Movatterモバイル変換


[0]ホーム

URL:


CN113608074A - Automatic online monitoring method and system for multi-epitope voltage withstand test device - Google Patents

Automatic online monitoring method and system for multi-epitope voltage withstand test device
Download PDF

Info

Publication number
CN113608074A
CN113608074ACN202110671788.9ACN202110671788ACN113608074ACN 113608074 ACN113608074 ACN 113608074ACN 202110671788 ACN202110671788 ACN 202110671788ACN 113608074 ACN113608074 ACN 113608074A
Authority
CN
China
Prior art keywords
epitope
leakage current
meter
index
test
Prior art date
Legal status (The legal status is an assumption and is not a legal conclusion. Google has not performed a legal analysis and makes no representation as to the accuracy of the status listed.)
Granted
Application number
CN202110671788.9A
Other languages
Chinese (zh)
Other versions
CN113608074B (en
Inventor
王黎欣
徐永进
吕几凡
李晨
姜咪慧
金阳忻
黄小琼
鲁然
汪金荣
胡书红
叶莘
达文燕
王佳颖
沈王平
Current Assignee (The listed assignees may be inaccurate. Google has not performed a legal analysis and makes no representation or warranty as to the accuracy of the list.)
Marketing Service Center of State Grid Zhejiang Electric Power Co Ltd
Original Assignee
Marketing Service Center of State Grid Zhejiang Electric Power Co Ltd
Priority date (The priority date is an assumption and is not a legal conclusion. Google has not performed a legal analysis and makes no representation as to the accuracy of the date listed.)
Filing date
Publication date
Application filed by Marketing Service Center of State Grid Zhejiang Electric Power Co LtdfiledCriticalMarketing Service Center of State Grid Zhejiang Electric Power Co Ltd
Priority to CN202110671788.9ApriorityCriticalpatent/CN113608074B/en
Publication of CN113608074ApublicationCriticalpatent/CN113608074A/en
Application grantedgrantedCritical
Publication of CN113608074BpublicationCriticalpatent/CN113608074B/en
Activelegal-statusCriticalCurrent
Anticipated expirationlegal-statusCritical

Links

Images

Classifications

Landscapes

Abstract

Translated fromChinese

本发明公开了一种多表位耐压试验装置自动化在线监测方法,涉及电力计量检定自动化生产领域。目前亟需一种耐压试验装置的在线监测技术。本发明通过实时采集表计耐压试验结果,比较和识别同一批次不同表位上所做的所有表计泄漏电流值分布的一致性和差异性,计算各表位漏电流分布特征指标的异常指数和表位告警系数,将表位告警系数与第一阈值、第二阈值进行比较,当有异常时开启异常诊断流程。本技术方案通过采集漏电流数据,并对其开展统计和数据分析,解决传统定期送检、期间核查、周期巡检及维保等存在的监控滞后问题,使得耐压试验装置的试验结果持续在控;不仅能够运用于电力计量检定的自动化检定系统,对于传统的多表位人工检定装置同样适用。

Figure 202110671788

The invention discloses an automatic on-line monitoring method for a multi-position withstand voltage test device, which relates to the field of automatic production of electric power metering verification. At present, there is an urgent need for an on-line monitoring technology for a withstand voltage test device. The present invention compares and identifies the consistency and difference of all meter leakage current value distributions made on different epitopes in the same batch by collecting the meter withstand voltage test results in real time, and calculates the abnormality of the leakage current distribution characteristic index of each epitope. Index and epitope alarm coefficient, compare the epitope alarm coefficient with the first threshold and the second threshold, and start the abnormality diagnosis process when there is an abnormality. This technical solution solves the monitoring lag problems existing in traditional periodic inspection, period inspection, periodic inspection and maintenance by collecting leakage current data, and carrying out statistics and data analysis on it, so that the test results of the withstand voltage test device continue to be It can not only be applied to the automatic verification system of power metering verification, but also applicable to the traditional multi-position manual verification device.

