Movatterモバイル変換


[0]ホーム

URL:


CN113609653A - Intelligent building group distributed optimal scheduling method based on point-to-point electric energy sharing - Google Patents

Intelligent building group distributed optimal scheduling method based on point-to-point electric energy sharing
Download PDF

Info

Publication number
CN113609653A
CN113609653ACN202110799247.4ACN202110799247ACN113609653ACN 113609653 ACN113609653 ACN 113609653ACN 202110799247 ACN202110799247 ACN 202110799247ACN 113609653 ACN113609653 ACN 113609653A
Authority
CN
China
Prior art keywords
building
electric energy
power
formula
buildings
Prior art date
Legal status (The legal status is an assumption and is not a legal conclusion. Google has not performed a legal analysis and makes no representation as to the accuracy of the status listed.)
Granted
Application number
CN202110799247.4A
Other languages
Chinese (zh)
Other versions
CN113609653B (en
Inventor
张虹
李佳旺
王明晨
白洋
张茜
姜德龙
Current Assignee (The listed assignees may be inaccurate. Google has not performed a legal analysis and makes no representation or warranty as to the accuracy of the list.)
Northeast Electric Power University
Original Assignee
Northeast Dianli University
Priority date (The priority date is an assumption and is not a legal conclusion. Google has not performed a legal analysis and makes no representation as to the accuracy of the date listed.)
Filing date
Publication date
Application filed by Northeast Dianli UniversityfiledCriticalNortheast Dianli University
Priority to CN202110799247.4ApriorityCriticalpatent/CN113609653B/en
Publication of CN113609653ApublicationCriticalpatent/CN113609653A/en
Application grantedgrantedCritical
Publication of CN113609653BpublicationCriticalpatent/CN113609653B/en
Activelegal-statusCriticalCurrent
Anticipated expirationlegal-statusCritical

Links

Images

Classifications

Landscapes

Abstract

The invention relates to an intelligent building group distributed optimal scheduling method based on point-to-point electric energy sharing, which solves the problem by aiming at the day-ahead optimal scheduling strategy of a building group, and adopts an improved rapid alternate direction multiplier method to solve on the basis of a standard alternate direction multiplier method, so that the information safety in the scheduling process can be ensured; meanwhile, due to an internal transaction price mechanism determined by the power supply and demand relationship among the buildings, ordered point-to-point power sharing among all the main bodies can be realized, further complementation and interaction of resources among the buildings are promoted, nearly balanced supply and demand power is achieved, further expansion of a distribution network is achieved, user privacy information is protected, calculation burden is reduced, and relative independence of scheduling is guaranteed.

