Movatterモバイル変換


[0]ホーム

URL:


CN113610459A - Logistics line tariff settlement method and system based on supply chain fund service platform - Google Patents

Logistics line tariff settlement method and system based on supply chain fund service platform
Download PDF

Info

Publication number
CN113610459A
CN113610459ACN202110848270.8ACN202110848270ACN113610459ACN 113610459 ACN113610459 ACN 113610459ACN 202110848270 ACN202110848270 ACN 202110848270ACN 113610459 ACN113610459 ACN 113610459A
Authority
CN
China
Prior art keywords
user
loan
credit
user data
settlement
Prior art date
Legal status (The legal status is an assumption and is not a legal conclusion. Google has not performed a legal analysis and makes no representation as to the accuracy of the status listed.)
Pending
Application number
CN202110848270.8A
Other languages
Chinese (zh)
Inventor
岳峒
曹亚星
王宇
邓伟
夏曙东
孙智彬
张志平
Current Assignee (The listed assignees may be inaccurate. Google has not performed a legal analysis and makes no representation or warranty as to the accuracy of the list.)
Jiangsu Zhongjiao Huiyun Technology Co.,Ltd.
Original Assignee
Jiangsu Zhongjiao Chewang Technology Co ltd
Priority date (The priority date is an assumption and is not a legal conclusion. Google has not performed a legal analysis and makes no representation as to the accuracy of the date listed.)
Filing date
Publication date
Application filed by Jiangsu Zhongjiao Chewang Technology Co ltdfiledCriticalJiangsu Zhongjiao Chewang Technology Co ltd
Priority to CN202110848270.8ApriorityCriticalpatent/CN113610459A/en
Publication of CN113610459ApublicationCriticalpatent/CN113610459A/en
Pendinglegal-statusCriticalCurrent

Links

Images

Classifications

Landscapes

Abstract

The invention provides a logistics line charge settlement method based on a supply chain fund service platform, which comprises the following steps: receiving a fund credit granting request initiated by a user side and corresponding freight task data; performing one-time compliance verification on the user data by using a verification algorithm, inputting the user data subjected to the compliance verification into a preset pre-loan credit granting wind control model, and judging whether loan funds are provided for the user or not; initiating a freight debit/settlement for the user meeting the pre-credit requirement; inputting the user data meeting the pre-loan credit granting requirement into a preset dynamic loan interest rate model again, and determining the amount of the borrowed money of the user; and initiating fund payment to the user meeting the credit requirement in the loan, and completing the borrowing. The invention can make the transport capacity timely obtain the transport fee after completing the transport task and even before starting the transport task, relieve the capital pressure of the logistics carrier enterprise and meet the requirement of timely collecting the transport fee by the driver/carrier.