Figure 202110671788

Description

Automatic online monitoring method and system for multi-epitope voltage withstand test device
Technical Field
The invention relates to the field of automatic production of electric power metrological verification, in particular to an automatic online monitoring method and system for a multi-epitope voltage withstand test device.
Background
The electric power metering automatic verification system realizes the full-process automation of verification operation processes of metering equipment such as electric energy meters, mutual inductors and the like by utilizing various mechanical automation devices, is popularized and applied in large scale in metering centers of provincial electric power companies in China, improves the efficiency of metering verification production to a great extent, lightens the manual operation intensity and reduces the labor cost. However, with the long-term high-load operation of the system, how to monitor the health state of each key device in the system and timely find and process device abnormalities so as to ensure the operation reliability and verification accuracy of the system becomes a new research subject.
Conventional measurement supervision means such as submission and period checking and operation and maintenance methods such as periodic system inspection and equipment maintenance have certain hysteresis, and due to the lack of effective online monitoring, the measurement supervision means and the operation and maintenance methods cannot be found in time at the first time when an abnormality occurs in a system or equipment, so that once a problem occurs, the verification result is out of control, and the fairness and justice of measurement are influenced. Meanwhile, the insulation level and the safety performance of a tested product are influenced by the result of an alternating voltage test, and the alternating voltage test is a key item in equipment verification projects such as an electric energy meter, a mutual inductor and the like. Therefore, the operating conditions of the pressure resistance testing device also need to be brought within the scope of on-line monitoring, both from the standpoint of metering reliability and from the standpoint of test safety. The existing research on online monitoring of an automatic verification system has already provided a certain foundation on an accuracy verification device, but the attention on a pressure-resistant test device is little, so that an online monitoring technology of the pressure-resistant test device is urgently needed.
Disclosure of Invention
The technical problem to be solved and the technical task provided by the invention are to perfect and improve the prior technical scheme, and provide an automatic online monitoring method and system for a multi-epitope voltage withstand test device, so as to achieve the purpose of solving the monitoring lag problem existing in the conventional regular inspection, period inspection, periodic inspection, maintenance and the like. Therefore, the invention adopts the following technical scheme.
An automatic online monitoring method of a multi-epitope withstand voltage test device is characterized by comprising the following steps:
1) collecting meter voltage-withstand test data, and acquiring all meter voltage-withstand test conclusions, meter leakage currents, devices where tests are located and meter position numbers for one batch;
2) obtaining leakage current-epitope distribution statistical data, and calculating the distribution characteristic index of leakage current of each epitope;
3) by collecting the pressure resistance test results of the meters in real time, comparing and identifying the consistency and difference of the distribution of leakage current values of all the meters on different epitopes in the same batch, and calculating the abnormal index and the epitope alarm coefficient of the leakage current distribution characteristic index of each epitope; if no abnormity exists, ending; if the abnormality exists, entering the next step;
4) judging whether the epitope alarm coefficient is greater than or equal to a first threshold value; if yes, performing epitope early warning; if not, entering the next step;
5) judging whether the alarm coefficient is greater than or equal to a second threshold value or not and whether the index abnormality index is greater than or equal to a third threshold value or not; if yes, entering the next step; if not, ending;
6) the epitope is classified as a key attention object, and the change condition of the alarm coefficient of the epitope in a set time period is concerned;
7) judging whether the alarm coefficient has an ascending trend, if so, performing epitope early warning; if not, ending;
8) abnormality diagnosis, namely diagnosing the causes of the abnormality through a diagnosis model for the alarm epitope; for the epitope generating alarm, operation and maintenance personnel carry out abnormity confirmation and start an overhaul process, and the confirmation and maintenance results are fed back; for the epitope which cannot be confirmed, the epitope is still classified as a key concern object; after the maintenance process is finished, the confirmed epitope is tested in a batch, and if the operation state of the pressure resistance test device is good, the epitope is considered to be recovered to be normal; and bringing the confirmed fault and the corresponding known sample into a knowledge set, comparing the condition that the diagnosis of the diagnosis model is not in accordance with the actual condition on site, and optimizing the parameters of the diagnosis model to improve the accuracy of the model.
As a preferable technical means: each epitope of the voltage-withstand test device is provided with a leakage current test board which is provided with a leakage current measurement module and a data transmission module at the same time, and the leakage current test board is communicated with an industrial personal computer of the voltage-withstand test device through a hardware interface; in the step 1), the leakage current in each epitope withstand voltage test is distinguished and recorded by identifying the communication address of the leakage current test board.
As a preferable technical means: in the step 2), acquiring leakage current-epitope distribution statistical data including a leakage current-epitope distribution statistical chart; the ordinate of the statistical chart is leakage current, the abscissa is each epitope in each withstand voltage test device, and leakage current data of all meters in the same batch are displayed in the statistical chart; the average leakage current of all meters and the average leakage current of all meters made by the corresponding epitope are displayed in a graph as reference lines;
calculating the leakage current distribution characteristics of a batch by using the leakage currents of all meters in the batch; calculating the leakage current distribution characteristic of the epitope by using the leakage currents of all meters tested on the epitope in the batch; indexes of epitope leakage current distribution characteristics comprise an average value X1, a standard deviation X2, a maximum value X3 and a minimum value X4;
and when the standard deviation X2 and the maximum value X3 of the epitope leakage current are calculated, removing the first meter with unqualified insulation performance appearing in the batch. Because one batch of the reports with unqualified insulation performance are inevitably mixed, the distribution characteristic index needs to fully consider the influence of unqualified reports on the distribution characteristic index; for a batch, hundreds of tables are tested on the same epitope one after another, so that a table with unqualified insulating property has limited influence on the average value X1 in the leakage current distribution characteristic index of the epitope, but has great influence on the maximum value X3 and the standard deviation X2 of the leakage current on the epitope due to the consistency of batch tables.
