Movatterモバイル変換


[0]ホーム

URL:


CN113592904A - Intelligent pipe gallery moving object detection method and detection device based on optical flow algorithm - Google Patents

Intelligent pipe gallery moving object detection method and detection device based on optical flow algorithm
Download PDF

Info

Publication number
CN113592904A
CN113592904ACN202110778004.2ACN202110778004ACN113592904ACN 113592904 ACN113592904 ACN 113592904ACN 202110778004 ACN202110778004 ACN 202110778004ACN 113592904 ACN113592904 ACN 113592904A
Authority
CN
China
Prior art keywords
optical flow
target
mask image
image
tracking
Prior art date
Legal status (The legal status is an assumption and is not a legal conclusion. Google has not performed a legal analysis and makes no representation as to the accuracy of the status listed.)
Granted
Application number
CN202110778004.2A
Other languages
Chinese (zh)
Other versions
CN113592904B (en
Inventor
任刚
Current Assignee (The listed assignees may be inaccurate. Google has not performed a legal analysis and makes no representation or warranty as to the accuracy of the list.)
Weicheng Intelligent Power Technology Hangzhou Co ltd
Original Assignee
Weicheng Intelligent Power Technology Hangzhou Co ltd
Priority date (The priority date is an assumption and is not a legal conclusion. Google has not performed a legal analysis and makes no representation as to the accuracy of the date listed.)
Filing date
Publication date
Application filed by Weicheng Intelligent Power Technology Hangzhou Co ltdfiledCriticalWeicheng Intelligent Power Technology Hangzhou Co ltd
Priority to CN202110778004.2ApriorityCriticalpatent/CN113592904B/en
Publication of CN113592904ApublicationCriticalpatent/CN113592904A/en
Application grantedgrantedCritical
Publication of CN113592904BpublicationCriticalpatent/CN113592904B/en
Activelegal-statusCriticalCurrent
Anticipated expirationlegal-statusCritical

Links

Images

Classifications

Landscapes

Abstract

The invention discloses a detection method and a detection device for a moving target of an intelligent pipe gallery based on an optical flow algorithm, wherein the method comprises the following steps: calculating optical flow information of the acquired image; obtaining an optical flow value mask image according to the optical flow image, and removing optical flow scatter points and a connected domain with an excessively small area to obtain a motion area mask image; updating tracking point information of the tracked target according to the optical flow information; calculating a new connected domain of the tracked target to obtain a new mask image area of the target; adding and deleting tracking point information in a new mask image area of the target; updating the tracking information of all tracked targets, merging mask images of all the targets to obtain tracked region mask images, and taking intersection of the tracked region mask images and the moving target region mask images to obtain untracked region mask images; adding a new target to be tracked in the mask image of the untracked area and tracking; and outputting the tracked target information and the new target information. The invention is insensitive to illumination and shadow and has high robustness.