Description

Logistics line tariff settlement method and system based on supply chain fund service platform
Technical Field
The invention belongs to the technical field of logistics supply chain finance, and particularly relates to a method and a system for settlement of expenses on a logistics line based on a supply chain fund service platform.
Background
In the prior logistics supply chain financial field, a plurality of online charge settlement methods exist, however, the common problem in the current charge settlement system is that a carrier often needs to check by multiple parties after completing a transportation task to obtain the transportation charge, so that the time for the carrier to receive the charge is seriously delayed, similar logistics carrier enterprises bear great fund pressure, and a driver cannot timely collect the transportation charge.
Disclosure of Invention
The purpose of the invention is realized by the following technical scheme.
The invention is based on the business on the logistics supply chain, the business on the trip, accounts payable service, including the fund, the carrier, the owner of goods and the fund service platform of the supply chain, this platform plays the key transfer function of the expense loan of the transportation, settlement among the fund, the carrier, the owner of goods, the driver/carrier, the logistics carrier enterprise can obtain the freight after only needing the check of this platform unilateral, very suitable for lacking the transportation fund, needing to borrow the expense in advance to finish the transport capacity driver/carrier, logistics carrier enterprise this kind of transport capacity, and finish the transport capacity that the task needs to be paid back in time, can relieve the fund pressure of the logistics carrier enterprise effectively, meet the driver/carrier and withdraw the demand of the freight the fastest.
According to a first aspect of the invention, a method for settling charges on a logistics line based on a supply chain fund service platform is provided, which comprises the following steps:
receiving a fund credit granting request initiated by a user side and corresponding freight task data;
checking user data corresponding to the credit granting request, and judging whether the user data is a first-time user;
if yes, automatically guiding the user side to complete the acquisition and analysis of user data;
performing one-time compliance verification on the user data by using a verification algorithm, inputting the user data subjected to the compliance verification into a preset pre-loan credit granting wind control model, and judging whether loan funds are provided for the user or not;
when the user can be provided with loan funds, initiating the transport fee borrowing/settlement for the user meeting the pre-loan credit granting requirement;
inputting the user data meeting the pre-loan credit granting requirement into a preset dynamic loan interest rate model again to determine the amount of the borrowed money of the user;
and initiating fund payment to the user meeting the credit requirement in the loan to complete the borrowing.
Further, the method also comprises the following steps:
receiving a goods receiving document uploaded by a user side after completing a goods transportation task;
informing the initiating end of the freight task to pay corresponding freight fee;
receiving the transport fee, checking the transport fee with the borrowed amount of the user, and paying the borrowed money by the transport fee.
Further, the user data comprises borrowing user identity information, account opening information of a bank card, a face image, vehicle information, first carrying time and waybill information of the borrowing user in the logistics enterprise in nearly six months.
Further, the inputting the user data into a preset credit-ahead credit granting wind control model and judging whether to provide the user with the loan fund includes:
determining feasible credit granting parameters according to standard data of a fund side and compliant user data;
constructing a pre-credit wind control model according to credit parameters;
bringing the user data into a pre-credit wind control model for judgment;
and obtaining whether to put the result or not.
Further, the building of the pre-credit wind control model according to the credit parameters includes:
determining loan conditions according to the credit granting parameters;
constructing a pre-loan credit wind control model according to loan placement conditions;
calculating the loan repayment probability of the user;
the user redemption probability is combined with the institution profit.
Further, the initiating a freight debit/settlement for the user meeting the pre-loan credit requirement when it is determined that the user can be funded, comprises:
carrying out secondary compliance verification on the user data meeting the credit requirement before credit by using a verification algorithm;
and carrying out freight borrowing/settlement on the user data which is verified to be in compliance.
Further, the step of inputting the user data meeting the pre-loan credit granting requirement into the preset dynamic loan interest rate model again to determine the amount of the borrowed money of the user includes:
determining feasible credit granting parameters according to standard data of the financial institution and compliant user data;
constructing a dynamic loan interest rate model in the loan according to the credit granting parameters;
the user data of the borrowed/settled initial freight is brought into a dynamic loan interest rate model for judgment;
a debitable amount of money for the user is determined.
Further, the constructing the dynamic loan interest rate model in the loan according to the credit granting parameters includes:
analyzing the basic risk of the user according to the credit granting parameters;
judging the financial credit risk of the user according to the credit granting parameters;
evaluating the driving risk of the user according to the credit granting parameters;
and constructing a dynamic loan interest rate model in the loan according to the basic risk, the financial credit risk and the driving risk.
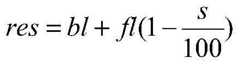
Further, the dynamic loan interest rate model in loan ═ basic interest rate + (composite score · floating benchmark interest rate)
s=b+∑xw
Figure BDA0003181515770000031
Wherein res is the final dynamic interest rate result, bl is the product basic interest rate, and fl is the floating reference interest rate value; s is the composite score, b is the base score, x is the credit granting parameter, and w is the parameter weight.
According to the second aspect of the invention, there is also provided a system for settlement of charges on logistics lines based on a supply chain fund service platform, comprising:
the data extraction module is used for collecting user data from a user side, verifying the user data and extracting the user data which is in compliance;
the pre-loan judging module is used for inputting the compliant user data into a preset pre-loan credit granting wind control model and judging whether loan funds are provided for the user corresponding to the user data;
the freight rate initiating module is used for initiating freight rate borrowing/settlement for the user meeting the pre-loan credit granting requirement when judging that loan funds can be provided for the user;
the interest rate calculation module is used for inputting the user data meeting the pre-loan credit granting requirement into a preset in-loan dynamic loan interest rate model and determining the loanable amount of the user;
and the fund settlement module is used for paying fund for the user data meeting the credit granting requirement in the loan and completing the borrowing.
According to a third aspect of the present invention, there is also provided an electronic device comprising a memory, a processor and a computer program stored on the memory and executable on the processor, the processor executing the computer program to implement the method of the first aspect.
According to a fourth aspect of the present invention, there is also provided a computer readable storage medium having stored thereon a computer program for execution by a processor to perform the method of the first aspect.
The invention has the advantages that: the logistics online charge settlement method and the system based on the supply chain fund service platform can meet the fund requirements of transporters such as logistics carriers, drivers and/or carriers in advance or in time, carry out online credit granting wind control evaluation aiming at the credit of the transporters and carry out online credit wind control evaluation aiming at the occurred actual transportation process. The transport capacity can obtain the transport fee in time after completing the transport task and even before starting the transport task, thereby relieving the capital pressure of the logistics carrier enterprise and meeting the requirement of timely collecting the transport fee by a driver/a carrier.
Drawings