As a preferable technical means: when calculating the abnormal indexes and the epitope alarm coefficients of a plurality of indexes of the leakage current distribution of each epitope in the step 3), adopting a Lauda method to identify the leakage current distribution abnormality;
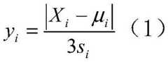
for a leakage current distribution characteristic index, defining the abnormality index of each index item of the epitope as follows:
Figure BDA0003119625000000041
wherein, muiRepresents the average value of the ith index term in each epitope, siThe standard deviation of the index item at each epitope is shown; according to the abnormal data identification principle, under the normal condition, the abnormal index of the index item is less than 1;
since the epitope leakage current distribution characteristics are expressed by the mean value X1, the standard deviation X2, the maximum value X3, and the minimum value X4, the epitope alarm coefficient is defined as:
Figure BDA0003119625000000042
wherein alpha isiThe weight of the abnormal index of each index item.
As a preferable technical means: in step 7), setting a time window to be N working days, wherein the number of times of test batches is not less than M, and only if the alarm coefficient in the time window is continuously less than a second threshold value, the epitope 'key attention' can be cancelled; otherwise, performing epitope warning.
As a preferable technical means: in step 8), when diagnosing the abnormal cause for the alarm epitope, dividing the abnormal cause into 4 clusters: the leakage current test board is abnormal, the high-voltage relay is abnormal, the crimping is abnormal and the like, and the trained diagnostic model is used for classifying the alarm epitopes;
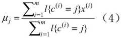
the diagnosis model for determining the abnormal reason is constructed by taking leakage current distribution characteristic indexes as input and training the model by using a knowledge set, wherein the training comprises the following steps:
a. for the initially selected centroid muj(j ═ 1,2,3,4), calculate each sample x(i)With each centroid mujAccording to the calculation result, the sample belongs to the cluster c closest to the centroid(j)
c(j)=arg minj||x(i)j||2,j=1,2,3,4 (3)
b. For each class cluster c(j)Recalculating the cluster centroid:
Figure BDA0003119625000000051
c. repeating the two steps to converge the knowledge algorithm;
the diagnostic model determines epitope classification according to equation (3).
The invention also aims to provide an automatic online monitoring system of the multi-epitope voltage-withstanding test device, which is suitable for the automatic online monitoring method of the multi-epitope voltage-withstanding test device.
The automatic on-line monitoring system of the multi-epitope withstand voltage test device comprises:
the meter withstand voltage test data acquisition module: the device is used for collecting meter voltage-withstand test data and acquiring all meter voltage-withstand test conclusions, meter leakage currents, devices where tests are located and meter position numbers for one batch;
the distribution characteristic index calculation module of the epitope leakage current: the method is used for acquiring leakage current-epitope distribution statistical data acquisition and calculating the distribution characteristic index of leakage current of each epitope;
monitoring and early warning platform: acquiring pressure test conclusions of all meters in the batch, meter leakage currents and specific devices and epitopes where tests are located by inquiring a lot number or a task number, acquiring pressure test results of the meters in real time, comparing and identifying the consistency and difference of the distribution of leakage current values of all meters on different epitopes in the same batch, and calculating the abnormal index and the epitope alarm coefficient of the leakage current distribution characteristic index of each epitope; if the exception exists, the following processing is carried out: firstly, judging whether an epitope alarm coefficient is greater than or equal to a first threshold value; if yes, performing epitope early warning; judging whether the alarm coefficient is greater than or equal to a second threshold value or not and whether the index abnormality index is greater than or equal to a third threshold value or not; if yes, the epitope is listed as a key attention object, and the change condition of the alarm coefficient of the epitope in a set time period is concerned; judging whether the alarm coefficient has an ascending trend, if so, performing epitope early warning;
an anomaly diagnosis module: for the alarm epitope, diagnosing the abnormal reason through a diagnosis model; for the epitope generating alarm, obtaining the feedback data of the abnormity confirmation and maintenance result of the operation and maintenance personnel; regarding the epitope which can not be confirmed abnormally, the epitope is still classified as a key concern object; for the epitope which is confirmed abnormally, after the overhaul process is finished, if the operation state of a pressure resistance test device is good after a batch of tests, the epitope is considered to be recovered to be normal; and bringing the confirmed fault and the corresponding known sample into a knowledge set, comparing the condition that the diagnosis of the diagnosis model is not in accordance with the actual condition on site, and optimizing the parameters of the diagnosis model to improve the accuracy of the model.
As a preferable technical means: the meter voltage-withstand test data acquisition module comprises a leakage current test board which is arranged at each meter position and has the functions of leakage current measurement and data transmission, and the leakage current test board can realize communication with an industrial personal computer of a voltage-withstand test device through a hardware interface.
As a preferable technical means: the meter pressure test data acquisition module reads and records the pressure test result and the leakage current value of each meter position in the pressure test process; and transmitting a pressure test conclusion of the meter to a local database or a metering automation production dispatching platform MDS, and uploading a meter leakage current, a meter position number, a device number, a unit number and test time of the pressure test.
As a preferable technical means: when the distribution characteristic index calculation module of the epitope leakage current calculates the distribution characteristic index of each epitope leakage current, the leakage current distribution characteristics of a batch are calculated by using the leakage currents of all meters in the batch; calculating the leakage current distribution characteristic of the epitope by using the leakage currents of all meters tested on the epitope in the batch; indexes of epitope leakage current distribution characteristics comprise an average value X1, a standard deviation X2, a maximum value X3 and a minimum value X4;
and when the standard deviation X2 and the maximum value X3 of the epitope leakage current are calculated, removing the first meter with unqualified insulation performance appearing in the batch.
