Movatterモバイル変換


[0]ホーム

URL:


CN113627438B - Method and system for automatically reimbursing travel expenses based on bill recognition and configuration engine - Google Patents

Method and system for automatically reimbursing travel expenses based on bill recognition and configuration engine
Download PDF

Info

Publication number
CN113627438B
CN113627438BCN202110907588.9ACN202110907588ACN113627438BCN 113627438 BCN113627438 BCN 113627438BCN 202110907588 ACN202110907588 ACN 202110907588ACN 113627438 BCN113627438 BCN 113627438B
Authority
CN
China
Prior art keywords
travel
item
cost
reimbursement
preset
Prior art date
Legal status (The legal status is an assumption and is not a legal conclusion. Google has not performed a legal analysis and makes no representation as to the accuracy of the status listed.)
Active
Application number
CN202110907588.9A
Other languages
Chinese (zh)
Other versions
CN113627438A (en
Inventor
杨晓东
姚毅
杜炜
张晨
Current Assignee (The listed assignees may be inaccurate. Google has not performed a legal analysis and makes no representation or warranty as to the accuracy of the list.)
Three Gorges High Technology Information Technology Co ltd
China Three Gorges Construction Engineering Co Ltd
Original Assignee
Three Gorges High Technology Information Technology Co ltd
Priority date (The priority date is an assumption and is not a legal conclusion. Google has not performed a legal analysis and makes no representation as to the accuracy of the date listed.)
Filing date
Publication date
Application filed by Three Gorges High Technology Information Technology Co ltdfiledCriticalThree Gorges High Technology Information Technology Co ltd
Priority to CN202110907588.9ApriorityCriticalpatent/CN113627438B/en
Publication of CN113627438ApublicationCriticalpatent/CN113627438A/en
Application grantedgrantedCritical
Publication of CN113627438BpublicationCriticalpatent/CN113627438B/en
Activelegal-statusCriticalCurrent
Anticipated expirationlegal-statusCritical

Links

Images

Classifications

Landscapes

Abstract

Translated fromChinese

本发明提供一种基于票据识别和配置引擎自动报销差旅费的方法及系统,其中,方法包括:步骤S1:基于OCR技术,识别员工提供的票据文件上的文本信息;步骤S2:基于文本信息,还原员工的行程信息;步骤S3:配置参数引擎,基于参数引擎,计算行程信息适宜的报销费用和差旅补助;步骤S4:对报销费用进行报销,同时,下发差旅补助。本发明的基于票据识别和配置引擎自动报销差旅费的方法及系统,基于员工提供的票据确定员工的差旅行程,自动确定报销费用,无需用户手动填入票据信息和行程信息,提升了便利性,同时,避免了填入信息失真的问题。

Figure 202110907588

The present invention provides a method and system for automatically reimbursing travel expenses based on a ticket identification and configuration engine, wherein the method includes: step S1: based on OCR technology, identifying the text information on the ticket file provided by the employee; step S2: based on the text information, restore Employee's itinerary information; Step S3: configure a parameter engine, based on the parameter engine, calculate the appropriate reimbursement expenses and travel subsidies for the itinerary information; Step S4: reimburse the reimbursement expenses, and at the same time, issue travel subsidies. The method and system for automatic reimbursement of travel expenses based on the bill identification and configuration engine of the present invention determine the travel itinerary of the employee based on the bill provided by the employee, automatically determine the reimbursement expense, and do not require the user to manually fill in the bill information and itinerary information, thereby improving convenience. At the same time, the problem of distortion of filling in information is avoided.

