , wherein in step 4, the pH value of the base liquid is 8-14, and the initial viscosity is 2-80 mPa .s.7.根据权利要求1所述的CO2矿化纳米硅胶注浆材料阻断岩层微裂隙渗透的方法,其特征在于步骤五中,纳米颗粒粒径为5~500nm,纳米颗粒为非金属纳米颗粒、半金属颗粒或者磁性纳米颗粒,采用两步法制备纳米流体,其中搅拌时长为5~120分钟,搅拌速为100~2000r/min,大于20kHz超声分散时长为5~120分钟。7 . The method for blocking the penetration of rock formation micro-cracks by CO2 mineralized nano-silica grouting material according to claim 1 , wherein in step 5, the particle size of the nanoparticles is 5-500 nm, and the nanoparticles are non-metallic nanoparticles , semi-metallic particles or magnetic nanoparticles, the nanofluid is prepared by a two-step method, wherein the stirring time is 5-120 minutes, the stirring speed is 100-2000 r/min, and the ultrasonic dispersion time greater than 20 kHz is 5-120 minutes.8.根据权利要求1所述的CO2矿化纳米硅胶注浆材料阻断岩层微裂隙渗透的方法,其特征在于步骤六中,为确保注射压力不会对微裂隙岩体造成二次压裂,纳米流体注入量为0.1~500m3/d。8. The method for blocking the infiltration of rock formation micro-cracks by CO2 mineralized nano-silica grouting material according to claim 1, characterized in that in step 6, in order to ensure that the injection pressure will not cause secondary fracturing to the micro-crack rock mass , the injection amount of nanofluid is 0.1~500m3 /d.9.根据权利要求1所述的CO2矿化纳米硅胶注浆材料阻断岩层微裂隙渗透的方法,其特征在于步骤七中,CO2气体流量为0.1~100L/min,形成的纳米硅胶黏度为100~5000mPa.s,pH值为4~12。9. The method forCO2 mineralized nano silica gel grouting material according to claim 1 to block the penetration of rock formation micro-cracks, wherein in step 7, theCO2 gas flow is 0.1 to 100L/min, and the viscosity of the formed nano silica gel It is 100~5000mPa.s, and the pH value is 4~12.10.一种使用权利要求2所述CO2矿化纳米硅胶注浆材料阻断岩层微裂隙渗透的方法的检测方法,其特征在于:它包括用以夹持被测岩心且密封的的岩心夹持器(16),岩心夹持器(16)一侧设有注入端(15),另一侧设有输出端(17),其中注入端(15)通过管路与矿化纳米硅胶注浆系统的注浆管路(6)连接,输出端(17)通过管路连接有分馏塔(18),与分馏塔(18)连接的管路上同样设有阀门(4)和监测装置(5);10. A detection method for a method for blocking the penetration of rock formation micro-cracks by using theCO2 mineralized nano-silica grouting material according to claim 2, characterized in that: it comprises a core clamp for clamping the tested core and sealing it Holder (16), one side of the core holder (16) is provided with an injection end (15), and the other side is provided with an output end (17), wherein the injection end (15) is grouted with the mineralized nano silica gel through a pipeline The grouting pipeline (6) of the system is connected, the output end (17) is connected with a fractionation tower (18) through the pipeline, and the pipeline connected with the fractionation tower (18) is also provided with a valve (4) and a monitoring device (5) ;具体步骤如下:Specific steps are as follows:S1首先制备标准砂岩试件进行测试,采用单轴压缩砂岩试件的方式在砂岩试件中制造微裂隙,砂岩试件中存在用于渗透性测试的微裂隙和多孔介质孔隙;S1 first prepare standard sandstone specimens for testing, and use uniaxial compression sandstone specimens to create micro-cracks in the sandstone specimens. There are micro-cracks and porous media pores in the sandstone specimens for permeability testing;S2将砂岩试件安装在岩心夹持器(16)中,利用监测装置(5)显示注入液体和气体时的压力变化,通过两端压力差测试注浆前的初始渗透率,通过进阶注射流量(小于0.5,大于1.5mL/min)测试初始渗透率,过程中每个进阶注射流量进行到没有压力波动为止,渗透率通过下式计算:S2 install the sandstone specimen in the core holder (16), use the monitoring device (5) to display the pressure change when injecting liquid and gas, test the initial permeability before grouting by the pressure difference between the two ends, and use the advanced injection The flow rate (less than 0.5, greater than 1.5mL/min) is used to test the initial permeability. During the process, each advanced injection flow is carried out until there is no pressure fluctuation. The permeability is calculated by the following formula:
Figure FDA0003238443340000031
Figure FDA0003238443340000031
式中:Q为流量,m3/s;Kabs为渗透率,m2;μ为溶液粘度,Ns/m2;A为横切面积,m2;ΔP为压力差,Pa;L为长度,m。Where: Q is the flow rate, m3 /s; Kabs is the permeability, m2 ; μ is the solution viscosity, Ns/m2 ; A is the cross-sectional area, m2 ; ΔP is the pressure difference, Pa; L is the length , m.S3从夹持器(16)取出砂岩试件,高温干燥,再将干燥后的砂岩试件冷却至常温为注浆准备;S3 take out the sandstone specimen from the holder (16), dry it at high temperature, and cool the dried sandstone specimen to normal temperature to prepare for grouting;S4将硅基材料与水按质量比10:100制备基液,再将纳米颗粒分散于基液制备纳米流体,然后将纳米流体注入岩心夹持器中的砂岩试件至饱和,当分馏塔(18)出现气泡则判断砂岩试件已经注入饱和;S4 prepare the base fluid by mass ratio of silicon-based material and water 10:100, then disperse the nanoparticles in the base fluid to prepare nanofluid, and then inject the nanofluid into the sandstone specimen in the core holder to saturation, when the fractionation tower ( 18) When bubbles appear, it is judged that the sandstone specimen has been saturated;S5关闭流出端(17),然后通过注入端注入CO2气体,注入CO2时将流量控制转变为压力控制,在纳米流体饱和的砂岩试件中注入CO2至预期压力时,停止CO2注射,关闭注入端(15),观测注入的CO2与岩心内纳米流体反应,同时通过两端的监测装置(5)观察压力变化,当两端监测装置(5)的压力平衡则表示CO2与岩心内纳米流体反应结束形成纳米硅胶;S5 closes the outflow end (17), and then injectsCO2 gas through the injection end. When injectingCO2 , the flow control is changed to pressure control. WhenCO2 is injected to the expected pressure in the nanofluid-saturated sandstone specimen, theCO2 injection is stopped. , close the injection end (15), observe the reaction of the injectedCO2 with the nanofluid in the core, and observe the pressure changes through the monitoring devices (5) at both ends. The inner nanofluid reaction ends to form nano silica gel;S6在确定纳米硅胶形成后,打开注入端(15)和流出端(17),重复步骤S2检测内部充填纳米硅胶的砂岩试件的渗透率变化。In S6, after determining that the nano silica gel is formed, the injection end (15) and the outflow end (17) are opened, and step S2 is repeated to detect the permeability change of the sandstone specimen filled with the nano silica gel.
CN202111009703.7A2021-08-312021-08-31 Method for blocking the penetration of micro-cracks in rock formation by CO2 mineralized nano-silica grouting materialActiveCN113653510B (en)