Various other advantages and benefits will become apparent to those of ordinary skill in the art upon reading the following detailed description of the preferred embodiments. The drawings are only for purposes of illustrating the preferred embodiments and are not to be construed as limiting the invention. Also, like reference numerals are used to refer to like parts throughout the drawings. In the drawings:
FIG. 1 is a flow chart of a method for settlement of charges on a logistics line based on a supply chain fund service platform according to an embodiment of the invention;
FIG. 2 illustrates a standard credit decision tree building flow diagram according to an embodiment of the invention;
FIG. 3 shows a further flowchart of a method for settlement of charges on a logistics line based on a supply chain fund service platform according to an embodiment of the invention;
FIG. 4 illustrates a flow diagram of a three-party interactive tariff borrowing service according to an embodiment of the present invention;
FIG. 5 illustrates a four-party interactive freight borrowing flow diagram according to an embodiment of the present invention;
FIG. 6 illustrates a four-party interactive freight settlement flow diagram according to an embodiment of the present invention;
FIG. 7 shows a flow chart of a logistics tariff business based on a supply chain funding service platform according to an embodiment of the invention;
fig. 8 is a schematic structural diagram of a system for settlement of fees on a logistics line based on a supply chain fund service platform according to an embodiment of the invention;
FIG. 9 is a schematic diagram of an electronic device according to an embodiment of the invention;
FIG. 10 shows a schematic diagram of a storage medium according to an embodiment of the invention.
Detailed Description
Exemplary embodiments of the present disclosure will be described in more detail below with reference to the accompanying drawings. While exemplary embodiments of the present disclosure are shown in the drawings, it should be understood that the present disclosure may be embodied in various forms and should not be limited to the embodiments set forth herein. Rather, these embodiments are provided so that this disclosure will be thorough and complete, and will fully convey the scope of the disclosure to those skilled in the art.
The invention discloses a logistics online charge settlement method and a system based on a supply chain fund service platform, which can meet the fund demand of a logistics carrier enterprise and a driver/carrier in time, carry out online credit granting wind control evaluation aiming at the credit of the logistics carrier enterprise and the driver/carrier and carry out online credit wind control evaluation aiming at the occurred actual logistics transportation process.
As shown in fig. 1, a method for settling charges on a logistics line based on a supply chain fund service platform according to the present application includes the following steps:
s100, receiving a fund credit granting request initiated by a user side and corresponding freight task data.
The freight task data comprises freight task information selected by the borrower, including a freight request, a freight order to be carried or a completed freight order.
S200, checking user data corresponding to the credit granting request, and judging whether the user data is a first-time user; if yes, automatically guiding the user side to complete the collection and analysis of the user data.
The user data comprises the identity information of the borrowing user, the account opening information of a bank card, a face image, vehicle information, first carrying time and the waybill information of the borrowing user in the logistics enterprise in nearly six months.
S300, performing one-time compliance verification on the user data by using a verification algorithm, inputting the user data subjected to the compliance verification into a preset pre-loan credit granting wind control model, and judging whether loan funds are provided for the user or not.
The predefined checking algorithm may be performed by querying a white list in the database, for example. For example, if the borrowing user identity information is in a white list, the check is qualified, and if the borrowing user identity information is in a black list, the check is not qualified, and the like.
Wherein S300 further comprises:
s301, determining feasible credit granting parameters according to standard data of a fund side and compliant user data;
s302, constructing a pre-credit wind control model according to credit parameters;
wherein, S302 further comprises:
s3021, determining loan conditions according to the credit granting parameters;
as shown in FIG. 2, suppose that the financial institution obtains profit g from the borrowing user who repays according to the contract, the borrowing user suffers loss l due to the default, the probability of the good borrowing user is p, the segment weight of the repayment of the borrowing user is p, and the segment weight of the default of the borrowing user is 1-p. If the financial institution accepts each borrower's request, the expected profit for each loan is pg + (1-p) (-l); if the financial institution rejects each borrower's application, the expected profit is 0. Thus, under the expected value criterion, the financial institution accepts the application to satisfy the condition pg- (1-p) l >0 or p/(1-p) > l/g
Where p/(1-p) is the ratio of the probability of a good borrowing user to the probability of a bad borrowing user, also called the good-bad ratio.
S3022, constructing a pre-loan credit wind control model (standard credit decision tree) according to loan conditions;
wherein, the decision tree is assumed to have only two predicted values of probability: high (H) and low (L) repayment probability. The financial institution decides whether to offer a loan to each borrower. If provided, the next event is whether the borrower accepts the institution loan contract, which is a decision for the borrower, but for the financial institution a random event, given that the probability of the loan being accepted is q. Resulting in a standard credit decision tree as shown in fig. 3.
If the initial prediction indicates that the borrowing user has a great possibility of repayment, the result probabilities are p (H) and 1-p (H); if on the contrary, the probabilities of these results are p (L) and 1-p (L). The conditions for receiving the borrowed user with high predicted repayment probability are
q[p(H)g+(1-p(H))(-l)]>0
The condition for receiving a borrowed user with a low predicted repayment likelihood is
q[p(L)g+(1-p(L))(-l)]>0
Currently, the probability q of acceptance of a loan by a borrower does not temporarily affect the decision. The condition of accepting the application is that the predicted risk X of the borrowing user meets the requirement
Figure BDA0003181515770000061
If p (G | X) ═ p (X) is defined as good person probability corresponding to risk X, and p (B | X) ═ 1-p (X) is bad person probability, then
Figure BDA0003181515770000062
Here, o (G | X) represents a good person ratio, which is a ratio of a good person probability to a bad person probability. This can be extended to a range of different resulting situations. When X ∈ X, the financial institution may fetch a borrower who satisfies the above formula in order to maximize profit.
S3023, calculating the loan repayment probability of the user;
and S3024, combining the repayment probability of the user with the profit of the organization.
S303, bringing the user data into a pre-credit wind control model for judgment;
s304, obtaining whether the result of loan is obtained.
The matching check of the freight rate information of the freight note and the vehicle track of the user who has good financial credit, the user who does not exceed three months in operation of the logistics platform and the user who has more than three months in operation is distinguished, and the user is granted with the pre-credit amount of 1-5 ten thousand.
And S400, when the user can be provided with loan funds, initiating the transport fee borrowing/settlement for the user meeting the pre-loan credit granting requirement.
Wherein S400 further comprises:
s401, carrying out secondary compliance verification on the user data meeting the credit requirement before credit by using a verification algorithm;
s402, payment borrowing/settlement is initiated for the user data which is checked to be in compliance.
The predefined checking algorithm in step S401 may be the same as the algorithm in S300. This may be done, for example, using a white list query in a database. For example, if the borrowing user identity information is in a white list, the check is qualified, and if the borrowing user identity information is in a black list, the check is not qualified, and the like. Of course, those skilled in the art will appreciate that the predefined checking algorithm in step S401 may be different from the algorithm in S300.
And S500, inputting the user data meeting the pre-loan credit granting requirement into the preset dynamic loan interest rate model again, and determining the loanable amount of the user.
Wherein S500 further comprises:
s501, determining feasible credit granting parameters according to standard data of a financial institution and compliant user data;
s502, constructing a dynamic loan interest rate model in the loan according to the credit granting parameters;
wherein, S502 further comprises:
s5021, analyzing basic risks of the user according to the credit granting parameters;
wherein, the credit granting parameter comprises: the method comprises the following steps of user basic portrait data (basic credit information such as user age, academic calendar, occupation, income and mobile phone online time), user consumption behavior data, user credit data (personal judicial complaint information and user history loan and default information depending on credit report analysis), and user driving data (vehicle mileage, oil consumption, number of operating vehicles, high-speed driving mileage, vehicle age, vehicle running routes, vehicle residual value evaluation and other information comprehensive analysis owner driver operation and income data).
S5022, judging financial credit risks of the user according to the credit granting parameters;
s5023, evaluating the driving risk of the user according to the credit granting parameters;
and S5024, constructing a dynamic loan interest rate model in the loan according to the basic risk, the financial credit risk and the driving risk analysis result.
Each scoring node comprises a scoring index of the type, each node comprehensively evaluates the comprehensive scoring of the type of the user according to the scoring of each index, and the comprehensive scoring is obtained after all the nodes are scored.
Finally, the following results are obtained: dynamic loan interest rate model in loan ═ basic interest rate + (composite score · floating benchmark interest rate)
s=b+∑xw
Figure BDA0003181515770000081
Wherein res is the final dynamic interest rate result, bl is the product basic interest rate, and fl is the floating reference interest rate value; s is the comprehensive score, b is the basic score, x is the credit granting parameter, and w is the parameter weight; the higher the final score, the smaller the final dynamic interest rate.
Wherein, b1 is the interest rate of the loan product when releasing, and has different values for individual and enterprise users, and is a fixed value. f1 is the difference between the highest rate and the product definition rate, wherein b is the basic score defined as 50 points, and the user score value range is generally 50-100 and can be adjusted.
Wherein, whether the recent borrowed user and the logistics carrier enterprise have good financial credit, whether the current waybill is matched with the vehicle track, etc. needs to be judged.
S503, bringing the user data of the payment/settlement of the initiated freight into a dynamic loan interest rate model for judgment;
and S504, determining the borrowable amount of the user.
The step of determining the borrowable amount of the user refers to the step of finally determining the borrowable amount of the user according to the analysis result of the dynamic loan interest rate model in the loan and the freight charge of the freight order.
S600, initiating fund payment to the user meeting the credit granting requirement in the loan, and completing the borrowing.
Wherein S600 further comprises:
s601, initiating a fund borrowing request to a fund providing end;
s602, the fund providing end lends equivalent fund according to the determined borrowable amount;
s603, paying the funds lent by the fund providing end to the user meeting the credit granting requirement in the loan, and completing the borrowing.
As shown in fig. 3, the method for settling charges on a logistics line based on a supply chain fund service platform further includes the following steps:
s700, receiving a receiving receipt uploaded by a user side after the freight task is completed.
And S800, informing the initiating end of the freight task to pay corresponding freight fee.
And S900, receiving the freight, checking the freight with the borrowed amount of the user, and paying the borrowed money by the freight.
Wherein S900 further comprises:
s901, receiving the freight and checking with the borrowed amount of the user;
s902, when the borrowed amount is equal to the transportation fee, the money of the fund provider is paid by the transportation fee;
and S903, when the borrowing amount is smaller than the transportation fee, the remaining transportation fee is paid to the user after the transportation fee is used for payment of the fund providing end.
When the borrowed amount is smaller than the transportation fee, the user still bears a part of the transportation fee except for the borrowed amount, and the supply chain fund service platform continues to balance the part of the transportation fee borne by the user with the residual transportation fee after the fund provider is borrowed.
As shown in fig. 4, the application scenario of the three-party interactive tariff borrowing business method of the present application is a three-party interactive tariff settlement business process based on a fund, a cargo owner and a carrier of a supply chain fund service platform, wherein the fund is equivalent to a lender, the cargo owner is equivalent to a guarantee carrier, and the carrier is equivalent to a borrower. The method comprises the following steps:
(1) the shipper and the carrier sign a transportation agreement;
(2) the carrier initiates a transport fee borrowing request to a fund party;
(3) the fund provider deposits the fund into the carrier account according to the borrowing request;
(4) the carrier completes the transportation task;
(5) the owner initiates the payment of the transport fee to the fund party;
(6) if the borrowing is less than the shipping cost, the shipper will make up a portion of the shipping cost that is borne in addition to the borrowing to the carriers.
The steps of this embodiment may also be:
(1) the shipper and the carrier sign a transportation agreement;
(2) the carrier completes the transportation task;
(3) the carrier initiates a freight settlement request to a fund party;
(4) the fund provider deposits the fund into the carrier account according to the settlement request;
(5) the owner initiates the payment of the transport fee to the fund party;
(6) if the borrowing is less than the shipping cost, the shipper will make up a portion of the shipping cost that is borne in addition to the borrowing to the carriers.
As shown in fig. 5, the application scenario of the four-party interactive freight borrowing method is a fund party, a cargo owner, a carrier and a supply chain fund service platform, wherein the fund party is equivalent to a lender, the cargo owner is equivalent to a guarantee person, the carrier is equivalent to a borrower, the supply chain fund service platform is equivalent to a treasured payment or financing platform, and the whole process is interaction of four-party behaviors and provides responsibility of fund consignment and supervision pneumatic control for merchants and users. The method comprises the following steps:
(1) the method comprises the steps that a cargo owner has cargo transportation requirements, and initiates an online cargo transportation request and a cargo transportation order on a supply chain fund service platform;
(2) the carrier selects a freight order to be transported by a shipper and signs a transportation protocol; a carrier has a demand for borrowing freight and initiates an online credit granting request on a supply chain fund service platform;
(3) the supply chain fund service platform checks the credit granting request of the carrier, the freight request of the shipper, the carrier information and the freight order information, and judges whether the service is a first-time user or not according to the carrier information;
(4) if yes, the supply chain fund service platform returns an applicant online credit authorization URL to the carrier, and automatically guides the carrier to input credit authorization information, including the processes of binding cards, face recognition and the like, so as to complete acquisition and analysis;
(5) the supply chain fund service platform carries out compliance verification on the carrier information and carries out pre-credit wind control decision aiming at the compliant carrier information;
(6) if the pre-credit wind control requirement is met, the supply chain fund service platform informs the carrier to initiate an online freight borrowing request;
(7) the supply chain fund service platform checks the transport fee borrowing request, stores the carrier information and the freight order information and pushes the information to a fund side for recording;
(8) the supply chain fund service platform carries out compliance verification on the carrier information again, and carries out loan stroke control decision aiming at the compliant carrier information;
(9) if the wind control requirement in the loan is met, the supply chain fund service platform determines the debit amount and pushes the debit amount to a fund side;
(10) the fund side lends the fund to a supply chain fund service platform according to the determined borrowing amount;