Figure 202110907588

Description

Method and system for automatically reimbursing travel expenses based on bill recognition and configuration engine
Technical Field
The invention relates to the technical field of computers, in particular to a method and a system for automatically reimbursing travel expenses based on bill identification and configuration engines.
Background
At present, employees can report and sell travel expenses in a reporting and selling system, bill information needs to be filled manually, travel information needs to be filled automatically, the filling and the reporting are complicated, and the information is easy to distort.
Disclosure of Invention
One of the objectives of the present invention is to provide a method and system for automatically reimbursing travel fees based on bill identification and configuration engine.
The embodiment of the invention provides a method for automatically reimbursing travel expenses based on bill identification and configuration engine, which comprises the following steps:
step S1: recognizing text information on a bill file provided by an employee based on an OCR technology;
step S2: restoring the travel information of the employee based on the text information;
step S3: a parameter engine is configured, and based on the parameter engine, the reimbursement cost and travel subsidy suitable for the travel information are calculated;
step S4: and the reimbursement expense is reimbursed, and meanwhile, the travel subsidy is issued.
Preferably, the step S2: based on the text information, restoring the travel information of the employee, including:
converting the text information into bill structured information based on a preset conversion rule;
extracting time, place, personnel, vehicles, expense types, money amounts and taxes in the bill structured information;
determining a first trip item based on the time, location, person, and the vehicle, the first trip item comprising: origin-destination time, origin-destination place, trip person and trip tool;
determining the first stroke item of the same pedestrian as the first stroke item, taking the first stroke item as a second stroke item, and meanwhile, carrying out time sequence sequencing on the second stroke item based on the corresponding origin-destination time to obtain the complete stroke of the pedestrian;
merging the complete strokes of the pedestrians with the same complete stroke to obtain a merged stroke;
and summarizing the combined travel to obtain the travel information of the staff.
Preferably, the step S3: and a parameter engine is configured, based on the parameter engine, the suitable reimbursement cost and travel subsidy of the travel information are calculated, and the parameter engine comprises the following steps:
determining a plurality of cost items for the pedestrian based on the person, the fee type, and the amount, the plurality of cost items including: traffic, lodging and miscellaneous fees;
summarizing the amount corresponding to the same expense item to obtain the expense to be reimbursed of the pedestrian;
acquiring a plurality of difference standard systems of a company, and configuring a difference standard checking engine based on the difference standard systems;
inputting the expense to be reimbursed corresponding to each expense item of the pedestrian into the difference standard checking engine, and checking whether the expense meets the difference standard for reimbursement;
if yes, summarizing the expense to be reimbursed to obtain the reimbursement expense of the pedestrian;
acquiring a subsidy system of the company, and configuring a subsidy calculation engine based on the subsidy system;
and inputting the travel information into the subsidy calculation engine to obtain the travel subsidy of each pedestrian.
Preferably, the step S4: and reimbursing the reimbursement expense, and simultaneously issuing travel subsidies, wherein the reimbursing expense reimbursement expense is composed of the following steps:
summarizing the reimbursement cost of each pedestrian to obtain a cost sum;
summarizing the travel subsidies of the pedestrians to obtain subsidy sums;
summarizing the expense sum and the subsidy sum to obtain a dispensing amount;
acquiring the budget amount of the company;
if the issued amount is less than or equal to the budget amount, calling an interface of a bill checking platform, and checking the authenticity and/or repeated reimbursement of bill information;
if the bill information is qualified, generating an electronic reimbursement bill by supplementing the bill, the complete journey of the pedestrian, reimbursement cost and travel based on a preset reimbursement bill template;
sending the electronic reimbursement bill to a client corresponding to the leader;
and after receiving the agreement request replied by the client, sending the electronic reimbursement bill to a financial department for accounting reimbursement and issuing.
Preferably, the method for automatically reimbursing travel expenses based on the ticket recognition and configuration engine further comprises:
performing travel simulation based on the travel information to obtain a simulation cost sum, and performing authenticity verification on the cost sum based on the simulation cost sum;
wherein, carry out the stroke simulation based on the stroke information, include:
extracting a first travel item in the travel information and taking the first travel item as a second travel item;
acquiring a preset journey simulation engine, inputting a second journey item into the journey simulation engine, and acquiring a first simulation cost;
acquiring additional information provided by an employee, wherein the additional information comprises: a plurality of first special terms encountered in the trip;
if a second special item corresponding to the second trip item exists in the additional information, analyzing the second special item to obtain a special reason and a special degree;
acquiring preset special big data, and determining whether the special reason and the special degree are real or not based on the special big data;
if yes, determining the commonly corresponding up-regulation amplitude of the special reason and the special degree based on a preset up-regulation amplitude library;
based on the up-regulation amplitude, the first simulation cost is up-regulated to obtain a second simulation cost;
replacing the first simulation cost with the second simulation cost;
summarizing the first simulation cost and the second simulation cost to obtain a simulation cost sum;
and verifying the authenticity of the cost sum based on the simulated cost sum, comprising:
and determining a first difference between the simulation cost sum and the cost sum, if the difference is within a preset first difference range, determining that the cost sum is real, otherwise, completing verification.
Preferably, the determining whether the specific reason and the specific degree are true based on the specific big data includes:
analyzing the special reason to obtain a plurality of reason items, wherein the reason items comprise: a second time, a second location, and a cause type;
formulating a rule based on a preset time interval, and formulating a time interval corresponding to the second time;
formulating a corresponding area of the second location based on a preset area formulation rule;
determining at least one retrieval mode corresponding to the reason type based on a preset retrieval mode library;
based on a retrieval mode, retrieving event data occurring in the area in the time interval from the special big data;
extracting a plurality of first event items in the event data, the first event items including: the system comprises a first publisher, a first publishing mode, a first publishing platform and a first event;
determining at least one first characteristic corresponding to the reason type based on a preset characteristic library;
performing feature extraction on the first event to obtain a plurality of second features;
matching the first characteristic with the second characteristic, and if the first characteristic and the second characteristic are matched, taking the corresponding first event item as a second event item;
extracting a first publisher in the second event item and using the first publisher as a second publisher;
extracting a first publishing mode in the second event item, and using the first publishing mode as a second publishing mode, wherein the second publishing mode comprises: direct publishing and indirect publishing;
extracting a first publishing platform in the second event item, and using the first publishing platform as a second publishing platform;
when the second issuing mode is direct issuing, acquiring a first verification value of a second issuer, and acquiring a second verification value of a second issuing platform;
if the first verification value is greater than or equal to a preset first verification value threshold value and/or the second verification value is greater than or equal to a preset second verification value threshold value, rejecting a corresponding second event item;
meanwhile, when the second issuing mode is indirect issuing, the corresponding second event item is removed;
when second event items needing to be removed in the second event items are all removed, a plurality of third event items are obtained;
extracting a first event in the third event item and taking the first event as a second event;
determining a model base based on a preset degree, and determining a degree determination model corresponding to the reason type;
inputting the second event into a degree determination model to obtain a true degree;
and determining a second difference value between the special degree and the real degree, if the second difference value is within a preset second difference value range, the special reason and the degree are both real, otherwise, the special reason and the degree are not real, and finishing the determination.
The embodiment of the invention provides a system for automatically reimbursing travel expenses based on bill identification and configuration engine, which comprises:
the recognition module is used for recognizing text information on the bill file provided by the employee based on an OCR technology;
the restoring module is used for restoring the travel information of the staff based on the text information;
the calculation module is used for configuring a parameter engine and calculating the reimbursement cost and travel subsidy suitable for the travel information based on the parameter engine;
and the reimbursement module is used for reimbursing the reimbursement cost and issuing the travel subsidy.
Preferably, the reduction module performs the following operations:
converting the text information into bill structured information based on a preset conversion rule;
extracting time, place, personnel, vehicles, expense types, money amounts and taxes in the bill structured information;
determining a first trip item based on the time, location, person, and the vehicle, the first trip item comprising: origin-destination time, origin-destination place, trip person and trip tool;
determining the first stroke item of the same pedestrian as the first stroke item, taking the first stroke item as a second stroke item, and meanwhile, carrying out time sequence sequencing on the second stroke item based on the corresponding origin-destination time to obtain the complete stroke of the pedestrian;
merging the complete strokes of the pedestrians with the same complete stroke to obtain a merged stroke;
and summarizing the combined travel to obtain the travel information of the staff.
Preferably, the calculation module performs the following operations:
determining a plurality of cost items for the pedestrian based on the person, the fee type, and the amount, the plurality of cost items including: traffic, lodging and miscellaneous fees;
summarizing the amount corresponding to the same expense item to obtain the expense to be reimbursed of the pedestrian;
acquiring a plurality of difference standard systems of a company, and configuring a difference standard checking engine based on the difference standard systems;
inputting the expense to be reimbursed corresponding to each expense item of the pedestrian into the difference standard checking engine, and checking whether the expense meets the difference standard for reimbursement;
if yes, summarizing the expense to be reimbursed to obtain the reimbursement expense of the pedestrian;
acquiring a subsidy system of the company, and configuring a subsidy calculation engine based on the subsidy system;
and inputting the travel information into the subsidy calculation engine to obtain the travel subsidy of each pedestrian.
