Movatterモバイル変換


[0]ホーム

URL:


CN113593273A - No-signal control road intersection collision early warning method based on V2I communication - Google Patents

No-signal control road intersection collision early warning method based on V2I communication
Download PDF

Info

Publication number
CN113593273A
CN113593273ACN202110830282.8ACN202110830282ACN113593273ACN 113593273 ACN113593273 ACN 113593273ACN 202110830282 ACN202110830282 ACN 202110830282ACN 113593273 ACN113593273 ACN 113593273A
Authority
CN
China
Prior art keywords
vehicle
collision
road
information
intersection
Prior art date
Legal status (The legal status is an assumption and is not a legal conclusion. Google has not performed a legal analysis and makes no representation as to the accuracy of the status listed.)
Granted
Application number
CN202110830282.8A
Other languages
Chinese (zh)
Other versions
CN113593273B (en
Inventor
赵睿
李云
高镇海
胡宏宇
高菲
张天瑶
Current Assignee (The listed assignees may be inaccurate. Google has not performed a legal analysis and makes no representation or warranty as to the accuracy of the list.)
Jilin University
Original Assignee
Jilin University
Priority date (The priority date is an assumption and is not a legal conclusion. Google has not performed a legal analysis and makes no representation as to the accuracy of the date listed.)
Filing date
Publication date
Application filed by Jilin UniversityfiledCriticalJilin University
Priority to CN202110830282.8ApriorityCriticalpatent/CN113593273B/en
Publication of CN113593273ApublicationCriticalpatent/CN113593273A/en
Application grantedgrantedCritical
Publication of CN113593273BpublicationCriticalpatent/CN113593273B/en
Activelegal-statusCriticalCurrent
Anticipated expirationlegal-statusCritical

Links

Images

Classifications

Landscapes

Abstract

Translated fromChinese

本发明属于道路交通技术领域,具体为一种基于V2I通信的无信号控制道路交叉口碰撞预警方法,包括如下阶段:基于V2I通信的道路交叉口路段信息匹配与冲突区域匹配,用于建立道路交叉口周边车辆定位信息与路段信息之间的关联,进而筛选存在碰撞可能性的车辆与其对应的冲突区域;基于V2I通信的道路交叉口碰撞检测与预警,用于实时检测前车离开与后车到达冲突区域的时间差是否满足动态阈值约束,以判断是否存在碰撞风险并发布碰撞预警信息。本发明提出的无信号控制道路交叉口碰撞预警方法,能够通过车辆网联信息弥补自车感知系统固有的局限性,通过路段信息与冲突区域预先匹配显著降低冲提高冲突检测效率。

Figure 202110830282

The invention belongs to the technical field of road traffic, and in particular relates to a method for early warning of road intersection collision without signal control based on V2I communication. The correlation between the vehicle positioning information around the intersection and the road section information, and then screen the vehicles with the possibility of collision and their corresponding conflict areas; the road intersection collision detection and early warning based on V2I communication is used to detect the departure of the preceding vehicle and the arrival of the rear vehicle in real time. Whether the time difference of the conflict area satisfies the dynamic threshold constraint is used to judge whether there is a collision risk and issue collision warning information. The collision warning method at a road intersection without signal control proposed by the invention can make up for the inherent limitation of the self-vehicle perception system through the vehicle network information, and significantly reduce the collision and improve the collision detection efficiency by pre-matching the road section information with the conflict area.