Description

Intelligent building group distributed optimal scheduling method based on point-to-point electric energy sharing
Technical Field
The invention relates to the field of intelligent building group electric energy sharing, in particular to an intelligent building group distributed optimization scheduling method based on point-to-point electric energy sharing.
Background
On one hand, a large number of schedulable resources are aggregated in the intelligent building, the intelligent building has the electric energy production and consumption capacity, and can autonomously participate in market operation; on the other hand, the energy utilization modes of the intelligent buildings have good complementary characteristics and interaction relations, the requirement of nearby consumption of distributed energy resources can be met, and the advantages of resource sharing and mutual economy are brought into play. Therefore, how to optimize the resource allocation of the intelligent building and realize resource sharing among the buildings so as to improve the economy and flexibility of the overall operation of the system has important significance.
Point-to-point P2P (Peer-to-Peer) energy sharing supported by a decentralized trading mechanism can enable intelligent building groups to directly participate in wholesale or retail markets, and improve the initiative of the intelligent building groups in participating in the markets. However, in the power sharing process of the intelligent building group P2P, a large amount of data exchange is generated, which will increase the calculation burden and threaten the privacy security of the user information.
Disclosure of Invention
The invention provides an intelligent building group distributed optimal scheduling method based on point-to-point electric energy sharing aiming at the problems in the prior art, and due to an internal transaction price mechanism determined by the electric energy supply and demand relationship among buildings, the method can realize ordered point-to-point electric energy sharing among all main bodies, further promote the complementation and interaction of resources among the buildings, achieve nearly balanced supply and demand power, protect user privacy information, reduce calculation burden and ensure relative independence of scheduling.
The technical scheme for realizing the invention is as follows:
1. an intelligent building group distributed optimal scheduling method based on point-to-point electric energy sharing is characterized by comprising the following steps:
1) establishing an intelligent building resource model:
a. ice cold-storage energy storage system model:
the ice storage energy storage system IES stores cold energy in a cold storage medium by using electric energy, and performs ice melting to release the cold energy when needed; building construction
Figure BDA0003164014360000011
The model of the ice storage energy storage system IES system is as follows:
Figure BDA0003164014360000012
Figure BDA0003164014360000013
in the formula: a scheduling period T belongs to {1,2,. eta, T, T + Δ T,. eta, T }; t represents a scheduling period, and delta T is a scheduling step length;
Figure BDA0003164014360000014
the cold storage capacity of an IES system in a building n at a time t; β represents ice storage efficiency;
Figure BDA0003164014360000015
and
Figure BDA0003164014360000016
respectively representing the electric power consumed by the IES system for ice making and the cold power released by ice melting in the building n during the t period; kappaice,nAnd
Figure BDA0003164014360000017
respectively representing the coefficient of performance of ice making of the IES system in the building n and the thermal efficiency of exchange between the IES system and the building;
Figure BDA0003164014360000021
and
Figure BDA0003164014360000022
respectively representing the upper limit values of ice making consumed electric power and ice melting released cold power of an IES system in a building n;
Figure BDA0003164014360000023
representing a maximum storage capacity of the IES system within the building n;
b. electric energy storage system model:
the electric energy storage system EES stores electric energy when the electric energy is surplus and releases the electric energy when the electric energy is in short supply; the model is as follows:
Figure BDA0003164014360000024
Figure BDA0003164014360000025
in the formula:
Figure BDA0003164014360000026
representing the electric energy storage amount of an EES system in a building n at a time t;
Figure BDA0003164014360000027
and
Figure BDA0003164014360000028
representing the charge and discharge efficiency of an EES system in a building n;
Figure BDA0003164014360000029
and
Figure BDA00031640143600000210
respectively charging and discharging power of an EES system in a building n at a time interval t;
Figure BDA00031640143600000211
and
Figure BDA00031640143600000212
is the charge and discharge power limit of the EES system within building n;
Figure BDA00031640143600000213
and
Figure BDA00031640143600000214
respectively representing the upper limit value and the lower limit value of the energy storage capacity of an EES system in a building n;
Figure BDA00031640143600000215
representing an initial energy storage amount of an EES within a building n; equation (4) ensures that the EES does not over-charge/over-discharge during operation, an
Figure BDA00031640143600000216
Not less than
Figure BDA00031640143600000217
The service life of the EES system can be prolonged, and the emergency requirement can be met;
c. photovoltaic model:
each building is provided with a photovoltaic power generation PV system, and the generated electricity can be shared by other buildings and sold to a retail electricity provider REP besides supplying self load; according to the actual electric energy demand condition, photovoltaic output is allowed to be reduced, and the model is as follows:
Figure BDA00031640143600000218
Figure BDA00031640143600000219
in the formula:
Figure BDA00031640143600000220
photovoltaic power actually scheduled for the building n at the time t;
Figure BDA00031640143600000221
predicting a maximum photovoltaic output value for the building n at the time t;
Figure BDA00031640143600000222
light abandon amount for building n in t period
Figure BDA00031640143600000224
And
Figure BDA00031640143600000225
respectively representing the actual upper limit value and the actual lower limit value of n photovoltaic output of the building in the period t; mu is the maximum allowable light rejection ratio coefficient, and 20 percent is taken;
d. controllable load energy efficiency model:
warming, ventilating and air conditioning load:
HVAC load is one of the main controllable loads in an intelligent building, and the indoor temperature of the intelligent building provided with the HVAC unit is as follows:
Figure BDA00031640143600000226
in the formula (I), the compound is shown in the specification,
Figure BDA0003164014360000031
represents the indoor temperature of the building n during the period t; cn、RnAnd ω is the HVAC unit operating parameter within the building n;
Figure BDA0003164014360000032
outdoor temperature for time period t;
Figure BDA0003164014360000033
representing the electric energy consumed by the refrigeration of the building n during the t period;
typically, the room is set to a most comfortable temperature, and a utility function is established based on thermal comfort, expressed as:
Figure BDA0003164014360000034
in the formula of Un,HVACA utility function for HVAC loads within a building n; mnIs a given normal number, and ensures that the utility is a positive value in practical application; gamma raynIs a quantized coefficient; t isrefIs a set reference temperature;
secondly, the load of the electric appliance can be transferred:
when the load of the SEA of the transferable electric appliance deviates from the expected energy consumption, the user experience is influenced, and the utility function of the SEA is defined as follows:
Figure BDA0003164014360000035
in the formula of Un,SEAA utility function for SEA loads within building n;
Figure BDA0003164014360000036
sensitivity to load shifting;
Figure BDA0003164014360000037
the electric energy consumption of SEA in the building n is t time period;
Figure BDA0003164014360000038
expected energy consumption for SEA within a building n for a period t;
flexible business service load:
there is a flexible business service FCS load in a commercial building, the FCS is able to implement utility by consuming electrical energy, expressing the FCS utility function as:
Figure BDA0003164014360000039
in the formula: u shapen,FCSUtility function for FCS load in building n; deltanPreference coefficient for FCS;
Figure BDA00031640143600000310
power consumed by the FCS within a building n for a period of t;
2) establishing a point-to-point electric energy sharing model:
a. point-to-point electric energy transaction price model:
the electric energy sharing among the intelligent buildings is completely point-to-point P2P, and each building can sell or purchase electric energy to other buildings; when two buildings share electric energy, the electric energy transaction price is determined by two parties according to the supply and demand relationship and the electric energy transaction price with a retail electric power supplier REP;
the electric energy demand and supply condition of each building are determined by the net power of the building, and the net power of the building n in the period t is as follows:
Figure BDA00031640143600000311
in the formula:
Figure BDA00031640143600000312
net power representing a building n for a period t;
Figure BDA00031640143600000313
representing the total power consumption of the building n during the t period;
net power if building n is in time t
Figure BDA00031640143600000314
If the current value is positive, the building n purchases electric energy from other buildings or REP; net power if building n is in time t
Figure BDA0003164014360000041
If the value is negative, the building n sells surplus electric energy to other buildings or REP:
Figure BDA0003164014360000042
Figure BDA0003164014360000043
in the formula:
Figure BDA0003164014360000044
and
Figure BDA0003164014360000045
respectively representing the electric energy demand and supply quantity of the building n in the time period t;
in the t period, the supply and demand ratios of the electric energy of the building n to the building m when the building n sells and buys the electric energy
Figure BDA0003164014360000046
And
Figure BDA0003164014360000047
comprises the following steps:
Figure BDA0003164014360000048
according to the supply and demand relationship between the P2P power sharing parties and the power transaction price with the REP, the power transaction price between the buildings is obtained as follows:
Figure BDA0003164014360000049
Figure BDA00031640143600000410
in the formula:
Figure BDA00031640143600000411
and
Figure BDA00031640143600000412