(11) the supply chain fund service platform pays the fund to the carrier;
(12) after completing the freight order, the carrier uploads the receiving receipt to a supply chain fund service platform;
(13) the supply chain fund service platform informs the shipper to pay the freight fee;
(14) the shipper pays the freight to the supply chain fund service platform;
(15) the supply chain fund service platform checks the freight owner freight and the loan fund of the fund party and returns the equivalent freight to the fund party; when the borrower borrows less than the freight rate, the remaining freight rate is continuously returned to the carrier.
As shown in fig. 6, the application scenario of the four-party interactive freight settlement method of the present application is a funder, a shipper, a carrier, and a supply chain fund service platform, wherein the funder is equivalent to a lender, the shipper is equivalent to a guarantee, the carrier is equivalent to a borrower, the supply chain fund service platform is equivalent to a treasury payment or financing platform, and the overall process is the interaction of four-party behaviors, and provides fund consignment and supervision and pneumatic control duties for merchants and users. The method comprises the following steps:
(1) the method comprises the steps that a cargo owner has cargo transportation requirements, and initiates an online cargo transportation request and a cargo transportation order on a supply chain fund service platform;
(2) the carrier selects a freight order to be transported by a shipper and signs a transportation protocol; after completing the freight order, the carrier uploads the receiving receipt to a supply chain fund service platform;
(3) the carrier has the freight settlement requirement and initiates an online credit granting request on a supply chain fund service platform;
(4) the supply chain fund service platform checks the credit granting request of the carrier, the freight request of the shipper, the carrier information and the freight order information, and judges whether the service is a first-time user or not according to the carrier information;
(5) if yes, the supply chain fund service platform returns an applicant online credit authorization URL to the carrier, and automatically guides the carrier to input credit authorization information, including the processes of binding cards, face recognition and the like, so as to complete acquisition and analysis;
(6) the supply chain fund service platform carries out compliance verification on the carrier information and carries out pre-credit wind control decision aiming at the compliant carrier information;
(7) if the pre-credit wind control requirement is met, the supply chain fund service platform informs the carrier to initiate an online freight settlement request;
(8) the supply chain fund service platform checks the freight settlement request, stores the carrier information and the freight order information and pushes the information to a fund side for recording;
(9) the supply chain fund service platform carries out compliance verification on the carrier information again, and carries out loan stroke control decision aiming at the compliant carrier information;
(10) if the wind control requirement in the loan is met, the supply chain fund service platform determines the debit amount and pushes the debit amount to a fund side;
(11) the fund side lends the fund to a supply chain fund service platform according to the determined borrowing amount;
(12) the supply chain fund service platform pays funds to the carriers and informs the shippers of paying the freight fee;
(13) the shipper pays the freight to the supply chain fund service platform;
(14) the supply chain fund service platform checks the freight owner freight and the loan fund of the fund party and returns the equivalent freight to the fund party; when the borrower borrows less than the freight rate, the remaining freight rate is continuously returned to the carrier.
As shown in fig. 7, the application scenario of the logistics expense service based on the supply chain fund service platform of the present application is a fund party, a goods owner, a carrier, and a supply chain fund service platform, wherein the fund party is equivalent to a lender, the goods owner is equivalent to a guarantee, the carrier is equivalent to a borrower, the supply chain fund service platform is equivalent to a treasurer payment or financing platform, and the overall process is an interaction of four-party behaviors, and provides responsibility for a merchant and a user for fund payment and supervision and wind control. The method comprises the following steps:
(1) the fund provider determines the loan amount according to the credit risk evaluation result of the supply chain fund service platform on the carrier and lends the equivalent fund to the supply chain fund service platform;
(2) the supply chain fund service platform pays the fund to the carrier;
(3) after the shipper completes the freight order, the shipper pays the freight to the supply chain fund service platform;
(4) the supply chain fund service platform is used for clearing the loan of a fund party by using the freight;
(5) if the carrier borrows less than the actual shipping cost, the supply chain funds service platform will replenish the carrier with the shipping cost in addition to the borrowing.
The borrowing of the carrier is less than the actual freight charge, which means that the carrier still bears a part of freight charge except for borrowing, and the supply chain fund service platform continues to balance the part of freight charge borne by the carrier with the residual freight charge after the fund borrower is completely paid.
As shown in fig. 8, a system for settlement of charges on a logistics line based on a supply chain fund service platform according to the present application includes the following modules:
the data extraction module 501 is configured to collect user data from a user side, perform verification, and extract compliant user data;
the pre-loan judging module 502 is configured to input compliant user data into a preset pre-loan credit granting wind control model, and judge whether to provide loan funds to a user corresponding to the user data;
a freight initiation module 503, configured to initiate a freight borrowing/settlement for the user meeting the pre-loan credit granting requirement when it is determined that loan funds can be provided to the user;
the interest rate calculation module 504 is used for inputting the user data meeting the pre-loan credit granting requirement into a preset dynamic loan interest rate model in the loan and determining the loanable amount of the user;
and the fund settlement module 505 is used for paying the fund for the user data meeting the credit requirement in the loan and completing the borrowing.
The logistics online charge settlement system based on the supply chain fund service platform provided by the embodiment of the application and the logistics online charge settlement method based on the supply chain fund service platform provided by the embodiment of the application have the same inventive concept and have the same beneficial effects as methods adopted, operated or realized by application programs stored in the logistics online charge settlement system based on the supply chain fund service platform.
The embodiment of the application also provides an electronic device corresponding to the method for settlement of the charge on the logistics line based on the supply chain fund service platform provided by the foregoing embodiment, so as to execute the method for settlement of the charge on the logistics line based on the supply chain fund service platform. The embodiments of the present application are not limited.
As shown in fig. 9, a schematic structural diagram of an electronic device of the present application is shown. The electronic device 2 includes: the system comprises aprocessor 200, amemory 201, abus 202 and acommunication interface 203, wherein theprocessor 200, thecommunication interface 203 and thememory 201 are connected through thebus 202; thememory 201 stores a computer program operable on theprocessor 200, and theprocessor 200 executes the computer program to execute the method for settlement of charges on a logistics line based on a supply chain fund service platform provided in any one of the previous embodiments of the present application.
TheMemory 201 may include a high-speed Random Access Memory (RAM) and may further include a non-volatile Memory (non-volatile Memory), such as at least one disk Memory. The communication connection between the network element of the apparatus and at least one other network element is realized through at least one communication interface 203 (which may be wired or wireless), and the internet, a wide area network, a local network, a metropolitan area network, etc. may be used.
Bus 202 can be an ISA bus, PCI bus, EISA bus, or the like. The bus may be divided into an address bus, a data bus, a control bus, etc. Thememory 201 is used for storing a program, theprocessor 200 executes the program after receiving an execution instruction, and the method for settlement of charges on a logistics line based on a supply chain fund service platform disclosed in any embodiment of the foregoing application may be applied to theprocessor 200, or implemented by theprocessor 200.
