Movatterモバイル変換


[0]ホーム

URL:


CN113645021A - Information hiding method and system based on elliptic curve cryptography - Google Patents

Information hiding method and system based on elliptic curve cryptography
Download PDF

Info

Publication number
CN113645021A
CN113645021ACN202110801053.3ACN202110801053ACN113645021ACN 113645021 ACN113645021 ACN 113645021ACN 202110801053 ACN202110801053 ACN 202110801053ACN 113645021 ACN113645021 ACN 113645021A
Authority
CN
China
Prior art keywords
elliptic curve
chaotic
sequence
information hiding
key
Prior art date
Legal status (The legal status is an assumption and is not a legal conclusion. Google has not performed a legal analysis and makes no representation as to the accuracy of the status listed.)
Pending
Application number
CN202110801053.3A
Other languages
Chinese (zh)
Inventor
夏铁成
刘泽宇
Current Assignee (The listed assignees may be inaccurate. Google has not performed a legal analysis and makes no representation or warranty as to the accuracy of the list.)
University of Shanghai for Science and Technology
Original Assignee
University of Shanghai for Science and Technology
Priority date (The priority date is an assumption and is not a legal conclusion. Google has not performed a legal analysis and makes no representation as to the accuracy of the date listed.)
Filing date
Publication date
Application filed by University of Shanghai for Science and TechnologyfiledCriticalUniversity of Shanghai for Science and Technology
Priority to CN202110801053.3ApriorityCriticalpatent/CN113645021A/en
Publication of CN113645021ApublicationCriticalpatent/CN113645021A/en
Pendinglegal-statusCriticalCurrent

Links

Images

Classifications

Landscapes

Abstract

The invention discloses an information hiding method and system based on elliptic curve cryptography. The chaos sequence is utilized to be random, the plain text picture is scrambled, then the chaos sequence and the pixel value are utilized to carry out XOR operation to encrypt the picture pixel, and therefore the effects of scrambling and diffusion are achieved. The invention combines the elliptic curve public key cryptography with the secret key encryption based on fractional order chaotic mapping, thereby improving the algorithm complexity, increasing the key space and having better anti-attack capability.

