


技术领域technical field
本发明实施例涉及直播间技术领域,尤其涉及一种目标推荐用户确定方法、装置、电子设备及存储介质。Embodiments of the present invention relate to the technical field of live broadcast rooms, and in particular, to a method, apparatus, electronic device, and storage medium for determining a target recommended user.
背景技术Background technique
在直播平台上,一个重要的运营问题是对一些特定的直播间进行流量扶持,即辅助直播间获得一定的曝光流量,这些直播间可能是刚签约的知名主播、具有发展潜力的中小主播或许需要重点培养的主播。On the live broadcast platform, an important operational issue is to provide traffic support for some specific live broadcast rooms, that is, to assist the live broadcast rooms to obtain a certain amount of exposure traffic. These live broadcast rooms may be well-known anchors who have just signed a contract, and small and medium-sized anchors with development potential may need Focused on training anchors.
常规直播间流量扶持方案为:采用强插的方式,即强制规定在每个用户访问页面的特定位置曝光需要扶持的直播间。显然,常规直播间流量扶持方案给用户带来的体验较差,且若用户不感兴趣那么也不会对直播间进行点击,从而达不到对直播间进行流量扶持的目的。The traffic support plan for the conventional live broadcast room is as follows: the method of forced insertion is adopted, that is, it is mandatory to expose the live broadcast room that needs to be supported at a specific location of each user's access page. Obviously, the conventional live broadcast room traffic support scheme brings a poor experience to users, and if users are not interested, they will not click on the live broadcast room, thus failing to achieve the purpose of providing traffic support to the live broadcast room.
发明内容SUMMARY OF THE INVENTION
本发明提供一种目标推荐用户确定方法、装置、电子设备以及存储介质,以实现使当前待曝光直播间得到符合期望的曝光量,并且提高当前待曝光直播间曝光的精准度。The present invention provides a method, device, electronic device and storage medium for determining a target recommended user, so as to obtain a desired exposure amount in the currently to-be-exposed live broadcast room and to improve the exposure accuracy of the current to-be-exposed live broadcast room.
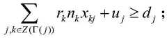
第一方面,本发明实施例提供了一种目标推荐用户确定方法,该方法包括:In a first aspect, an embodiment of the present invention provides a method for determining a target recommended user, the method comprising:
获取预先设置的曝光推荐函数;其中,所述曝光推荐函数包括曝光均匀程度、曝光不足时对应的第一效益影响值以及实际曝光量对应的第二效益影响值,所述曝光均匀程度基于待曝光目标直播间的定向用户集合、所述待曝光直播间的优先级和各待推荐用户的推荐概率确定,所述第一效益影响值基于未达到预设曝光量给平台带来的损失以及未达到预设曝光量的概率确定,所述第二效益影响值基于所述各待推荐用户的推荐概率向各待推荐用户的推荐概率以及历史观看数值确定;Obtain a preset exposure recommendation function; wherein, the exposure recommendation function includes exposure uniformity, a first benefit impact value corresponding to insufficient exposure, and a second benefit impact value corresponding to the actual exposure amount, and the exposure uniformity degree is based on to-be-exposed The set of targeted users in the target live broadcast room, the priority of the live broadcast room to be exposed, and the recommendation probability of each user to be recommended are determined. The probability of the preset exposure amount is determined, and the second benefit impact value is determined based on the recommendation probability of each user to be recommended, the recommendation probability of each user to be recommended, and the historical viewing value;
获取待曝光目标直播间的各曝光需求参数,以及所述曝光推荐函数对应的各约束条件;Obtain each exposure requirement parameter of the target live broadcast room to be exposed, and each constraint condition corresponding to the exposure recommendation function;
根据所述曝光推荐函数、所述各曝光需求参数以及所述各约束条件,确定所述待曝光目标直播间的各待推荐用户分别对应的各推荐概率;According to the exposure recommendation function, the exposure requirement parameters, and the constraints, determine each recommendation probability corresponding to each user to be recommended in the target live broadcast room to be exposed;
基于所述各待推荐用户分别对应的各推荐概率确定所述待曝光目标直播间的目标推荐用户。A target recommended user in the target live broadcast room to be exposed is determined based on each recommendation probability corresponding to each of the to-be-recommended users.