Theprocessor 200 may be an integrated circuit chip having signal processing capabilities. In implementation, the steps of the above method may be performed by integrated logic circuits of hardware or instructions in the form of software in theprocessor 200. TheProcessor 200 may be a general-purpose Processor, and includes a Central Processing Unit (CPU), a Network Processor (NP), and the like; but may also be a Digital Signal Processor (DSP), an Application Specific Integrated Circuit (ASIC), an off-the-shelf programmable gate array (FPGA) or other programmable logic device, discrete gate or transistor logic, discrete hardware components. The various methods, steps, and logic blocks disclosed in the embodiments of the present application may be implemented or performed. A general purpose processor may be a microprocessor or the processor may be any conventional processor or the like. The steps of the method disclosed in connection with the embodiments of the present application may be directly implemented by a hardware decoding processor, or implemented by a combination of hardware and software modules in the decoding processor. The software module may be located in ram, flash memory, rom, prom, or eprom, registers, etc. storage media as is well known in the art. The storage medium is located in thememory 201, and theprocessor 200 reads the information in thememory 201 and completes the steps of the method in combination with the hardware thereof.
The electronic device provided by the embodiment of the application and the method for settlement of the expenses on the logistics line based on the supply chain fund service platform provided by the embodiment of the application have the same inventive concept and have the same beneficial effects as the method adopted, operated or realized by the electronic device.
As shown in fig. 10, the present application further provides a computer-readable storage medium corresponding to the method for settlement of charges on a logistics line based on a supply chain fund service platform provided in the foregoing embodiment, which shows the computer-readable storage medium as anoptical disc 30, on which a computer program (i.e., a program product) is stored, and when the computer program is executed by a processor, the computer program performs the method for settlement of charges on a logistics line based on a supply chain fund service platform provided in any of the foregoing embodiments.
It should be noted that examples of the computer-readable storage medium may also include, but are not limited to, phase change memory (PRAM), Static Random Access Memory (SRAM), Dynamic Random Access Memory (DRAM), other types of Random Access Memory (RAM), Read Only Memory (ROM), Electrically Erasable Programmable Read Only Memory (EEPROM), flash memory, or other optical and magnetic storage media, which are not described in detail herein.
The computer-readable storage medium provided by the above embodiment of the present application and the method for settlement of charges on a logistics line based on a supply chain fund service platform provided by the embodiment of the present application have the same inventive concept, and have the same beneficial effects as the method adopted, operated or implemented by the application program stored in the computer-readable storage medium.
It should be noted that:
the algorithms and displays presented herein are not inherently related to any particular computer, virtual machine, or other apparatus. Various general purpose devices may be used with the teachings herein. The required structure for constructing such a device will be apparent from the description above. In addition, this application is not directed to any particular programming language. It will be appreciated that a variety of programming languages may be used to implement the teachings of the present application as described herein, and any descriptions of specific languages are provided above to disclose the best modes of the present application.
In the description provided herein, numerous specific details are set forth. However, it is understood that embodiments of the application may be practiced without these specific details. In some instances, well-known methods, structures and techniques have not been shown in detail in order not to obscure an understanding of this description.
Similarly, it should be appreciated that in the foregoing description of exemplary embodiments of the application, various features of the application are sometimes grouped together in a single embodiment, figure, or description thereof for the purpose of streamlining the application and aiding in the understanding of one or more of the various inventive aspects. However, the disclosed method should not be interpreted as reflecting an intention that: this application is intended to cover such departures from the present disclosure as come within known or customary practice in the art to which this invention pertains. Rather, as the following claims reflect, inventive aspects lie in less than all features of a single foregoing disclosed embodiment. Thus, the claims following the detailed description are hereby expressly incorporated into this detailed description, with each claim standing on its own as a separate embodiment of this application.
Those skilled in the art will appreciate that the modules in the device in an embodiment may be adaptively changed and disposed in one or more devices different from the embodiment. The modules or units or components of the embodiments may be combined into one module or unit or component, and furthermore they may be divided into a plurality of sub-modules or sub-units or sub-components. All of the features disclosed in this specification (including any accompanying claims, abstract and drawings), and all of the processes or elements of any method or apparatus so disclosed, may be combined in any combination, except combinations where at least some of such features and/or processes or elements are mutually exclusive. Each feature disclosed in this specification (including any accompanying claims, abstract and drawings) may be replaced by alternative features serving the same, equivalent or similar purpose, unless expressly stated otherwise.
Furthermore, those skilled in the art will appreciate that while some embodiments described herein include some features included in other embodiments, rather than other features, combinations of features of different embodiments are meant to be within the scope of the application and form different embodiments. For example, in the following claims, any of the claimed embodiments may be used in any combination.
The various component embodiments of the present application may be implemented in hardware, or in software modules running on one or more processors, or in a combination thereof. Those skilled in the art will appreciate that a microprocessor or Digital Signal Processor (DSP) may be used in practice to implement some or all of the functions of some or all of the components in the creation apparatus of a virtual machine according to embodiments of the present application. The present application may also be embodied as apparatus or device programs (e.g., computer programs and computer program products) for performing a portion or all of the methods described herein. Such programs implementing the present application may be stored on a computer readable medium or may be in the form of one or more signals. Such a signal may be downloaded from an internet website or provided on a carrier signal or in any other form.
It should be noted that the above-mentioned embodiments illustrate rather than limit the application, and that those skilled in the art will be able to design alternative embodiments without departing from the scope of the appended claims. In the claims, any reference signs placed between parentheses shall not be construed as limiting the claim. The word "comprising" does not exclude the presence of elements or steps not listed in a claim. The word "a" or "an" preceding an element does not exclude the presence of a plurality of such elements. The application may be implemented by means of hardware comprising several distinct elements, and by means of a suitably programmed computer. In the unit claims enumerating several means, several of these means may be embodied by one and the same item of hardware. The usage of the words first, second and third, etcetera do not indicate any ordering. These words may be interpreted as names.
The above description is only for the specific embodiments of the present application, but the scope of the present application is not limited thereto, and any person skilled in the art can easily conceive various changes or substitutions within the technical scope of the present application, and these should be covered by the scope of the present application. Therefore, the protection scope of the present application shall be subject to the protection scope of the claims.