Description

Intelligent pipe gallery moving object detection method and detection device based on optical flow algorithm
Technical Field
The invention belongs to the technical field of image and video processing, and particularly relates to a method and a device for detecting a moving target of an intelligent pipe gallery based on an optical flow algorithm.
Background
The utility tunnel is also called a 'common ditch', and is a comprehensive corridor of underground city pipelines. The urban municipal public facilities which integrate various pipelines such as electric power, communication, gas, heat supply, water supply and drainage and the like implement unified planning, unified design, unified construction and management, and are important basic facilities and 'life lines' for guaranteeing urban operation. The intelligent pipe gallery utilizes comprehensive system integration technologies such as the Internet of things, a modern sensing technology, cloud computing, a computer communication technology, virtual reality and artificial intelligence to perform real-time monitoring, operation management and safety early warning on the internal pipelines, environment, equipment and operation of the comprehensive pipe gallery. And the detection of moving objects is one of the basic functions of the intelligent pipe gallery.
Moving object detection is one of important research contents in the field of video processing, and can be divided into static background moving object detection and dynamic background moving object detection according to whether a camera moves or not. At present, the detection method of the static background moving object mainly comprises a background difference method, a frame difference method, an optical flow method and the like. The background difference method is to use the difference between the input frame image and the background image to obtain the foreground target information, and the algorithm has low complexity but is sensitive to illumination. The frame difference method is to use the difference between the input frame image and the previous frame image to obtain the moving target information, and the method has high running speed, is not sensitive to light, but is difficult to extract complete target information. The optical flow method utilizes the change of pixels in an image sequence on a time domain and the correlation between adjacent frames to calculate the corresponding relation between two frames of images to obtain the information of a moving target.
However, because the light distribution in the utility tunnel is uneven, the light source is relatively complicated (such as constructor headlight, etc.), consequently directly use the optical flow algorithm to carry out moving object detection, can appear a large amount of false positives because of the illumination change, when the moving object distance is nearer, can appear the target adhesion problem moreover.
Disclosure of Invention
In view of the above, the present invention provides a method for detecting a moving object of an intelligent pipe gallery based on an optical flow algorithm, including the following steps:
s1, acquiring the Kth frame image and the Kth-i frame image, and calculating an optical flow image of the Kth frame image according to the acquired images; the value range of i is 1-4, and the optical flow image comprises the size of an optical flow value and the direction of the optical flow;
s2, obtaining an optical flow value mask image according to the optical flow image, and removing optical flow scatter points and a connected domain with an area smaller than a preset area threshold value in the optical flow value mask image to obtain a motion area mask image;
s3, updating the tracking point information of the tracked target of the motion area mask image according to the optical flow information in the optical flow image;
s4, calculating a new connected domain of the tracked target according to the updated tracking point information of the tracked target to obtain a new mask image area of the target;
s5, adding and deleting tracking point information in the new mask image area of the target;
s6, updating the tracking information of all tracked targets, merging the mask images of all the targets to obtain a tracked region mask image, and taking the intersection of the tracked region mask image and the moving target region mask image to obtain an untracked region mask image;
s7, adding a new target to be tracked in the untracked area mask image and tracking;
s8, the tracked target information and the new target information are output.
Preferably, in the step S2, the specific process of obtaining the optical flow value mask image according to the optical flow image, and removing the optical flow scatter points and the connected domain with the area smaller than the preset area threshold value in the optical flow value mask image, and obtaining the motion area mask image is as follows:
s21, carrying out binarization processing on the optical flow image to obtain a mask image of the moving target;
s22, based on the optical flow direction histogram, removing optical flow scatter points in the mask image of the moving object;
and S23, calculating connected domains with the pixel value of 255, counting the area of each connected domain, and deleting the connected domains with the areas smaller than a preset area threshold value to obtain a motion region mask image.
Preferably, in the step S21, the specific process of performing binarization processing on the optical flow image to obtain a mask image of the moving object includes:
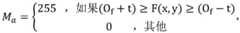
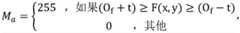
s211, presetting a light flow value threshold value Tv
S212, judging whether the optical flow value V (x, y) of the optical flow image at the coordinate (x, y) is less than the threshold value Tv(ii) a If V (x, y) is less than TvThen mask the optical flow value to the value M of the image at coordinate (x, y)o(x, y) is set to 0; otherwise, the optical flow value is masked to the value M of the image at coordinate (x, y)o(x, y) is 255.
Preferably, in the step S22, the specific process of removing the optical flow scatter in the mask image of the moving object based on the optical flow direction histogram includes:
s221, presetting an optical flow direction histogram threshold T;
s222, judging whether the number of optical flow points in each optical flow direction in the optical flow value mask image is smaller than a threshold T of the optical flow direction histogram according to the optical flow direction histogram; and if the number of optical flow points of a certain optical flow direction is less than the threshold value T of the histogram of the optical flow direction, removing the optical flow point information of the optical flow direction.