可选的,所述获取预先设置的曝光推荐函数;其中,所述曝光推荐函数包括曝光均匀程度、曝光不足时对应的第一效益影响值以及实际曝光量对应的第二效益影响值,包括:Optionally, obtaining a preset exposure recommendation function; wherein the exposure recommendation function includes exposure uniformity, a first benefit impact value corresponding to insufficient exposure, and a second benefit impact value corresponding to actual exposure, including:
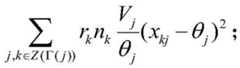
基于如下公式确定所述曝光推荐函数中的曝光均匀程度:The exposure uniformity in the exposure recommendation function is determined based on the following formula:
其中,rk表示的是待推荐用户k的请求数;nk表示待推荐用户k在每一次请求后能曝光的直播间个数;j是需要达到预设曝光量的直播间;Γ(j)表示需要达到预设曝光量的直播间j的定向用户集合;Z(Γ(j))表示需要达到预设曝光量的直播间j所有的定向用户集合;Vj是待曝光直播间的优先级;θj是需要达到预设曝光量的直播间j的曝光量的占比;xkj表示需要达到预设曝光量的直播间j对待推荐用户k的推荐概率;Among them, rk represents the number of requests from user k to be recommended; nk represents the number of live rooms that can be exposed by user k to be recommended after each request; j is the number of live rooms that need to reach the preset exposure; Γ(j ) represents the set of directional users of the live room j that needs to reach the preset exposure; Z(Γ(j)) represents the set of all the directional users of the live room j that needs to reach the preset exposure; Vj is the priority of the live room to be exposed level; θj is the exposure ratio of the live room j that needs to reach the preset exposure amount; xkj represents the recommendation probability that the live room j that needs to reach the preset exposure amount treats the recommended user k;
基于如下公式确定所述曝光推荐函数中曝光不足时对应的第一效益影响值:The first benefit impact value corresponding to insufficient exposure in the exposure recommendation function is determined based on the following formula:
其中,pj表示的未达到预设曝光量给平台带来的损失;uj表示需要达到预设曝光量的直播间j未达到预设曝光量的概率;Among them, pj represents the loss brought to the platform by not reaching the preset exposure; uj represents the probability that the live room j that needs to reach the preset exposure does not reach the preset exposure;
基于如下公式确定所述曝光推荐函数中实际曝光量对应的第二效益影响值:Determine the second benefit impact value corresponding to the actual exposure amount in the exposure recommendation function based on the following formula:
其中,ckj表示待推荐用户k对需要达到预设曝光量的直播间j的历史观看数值;Among them, ckj represents the historical viewing value of the user k to be recommended to the live broadcast room j that needs to reach the preset exposure amount;
对所述曝光均匀程度、所述曝光不足时对应的第一效益影响值,以及所述实际曝光量对应的第二效益影响值进行加权处理,得到所述曝光推荐函数。The exposure recommendation function is obtained by weighting the exposure uniformity, the first benefit influence value corresponding to the insufficient exposure, and the second benefit influence value corresponding to the actual exposure amount.
可选的,所述对所述曝光均匀程度、所述曝光不足时对应的第一效益影响值,以及所述实际曝光量对应的第二效益影响值进行加权处理,得到所述曝光推荐函数,包括:Optionally, performing weighting processing on the exposure uniformity, the first benefit influence value corresponding to the insufficient exposure, and the second benefit influence value corresponding to the actual exposure amount, to obtain the exposure recommendation function, include:
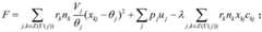
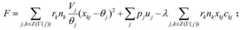
基于如下公式确定所述曝光推荐函数:The exposure recommendation function is determined based on the following formula:
其中,λ是一个常数,用于平衡平台效益影响值以及直播间是否达到预设曝光量的情况。Among them, λ is a constant used to balance the impact value of platform benefits and whether the live broadcast room reaches the preset exposure.