Description

Information hiding method and system based on elliptic curve cryptography
Technical Field
The invention belongs to the technical field of information hiding, and relates to an information hiding technology based on elliptic curve cryptography, which is applied to the field of secret communication.
Background
The encryption technology based on the elliptic curve is proposed at the end of the 80 s of the 20 th century, and then a great deal of literature reports exist, and various information hiding technologies based on the elliptic curve and combinations of different encryption methods based on the elliptic curve are selected.
Pictures are one of the ways in which people transmit information in daily life, and especially with the rapid development of Internet technology (Internet), the use of various communication technologies and multimedia technologies, pictures increasingly become the media for people to transmit information.
The chaotic signal has the characteristics of being bounded, aperiodic, sensitive to initial values and the like, and is a technical means very suitable for image encryption.
Recently, Liu's hybrid and Xie Tie report that chaos does exist in two-dimensional chaotic mapping TFCDM, and the obtained discrete chaotic signal has the advantages of strong randomness, high complexity and the like, but an information hiding method based on elliptic curve cryptography is not provided, and the encryption purpose is not yet achieved.
Disclosure of Invention
In order to solve the problems of the prior art, the invention aims to overcome the defects of the prior art and provide an information hiding method and system based on elliptic curve cryptography. Compared with the traditional chaos mapping picture encryption mode, the method has the advantages of better encryption effect and higher safety.
In order to achieve the purpose of the invention, the invention adopts the following technical scheme:
an information hiding method based on elliptic curve cryptography comprises the following steps:
a. the key is generated using a cryptosystem based on elliptic curves over a finite field as follows:
selecting a definition in prime number field FpUpper elliptic curve:
E:y2≡x3+ax+b(mod p)
forming a basic elliptic curve of an MVECC encryption system;
b. selecting a base point alpha and a private key K of a communication party A and a communication party BAAnd KB
Calculating PA=KA·α,PB=KB·α,PAAnd PBPublic keys of A and B, respectively, andcomputing a cryptographic secret (c)1,c2)=KB·PA=KA·PB
c. Taking an initial secret key v; then get
Figure BDA0003164536510000021
Wherein
Figure BDA0003164536510000022
To round down;
ν′01=c1·ν01mod p
ν′02=c2·ν02mod p
the ciphertext is ((c)1,c2),ν′01,ν′02) Thereby to make
Figure BDA0003164536510000023
Namely the encrypted secret key v';
d. after generating a new secret key according to the steps, encrypting the picture by utilizing chaotic mapping (#),
Figure BDA0003164536510000024
wherein n represents iteration times, x (n) represents an element value of the chaotic sequence, y (n) represents an element value of the chaotic sequence, x (0) represents an initial value, y (0) represents an initial value, j represents a summed element value index of the chaotic sequence, a 'represents an encrypted parameter, b' represents an encrypted parameter, v is an initial key, and Γ (v) represents a gamma function; generating a group of chaotic sequences by using chaotic mapping (#), rearranging pixels of a digital image by using a bubble sorting algorithm, and scrambling pixel values of a plaintext image;
and then carrying out XOR operation by using the pixel value and the chaotic sequence, thereby realizing the encryption of the pixel value.
Preferably, in step a, the prime number p is 100003; the coefficient a is 1; the coefficient b is 6.
Preferably, in saidIn the step B, selecting a private key K of alpha ═ (2,4) and A and B of two communication partiesAAnd KB(ii) a Wherein, KA=9768,KB=1024;
Computing private keys P of A and B, respectivelyA=KA·α=(69813,58395),PB=KBα ═ 77633, 41271, and the encryption key (c) is recalculated1,c2)=KB·PA=KA·PB=(56454,22881)。
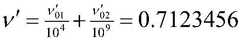
Preferably, in the step c, if the initial key v is 6.608614792; then the process of the first step is carried out,
ν′01=c1·x1 mod p=7123mod p
ν′02=c2·x2 mod p=45600mod p
the ciphertext is ((77633, 41271), 7123, 45600), such that
Figure BDA0003164536510000025
Is the encrypted key v.
Preferably, in said step d, a 'is 1.4 and b' is 4.
Preferably, in the step d, generating a set of chaotic sequences by using chaotic map (, includes:
d-1. making x (1) equal to the initial value x0Iterating the formula (x) MN-1 times, where M and N are the length and width of the original image V, respectively, thus producing a one-dimensional real-valued chaotic sequence x (i '), i' 1, 2.. said., MN;
d-2, reordering x (k) by using a bubble sorting method, thus obtaining x' (k), then recording the index change of x (k), and storing as z (k);
d-3, changing the original M multiplied by N picture V into a sequence V (k) of 1 multiplied by MN, rearranging the sequence V (k) and the sequence x (k) according to z (k) to obtain a sequence V' (k);
d-4. the sequence V ' (k) is changed into m × n pictures and is marked as V ', wherein V ' is the obtained encrypted picture.
Preferably, in the step a, the plaintext picture is subjected to data blocking and then encrypted; in the step d, after the encryption of the pixel values is completed, data merging is performed, and ciphertext transmission is performed.