Preferably, in the step S3, the specific process of updating the tracking point information of the tracked target of the motion area mask image according to the optical flow information in the optical flow image is as follows:
s31, calculating to obtain a target motion direction histogram and a target optical flow direction histogram based on all tracking point information of the target and optical flow information of the current frame image;
s32, according to the target motion direction histogram and the target optical flow direction histogram, counting the optical flow direction of each tracking point to obtain the main optical flow direction, and counting the overall motion direction of each tracking point to obtain the main target motion direction;
s33, setting the tracking points with the inconsistent optical flow direction and the optical flow main direction or the tracking points with the inconsistent motion direction and the target main motion direction as low confidence tracking points, and removing the tracking points if N continuous frames of one tracking point are low confidence tracking points.
Preferably, in the step S4, the specific process of calculating a new connected domain of the tracked target according to the updated tracking point information of the tracked target to obtain a new mask image region of the target includes:
s41, based on the effective tracking point information of the effective target after the low confidence tracking point target is removed from the mask image of the effective target, generating a target tracking area mask image Mt
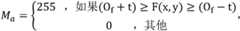
S42, calculating a target tracking area mask image M based on the target optical flow directiontNeutral and target optical flow principal direction OfUniform area mask image MaAnd making the area mask image MaAnd a moving region mask image Mo1Obtaining the intersection to obtain the mask image M of the target possible areap
Figure BDA0003156515160000041
Mp=Ma∩Mo1
Where t represents a direction threshold preset by a user, and F (x, y) represents a direction of the optical flow at coordinates (x, y);
s43, mask the image M with the target tracking areatOne point above is a seed point, and the image M is masked in the target possible areapFinding connected domain to obtain new mask image area M of targetn
Preferably, in the step S5, the specific process of adding or deleting the tracking point information in the new mask image region of the target is as follows:
s51, traversing all tracking points of the target, and assuming the coordinates of the tracking points to be (x)t,yt) If M isn(xt,yt) If the value is 0, marking the point as a hidden tracking point; if the continuous N frames of the tracking point are all hidden tracking points, deleting the tracking point;
s52, mask the target tracking area image MtNegated and then new mask image region M with the targetnAnd obtaining a target untracked area mask image Mnt
Figure BDA0003156515160000042
S53, mask image M in the non-tracking area of the targetntAnd uniformly taking tracking points in the connected domain, and adding the tracking points into the target tracking point set.
Preferably, in the step S7, the specific process of adding a new target to be tracked to the untracked area mask image and tracking the target is as follows:
s71, mask image M for untracked areanewPerforming morphological processing, calculating a connected region, eliminating a target with the area of the connected region smaller than a preset area threshold value, and obtaining a new untracked region mask image Mnew1
S72, calculating a new untracked area mask image Mnew1And assigning a new target ID to each connected domain;
and S73, traversing each new target, uniformly taking tracking points on the target mask image and tracking.
Preferably, the specific process of outputting the tracked target information and the new target information is as follows:
and traversing all the tracking targets, counting target information based on the tracking information, and outputting target coordinates and ID information to obtain a moving target detection result of the frame image.
In view of the above objects, the present invention further provides an intelligent piping lane moving object detecting device based on optical flow algorithm, which includes a memory and a processor, wherein the processor is configured to execute the above intelligent piping lane moving object detecting method based on optical flow algorithm based on the instructions stored in the memory.
Compared with the prior art, the intelligent pipe gallery moving target detection method based on the optical flow algorithm effectively removes optical flow scatter points by using the direction and size information of the optical flow, deletes a connected domain with the area smaller than a preset area threshold value, and tracks the target by using the optical flow; different targets can be effectively segmented by combining target tracking information, the target detection rate is effectively improved, and the identification rate of the adhered targets is improved.
The invention can improve the robustness of the optical flow algorithm to illumination and shadow by setting a reasonable binarization threshold value and removing optical flow scatter points; the adhesion rate of the target can be reduced by removing the light flow scattering points and the target tracking information, and the detection rate of the moving target is improved. The intelligent pipe gallery moving object detection method based on the optical flow algorithm can be used for moving object detection items of various intelligent pipe gallery scenes.
Drawings
In order to make the object, technical scheme and beneficial effect of the invention more clear, the invention provides the following drawings for explanation:
FIG. 1 is a flowchart of a method for detecting a moving object of an intelligent pipe gallery based on an optical flow algorithm according to an embodiment 1 of the present invention;
FIG. 2 is a flowchart of a method for detecting a moving object of an intelligent pipe gallery based on an optical flow algorithm according to embodiment 2 of the present invention;
FIG. 3 is a diagram of two input frames of images of a method for detecting a moving object of a smart pipe gallery based on an optical flow algorithm according to an embodiment of the present invention, where FIG. 3(a) is a K-i frame image and FIG. 3(b) is a K-i frame image;
fig. 4 is an image of a method for detecting a moving object of a smart pipe gallery based on an optical flow algorithm according to an embodiment of the present invention, where fig. 4(a) is an optical flow image and fig. 4(b) is an optical flow value mask image;
fig. 5 is an image of a method for detecting a moving object of a smart pipe gallery based on an optical flow algorithm according to an embodiment of the present invention, where fig. 5(a) is an optical flow direction histogram, and fig. 5(b) is an optical flow mask image with optical flow scatter removed;