Priority Applications (1)

Application NumberPriority DateFiling DateTitle
CN202111009703.7ACN113653510B (en)2021-08-312021-08-31 Method for blocking the penetration of micro-cracks in rock formation by CO2 mineralized nano-silica grouting material

Applications Claiming Priority (1)

Application NumberPriority DateFiling DateTitle
CN202111009703.7ACN113653510B (en)2021-08-312021-08-31 Method for blocking the penetration of micro-cracks in rock formation by CO2 mineralized nano-silica grouting material

Publications (2)

Publication NumberPublication Date
CN113653510Atrue CN113653510A (en)2021-11-16
CN113653510B CN113653510B (en)2022-04-22

Family

ID=78482479

Family Applications (1)

Application NumberTitlePriority DateFiling Date
CN202111009703.7AActiveCN113653510B (en)2021-08-312021-08-31 Method for blocking the penetration of micro-cracks in rock formation by CO2 mineralized nano-silica grouting material

Country Status (1)

CountryLink
CN (1)CN113653510B (en)

Cited By (4)

* Cited by examiner, † Cited by third party
Publication numberPriority datePublication dateAssigneeTitle
CN115753486A (en)*2022-10-272023-03-07中国石油大学(北京)Oil content evaluation system for shale oil reservoir
CN116625770A (en)*2023-05-262023-08-22中国矿业大学(北京) Research device and method for micro-cracks in coal mining deep subsidence area
CN119354656A (en)*2024-12-242025-01-24中国矿业大学 A calcium-based material mineralization pulping and visual grouting experimental system and method
CN120193877A (en)*2025-04-182025-06-24山西能源学院 Device and method for repairing filling bodies by inducing microbial nanomaterials based on acoustic-thermal effect

Citations (5)

* Cited by examiner, † Cited by third party
Publication numberPriority datePublication dateAssigneeTitle
CN105041344A (en)*2015-06-302015-11-11中国矿业大学High-pressure gas seam-expanding, grouting and water-plugging method for precutting trough of microfissure surrounding rock
CN107044289A (en)*2017-06-222017-08-15中国矿业大学A kind of water damage prevention and controls of bored grouting closure overlying strata water producing fractures main channel
CN108894727A (en)*2018-07-052018-11-27中国矿业大学The water-retaining method of ground level directional drilling slip casting closure overlying strata water producing fractures main channel
CN110761814A (en)*2019-10-302020-02-07中煤科工集团西安研究院有限公司 Roof water control method based on pre-splitting and grouting modification
CN112392431A (en)*2019-08-192021-02-23陈存强Technology for preventing and treating water damage of coal seam roof by dynamic pressure-maintaining grouting and plugging of horizontal long drill hole in mining fracture zone