Has the advantages that: according to the technical scheme, the on-line monitoring and fault locating method for the running state of the multi-epitope voltage-withstanding test device is provided by collecting epitope leakage flow data during testing of the voltage-withstanding test device and carrying out statistics and data analysis on the epitope leakage flow data, the problem of monitoring lag existing in conventional periodic inspection, period check, periodic inspection, maintenance and the like is solved, and the test result of the voltage-withstanding test device is continuously controlled. The method can be applied to an automatic verification system for electric power metering verification and is also applicable to a traditional multi-epitope manual verification device.
Drawings
FIG. 1 is a flow chart of the present invention.
FIG. 2 is a data acquisition frame diagram of the pressure resistance test of the meter according to the present invention.
FIG. 3 is a diagram showing data acquisition of a withstand voltage test result of the present invention.
FIG. 4 is a leakage current-epitope distribution statistical chart of the present invention.
Detailed Description
The technical scheme of the invention is further explained in detail by combining the drawings in the specification.
For meters in a batch, because the design schemes are consistent, and the components belong to the same batch, the performance indexes are consistent under the general condition, the leakage current is used as an index for measuring the insulation performance of the meters, and the meters in the same batch generally show consistent distribution. The existing pressure resistance test device judges whether the meter pressure resistance test result is qualified or not by judging whether the leakage current exceeds the threshold value, but actually, for example, the meter pressure welding condition, the operation conditions of the pressure resistance meter and relevant equipment on the meter position can influence the leakage current value. The invention compares and identifies the consistency and the difference of the distribution of the leakage current values of all meters on different epitopes (devices) in the same batch by acquiring the pressure test results of the meters in real time, monitors each pressure device and the epitope state thereof, and carries out fault location and early warning on the epitopes (devices) with inconsistent distribution characteristics.
As shown in fig. 1, the present invention comprises the following steps:
1) collecting meter voltage-withstand test data, and acquiring all meter voltage-withstand test conclusions, meter leakage currents, devices where tests are located and meter position numbers for one batch;
2) obtaining leakage current-epitope distribution statistical data, and calculating the distribution characteristic index of leakage current of each epitope;
3) by collecting the pressure resistance test results of the meters in real time, comparing and identifying the consistency and difference of the distribution of leakage current values of all the meters on different epitopes in the same batch, and calculating the abnormal index and the epitope alarm coefficient of the leakage current distribution characteristic index of each epitope; if no abnormity exists, ending; if the abnormality exists, entering the next step;
4) judging whether the epitope alarm coefficient is greater than or equal to a first threshold value; if yes, performing epitope early warning; if not, entering the next step;
5) judging whether the alarm coefficient is greater than or equal to a second threshold value or not and whether the index abnormality index is greater than or equal to a third threshold value or not; if yes, entering the next step; if not, ending;
6) the epitope is classified as a key attention object, and the change condition of the alarm coefficient of the epitope in a set time period is concerned;
7) judging whether the alarm coefficient has an ascending trend, if so, performing epitope early warning; if not, ending;
8) abnormality diagnosis, namely diagnosing the causes of the abnormality through a diagnosis model for the alarm epitope; for the epitope generating alarm, operation and maintenance personnel carry out abnormity confirmation and start an overhaul process, and the confirmation and maintenance results are fed back; for the epitope which cannot be confirmed, the epitope is still classified as a key concern object; after the maintenance process is finished, the confirmed epitope is tested in a batch, and if the operation state of the pressure resistance test device is good, the epitope is considered to be recovered to be normal; and bringing the confirmed fault and the corresponding known sample into a knowledge set, comparing the condition that the diagnosis of the diagnosis model is not in accordance with the actual condition on site, and optimizing the parameters of the diagnosis model to improve the accuracy of the model.
When comparing the consistency and difference of leakage current distribution between epitopes (devices): and calculating the abnormal indexes of several indexes of leakage current distribution of each epitope and the epitope (device) alarm coefficient. If the alarm coefficient of the meter position (device) is more than or equal to a first threshold value, directly alarming; if the first threshold value is larger than the alarm coefficient and is larger than or equal to the second threshold value, and the index abnormality index is larger than or equal to the third threshold value, the epitope (device) is listed as a key attention object; if the two rows of conditions do not exist, the operation state of the withstand voltage test device is considered to be good; secondly, for the epitope listed as the key attention object, the change condition of the alarm coefficient of the epitope needs to be continuously observed in a certain time window, and the key attention of the epitope can be cancelled only if the alarm coefficient is continuously smaller than a second threshold value in the time window; and thirdly, determining the abnormal reason for the alarm epitope. The causes of the abnormality are specifically classified into 4 types: "abnormal leakage current test board", "abnormal high-voltage relay", "abnormal crimping", "others"; and fourthly, for the epitope (device) generating the alarm, the operation and maintenance personnel carry out abnormity confirmation and start the maintenance process, and the confirmation and maintenance results are fed back to the monitoring and early warning system. For an epitope that is "unidentified", it is still classified as an "important object of interest"; for the epitope and the device which are confirmed, after the overhaul process is finished, if the operation state of the pressure resistance test device is good, the epitope and the device can be considered to return to normal through a batch of tests. And fifthly, bringing the confirmed fault and other known samples into a knowledge set D, comparing the condition that the model diagnosis is not in accordance with the field reality, and optimizing parameters to improve the accuracy of the model.
The following will be further described with respect to some steps:
1. data acquisition
The data acquisition framework of the meter pressure resistance test is shown in FIG. 2.
1) The basis of data acquisition of the withstand voltage test result is that each epitope of the device needs to be provided with a leakage current test board which has the functions of leakage current measurement and data transmission, and the leakage current test board can realize communication with an industrial personal computer of the withstand voltage test device through a hardware interface. Taking fig. 3 as an example, a leakage current test board with an RS485 communication interface is selected, and the leakage current test board can be directly communicated with an industrial personal computer. And the software of the voltage withstand test realizes the distinguishing and recording of leakage current in each epitope voltage withstand test by identifying the communication address of the test board.