fig. 6 is an image of a method for detecting a moving object of a smart pipe gallery based on an optical flow algorithm according to an embodiment of the present invention, where fig. 6(a) is an effective object mask image, and fig. 6(b) is a target moving direction histogram and a target optical flow direction histogram;
fig. 7 is an image of a method for detecting a moving target of an intelligent pipe gallery based on an optical flow algorithm according to an embodiment of the present invention, where fig. 7(a) is a target tracking point image and fig. 7(b) is a target tracking point mask image;
fig. 8 is an image of a method for detecting a moving object of a smart pipe gallery based on an optical flow algorithm according to an embodiment of the present invention, where fig. 8(a) is a target mask image and fig. 8(b) is an effective tracking point mask image;
fig. 9 is an image of a method for detecting a moving target of a smart pipe gallery based on an optical flow algorithm according to an embodiment of the present invention, where fig. 9(a) is a display diagram of target tracking information, and fig. 9(b) is a target accurate mask image;
fig. 10 is an image of a method for detecting a moving target of an intelligent pipe gallery based on an optical flow algorithm according to an embodiment of the present invention, where fig. 10(a) is an image of an effective tracking point, a low confidence tracking point and an ineffective tracking point of a target, and fig. 10(b) is an image of an untracked area of the target;
fig. 11 is an image of a method for detecting a moving target of an intelligent pipe gallery based on an optical flow algorithm according to an embodiment of the present invention, where fig. 11(a) is an image of an untracked target area after morphological processing, fig. 11(b) is a new tracking point diagram of the target, and each bright point in the diagram is a tracking point;
fig. 12 is an image of a method for detecting a moving target of an intelligent piping lane based on an optical flow algorithm according to an embodiment of the present invention, fig. 12(a) is a target mask image after a tracked target is removed, and fig. 12(b) is a connected domain image of a new target;
fig. 13 is a schematic diagram of a moving object detection result of the intelligent pipe gallery moving object detection method based on the optical flow algorithm according to the embodiment of the invention, in which each rectangular frame is an object, and the number at the upper left corner of the top-lifting frame is the ID of the object.
Detailed Description
For the purpose of promoting a clear understanding of the objects, aspects and advantages of the embodiments of the present application, reference will now be made to the accompanying drawings and detailed description, wherein like reference numerals refer to like elements throughout.
The illustrative embodiments and descriptions of the present application are provided to explain the present application and not to limit the present application. Additionally, the same or similar numbered elements/components used in the drawings and the embodiments are used to represent the same or similar parts.
As used herein, "first," "second," …, etc., are not specifically intended to mean in a sequential or chronological order, nor are they intended to limit the application, but merely to distinguish between elements or operations described in the same technical language.
With respect to directional terminology used herein, for example: up, down, left, right, front or rear, etc., are simply directions with reference to the drawings. Accordingly, the directional terminology used is intended to be illustrative and is not intended to be limiting of the present teachings.
As used herein, the terms "comprising," "including," "having," "containing," and the like are open-ended terms that mean including, but not limited to.
As used herein, "and/or" includes any and all combinations of the described items.
References to "plurality" herein include "two" and "more than two"; reference to "multiple sets" herein includes "two sets" and "more than two sets".
As used herein, the terms "substantially", "about" and the like are used to modify any slight variation in quantity or error that does not alter the nature of the variation. In general, the range of slight variations or errors that such terms modify may be 20% in some embodiments, 10% in some embodiments, 5% in some embodiments, or other values. It should be understood by those skilled in the art that the aforementioned values can be adjusted according to actual needs, and are not limited thereto.
Certain words used to describe the present application are discussed below or elsewhere in this specification to provide additional guidance to those skilled in the art in describing the present application.
Fig. 1 is a flowchart of a method for detecting a moving object of an intelligent pipe gallery based on an optical flow algorithm in embodiment 1 of the present invention, where the method includes the following steps:
s1, acquiring the K frame image and the K-i frame image, and calculating the optical flow image of the K frame image according to the acquired image.
Wherein the value range of i is 1-4. The optical flow image includes the magnitude of the optical flow value and the optical flow direction.
S2, obtaining an optical flow value mask image according to the optical flow image, removing optical flow scatter points and connected domains with areas smaller than a preset area threshold value in the optical flow value mask image, and obtaining a motion area mask image Mo1The specific process comprises the following steps:
s21, binary processing is carried out on the optical flow image to obtain an optical flow value mask image, namely a mask image M of the moving targeto
Specifically, the optical flow image of the K-th frame image is subjected to binarization processing to obtain an optical flow value mask image.
The specific process of carrying out binarization processing on the optical flow image comprises the following steps:
s211, presetting an optical flow value threshold Tv
S212, judging whether the optical flow value V (x, y) of the optical flow image at the coordinate (x, y) is less than the threshold value Tv(ii) a If V (x, y) is less than TvThen mask the optical flow value to the value M of the image at coordinate (x, y)o(x, y) is set to 0; otherwise, the optical flow value is masked to the value M of the image at coordinate (x, y)o(x, y) is set to 255, i.e., the value M of the optical flow value mask image at the coordinates (x, y)o(x, y) is:
Figure BDA0003156515160000081
s22, removing mask image M of moving object based on optical flow direction histogramoThe specific process of the light stream scattering point in (1), namely, setting 0 to the mask image where the light stream scattering point is located, is as follows:
s221, presetting an optical flow direction histogram threshold value T;
s222, judging whether the number of optical flow points in each optical flow direction in the optical flow value mask image is smaller than a threshold T of the optical flow direction histogram according to the optical flow direction histogram; and if the number of the optical flow points in a certain optical flow direction is less than the threshold value T of the histogram in the optical flow direction, removing the optical flow point information in the optical flow direction, thereby effectively removing the optical flow scatter points and effectively separating the adhered targets.
Specifically, the optical flow scatter is processed using the following optical flow scatter removal formula.
Figure BDA0003156515160000082
In the formula, M (x, y) represents a value of the optical flow mask image at the coordinate (x, y) after the optical flow scatter is removed; i ═ F (x, y) which represents the direction of the optical flow at the coordinates (x, y); h (I) represents the value of the optical flow direction histogram at direction I.
S23, calculating connected domains with the pixel value of 255, counting the area of each connected domain, and deleting the connected domains with the areas smaller than a preset area threshold value to obtain a mask image of an effective target, namely a moving area mask image Mo1
And deleting the connected domain with the area smaller than the preset area threshold value in the light stream mask image after the light stream scatter points are removed, so as to obtain the mask image of the effective target.
The mask image of the active target is a mask image containing a plurality of targets. Each connected domain is a candidate target.
It should be noted that deleting a connected component having an area smaller than the preset area threshold is implemented by setting all pixels of the connected component to 0.
S3, updating the tracking point information of the tracked object in the motion area mask image according to the optical flow information in the optical flow image obtained in step S1, wherein the specific process is as follows:
and S31, calculating a target motion direction histogram and a target optical flow direction histogram based on all the tracking point information of the target and the optical flow information of the current frame image.
S32, calculating the optical flow direction of each tracking point according to the target motion direction histogram and the target optical flow direction histogram to obtain the main optical flow direction OfCounting the overall motion direction of each tracking point to obtain the main motion direction O of the targetm
S33, relating the optical flow direction to the main optical flow direction OfInconsistent tracking point or direction of motion and the main direction of motion O of the targetmInconsistent tracking pointsAll are set as low confidence tracking points, and if N continuous frames of a tracking point are all low confidence tracking points, the tracking point is removed.
S4, calculating a new connected domain of the tracked target according to the updated tracking point information of the tracked target to obtain a new mask image area of the target, wherein the specific process is as follows:
s41, based on the effective tracking point information of the effective target after the low confidence tracking point target is removed from the mask image of the effective target, generating a target tracking area mask image Mt
S42, calculating target tracking area mask image M based on target optical flow directiontNeutral and target optical flow principal direction OfUniform area mask image MaAnd making the area mask image MaAnd a moving region mask image Mo1Obtaining the intersection to obtain the mask image M of the target possible areap
Figure BDA0003156515160000091
Mp=Ma∩Mo1
In the formula, t represents a direction threshold preset by a user.
S43, mask image M with target tracking areatOne point above is a seed point, and the image M is masked in the target possible areapFinding connected domain to obtain new mask image area M of targetn
S5, M in the new mask image area of the targetnThe method for adding and deleting the tracking point information comprises the following specific processes:
s51, traversing all tracking points of the target, and assuming the coordinates of the tracking points to be (x)t,yt) If M isn(xt,yt) If the value is 0, marking the point as a hidden tracking point; and if the continuous N frames of the tracking point are all hidden tracking points, deleting the tracking point.
S52, mask the target tracking area image MtNegated and then new mask image region M with the targetnAnd, obtaining the targetTracking area mask image Mnt
Figure BDA0003156515160000101
S53, mask image M in target untracked areantAnd uniformly taking tracking points in the connected domain, and adding the tracking points into the target tracking point set.
S6, repeating the steps S3-S5, completing the updating of the tracking information of all the tracked targets, and obtaining the mask image M of the tracked area by taking the union set of the mask images of all the targetsat,MatNegation and moving target area mask image Mo1Taking intersection to obtain mask image M of untracked areanew
S7, adding a new target to be tracked in the untracked area mask image and tracking, wherein the specific process is as follows:
s71, mask image M for untracked areanewPerforming morphological processing, calculating a connected domain, and removing the target with the small area of the connected domain by using the method of the step S23 to obtain a new untracked region mask image Mnew1
S72, calculating new untracked area mask image Mnew1And a new target ID is assigned to each connected domain.
And S73, traversing each new target, uniformly taking tracking points on the target mask image and tracking.
And S8, outputting the tracked target information and the new target information.
And traversing all the tracking targets, counting target information based on the tracking information, and outputting target coordinates and ID information to obtain a moving target detection result of the frame image.
The following describes the process of the method for detecting a moving object of a smart tube corridor based on an optical flow algorithm according to embodiment 2 of the present invention with reference to the flowchart of fig. 2 and the images of fig. 3 to 13.
An image is acquired and optical flow information is calculated, wherein the optical flow information comprises an optical flow value and an optical flow direction.
And removing light flow scattering points according to the light flow direction.
And removing the targets with the connected domain areas smaller than the preset area threshold.