Figure 202110830282

Description

No-signal control road intersection collision early warning method based on V2I communication
Technical Field
The invention relates to the technical field of road traffic, in particular to a collision early warning method for a signalless control road intersection based on V2I communication.
Background
Traffic safety is a constant research topic of delivery and transportation systems. In recent years, with the rapid development of economy in China, the automobile keeping quantity is continuously increased, the total automobile output in China is 2532.5 thousands in 2020, and the potential purchasing power of automobile consumption is still increased year by year. Meanwhile, the number of traffic accidents is also continuously rising, and ensuring the driving safety becomes a great challenge in the current intelligent traffic era. According to statistics, the number of road traffic accidents increases year by year from 2014 to 2020, and the number of road traffic accidents exceeds 20 thousands year by year, wherein accidents at road intersections and nearby road intersections account for about 3 percent of the total number of traffic accidents. One of the main reasons for traffic accidents at intersections is that drivers cannot fully acquire traffic environment information of road sections around the intersections, and when the drivers perceive a collision danger, the drivers often do not have sufficient time to take measures, so that the occurrence of traffic accidents is avoided. The road intersection vehicle collision early warning system can analyze and calculate the possibility of collision of road vehicles in advance and carry out early warning on drivers before a traffic collision accident occurs, so that the traffic accident occurrence rate is remarkably reduced, and the traffic efficiency is improved.
Most of the existing road intersection vehicle collision early warning methods rely on self-vehicle sensors such as radars, cameras and the like to acquire information of surrounding environments, and on the basis, data fusion and analysis are carried out on the acquired information to realize an intersection collision early warning function. However, such sensors have certain sensing limitations, such as limited detection range, susceptibility to environmental interference, and the like. Therefore, the collision early warning function realized based on the perception information has great defects in the aspects of early warning missing report and false report.
With the continuous development and maturity of the car networking technology, the more and more intelligent car driving auxiliary function takes car networking information as a main perception source to make up for the inherent limitation of traditional perception system, the car road cooperation scheme based on the car networking technology gradually becomes the development trend of the car industry in the future. In recent years, V2X (Vehicle To evaporating) system has been widely used To effectively overcome the influence of severe weather or road environment by giving the Vehicle and surrounding traffic participants interconnected communication capability. The longitude, latitude, current instantaneous speed, course angle, predicted track and length and width of the vehicle interacted in the V2X communication system can be used for calculating whether the vehicle is possible to be collided in real time, and sending early warning information to the driver in advance to avoid collision.
The early warning method for vehicle collision at only a few road intersections utilizes V2X communication data as sensing input of collision and collision detection, and collision detection is carried out by calculating and comparing whether the time difference of the vehicles arriving at the intersections is larger than a certain fixed time threshold value. However, the existing intersection collision detection method combining V2X communication data, or greatly reducing the vehicle dynamics model and the road traffic model, such as considering the vehicle as a simple mass point, assuming the same road structure or a collision area with an extremely large range, makes it difficult to be practically applied in an actual traffic system; or the method has extremely high computational complexity, and still frequently calculates and matches under a large number of scenes without collision risks, such as the situation that the vehicle is within a longitudinal safe distance range from the intersection or the driving route has no possibility of collision, so that the method is also difficult to deploy in a vehicle end and a road side end with high real-time performance and low resource overhead. In addition, more importantly, in the existing intersection collision detection method combining V2X communication data, a relatively conservative fixed threshold time difference method is adopted, and whether a collision risk exists in a vehicle is judged by detecting whether a time difference of the vehicle reaching a collision area meets a certain fixed time threshold constraint set in advance, however, this kind of method cannot properly balance the miss-reporting performance and the false-reporting performance, although V2X information is combined, the setting of the time difference threshold is separated from the real-time dynamics information of the vehicle, so that a high miss-reporting rate or false-reporting rate still can be caused, and the method cannot be applied to a dynamic traffic system with high safety requirements.
Therefore, the invention designs and realizes a vehicle collision early warning method based on V2I communication and taking safety and high efficiency into account for the scene of the signalless control intersection with high traffic accident rate, effectively combines vehicle positioning information, dynamic information and intersection collision area information, and simultaneously performs dynamic collision and collision time difference detection, so as to further greatly improve the collision detection accuracy and detection efficiency and meet the safety requirements of intelligent vehicles and intelligent traffic in the future. The method comprises the following steps: the method comprises the steps that firstly, matching of road section information and matching of conflict areas of a road intersection based on V2I communication is used for establishing association between positioning information and road section information of vehicles around the road intersection, so that vehicles with collision possibility and the corresponding conflict areas are screened, and the collision detection efficiency of vehicles at the next stage is improved; the road intersection collision detection and early warning based on V2I communication is used for detecting whether possible collision vehicles screened in one stage reach a critical value of a longitudinal safety distance away from the intersection or not in real time, further detecting whether a time difference between a front vehicle leaving and a rear vehicle reaching a corresponding collision area meets a dynamic threshold or not, judging whether collision risks exist or not and issuing collision early warning information, wherein the time difference threshold is updated in each cycle based on real-time vehicle dynamics information, so that the real-time running state of each vehicle is fitted to the maximum degree, and the accuracy of collision detection is greatly improved. The experimental result shows that the method disclosed by the invention can achieve the early warning missing report rate close to zero and the extremely low false report rate under the vehicle-road full-cooperation environment with accurate perception information, and supports proper balance between the early warning missing report rate and the false report rate through parameter adjustment.
Disclosure of Invention
This section is for the purpose of summarizing some aspects of embodiments of the invention and to briefly introduce some preferred embodiments. In this section, as well as in the abstract and the title of the invention of this application, simplifications or omissions may be made to avoid obscuring the purpose of the section, the abstract and the title, and such simplifications or omissions are not intended to limit the scope of the invention.
The invention provides a method for early warning the collision of a road intersection without signal control.
Therefore, the invention aims to provide a collision early warning method for the signalless control road intersection based on V2I communication, which guarantees the driving safety and the efficiency of the signalless control road intersection and is easy to be practically applied and deployed in a vehicle-road cooperative traffic system.
To solve the above technical problem, according to an aspect of the present invention, the present invention provides the following technical solutions:
a no-signal control road intersection collision early warning method based on V2I communication comprises the following steps:
the method comprises the following steps: matching road intersection section information based on V2I communication and matching conflict areas, firstly, a road side unit performs coordinate conversion based on GPS information in a received real-time Basic Safety Message (BSM) of a surrounding vehicle; further establishing association between coordinate information and road section information of vehicles around the road intersection; further filtering vehicles without collision possibility according to road section information of vehicles around the road intersection, simultaneously screening the vehicles with collision possibility and a corresponding collision area as input of vehicle collision detection and early warning, and combining matching of the road section information and the collision area, the vehicle collision detection efficiency of the next stage can be obviously improved;
step two: the method comprises the steps of firstly detecting whether screened possible collision vehicles reach a critical value of a longitudinal safety distance from an intersection or not based on V2I communication, further detecting whether a time difference between two vehicles which are possible to collide and arrive at and leave a corresponding collision area meets a dynamic threshold or not when the time difference reaches the critical value, judging whether collision risks exist or not, if the collision risks exist, issuing collision early warning information according to rules, and if the collision risks do not exist, returning to the first step to wait for road section information matching of a next control cycle to be matched with the collision area.