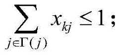
可选的,所述曝光推荐函数对应的至约束条件包括:Optionally, the constraints corresponding to the exposure recommendation function include:
xkj,uj≥0;xkj , uj ≥0;
rkxkj≤fj;rk xkj ≤fj ;
nkxkj≤1;nk xkj ≤ 1;
其中,fj表示待推荐用户每天的实际曝光量阈值。Among them, fj represents the actual daily exposure threshold of the user to be recommended.
可选的,所述根据所述曝光推荐函数、所述各曝光需求参数以及所述各约束条件,确定所述待曝光目标直播间的各待推荐用户分别对应的各推荐概率,包括:Optionally, according to the exposure recommendation function, the exposure requirement parameters, and the constraints, determining the respective recommendation probabilities corresponding to the users to be recommended in the target live broadcast room to be exposed, including:
构造第一对偶变量以及第二对偶变量,并分别确定所述第一对偶变量的解析值以及所述第二对偶变量的解析值;Constructing a first dual variable and a second dual variable, and respectively determining the analytical value of the first dual variable and the analytical value of the second dual variable;
根据所述第一对偶变量的解析值、所述第二对偶变量的解析值、所述各曝光需求参数以及所述各约束条件,确定所述待曝光目标直播间的各待推荐用户分别对应的各推荐概率。According to the analytical value of the first dual variable, the analytical value of the second dual variable, the exposure requirement parameters, and the constraints, determine the corresponding user to be recommended in the target live broadcast room to be exposed. Each recommendation probability.
可选的,所述构造第一对偶变量以及第二对偶变量,并根据所述第一对偶变量以及第二对偶变量的解析值确定所述曝光推荐函数的解析值,包括:Optionally, the constructing a first dual variable and a second dual variable, and determining the analytical value of the exposure recommendation function according to the analytical values of the first dual variable and the second dual variable, including:
基于如下公式确定所述第一对偶变量的解析值:The analytical value of the first dual variable is determined based on the following formula:
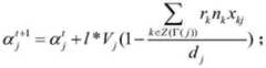
其中,(αj)*为第一对偶变量;l是学习率;dj表示直播间j需要达到的预设曝光量;Among them, (αj )* is the first dual variable; l is the learning rate; dj represents the preset exposure amount that the live room j needs to achieve;
基于如下公式确定所述第二对偶变量的解析值:The analytical value of the second dual variable is determined based on the following formula:
其中,Mk是所有需要达到的预设曝光量中αj+λckj的最大值。Among them, Mk is the maximum value of αj + λckj among all the preset exposures that need to be reached.
可选的,所述基于所述各待推荐用户分别对应的各推荐概率确定所述待曝光目标直播间的目标推荐用户,包括:Optionally, the determining the target recommended users in the target live broadcast room to be exposed based on the respective recommendation probabilities corresponding to the to-be-recommended users includes:
分别将各推荐概率与预设概率阈值进行比对;Compare each recommended probability with a preset probability threshold respectively;
若进行比对的当前推荐概率大于所述预设概率阈值,则将所述当前推荐概率对应的待推荐用户确定为待曝光目标直播间的目标推荐用户。If the current recommendation probability for comparison is greater than the preset probability threshold, the user to be recommended corresponding to the current recommendation probability is determined as the target recommended user of the target live broadcast room to be exposed.