Judging whether the current frame image is a first frame image, if so, acquiring each connected region, marking the connected region as a new target for tracking, and outputting a tracking target; otherwise, updating the tracking point information of the tracking target according to the optical flow information.
And carrying out consistency verification on the tracking points.
And eliminating inconsistent tracking points to generate an effective tracking mask image.
And calculating a target connected domain according to the optical flow direction, and adding an untracked area into a tracking point.
And calculating the tracking information of the tracked target according to the tracking information.
And differentiating all the effective tracking mask images with the optical flow value mask image to generate an untracked area.
And finally, inputting all tracking targets.
The K-1 th frame image shown in fig. 3(a) and the K-th frame image shown in fig. 3(b) are acquired, and the optical flow image of the K-th frame image shown in fig. 3(a) is calculated by using the pyramid LK optical flow algorithm.
The optical flow image of the K-th frame image shown in fig. 4(a) is subjected to binarization processing to obtain an optical flow value mask image shown in fig. 4 (b).
The optical flow scatter in the optical flow value mask image shown in fig. 4(b) is removed from the optical flow direction histogram shown in fig. 5(a), and an optical flow mask image with the optical flow scatter removed therefrom shown in fig. 5(b) is obtained.
Deleting the connected domain with the area smaller than the preset area threshold in the optical flow mask image after the optical flow scatter is removed, as shown in fig. 5(b), to obtain the effective target mask image shown in fig. 6 (a).
The target motion direction histogram and the target optical flow direction histogram shown in fig. 6(b) are obtained from all the tracking point information of the target and the optical flow information of the current frame image.
Drawing the unhidden tracking point coordinates from the target motion direction histogram and the target optical flow direction histogram as shown in fig. 6(b) results in the target tracking point image as shown in fig. 7 (a).
The target tracking point mask image shown in fig. 7(b) is obtained by performing dilation processing on the target tracking point image shown in fig. 7 (a).
The optical flow points in a specific direction are removed based on the optical flow direction of the target on the basis of the effective target mask image shown in fig. 6(a), resulting in a target mask image shown in fig. 8 (a).
The target tracking point mask image shown in fig. 7(b) and the target mask image shown in fig. 8(a) are anded to obtain the effective tracking point mask image shown in fig. 8 (b).
The target circumscribed rectangle in the target tracking point mask image shown in fig. 7(b) is loaded on the target mask image shown in fig. 8(a), wherein the gray area in the white area is the central area of the target circumscribed rectangle, resulting in the target tracking information display diagram shown in fig. 9 (a).
Using the target tracking information shown in fig. 9(a) to show the gray area in the white area in the graph as a seed area, a seed filling method is used to obtain the target accurate mask image shown in fig. 9 (b).
The target accurate mask image shown in fig. 9(b) and the target tracking point mask image shown in fig. 7(b) are subjected to and operation to obtain the valid tracking point, the low confidence tracking point, and the invalid tracking point image of the target shown in fig. 10(a), where the left side of the white area (i.e., the area existing in fig. 7(b) but not in fig. 8 (a)) is the area where the low confidence tracking point is located, and the peripheral area of the white area (i.e., the area not existing in N consecutive frames) is the area where the invalid tracking point is located.
The target accurate mask image shown in fig. 9(b) is xored with the valid tracking point mask image shown in fig. 8(b), resulting in the target untracked area image shown in fig. 10 (b).
The image shown in fig. 10(b) is morphologically processed for the region where the target is not tracked, and the image shown in fig. 11(a) is morphologically processed for the region where the target is not tracked.
The tracking point is added to the image of the morphological processing of the untracked area of the target as shown in fig. 11(a) to track the target, and a new tracking point map of the target as shown in fig. 11(b) is obtained.
The target accurate mask image shown in fig. 9(b) is xored with the valid target mask image shown in fig. 6(a), resulting in the target mask image with the tracked target removed as shown in fig. 12 (a).
FIG. 12(b) shows the connected domain of the new target.
As shown in fig. 13, each box in the figure represents a moving object, and the number at the upper left corner of the object box is the object ID.
According to the intelligent pipe gallery moving target detection method based on the optical flow algorithm, the robustness of the optical flow algorithm to illumination and shadow can be improved by setting a reasonable binarization threshold value and removing optical flow scattering points; the adhesion rate of the target can be reduced by removing the light flow scattering points and the target tracking information, and the detection rate of the moving target is improved. The intelligent pipe gallery moving object detection method based on the optical flow algorithm can be used for moving object detection items of various intelligent pipe gallery scenes.
In an exemplary embodiment, the present application further provides an intelligent tube corridor moving object detecting device based on an optical flow algorithm, which includes a memory and a processor coupled to the memory, wherein the processor is configured to execute the intelligent tube corridor moving object detecting method based on the optical flow algorithm in any embodiment of the present application based on instructions stored in the memory.
The memory may be a system memory, a fixed nonvolatile storage medium, or the like, and the system memory may store an operating system, an application program, a boot loader, a database, other programs, and the like.
In an exemplary embodiment, the present application further provides a computer storage medium, which is a computer readable storage medium, for example, a memory including a computer program, which is executable by a processor to perform the method for detecting a moving object of a smart pipe gallery based on an optical flow algorithm in any of the embodiments of the present application.
The foregoing is merely an illustrative embodiment of the present application, and any equivalent changes and modifications made by those skilled in the art without departing from the spirit and principles of the present application shall fall within the protection scope of the present application.