respectively representing the electricity purchasing/selling prices of the building n to the building m in the time period t;
Figure BDA00031640143600000413
and
Figure BDA00031640143600000414
the price of electricity purchase/sale when the building group and the REP are in transaction in the time period t respectively;
P2P electric energy sharing operation constraint:
the electric energy sharing price among all buildings in the intelligent building group is limited between the electricity selling price and the electricity purchasing price for trading with the REP electric energy so as to promote local consumption of the local photovoltaic power generation, and the electric energy sharing price meets the following constraint:
Figure BDA00031640143600000415
when electric energy is shared among buildings, the shared energy needs to meet the constraint of line capacity; in the same time period, electricity purchase and sale between two buildings cannot occur simultaneously, and the energy transmission constraint is satisfied as follows:
Figure BDA00031640143600000416
in the formula:
Figure BDA00031640143600000417
and
Figure BDA00031640143600000418
respectively representing the electricity purchasing/selling quantity of the building n to the building m in the time period t;
Figure BDA00031640143600000419
the maximum transmission power which can be borne by a line between a building n and a building m;
Figure BDA00031640143600000420
the variable is 0-1, the electricity purchasing/selling state of the building n is represented, when 1 is taken, electricity purchasing from the building n to the building m is represented, and when 0 is taken, electricity selling from the building n to the building m is represented;
besides the constraint conditions of the formula (17) and the formula (18), the energy coupling constraint must be satisfied when the P2P electric energy is shared between buildings:
Figure BDA0003164014360000051
3) the intelligent building group optimal scheduling model and the solving method comprise the following steps:
a. establishing an objective function:
the method comprises the steps that P2P electric energy sharing is considered among intelligent buildings, various resources are coordinated and scheduled, a day-ahead economic scheduling model with electric energy transaction cost, equipment operation and maintenance cost, light abandoning penalty and controllable load CL energy efficiency used in the process of establishing the model with the aim of lowest total operation cost of an intelligent building group as a target, and the optimization aim is as follows:
Figure BDA0003164014360000052
in the formula: f is the total operating cost of the intelligent building group;
Figure BDA0003164014360000053
the operating cost for building n;
Figure BDA0003164014360000054
trading costs for n electrical energy for the building;
Figure BDA0003164014360000055
the operation and maintenance cost of n devices of the building is saved;
Figure BDA0003164014360000056
abandoning light punishment for the building n; u shapen(Pcl,n) Representing energy efficiency usage of controllable loads in a building n;
electric energy transaction cost:
the electric energy transaction cost of the building n comprises the electric energy transaction cost of the building n and the REP
Figure BDA0003164014360000057
And cost sharing with other building P2P power
Figure BDA0003164014360000058
Namely:
Figure BDA0003164014360000059
Figure BDA00031640143600000510
Figure BDA00031640143600000511
in the formula:
Figure BDA00031640143600000512
and
Figure BDA00031640143600000513
respectively representing the electric energy demand and supply quantity when the buildings n and REP carry out electric energy transaction in the time period t; alpha is alphatIs the carbon emission additional tax for the t period;
the equipment operation and maintenance cost is as follows:
the equipment operation and maintenance cost of the building n comprises IES equipment operation and maintenance cost
Figure BDA00031640143600000514
EES equipment operation and maintenance cost
Figure BDA00031640143600000515
And PV plant operation and maintenance costs
Figure BDA00031640143600000516
Namely:
Figure BDA00031640143600000517
Figure BDA0003164014360000061
in the formula:
Figure BDA0003164014360000062
and
Figure BDA0003164014360000063
the unit operation and maintenance cost of IES equipment, EES equipment and PV equipment in a building n;
Figure BDA0003164014360000064
and
Figure BDA0003164014360000065
respectively output values of IES equipment and EES equipment in the building n at the time interval t;
abandon the light punishment:
in order to improve the consumption level of photovoltaic power generation, punishment is carried out on abandoned light, namely:
Figure BDA0003164014360000066
in the formula: cabRepresenting the unit light abandon penalty;
energy efficiency for CL:
Un(Pcl,n)=Un,HVAC+Un,SEA+Un,FCS (27)
b. establishing a constraint condition:
energy building power balance constraint:
in the scheduling process, to ensure power balance in the building n, under the condition of neglecting network loss, the following constraints should be satisfied:
Figure BDA0003164014360000067
in the formula: kappar,nA coefficient of performance representing cooling provided by HVAC units within a building n;
Figure BDA0003164014360000068
representing the basic power demand of building n for time period t;
REP electric energy interactive constraint:
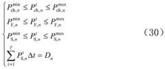
building n and REP electric energy interaction power should satisfy the constraint that:
Figure BDA0003164014360000069
in the formula:
Figure BDA00031640143600000610
and
Figure BDA00031640143600000611
respectively carrying out electric energy transaction purchasing/selling power upper limit values for the buildings n and the REP;
CL power consumption constraint:
to ensure normal operation of CL in a building, it should be ensured that the operational constraints are satisfied as:
Figure BDA00031640143600000612
in the formula:
Figure BDA0003164014360000071
and
Figure BDA0003164014360000072
respectively the upper limit and the lower limit of the energy consumption of the HVAC units in the building n;
Figure BDA0003164014360000073
and
Figure BDA0003164014360000074
minimum and maximum limits for ensuring proper operation of the FCS in the building n, respectively;
Figure BDA0003164014360000075
and
Figure BDA0003164014360000076
respectively an upper limit value and a lower limit value of SEA consumed power in a building n; dnSEA electrical energy requirements that must be met for building n during a scheduling period;
fourthly, internal temperature restraint:
in order to ensure the comfort of the user in the scheduling period, the indoor temperature of the building must be kept within an acceptable range, and the following constraints should be satisfied:
Figure BDA0003164014360000077
in the formula:
Figure BDA0003164014360000078
and
Figure BDA0003164014360000079
respectively an upper limit value and a lower limit value of n indoor temperatures of the building;
c. distributed scheduling model and solution based on fast ADMM:
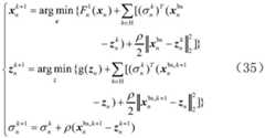
the rapid ADMM algorithm is an improved ADMM algorithm by using an accelerated gradient method, and a problem is decomposed into a plurality of subproblems to be subjected to distributed iterative solution, so that the goal of global optimization of the system can be realized only by interacting a small amount of information; according to the standard ADMM rationale, the expression of the optimization problem is as follows:
Figure BDA00031640143600000710
in the formula:
Figure BDA00031640143600000711
a decision variable for building n;
Figure BDA00031640143600000712
sharing power for building n with P2P of other buildings; the second equation is all the equality constraints, where A is the coefficient matrix and B is the parameter matrix(ii) a The third equation is the building n internal constraint; chi shapenA policy feasible region for the building n formed by the constraint expressions (2), (4), (6), (18) and the expressions (28) to (30); distributed solution is carried out by adopting standard ADMM, and an auxiliary variable z is introducedn
Figure BDA00031640143600000713
Then its augmented lagrange function is:
Figure BDA00031640143600000714
in the formula: sigmanIs a dual variable corresponding to constraint (33); rho is a parameter; g (z)n) To indicate a function, in which the variable znSatisfying feasible domain time g (z)n) G (z) when the feasible region is not satisfied, 0n)=∞;
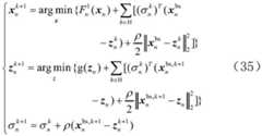
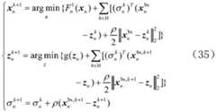
Thus, the original problem is decomposed into formula (35):
Figure BDA0003164014360000081
in the formula: k represents the number of iterations;
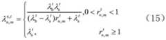
after the standard ADMM is improved by using an accelerated gradient method, the solving formula of the rapid ADMM algorithm is expressed as follows;
Figure BDA0003164014360000082
in the formula:
Figure BDA0003164014360000083
is a new dual variable, satisfies
Figure BDA0003164014360000084
θnTo accelerate the operator;
the original residual error is used as a convergence criterion, the convergence precision is epsilon, and when a constraint formula (37) is established, the algorithm converges and outputs an optimal solution;
Figure BDA0003164014360000085
the calculation steps for solving the day-ahead distributed optimal scheduling of the intelligent building group by adopting the rapid ADMM are as follows:
firstly, in the day-ahead stage, after the REP issues the day-ahead electricity price, each building initializes parameters and shares the self electric energy with information
Figure BDA0003164014360000086
Sharing to other buildings;
② passing-through type (36) updating for each building
Figure BDA0003164014360000087
And will be updated
Figure BDA0003164014360000088
Sharing to other buildings;
after each building receives the updated electric energy sharing information from other buildings, the electric energy sharing information is updated through a formula (36)
Figure BDA0003164014360000089
Until all buildings are updated once;
update of each building through type (36)
Figure BDA00031640143600000810
The above iteration steps are repeated until equation (37) is satisfied.
The intelligent building group distributed optimal scheduling method based on point-to-point electric energy sharing has the beneficial effects that:
1. on the basis of meeting the thermal comfort and energy utilization requirements of users in a building, an ice storage energy storage system is introduced to meet the cooling requirements in the building, and the integral operation economy and flexibility of the system are taken into consideration, so that a day-ahead optimization scheduling model of an intelligent building group is built;
2. an intelligent building group distributed optimal scheduling method based on point-to-point electric energy sharing provides an internal trading price mechanism determined by the electric energy supply and demand relationship among buildings, and can realize ordered point-to-point electric energy sharing among all main bodies, further promote the complementation and interaction of resources among the buildings, achieve near balance of supply and demand power, and further expand the capacity of a distribution network;