The invention discloses an information hiding system based on elliptic curve cryptography, which is implemented to scramble pixel values of a plaintext picture and encrypt the pixel values.
Compared with the prior art, the invention has the following obvious and prominent substantive characteristics and remarkable advantages:
1. the method comprises the steps of firstly generating a group of chaotic sequences by utilizing chaotic mapping (#), realizing rearrangement of pixels of a digital image by utilizing a bubble sorting algorithm, realizing scrambling of pixel values, and secondly carrying out exclusive or operation by utilizing the pixel values and the chaotic sequences to realize encryption of the pixel values;
2. the image encryption algorithm has a more complex algorithm structure and a large secret key space, so that the encryption is safer;
3. the method is easy to realize, the data volume is lower, the encryption cost is low, and the image quality after decryption is high.
Drawings
Fig. 1 is a flow chart of an encryption algorithm in accordance with a preferred embodiment of the present invention.
Fig. 2 is a block diagram of a cryptographic algorithm core module S-box of the preferred embodiment of the present invention.
Fig. 3 is a diagram of the effect after the picture is encrypted according to the preferred embodiment of the invention. Fig. 3(a) shows the original image, fig. 3(b) shows the encrypted image, and fig. 3(c) shows the decrypted image.
Fig. 4 is a comparison graph of the correlation between pictures before and after encryption according to the preferred embodiment of the present invention. Fig. 4(a) shows an original image, and fig. 4(b) shows an encrypted picture.
Fig. 5 is a comparison graph of the curves before and after encryption and after decryption according to the preferred embodiment of the present invention. Fig. 5(a) shows the original image, fig. 5(b) shows the encrypted image, and fig. 5(c) shows the decrypted image.
Detailed Description
The above-described scheme is further illustrated below with reference to specific embodiments, which are detailed below:
the first embodiment is as follows:
in this embodiment, referring to fig. 1, an information hiding method based on elliptic curve cryptography includes the following steps:
a. the key is generated using a cryptosystem based on elliptic curves over a finite field as follows:
selecting a definition in prime number field FpUpper elliptic curve:
E:y2≡x3+ax+b(mod p)
forming a basic elliptic curve of an MVECC encryption system;
b. selecting a base point alpha and a private key K of a communication party A and a communication party BAAnd KB
Calculating PA=KA·α,PB=KB·α,PAAnd PBPublic keys of A and B, respectively, and then calculating an encryption key (c)1,c2)=KB·PA=KA·PB
c. Taking an initial secret key v; then get
Figure BDA0003164536510000041
Wherein
Figure BDA0003164536510000042
To round down;
ν′01=c1·ν01 mod p
ν′02=c2·ν02 mod p
the ciphertext is ((c)1,c2),ν′01,ν′02) Thereby to make
Figure BDA0003164536510000043
Namely the encrypted secret key v';
d. after generating a new secret key according to the steps, encrypting the picture by utilizing chaotic mapping (#),
Figure BDA0003164536510000044
wherein n represents iteration times, x (n) represents an element value of the chaotic sequence, y (n) represents an element value of the chaotic sequence, x (0) represents an initial value, y (0) represents an initial value, j represents a summed element value index of the chaotic sequence, a 'represents an encrypted parameter, b' represents an encrypted parameter, v is an initial key, and Γ (v) represents a gamma function; generating a group of chaotic sequences by using chaotic mapping (#), rearranging pixels of a digital image by using a bubble sorting algorithm, and scrambling pixel values of a plaintext image;
and then carrying out XOR operation by using the pixel value and the chaotic sequence, thereby realizing the encryption of the pixel value.
In the embodiment, the information hiding method based on elliptic curve cryptography adopts an image encryption method, and the method firstly encrypts a secret key by using an elliptic curve cryptosystem and then scrambles an image by using a discrete chaotic signal so as to achieve the purpose of encryption. Compared with the traditional chaos mapping picture encryption mode, the method has the advantages of better encryption effect and higher safety.
Example two:
this embodiment is substantially the same as the first embodiment, and is characterized in that:
in this embodiment, referring to fig. 1-2, an information hiding method based on elliptic curve cryptography is characterized by comprising the following steps:
a. the key is generated using a cryptosystem based on elliptic curves over a finite field as follows:
selecting a definition in prime number field FpUpper elliptic curve:
E:y2≡x3+ax+b(mod p)
the prime number p is 100003; the coefficient a is 1; the coefficient b is 6; forming a basic elliptic curve of an MVECC encryption system;
b. selecting a base point alpha and a private key K of a communication party A and a communication party BAAnd KB
Calculating PA=KA·α,PB=KB·α,PAAnd PBPublic keys of A and B, respectively, and then calculating an encryption key (c)1,c2)=KB·PA=KA·PB(ii) a In this embodiment, a private key K of both communication parties a and B is selected as α ═ (2,4)AAnd KB(ii) a Wherein, KA=9768,KB1024; computing private keys P of A and B, respectivelyA=KA·α=(69813,58395),PB=KBα ═ 77633, 41271, and the encryption key (c) is recalculated1,c2)=KB·PA=KA·PB=(56454,22881);
c. Taking an initial key v as 6.608614792; then get
Figure BDA0003164536510000051
Wherein
Figure BDA0003164536510000052
To round down;
ν′01=c1·x1 mod p=7123mod p