Preferably, the reimbursement module performs the following operations:
summarizing the reimbursement cost of each pedestrian to obtain a cost sum;
summarizing the travel subsidies of the pedestrians to obtain subsidy sums;
summarizing the expense sum and the subsidy sum to obtain a dispensing amount;
acquiring the budget amount of the company;
if the issued amount is less than or equal to the budget amount, calling an interface of a bill checking platform, and checking the authenticity and/or repeated reimbursement of bill information;
if the bill information is qualified, generating an electronic reimbursement bill by supplementing the bill, the complete journey of the pedestrian, reimbursement cost and travel based on a preset reimbursement bill template;
sending the electronic reimbursement bill to a client corresponding to the leader;
and after receiving the agreement request replied by the client, sending the electronic reimbursement bill to a financial department for accounting reimbursement and issuing.
Additional features and advantages of the invention will be set forth in the description which follows, and in part will be obvious from the description, or may be learned by practice of the invention. The objectives and other advantages of the invention will be realized and attained by the structure particularly pointed out in the written description and claims hereof as well as the appended drawings.
The technical solution of the present invention is further described in detail by the accompanying drawings and embodiments.
Drawings
The accompanying drawings, which are included to provide a further understanding of the invention and are incorporated in and constitute a part of this specification, illustrate embodiments of the invention and together with the description serve to explain the principles of the invention and not to limit the invention. In the drawings:
FIG. 1 is a flow chart of a method for automatically reimbursing travel based on a ticket identification and configuration engine in an embodiment of the present invention;
FIG. 2 is a flow chart of another method for automatically reimbursing travel based on a ticket identification and configuration engine in accordance with an embodiment of the present invention;
fig. 3 is a schematic diagram of a system for automatically reimbursing travel based on a ticket recognition and configuration engine according to an embodiment of the present invention.
Detailed Description
The preferred embodiments of the present invention will be described in conjunction with the accompanying drawings, and it will be understood that they are described herein for the purpose of illustration and explanation and not limitation.
The embodiment of the invention provides a method for automatically reimbursing travel expenses based on bill identification and configuration engine, as shown in fig. 1, comprising the following steps:
step S1: recognizing text information on a bill file provided by an employee based on an OCR technology;
step S2: restoring the travel information of the employee based on the text information;
step S3: a parameter engine is configured, and based on the parameter engine, the reimbursement cost and travel subsidy suitable for the travel information are calculated;
step S4: and the reimbursement expense is reimbursed, and meanwhile, the travel subsidy is issued.
The working principle and the beneficial effects of the technical scheme are as follows:
based on OCR [ Optical Character Recognition, Optical Character Recognition ] techniques, identify employee-provided tickets [ for example: text information on electronic invoice, paper invoice image, etc.; determining the travel information of the employee based on the text information; determining a corresponding reimbursement fee based on the configured engine; automatically reimburse the staff;
the embodiment of the invention determines the travel journey of the staff based on the bill provided by the staff, automatically determines the reimbursement cost, does not need the user to manually fill in the bill information and the journey information, improves the convenience, and simultaneously avoids the problem of filling information distortion.
The embodiment of the present invention provides a method for automatically reimbursing travel fees based on a ticket recognition and configuration engine, as shown in fig. 2, in step S2: based on the text information, restoring the travel information of the employee, including:
step S201: converting the text information into bill structured information based on a preset conversion rule;
step S202: extracting time, place, personnel, vehicles, expense types, money amounts and taxes in the bill structured information;
step S203: determining a first trip item based on the time, location, person, and the vehicle, the first trip item comprising: origin-destination time, origin-destination place, trip person and trip tool;
step S204: determining the first stroke item of the same pedestrian as the first stroke item, taking the first stroke item as a second stroke item, and meanwhile, carrying out time sequence sequencing on the second stroke item based on the corresponding origin-destination time to obtain the complete stroke of the pedestrian;
step S205: merging the complete strokes of the pedestrians with the same complete stroke to obtain a merged stroke;
step S206: and summarizing the combined travel to obtain the travel information of the staff.
The working principle and the beneficial effects of the technical scheme are as follows:
the preset conversion rule is specifically as follows: converting text information on a ticket into information that can be utilized [ ticket structuring information ], such as: the text information on the train ticket is '07/23/07/43/23/2021/Suzhou to Hankou', 239.00 Yuan ',' current car on the limited riding day 'and' Suzhou sale ', etc., which is converted into' 07/23/2021/07/43/Suzhou, 239.00 Yuan ', passenger/certain, train, transportation fee';
each trip item contains time, location, and/or cost; sequencing the places in the schedule items based on time; the two adjacent places are the departure place and the destination, and the corresponding time is the departure time and the arrival time; for example: the employee's train ticket proves that he went from train sitting in Suzhou to Hankou on 07:43 at 23.07: 07: 24.07: 2021, and when he went to Hankou, he went from Hankou train station to a hotel for 3 places and 2 trips;
the embodiment of the invention automatically determines the travel information of the staff based on the bills provided by the staff, has reasonable setting and improves the convenience.
The embodiment of the invention provides a method for automatically reimbursing travel expenses based on bill identification and configuration engine, which comprises the following steps of S3: and a parameter engine is configured, based on the parameter engine, the suitable reimbursement cost and travel subsidy of the travel information are calculated, and the parameter engine comprises the following steps:
determining a plurality of cost items for the pedestrian based on the person, the fee type, and the amount, the plurality of cost items including: traffic, lodging and miscellaneous fees;
summarizing the amount corresponding to the same expense item to obtain the expense to be reimbursed of the pedestrian;
acquiring a plurality of difference standard systems of a company, and configuring a difference standard checking engine based on the difference standard systems;
inputting the expense to be reimbursed corresponding to each expense item of the pedestrian into the difference standard checking engine, and checking whether the expense meets the difference standard for reimbursement;
if yes, summarizing the expense to be reimbursed to obtain the reimbursement expense of the pedestrian;
acquiring a subsidy system of the company, and configuring a subsidy calculation engine based on the subsidy system;
and inputting the travel information into the subsidy calculation engine to obtain the travel subsidy of each pedestrian.
The working principle and the beneficial effects of the technical scheme are as follows:
the standard difference system specifically comprises: for example, defining a company difference standard level system, a cabin space allowing passengers to take transportation vehicles such as planes and trains, and lodging limits of various types of cities, defining a post level system of personnel, and binding the post level system with company personnel and the company difference standard system; the auxiliary system specifically comprises: for example, preset subsidy types, calculation formulas of various subsidies, triggering conditions of various subsidies, issuing standards and issuing adjustments of various subsidies for various companies; the configuration engine may be based on a machine learning algorithm.
The subsidy standards of the employees at different posts are different, so that whether the final reimbursement cost meets the corresponding difference standard of the employee or not is determined, the setting is reasonable, and the actual use requirement is better met; need not financial affairs and check by oneself whether every expense of reimbursing satisfies company's travel standard, promoted the convenience.
The embodiment of the invention provides a method for automatically reimbursing travel expenses based on bill identification and configuration engine, which comprises the following steps of S4: and reimbursing the reimbursement expense, and simultaneously issuing travel subsidies, wherein the reimbursing expense reimbursement expense is composed of the following steps:
summarizing the reimbursement cost of each pedestrian to obtain a cost sum;
summarizing the travel subsidies of the pedestrians to obtain subsidy sums;
summarizing the expense sum and the subsidy sum to obtain a dispensing amount;
acquiring the budget amount of the company;
if the issued amount is less than or equal to the budget amount, calling an interface of a bill checking platform, and checking the authenticity and/or repeated reimbursement of bill information;
if the bill information is qualified, generating an electronic reimbursement bill by supplementing the bill, the complete journey of the pedestrian, reimbursement cost and travel based on a preset reimbursement bill template;
sending the electronic reimbursement bill to a client corresponding to the leader;
and after receiving the agreement request replied by the client, sending the electronic reimbursement bill to a financial department for accounting reimbursement and issuing.
The working principle and the beneficial effects of the technical scheme are as follows:
the preset reimbursement bill template specifically comprises the following steps: a template, on which bills, travel, reimbursement fee and collection account can be filled;
after the reimbursement bill is generated, the reimbursement bill is directly issued to the financial department, and the reimbursement bill is calculated by the financial department, so that the workload of staff of the financial department is reduced.
The embodiment of the invention provides a method for automatically reimbursing travel expenses based on bill identification and configuration engine, which also comprises the following steps:
performing travel simulation based on the travel information to obtain a simulation cost sum, and performing authenticity verification on the cost sum based on the simulation cost sum;
wherein, carry out the stroke simulation based on the stroke information, include:
extracting a first travel item in the travel information and taking the first travel item as a second travel item;
acquiring a preset journey simulation engine, inputting a second journey item into the journey simulation engine, and acquiring a first simulation cost;
acquiring additional information provided by an employee, wherein the additional information comprises: a plurality of first special terms encountered in the trip;
if a second special item corresponding to the second trip item exists in the additional information, analyzing the second special item to obtain a special reason and a special degree;
acquiring preset special big data, and determining whether the special reason and the special degree are real or not based on the special big data;
if yes, determining the commonly corresponding up-regulation amplitude of the special reason and the special degree based on a preset up-regulation amplitude library;
based on the up-regulation amplitude, the first simulation cost is up-regulated to obtain a second simulation cost;
replacing the first simulation cost with the second simulation cost;
summarizing the first simulation cost and the second simulation cost to obtain a simulation cost sum;