3. the intelligent building group distributed optimal scheduling method based on point-to-point electric energy sharing aims at solving problems of day-ahead optimal scheduling strategies of building groups, and solves the problems by adopting an improved rapid alternate direction multiplier method on the basis of a standard alternate direction multiplier method, so that the information safety in the scheduling process can be ensured, the operation and communication burden is effectively reduced, and the method has the advantages of being scientific and reasonable, strong in applicability, good in effect and the like.
Drawings
FIG. 1 is a schematic diagram of an intelligent building complex energy management framework;
FIG. 2 is a schematic diagram of daily loads of each building in the intelligent building group;
FIG. 3 is a schematic diagram of photovoltaic predicted output of each building of the intelligent building group;
FIG. 4 is a schematic diagram of the trade situation between each building of the intelligent building group and REP electric energy;
FIG. 5 is a schematic diagram of a power sharing situation of P2P between buildings in an intelligent building group;
FIG. 6 is a schematic diagram of photovoltaic power utilization;
FIG. 7 is a schematic diagram of the indoor temperature of a building equipped with HVAC units;
FIG. 8 is a schematic diagram of HVAC energy consumption for building 1 in each of the examples of embodiment 1;
FIG. 9 is a schematic diagram of the HVAC electrical energy consumption of building 2 of the various examples of embodiment 1;
FIG. 10 is a schematic diagram of the HVAC electrical energy consumption of building 4 in each of the examples of embodiment 1;
FIG. 11 is a schematic diagram of the SEA power consumption of building 3 in each of the examples of embodiment 1;
fig. 12 is a schematic diagram showing FCS power consumption of building 4 in each calculation example of example 1.
Detailed Description
The present invention will be described in further detail with reference to the accompanying drawings 1 to 12 and examples, and the embodiments described herein are merely illustrative and are not intended to limit the present invention.
The intelligent building group distributed optimal scheduling method based on point-to-point electric energy sharing comprises the following contents:
1) constructing an intelligent building group energy management framework:
consider a building complex of N intelligent buildings, each connected to a communication network by electrical power. According to the bidirectional flow characteristics of electric energy and information, a building group energy management framework is constructed as shown in the attached figure 1. Each building comprises Photovoltaic (PV) and Controllable Load (CL), and some buildings comprise Energy Storage Systems (ESS), and the ESS comprises an EES System and an IES System. Each building is equipped with an Energy Management System (EMS) and Advanced Metering Infrastructure (AMI) capable of controlling the internal PV, ESS and CL resources to achieve P2P power sharing.
The EMS in each building predicts the PV output and load demand of the EMS according to the historical electricity generation and utilization data, and transmits the expected shared electric energy information to other buildings point to point. Each building integrates the electric energy expected to be shared by other buildings based on the electric price information shared by Retail electric power suppliers (REP) and the inter-building electric energy transaction price, determines the purchase and sale plans from the REP and other buildings, and transmits the latter information to other buildings. And each building refers to the electricity purchasing and selling plan of each other, and updates the own plan continuously and iteratively until the requirements of all buildings in the building group are met. The building directly participates in the electric energy transaction through a point-to-point electric energy sharing mechanism, and insufficient electric energy needs are acquired from the REP place for purchasing electricity; the surplus power may be returned to the REP for revenue.
2) Establishing an intelligent building resource model:
e. ice cold-storage energy storage system model:
the ice storage energy storage system IES stores cold energy in the cold storage medium by using electric energy and melts the cold energy when neededIce releases cold energy; building construction
Figure BDA0003164014360000101
The model of the ice storage energy storage system IES system is as follows:
Figure BDA0003164014360000102
Figure BDA0003164014360000103
in the formula: a scheduling period T belongs to {1,2,. eta, T, T + Δ T,. eta, T }; t represents a scheduling period, and delta T is a scheduling step length;
Figure BDA0003164014360000104
the cold storage capacity of an IES system in a building n at a time t; β represents ice storage efficiency;
Figure BDA0003164014360000105
and
Figure BDA0003164014360000106
respectively representing the electric power consumed by the IES system for ice making and the cold power released by ice melting in the building n during the t period; kappaice,nAnd
Figure BDA0003164014360000107
respectively representing the coefficient of performance of ice making of the IES system in the building n and the thermal efficiency of exchange between the IES system and the building;
Figure BDA0003164014360000108
and
Figure BDA0003164014360000109
respectively representing the upper limit values of ice making consumed electric power and ice melting released cold power of an IES system in a building n;
Figure BDA00031640143600001010
represents IE in building nS, the maximum storage capacity of the system;
f. electric energy storage system model:
the electric energy storage system EES stores electric energy when the electric energy is surplus and releases the electric energy when the electric energy is in short supply; the model is as follows:
Figure BDA00031640143600001011
Figure BDA00031640143600001012
in the formula:
Figure BDA00031640143600001013
representing the electric energy storage amount of an EES system in a building n at a time t;
Figure BDA00031640143600001014
and
Figure BDA00031640143600001015
representing the charge and discharge efficiency of an EES system in a building n;
Figure BDA00031640143600001016
and
Figure BDA00031640143600001017
respectively charging and discharging power of an EES system in a building n at a time interval t;
Figure BDA00031640143600001018
and
Figure BDA00031640143600001019
is the charge and discharge power limit of the EES system within building n;
Figure BDA0003164014360000111
and
Figure BDA0003164014360000112
respectively representing the upper limit value and the lower limit value of the energy storage capacity of an EES system in a building n;
Figure BDA0003164014360000113
representing an initial energy storage amount of an EES within a building n; equation (4) ensures that the EES does not over-charge/over-discharge during operation, an
Figure BDA0003164014360000114
Not less than
Figure BDA0003164014360000115
The service life of the EES system can be prolonged, and the emergency requirement can be met;
g. photovoltaic model:
each building is provided with a photovoltaic power generation PV system, and the generated electricity can be shared by other buildings and sold to a retail electricity provider REP besides supplying self load; according to the actual electric energy demand condition, photovoltaic output is allowed to be reduced, and the model is as follows:
Figure BDA0003164014360000116
Figure BDA0003164014360000117
in the formula:
Figure BDA0003164014360000118
photovoltaic power actually scheduled for the building n at the time t;
Figure BDA0003164014360000119
predicting a maximum photovoltaic output value for the building n at the time t;
Figure BDA00031640143600001110
the light abandon quantity of the building n in the period t;
Figure BDA00031640143600001111
and
Figure BDA00031640143600001112
respectively representing the actual upper limit value and the actual lower limit value of n photovoltaic output of the building in the period t; mu is the maximum allowable light rejection ratio coefficient, and 20 percent is taken;
h. controllable load energy efficiency model:
warming, ventilating and air conditioning load:
HVAC load is one of the main controllable loads in an intelligent building, and the indoor temperature of the intelligent building provided with the HVAC unit is as follows:
Figure BDA00031640143600001113
in the formula (I), the compound is shown in the specification,
Figure BDA00031640143600001114
represents the indoor temperature of the building n during the period t; cn、RnAnd ω is the HVAC unit operating parameter within the building n;
Figure BDA00031640143600001115
outdoor temperature for time period t;
Figure BDA00031640143600001116
representing the electric energy consumed by the refrigeration of the building n during the t period;
typically, the room is set to a most comfortable temperature, and a utility function is established based on thermal comfort, expressed as:
Figure BDA00031640143600001117
in the formula of Un,HVACA utility function for HVAC loads within a building n; mnIs a given normal number, and ensures that the utility is a positive value in practical application; gamma raynIs a quantized coefficient; t isrefIs a set reference temperature;
secondly, the load of the electric appliance can be transferred:
when the load of the SEA of the transferable electric appliance deviates from the expected energy consumption, the user experience is influenced, and the utility function of the SEA is defined as follows:
Figure BDA0003164014360000121
in the formula of Un,SEAA utility function for SEA loads within building n;
Figure BDA0003164014360000122
sensitivity to load shifting;
Figure BDA0003164014360000123
the electric energy consumption of SEA in the building n is t time period;
Figure BDA0003164014360000124
expected energy consumption for SEA within a building n for a period t;
flexible business service load:
there is a flexible business service FCS load in a commercial building, the FCS is able to implement utility by consuming electrical energy, expressing the FCS utility function as:
Figure BDA0003164014360000125
in the formula: u shapen,FCSUtility function for FCS load in building n; deltanPreference coefficient for FCS;
Figure BDA0003164014360000126
power consumed by the FCS within a building n for a period of t;
3) point-to-point power sharing model:
c. point-to-point electric energy transaction price model:
the electric energy sharing among the intelligent buildings is completely point-to-point P2P, and each building can sell or purchase electric energy to other buildings; when two buildings share electric energy, the electric energy transaction price is determined by two parties according to the supply and demand relationship and the electric energy transaction price with a retail electric power supplier REP;