ν′02=c2·x2 mod p=45600mod p
the ciphertext is ((77633, 41271), 7123, 45600), such that
Figure BDA0003164536510000053
Namely the encrypted secret key v;
d. after generating a new secret key according to the steps, encrypting the picture by utilizing chaotic mapping (#),
Figure BDA0003164536510000054
wherein a 'is 1.4 and b' is 4; generating a group of chaotic sequences by using chaotic mapping (#), rearranging pixels of a digital image by using a bubble sorting algorithm, and scrambling pixel values of a plaintext image;
and then carrying out XOR operation by using the pixel value and the chaotic sequence, thereby realizing the encryption of the pixel value.
Generating a set of chaotic sequences using chaotic maps (, comprising:
d-1. making x (1) equal to the initial value x0Iterating the formula (x) MN-1 times, where M and N are the length and width of the original image V, respectively, thus producing a one-dimensional real-valued chaotic sequence x (i '), i' 1, 2.. said., MN;
d-2, reordering x (k) by using a bubble sorting method, thus obtaining x' (k), then recording the index change of x (k), and storing as z (k);
d-3, changing the original M multiplied by N picture V into a sequence V (k) of 1 multiplied by MN, rearranging the sequence V (k) and the sequence x (k) according to z (k) to obtain a sequence V' (k);
d-4. the sequence V ' (k) is changed into m × n pictures and is marked as V ', wherein V ' is the obtained encrypted picture. And then carrying out XOR operation on the chaotic sequence and the image pixel value to achieve the effect of encrypting the picture.
In the information hiding method based on elliptic curve cryptography according to the embodiment, in the step a, data blocking is performed on a plaintext picture, and then encryption is performed; in the step d, after the encryption of the pixel values is completed, data merging is performed, and ciphertext transmission is performed.
Referring to fig. 2, in the image encryption process, the chaotic pseudo random sequence generator based on the differential equation is used to generate a chaotic sequence, and data rearrangement is used to realize scrambling; in this embodiment, an S-box is constructed by using a chaos pseudo-random sequence generator based on a difference equation, and data diffusion is performed according to different pixel value iterations for different times. Referring to fig. 3, fig. 3 is a diagram of the effect after the picture is encrypted according to the embodiment. Fig. 3(a) shows the original image, fig. 3(b) shows the encrypted image, and fig. 3(c) shows the decrypted image. The image encryption algorithm related to the method has a more complex algorithm structure and a large secret key space, so that the encryption is safer; the method is easy to realize, the data volume is lower, the encryption cost is low, and the image quality after decryption is high. Fig. 4 is a correlation comparison chart of the picture before and after encryption in the present embodiment. Fig. 4(a) shows an original image, and fig. 4(b) shows an encrypted picture. The method comprises the steps of firstly generating a group of chaotic sequences by utilizing chaotic mapping (#), realizing rearrangement of digital image pixels by utilizing a bubble sorting algorithm, scrambling the pixel values, and secondly carrying out XOR operation on the pixel values and the chaotic sequences to realize encryption of the pixel values. Fig. 5 is a graph comparing the curves before and after encryption and after decryption in this embodiment. Fig. 5(a) shows the original image, fig. 5(b) shows the encrypted image, and fig. 5(c) shows the decrypted image. The method of the embodiment has high image quality after decryption.
Example three:
this embodiment is substantially the same as the first embodiment, and is characterized in that:
in this embodiment, referring to fig. 1-2, an information hiding system based on elliptic curve cryptography implements the information hiding method based on elliptic curve cryptography described in the above embodiments, and scrambles pixel values of a plaintext picture and encrypts the pixel values.
To sum up, in the above embodiment, the information hiding technique based on elliptic curve cryptography adopts an elliptic curve based on a finite field as a substrate, scrambles a secret key, and generates a chaotic sequence by using fractional order chaotic mapping. The chaos sequence is utilized to be random, the plain text picture is scrambled, then the chaos sequence and the pixel value are utilized to carry out XOR operation to encrypt the picture pixel, and therefore the effects of scrambling and diffusion are achieved. According to the embodiment, the elliptic curve public key cryptography and the secret key encryption based on fractional order chaotic mapping are combined, so that the algorithm complexity is improved, the secret key space is increased, and the algorithm has better anti-attack capability.
The embodiments of the present invention have been described with reference to the accompanying drawings, but the present invention is not limited to the embodiments, and various changes and modifications can be made according to the purpose of the invention, and any changes, modifications, substitutions, combinations or simplifications made according to the spirit and principle of the technical solution of the present invention shall be equivalent substitutions, as long as the purpose of the present invention is met, and the present invention shall fall within the protection scope of the present invention without departing from the technical principle and inventive concept of the present invention.