Claims (10)

1. A logistics line charge settlement method based on a supply chain fund service platform is characterized by comprising the following steps:
receiving a fund credit granting request initiated by a user side and corresponding freight task data;
checking user data corresponding to the credit granting request, and judging whether the user data is a first-time user;
if yes, automatically guiding the user side to complete the acquisition and analysis of the user data;
performing one-time compliance verification on the user data by using a verification algorithm, inputting the user data subjected to the compliance verification into a preset pre-loan credit granting wind control model, and judging whether loan funds are provided for the user or not;
initiating a transport fee debit/settlement for the user meeting the pre-loan credit requirement when it is determined that loan funds can be provided to the user;
inputting the user data meeting the pre-loan credit granting requirement into a preset dynamic loan interest rate model again, and determining the amount of the borrowed money of the user;
and initiating fund payment to the user meeting the credit requirement in the loan, and completing the borrowing.
2. The method for settlement of charges on logistics lines based on supply chain fund service platform as claimed in claim 1, further comprising the steps of:
receiving a receiving receipt uploaded by the user side after the freight task is completed;
informing the initiating end of the freight task to pay corresponding freight fee;
receiving the shipping charge and checking with the amount of the borrowed money of the user, and clearing the borrowed money with the shipping charge.
3. The method for settlement of charges on logistics line based on supply chain fund service platform as claimed in claim 1,
the user data comprises the identity information of the borrowing user, the account opening information of the bank card, the face image, the vehicle information, the first carrying time and the waybill information of the borrowing user in the logistics enterprise in about six months.
4. The method for settlement of charges on logistics line based on supply chain fund service platform as claimed in claim 1,
the step of inputting the user data into a preset pre-loan credit granting wind control model and judging whether loan funds are provided for the user comprises the following steps:
determining feasible credit granting parameters according to standard data of a fund side and compliant user data;
constructing the pre-credit wind control model according to the credit granting parameters;
substituting the user data into the pre-credit wind control model for judgment;
and obtaining whether to put the result or not.
5. The method for settlement of charges on logistics line based on supply chain fund service platform as claimed in claim 4,
the method for constructing the pre-credit wind control model according to the credit granting parameters comprises the following steps:
determining loan conditions according to the credit granting parameters;
constructing the pre-loan credit wind control model according to the loan condition;
calculating the loan repayment probability of the user;
combining the user redemption probability with the institution profit.
6. The method for settlement of charges on logistics line based on supply chain fund service platform as claimed in claim 1,
initiating a freight debit/settlement for the user meeting pre-loan credit requirements when it is determined that loan funds can be provided to the user, comprising:
carrying out secondary compliance verification on the user data meeting the credit requirement before credit by using a verification algorithm;
and carrying out freight borrowing/settlement on the user data which is verified to be in compliance.
7. The method for settlement of charges on logistics line based on supply chain fund service platform according to any one of claims 1 to 6,
inputting the user data meeting the pre-loan credit granting requirement into a preset dynamic loan rate model again to determine the amount of the borrowed money of the user, wherein the method comprises the following steps:
determining feasible credit granting parameters according to standard data of the financial institution and compliant user data;
constructing a dynamic loan interest rate model in the loan according to the credit granting parameters;
bringing the user data which has initiated the freight borrowing/settlement into the dynamic loan interest rate model for judgment;
determining a debitable amount of money for the user.
8. The method for settlement of charges on logistics line based on supply chain fund service platform as claimed in claim 7,
the constructing of the dynamic loan interest rate model in the loan according to the credit granting parameters comprises:
analyzing the basic risk of the user according to the credit granting parameters;
judging the financial credit risk of the user according to the credit granting parameters;
evaluating the driving risk of the user according to the credit granting parameters;
and constructing the dynamic loan interest rate model in the loan according to the basic risk, the financial credit risk and the driving risk.
9. The method for settlement of charges on logistics line based on supply chain fund service platform as claimed in claim 8,
the dynamic loan interest rate model in loan ═ basic interest rate + (composite score · floating benchmark interest rate)
s=b+∑xw
Figure FDA0003181515760000031
Wherein res is the final dynamic interest rate result, bl is the product basic interest rate, and fl is the floating reference interest rate value; s is the composite score, b is the base score, x is the credit granting parameter, and w is the parameter weight.
10. A logistics line charge settlement system based on a supply chain fund service platform is characterized by comprising:
the data extraction module is used for collecting user data from a user side, verifying the user data and extracting the user data which is in compliance;
the pre-loan judgment module is used for inputting the compliant user data into a preset pre-loan credit wind control model and judging whether loan funds are provided for the user corresponding to the user data;
the freight rate initiating module is used for initiating freight rate borrowing/settlement for the user meeting the pre-loan credit granting requirement when judging that loan funds can be provided for the user;
the interest rate calculation module is used for inputting the user data meeting the pre-loan credit granting requirement into a preset dynamic loan interest rate model in the loan and determining the loanable amount of the user;
and the fund settlement module is used for paying fund for the user data meeting the credit granting requirement in the credit and completing the borrowing.
CN202110848270.8A2021-07-272021-07-27Logistics line tariff settlement method and system based on supply chain fund service platformPendingCN113610459A (en)