the electric energy demand and supply condition of each building are determined by the net power of the building, and the net power of the building n in the period t is as follows:
Figure BDA0003164014360000127
in the formula:
Figure BDA0003164014360000128
net power representing a building n for a period t;
Figure BDA0003164014360000129
representing the total power consumption of the building n during the t period;
net power if building n is in time t
Figure BDA00031640143600001210
If the current value is positive, the building n purchases electric energy from other buildings or REP; net power if building n is in time t
Figure BDA00031640143600001211
If the value is negative, the building n sells surplus electric energy to other buildings or REP:
Figure BDA00031640143600001212
Figure BDA00031640143600001213
in the formula:
Figure BDA00031640143600001214
and
Figure BDA00031640143600001215
respectively representing the electric energy demand and supply quantity of the building n in the time period t;
in the t period, the supply and demand ratios of the electric energy of the building n to the building m when the building n sells and buys the electric energy
Figure BDA00031640143600001216
And
Figure BDA00031640143600001217
comprises the following steps:
Figure BDA00031640143600001218
according to the supply and demand relationship between the P2P power sharing parties and the power transaction price with the REP, the power transaction price between the buildings is obtained as follows:
Figure BDA0003164014360000131
Figure BDA0003164014360000132
in the formula:
Figure BDA0003164014360000133
and
Figure BDA0003164014360000134
respectively representing the electricity purchasing/selling prices of the building n to the building m in the time period t;
Figure BDA0003164014360000135
and
Figure BDA0003164014360000136
the price of electricity purchase/sale when the building group and the REP are in transaction in the time period t respectively;
p2p power sharing operation constraint:
the electric energy sharing price among all buildings in the intelligent building group is limited between the electricity selling price and the electricity purchasing price for trading with the REP electric energy so as to promote local consumption of the local photovoltaic power generation, and the electric energy sharing price meets the following constraint:
Figure BDA0003164014360000137
when electric energy is shared among buildings, the shared energy needs to meet the constraint of line capacity; in the same time period, electricity purchase and sale between two buildings cannot occur simultaneously, and the energy transmission constraint is satisfied as follows:
Figure BDA0003164014360000138
in the formula:
Figure BDA0003164014360000139
and
Figure BDA00031640143600001310
respectively representing the electricity purchasing/selling quantity of the building n to the building m in the time period t;
Figure BDA00031640143600001311
the maximum transmission power which can be borne by a line between a building n and a building m;
Figure BDA00031640143600001312
the variable is 0-1, the electricity purchasing/selling state of the building n is represented, when 1 is taken, electricity purchasing from the building n to the building m is represented, and when 0 is taken, electricity selling from the building n to the building m is represented;
besides the constraint conditions of the formula (17) and the formula (18), the energy coupling constraint must be satisfied when the P2P electric energy is shared between buildings:
Figure BDA00031640143600001313
4) intelligent building group optimal scheduling model and solving method
d. Establishing an objective function:
the method comprises the steps that P2P electric energy sharing is considered among intelligent buildings, various resources are coordinated and scheduled, a day-ahead economic scheduling model with electric energy transaction cost, equipment operation and maintenance cost, light abandoning penalty and controllable load CL energy efficiency used in the process of establishing the model with the aim of lowest total operation cost of an intelligent building group as a target, and the optimization aim is as follows:
Figure BDA00031640143600001314
in the formula: f is the total operating cost of the intelligent building group;
Figure BDA0003164014360000141
the operating cost for building n;
Figure BDA0003164014360000142
trading costs for n electrical energy for the building;
Figure BDA0003164014360000143
the operation and maintenance cost of n devices of the building is saved;
Figure BDA0003164014360000144
abandoning light punishment for the building n; u shapen(Pcl,n) Representing energy efficiency usage of controllable loads in a building n;
electric energy transaction cost:
the electric energy transaction cost of the building n comprises the electric energy transaction cost of the building n and the REP
Figure BDA0003164014360000145
And cost sharing with other building P2P power
Figure BDA0003164014360000146
Namely:
Figure BDA0003164014360000147
Figure BDA0003164014360000148
Figure BDA0003164014360000149
in the formula:
Figure BDA00031640143600001410
and
Figure BDA00031640143600001411
respectively representing the electric energy demand and supply quantity when the buildings n and REP carry out electric energy transaction in the time period t; alpha is alphatIs the carbon emission additional tax for the t period;
the equipment operation and maintenance cost is as follows:
the equipment operation and maintenance cost of the building n comprises IES equipment operation and maintenance cost
Figure BDA00031640143600001412
EES equipment operation and maintenance cost
Figure BDA00031640143600001413
And PV plant operation and maintenance costs
Figure BDA00031640143600001414
Namely:
Figure BDA00031640143600001415
Figure BDA00031640143600001416
in the formula:
Figure BDA00031640143600001417
and
Figure BDA00031640143600001418
the unit operation and maintenance cost of IES equipment, EES equipment and PV equipment in a building n;
Figure BDA00031640143600001419
and
Figure BDA00031640143600001420
respectively output values of IES equipment and EES equipment in the building n at the time interval t;
abandon the light punishment:
in order to improve the consumption level of photovoltaic power generation, punishment is carried out on abandoned light, namely:
Figure BDA00031640143600001421
in the formula: cabRepresenting the unit light abandon penalty;
energy efficiency for CL:
Un(Pcl,n)=Un,HVAC+Un,SEA+Un,FCS (27)
e. establishing a constraint condition:
fifth, building power balance constraint:
in the scheduling process, to ensure power balance in the building n, under the condition of neglecting network loss, the following constraints should be satisfied:
Figure BDA0003164014360000151
in the formula: kappar,nA coefficient of performance representing cooling provided by HVAC units within a building n;
Figure BDA0003164014360000152
representing the basic power demand of building n for time period t;
sixth, REP electric energy interactive constraint:
building n and REP electric energy interaction power should satisfy the constraint that:
Figure BDA0003164014360000153
in the formula:
Figure BDA0003164014360000154
and
Figure BDA0003164014360000155
respectively carrying out electric energy transaction purchasing/selling power upper limit values for the buildings n and the REP;
CL power consumption constraint:
to ensure normal operation of CL in a building, it should be ensured that the operational constraints are satisfied as:
Figure BDA0003164014360000156
in the formula:
Figure BDA0003164014360000157
and
Figure BDA0003164014360000158
respectively the upper limit and the lower limit of the energy consumption of the HVAC units in the building n;
Figure BDA0003164014360000159
and
Figure BDA00031640143600001510
minimum and maximum limits for ensuring proper operation of the FCS in the building n, respectively;
Figure BDA00031640143600001511
and
Figure BDA00031640143600001512
respectively an upper limit value and a lower limit value of SEA consumed power in a building n; dnSEA electrical energy requirements that must be met for building n during a scheduling period;
and eighthly, internal temperature constraint:
in order to ensure the comfort of the user in the scheduling period, the indoor temperature of the building must be kept within an acceptable range, and the following constraints should be satisfied:
Figure BDA00031640143600001513
in the formula:
Figure BDA00031640143600001514
and
Figure BDA00031640143600001515
respectively an upper limit value and a lower limit value of n indoor temperatures of the building;
f. distributed scheduling model and solution based on fast ADMM:
the rapid ADMM algorithm is an improved ADMM algorithm by using an accelerated gradient method, and a problem is decomposed into a plurality of subproblems to be subjected to distributed iterative solution, so that the goal of global optimization of the system can be realized only by interacting a small amount of information; according to the standard ADMM rationale, the expression of the optimization problem is as follows:
Figure BDA0003164014360000161
in the formula:
Figure BDA0003164014360000162
a decision variable for building n;
Figure BDA0003164014360000163
sharing power for building n with P2P of other buildings; the second equation is all equation constraints, wherein A is a coefficient matrix and B is a parameter matrix; the third equation is the building n internal constraint; chi shapenA policy feasible region for the building n formed by the constraint expressions (2), (4), (6), (18) and the expressions (28) to (30); distributed solution is carried out by adopting standard ADMM, and an auxiliary variable z is introducedn
Figure BDA0003164014360000164
Then its augmented lagrange function is:
Figure BDA0003164014360000165
in the formula: sigmanIs a dual variable corresponding to constraint (33); rho is a parameter; g (z)n) To indicate a function, in which the variable znSatisfying feasible domain time g (z)n) G (z) when the feasible region is not satisfied, 0n)=∞;
Thus, the original problem is decomposed into formula (35):
Figure BDA0003164014360000166
in the formula: k represents the number of iterations;
after the standard ADMM is improved by using an accelerated gradient method, the solving formula of the rapid ADMM algorithm is expressed as follows;
Figure BDA0003164014360000167
in the formula:
Figure BDA0003164014360000171
is a new dual variable, satisfies
Figure BDA0003164014360000172
θnTo accelerate the operator;
the original residual error is used as a convergence criterion, the convergence precision is epsilon, and when a constraint formula (37) is established, the algorithm converges and outputs an optimal solution;
Figure BDA0003164014360000173
the calculation steps for solving the day-ahead distributed optimal scheduling of the intelligent building group by adopting the rapid ADMM are as follows:
fifth, in the day-ahead stage, the REP release dayAfter the electricity price is over, each building initializes the parameters and shares the self electric energy with the information
Figure BDA0003164014360000174
Sharing to other buildings;
sixth, each building through type (36) updating
Figure BDA0003164014360000175
And will be updated
Figure BDA0003164014360000176
Sharing to other buildings;
seventhly, after each building receives the updated electric energy sharing information from other buildings, the electric energy sharing information is updated through a formula (36)
Figure BDA0003164014360000177
Until all buildings are updated once;
updating each building by formula (36)
Figure BDA0003164014360000178
The above iteration steps are repeated until equation (37) is satisfied.
In the process, each building only needs to exchange electric energy sharing information with other buildings, and does not need to share related data of photovoltaic, energy storage equipment and loads, so that each building can be independently optimized, and the safety of privacy information of each building is protected.
Example 1:
the building group considered in the embodiment includes 4 intelligent buildings, that is, N is 4; the scheduling period is 8: 00-18: 00; the scheduling step is 1 h. All four buildings are provided with PV systems, the building 1, the building 2 and the building 4 are provided with HVAC units, the building 3 comprises SEA, and the building 4 is provided with FCS. The unit maintenance costs of the IES system, the EES system and the PV are 0.0031$/kW, 0.01$/kW and 0.0036$/kW respectively; the light abandonment penalty cost is 0.2607 $/kW; the carbon emissions add-on tax is 0.02 $/kWh. The electricity price is the time of use electricity price. The daily load and photovoltaic output curves of various buildings are shown in the attached figures 2 and 3. The relevant parameters for the energy efficiency of each building CL are shown in the table 1; in utility function Mn=12。The IES system and EES system parameters are shown in Table 2. The algorithm parameter rho is 0.03, the epsilon is 0.02, the model runs on an MATLAB simulation platform, and the building group optimization submodel is solved by CPLEX.
TABLE 1 controllable load parameters
Table 1Parameters of controllable load
Figure BDA0003164014360000179
TABLE 2ESS parameters
Table 2Parameters of ESS
Figure BDA0003164014360000181
In order to verify the feasibility and the effectiveness of the model provided by the invention, the following three examples are set for verification:
example 1: the building 4 is equipped with an EES system without considering the P2P power sharing.
Example 2: the building 4 is equipped with an EES system in consideration of P2P power sharing.
Example 3: the buildings 4 are provided with IES systems, considering P2P power sharing.
Fig. 4 shows the electric energy transaction between buildings and REP in three examples. As can be seen from fig. 4 (a), the building 2 sells power to the REP in 698.14kWh during the scheduling period, and the building 4 purchases power from the REP in 1206.78 kWh. Since P2P power sharing is not considered between buildings, the difference between each building and REP power transaction is large, and the total net load demand of the building group shows large fluctuation. Example 2 and example 3 each building and REP electric energy transaction situation is shown as (b) and (c) in fig. 4, respectively. P2P electric energy transaction is carried out among all bodies in the building group, the building group needs to purchase electric energy from REP to meet the demand at 8:00-10:00, internal supply and demand balance is realized at 10:00-18:00, and electric energy transaction with the outside is not needed. Therefore, the P2P power sharing strategy provided by the invention can effectively reduce the dependence of the building group on external energy. Compared with the example 2, the electric energy purchased from the REP at 8:00-10:00 of the building 4 in the example 3 is reduced by 29.48kWh, which shows that the ice storage energy storage system is used for meeting the internal cooling requirement of the building aiming at the cold supply characteristic of the building, so that the electric energy requirement of a building group can be further reduced.
The power sharing between buildings in P2P is shown in FIG. 5, in which positive values indicate the former purchasing power from the latter, and negative values indicate the former selling power to the latter. As can be seen from fig. 5 (a), in example 2, the main power transaction between buildings occurs between building 4, building 1 sells power 236.71kWh to building 4, building 2 sells power 612.89kWh to building 4, and building 3 sells power 183.57kWh to building 4. This is because the building 4 has a high electric energy demand and is equipped with the EES system, and the EES system can purchase and store energy from other buildings during the time when the total energy of the building group is surplus, and then supply energy to the building group through the EES system when the energy of the building group is insufficient.
Fig. 5 (b) shows the power sharing situation of P2P in the example 3, which uses the IES with lower operation and maintenance cost to replace the EES system, but does not change the power supply and demand relationship between the buildings, so the result is about the same as the example 2, and it is illustrated that the power transaction situation between the buildings depends on the supply and demand relationship. In the embodiment 3, after the building 4 purchases abundant electric energy, the electric energy is stored in the IES system in a cold energy mode, and when the energy of a building group is insufficient, the IES system can meet the cooling requirement of the building 4 by melting ice and supplying cold, so that the electric energy requirement of the building group is reduced.
The operating costs of the building complex in each of the examples are shown in tables 3, 4 and 5. It can be seen that the operation costs of the building groups of the embodiments 2 and 3 are respectively reduced by $ 81.12 and $ 91.91 compared with the embodiment 1, the P2P electric energy sharing strategy preferentially considers the electric energy transaction in the building group, the electric energy transaction between the building group and the REP is reduced, and the electric energy transaction costs between the building group and the REP are greatly reduced. Meanwhile, the operation cost of each building is reduced, and the P2P electric energy sharing strategy is demonstrated, so that the economic benefit of a single building is ensured while the overall economy of a building group is improved. Compared with the example 2, the IES with lower operation and maintenance cost is adopted in the example 3 to meet the cooling requirement of the building 4, so that the operation cost of the building group is reduced by 10.79$, and the operation economy of the building group is further improved.
TABLE 3 calculation of example 1 building group operating costs
Table 3operation cost of buildings under examples 1
Figure BDA0003164014360000191
TABLE 4 example 2 building group operating costs
Table 4operation cost of buildings under examples 2
Figure BDA0003164014360000192
TABLE 5 EXAMPLE 3 building group operating costs
Table 5operation cost of buildings under examples 3
Figure BDA0003164014360000201
The utilization of the photovoltaic power generation of each embodiment is shown in the attached figure 6. In example 1, photovoltaic power generation can only be absorbed by using and selling to REP inside the building, but there is a certain amount of light rejection due to the limitation of trading with REP power. And P2P power sharing in the embodiment 2 and the embodiment 3 provides a new consumption way for building photovoltaic power generation. Thus, the photovoltaic power generation utilization ratio of examples 2 and 3 was higher than that of example 1.
Fig. 7 shows the indoor temperature of the intelligent building with thermal comfort taken into account. Because the photovoltaic power generation capacity of the building 1 and the building 2 is sufficient in most time periods, the actual temperature of the building is close to the reference temperature in most time periods, and the indoor thermal comfort is ensured; and in a few periods (8:00-12:00) of insufficient photovoltaic power generation, the comfort needs to be properly sacrificed to save energy, so that the actual temperature is 0.1-0.5 ℃ higher than the reference temperature. The actual temperature of building 4 in examples 2 and 3 is significantly lower than that of example 1 because building 4 in example 1 has a greater demand for external energy and has to be saved by raising the indoor temperature, especially at 8:00-14: 00. And the P2P power sharing mechanism in the embodiments 2 and 3 enables the ESS in the building 4 to fully play its role, flexibly adjusts the room temperature, and enables the actual temperature to be closer to the reference temperature.
Fig. 8-12 show the energy usage of each building CL in three examples. The power requirements and indoor temperatures of building 1 and building 2 are substantially the same in the three algorithms, and thus the HVAC power consumption is substantially the same. Under the P2P power sharing mechanism, the ESS provided by building 4 can meet part of the cooling load demand, effectively reducing its HVAC power consumption. In examples 2 and 3, part of the SEA load was shifted from the photovoltaic power generation shortage period to the sufficiency period, smoothing the load curve to some extent. Since the building 4 in the embodiments 2 and 3 has low power demand to the outside, the FCS power consumption is increased, and thus higher economic efficiency is obtained.
To verify the superiority of the algorithm used in the present invention, the calculation results of the fast ADMM algorithm are compared with the calculation results of the standard ADMM algorithm, and table 6 shows the iteration number and calculation time required for the fast ADMM and the standard ADMM to achieve the same accuracy.
TABLE 6 calculation results of Standard ADMM and Rapid ADMM
Table 6calculation results of standard ADMM and fast ADMM
Figure BDA0003164014360000211
As can be seen from table 6, when the iteration precision is the same, the fast ADMM algorithm has fewer iterations and shorter computation time, and the computation time is only 43.66% of that of the standard ADMM algorithm. The fast ADMM algorithm adopted by the invention has better convergence performance.
The foregoing is only a preferred embodiment of the present invention, and it should be noted that, for those skilled in the art, various modifications and improvements can be made without departing from the principle of the present invention, and these modifications and improvements should also be considered as the protection scope of the present invention.