Claims (8)

1. An information hiding method based on elliptic curve cryptography is characterized by comprising the following steps:
a. the key is generated using a cryptosystem based on elliptic curves over a finite field as follows:
selecting a definition in prime number field FpUpper elliptic curve:
E:y2≡x3+ax+b(mod p)
forming a basic elliptic curve of an MVECC encryption system;
b. selecting a base point alpha and a private key K of a communication party A and a communication party BAAnd KB
Calculating PA=KA·α,PB=KB·α,PAAnd PBPublic keys of A and B, respectively, and then calculating an encryption key (c)1,c2)=KB·PA=KA·PB
c. Taking an initial secret key v; then get
Figure FDA0003164536500000013
Wherein
Figure FDA0003164536500000014
To round down;
ν′01=c1·ν01mod p
ν′02=c2·ν02mod p
the ciphertext is ((c)1,c2),ν′01,ν′02) Thereby to make
Figure FDA0003164536500000011
Namely the encrypted secret key v';
d. after generating a new secret key according to the steps, encrypting the picture by utilizing chaotic mapping (#),
Figure FDA0003164536500000012
wherein n represents iteration times, x (n) represents an element value of the chaotic sequence, y (n) represents an element value of the chaotic sequence, x (0) represents an initial value, y (0) represents an initial value, j represents a summed element value index of the chaotic sequence, a 'represents an encrypted parameter, b' represents an encrypted parameter, v is an initial key, and Γ (v) represents a gamma function; generating a group of chaotic sequences by using chaotic mapping (#), rearranging pixels of a digital image by using a bubble sorting algorithm, and scrambling pixel values of a plaintext image;
and then carrying out XOR operation by using the pixel value and the chaotic sequence, thereby realizing the encryption of the pixel value.
2. The elliptic curve cryptography-based information hiding method as claimed in claim 1, wherein: in the step a, the prime number p is 100003; the coefficient a is 1; the coefficient b is 6.
3. The elliptic curve cryptography-based information hiding method as claimed in claim 1, wherein: in the step B, a private key K of alpha ═ (2,4) and the two communication parties a and B is selectedAAnd KB(ii) a Wherein, KA=9768,KB=1024;
Computing private keys P of A and B, respectivelyA=KA·α=(69813,58395),PB=KBα ═ 77633, 41271, and the encryption key (c) is recalculated1,c2)=KB·PA=KA·PB=(56454,22881)。
4. The elliptic curve cryptography-based information hiding method as claimed in claim 1, wherein: in step c, if the initial key v is 6.608614792; then the process of the first step is carried out,
ν′01=c1·x1mod p=7123mod p
ν′02=c2·x2mod p=45600mod p
the ciphertext is ((77633, 41271), 7123, 45600), such that
Figure FDA0003164536500000021
Is the encrypted key v.
5. The elliptic curve cryptography-based information hiding method as claimed in claim 1, wherein: in said step d, a 'is 1.4 and b' is 4.
6. The elliptic curve cryptography-based information hiding method as claimed in claim 1, wherein: in step d, generating a set of chaotic sequences by using chaotic map (, including:
d-1. making x (1) equal to the initial value x0Iterating the formula (x) MN-1 times, where M and N are the length and width of the original image V, respectively, thus producing a one-dimensional real-valued chaotic sequence x (i '), i' 1, 2.. said., MN;
d-2, reordering x (k) by using a bubble sorting method, thus obtaining x' (k), then recording the index change of x (k), and storing as z (k);
d-3, changing the original M multiplied by N picture V into a sequence V (k) of 1 multiplied by MN, rearranging the sequence V (k) and the sequence x (k) according to z (k) to obtain a sequence V' (k);
d-4. the sequence V ' (k) is changed into m × n pictures and is marked as V ', wherein V ' is the obtained encrypted picture.
7. The elliptic curve cryptography-based information hiding method as claimed in claim 1, wherein: in the step a, data blocking is carried out on a plaintext picture, and then encryption is carried out; in the step d, after the encryption of the pixel values is completed, data merging is performed, and ciphertext transmission is performed.
8. An information hiding system based on elliptic curve cryptography is characterized in that: the elliptic curve cryptography-based information hiding method of claim 1 is implemented to scramble pixel values of a plain text picture and encrypt the pixel values.
CN202110801053.3A2021-07-152021-07-15Information hiding method and system based on elliptic curve cryptographyPendingCN113645021A (en)