2) In the process of the pressure resistance test, the device reads and records the pressure resistance test result and the leakage current value of each epitope;
3) the voltage-withstanding test device uploads leakage current of the meter, a meter position number, a device number, a unit number, test time and the like of the voltage-withstanding test while transmitting a voltage-withstanding test conclusion of the meter to a local database or an MDS (measurement automation production scheduling platform);
4) the monitoring and early warning platform acquires the pressure resistance test conclusion of all meters in the batch, the meter leakage current, the specific device where the test is located and the epitope by inquiring a delivery batch number or a task number.
In the pressure test process, the device reads and records the pressure test result of each epitope and the leakage current value, and transmits information such as the epitope, the device, the unit number, the test time and the like to the database. The platform acquires the pressure resistance test conclusion of all meters in the batch, the meter leakage current, the specific device where the test is located and the epitope by inquiring a lot number or a task number.
2. Obtaining a leakage current distribution statistical chart and calculating a distribution characteristic index
And for one batch, calculating and counting the distribution characteristics of the opening leakage current after the average accumulated test times of the voltage-resisting devices exceed 20 times.
1) Obtaining a leakage current-epitope distribution statistical chart: the ordinate of the statistical chart is leakage current, the abscissa is each epitope in each withstand voltage test device, and leakage current data of all meters in the same batch are displayed in the statistical chart. In addition, the average leakage current of all meters and the average leakage current of all meters made by a certain device are also shown in the figure as reference lines, as shown in fig. 4;
2) calculating the leakage current distribution characteristic of the batch by using the leakage currents of all meters in the batch; the leakage current distribution characteristics of the epitope and devices were calculated using the leakage currents of all meters tested on a certain epitope in the batch. The indicators of the epitope (device) leakage current distribution characteristics are expressed by the terms of the mean value X1, the standard deviation X2, the maximum value X3, and the minimum value X4. In order to fully consider the influence of unqualified table representation on the distribution of the bit leakage current, when the standard deviation X2 and the maximum value X3 of the leakage current are calculated, a first meter with unqualified insulation performance in the batch needs to be removed. The table shown below is finally obtained.
Figure BDA0003119625000000111
3. Abnormality monitoring and diagnosing process
1) Calculating the abnormal indexes of a plurality of indexes of leakage current distribution of each epitope and the epitope (device) alarm coefficients:
lauda' S rule ("3S") is a simple and practical abnormal data identification algorithm, and is applicable to a group of data with large measurement times. For provincial metering centers, the number of assembly lines is automatically verified, and the voltage-resisting devices and the epitopes thereof are numerous, so that the method selects a 3S algorithm to identify the abnormal distribution of the leakage current.
For a certain leakage current distribution characteristic index, the abnormality index of each index item of the epitope (device) is defined as:
Figure BDA0003119625000000121
wherein, muiRepresents the average value of the ith index term in each epitope, siThe standard deviation of the index term at each epitope is shown. According to the '3S' abnormal data identification principle, the abnormal index of the index item should be less than 1 under the normal condition.
Considering that the epitope leakage current distribution characteristics can be expressed by terms of an average value X1, a standard deviation X2, a maximum value X3 and a minimum value X4, an epitope (or device) alarm coefficient is defined as follows:
Figure BDA0003119625000000122
wherein alpha isiThe weight of the abnormal index of each index item.
2) Setting a first threshold, a second threshold and a third threshold. If the alarm coefficient of the epitope (device) is more than or equal to a first threshold value, directly alarming; if the first threshold value is larger than the alarm coefficient and is larger than or equal to the second threshold value, and the index abnormality index is larger than or equal to the third threshold value, the epitope (device) is listed as a key attention object; if the two rows do not exist, the "operating state of the pressure resistance test apparatus" is considered to be good.
3) Furthermore, for the epitope listed as "important object of interest", the change of the alarm coefficient of the epitope needs to be continuously observed within a certain time window: setting a time window to be N working days, wherein the number of times of test batches is not less than M, and only if the alarm coefficient in the time window is continuously less than a second threshold value, the epitope key attention can be cancelled; otherwise, performing epitope (device) alarm.
4) For the warning epitope, the abnormal causes are diagnosed and classified into 4 types: the method comprises the following steps of (1) establishing a Kmeans abnormal cause diagnosis algorithm model by 'abnormal leakage current test plate', 'abnormal high-voltage relay', 'abnormal crimping' and 'other':
firstly, taking a leakage current distribution characteristic index as an input, and training a model by using a knowledge set D:
a. for the initially selected centroid muj(j ═ 1,2,3,4), calculate each sample x(i)With each centroid mujAccording to the calculation result, the sample belongs to the cluster c closest to the centroid(j)
c(j)=arg minj||x(i)j||2,j=1,2,3,4 (3)
b. For each class cluster c(j)Recalculating the cluster centroid:
Figure BDA0003119625000000131
c. and repeating the two steps to converge the knowledge algorithm.
Secondly, classifying the alarm epitopes by using the trained model to determine the abnormal reasons of the alarm epitopes. Epitope classification was determined according to equation (3).
5) For the epitope (device) generating the alarm, operation and maintenance personnel carry out abnormity confirmation and start the maintenance process, and the confirmation and maintenance results are fed back to the monitoring and early warning system. For an epitope that is "unidentified", it is still classified as an "important object of interest"; after the maintenance process is finished, if the operation state of the pressure resistance test device is good, the epitope and the device which are confirmed are considered to be recovered to be normal through a batch of tests.
6) And (3) bringing the confirmed fault and other known samples into a knowledge set D, comparing the condition that the model diagnosis is not in accordance with the field reality, and optimizing parameters to improve the accuracy of the model.
The automatic on-line monitoring method and system for the multi-epitope withstand voltage test device shown in fig. 1-4 are specific embodiments of the present invention, have embodied the substantial features and progress of the present invention, and can make equivalent modifications in shape, structure, etc. according to the practical use requirements, and are within the scope of protection of the present solution.