Claims (1)

1. An intelligent building group distributed optimal scheduling method based on point-to-point electric energy sharing is characterized by comprising the following steps:
1) establishing an intelligent building resource model:
a. ice cold-storage energy storage system model:
the ice storage energy storage system IES stores cold energy in a cold storage medium by using electric energy, and performs ice melting to release the cold energy when needed; building construction
Figure FDA0003164014350000011
The model of the ice storage energy storage system IES system is as follows:
Figure FDA0003164014350000012
Figure FDA0003164014350000013
in the formula: a scheduling period T belongs to {1,2,. eta, T, T + Δ T,. eta, T }; t represents a scheduling period, and delta T is a scheduling step length;
Figure FDA0003164014350000014
the cold storage capacity of an IES system in a building n at a time t; β represents ice storage efficiency;
Figure FDA0003164014350000015
and
Figure FDA0003164014350000016
respectively representing the electric power consumed by the IES system for ice making and the cold power released by ice melting in the building n during the t period; kappaice,nAnd
Figure FDA0003164014350000017
respectively representing the coefficient of performance of ice making of the IES system in the building n and the thermal efficiency of exchange between the IES system and the building;
Figure FDA0003164014350000018
and
Figure FDA0003164014350000019
respectively representing the upper limit values of ice making consumed electric power and ice melting released cold power of an IES system in a building n;
Figure FDA00031640143500000110
representing a maximum storage capacity of the IES system within the building n;
b. electric energy storage system model:
the electric energy storage system EES stores electric energy when the electric energy is surplus and releases the electric energy when the electric energy is in short supply; the model is as follows:
Figure FDA00031640143500000111
Figure FDA00031640143500000112
in the formula:
Figure FDA00031640143500000113
representing the electric energy storage amount of an EES system in a building n at a time t;
Figure FDA00031640143500000114
and
Figure FDA00031640143500000115
representing the charge and discharge efficiency of an EES system in a building n;
Figure FDA00031640143500000116
and
Figure FDA00031640143500000117
respectively is the charging and discharging power of an EES system in a building n in a period of t;
Figure FDA00031640143500000118
And
Figure FDA00031640143500000119
is the charge and discharge power limit of the EES system within building n;
Figure FDA00031640143500000120
and
Figure FDA00031640143500000121
respectively representing the upper limit value and the lower limit value of the energy storage capacity of an EES system in a building n;
Figure FDA00031640143500000122
representing an initial energy storage amount of an EES within a building n; equation (4) ensures that the EES does not over-charge/over-discharge during operation, an
Figure FDA00031640143500000123
Not less than
Figure FDA00031640143500000124
The service life of the EES system can be prolonged, and the emergency requirement can be met;
c. photovoltaic model:
each building is provided with a photovoltaic power generation PV system, and the generated electricity can be shared by other buildings and sold to a retail electricity provider REP besides supplying self load; according to the actual electric energy demand condition, photovoltaic output is allowed to be reduced, and the model is as follows:
Figure FDA00031640143500000125
Figure FDA0003164014350000021
in the formula:
Figure FDA0003164014350000022
photovoltaic power actually scheduled for the building n at the time t;
Figure FDA0003164014350000023
predicting a maximum photovoltaic output value for the building n at the time t;
Figure FDA0003164014350000024
the light abandon quantity of the building n in the period t;
Figure FDA0003164014350000025
and
Figure FDA0003164014350000026
respectively representing the actual upper limit value and the actual lower limit value of n photovoltaic output of the building in the period t; mu is the maximum allowable light rejection ratio coefficient, and 20 percent is taken;
d. controllable load energy efficiency model:
warming, ventilating and air conditioning load:
HVAC load is one of the main controllable loads in an intelligent building, and the indoor temperature of the intelligent building provided with the HVAC unit is as follows:
Figure FDA0003164014350000027
in the formula (I), the compound is shown in the specification,
Figure FDA0003164014350000028
represents the indoor temperature of the building n during the period t; cn、RnAnd ω is the HVAC unit operating parameter within the building n;
Figure FDA0003164014350000029
outdoor temperature for time period t;
Figure FDA00031640143500000210
representing the electric energy consumed by the refrigeration of the building n during the t period;
typically, the room is set to a most comfortable temperature, and a utility function is established based on thermal comfort, expressed as:
Figure FDA00031640143500000211
in the formula of Un,HVACA utility function for HVAC loads within a building n; mnIs a given normal number, and ensures that the utility is a positive value in practical application; gamma raynIs a quantized coefficient; t isrefIs a set reference temperature;
secondly, the load of the electric appliance can be transferred:
when the load of the SEA of the transferable electric appliance deviates from the expected energy consumption, the user experience is influenced, and the utility function of the SEA is defined as follows:
Figure FDA00031640143500000212
in the formula of Un,SEAA utility function for SEA loads within building n;
Figure FDA00031640143500000213
sensitivity to load shifting;
Figure FDA00031640143500000214
the electric energy consumption of SEA in the building n is t time period;
Figure FDA00031640143500000215
expected energy consumption for SEA within a building n for a period t;
flexible business service load:
there is a flexible business service FCS load in a commercial building, the FCS is able to implement utility by consuming electrical energy, expressing the FCS utility function as:
Figure FDA00031640143500000216
in the formula: u shapen,FCSUtility function for FCS load in building n; deltanPreference coefficient for FCS;
Figure FDA0003164014350000031
power consumed by the FCS within a building n for a period of t;
2) establishing a point-to-point electric energy sharing model:
a. point-to-point electric energy transaction price model:
the electric energy sharing among the intelligent buildings is completely point-to-point P2P, and each building can sell or purchase electric energy to other buildings; when two buildings share electric energy, the electric energy transaction price is determined by two parties according to the supply and demand relationship and the electric energy transaction price with a retail electric power supplier REP;
the electric energy demand and supply condition of each building are determined by the net power of the building, and the net power of the building n in the period t is as follows:
Figure FDA0003164014350000032
in the formula:
Figure FDA0003164014350000033
net power representing a building n for a period t;
Figure FDA0003164014350000034
representing the total power consumption of the building n during the t period;
net power if building n is in time t
Figure FDA0003164014350000035
If the current value is positive, the building n purchases electric energy from other buildings or REP; net power if building n is in time t
Figure FDA0003164014350000036
If the value is negative, the building n sells surplus electric energy to other buildings or REP:
Figure FDA0003164014350000037
Figure FDA0003164014350000038
in the formula:
Figure FDA0003164014350000039
and
Figure FDA00031640143500000310
respectively representing the electric energy demand and supply quantity of the building n in the time period t;
in the t period, the supply and demand ratios of the electric energy of the building n to the building m when the building n sells and buys the electric energy
Figure FDA00031640143500000311
And
Figure FDA00031640143500000312
comprises the following steps:
Figure FDA00031640143500000313
according to the supply and demand relationship between the P2P power sharing parties and the power transaction price with the REP, the power transaction price between the buildings is obtained as follows:
Figure FDA00031640143500000314
Figure FDA00031640143500000315
in the formula:
Figure FDA00031640143500000316
and
Figure FDA00031640143500000317
respectively representing the electricity purchasing/selling prices of the building n to the building m in the time period t;
Figure FDA00031640143500000318
and
Figure FDA00031640143500000319
the price of electricity purchase/sale when the building group and the REP are in transaction in the time period t respectively;
P2P electric energy sharing operation constraint:
the electric energy sharing price among all buildings in the intelligent building group is limited between the electricity selling price and the electricity purchasing price for trading with the REP electric energy so as to promote local consumption of the local photovoltaic power generation, and the electric energy sharing price meets the following constraint:
Figure FDA0003164014350000041
when electric energy is shared among buildings, the shared energy needs to meet the constraint of line capacity; in the same time period, electricity purchase and sale between two buildings cannot occur simultaneously, and the energy transmission constraint is satisfied as follows:
Figure FDA0003164014350000042
in the formula:
Figure FDA0003164014350000043
and
Figure FDA0003164014350000044
respectively representing the electricity purchasing/selling quantity of the building n to the building m in the time period t;
Figure FDA0003164014350000045
the maximum transmission power which can be borne by a line between a building n and a building m;
Figure FDA0003164014350000046
the variable is 0-1, the electricity purchasing/selling state of the building n is represented, when 1 is taken, electricity purchasing from the building n to the building m is represented, and when 0 is taken, electricity selling from the building n to the building m is represented;
besides the constraint conditions of the formula (17) and the formula (18), the energy coupling constraint must be satisfied when the P2P electric energy is shared between buildings:
Figure FDA0003164014350000047
3) the intelligent building group optimal scheduling model and the solving method comprise the following steps:
a. establishing an objective function:
the method comprises the steps that P2P electric energy sharing is considered among intelligent buildings, various resources are coordinated and scheduled, a day-ahead economic scheduling model with electric energy transaction cost, equipment operation and maintenance cost, light abandoning penalty and controllable load CL energy efficiency used in the process of establishing the model with the aim of lowest total operation cost of an intelligent building group as a target, and the optimization aim is as follows:
Figure FDA0003164014350000048
in the formula: f is the total operating cost of the intelligent building group;
Figure FDA0003164014350000049
the operating cost for building n;
Figure FDA00031640143500000410
trading costs for n electrical energy for the building;
Figure FDA00031640143500000411
the operation and maintenance cost of n devices of the building is saved;
Figure FDA00031640143500000412
abandoning light punishment for the building n; u shapen(Pcl,n) Representing energy efficiency usage of controllable loads in a building n;
electric energy transaction cost:
the electric energy transaction cost of the building n comprises the electric energy transaction cost of the building n and the REP
Figure FDA00031640143500000413
And cost sharing with other building P2P power
Figure FDA00031640143500000414
Namely:
Figure FDA00031640143500000415
Figure FDA0003164014350000051
Figure FDA0003164014350000052
in the formula:
Figure FDA0003164014350000053
and
Figure FDA0003164014350000054
respectively representing the electric energy demand and supply quantity when the buildings n and REP carry out electric energy transaction in the time period t; alpha is alphatIs t atAdditional taxes on carbon emissions;
the equipment operation and maintenance cost is as follows:
the equipment operation and maintenance cost of the building n comprises IES equipment operation and maintenance cost
Figure FDA0003164014350000055
EES equipment operation and maintenance cost
Figure FDA0003164014350000056
And PV plant operation and maintenance costs
Figure FDA0003164014350000057
Namely:
Figure FDA0003164014350000058
Figure FDA0003164014350000059
in the formula:
Figure FDA00031640143500000510
and
Figure FDA00031640143500000511
the unit operation and maintenance cost of IES equipment, EES equipment and PV equipment in a building n;
Figure FDA00031640143500000512
and
Figure FDA00031640143500000513
respectively output values of IES equipment and EES equipment in the building n at the time interval t;
abandon the light punishment:
in order to improve the consumption level of photovoltaic power generation, punishment is carried out on abandoned light, namely:
Figure FDA00031640143500000514
in the formula: cabRepresenting the unit light abandon penalty;
energy efficiency for CL:
Un(Pcl,n)=Un,HVAC+Un,SEA+Un,FCS (27)
b. establishing a constraint condition:
energy building power balance constraint:
in the scheduling process, to ensure power balance in the building n, under the condition of neglecting network loss, the following constraints should be satisfied:
Figure FDA00031640143500000515
in the formula: kappar,nA coefficient of performance representing cooling provided by HVAC units within a building n;
Figure FDA00031640143500000516
representing the basic power demand of building n for time period t;
REP electric energy interactive constraint:
building n and REP electric energy interaction power should satisfy the constraint that:
Figure FDA0003164014350000061
in the formula:
Figure FDA0003164014350000062
and
Figure FDA0003164014350000063
respectively carrying out electric energy transaction purchasing/selling power upper limit values for the buildings n and the REP;
CL power consumption constraint:
to ensure normal operation of CL in a building, it should be ensured that the operational constraints are satisfied as:
Figure FDA0003164014350000064
in the formula:
Figure FDA0003164014350000065
and
Figure FDA0003164014350000066
respectively the upper limit and the lower limit of the energy consumption of the HVAC units in the building n;
Figure FDA0003164014350000067
and
Figure FDA0003164014350000068
minimum and maximum limits for ensuring proper operation of the FCS in the building n, respectively;
Figure FDA0003164014350000069
and
Figure FDA00031640143500000610
respectively an upper limit value and a lower limit value of SEA consumed power in a building n; dnSEA electrical energy requirements that must be met for building n during a scheduling period;
fourthly, internal temperature restraint:
in order to ensure the comfort of the user in the scheduling period, the indoor temperature of the building must be kept within an acceptable range, and the following constraints should be satisfied:
Figure FDA00031640143500000611
in the formula:
Figure FDA00031640143500000612
and
Figure FDA00031640143500000613
respectively an upper limit value and a lower limit value of n indoor temperatures of the building;
c. distributed scheduling model and solution based on fast ADMM:
the rapid ADMM algorithm is an improved ADMM algorithm by using an accelerated gradient method, and a problem is decomposed into a plurality of subproblems to be subjected to distributed iterative solution, so that the goal of global optimization of the system can be realized only by interacting a small amount of information; according to the standard ADMM rationale, the expression of the optimization problem is as follows:
Figure FDA00031640143500000614
in the formula:
Figure FDA00031640143500000615
a decision variable for building n;
Figure FDA00031640143500000616
sharing power for building n with P2P of other buildings; the second equation is all equation constraints, wherein A is a coefficient matrix and B is a parameter matrix; the third equation is the building n internal constraint; chi shapenA policy feasible region for the building n formed by the constraint expressions (2), (4), (6), (18) and the expressions (28) to (30); distributed solution is carried out by adopting standard ADMM, and an auxiliary variable z is introducedn
Figure FDA00031640143500000617
Then its augmented lagrange function is:
Figure FDA0003164014350000071
in the formula: sigmanIs a dual variable corresponding to constraint (33); rho is a parameter; g (z)n) To indicate a function, in which the variable znSatisfying feasible domain time g (z)n) G (z) when the feasible region is not satisfied, 0n)=∞;
Thus, the original problem is decomposed into formula (35):
Figure FDA0003164014350000072
in the formula: k represents the number of iterations;
after the standard ADMM is improved by using an accelerated gradient method, the solving formula of the rapid ADMM algorithm is expressed as follows;
Figure FDA0003164014350000073
in the formula:
Figure FDA0003164014350000074
is a new dual variable, satisfies
Figure FDA0003164014350000075
θnTo accelerate the operator;
the original residual error is used as a convergence criterion, the convergence precision is epsilon, and when a constraint formula (37) is established, the algorithm converges and outputs an optimal solution;
Figure FDA0003164014350000076
the calculation steps for solving the day-ahead distributed optimal scheduling of the intelligent building group by adopting the rapid ADMM are as follows:
firstly, in the day-ahead stage, after the REP issues the day-ahead electricity price, each building initializes parameters and shares the self electric energy with information
Figure FDA0003164014350000077
Sharing to other buildings;
② passing-through type (36) updating for each building
Figure FDA0003164014350000078
And will be updated
Figure FDA0003164014350000079
Sharing to other buildings;
after each building receives the updated electric energy sharing information from other buildings, the electric energy sharing information is updated through a formula (36)
Figure FDA0003164014350000081
Until all buildings are updated once;
update of each building through type (36)
Figure FDA0003164014350000082
The above iteration steps are repeated until equation (37) is satisfied.
CN202110799247.4A2021-07-152021-07-15 A distributed optimal scheduling method for intelligent building groups based on point-to-point power sharingActiveCN113609653B (en)