As a preferable scheme of the no-signal control intersection collision early warning method based on V2I communication, the method comprises the following steps: the first step specifically comprises the following steps:
(1) roadside unit V2I message reception
The basic safety information in the national cooperative intelligent transportation system-vehicle communication system application data interaction standard vehicle-road cooperative standard is used as the input of the whole method, a road side unit at a road intersection periodically receives the real-time basic safety information of surrounding vehicles, and the GPS, the course angle, the speed, the acceleration, the length, the width and the expected steering information of the vehicles contained in the information are collected;
(2) vehicle coordinate transformation
This sub-step converts the GPS information (longitude, latitude and altitude) of the vehicle into three-dimensional cartesian coordinates;
(3) vehicle travel segment information matching
The sub-step maps the real-time positioning information of the vehicle into the information of the road section where the vehicle is located, the road information (coordinates, structures and directions) is stored in an intersection road side unit in advance, the road side unit obtains Cartesian coordinates of surrounding vehicles based on calculation, the road section where the vehicle is located is judged, and the information of the vehicle running road section is matched and used for matching of the road intersection conflict area in the next step;
(4) vehicle conflict zone matching
The traffic condition at the road intersection is very complex, and the road intersection is divided into rectangles with the number of road areas multiplied by the number of road areas; considering that the areas where the vehicles possibly collide at the intersection are related to the current traveling direction and the predicted steering information of the vehicles, mapping the road section information and the predicted steering information of the vehicles into the intersection collision areas where the vehicles possibly collide; coordinates of the central point of the intersection are obtained in advance and stored in the road side unit.
As a preferable scheme of the no-signal control intersection collision early warning method based on V2I communication, the method comprises the following steps: the second step specifically comprises the following steps:
(1) vehicle longitudinal safe distance calculation from conflict area
The method comprises the steps of dynamically calculating the longitudinal safe distance of a vehicle with collision possibility to a collision region where the vehicle is possible to collide in real time, namely the maximum braking distance of the vehicle to a collision region under the worst condition, and if and only if the distance of any vehicle with collision to the collision region is smaller than or equal to a safe distance critical value, further detecting whether the secondary time difference of two vehicles with collision possibility to the corresponding collision region meets a dynamic threshold value;
(2) vehicle-to-collision zone time difference calculation
Comparing the time difference between the front vehicle and the rear vehicle leaving the corresponding collision area with the time difference whether the time difference meets a dynamic time threshold value or not for two vehicles with collision possibility after the screening in the step so as to judge whether collision risks exist or not; this step comprises three substeps: calculating the distance between the vehicle and the collision area facing different collision scenes, calculating the time of the vehicle reaching and leaving the collision area, and calculating the dynamic time threshold of the vehicle;
(3) vehicle early warning information issuing
The vehicle early warning information is mainly issued by considering the priority of the vehicle and the priority of the road, special-purpose vehicles such as fire trucks, ambulances and the like have high priority, and for the same type of vehicles, the vehicles with high authority on the road have high priority, and the establishment of the road authority information becomes a necessary condition for ensuring safety and no conflict under the cooperative environment of the vehicle and the road;
when the high-priority vehicle reaches a collision detection critical value first, collision detection based on time difference is carried out, collision early warning information is issued to the low-priority vehicle if collision risk exists, and the first step is returned to wait for road section information matching and collision area matching of the next control cycle if collision risk does not exist; when a low-priority vehicle reaches a collision detection critical value first, if collision risks exist, collision early warning information is issued to the low-priority vehicle, the high-priority vehicle advances, if no collision risks exist, the low-priority vehicle can pass through, the vehicle is marked to enter a passing protection range, meanwhile, the first step is returned to wait for matching of road section information of the next control cycle and a collision area, if other high-priority vehicles with a violation time difference in a certain cycle want to enter the intersection and the same collision area before the low-priority vehicle passes through the intersection, and the vehicle still guarantees the passing of the vehicle because the vehicle does not meet the safety critical value.
Compared with the prior art, the invention has the beneficial effects that:
(1) the inherent limitation of the vehicle sensing system is made up through the vehicle internet information;
(2) the collision detection efficiency is obviously reduced and improved through the pre-matching of the road section information and the collision area;
(3) the method has the advantages that the longitudinal safe distance between the vehicle and the road intersection is detected, so that the vehicle at the safe longitudinal distance is filtered, and the detection efficiency is further improved on the premise of not losing the safety;
(4) the collision conflict detection is carried out through the setting of the dynamically adjustable time difference threshold, the time difference threshold is updated in each cycle based on real-time vehicle dynamics information, so that the real-time running state of each vehicle is fitted to the maximum degree, and the accuracy of the collision detection is greatly improved (the collision detection has low missing report rate and low false report rate).
Drawings
In order to more clearly illustrate the technical solutions of the embodiments of the present invention, the present invention will be described in detail with reference to the accompanying drawings and detailed embodiments, and it is obvious that the drawings in the following description are only some embodiments of the present invention, and it is obvious for those skilled in the art to obtain other drawings without inventive exercise. Wherein:
FIG. 1 is a flow chart of a vehicle collision warning method based on V2X communication according to the present invention;
FIG. 2 is a schematic view of a road area around an intersection according to the present invention;
FIG. 3 is a schematic view of a road area around an intersection according to the present invention;
FIG. 4 is a schematic view of a vehicle of the present invention traveling straight through a conflict area;
FIG. 5 is a schematic view of a right turn through a conflict zone of a vehicle according to the present invention;
FIG. 6 is a schematic illustration of a vehicle of the present invention passing through a conflict area IV in a left turn;
FIG. 7 is a schematic view of the present invention vehicle leaving the conflict area IV in a left turn;
FIG. 8 is a schematic view of a vehicle of the present invention passing through conflict area I in a left turn;
FIG. 9 is a schematic view of a vehicle entering conflict area I in a left turn mode in accordance with the present invention;
FIG. 10 is a schematic view of the present invention vehicle leaving conflict area I in a left turn;
FIG. 11 is a schematic illustration of a vehicle of the present invention passing through conflict area II in a left turn;
FIG. 12 is a schematic view of a vehicle entering conflict area II with a left turn in accordance with the present invention;
fig. 13 is a schematic view of the vehicle of the invention passing through the conflict zone III in a U-turn manner.
Detailed Description
In order to make the aforementioned objects, features and advantages of the present invention comprehensible, embodiments accompanied with figures are described in detail below.
In the following description, numerous specific details are set forth in order to provide a thorough understanding of the present invention, but the present invention may be practiced in other ways than those specifically described herein, and it will be apparent to those of ordinary skill in the art that the present invention may be practiced without departing from the spirit and scope of the present invention, and therefore the present invention is not limited to the specific embodiments disclosed below.
Next, the present invention will be described in detail with reference to the drawings, wherein for convenience of illustration, the cross-sectional view of the device structure is not enlarged partially according to the general scale, and the drawings are only examples, which should not limit the scope of the present invention. In addition, the three-dimensional dimensions of length, width and depth should be included in the actual fabrication.
The detailed, detailed and complete description of the embodiment of the proposed signalless control intersection collision warning method based on V2I communication will be further made in this section with reference to the accompanying drawings, and the method mainly includes the following steps:
the method comprises the following steps: matching road intersection section information and matching conflict areas based on V2I communication, and firstly, performing coordinate conversion by a road side unit based on GPS information in received real-time BSM information of surrounding vehicles; further establishing association between coordinate information and road section information of vehicles around the road intersection; and then, vehicles without collision possibility are filtered according to road section information of vehicles around the road intersection, meanwhile, collision areas corresponding to the vehicles with collision possibility are screened, the collision areas are used as input of vehicle collision detection and early warning in the second step, and the vehicle collision detection efficiency in the next step can be remarkably improved by combining the matching of the road section information and the collision areas.
Step two: the method comprises the steps of firstly detecting whether a possibly collided vehicle screened in a first stage reaches a critical value of a longitudinal safety distance from an intersection or not, further detecting whether the time difference between two vehicles which are possibly collided and arrive at and leave a corresponding collision area meets a dynamic threshold or not when the vehicle reaches the critical value, judging whether collision risks exist or not, issuing collision early warning information if the collision risks exist, returning to a first step to wait for road section information matching of a next control cycle and collision area matching if the collision risks do not exist, wherein the time difference threshold is updated on the basis of real-time vehicle dynamics information in each cycle, fitting the real-time running state of each vehicle to the maximum degree, and greatly improving the accuracy of collision detection.
1. Road intersection road section information matching and conflict region matching based on V2I communication
The matching of the road intersection section information and the matching of the conflict region based on the V2I communication mainly comprises four sub-steps: the method comprises the steps of road side unit V2I message receiving, vehicle coordinate conversion, vehicle running road section information matching and vehicle conflict area matching, wherein the road side unit V2I message receiving obtains basic safety messages of vehicles around an intersection in real time, the vehicle coordinate conversion is used for converting GPS information of the vehicles in the basic safety messages into coordinate information, the vehicle running road section information matching is used for mapping the real-time coordinate information of the vehicles to road section information where the vehicles are located, and the vehicle conflict area matching is used for mapping the road section information where the vehicles run to areas where collision conflict is likely to occur.
(1) Roadside unit V2I message reception
The invention takes basic safety information in the national cooperative intelligent transportation system-vehicle communication system application data interaction standard vehicle-road cooperative standard as the input of the whole method, a road side unit at a road intersection periodically receives the real-time basic safety information of surrounding vehicles, and acquires the vehicle GPS, course angle, speed, acceleration, length, width and expected steering information contained in the information.
(2) Vehicle coordinate transformation
The substep is to couple the vehicle CkGPS information (Lon)k,Latk,Altk) Conversion to three-dimensional Cartesian coordinates, where Lonk,Latk,AltkRespectively represent vehicles CkThe longitude, latitude and altitude, the three-dimensional cartesian coordinates are:
Figure BDA0003175217900000091
wherein N is the radius of the unitary-mortise ring of the ellipsoid:
Figure BDA0003175217900000101
wherein R is the radius of an ellipsoid, e2Is an ellipsoidal first eccentricity.
(3) Vehicle travel segment information matching
The sub-step maps the real-time positioning information of the vehicle into the road section information where the vehicle is located, and the obtained vehicle road section information is used for matching the road intersection conflict area in the next step. The invention sets each road section Seg in the coverage range of the road intersection road side unit V2X signaliLane divided into several lanesjRoad area R around the intersectioni,jAttributes are composed of six tuples (X)i,j,Yi,j,Li,j,Wi,j,Di,jθ) identification, wherein Xi,j,Yi,jAbscissa and ordinate, L, representing the central position of a road areai,jIndicating the length of the road area, Wi,jIndicating the width of the road area, Di,jThe driving direction of the road area is shown, and theta represents the included angle between the center line of the road area and the horizontal direction.
The road information is stored in the intersection road side unit in advance, and the road side unit obtains the surrounding vehicle C based on calculationkCoordinate (X)k,Yk) Whether the vehicle is traveling in the road region R is determined by the following inequalityi,jThe method comprises the following steps:
Figure BDA0003175217900000102
Figure BDA0003175217900000103
(4) vehicle conflict zone matching
The traffic condition at the road intersection is very complex, and the road intersection is divided into rectangles with the number of road areas multiplied by the number of road areas. Fig. 3 depicts conflict areas numbered I, II, III, IV divided by intersections of 2 road areas × 2 road areas, respectively. In view of the fact that the areas where vehicles may collide at a pathway intersection are related to their current traveling direction and predicted steering information, as shown in fig. 1, the present patent maps the position information of the vehicles and the predicted steering information to the intersection collision areas where collisions may occur. The coordinate of the central point of the road intersection is (X)C,YC) The road side units are obtained and stored in advance.
TABLE 1 mapping of vehicle travel segment information and predicted turn information to conflict regions
Figure BDA0003175217900000111
2. Road intersection collision detection and early warning based on V2I communication
The road intersection collision detection and early warning based on V2I communication mainly comprises three sub-steps: the method comprises the steps of calculating the longitudinal safety distance between a vehicle and a collision region, calculating the time difference between the vehicle and the collision region and issuing vehicle early warning information, wherein the longitudinal safety distance between the vehicle and the collision region is calculated by a road side unit, judging whether the distance between the current vehicle and the collision region reaches a safety critical value or not, calculating the time difference between the vehicle and the collision region by the road side unit, and further detecting whether the time difference between the front vehicle leaving and the rear vehicle reaching the corresponding collision region of the two vehicles which are likely to collide meets a dynamic threshold value or not to judge whether collision risks exist or not according to the condition of reaching the critical value, and issuing the vehicle early warning information to the vehicles by the road side unit.
(1) Vehicle longitudinal safe distance calculation from conflict area
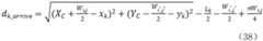
This step dynamically calculates the vehicle C having the possibility of collision in real timekLongitudinal safety distance d to collision zone where collision may occurk_safeI.e. the maximum braking distance of the vehicle to the impact area in the worst case, assuming that the reaction time of the driver, the time delay of the communication system and the time delta spent by the transmission of the braking force to the wheels are all the same, the current speed of the vehicle is ukIn response time delta, the vehicle accelerates at the maximum acceleration, and after response time delta, the vehicle decelerates at the minimum deceleration, and then vehicle CkLongitudinal safety distance d to collision zone where collision may occurk_safeComprises the following steps:
Figure BDA0003175217900000121
if and only if there is any colliding vehicle CkThe distance to the collision area is less than or equal to a safety distance critical value dk_safeAnd then, the roadside unit further detects whether the time difference of the two vehicles which are likely to collide meets the dynamic threshold value.
(2) Vehicle-to-collision zone time difference calculation
The step is to compare the front and rear vehicles C with collision possibility after the screening of the stepskAnd CkComparing the time t of the front vehicle leaving and the time t of the rear vehicle arriving at the conflict areak_leaveAnd tk_arriveWhether the difference is less than the dynamic threshold value
Figure BDA0003175217900000122
Judging whether the two vehicles have collision risks:
Figure BDA0003175217900000123
the inequality (6) expresses that the time difference between the departure of the front vehicle and the arrival of the rear vehicle in the conflict area is close, namely the front vehicle and the rear vehicle are likely to appear in the conflict area in the same time, wherein the front vehicle represents the vehicle with the priority right to pass in the conflict area in the early warning issuing rule.
1) Vehicle arrival and departure collision zone distance calculation for different collision scenarios
Vehicle CkIs composed of six tuples (u)k,βk,xk,yk,Lk,WkB) identification of ukIs the current speed of the vehicle, betakIs the current heading angle, x, of the vehiclekIs the current abscissa, y, of the vehiclekIs the current ordinate, L, of the vehiclekIs the length of the vehicle, WKThe width of the vehicle.
When the vehicle moves straight through the collision area, as shown in fig. 4, the vehicle CkDistance d between the frontmost side and the rear of the vehicle from the edge of the collision zonek_arriveAnd dk_leaveComprises the following steps:
Figure BDA0003175217900000131
Figure BDA0003175217900000132
wherein Wi,jIs the road R on which the vehicle is locatedi,jWidth of (W)i′,j′As a collision with the vehicle C in the area of collisionkIntersection road R of roadsi′,j′Width.
② when the vehicle turns right through the conflict area, as shown in FIG. 5Show, vehicle CkDistance d between the frontmost side and the rear of the vehicle from the edge of the collision zonek_arriveAnd dk_leaveComprises the following steps:
Figure BDA0003175217900000133
Figure BDA0003175217900000134