第二方面,本发明实施例还提供了一种目标推荐用户确定装置,该装置包括:In a second aspect, an embodiment of the present invention further provides an apparatus for determining a target recommended user, the apparatus comprising:
曝光推荐函数获取模块,用于获取预先设置的曝光推荐函数;其中,所述曝光推荐函数包括曝光均匀程度、曝光不足时对应的第一效益影响值以及实际曝光量对应的第二效益影响值,所述曝光均匀程度基于待曝光目标直播间的定向用户集合、所述待曝光直播间的优先级和各待推荐用户的推荐概率确定,所述第一效益影响值基于未达到预设曝光量给平台带来的损失以及未达到预设曝光量的概率确定,所述第二效益影响值基于所述各待推荐用户的推荐概率向各待推荐用户的推荐概率以及历史观看数值确定;an exposure recommendation function acquisition module, configured to acquire a preset exposure recommendation function; wherein the exposure recommendation function includes exposure uniformity, a first benefit impact value corresponding to insufficient exposure, and a second benefit impact value corresponding to the actual exposure amount, The exposure uniformity is determined based on the set of directional users in the target live broadcast room to be exposed, the priority of the to-be-exposed live broadcast room, and the recommendation probability of each user to be recommended. The first benefit impact value is given based on not reaching the preset exposure amount. The loss caused by the platform and the probability of not reaching the preset exposure amount are determined, and the second benefit impact value is determined based on the recommendation probability of each user to be recommended to the recommendation probability of each user to be recommended and the historical viewing value;
曝光需求参数以及约束条件获取模块,用于获取待曝光目标直播间的各曝光需求参数,以及所述曝光推荐函数对应的各约束条件;The exposure requirement parameter and constraint condition acquisition module is used to acquire each exposure requirement parameter of the target live broadcast room to be exposed, and each constraint condition corresponding to the exposure recommendation function;
推荐概率确定模块,用于根据所述曝光推荐函数、所述各曝光需求参数以及所述各约束条件,确定所述待曝光目标直播间的各待推荐用户分别对应的各推荐概率;A recommendation probability determination module, configured to determine each recommendation probability corresponding to each user to be recommended in the target live broadcast room to be exposed according to the exposure recommendation function, each exposure requirement parameter and each constraint condition;
目标推荐用户确定模块,用于基于所述各待推荐用户分别对应的各推荐概率确定所述待曝光目标直播间的目标推荐用户。The target recommended user determination module is configured to determine the target recommended user in the target live broadcast room to be exposed based on the respective recommendation probabilities corresponding to the to-be-recommended users.
第三方面,本发明实施例还提供了一种电子设备,所述电子设备包括:In a third aspect, an embodiment of the present invention further provides an electronic device, the electronic device comprising:
一个或多个处理器;one or more processors;
存储装置,用于存储一个或多个程序,storage means for storing one or more programs,
当所述一个或多个程序被所述一个或多个处理器执行,使得所述一个或多个处理器实现如本发明任意实施例提供的目标推荐用户确定方法。When the one or more programs are executed by the one or more processors, the one or more processors implement the method for determining a target recommended user as provided in any embodiment of the present invention.
第四方面,本发明实施例还提供了一种计算机可读存储介质,其上存储有计算机程序,该程序被处理器执行时实现本发明任意实施例提供的目标推荐用户确定方法。In a fourth aspect, an embodiment of the present invention further provides a computer-readable storage medium on which a computer program is stored, and when the program is executed by a processor, implements the method for determining a target recommended user provided by any embodiment of the present invention.