Claims (10)

1. An automatic online monitoring method of a multi-epitope withstand voltage test device is characterized by comprising the following steps:
1) collecting meter voltage-withstand test data, and acquiring all meter voltage-withstand test conclusions, meter leakage currents, devices where tests are located and meter position numbers for one batch;
2) obtaining leakage current-epitope distribution statistical data, and calculating the distribution characteristic index of leakage current of each epitope;
3) by collecting the pressure resistance test results of the meters in real time, comparing and identifying the consistency and difference of the distribution of leakage current values of all the meters on different epitopes in the same batch, and calculating the abnormal index and the epitope alarm coefficient of the leakage current distribution characteristic index of each epitope; if no abnormity exists, ending; if the abnormality exists, entering the next step;
4) judging whether the epitope alarm coefficient is greater than or equal to a first threshold value; if yes, performing epitope early warning; if not, entering the next step;
5) judging whether the alarm coefficient is greater than or equal to a second threshold value or not and whether the index abnormality index is greater than or equal to a third threshold value or not; if yes, entering the next step; if not, ending;
6) the epitope is classified as a key attention object, and the change condition of the alarm coefficient of the epitope in a set time period is concerned;
7) judging whether the alarm coefficient has an ascending trend, if so, performing epitope early warning; if not, ending;
8) abnormality diagnosis, namely diagnosing the causes of the abnormality through a diagnosis model for the alarm epitope; for the epitope generating alarm, operation and maintenance personnel carry out abnormity confirmation and start an overhaul process, and the confirmation and maintenance results are fed back; for the epitope which cannot be confirmed, the epitope is still classified as a key concern object; after the maintenance process is finished, the confirmed epitope is tested in a batch, and if the operation state of the pressure resistance test device is good, the epitope is considered to be recovered to be normal; and bringing the confirmed fault and the corresponding known sample into a knowledge set, comparing the condition that the diagnosis of the diagnosis model is not in accordance with the actual condition on site, and optimizing the parameters of the diagnosis model to improve the accuracy of the model.
2. The automatic online monitoring method of the multi-epitope withstand voltage test device according to claim 1, characterized in that: each epitope of the voltage-withstand test device is provided with a leakage current test board which is provided with a leakage current measurement module and a data transmission module at the same time, and the leakage current test board is communicated with an industrial personal computer of the voltage-withstand test device through a hardware interface; in the step 1), the leakage current in each epitope withstand voltage test is distinguished and recorded by identifying the communication address of the leakage current test board.
3. The automatic online monitoring method of the multi-epitope withstand voltage test device according to claim 2, characterized in that: in the step 2), acquiring leakage current-epitope distribution statistical data including a leakage current-epitope distribution statistical chart; the ordinate of the statistical chart is leakage current, the abscissa is each epitope in each withstand voltage test device, and leakage current data of all meters in the same batch are displayed in the statistical chart; the average leakage current of all meters and the average leakage current of all meters made by the corresponding epitope are displayed in a graph as reference lines;
calculating the leakage current distribution characteristics of a batch by using the leakage currents of all meters in the batch; calculating the leakage current distribution characteristic of the epitope by using the leakage currents of all meters tested on the epitope in the batch; indexes of epitope leakage current distribution characteristics comprise an average value X1, a standard deviation X2, a maximum value X3 and a minimum value X4;
and when the standard deviation X2 and the maximum value X3 of the epitope leakage current are calculated, removing the first meter with unqualified insulation performance appearing in the batch.
4. The automatic online monitoring method of the multi-epitope withstand voltage test device according to claim 3, characterized in that: when calculating the abnormal indexes and the epitope alarm coefficients of a plurality of indexes of the leakage current distribution of each epitope in the step 3), adopting a Lauda method to identify the leakage current distribution abnormality;
for a leakage current distribution characteristic index, defining the abnormality index of each index item of the epitope as follows:
Figure FDA0003119624990000031
wherein, muiRepresents the average value of the ith index term in each epitope, siThe standard deviation of the index item at each epitope is shown; according to the abnormal data identification principle, under the normal condition, the abnormal index of the index item is less than 1;
since the epitope leakage current distribution characteristics are expressed by the mean value X1, the standard deviation X2, the maximum value X3, and the minimum value X4, the epitope alarm coefficient is defined as:
Figure FDA0003119624990000032
wherein alpha isiThe weight of the abnormal index of each index item.
5. The method for automatically monitoring the multi-epitope withstand voltage test device on line according to claim 4, wherein the method comprises the following steps: in step 7), setting a time window to be N working days, wherein the number of times of test batches is not less than M, and only if the alarm coefficient in the time window is continuously less than a second threshold value, the epitope 'key attention' can be cancelled; otherwise, performing epitope warning.
6. The automatic online monitoring method of the multi-epitope withstand voltage test device according to claim 5, characterized in that: in step 8), when diagnosing the abnormal cause for the alarm epitope, dividing the abnormal cause into 4 clusters: the leakage current test board is abnormal, the high-voltage relay is abnormal, the crimping is abnormal and the like, and the trained diagnostic model is used for classifying the alarm epitopes;
the diagnosis model for determining the abnormal reason is constructed by taking leakage current distribution characteristic indexes as input and training the model by using a knowledge set, wherein the training comprises the following steps:
a. for the initially selected centroid muj(j ═ 1,2,3,4), calculate each sample x(i)With each centroid mujAccording to the calculation result, the sample belongs to the cluster c closest to the centroid(j)
c(j)=arg minj||x(i)j||2,j=1,2,3,4(3)
b. For each class cluster c(j)Recalculating the cluster centroid:
Figure FDA0003119624990000041
c. repeating the two steps to converge the knowledge algorithm;
the diagnostic model determines epitope classification according to equation (3).
7. The automatic online monitoring system of the multi-epitope pressure-resistant test device, which adopts the automatic online monitoring method of the multi-epitope pressure-resistant test device as claimed in any one of claims 1 to 6, is characterized by comprising:
the meter withstand voltage test data acquisition module: the device is used for collecting meter voltage-withstand test data and acquiring all meter voltage-withstand test conclusions, meter leakage currents, devices where tests are located and meter position numbers for one batch;
the distribution characteristic index calculation module of the epitope leakage current: the method is used for acquiring leakage current-epitope distribution statistical data acquisition and calculating the distribution characteristic index of leakage current of each epitope;
monitoring and early warning platform: acquiring pressure test conclusions of all meters in the batch, meter leakage currents and specific devices and epitopes where tests are located by inquiring a lot number or a task number, acquiring pressure test results of the meters in real time, comparing and identifying the consistency and difference of the distribution of leakage current values of all meters on different epitopes in the same batch, and calculating the abnormal index and the epitope alarm coefficient of the leakage current distribution characteristic index of each epitope; if the exception exists, the following processing is carried out: firstly, judging whether an epitope alarm coefficient is greater than or equal to a first threshold value; if yes, performing epitope early warning; judging whether the alarm coefficient is greater than or equal to a second threshold value or not and whether the index abnormality index is greater than or equal to a third threshold value or not; if yes, the epitope is listed as a key attention object, and the change condition of the alarm coefficient of the epitope in a set time period is concerned; judging whether the alarm coefficient has an ascending trend, if so, performing epitope early warning;
an anomaly diagnosis module: for the alarm epitope, diagnosing the abnormal reason through a diagnosis model; for the epitope generating alarm, obtaining the feedback data of the abnormity confirmation and maintenance result of the operation and maintenance personnel; regarding the epitope which can not be confirmed abnormally, the epitope is still classified as a key concern object; for the epitope which is confirmed abnormally, after the overhaul process is finished, if the operation state of a pressure resistance test device is good after a batch of tests, the epitope is considered to be recovered to be normal; and bringing the confirmed fault and the corresponding known sample into a knowledge set, comparing the condition that the diagnosis of the diagnosis model is not in accordance with the actual condition on site, and optimizing the parameters of the diagnosis model to improve the accuracy of the model.
8. The multi-epitope withstand voltage test device automatic online monitoring system according to claim 7, characterized in that: the meter voltage-withstand test data acquisition module comprises a leakage current test board which is arranged at each meter position and has the functions of leakage current measurement and data transmission, and the leakage current test board can realize communication with an industrial personal computer of a voltage-withstand test device through a hardware interface.
9. The multi-epitope withstand voltage test device automatic online monitoring system according to claim 8, characterized in that: the meter pressure test data acquisition module reads and records the pressure test result and the leakage current value of each meter position in the pressure test process; and transmitting a pressure test conclusion of the meter to a local database or a metering automation production dispatching platform MDS, and uploading a meter leakage current, a meter position number, a device number, a unit number and test time of the pressure test.
10. The multi-epitope withstand voltage test device automatic online monitoring system according to claim 7, characterized in that: when the distribution characteristic index calculation module of the epitope leakage current calculates the distribution characteristic index of each epitope leakage current, the leakage current distribution characteristics of a batch are calculated by using the leakage currents of all meters in the batch; calculating the leakage current distribution characteristic of the epitope by using the leakage currents of all meters tested on the epitope in the batch; indexes of epitope leakage current distribution characteristics comprise an average value X1, a standard deviation X2, a maximum value X3 and a minimum value X4;
and when the standard deviation X2 and the maximum value X3 of the epitope leakage current are calculated, removing the first meter with unqualified insulation performance appearing in the batch.
CN202110671788.9A2021-06-172021-06-17Automatic online monitoring method and system for multi-epitope withstand voltage test deviceActiveCN113608074B (en)