wherein the motion track of the vehicle is modeled as a radius of one half W when the vehicle turns righti,jArc of (1), wherein Wi,jIs the road R on which the vehicle is locatedi,jIs measured.
③ when the vehicle turns left through the collision zone IV of its view, as shown in fig. 6, the vehicle CkDistance d between the frontmost side and the rear of the vehicle from the edge of the collision zonek_arriveAnd dk_leaveComprises the following steps:
Figure BDA0003175217900000135
Figure BDA0003175217900000141
wherein the motion track of the vehicle at the intersection is regarded as the width W of the conflict area IV (namely the width of the road where the vehicle is located)i,jOf a circle with a radius of three-halves
Figure BDA0003175217900000142
Arc length, α is the turning angle of the vehicle.
The method for solving the rotation angle α of the vehicle entering the conflict area IV is as follows, and as shown in fig. 7, when it is known that the angle between the heading of the vehicle and the horizontal line is β when the vehicle just leaves the conflict area IV, and the difference between the angle between OA and the horizontal line and β is γ, the following geometric relationship is obtained:
Figure BDA0003175217900000143
Figure BDA0003175217900000144
Figure BDA0003175217900000145
Figure BDA0003175217900000146
Figure BDA0003175217900000147
the above equation 5 is combined and solved for a quadratic equation of unity for α:
Figure BDA0003175217900000148
when the vehicle turns left and passes through the conflict area I, as shown in FIG. 8, the vehicle CkDistance d between the frontmost side and the rear of the vehicle from the edge of the collision zonek_arriveAnd dk_leaveComprises the following steps:
Figure BDA0003175217900000151
Figure BDA0003175217900000152
wherein the tracks of the vehicles entering and leaving the conflict area are irregular curves, alpha and alpha' are the turning angles of the vehicles entering and leaving the conflict area I, and the turning distances of the vehicles entering and leaving the conflict area are respectively
Figure BDA0003175217900000153
And
Figure BDA0003175217900000154
Wi,jis the road R on which the vehicle is locatedi,jWidth of (W)i′,j′As a collision with the vehicle C in the area of collisionkIntersection road R of roadsi′,j′Width.
As shown in fig. 9, when the vehicle has just entered the collision area, the intersection point with the collision area is point a, the centroid of the vehicle is O, the included angle between the line segment OA and the vehicle heading is β, and the included angle between the line segment OA and the vertical line is γ, the following geometric relationship is obtained:
Figure BDA0003175217900000155
Figure BDA0003175217900000156
cosγ=cos(α-β)=cosαcosβ+sinαsinβ (23)
Figure BDA0003175217900000157
the above equation 4 is combined and solved for a quadratic equation of unity for α:
Figure BDA0003175217900000161
the method for solving the rotation angle α 'of the vehicle leaving the collision area I is as follows, as shown in fig. 10, the centroid of the vehicle is point O, the tangent point to the collision area is point a, the rotation angle of the vehicle in the collision area is α', and the included angle between the line segment OA and the vehicle heading is β, so as to obtain the following geometric relationship:
Figure BDA0003175217900000162
Figure BDA0003175217900000163
Figure BDA0003175217900000164
Figure BDA0003175217900000165
the above equation 4 is combined and solved for a' by a quadratic equation of unity:
Figure BDA0003175217900000166
when the vehicle turns left and passes through the conflict area II, as shown in FIG. 11, the vehicle CkDistance d between the frontmost side and the rear of the vehicle from the edge of the collision zonek_arriveAnd dk_leaveComprises the following steps:
Figure BDA0003175217900000167
Figure BDA0003175217900000171
wherein the tracks of the vehicles entering and leaving the conflict area are irregular curves, and the turning distance of the vehicles entering the conflict area is
Figure BDA0003175217900000172
α is the angle at which the vehicle enters collision zone II, where Wi,jIs the road R on which the vehicle is locatedi,jWidth of (W)i′,j′As a collision with the vehicle C in the area of collisionkIntersection road R of roadsi′,j′Width.
The solution of the rotation angle α of the vehicle entering the collision area II is as follows, as shown in fig. 12, the centroid of the vehicle is point O, point a is the tangent point of the vehicle just entering the collision area, the angle between the heading of the vehicle and OA is β, the angle between the heading and the horizontal direction is γ, and there are, according to the geometric relationship:
cos(γ-β)=cosγcosβ+sinγsinβ (33)
Figure BDA0003175217900000173
Figure BDA0003175217900000174
Figure BDA0003175217900000175
the above equation 4 is combined and solved for a quadratic equation of unity for α:
Figure BDA0003175217900000176
sixthly, if the vehicle passes through the conflict area III in a U-shaped rotation mode, as shown in figure 13, the vehicle CkDistance d between the frontmost side and the rear of the vehicle from the edge of the collision zonek_arriveAnd dk_leaveComprises the following steps:
Figure BDA0003175217900000181
Figure BDA0003175217900000182
2) vehicle arrival and departure from conflict zone time calculation
Based on vehicle CkDistance d to and from the collision zonek_arriveAnd dk_leaveTime dk_arriveAnd tk_leaveComprises the following steps:
tk_arrive=dk_arrive/uk (40)
tk_leave=dk_leave/uk (41)
3) vehicle dynamic threshold calculation
This step calculates in real time the two vehicles C that have the possibility of collisionkAnd Ck′Dynamic threshold
Figure BDA0003175217900000183
The road side unit receives the speed u of two vehicles in real timekAnd uk′In order to ensure that the two vehicles do not collide, the time difference between the departure of the front vehicle and the arrival of the rear vehicle at the collision area needs to meet the dynamic time threshold. In the worst case, CkBraking at maximum deceleration, Ck′In the time period delta before the early warning message is received, the maximum acceleration a is usedk′,maxaccelRunning, after receiving the warning message, at a minimum deceleration ak′,minbrakeBraking, so that the worst possible situation is not met, the two vehicles do not collide in the collision zone, the time threshold
Figure BDA0003175217900000191
The method comprises the following steps:
Figure BDA0003175217900000192
(3) vehicle early warning information issuing
The vehicle early warning information is mainly issued by considering the priority of the vehicle and the priority of the road, special-purpose vehicles such as fire trucks, ambulances and the like have high priority, the vehicles with the same type and the road with high authority have high priority, and the establishment of the road authority information becomes a necessary condition for ensuring safety and no conflict under the cooperative environment of the vehicle and the road.
When a high priority vehicle first reaches the collision detection threshold dk_safeTime difference based collision detection, if anyIf no collision risk exists, returning to the first step to wait for the matching of the road section information of the next control cycle and the matching of the collision area; when a low-priority vehicle reaches the collision detection threshold value d firstk_safeAnd if the low-priority vehicle passes through the intersection, other high-priority vehicles with time difference in a certain cycle want to enter the intersection same-conflict area, and the vehicle does not meet the safety critical value, so that the vehicle can still be ensured to pass.
The method disclosed by the patent is subjected to simulation verification, and the simulation platform adopts Simulink combined with PreScan. Constructing various intersection collision scenes in the Prescan, wherein the scenes comprise road information setting, vehicle motion trail and parameter setting and V2I message transceiving setting; in Simulink, the full logic of the disclosed method is implemented, including all sub-steps of intersection link information matching and collision zone matching based on V2I communication and road cross collision detection and early warning based on V2I communication. The experimental data refer to standard scenes of the intersection collision detection of the facies V2X issued by the national highway traffic safety administration, each scene comprises a main vehicle with low priority and an auxiliary vehicle with high priority, and meanwhile, in order to test the influence of time threshold parameter setting on the early warning performance, each scene is provided with several groups of typical vehicle maximum acceleration, maximum deceleration, minimum deceleration and response time parameters according to theoretical values.
Table 2 gives the statistical results of 120 simulation tests, and the results show that the disclosed method has very high early warning accuracy, including the missing report rate and the false report rate, and simultaneously supports the trade-off between the missing report rate and the false report rate through the time threshold parameter adjustment, wherein when the most conservative parameter set is selected, the missing report rate is 0.00%, the false report rate is higher and is 15%, when the middle set is selected, the missing report rate is still 0.00%, the false report rate is reduced to 5%, when the more aggressive parameter set is selected, the missing report rate is 2.5%, and the false report rate is 2.5%. In each test, the dynamic threshold value is changed in real time according to the dynamic information of the vehicle.
TABLE 2 No-signal control road intersection vehicle collision early warning test result based on V2I
Figure BDA0003175217900000201
While the invention has been described above with reference to an embodiment, various modifications may be made and equivalents may be substituted for elements thereof without departing from the scope of the invention. In particular, the various features of the disclosed embodiments of the invention may be used in any combination, provided that no structural conflict exists, and the combinations are not exhaustively described in this specification merely for the sake of brevity and resource conservation. Therefore, it is intended that the invention not be limited to the particular embodiments disclosed, but that the invention will include all embodiments falling within the scope of the appended claims.