本发明实施例的技术方案具体包括:获取预先设置的曝光推荐函数;其中,曝光推荐函数包括曝光均匀程度、曝光不足时对应的第一效益影响值以及实际曝光量对应的第二效益影响值,曝光均匀程度基于待曝光目标直播间的定向用户集合、待曝光直播间的优先级和各待推荐用户的推荐概率确定,第一效益影响值基于未达到预设曝光量给平台带来的损失以及未达到预设曝光量的概率确定,第二效益影响值基于各待推荐用户的推荐概率向各待推荐用户的推荐概率以及历史观看数值确定;以及获取待曝光目标直播间的各曝光需求参数和曝光推荐函数对应的各约束条件;并根据曝光推荐函数、各曝光需求参数以及各约束条件,确定待曝光目标直播间的各待推荐用户分别对应的各推荐概率;进一步的基于各待推荐用户分别对应的各推荐概率确定待曝光目标直播间的目标推荐用户。本发明实施例的技术方案通过获取待曝光直播间的各曝光需求参数,并基于预先设置的曝光推荐函数以及该曝光推荐函数对应的约束条件,确定该待曝光直播间对应的各待推荐用户的各推荐概率,最终基于各推荐概率确定目标推荐用户,并将该待曝光直播间向目标推荐用户进行推荐,实现使当前待曝光直播间得到符合期望的曝光量,并且提高当前待曝光直播间曝光的精准度。The technical solution of the embodiment of the present invention specifically includes: obtaining a preset exposure recommendation function; wherein, the exposure recommendation function includes exposure uniformity, a first benefit impact value corresponding to insufficient exposure, and a second benefit impact value corresponding to the actual exposure amount, The uniformity of exposure is determined based on the set of targeted users in the target live broadcast room to be exposed, the priority of the live broadcast room to be exposed, and the recommendation probability of each user to be recommended. The probability of not reaching the preset exposure amount is determined, and the second benefit impact value is determined based on the recommendation probability of each to-be-recommended user to each to-be-recommended user's recommendation probability and the historical viewing value; Each constraint condition corresponding to the exposure recommendation function; and according to the exposure recommendation function, each exposure requirement parameter and each constraint condition, determine each recommendation probability corresponding to each user to be recommended in the target live broadcast room to be exposed; The corresponding recommendation probabilities determine the target recommended users in the target live broadcast room to be exposed. The technical solution of the embodiment of the present invention determines the exposure requirement parameters of each live broadcast room to be exposed, and based on the preset exposure recommendation function and the constraint conditions corresponding to the exposure recommendation function, to determine the recommended users corresponding to the live broadcast room to be exposed. For each recommendation probability, the target recommended user is finally determined based on each recommendation probability, and the to-be-exposed live broadcast room is recommended to the target recommended user, so that the current to-be-exposed live-broadcast room can obtain the desired exposure and improve the current to-be-exposed live broadcast room exposure. accuracy.
附图说明Description of drawings
为了更加清楚地说明本发明示例性实施例的技术方案,下面对描述实施例中所需要用到的附图做一简单介绍。显然,所介绍的附图只是本发明所要描述的一部分实施例的附图,而不是全部的附图,对于本领域普通技术人员,在不付出创造性劳动的前提下,还可以根据这些附图得到其他的附图。In order to illustrate the technical solutions of the exemplary embodiments of the present invention more clearly, the following briefly introduces the accompanying drawings used in describing the embodiments. Obviously, the introduced drawings are only a part of the drawings of the embodiments to be described in the present invention, rather than all drawings. For those of ordinary skill in the art, without creative work, they can also obtain the drawings according to these drawings. Additional drawings.
图1是本发明实施例一提供的目标推荐用户确定方法的流程示意图;1 is a schematic flowchart of a method for determining a target recommended user according to Embodiment 1 of the present invention;
图2是本发明实施例二提供的目标推荐用户确定装置的结构示意图;2 is a schematic structural diagram of an apparatus for determining a target recommended user provided in Embodiment 2 of the present invention;
图3为本发明实施例三提供的电子设备的结构示意图。FIG. 3 is a schematic structural diagram of an electronic device according to Embodiment 3 of the present invention.
具体实施方式Detailed ways
下面结合附图和实施例对本发明作进一步的详细说明。可以理解的是,此处所描述的具体实施例仅仅用于解释本发明,而非对本发明的限定。另外还需要说明的是,为了便于描述,附图中仅示出了与本发明相关的部分而非全部结构。The present invention will be further described in detail below in conjunction with the accompanying drawings and embodiments. It should be understood that the specific embodiments described herein are only used to explain the present invention, but not to limit the present invention. In addition, it should be noted that, for the convenience of description, the drawings only show some but not all structures related to the present invention.