and verifying the authenticity of the cost sum based on the simulated cost sum, comprising:
and determining a first difference between the simulation cost sum and the cost sum, if the difference is within a preset first difference range, determining that the cost sum is real, otherwise, completing verification.
The working principle and the beneficial effects of the technical scheme are as follows:
the preset journey simulation engine specifically comprises: an engine generated by learning a large number of records of manually-performed travel simulation based on a machine learning algorithm, wherein the engine can perform simulation based on travel information, such as: the journey is from a company to a Nanjing railway station, the journey from the company to the Nanjing railway station for the passengers to take by the staff is simulated, and the taking cost is calculated based on the distance of the journey and the calculation standard of the local taxi taking cost; the preset special big data is specifically as follows: for example, the special situation is traffic jam, and the big data is various data of traffic jam places (for example, traffic jam data issued by a third-party navigation platform, a traffic jam photo and positioning issued on a microblog); the preset up-regulation amplitude library specifically comprises the following steps: the database stores the corresponding up-regulation amplitudes of different special reasons and special degrees; the preset first difference range specifically includes: for example, ± 1.2;
staff in the journey, can meet special circumstances and cause the expense to exceed the normal use expense inevitably [ for example: the staff only need to integrate special things met by the staff into additional information and upload the additional information, determine the special reasons and special degrees in the additional information based on big data to verify the authenticity, and if the verification is passed, reasonably simulate the cost to be adjusted up based on the special reasons and special degrees;
the embodiment of the invention verifies the cost and authenticity of the user, and avoids the situation that the employee gives a third-party staff a malicious invoice; meanwhile, the expense is increased due to special conditions encountered by staff in the traveling process, and under general conditions, reimbursers cannot verify the special conditions, so that the problem can be solved by the embodiment of the invention; in addition, the setting is reasonable, the cost and the real misjudgment can not be caused, and the method is more accurate; and finally, the method is more applicable under the trend of data sharing.
The embodiment of the invention provides a method for automatically reimbursing travel expenses based on bill identification and configuration engine, which determines whether a special reason and a special degree are true or not based on special big data, and comprises the following steps:
analyzing the special reason to obtain a plurality of reason items, wherein the reason items comprise: a second time, a second location, and a cause type;
formulating a rule based on a preset time interval, and formulating a time interval corresponding to the second time;
formulating a corresponding area of the second location based on a preset area formulation rule;
determining at least one retrieval mode corresponding to the reason type based on a preset retrieval mode library;
based on a retrieval mode, retrieving event data occurring in the area in the time interval from the special big data;
extracting a plurality of first event items in the event data, the first event items including: the system comprises a first publisher, a first publishing mode, a first publishing platform and a first event;
determining at least one first characteristic corresponding to the reason type based on a preset characteristic library;
performing feature extraction on the first event to obtain a plurality of second features;
matching the first characteristic with the second characteristic, and if the first characteristic and the second characteristic are matched, taking the corresponding first event item as a second event item;
extracting a first publisher in the second event item and using the first publisher as a second publisher;
extracting a first publishing mode in the second event item, and using the first publishing mode as a second publishing mode, wherein the second publishing mode comprises: direct publishing and indirect publishing;
extracting a first publishing platform in the second event item, and using the first publishing platform as a second publishing platform;
when the second issuing mode is direct issuing, acquiring a first verification value of a second issuer, and acquiring a second verification value of a second issuing platform;
if the first verification value is greater than or equal to a preset first verification value threshold value and/or the second verification value is greater than or equal to a preset second verification value threshold value, rejecting a corresponding second event item;
meanwhile, when the second issuing mode is indirect issuing, the corresponding second event item is removed;
when second event items needing to be removed in the second event items are all removed, a plurality of third event items are obtained;
extracting a first event in the third event item and taking the first event as a second event;
determining a model base based on a preset degree, and determining a degree determination model corresponding to the reason type;
inputting the second event into a degree determination model to obtain a true degree;
and determining a second difference value between the special degree and the real degree, if the second difference value is within a preset second difference value range, the special reason and the degree are both real, otherwise, the special reason and the degree are not real, and finishing the determination.
The working principle and the beneficial effects of the technical scheme are as follows:
the preset time interval formulation rule specifically comprises the following steps: for example, the time is 15:00, the range is expanded, and the set time interval is 14:30 to 15: 30; the preset region formulation rule is specifically as follows: within 500 meters of the perimeter of the site; the preset retrieval mode library specifically comprises the following steps: a database, in which search modes corresponding to different reason types are stored, for example: the reason type is traffic jam, and the retrieval mode is to retrieve data issued by a traffic third-party platform; the preset feature library specifically comprises: a database, in which the characteristics corresponding to different reason types are stored; the preset first verification value threshold specifically includes: for example, 80; the preset second verification value threshold specifically includes: for example, 85; the preset degree determination model library specifically comprises: a database, in which degree determination models corresponding to different reason types are stored [ models generated after learning a large number of manual degree determination records by using a machine learning algorithm ]; the preset second difference range specifically includes: plus orminus 2;
the time and the place provided by the staff are not necessarily accurate, the range is expanded, and the time area and the area are respectively manufactured; determining a retrieval mode, and performing retrieval in a targeted manner to reduce the retrieval difficulty; when the first event item meeting the condition is searched out based on the searching mode, determining a second event item corresponding to the reason type; prepare to determine from the second event item whether the specific cause and degree of specificity are authentic, cull indirect publications [ for example: the workload of the second event items carried by other platforms is reduced, the second event items with verification values larger than or equal to the threshold of the verification values are removed, and the problem of misjudgment caused by the fact that the second event items with low reliability are brought into judgment is avoided; when the second event items needing to be removed are all removed, the second event items are set to be real due to special reasons, the degree is determined based on the model, and if the degree has small error with the special degree provided by the staff, the special degree is also set to be real; the additional information provided by the staff is subjected to authenticity verification, so that the staff is prevented from working falsely, and meanwhile, the system is more intelligent.
The embodiment of the invention provides a method for automatically reimbursing travel expenses based on bill identification and configuration engine, wherein the first verification value is obtained by the following steps:
determining a plurality of first guarantors corresponding to the second publisher and a first guaranty mode between the second publisher and the first guarantor based on a preset guarantor library, where the first guaranty mode includes: active and passive warranties;
when the first guarantee mode is active guarantee, the corresponding first guarantee person is used as a second guarantee person;
when the first guarantee mode is a passive guarantee mode, the corresponding first guarantee person is used as a third guarantee person;
respectively acquiring a first malicious value of the second publisher, a second malicious value of the second guarantor and a third malicious value of the third guarantor, and calculating the first verification value based on the first malicious value, the second malicious value and the third malicious value, wherein a calculation formula is as follows:
Figure GDA0003409255920000141
Figure GDA0003409255920000142
Figure GDA0003409255920000143
Figure GDA0003409255920000144
Figure GDA0003409255920000145
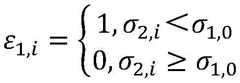
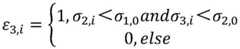
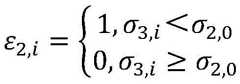
where ρ is1Is the first verification value, σ1Is the first malicious value, σ2,iSaid second maliciousness value, σ, for the ith said second guarantor3,iSaid third malicious value, n, for the ith said third guarantor1Is the total number of said second guarantor, n2Theta is a predetermined constant, mu, for the total number of the third guarantor1、μ2And mu3Is a preset weight value, mu1>μ2>μ3,ε1,i、ε2,i、ε3,iAnd n3Is an intermediate variable, and is and, else is other, σ1,0Is a preset first malicious value threshold, sigma2,0The second malicious value threshold is preset;
the second verification value is obtained by the following steps:
determining a plurality of first guarantee platforms corresponding to the second issuing platform and a second guarantee mode between the second issuing platform and the first guarantee platform based on a preset guarantee platform library, wherein the second guarantee mode comprises the following steps: active and passive warranties;
when the second guarantee mode is active guarantee, the corresponding first guarantee platform is used as a second guarantee platform;
when the second guarantee mode is a passive guarantee mode, the corresponding first guarantee platform is used as a third guarantee platform;
respectively obtaining a fourth malicious value of the second release platform, a fifth malicious value of the second guarantee platform and a sixth malicious value of the third guarantee platform, and calculating the first verification value based on the fourth malicious value, the fifth malicious value and the sixth malicious value, wherein a calculation formula is as follows:
Figure GDA0003409255920000151
Figure GDA0003409255920000152
Figure GDA0003409255920000153
Figure GDA0003409255920000154
Figure GDA0003409255920000155
where ρ is2Is the second verification value, σ4Is the fourth malicious value, σ5,iFor the fifth malicious value, σ, of the ith said second vouching platform6,iSaid sixth malicious value, n, for the ith said third vouching platform4For the total number of said second vouching platforms, n5Theta is a preset constant mu for the total number of the third guarantee platforms4、μ5And mu6Is a preset weight value, mu4>μ5>μ6,ε4,i、ε5,i、ε6,iAnd n6Is an intermediate variable, and is and, else is other, σ3,0Is a preset third malicious value threshold, sigma4,0Is a preset fourth malicious value threshold.
The working principle and the beneficial effects of the technical scheme are as follows:
the preset guarantor library specifically comprises: a database, in which the corresponding guarantors of different users are stored, and the guaranty relationship between different users and guaranties is also stored, the guaranty relationship is divided into active guaranty [ a user sets a user as his or her own guarantor, and the other party agrees ] and passive guaranty [ two users belong to the same group, for example: company, home, etc.); the same principle is used for a preset guarantee platform library; the preset constants are specifically: for example, 2; the preset first malicious value threshold specifically includes: for example, 97; the preset second malicious value threshold specifically includes: for example, 98; the preset third malicious value threshold specifically includes: for example, 95; the preset fourth malicious value threshold specifically is: for example, 98;
when malicious values of a user, a guarantor, a publishing platform, and a guaranty platform are obtained, malicious events that occur on the user or the platform [ for example: issue false data, etc. ]; the verification value is calculated based on different malicious values, so that the working efficiency of the system is greatly improved; according to the embodiment of the invention, a guarantee system is adopted, and under the trend of data sharing, each user establishes a guarantee relationship to generate constraint force, so that the cost and the cost of generating malicious events by the user are increased, and the occurrence rate of the malicious events is reduced; meanwhile, the active guarantee and the passive guarantee are analyzed separately, and the method is more reasonable.
The embodiment of the invention provides a system for automatically reimbursing travel expenses based on bill identification and configuration engine, as shown in fig. 3, comprising:
therecognition module 1 is used for recognizing text information on a bill file provided by an employee based on an OCR technology;
the restoringmodule 2 is used for restoring the travel information of the staff based on the text information;
thecalculation module 3 is used for configuring a parameter engine and calculating the reimbursement cost and travel subsidy suitable for the travel information based on the parameter engine;
and thereimbursement module 4 is used for reimbursing the reimbursement cost and issuing the travel subsidy.
The working principle and the beneficial effects of the technical scheme are as follows:
based on OCR [ Optical Character Recognition, Optical Character Recognition ] techniques, identify employee-provided tickets [ for example: text information on electronic invoice, paper invoice image, etc.; determining the travel information of the employee based on the text information; determining a corresponding reimbursement fee based on the configured engine; automatically reimburse the staff;
the embodiment of the invention determines the travel journey of the staff based on the bill provided by the staff, automatically determines the reimbursement cost, does not need the user to manually fill in the bill information and the journey information, improves the convenience, and simultaneously avoids the problem of filling information distortion.
The embodiment of the invention provides a system for automatically reimbursing travel expenses based on bill identification and configuration engine, wherein arecovery module 2 executes the following operations:
converting the text information into bill structured information based on a preset conversion rule;
extracting time, place, personnel, vehicles, expense types, money amounts and taxes in the bill structured information;
determining a first trip item based on the time, location, person, and the vehicle, the first trip item comprising: origin-destination time, origin-destination place, trip person and trip tool;
determining the first stroke item of the same pedestrian as the first stroke item, taking the first stroke item as a second stroke item, and meanwhile, carrying out time sequence sequencing on the second stroke item based on the corresponding origin-destination time to obtain the complete stroke of the pedestrian;
merging the complete strokes of the pedestrians with the same complete stroke to obtain a merged stroke;
and summarizing the combined travel to obtain the travel information of the staff.
The working principle and the beneficial effects of the technical scheme are as follows:
the preset conversion rule is specifically as follows: converting text information on a ticket into information that can be utilized [ ticket structuring information ], such as: the text information on the train ticket is '07/23/07/43/2021/Ou', 'Suzhou to Hankou', '239.00 Yuan', 'Suzhou sale' and the like, and is converted into '07/23/07/43/23/2021/Suzhou/239.00 Yuan';
each trip item contains time, location, and/or cost; sequencing the places in the schedule items based on time; the two adjacent places are the departure place and the destination, and the corresponding time is the departure time and the arrival time; for example: the employee's train ticket proves that he went from train sitting in Suzhou to Hankou on 07:43 at 23.07: 07: 24.07: 2021, and when he went to Hankou, he went from Hankou train station to a hotel for 3 places and 2 trips;
the embodiment of the invention automatically determines the travel information of the staff based on the bills provided by the staff, has reasonable setting and improves the convenience.
The embodiment of the invention provides a system for automatically reimbursing travel expenses based on bill identification and configuration engine, wherein acomputing module 3 executes the following operations:
determining a plurality of cost items for the pedestrian based on the person, the fee type, and the amount, the plurality of cost items including: traffic, lodging and miscellaneous fees;
summarizing the amount corresponding to the same expense item to obtain the expense to be reimbursed of the pedestrian;
acquiring a plurality of difference standard systems of a company, and configuring a difference standard checking engine based on the difference standard systems;
inputting the expense to be reimbursed corresponding to each expense item of the pedestrian into the difference standard checking engine, and checking whether the expense meets the difference standard for reimbursement;
if yes, summarizing the expense to be reimbursed to obtain the reimbursement expense of the pedestrian;
acquiring a subsidy system of the company, and configuring a subsidy calculation engine based on the subsidy system;
and inputting the travel information into the subsidy calculation engine to obtain the travel subsidy of each pedestrian.
The working principle and the beneficial effects of the technical scheme are as follows:
the standard difference system specifically comprises: for example, defining a company difference standard level system, a cabin space allowing passengers to take transportation vehicles such as planes and trains, and lodging limits of various types of cities, defining a post level system of personnel, and binding the post level system with company personnel and the company difference standard system; the auxiliary system specifically comprises: for example, preset subsidy types, calculation formulas of various subsidies, triggering conditions of various subsidies, issuing standards and issuing adjustments of various subsidies for various companies; the configuration engine may be based on a machine learning algorithm.
The subsidy standards of the employees at different posts are different, so that whether the final reimbursement cost meets the corresponding difference standard of the employee or not is determined, the setting is reasonable, and the actual use requirement is better met; need not financial affairs and check by oneself whether every expense of reimbursing satisfies company's travel standard, promoted the convenience.
The embodiment of the invention provides a system for automatically reimbursing travel expenses based on bill identification and configuration engine, wherein thereimbursement module 4 executes the following operations:
summarizing the reimbursement cost of each pedestrian to obtain a cost sum;
summarizing the travel subsidies of the pedestrians to obtain subsidy sums;
summarizing the expense sum and the subsidy sum to obtain a dispensing amount;
acquiring the budget amount of the company;
if the issued amount is less than or equal to the budget amount, calling an interface of a bill checking platform, and checking the authenticity and/or repeated reimbursement of bill information;
if the bill information is qualified, generating an electronic reimbursement bill by supplementing the bill, the complete journey of the pedestrian, reimbursement cost and travel based on a preset reimbursement bill template;
sending the electronic reimbursement bill to a client corresponding to the leader;
and after receiving the agreement request replied by the client, sending the electronic reimbursement bill to a financial department for accounting reimbursement and issuing.
The working principle and the beneficial effects of the technical scheme are as follows:
the preset reimbursement bill template specifically comprises the following steps: a template, on which bills, travel, reimbursement fee and collection account can be filled;
after the reimbursement bill is generated, the reimbursement bill is directly issued to the financial department, and the reimbursement bill is calculated by the financial department, so that the workload of staff of the financial department is reduced.
The embodiment of the invention provides a system for automatically reimbursing travel expenses based on bill identification and configuration engine, which also comprises:
the verification module is used for carrying out travel simulation based on the travel information to obtain simulation cost sum and carrying out authenticity verification on the cost sum based on the simulation cost sum;
wherein the first verification module performs the following operations:
extracting a first travel item in the travel information and taking the first travel item as a second travel item;
acquiring a preset journey simulation engine, inputting a second journey item into the journey simulation engine, and acquiring a first simulation cost;
acquiring additional information provided by an employee, wherein the additional information comprises: a plurality of first special terms encountered in the trip;
if a second special item corresponding to the second trip item exists in the additional information, analyzing the second special item to obtain a special reason and a special degree;
acquiring preset special big data, and determining whether the special reason and the special degree are real or not based on the special big data;
if yes, determining the commonly corresponding up-regulation amplitude of the special reason and the special degree based on a preset up-regulation amplitude library;
based on the up-regulation amplitude, the first simulation cost is up-regulated to obtain a second simulation cost;
replacing the first simulation cost with the second simulation cost;
summarizing the first simulation cost and the second simulation cost to obtain a simulation cost sum;
and verifying the authenticity of the cost sum based on the simulated cost sum, comprising:
and determining a first difference between the simulation cost sum and the cost sum, if the difference is within a preset first difference range, determining that the cost sum is real, otherwise, completing verification.
The working principle and the beneficial effects of the technical scheme are as follows:
the preset journey simulation engine specifically comprises: an engine generated by learning a large number of records of manually-performed travel simulation based on a machine learning algorithm, wherein the engine can perform simulation based on travel information, such as: the journey is from a company to a Nanjing railway station, the journey from the company to the Nanjing railway station for the passengers to take by the staff is simulated, and the taking cost is calculated based on the distance of the journey and the calculation standard of the local taxi taking cost; the preset special big data is specifically as follows: for example, the special situation is traffic jam, and the big data is various data of traffic jam places (for example, traffic jam data issued by a third-party navigation platform, a traffic jam photo and positioning issued on a microblog); the preset up-regulation amplitude library specifically comprises the following steps: the database stores the corresponding up-regulation amplitudes of different special reasons and special degrees; the preset first difference range specifically includes: for example, ± 1.2;