Claims (3)

1. A no-signal control road intersection collision early warning method based on V2I communication is characterized by comprising the following steps:
the method comprises the following steps: matching road intersection section information based on V2I communication and matching conflict areas, firstly, a road side unit performs coordinate conversion based on GPS information in a received real-time Basic Safety Message (BSM) of a surrounding vehicle; further establishing association between coordinate information and road section information of vehicles around the road intersection; further filtering vehicles without collision possibility according to road section information of vehicles around the road intersection, simultaneously screening the vehicles with collision possibility and a corresponding collision area as input of vehicle collision detection and early warning, and combining matching of the road section information and the collision area, the vehicle collision detection efficiency of the next stage can be obviously improved;
step two: the method comprises the steps of firstly detecting whether screened possible collision vehicles reach a critical value of a longitudinal safety distance from an intersection or not based on V2I communication, further detecting whether a time difference between two vehicles which are possible to collide and arrive at and leave a corresponding collision area meets a dynamic threshold or not when the time difference reaches the critical value, judging whether collision risks exist or not, if the collision risks exist, issuing collision early warning information according to rules, and if the collision risks do not exist, returning to the first step to wait for road section information matching of a next control cycle to be matched with the collision area.
2. The signalless control intersection collision early warning method based on V2I communication according to claim 1, wherein: the first step specifically comprises the following steps:
(1) roadside unit V2I message reception
The basic safety information in the national cooperative intelligent transportation system-vehicle communication system application data interaction standard vehicle-road cooperative standard is used as the input of the whole method, a road side unit at a road intersection periodically receives the real-time basic safety information of surrounding vehicles, and the GPS, the course angle, the speed, the acceleration, the length, the width and the expected steering information of the vehicles contained in the information are collected;
(2) vehicle coordinate transformation
This sub-step converts the GPS information (longitude, latitude and altitude) of the vehicle into three-dimensional cartesian coordinates;
(3) vehicle travel segment information matching
The sub-step maps the real-time positioning information of the vehicle into the information of the road section where the vehicle is located, the road information (coordinates, structures and directions) is stored in an intersection road side unit in advance, the road side unit obtains Cartesian coordinates of surrounding vehicles based on calculation, the road section where the vehicle is located is judged, and the information of the vehicle running road section is matched and used for matching of the road intersection conflict area in the next step;
(4) vehicle conflict zone matching
The traffic condition at the road intersection is very complex, and the road intersection is divided into rectangles with the number of road areas multiplied by the number of road areas; considering that the areas where the vehicles possibly collide at the intersection are related to the current traveling direction and the predicted steering information of the vehicles, mapping the road section information and the predicted steering information of the vehicles into the intersection collision areas where the vehicles possibly collide; coordinates of the central point of the intersection are obtained in advance and stored in the road side unit.
3. The signalless control intersection collision early warning method based on V2I communication according to claim 1, wherein: the second step specifically comprises the following steps:
(1) vehicle longitudinal safe distance calculation from conflict area
The method comprises the steps of dynamically calculating the longitudinal safe distance of a vehicle with collision possibility to a collision region where the vehicle is possible to collide in real time, namely the maximum braking distance of the vehicle to a collision region under the worst condition, and if and only if the distance of any vehicle with collision to the collision region is smaller than or equal to a safe distance critical value, further detecting whether the secondary time difference of two vehicles with collision possibility to the corresponding collision region meets a dynamic threshold value;
(2) vehicle-to-collision zone time difference calculation
Comparing the time difference between the front vehicle and the rear vehicle leaving the corresponding collision area with the time difference whether the time difference meets a dynamic time threshold value or not for two vehicles with collision possibility after the screening in the step so as to judge whether collision risks exist or not; this step comprises three substeps: calculating the distance between the vehicle and the collision area facing different collision scenes, calculating the time of the vehicle reaching and leaving the collision area, and calculating the dynamic time threshold of the vehicle;
(3) vehicle early warning information issuing
The vehicle early warning information is mainly issued by considering the priority of the vehicle and the priority of the road, special-purpose vehicles such as fire trucks, ambulances and the like have high priority, and for the same type of vehicles, the vehicles with high authority on the road have high priority, and the establishment of the road authority information becomes a necessary condition for ensuring safety and no conflict under the cooperative environment of the vehicle and the road;
when the high-priority vehicle reaches a collision detection critical value first, collision detection based on time difference is carried out, collision early warning information is issued to the low-priority vehicle if collision risk exists, and the first step is returned to wait for road section information matching and collision area matching of the next control cycle if collision risk does not exist; when a low-priority vehicle reaches a collision detection critical value first, if collision risks exist, collision early warning information is issued to the low-priority vehicle, the high-priority vehicle advances, if no collision risks exist, the low-priority vehicle can pass through, the vehicle is marked to enter a passing protection range, meanwhile, the first step is returned to wait for matching of road section information of the next control cycle and a collision area, if other high-priority vehicles with a violation time difference in a certain cycle want to enter the intersection and the same collision area before the low-priority vehicle passes through the intersection, and the vehicle still guarantees the passing of the vehicle because the vehicle does not meet the safety critical value.
CN202110830282.8A2021-07-222021-07-22No-signal control road intersection collision early warning method based on V2I communicationActiveCN113593273B (en)