Priority Applications (1)

Application NumberPriority DateFiling DateTitle
CN202110848270.8ACN113610459A (en)2021-07-272021-07-27Logistics line tariff settlement method and system based on supply chain fund service platform

Applications Claiming Priority (1)

Application NumberPriority DateFiling DateTitle
CN202110848270.8ACN113610459A (en)2021-07-272021-07-27Logistics line tariff settlement method and system based on supply chain fund service platform

Publications (1)

Publication NumberPublication Date
CN113610459Atrue CN113610459A (en)2021-11-05

Family

ID=78305536

Family Applications (1)

Application NumberTitlePriority DateFiling Date
CN202110848270.8APendingCN113610459A (en)2021-07-272021-07-27Logistics line tariff settlement method and system based on supply chain fund service platform

Country Status (1)

CountryLink
CN (1)CN113610459A (en)

Cited By (2)

* Cited by examiner, † Cited by third party
Publication numberPriority datePublication dateAssigneeTitle
CN118886912A (en)*2024-07-232024-11-01安徽共生众服供应链技术研究院有限公司 System and method for drivers of online freight platform to withdraw freight in advance based on risk assessment
CN120317980A (en)*2025-06-172025-07-15杭州祐全科技发展有限公司 Supply chain finance dynamic credit system and method based on food procurement and distribution and food safety assessment

Citations (7)

* Cited by examiner, † Cited by third party
Publication numberPriority datePublication dateAssigneeTitle
JP2001306962A (en)*2000-04-172001-11-02Sanwa Bank LtdCommodity transaction system with funds raising function
US20090187482A1 (en)*2008-01-222009-07-23United Parcel Services Of America, Inc.Systems, Methods, and Computer Program Products for Supply Chain Finance
CN109064312A (en)*2018-07-172018-12-21深圳汇加优运互联数据服务有限公司A kind of loan for vehicle risk control method, electronic device and storage medium
CN109523370A (en)*2017-09-182019-03-26好多宝信息技术(深圳)有限公司A kind of waybill loan transaction processing method, apparatus and system
CN111445324A (en)*2020-03-262020-07-24宁波全致金融科技有限公司Logistics industry micropayment loan wind control method, model and device
CN112435112A (en)*2019-08-262021-03-02营利度富信息系统(上海)有限公司Bank internet credit wind control method for small and micro enterprises
CN112785270A (en)*2021-01-252021-05-11邦邦(天津)商业保理有限公司Financial service system and method for supply chain of automobile parts

Patent Citations (7)

* Cited by examiner, † Cited by third party
Publication numberPriority datePublication dateAssigneeTitle
JP2001306962A (en)*2000-04-172001-11-02Sanwa Bank LtdCommodity transaction system with funds raising function
US20090187482A1 (en)*2008-01-222009-07-23United Parcel Services Of America, Inc.Systems, Methods, and Computer Program Products for Supply Chain Finance
CN109523370A (en)*2017-09-182019-03-26好多宝信息技术(深圳)有限公司A kind of waybill loan transaction processing method, apparatus and system
CN109064312A (en)*2018-07-172018-12-21深圳汇加优运互联数据服务有限公司A kind of loan for vehicle risk control method, electronic device and storage medium
CN112435112A (en)*2019-08-262021-03-02营利度富信息系统(上海)有限公司Bank internet credit wind control method for small and micro enterprises
CN111445324A (en)*2020-03-262020-07-24宁波全致金融科技有限公司Logistics industry micropayment loan wind control method, model and device
CN112785270A (en)*2021-01-252021-05-11邦邦(天津)商业保理有限公司Financial service system and method for supply chain of automobile parts

Cited By (2)

* Cited by examiner, † Cited by third party
Publication numberPriority datePublication dateAssigneeTitle
CN118886912A (en)*2024-07-232024-11-01安徽共生众服供应链技术研究院有限公司 System and method for drivers of online freight platform to withdraw freight in advance based on risk assessment
CN120317980A (en)*2025-06-172025-07-15杭州祐全科技发展有限公司 Supply chain finance dynamic credit system and method based on food procurement and distribution and food safety assessment

Similar Documents

PublicationPublication DateTitle
US20230058786A1 (en)Multi-modal routing engine and processing architecture for orchestration of variable lending rate terms using cryptocurrency collateral
US8660943B1 (en)Methods and systems for financial transactions
US20080281734A1 (en)System and method for integrated credit application and tax refund estimation
US20140344152A1 (en)Method of providing secure payment and transaction reconciliation
US20170178134A1 (en)Systems and methods for predicting chargebacks
KR102337298B1 (en)A management system for parts supplement
KR102523673B1 (en)Apparatus and method of disposal of non-performing loans using pool of non-performing loan buyers
KR20210010298A (en)System for global electronic commerce
BregeAn efficiency model of Section 363 (b) sales
CN118297685A (en)Money transaction execution system, method and computer program based on social information
CN117670514A (en)User credit auditing method, device, equipment and storage medium
KR102699976B1 (en)System for providing comparative estimation service for long-term car rental and lease
CN111161066B (en) Methods and storage media for issuance of fake usance letters of credit based on blockchain
CN113223228B (en)Method and device for checking financial invoice information of automobile
US20200090264A1 (en)Credit Optimization Platform
CN113610459A (en)Logistics line tariff settlement method and system based on supply chain fund service platform
US20140279395A1 (en)System and methods for providing least cost data acquisition for financial decisions
KR102610056B1 (en)System for providing vehicel scrapping platform service
US20220327591A1 (en)Automatically determining an acquisition threshold for an exchange item
Morriss et al.Private dispute resolution in the card context: Structure, reputation, and incentives
KR101842686B1 (en)System of Automobile Installment Finance
CN118278937B (en)Tolerance fault-tolerant method, system and medium based on blockchain intelligent financial platform
KR102749904B1 (en)System and method for responding to overdue payment for secured automobile mortgage loan
US20090248576A1 (en)Variable rates for third party bill payment over net (tpbp) and other services
US20240046232A1 (en)System and method for managing debt

Legal Events

DateCodeTitleDescription
PB01Publication
PB01Publication
SE01Entry into force of request for substantive examination
SE01Entry into force of request for substantive examination
TA01Transfer of patent application right

Effective date of registration:20240424

Address after:Floor 4, Building 2, No. 49 Wengang South Road, Xinhe Street, Yannan High tech Zone, Yancheng City, Jiangsu Province, 224001

Applicant after:Jiangsu Zhongjiao Huiyun Technology Co.,Ltd.

Country or region after:China

Address before:224000 Room 301, building 2, No. 49, Wengang South Road, Yannan high tech Zone, Yancheng City, Jiangsu Province

Applicant before:Jiangsu Zhongjiao CheWang Technology Co.,Ltd.

Country or region before:China

TA01Transfer of patent application right

[8]ページ先頭

©2009-2025 Movatter.jp