staff in the journey, can meet special circumstances and cause the expense to exceed the normal use expense inevitably [ for example: the staff only need to integrate special things met by the staff into additional information and upload the additional information, determine the special reasons and special degrees in the additional information based on big data to verify the authenticity, and if the verification is passed, reasonably simulate the cost to be adjusted up based on the special reasons and special degrees;
the embodiment of the invention verifies the cost and authenticity of the user, and avoids the situation that the employee gives a third-party staff a malicious invoice; meanwhile, the expense is increased due to special conditions encountered by staff in the traveling process, and under general conditions, reimbursers cannot verify the special conditions, so that the problem can be solved by the embodiment of the invention; in addition, the setting is reasonable, the cost and the real misjudgment can not be caused, and the method is more accurate; and finally, the method is more applicable under the trend of data sharing.
The embodiment of the invention provides a system for automatically reimbursing travel expenses based on bill identification and configuration engine, wherein a verification module executes the following operations:
analyzing the special reason to obtain a plurality of reason items, wherein the reason items comprise: a second time, a second location, and a cause type;
formulating a rule based on a preset time interval, and formulating a time interval corresponding to the second time;
formulating a corresponding area of the second location based on a preset area formulation rule;
determining at least one retrieval mode corresponding to the reason type based on a preset retrieval mode library;
based on a retrieval mode, retrieving event data occurring in the area in the time interval from the special big data;
extracting a plurality of first event items in the event data, the first event items including: the system comprises a first publisher, a first publishing mode, a first publishing platform and a first event;
determining at least one first characteristic corresponding to the reason type based on a preset characteristic library;
performing feature extraction on the first event to obtain a plurality of second features;
matching the first characteristic with the second characteristic, and if the first characteristic and the second characteristic are matched, taking the corresponding first event item as a second event item;
extracting a first publisher in the second event item and using the first publisher as a second publisher;
extracting a first publishing mode in the second event item, and using the first publishing mode as a second publishing mode, wherein the second publishing mode comprises: direct publishing and indirect publishing;
extracting a first publishing platform in the second event item, and using the first publishing platform as a second publishing platform;
when the second issuing mode is direct issuing, acquiring a first verification value of a second issuer, and acquiring a second verification value of a second issuing platform;
if the first verification value is greater than or equal to a preset first verification value threshold value and/or the second verification value is greater than or equal to a preset second verification value threshold value, rejecting a corresponding second event item;
meanwhile, when the second issuing mode is indirect issuing, the corresponding second event item is removed;
when second event items needing to be removed in the second event items are all removed, a plurality of third event items are obtained;
extracting a first event in the third event item and taking the first event as a second event;
determining a model base based on a preset degree, and determining a degree determination model corresponding to the reason type;
inputting the second event into a degree determination model to obtain a true degree;
and determining a second difference value between the special degree and the real degree, if the second difference value is within a preset second difference value range, the special reason and the degree are both real, otherwise, the special reason and the degree are not real, and finishing the determination.
The working principle and the beneficial effects of the technical scheme are as follows:
the preset time interval formulation rule specifically comprises the following steps: for example, the time is 15:00, the range is expanded, and the set time interval is 14:30 to 15: 30; the preset region formulation rule is specifically as follows: within 500 meters of the perimeter of the site; the preset retrieval mode library specifically comprises the following steps: a database, in which search modes corresponding to different reason types are stored, for example: the reason type is traffic jam, and the retrieval mode is to retrieve data issued by a traffic third-party platform; the preset feature library specifically comprises: a database, in which the characteristics corresponding to different reason types are stored; the preset first verification value threshold specifically includes: for example, 80; the preset second verification value threshold specifically includes: for example, 85; the preset degree determination model library specifically comprises: a database, in which degree determination models corresponding to different reason types are stored [ models generated after learning a large number of manual degree determination records by using a machine learning algorithm ]; the preset second difference range specifically includes: plus orminus 2;
the time and the place provided by the staff are not necessarily accurate, the range is expanded, and the time area and the area are respectively manufactured; determining a retrieval mode, and performing retrieval in a targeted manner to reduce the retrieval difficulty; when the first event item meeting the condition is searched out based on the searching mode, determining a second event item corresponding to the reason type; prepare to determine from the second event item whether the specific cause and degree of specificity are authentic, cull indirect publications [ for example: the workload of the second event items carried by other platforms is reduced, the second event items with verification values larger than or equal to the threshold of the verification values are removed, and the problem of misjudgment caused by the fact that the second event items with low reliability are brought into judgment is avoided; when the second event items needing to be removed are all removed, the second event items are set to be real due to special reasons, the degree is determined based on the model, and if the degree has small error with the special degree provided by the staff, the special degree is also set to be real; the additional information provided by the staff is subjected to authenticity verification, so that the staff is prevented from working falsely, and meanwhile, the system is more intelligent.
The embodiment of the invention provides a system for automatically reimbursing travel expenses based on bill identification and configuration engine, wherein a verification module executes the following operations:
determining a plurality of first guarantors corresponding to the second publisher and a first guaranty mode between the second publisher and the first guarantor based on a preset guarantor library, where the first guaranty mode includes: active and passive warranties;
when the first guarantee mode is active guarantee, the corresponding first guarantee person is used as a second guarantee person;
when the first guarantee mode is a passive guarantee mode, the corresponding first guarantee person is used as a third guarantee person;
respectively acquiring a first malicious value of the second publisher, a second malicious value of the second guarantor and a third malicious value of the third guarantor, and calculating the first verification value based on the first malicious value, the second malicious value and the third malicious value, wherein a calculation formula is as follows:
Figure GDA0003409255920000231
Figure GDA0003409255920000232
Figure GDA0003409255920000233
Figure GDA0003409255920000234
Figure GDA0003409255920000235
where ρ is1Is the first verification value, σ1Is the first malicious value, σ2,iSaid second maliciousness value, σ, for the ith said second guarantor3,iSaid third malicious value, n, for the ith said third guarantor1Is the total number of said second guarantor, n2Theta is a predetermined constant, mu, for the total number of the third guarantor1、μ2And mu3Is a preset weight value, mu1>μ2>μ3,ε1,i、ε2,i、ε3,iAnd n3Is an intermediate variable, and is and, else is other, σ1,0Is a preset first malicious value threshold, sigma2,0The second malicious value threshold is preset;
determining a plurality of first guarantee platforms corresponding to the second issuing platform and a second guarantee mode between the second issuing platform and the first guarantee platform based on a preset guarantee platform library, wherein the second guarantee mode comprises the following steps: active and passive warranties;
when the second guarantee mode is active guarantee, the corresponding first guarantee platform is used as a second guarantee platform;
when the second guarantee mode is a passive guarantee mode, the corresponding first guarantee platform is used as a third guarantee platform;
respectively obtaining a fourth malicious value of the second release platform, a fifth malicious value of the second guarantee platform and a sixth malicious value of the third guarantee platform, and calculating the first verification value based on the fourth malicious value, the fifth malicious value and the sixth malicious value, wherein a calculation formula is as follows:
Figure GDA0003409255920000241
Figure GDA0003409255920000242
Figure GDA0003409255920000243
Figure GDA0003409255920000244
Figure GDA0003409255920000245
where ρ is2Is the second verification value, σ4Is the fourth malicious value, σ5,iFor the fifth malicious value, σ, of the ith said second vouching platform6,iSaid sixth malicious value, n, for the ith said third vouching platform4For the total number of said second vouching platforms, n5Theta is a preset constant mu for the total number of the third guarantee platforms4、μ5And mu6Is a preset weight value, mu4>μ5>μ6,ε4,i、ε5,i、ε6,iAnd n6Is an intermediate variable, and is and, else is other, σ3,0Is a preset third malicious value threshold, sigma4,0Is a preset fourth malicious value threshold.
The working principle and the beneficial effects of the technical scheme are as follows:
the preset guarantor library specifically comprises: a database, in which the corresponding guarantors of different users are stored, and the guaranty relationship between different users and guaranties is also stored, the guaranty relationship is divided into active guaranty [ a user sets a user as his or her own guarantor, and the other party agrees ] and passive guaranty [ two users belong to the same group, for example: company, home, etc.); the same principle is used for a preset guarantee platform library; the preset constants are specifically: for example, 2; the preset first malicious value threshold specifically includes: for example, 97; the preset second malicious value threshold specifically includes: for example, 98; the preset third malicious value threshold specifically includes: for example, 95; the preset fourth malicious value threshold specifically is: for example, 98;
when malicious values of a user, a guarantor, a publishing platform, and a guaranty platform are obtained, malicious events that occur on the user or the platform [ for example: issue false data, etc. ]; the verification value is calculated based on different malicious values, so that the working efficiency of the system is greatly improved; according to the embodiment of the invention, a guarantee system is adopted, and under the trend of data sharing, each user establishes a guarantee relationship to generate constraint force, so that the cost and the cost of generating malicious events by the user are increased, and the occurrence rate of the malicious events is reduced; meanwhile, the active guarantee and the passive guarantee are analyzed separately, and the method is more reasonable.
It will be apparent to those skilled in the art that various changes and modifications may be made in the present invention without departing from the spirit and scope of the invention. Thus, if such modifications and variations of the present invention fall within the scope of the claims of the present invention and their equivalents, the present invention is also intended to include such modifications and variations.