Claims (10)

1. An intelligent pipe gallery moving target detection method based on an optical flow algorithm is characterized by comprising the following steps:
s1, acquiring the Kth frame image and the Kth-i frame image, and calculating an optical flow image of the Kth frame image according to the acquired images; the value range of i is 1-4, and the optical flow image comprises the size of an optical flow value and the direction of the optical flow;
s2, obtaining an optical flow value mask image according to the optical flow image, and removing optical flow scatter points and a connected domain with an area smaller than a preset area threshold value in the optical flow value mask image to obtain a motion area mask image;
s3, updating the tracking point information of the tracked target of the motion area mask image according to the optical flow information in the optical flow image;
s4, calculating a new connected domain of the tracked target according to the updated tracking point information of the tracked target to obtain a new mask image area of the target;
s5, adding and deleting tracking point information in the new mask image area of the target;
s6, updating the tracking information of all tracked targets, merging the mask images of all the targets to obtain a tracked region mask image, and taking the intersection of the tracked region mask image and the moving target region mask image to obtain an untracked region mask image;
s7, adding a new target to be tracked in the untracked area mask image and tracking;
s8, the tracked target information and the new target information are output.
2. The method for detecting the intelligent pipe gallery moving object based on the optical flow algorithm as claimed in claim 1, wherein in the step S2, the specific process of obtaining the moving area mask image by obtaining the optical flow value mask image according to the optical flow image and removing the optical flow scatter and the connected domain with the area smaller than the preset area threshold in the optical flow value mask image is as follows:
s21, carrying out binarization processing on the optical flow image to obtain a mask image of the moving target;
s22, based on the optical flow direction histogram, removing optical flow scatter points in the mask image of the moving object;
and S23, calculating connected domains with the pixel value of 255, counting the area of each connected domain, and deleting the connected domains with the areas smaller than a preset area threshold value to obtain a motion region mask image.
3. The method for detecting the intelligent pipe gallery moving object based on the optical flow algorithm as claimed in claim 2, wherein in the step S21, the specific process of performing binarization processing on the optical flow image to obtain the mask image of the moving object is as follows:
s211, presetting a light flow value threshold value Tv
S212, judging whether the optical flow value V (x, y) of the optical flow image at the coordinate (x, y) is less than the threshold value Tv(ii) a If V (x, y) is less than TvThen mask the optical flow value to the value M of the image at coordinate (x, y)o(x, y) is set to 0; otherwise, the optical flow value is masked to the value M of the image at coordinate (x, y)o(x, y) is 255.
4. The method for detecting an intelligent piping lane moving object based on optical flow algorithm as claimed in claim 2, wherein in the step S22, the specific process of removing the optical flow scatter in the mask image of the moving object based on the optical flow direction histogram is as follows:
s221, presetting an optical flow direction histogram threshold T;
s222, judging whether the number of optical flow points in each optical flow direction in the optical flow value mask image is smaller than a threshold T of the optical flow direction histogram according to the optical flow direction histogram; and if the number of optical flow points of a certain optical flow direction is less than the threshold value T of the histogram of the optical flow direction, removing the optical flow point information of the optical flow direction.
5. The method for detecting an intelligent piping lane moving object based on optical flow algorithm of claim 1, wherein in the step S3, the specific process of updating the tracking point information of the tracked object of the motion area mask image based on the optical flow information in the optical flow image is as follows:
s31, calculating to obtain a target motion direction histogram and a target optical flow direction histogram based on all tracking point information of the target and optical flow information of the current frame image;
s32, according to the target motion direction histogram and the target optical flow direction histogram, counting the optical flow direction of each tracking point to obtain the main optical flow direction, and counting the overall motion direction of each tracking point to obtain the main target motion direction;
s33, setting the tracking points with the inconsistent optical flow direction and the optical flow main direction or the tracking points with the inconsistent motion direction and the target main motion direction as low confidence tracking points, and removing the tracking points if N continuous frames of one tracking point are low confidence tracking points.
6. The method for detecting the intelligent pipe gallery moving target based on the optical flow algorithm as claimed in claim 1, wherein in the step S4, the specific process of calculating the new connected domain of the tracked target according to the updated tracking point information of the tracked target to obtain the new mask image area of the target is as follows:
s41, based on the effective tracking point information of the effective target after the low confidence tracking point target is removed from the mask image of the effective target, generating a target tracking area mask image Mt
S42, calculating a target tracking area mask image M based on the target optical flow directiontNeutral and target optical flow principal direction OfUniform area mask image MaAnd making the area mask image MaAnd a moving region mask image Mo1Obtaining the intersection to obtain the mask image M of the target possible areap
Figure FDA0003156515150000031
Mp=Ma∩Mo1
Where t represents a direction threshold preset by a user, and F (x, y) represents a direction of the optical flow at coordinates (x, y);
s43, mask the image M with the target tracking areatOne point above is a seed point, and the image M is masked in the target possible areapFinding connected domain to obtain new mask image area M of targetn
7. The method for detecting the intelligent piping lane moving object based on the optical flow algorithm as claimed in claim 6, wherein in the step S5, the specific process of adding and deleting the tracking point information in the new mask image area of the object is as follows:
s51, traversing all tracking points of the target, and assuming the coordinates of the tracking points to be (x)t,yt) If M isn(xt,yt) If the value is 0, marking the point as a hidden tracking point; if the continuous N frames of the tracking point are all hidden tracking points, deleting the tracking point;
s52, mask the target tracking area image MtNegated and then new mask image region M with the targetnAnd obtaining a target untracked area mask image Mnt
Figure FDA0003156515150000032
S53, mask image M in the non-tracking area of the targetntAnd uniformly taking tracking points in the connected domain, and adding the tracking points into the target tracking point set.
8. The method for detecting the intelligent tube corridor moving object based on the optical flow algorithm as claimed in claim 1, wherein in the step S7, the specific process of adding a new object to be tracked to the untracked area mask image and tracking is as follows:
s71, mask image M for untracked areanewPerforming morphological processing, calculating a connected region, eliminating a target with the area of the connected region smaller than a preset area threshold value, and obtaining a new untracked region mask image Mnew1
S72, calculating a new untracked area mask image Mnew1And assigning a new target ID to each connected domain;
and S73, traversing each new target, uniformly taking tracking points on the target mask image and tracking.
9. The method for detecting the intelligent pipe gallery moving target based on the optical flow algorithm as claimed in claim 8, wherein the specific process of outputting the tracked target information and the new target information is as follows:
and traversing all the tracking targets, counting target information based on the tracking information, and outputting target coordinates and ID information to obtain a moving target detection result of the frame image.
10. An intelligent tube corridor moving object detection device based on optical flow algorithm, characterized by comprising a memory and a processor, wherein the processor is configured to execute the intelligent tube corridor moving object detection method based on optical flow algorithm according to any one of claims 1-9 based on instructions stored in the memory.
CN202110778004.2A2021-07-092021-07-09Intelligent pipe gallery moving target detection method and detection device based on optical flow algorithmActiveCN113592904B (en)