Patent Citations (5)

* Cited by examiner, † Cited by third party
Publication numberPriority datePublication dateAssigneeTitle
CN105041344A (en)*2015-06-302015-11-11中国矿业大学High-pressure gas seam-expanding, grouting and water-plugging method for precutting trough of microfissure surrounding rock
CN107044289A (en)*2017-06-222017-08-15中国矿业大学A kind of water damage prevention and controls of bored grouting closure overlying strata water producing fractures main channel
CN108894727A (en)*2018-07-052018-11-27中国矿业大学The water-retaining method of ground level directional drilling slip casting closure overlying strata water producing fractures main channel
CN112392431A (en)*2019-08-192021-02-23陈存强Technology for preventing and treating water damage of coal seam roof by dynamic pressure-maintaining grouting and plugging of horizontal long drill hole in mining fracture zone
CN110761814A (en)*2019-10-302020-02-07中煤科工集团西安研究院有限公司 Roof water control method based on pre-splitting and grouting modification

Cited By (6)

* Cited by examiner, † Cited by third party
Publication numberPriority datePublication dateAssigneeTitle
CN115753486A (en)*2022-10-272023-03-07中国石油大学(北京)Oil content evaluation system for shale oil reservoir
CN116625770A (en)*2023-05-262023-08-22中国矿业大学(北京) Research device and method for micro-cracks in coal mining deep subsidence area
CN116625770B (en)*2023-05-262023-11-28中国矿业大学(北京)Device and method for researching micro-cracks in deep coal mining subsidence area
CN119354656A (en)*2024-12-242025-01-24中国矿业大学 A calcium-based material mineralization pulping and visual grouting experimental system and method
CN120193877A (en)*2025-04-182025-06-24山西能源学院 Device and method for repairing filling bodies by inducing microbial nanomaterials based on acoustic-thermal effect
CN120193877B (en)*2025-04-182025-08-22山西能源学院 Device and method for repairing fillings by inducing microbial nanomaterials based on acoustic-thermal effect

Also Published As

Publication numberPublication date
CN113653510B (en)2022-04-22

Similar Documents

PublicationPublication DateTitle
CN113653510A (en) Method for blocking the penetration of micro-cracks in rock formation by CO2 mineralized nano-silica grouting material
Wei et al.Enhanced coalbed permeability and methane recovery via hydraulic slotting combined with liquid CO2 injection
CN103291325B (en)The preventing control method of Coal-mining Above Confined-water floor strata gushing water
CN113622993B (en)Mineralization ecological protective coal mining method utilizing CO2 waste gas
CN108444888A (en) A visual test device and test method for seepage grouting of broken coal and rock mass
CN107525541B (en)Low-permeability coal-rock mass splitting permeation coupling grouting test device and method
CN102937011B (en)Mash gas pumping drilling group regional crack field secondary grouting plugging device and method
CN110359897A (en)A kind of fracture-type reservoir cracks seam with boring leak-proof leak-stopping method in advance
CN110359898A (en)A kind of fracture-type reservoir cracks seam plugging material selection method in advance
CN104563958A (en)Hole sealing device
Sun et al.Experimental study on the fracture behavior of sandstone after ScCO2–water–rock interaction
CN101126309B (en) Horizontal fissure wave solution mining method
CN104818957A (en)Method for improving cement quality of cement-formation interfaces of deep wells
CN114198050A (en) A method for determining the parameters of grouting and grouting of drainage holes and the corresponding sealing method
US11111181B2 (en)Cement with reduced permeability
CN207863920U (en)Multistage pressure-bearing type osmosis type hole sealing device
CN115637953B (en)Deep coal bed CO 2 Hole-blocking permeability-increasing strong-moistening system for curing solution and application method
CN109211754B (en)Coal rock permeability measuring device and method
CN209247578U (en) A model test device for polymer fracture grouting under pressure and dynamic water conditions
CN208267898U (en)A kind of anti-reflection system of " three is soft " low-permeable high gas layer pressure release
CN105134123A (en)Differential water shut-off method by means of engineering expanding agent
CN213360120U (en)Transition structure for adsorbing gas overflowing from tunnel face
CN210322666U (en)Grouting slurry water separation experimental device
CN119900515B (en)Methane displacement method by combining high-temperature vapor with liquid carbon dioxide
Xu et al.Investigations on air pressure and air losses in compressed air tunneling through saturated clayey soil

Legal Events

DateCodeTitleDescription
PB01Publication
PB01Publication
SE01Entry into force of request for substantive examination
SE01Entry into force of request for substantive examination
GR01Patent grant
GR01Patent grant

[8]ページ先頭

©2009-2025 Movatter.jp