Claims (9)

1. A method for automatically reimbursing travel based on a ticket identification and configuration engine, comprising:
step S1: recognizing text information on a bill file provided by an employee based on an OCR technology;
step S2: restoring the travel information of the employee based on the text information;
step S3: a parameter engine is configured, and based on the parameter engine, the reimbursement cost and travel subsidy suitable for the travel information are calculated;
step S4: the reimbursement expense is reimbursed, and meanwhile, the travel subsidy is issued;
the method further comprises the following steps:
performing travel simulation based on the travel information to obtain a simulation cost sum, and performing authenticity verification on the cost sum based on the simulation cost sum;
wherein, the travel simulation is performed based on the travel information, and comprises:
extracting the first travel item in the travel information and using the first travel item as a second travel item;
acquiring a preset journey simulation engine, inputting the second journey item into the journey simulation engine, and acquiring a first simulation cost;
acquiring additional information provided by an employee, wherein the additional information comprises: a plurality of first special terms encountered in the trip;
if a second special item corresponding to the second trip item exists in the additional information, analyzing the second special item to obtain a special reason and a special degree;
acquiring preset special big data, and determining whether the special reason and the special degree are real or not based on the special big data;
if yes, determining the common corresponding up-regulation amplitude of the special reason and the special degree based on a preset up-regulation amplitude library;
based on the up-regulation amplitude, the first simulation cost is up-regulated to obtain a second simulation cost;
replacing the first simulated cost with the second simulated cost;
summarizing the first simulation cost and the second simulation cost to obtain a simulation cost sum;
verifying authenticity of the cost sum based on the simulated cost sum, comprising:
and determining a first difference between the simulation cost sum and the cost sum, if the difference is within a preset first difference range, determining that the cost sum is real, otherwise, completing verification.
2. The method for automatically reimbursing travel expenses according to claim 1, wherein said step S2 is: based on the text information, restoring the travel information of the employee, including:
converting the text information into bill structured information based on a preset conversion rule;
extracting time, place, personnel, vehicles, expense types, money amounts and taxes in the bill structured information;
determining a first trip item based on the time, location, person, and the vehicle, the first trip item comprising: origin-destination time, origin-destination place, trip person and trip tool;
determining the first stroke item of the same pedestrian as the first stroke item, taking the first stroke item as a second stroke item, and meanwhile, carrying out time sequence sequencing on the second stroke item based on the corresponding origin-destination time to obtain the complete stroke of the pedestrian;
merging the complete strokes of the pedestrians with the same complete stroke to obtain a merged stroke;
and summarizing the combined travel to obtain the travel information of the staff.
3. The method for automatically reimbursing travel expenses according to claim 2, wherein said step S3 is: and a parameter engine is configured, based on the parameter engine, the suitable reimbursement cost and travel subsidy of the travel information are calculated, and the parameter engine comprises the following steps:
determining a plurality of cost items for the pedestrian based on the person, the fee type, and the amount, the plurality of cost items including: traffic, lodging and miscellaneous fees;
summarizing the amount corresponding to the same expense item to obtain the expense to be reimbursed of the pedestrian;
acquiring a plurality of difference standard systems of a company, and configuring a difference standard checking engine based on the difference standard systems;
inputting the expense to be reimbursed corresponding to each expense item of the pedestrian into the difference standard checking engine, and checking whether the expense meets the difference standard for reimbursement;
if yes, summarizing the expense to be reimbursed to obtain the reimbursement expense of the pedestrian;
acquiring a subsidy system of the company, and configuring a subsidy calculation engine based on the subsidy system;
and inputting the travel information into the subsidy calculation engine to obtain the travel subsidy of each pedestrian.
4. The method for automatically reimbursing travel expenses according to claim 3, wherein said step S4 is: and reimbursing the reimbursement expense, and simultaneously issuing travel subsidies, wherein the reimbursing expense reimbursement expense is composed of the following steps:
summarizing the reimbursement cost of each pedestrian to obtain a cost sum;
summarizing the travel subsidies of the pedestrians to obtain subsidy sums;
summarizing the expense sum and the subsidy sum to obtain a dispensing amount;
acquiring the budget amount of the company;
if the issued amount is less than or equal to the budget amount, calling an interface of a bill checking platform, and checking the authenticity and/or repeated reimbursement of bill information;
if the bill information is qualified, generating an electronic reimbursement bill by supplementing the bill, the complete journey of the pedestrian, reimbursement cost and travel based on a preset reimbursement bill template;
sending the electronic reimbursement bill to a client corresponding to the leader;
and after receiving the agreement request replied by the client, sending the electronic reimbursement bill to a financial department for accounting reimbursement and issuing.
5. The method of claim 1, wherein determining whether the specific cause and the specific degree are true based on the specific big data comprises:
analyzing the special reason to obtain a plurality of reason items, wherein the reason items comprise: a second time, a second location, and a cause type;
formulating a rule based on a preset time interval, and formulating a time interval corresponding to the second time;
formulating a corresponding area of the second location based on a preset area formulation rule;
determining at least one retrieval mode corresponding to the reason type based on a preset retrieval mode library;
retrieving event data occurring in the area in the time interval from the special big data based on the retrieval mode;
extracting a plurality of first event items in the event data, the first event items including: the system comprises a first publisher, a first publishing mode, a first publishing platform and a first event;
determining at least one first characteristic corresponding to the reason type based on a preset characteristic library;
performing feature extraction on the first event to obtain a plurality of second features;
matching the first characteristic with the second characteristic, and if the first characteristic and the second characteristic are matched, taking the corresponding first event item as a second event item;
extracting the first publisher in the second event item and using the first publisher as a second publisher;
extracting the first publishing mode in the second event item, and using the first publishing mode as a second publishing mode, wherein the second publishing mode comprises: direct publishing and indirect publishing;
extracting the first publishing platform in the second event item and using the first publishing platform as a second publishing platform;
when the second issuing mode is direct issuing, acquiring a first verification value of the second issuer, and acquiring a second verification value of the second issuing platform;
if the first verification value is greater than or equal to a preset first verification value threshold value and/or the second verification value is greater than or equal to a preset second verification value threshold value, rejecting the corresponding second event item;
meanwhile, when the second issuing mode is indirect issuing, the corresponding second event item is removed;
when the second event items needing to be removed in the second event items are all removed, obtaining a plurality of third event items;
extracting the first event in the third event item as a second event;
determining a degree determination model corresponding to the reason type based on a preset degree determination model library;
inputting the second event into the degree determination model to obtain a true degree;
and determining a second difference value between the special degree and the real degree, if the second difference value is within a preset second difference value range, the special reason and the degree are both real, otherwise, the special reason and the degree are not real, and finishing the determination.
6. A system for automatically reimbursing travel expenses based on a ticket identification and configuration engine, comprising:
the recognition module is used for recognizing text information on the bill file provided by the employee based on an OCR technology;
the restoring module is used for restoring the travel information of the staff based on the text information;
the calculation module is used for configuring a parameter engine and calculating the reimbursement cost and travel subsidy suitable for the travel information based on the parameter engine;
the reimbursement module is used for reimbursing the reimbursement cost and issuing the travel subsidy;
the system further comprises:
the verification module is used for carrying out travel simulation based on the travel information to obtain simulation cost sum and carrying out authenticity verification on the cost sum based on the simulation cost sum;
the verification module performs the following operations:
extracting the first travel item in the travel information and using the first travel item as a second travel item;
acquiring a preset journey simulation engine, inputting the second journey item into the journey simulation engine, and acquiring a first simulation cost;
acquiring additional information provided by an employee, wherein the additional information comprises: a plurality of first special terms encountered in the trip;
if a second special item corresponding to the second trip item exists in the additional information, analyzing the second special item to obtain a special reason and a special degree;
acquiring preset special big data, and determining whether the special reason and the special degree are real or not based on the special big data;
if yes, determining the common corresponding up-regulation amplitude of the special reason and the special degree based on a preset up-regulation amplitude library;
based on the up-regulation amplitude, the first simulation cost is up-regulated to obtain a second simulation cost;
replacing the first simulated cost with the second simulated cost;
summarizing the first simulation cost and the second simulation cost to obtain a simulation cost sum;
verifying authenticity of the cost sum based on the simulated cost sum, comprising:
and determining a first difference between the simulation cost sum and the cost sum, if the difference is within a preset first difference range, determining that the cost sum is real, otherwise, completing verification.
7. The system for automatically reimbursing travel expenses based on ticket identification and configuration engine of claim 6, wherein said restitution module performs the following operations:
converting the text information into bill structured information based on a preset conversion rule;
extracting time, place, personnel, vehicles, expense types, money amounts and taxes in the bill structured information;
determining a first trip item based on the time, location, person, and the vehicle, the first trip item comprising: origin-destination time, origin-destination place, trip person and trip tool;
determining the first stroke item of the same pedestrian as the first stroke item, taking the first stroke item as a second stroke item, and meanwhile, carrying out time sequence sequencing on the second stroke item based on the corresponding origin-destination time to obtain the complete stroke of the pedestrian;
merging the complete strokes of the pedestrians with the same complete stroke to obtain a merged stroke;
and summarizing the combined travel to obtain the travel information of the staff.
8. The system for automatically reimbursing travel expenses based on ticket identification and configuration engine of claim 7, wherein said calculation module performs the following operations:
determining a plurality of cost items for the pedestrian based on the person, the fee type, and the amount, the plurality of cost items including: traffic, lodging and miscellaneous fees;
summarizing the amount corresponding to the same expense item to obtain the expense to be reimbursed of the pedestrian;
acquiring a plurality of difference standard systems of a company, and configuring a difference standard checking engine based on the difference standard systems;
inputting the expense to be reimbursed corresponding to each expense item of the pedestrian into the difference standard checking engine, and checking whether the expense meets the difference standard for reimbursement;
if yes, summarizing the expense to be reimbursed to obtain the reimbursement expense of the pedestrian;
acquiring a subsidy system of the company, and configuring a subsidy calculation engine based on the subsidy system;
and inputting the travel information into the subsidy calculation engine to obtain the travel subsidy of each pedestrian.
9. The system for automatically reimbursing travel itineraries based on the ticket identification and configuration engine of claim 6, wherein the reimbursement module performs the following operations:
summarizing the reimbursement cost of each pedestrian to obtain a cost sum;
summarizing the travel subsidies of the pedestrians to obtain subsidy sums;
summarizing the expense sum and the subsidy sum to obtain a dispensing amount;
acquiring the budget amount of the company;
if the issued amount is less than or equal to the budget amount, calling an interface of a bill checking platform, and checking the authenticity and/or repeated reimbursement of bill information;
if the bill information is qualified, generating an electronic reimbursement bill by supplementing the bill, the complete journey of the pedestrian, reimbursement cost and travel based on a preset reimbursement bill template;
sending the electronic reimbursement bill to a client corresponding to the leader;
and after receiving the agreement request replied by the client, sending the electronic reimbursement bill to a financial department for accounting reimbursement and issuing.
CN202110907588.9A2021-08-092021-08-09Method and system for automatically reimbursing travel expenses based on bill recognition and configuration engineActiveCN113627438B (en)