Priority Applications (1)

Application NumberPriority DateFiling DateTitle
CN202110799247.4ACN113609653B (en)2021-07-152021-07-15 A distributed optimal scheduling method for intelligent building groups based on point-to-point power sharing

Applications Claiming Priority (1)

Application NumberPriority DateFiling DateTitle
CN202110799247.4ACN113609653B (en)2021-07-152021-07-15 A distributed optimal scheduling method for intelligent building groups based on point-to-point power sharing

Publications (2)

Publication NumberPublication Date
CN113609653Atrue CN113609653A (en)2021-11-05
CN113609653B CN113609653B (en)2023-08-18

Family

ID=78337602

Family Applications (1)

Application NumberTitlePriority DateFiling Date
CN202110799247.4AActiveCN113609653B (en)2021-07-152021-07-15 A distributed optimal scheduling method for intelligent building groups based on point-to-point power sharing

Country Status (1)

CountryLink
CN (1)CN113609653B (en)

Cited By (7)

* Cited by examiner, † Cited by third party
Publication numberPriority datePublication dateAssigneeTitle
CN113962601A (en)*2021-11-142022-01-21东北电力大学 A low-carbon operation regulation method of park energy based on hydrogen energy storage
CN114169947A (en)*2022-02-102022-03-11北京航空航天大学杭州创新研究院Point-to-point electric power transaction method and system based on consistency ADMM algorithm
CN114764681A (en)*2022-02-182022-07-19清华大学P2P transaction mode-based interconnected comprehensive energy network scheduling method and device
CN115509134A (en)*2022-10-132022-12-23广西大学 Distributed Optimal Scheduling Method for Building Groups Considering Building Characteristics and Electric Energy Trading
CN115685789A (en)*2022-10-282023-02-03武汉理工大学Control method of energy-saving building system based on real-time demand
CN115713211A (en)*2022-11-212023-02-24中国南方电网有限责任公司超高压输电公司广州局Resource transfer method and device based on electric energy and computer equipment
CN115809568A (en)*2022-12-292023-03-17河海大学 Intelligent building group power-carbon joint distributed trading strategy acquisition method and device

Citations (2)

* Cited by examiner, † Cited by third party
Publication numberPriority datePublication dateAssigneeTitle
CN111882105A (en)*2020-06-152020-11-03东南大学 Microgrid cluster with shared energy storage system and its day-ahead economic optimal dispatch method
CN112419055A (en)*2020-11-112021-02-26华北电力大学Day-ahead energy scheduling platform established by market operation with participation of multiple producers and consumers

Patent Citations (2)

* Cited by examiner, † Cited by third party
Publication numberPriority datePublication dateAssigneeTitle
CN111882105A (en)*2020-06-152020-11-03东南大学 Microgrid cluster with shared energy storage system and its day-ahead economic optimal dispatch method
CN112419055A (en)*2020-11-112021-02-26华北电力大学Day-ahead energy scheduling platform established by market operation with participation of multiple producers and consumers

Non-Patent Citations (2)

* Cited by examiner, † Cited by third party
Title
吴界辰;艾欣;胡俊杰;吴洲洋;: "面向智能园区多产消者能量管理的对等模型(P2P)建模与优化运行", 电网技术, no. 01, pages 60 - 69*
杨昭;艾欣;: "考虑电能共享的综合能源楼宇群分布式优化调度", 电网技术, no. 10, pages 179 - 188*

Cited By (10)

* Cited by examiner, † Cited by third party
Publication numberPriority datePublication dateAssigneeTitle
CN113962601A (en)*2021-11-142022-01-21东北电力大学 A low-carbon operation regulation method of park energy based on hydrogen energy storage
CN114169947A (en)*2022-02-102022-03-11北京航空航天大学杭州创新研究院Point-to-point electric power transaction method and system based on consistency ADMM algorithm
CN114764681A (en)*2022-02-182022-07-19清华大学P2P transaction mode-based interconnected comprehensive energy network scheduling method and device
CN114764681B (en)*2022-02-182025-09-02清华大学 Interconnected integrated energy network scheduling method and device based on P2P transaction model
CN115509134A (en)*2022-10-132022-12-23广西大学 Distributed Optimal Scheduling Method for Building Groups Considering Building Characteristics and Electric Energy Trading
CN115685789A (en)*2022-10-282023-02-03武汉理工大学Control method of energy-saving building system based on real-time demand
CN115685789B (en)*2022-10-282024-04-16武汉理工大学 A control method for energy-saving building system based on real-time demand
CN115713211A (en)*2022-11-212023-02-24中国南方电网有限责任公司超高压输电公司广州局Resource transfer method and device based on electric energy and computer equipment
CN115713211B (en)*2022-11-212024-03-19中国南方电网有限责任公司超高压输电公司广州局Resource transfer method and device based on electric power energy and computer equipment
CN115809568A (en)*2022-12-292023-03-17河海大学 Intelligent building group power-carbon joint distributed trading strategy acquisition method and device

Also Published As

Publication numberPublication date
CN113609653B (en)2023-08-18

Similar Documents

PublicationPublication DateTitle
CN113609653A (en)Intelligent building group distributed optimal scheduling method based on point-to-point electric energy sharing
US10317924B2 (en)Collaborative load balancing within a community of energy nodes
CN111553544B (en) A Distributed Comprehensive Demand Response Method for Industrial Parks Based on Consensus Algorithm
Hu et al.Network constrained transactive control for electric vehicles integration
JP2020010542A (en)Power control device and power control method
CN111476414A (en)Photovoltaic producer and consumer optimization decision method
CN117559526A (en) A pseudo-router energy control method based on integrated optical storage and charging station
CN110070210B (en)Multi-microgrid system energy management and contribution degree evaluation method and system
CN117498309A (en) Regional multi-microgrid distributed optimization scheduling method considering carbon trading
JP6281156B2 (en) Method, system and control means for load balancing between local nodes
CN113870053A (en) A method and system for optimal operation of a multi-park electricity-pneumatic interconnection system
CN117764314A (en)Comprehensive virtual power plant management method and system based on C-ADMM
CN111404148B (en)Wind, light and methane multi-microgrid system and peer-to-peer energy and communication transaction method thereof
CN115809568A (en) Intelligent building group power-carbon joint distributed trading strategy acquisition method and device
CN114580885B (en)Comprehensive energy system distributed low-carbon optimization method based on electric-thermal-carbon sharing
CN119209469A (en) Multi-data center microgrid scheduling method considering the interaction between carbon quota and data load
CN110555562B (en)Layered energy management method for comprehensive energy system in ubiquitous power Internet of things
CN109713729B (en)Temperature control cost optimization algorithm of energy management system in micro-grid
Shi et al.Promoting the Sustainability of an Energy Building Community by Peer-to-Peer Energy Sharing
CN115587748A (en) A multi-prosumer distributed transaction method based on conditional value-at-risk
CN117196173B (en)Virtual power plant distributed scheduling method considering operation risk and network transmission
Mignoni et al.Game Theoretical Control Frameworks for Multiple Energy Storage Services in Energy Communities
Londák et al.Data Communication in Microgrid
Hussain et al.Crossover-BPSO Driven Multi-Agent Technology for Managing Local Energy Systems
Yang et al.Multi-Agent Dynamic Pricing and Energy Management Strategy for Distribution Networks Based on Bi-Layer Stackelberg Game

Legal Events

DateCodeTitleDescription
PB01Publication
PB01Publication
SE01Entry into force of request for substantive examination
SE01Entry into force of request for substantive examination
GR01Patent grant
GR01Patent grant

[8]ページ先頭

©2009-2025 Movatter.jp