Priority Applications (1)

Application NumberPriority DateFiling DateTitle
CN202110778004.2ACN113592904B (en)2021-07-092021-07-09Intelligent pipe gallery moving target detection method and detection device based on optical flow algorithm

Applications Claiming Priority (1)

Application NumberPriority DateFiling DateTitle
CN202110778004.2ACN113592904B (en)2021-07-092021-07-09Intelligent pipe gallery moving target detection method and detection device based on optical flow algorithm

Publications (2)

Publication NumberPublication Date
CN113592904Atrue CN113592904A (en)2021-11-02
CN113592904B CN113592904B (en)2024-11-29

Family

ID=78246750

Family Applications (1)

Application NumberTitlePriority DateFiling Date
CN202110778004.2AActiveCN113592904B (en)2021-07-092021-07-09Intelligent pipe gallery moving target detection method and detection device based on optical flow algorithm

Country Status (1)

CountryLink
CN (1)CN113592904B (en)

Citations (4)

* Cited by examiner, † Cited by third party
Publication numberPriority datePublication dateAssigneeTitle
CN103985137A (en)*2014-04-252014-08-13北京大学深圳研究院Moving object tracking method and system applied to human-computer interaction
WO2019057197A1 (en)*2017-09-252019-03-28北京金山云网络技术有限公司Visual tracking method and apparatus for moving target, electronic device and storage medium
CN110866480A (en)*2019-11-072020-03-06浙江大华技术股份有限公司Object tracking method and device, storage medium and electronic device
CN111047626A (en)*2019-12-262020-04-21深圳云天励飞技术有限公司 Target tracking method, device, electronic device and storage medium

Patent Citations (4)

* Cited by examiner, † Cited by third party
Publication numberPriority datePublication dateAssigneeTitle
CN103985137A (en)*2014-04-252014-08-13北京大学深圳研究院Moving object tracking method and system applied to human-computer interaction
WO2019057197A1 (en)*2017-09-252019-03-28北京金山云网络技术有限公司Visual tracking method and apparatus for moving target, electronic device and storage medium
CN110866480A (en)*2019-11-072020-03-06浙江大华技术股份有限公司Object tracking method and device, storage medium and electronic device
CN111047626A (en)*2019-12-262020-04-21深圳云天励飞技术有限公司 Target tracking method, device, electronic device and storage medium

Also Published As

Publication numberPublication date
CN113592904B (en)2024-11-29

Similar Documents

PublicationPublication DateTitle
Zhang et al.A cascaded R-CNN with multiscale attention and imbalanced samples for traffic sign detection
Rahman et al.Notice of violation of IEEE publication principles: Recent advances in 3D object detection in the era of deep neural networks: A survey
Park et al.Comparative study of vision tracking methods for tracking of construction site resources
CN111445501A (en)Multi-target tracking method, device and storage medium
CN113570629B (en)Semantic segmentation method and system for removing dynamic objects
CN112364865A (en)Method for detecting small moving target in complex scene
Xu et al.A survey: which features are required for dynamic visual simultaneous localization and mapping?
Yang et al.Visual SLAM based on semantic segmentation and geometric constraints for dynamic indoor environments
CN109359563A (en) A real-time detection method of road occupation based on digital image processing
Wu et al.A survey on monocular 3D object detection algorithms based on deep learning
CN113450385B (en)Night work engineering machine vision tracking method, device and storage medium
Wang et al.Fast vanishing point detection method based on road border region estimation
Ma et al.DSOD: DSO in dynamic environments
Wan et al.DSC-YOLOv8n: An advanced automatic detection algorithm for urban flood levels
Qing et al.A novel particle filter implementation for a multiple-vehicle detection and tracking system using tail light segmentation
Liu et al.VSLAM method based on object detection in dynamic environments
Gong et al.Complex lane detection based on dynamic constraint of the double threshold
Gao et al.An automatic verification method for vehicle line-pressing violation based on CNN and geometric projection
CN113592904A (en)Intelligent pipe gallery moving object detection method and detection device based on optical flow algorithm
CN102129687B (en)Self-adapting target tracking method based on local background subtraction under dynamic scene
Zheng et al.CLRNetV2: A Faster and Stronger Lane Detector
CN116721274A (en) A solid waste identification method, system, equipment and storage medium
Zhang et al.Research on visual vehicle detection and tracking based on deep learning
Kornfeld et al.Kalman filtering aspects in camera and deep learning based tracking for traffic monitoring
Li et al.A ground segmentation method based on point cloud map for unstructured roads

Legal Events

DateCodeTitleDescription
PB01Publication
PB01Publication
SE01Entry into force of request for substantive examination
SE01Entry into force of request for substantive examination
GR01Patent grant
GR01Patent grant

[8]ページ先頭

©2009-2025 Movatter.jp