Priority Applications (1)

Application NumberPriority DateFiling DateTitle
CN202110801053.3ACN113645021A (en)2021-07-152021-07-15Information hiding method and system based on elliptic curve cryptography

Applications Claiming Priority (1)

Application NumberPriority DateFiling DateTitle
CN202110801053.3ACN113645021A (en)2021-07-152021-07-15Information hiding method and system based on elliptic curve cryptography

Publications (1)

Publication NumberPublication Date
CN113645021Atrue CN113645021A (en)2021-11-12

Family

ID=78417459

Family Applications (1)

Application NumberTitlePriority DateFiling Date
CN202110801053.3APendingCN113645021A (en)2021-07-152021-07-15Information hiding method and system based on elliptic curve cryptography

Country Status (1)

CountryLink
CN (1)CN113645021A (en)

Cited By (3)

* Cited by examiner, † Cited by third party
Publication numberPriority datePublication dateAssigneeTitle
CN115146296A (en)*2022-08-042022-10-04杭州电子科技大学 An Image Encryption and Decryption Method Based on Chaos and Elliptic Curve Encryption Algorithm
CN115208550A (en)*2022-07-132022-10-18广东电网有限责任公司Dynamic cross chaotic encryption method and system applied to smart power grid
CN120301714A (en)*2025-06-122025-07-11济南蓝图士智能技术有限公司 Intelligent user data encryption protection method and system

Citations (2)

* Cited by examiner, † Cited by third party
Publication numberPriority datePublication dateAssigneeTitle
WO2004038680A1 (en)*2002-10-262004-05-06The Additional Director (Ipr), Defence Research & Development OrganisationA method of elliptic curve encryption
CN103167213A (en)*2013-02-072013-06-19东北大学 Digital Image Encryption Method Based on Cat Mapping and Hyperchaotic Lorenz System

Patent Citations (2)