Priority Applications (1)

Application NumberPriority DateFiling DateTitle
CN202110671788.9ACN113608074B (en)2021-06-172021-06-17Automatic online monitoring method and system for multi-epitope withstand voltage test device

Applications Claiming Priority (1)

Application NumberPriority DateFiling DateTitle
CN202110671788.9ACN113608074B (en)2021-06-172021-06-17Automatic online monitoring method and system for multi-epitope withstand voltage test device

Publications (2)

Publication NumberPublication Date
CN113608074Atrue CN113608074A (en)2021-11-05
CN113608074B CN113608074B (en)2024-05-28

Family

ID=78303569

Family Applications (1)

Application NumberTitlePriority DateFiling Date
CN202110671788.9AActiveCN113608074B (en)2021-06-172021-06-17Automatic online monitoring method and system for multi-epitope withstand voltage test device

Country Status (1)

CountryLink
CN (1)CN113608074B (en)

Citations (10)

* Cited by examiner, † Cited by third party
Publication numberPriority datePublication dateAssigneeTitle
CN101556324A (en)*2009-05-122009-10-14深圳市科陆电子科技股份有限公司Pressure test device and method thereof for multi-epitope electric energy meter
CN104049191A (en)*2014-06-232014-09-17国家电网公司Multi-station alternating-current voltage testing device
CN203909228U (en)*2014-06-232014-10-29国家电网公司Multi-station AC voltage testing apparatus
CN105067974A (en)*2015-07-292015-11-18深圳市金正方科技股份有限公司Multi-position tool and leakage current detection alarm device thereof
CN106019204A (en)*2016-06-012016-10-12国网河北省电力公司电力科学研究院Electric energy meter automatic verification assembly line epitope fault alarming and positioning method
CN108957385A (en)*2018-08-152018-12-07广东电网有限责任公司A kind of electric energy measuring equipment automatic calibration line exception epitope confirmation method and device
CN110040475A (en)*2019-04-302019-07-23广东省计量科学研究院(华南国家计量测试中心)A kind of Quality Monitoring Control System and method of current transformer test assembly line
CN111368762A (en)*2020-03-092020-07-03金陵科技学院 Robot gesture recognition method based on improved K-means clustering algorithm
CN111413656A (en)*2019-12-302020-07-14湖北省计量测试技术研究院 On-line monitoring and early warning method and system for automatic verification system measurement process capability
CN112595943A (en)*2020-12-302021-04-02深圳市航天泰瑞捷电子有限公司Portable semi-automatic voltage withstanding test method, device and system