Priority Applications (1)

Application NumberPriority DateFiling DateTitle
CN202110830282.8ACN113593273B (en)2021-07-222021-07-22No-signal control road intersection collision early warning method based on V2I communication

Applications Claiming Priority (1)

Application NumberPriority DateFiling DateTitle
CN202110830282.8ACN113593273B (en)2021-07-222021-07-22No-signal control road intersection collision early warning method based on V2I communication

Publications (2)

Publication NumberPublication Date
CN113593273Atrue CN113593273A (en)2021-11-02
CN113593273B CN113593273B (en)2022-07-01

Family

ID=78249109

Family Applications (1)

Application NumberTitlePriority DateFiling Date
CN202110830282.8AActiveCN113593273B (en)2021-07-222021-07-22No-signal control road intersection collision early warning method based on V2I communication

Country Status (1)

CountryLink
CN (1)CN113593273B (en)

Cited By (17)

* Cited by examiner, † Cited by third party
Publication numberPriority datePublication dateAssigneeTitle
CN114170803A (en)*2021-12-152022-03-11阿波罗智联(北京)科技有限公司Roadside sensing system and traffic control method
CN114179809A (en)*2021-12-172022-03-15中汽创智科技有限公司Radar data-based collision time calculation method and device, vehicle and medium
CN114220282A (en)*2021-11-152022-03-22三一专用汽车有限责任公司 Vehicle dispatch control method, device and electronic device
CN114882699A (en)*2022-04-082022-08-09武汉理工大学Road traffic risk identification method based on intra-area conflict space-time correlation characteristics
CN114895670A (en)*2022-04-212022-08-12北京京东乾石科技有限公司 Robot collision prediction method and device, electronic device and storage medium
CN115294797A (en)*2022-07-262022-11-04内蒙古大学 A kind of intelligent safety control method of highway level crossing
CN115331461A (en)*2022-07-282022-11-11武汉理工大学 A hybrid traffic control method, device and vehicle at an unsignaled intersection
CN115376343A (en)*2022-07-152022-11-22东风汽车集团股份有限公司Vehicle-road cooperative driving early warning method and related equipment
CN115440042A (en)*2022-09-022022-12-06吉林大学Signalless intersection cooperative control method based on multi-agent constraint strategy optimization
CN115457782A (en)*2022-09-192022-12-09吉林大学 Conflict-free cooperation method for self-driving vehicles at intersections based on deep reinforcement learning
CN116110254A (en)*2023-04-132023-05-12深圳锐盟半导体有限公司Anti-collision reminding method, device, equipment and storage medium for multi-channel junction
CN116129675A (en)*2023-01-172023-05-16中信科智联科技有限公司Method, device and equipment for early warning of collision between people and vehicles
CN116653937A (en)*2023-08-022023-08-29蘑菇车联信息科技有限公司Traffic light-free left turn scene vehicle passing method, system, equipment and storage medium
CN116704816A (en)*2023-08-082023-09-05江苏科运智慧交通科技有限公司Road intersection safety early warning method based on conflict domain
CN117087659A (en)*2023-09-272023-11-21上海全欣智享科技有限公司Left-turning automatic anti-collision braking method based on vehicle-road cooperation
CN118946916A (en)*2022-01-312024-11-12北美日产公司System and method for intersection collision avoidance
CN119600841A (en)*2024-12-092025-03-11桂林电子科技大学 A multi-fusion warning method for vehicle-pedestrian collision risk at non-signalized intersections in a V2X environment

Citations (10)

* Cited by examiner, † Cited by third party
Publication numberPriority datePublication dateAssigneeTitle
JP2008090663A (en)*2006-10-032008-04-17Denso CorpVehicle-to-vehicle communication system
CN103106811A (en)*2013-01-152013-05-15东南大学Recognition method of motor vehicle valid traffic conflict based on crashing time of two vehicles
CN103810903A (en)*2014-02-272014-05-21长安大学 A method for pushing alarm information based on vehicle-to-vehicle communication
WO2018159429A1 (en)*2017-03-022018-09-07パナソニックIpマネジメント株式会社Driving assistance method, and driving assistance device and driving assistance system using said method
JP2018147111A (en)*2017-03-022018-09-20パナソニックIpマネジメント株式会社 Driving support method, driving support device using the same, automatic driving control device, vehicle, program, driving support system
CN109102696A (en)*2018-07-062018-12-28北京工业大学The frequent section conflict method for early warning of intersection based on active safety
US20190035276A1 (en)*2016-03-062019-01-31Foresight Automotive Ltd.Running vehicle alerting system and method
CN110533959A (en)*2019-08-072019-12-03北京交通大学No-shell culture conflict Vehicle intelligent collision warning method and system based on bus or train route collaboration
CN110807951A (en)*2019-11-122020-02-18安徽江淮汽车集团股份有限公司Vehicle collision avoidance method, device, equipment and storage medium
CN111508274A (en)*2020-03-172020-08-07东软集团股份有限公司Collision early warning method, device and equipment

Patent Citations (10)

* Cited by examiner, † Cited by third party
Publication numberPriority datePublication dateAssigneeTitle
JP2008090663A (en)*2006-10-032008-04-17Denso CorpVehicle-to-vehicle communication system
CN103106811A (en)*2013-01-152013-05-15东南大学Recognition method of motor vehicle valid traffic conflict based on crashing time of two vehicles
CN103810903A (en)*2014-02-272014-05-21长安大学 A method for pushing alarm information based on vehicle-to-vehicle communication
US20190035276A1 (en)*2016-03-062019-01-31Foresight Automotive Ltd.Running vehicle alerting system and method
WO2018159429A1 (en)*2017-03-022018-09-07パナソニックIpマネジメント株式会社Driving assistance method, and driving assistance device and driving assistance system using said method
JP2018147111A (en)*2017-03-022018-09-20パナソニックIpマネジメント株式会社 Driving support method, driving support device using the same, automatic driving control device, vehicle, program, driving support system
CN109102696A (en)*2018-07-062018-12-28北京工业大学The frequent section conflict method for early warning of intersection based on active safety
CN110533959A (en)*2019-08-072019-12-03北京交通大学No-shell culture conflict Vehicle intelligent collision warning method and system based on bus or train route collaboration
CN110807951A (en)*2019-11-122020-02-18安徽江淮汽车集团股份有限公司Vehicle collision avoidance method, device, equipment and storage medium
CN111508274A (en)*2020-03-172020-08-07东软集团股份有限公司Collision early warning method, device and equipment