Priority Applications (1)

Application NumberPriority DateFiling DateTitle
CN202110907588.9ACN113627438B (en)2021-08-092021-08-09Method and system for automatically reimbursing travel expenses based on bill recognition and configuration engine

Applications Claiming Priority (1)

Application NumberPriority DateFiling DateTitle
CN202110907588.9ACN113627438B (en)2021-08-092021-08-09Method and system for automatically reimbursing travel expenses based on bill recognition and configuration engine

Publications (2)

Publication NumberPublication Date
CN113627438A CN113627438A (en)2021-11-09
CN113627438Btrue CN113627438B (en)2022-03-08

Family

ID=78383598

Family Applications (1)

Application NumberTitlePriority DateFiling Date
CN202110907588.9AActiveCN113627438B (en)2021-08-092021-08-09Method and system for automatically reimbursing travel expenses based on bill recognition and configuration engine

Country Status (1)

CountryLink
CN (1)CN113627438B (en)

Families Citing this family (7)

* Cited by examiner, † Cited by third party
Publication numberPriority datePublication dateAssigneeTitle
CN115099768A (en)*2022-05-232022-09-23远光软件股份有限公司 Expense reimbursement method, device and equipment
CN115796788B (en)*2022-12-062023-07-21中南财经政法大学Automatic data management system and method
CN115660622B (en)*2022-12-282023-09-08在路上(北京)科技有限公司Data processing method and system applied to travel
CN116342305A (en)*2023-03-022023-06-27远光软件股份有限公司Travel expense reimbursement method, device, computer equipment and storage medium
CN116561602B (en)*2023-07-102023-09-19三峡高科信息技术有限责任公司 A method for automatic matching of sales and purchase materials for sales cost carry forward
CN117541336A (en)*2023-12-152024-02-09南方电网互联网服务有限公司 An intelligent clearing method, system and medium for business travel business
CN118469730B (en)*2024-07-112024-09-27浙江网盛数新软件股份有限公司Electronic bill-based disabled person subsidy computing system and method

Citations (1)

* Cited by examiner, † Cited by third party
Publication numberPriority datePublication dateAssigneeTitle
CN111815424A (en)*2020-07-092020-10-23北京中百信信息技术股份有限公司Information system engineering supervision project cost accounting management system

Family Cites Families (10)

* Cited by examiner, † Cited by third party
Publication numberPriority datePublication dateAssigneeTitle
US20120239429A1 (en)*2011-03-142012-09-20Nvoq IncorporatedApparatuses and Methods to Recognize and Optimize Medical Invoice Billing Codes
JP2015095121A (en)*2013-11-122015-05-18株式会社東芝 Medical cost calculation system, portable information processing device, information processing device, and medical cost calculation method in medical cost calculation system
CN111210318A (en)*2018-11-062020-05-29珠海格力电器股份有限公司Travel information query auxiliary method and terminal
CN109919125B (en)*2019-03-192021-03-26厦门商集网络科技有限责任公司 Method and system for restoration of business trip itinerary based on bill recognition
CN110517125A (en)*2019-07-252019-11-29福建亿能达信息技术股份有限公司A kind of automatic method that keeps accounts of travel reimbursement
CN110599317A (en)*2019-08-262019-12-20湖南大唐先一科技有限公司Account reporting and auditing automation method based on rule engine and OCR (optical character recognition)
CN111192019A (en)*2019-12-302020-05-22武汉佰钧成技术有限责任公司Reimbursement processing method of target bill and related equipment
CN111797837A (en)*2020-06-302020-10-20远光软件股份有限公司Intelligent receipt reimbursement method, system, computer equipment and storage medium
CN112017019A (en)*2020-07-102020-12-01苏宁云计算有限公司Automatic reimbursement method and device based on PDF semantic extraction analysis, computer equipment and storage medium
CN112085358A (en)*2020-08-272020-12-15上海云简软件科技有限公司Simple cost control management method for enterprise

Patent Citations (1)

* Cited by examiner, † Cited by third party
Publication numberPriority datePublication dateAssigneeTitle
CN111815424A (en)*2020-07-092020-10-23北京中百信信息技术股份有限公司Information system engineering supervision project cost accounting management system

Also Published As

Publication numberPublication date
CN113627438A (en)2021-11-09

Similar Documents

PublicationPublication DateTitle
CN113627438B (en)Method and system for automatically reimbursing travel expenses based on bill recognition and configuration engine
CN109903553B (en) Multi-source data mining method for identification and inspection of bus alighting stations
Huang et al.A method for bus OD matrix estimation using multisource data
CN108922178B (en) Calculation method of real-time full load rate of public transport vehicles based on multi-source data of public transport
CN108062674A (en)Order fraud recognition methods, system, storage medium and electronic equipment based on GPS
CN105469602B (en)A kind of Forecasting Methodology of the bus passenger waiting time scope based on IC-card data
CN102156732A (en) Station matching method of bus IC card data based on characteristic stations
CN110853156B (en)Passenger OD identification method integrating bus GPS track and IC card data
CN114693906A (en) A method and system for detecting abnormal behavior of travel reimbursement based on spatiotemporal rules
CN113011959A (en)Seven-expense intelligent auditing system and use method thereof
CN107016042B (en)Address information verification system based on user position log
CN105493135A (en)Fee refund system, and method for same
CN106504525A (en) OD matrix generation technology based on IC card data and its application research
Yao et al.Forecasting passenger flow distribution on holidays for urban rail transit based on destination choice behavior analysis
CN107578619B (en) A method for determining the service range of public bicycles in subway stations based on IC card data
Patlins et al.The new approach for passenger counting in public transport system
CN110399364A (en) A Data Fusion Method Based on Multiple Road Detector Data
CN118071229A (en)Network freight service abnormal state identification method based on multi-source data fusion
CN110020666B (en) A public transportation advertisement delivery method and system based on passenger behavior pattern
CN114611909A (en)Risk analysis system and method for financial data
Trepanier et al.Destination estimation from public transport smartcard data
CN111127035B (en)Confidence detection method and system based on track data
KR102245888B1 (en)System and method of building big data for estimating house price using space information
CN116090785B (en)Custom bus planning method for two stages of large-scale movable loose scene
CN114446031B (en) Checkpoint management method and system based on multi-device and multi-dimensional data fusion analysis

Legal Events

DateCodeTitleDescription
PB01Publication
PB01Publication
SE01Entry into force of request for substantive examination
SE01Entry into force of request for substantive examination
GR01Patent grant
GR01Patent grant
TR01Transfer of patent right
TR01Transfer of patent right

Effective date of registration:20230412

Address after:100000 room 206-29, second floor, building 1, No. 1 courtyard, Gongyuan street, Tongzhou District, Beijing

Patentee after:Three Gorges High Technology Information Technology Co.,Ltd.

Patentee after:China Three Gorges Construction Engineering (Group) Co.,Ltd.

Address before:100000 room 206-29, second floor, building 1, No. 1 courtyard, Gongyuan street, Tongzhou District, Beijing

Patentee before:Three Gorges High Technology Information Technology Co.,Ltd.


[8]ページ先頭

©2009-2025 Movatter.jp