Patent Citations (10)

* Cited by examiner, † Cited by third party
Publication numberPriority datePublication dateAssigneeTitle
CN101556324A (en)*2009-05-122009-10-14深圳市科陆电子科技股份有限公司Pressure test device and method thereof for multi-epitope electric energy meter
CN104049191A (en)*2014-06-232014-09-17国家电网公司Multi-station alternating-current voltage testing device
CN203909228U (en)*2014-06-232014-10-29国家电网公司Multi-station AC voltage testing apparatus
CN105067974A (en)*2015-07-292015-11-18深圳市金正方科技股份有限公司Multi-position tool and leakage current detection alarm device thereof
CN106019204A (en)*2016-06-012016-10-12国网河北省电力公司电力科学研究院Electric energy meter automatic verification assembly line epitope fault alarming and positioning method
CN108957385A (en)*2018-08-152018-12-07广东电网有限责任公司A kind of electric energy measuring equipment automatic calibration line exception epitope confirmation method and device
CN110040475A (en)*2019-04-302019-07-23广东省计量科学研究院(华南国家计量测试中心)A kind of Quality Monitoring Control System and method of current transformer test assembly line
CN111413656A (en)*2019-12-302020-07-14湖北省计量测试技术研究院 On-line monitoring and early warning method and system for automatic verification system measurement process capability
CN111368762A (en)*2020-03-092020-07-03金陵科技学院 Robot gesture recognition method based on improved K-means clustering algorithm
CN112595943A (en)*2020-12-302021-04-02深圳市航天泰瑞捷电子有限公司Portable semi-automatic voltage withstanding test method, device and system

Non-Patent Citations (4)

* Cited by examiner, † Cited by third party
Title
沈明炎;林松;陈静;姜苏娜;: "流水线自动化检表系统的耐压测试部分溯源检测", 上海计量测试, no. 05*
董俐君;祝恩国;张芊;刘宣;: "自动化检定流水线现场校验系统的设计与实现", 电测与仪表, no. 17*
邢宇;鲍志威;孙艳玲;李红斌;陈勉舟;焦洋;: "一种智能电能表自动化检定流水线表位在线异常检测方法", 电测与仪表, no. 14, 25 July 2020 (2020-07-25)*
黄炜;刘雳;潘晓曼;夏鹏;: "电能表自动化检定流水线耐压装置的研究与应用", 江西电力, no. 02, 25 February 2018 (2018-02-25)*

Also Published As

Publication numberPublication date
CN113608074B (en)2024-05-28

Similar Documents

PublicationPublication DateTitle
CN111289829B (en) An online monitoring method and system for distribution transformers based on multi-source information fusion
CN104573850A (en)Method for evaluating state of thermal power plant equipment
CN114354783B (en) Health evaluation method of UHV oil chromatography monitoring device based on in-service data
CN113032454A (en)Interactive user power consumption abnormity monitoring and early warning management cloud platform based on cloud computing
CN108776804A (en)A kind of transformer specialization repair method based on portable terminal
CN111441864A (en)Engine health diagnosis method and engine diagnosis system
CN117850375B (en)Multi-dimensional monitoring system of production line
CN112966990A (en)Comprehensive state evaluation method for power transformation equipment
CN108681319B (en) A Transformer Winding Fault Identification Method Based on Transfer Function
CN115248402A (en) Oil-immersed transformer online monitoring system and method
CN119199367B (en) Fault Identification Method for Shunt Capacitors and Series Reactors Based on Parameter Characteristic Analysis
CN117517873A (en) A power grid fault diagnosis method based on three-dimensional model
CN114740343A (en)Real-time detection system for circuit breaker
CN118052482A (en)Analysis management method for semiconductor production detection
CN120351497A (en)Thermal power plant boiler fault monitoring and early warning method and system
CN109030976B (en) A system and method for monitoring and diagnosing power electronic equipment
CN119716407A (en) Online monitoring platform for cable insulation status in distribution network based on equivalent electrical characteristics
CN119644045A (en)Power grid fault diagnosis system and method based on big data
CN119482922A (en) Multi-dimensional comprehensive online monitoring and fault warning platform for main transformers in gas turbine power plants
CN118674423A (en)State evaluation method for diversified equipment of transformer substation
CN106524896B (en)Deformation of transformer winding on-line monitoring method based on circuit impedance method
CN113608074A (en)Automatic online monitoring method and system for multi-epitope voltage withstand test device
CN118868373A (en) Online monitoring system for power equipment based on IoT terminals
CN109784777B (en)Power grid equipment state evaluation method based on time sequence information fragment cloud similarity measurement
CN118607921A (en) A port area multi-energy fusion safety early warning and diagnosis system

Legal Events

DateCodeTitleDescription
PB01Publication
PB01Publication
SE01Entry into force of request for substantive examination
SE01Entry into force of request for substantive examination
GR01Patent grant
GR01Patent grant

[8]ページ先頭

©2009-2025 Movatter.jp