Cited By (26)

* Cited by examiner, † Cited by third party
Publication numberPriority datePublication dateAssigneeTitle
CN114220282A (en)*2021-11-152022-03-22三一专用汽车有限责任公司 Vehicle dispatch control method, device and electronic device
CN114220282B (en)*2021-11-152022-12-02三一专用汽车有限责任公司Vehicle scheduling control method and device and electronic equipment
CN114170803A (en)*2021-12-152022-03-11阿波罗智联(北京)科技有限公司Roadside sensing system and traffic control method
CN114179809A (en)*2021-12-172022-03-15中汽创智科技有限公司Radar data-based collision time calculation method and device, vehicle and medium
CN118946916A (en)*2022-01-312024-11-12北美日产公司System and method for intersection collision avoidance
CN114882699B (en)*2022-04-082023-07-25武汉理工大学Road section traffic risk identification method based on conflict space-time correlation characteristics in area
CN114882699A (en)*2022-04-082022-08-09武汉理工大学Road traffic risk identification method based on intra-area conflict space-time correlation characteristics
CN114895670A (en)*2022-04-212022-08-12北京京东乾石科技有限公司 Robot collision prediction method and device, electronic device and storage medium
CN115376343A (en)*2022-07-152022-11-22东风汽车集团股份有限公司Vehicle-road cooperative driving early warning method and related equipment
CN115376343B (en)*2022-07-152023-12-19东风汽车集团股份有限公司Vehicle-road cooperative driving early warning method and related equipment
CN115294797A (en)*2022-07-262022-11-04内蒙古大学 A kind of intelligent safety control method of highway level crossing
CN115331461A (en)*2022-07-282022-11-11武汉理工大学 A hybrid traffic control method, device and vehicle at an unsignaled intersection
CN115331461B (en)*2022-07-282023-12-29武汉理工大学Mixed traffic passing control method and device for signalless intersection and vehicle
CN115440042A (en)*2022-09-022022-12-06吉林大学Signalless intersection cooperative control method based on multi-agent constraint strategy optimization
CN115440042B (en)*2022-09-022024-02-02吉林大学 Cooperative control method for unsignalized intersection based on multi-agent constraint strategy optimization
CN115457782B (en)*2022-09-192023-11-03吉林大学Automatic driving vehicle intersection conflict-free cooperation method based on deep reinforcement learning
CN115457782A (en)*2022-09-192022-12-09吉林大学 Conflict-free cooperation method for self-driving vehicles at intersections based on deep reinforcement learning
CN116129675A (en)*2023-01-172023-05-16中信科智联科技有限公司Method, device and equipment for early warning of collision between people and vehicles
CN116110254A (en)*2023-04-132023-05-12深圳锐盟半导体有限公司Anti-collision reminding method, device, equipment and storage medium for multi-channel junction
CN116653937B (en)*2023-08-022023-11-17蘑菇车联信息科技有限公司Traffic light-free left turn scene vehicle passing method, system, equipment and storage medium
CN116653937A (en)*2023-08-022023-08-29蘑菇车联信息科技有限公司Traffic light-free left turn scene vehicle passing method, system, equipment and storage medium
CN116704816B (en)*2023-08-082023-10-31江苏科运智慧交通科技有限公司Road intersection safety early warning method based on conflict domain
CN116704816A (en)*2023-08-082023-09-05江苏科运智慧交通科技有限公司Road intersection safety early warning method based on conflict domain
CN117087659A (en)*2023-09-272023-11-21上海全欣智享科技有限公司Left-turning automatic anti-collision braking method based on vehicle-road cooperation
CN119600841A (en)*2024-12-092025-03-11桂林电子科技大学 A multi-fusion warning method for vehicle-pedestrian collision risk at non-signalized intersections in a V2X environment
CN119600841B (en)*2024-12-092025-09-05桂林电子科技大学 A multi-fusion warning method for vehicle-pedestrian collision risk at non-signaled intersections in a V2X environment

Also Published As

Publication numberPublication date
CN113593273B (en)2022-07-01

Similar Documents

PublicationPublication DateTitle
CN113593273A (en)No-signal control road intersection collision early warning method based on V2I communication
CN111240328B (en)Vehicle driving safety monitoring method and device and unmanned vehicle
CN205943100U (en)HMI shows system for V2X scene
CN106781692B (en)Vehicle collision early warning method, device and system
CN109102696B (en) Conflict early warning method for frequent intersections based on active safety
WO2019080874A1 (en)Method for vehicle to pass by switching lanes and control center
CN106056972A (en)Security anti-collision early-warning method based on vehicle driving speed and position information fusion
CN107346612A (en)Vehicle anti-collision method and system based on Internet of Vehicles
CN104376735A (en)Driving safety early-warning system and method for vehicle at blind zone crossing
CN105206108A (en)Early warning method against vehicle collision based on electronic map
CN102779420A (en)Road traffic event automatic detection method based on real-time vehicle-mounted GPS (global position system) data
CN103065479B (en)Method and system of controlling traffic signal of public transport priority
CN113192331A (en)Intelligent early warning system and early warning method for riding safety in internet environment
CN114419874B (en)Target driving safety risk early warning method based on road side sensing equipment data fusion
CN105894856A (en)Vehicle collision preventing method based on vehicle-vehicle communication
CN111402626A (en) A safe vehicle following distance control system and control method based on vehicle-road coordination
CN107204128A (en)Vehicle anticollision early warning system and method based on ZigBee communication
CN105280024A (en)Method for assessing the collision possibility at intersection based on vehicle speed and distance
CN107919022A (en)A kind of intelligent traffic light signal control method of dynamic duration distribution
CN105261208A (en)Driving speed control method for inhibiting city bus bunching
CN102750823B (en)Method for dynamically setting special inlet lane for trucks at signal-controlled intersection and for managing running of inlet lane
CN116434578B (en)Emergency vehicle yield reminding method and system
CN117275237A (en)Driving risk early warning method based on intelligent network-connected automobile operation scene analysis
CN118053306A (en)Vehicle control method and system for signalless intersection in Internet of vehicles environment
Outay et al.Investigation of the impact of a wireless Fog Warning System with respect to road traffic on a highway

Legal Events

DateCodeTitleDescription
PB01Publication
PB01Publication
SE01Entry into force of request for substantive examination
SE01Entry into force of request for substantive examination
GR01Patent grant
GR01Patent grant

[8]ページ先頭

©2009-2025 Movatter.jp