* Cited by examiner, † Cited by third party
Publication numberPriority datePublication dateAssigneeTitle
WO2004038680A1 (en)*2002-10-262004-05-06The Additional Director (Ipr), Defence Research & Development OrganisationA method of elliptic curve encryption
CN103167213A (en)*2013-02-072013-06-19东北大学 Digital Image Encryption Method Based on Cat Mapping and Hyperchaotic Lorenz System

Non-Patent Citations (1)

* Cited by examiner, † Cited by third party
Title
刘泽宇: "带有椭圆曲线密码体系的信息隐藏技术算法与实现", 中国博士学位论文全文数据库 信息科技辑, no. 2, 15 February 2019 (2019-02-15), pages 138 - 9*

Cited By (4)

* Cited by examiner, † Cited by third party
Publication numberPriority datePublication dateAssigneeTitle
CN115208550A (en)*2022-07-132022-10-18广东电网有限责任公司Dynamic cross chaotic encryption method and system applied to smart power grid
CN115146296A (en)*2022-08-042022-10-04杭州电子科技大学 An Image Encryption and Decryption Method Based on Chaos and Elliptic Curve Encryption Algorithm
CN115146296B (en)*2022-08-042025-08-19杭州电子科技大学Image encryption and decryption method based on chaos and elliptic curve encryption algorithm
CN120301714A (en)*2025-06-122025-07-11济南蓝图士智能技术有限公司 Intelligent user data encryption protection method and system

Similar Documents

PublicationPublication DateTitle
Mitra et al.A new image encryption approach using combinational permutation techniques
Li et al.Reversible data hiding in encrypted images using cross division and additive homomorphism
Laiphrakpam et al.A robust image encryption scheme based on chaotic system and elliptic curve over finite field
CN112134688B (en) An asymmetric image encryption method based on quantum chaos mapping and SHA-3
CN109241755B (en) Image Encryption Method Based on 3D Scrambling Model and Chaos
CN107659752B (en)Multi-image encryption method based on DNA coding and chaos
CN113645021A (en)Information hiding method and system based on elliptic curve cryptography
CN110535624B (en) A medical image privacy protection method applied to DICOM format
CN110958108B (en) An Asymmetric Image Encryption Method Based on RSA and Fractional Chaos System
CN111600661A (en) Three-dimensional encrypted OFDM optical system based on real-time update chaotic key distribution
CN114401351B (en) An Image Encryption and Decryption Method Based on Two-Dimensional Fractional Chaos Map
CN113099069B (en)Multi-image encryption method based on three-dimensional spiral model
Jasra et al.Image encryption using logistic-cosine-sine chaos map and elliptic curve cryptography
Hazzazi et al.Asymmetric Key Cryptosystem for Image Encryption by Elliptic Curve over Galois Field GF (2 n).
CN108718232B (en)Image encryption method based on AES and chaos
Hussein et al.An enhanced ElGamal cryptosystem for image encryption and decryption
Mondal et al.A Multi-Stage Encryption Technique to Enhance the Secrecy of Image.
Gumanti et al.Superencryption of BASE 64 Algorithm and ELGAMAL Algorithm on Android Based Image Security
AbodHybrid Approach to Steganography System Based on Quantum Encryption and Chaos Algorithms
WahbaMemristive Coupled Neural Network Based Audio Signal Encryption
Akbar et al.A secure transmission of digital images using multiple chaotic maps and elliptic curve
Rao et al.Image Security is Improved by Super Encryption using RSA and Chaos Algorithms
CN109274856B (en) Asymmetric Image Encryption Method Based on ECC and Chaos
Wagh et al.A novel approach utilizing permutation polynomials over integer rings as a cryptological application for effective encryption of digital images
US20040151307A1 (en)Tractable rational map public-key system

Legal Events

DateCodeTitleDescription
PB01Publication
PB01Publication
SE01Entry into force of request for substantive examination
SE01Entry into force of request for substantive examination

[8]ページ先頭

©2009-2025 Movatter.jp