实施例一Example 1
图1为本发明实施例一提供的一种目标推荐用户确定方法的流程图,本实施例可适用于向用户推荐直播间的情况,更具体的适用于向待推荐的用户推荐需要达到预设曝光量的待曝光直播间的情况。该方法可以由目标推荐用户确定装置来执行,该装置可以由软件和/或硬件的方式来实现。FIG. 1 is a flowchart of a method for determining a target recommended user according to Embodiment 1 of the present invention. This embodiment can be applied to recommending a live room to a user, and more specifically to recommending a user to be recommended that needs to reach a preset level. The situation of the live broadcast room to be exposed with the exposure amount. The method may be performed by a target recommended user determination device, and the device may be implemented in software and/or hardware.
在对本实施例的技术方案进行介绍之前,先对本实施例的应用场景进行示例性的介绍,当然上述应用场景只是作为可选应用场景,本实施例的技术方案还可以应用于其他应用场景,本实施例对此不加以限制。具体的,本实施例的示例性应用场景包括:目前在直播平台上,一个重要的运营问题是对一些特定的直播间进行流量扶持,这些直播间可能是刚签约的知名主播、具有发展潜力的中小主播以及公会重点培养的主播。Before introducing the technical solution of this embodiment, an exemplary introduction to the application scenario of this embodiment is given. Of course, the above application scenario is only an optional application scenario, and the technical solution of this embodiment can also be applied to other application scenarios. The embodiment does not limit this. Specifically, the exemplary application scenarios of this embodiment include: at present, on the live broadcast platform, an important operation problem is to support the traffic of some specific live broadcast rooms. These live broadcast rooms may be well-known anchors who have just signed a contract and have development potential. Small and medium-sized anchors and anchors trained by the guild.
现有常规的方案是采用强插的方法对直播间的流量进行扶持,即强制规定在对于每个待推荐用户在特定的位置上曝光直播间,这种方法对待推荐用户的体验较差,若用户不感兴趣那么也不会对直播间进行点击,这样并不能给平台带来实际收益,另外曝光的量无法控制,很可能造成流量的浪费。The existing conventional solution is to use the method of forced insertion to support the traffic of the live broadcast room, that is, it is mandatory to expose the live broadcast room at a specific location for each user to be recommended. This method has a poor experience for the recommended user. If users are not interested, they will not click on the live broadcast room, which will not bring actual benefits to the platform. In addition, the amount of exposure cannot be controlled, which may cause a waste of traffic.
为了科学的分配流量,能够达到真正扶持直播间的目的,本实施例的技术方案提出了目标推荐用户确定方法、装置、电子设备及存储介质。具体的,本发明实施例的技术方案通过获取待曝光直播间的各曝光需求参数,并基于预先设置的曝光推荐函数以及该曝光推荐函数对应的约束条件,确定该待曝光直播间对应的各待推荐用户的各推荐概率,最终基于各推荐概率确定目标推荐用户,并将该待曝光直播间向目标推荐用户进行推荐,以实现使当前待曝光直播间得到符合期望的曝光量,并且提高当前待曝光直播间曝光的精准度。In order to distribute traffic scientifically and achieve the purpose of truly supporting the live broadcast room, the technical solution of this embodiment proposes a method, apparatus, electronic device and storage medium for determining a target recommended user. Specifically, the technical solution of the embodiment of the present invention determines the exposure requirement parameters of the to-be-exposed live-streaming room, and based on a preset exposure recommendation function and constraints corresponding to the exposure-recommended function, determines the to-be-exposed live broadcast room corresponding to the Each recommendation probability of the recommended user, and finally determine the target recommended user based on each recommendation probability, and recommend the to-be-exposed live broadcast room to the target recommended user, so as to achieve the expected exposure of the currently to-be-exposed live broadcast room, and to improve the current to-be-exposed live broadcast room. Exposure Accuracy of exposure in the live broadcast room.
如图1所示,本实施例的技术方案具体包括以下步骤:As shown in Figure 1, the technical solution of this embodiment specifically includes the following steps:
S110、获取预先设置的曝光推荐函数;其中,所述曝光推荐函数包括曝光均匀程度、曝光不足时对应的第一效益影响值以及实际曝光量对应的第二效益影响值。S110. Acquire a preset exposure recommendation function, wherein the exposure recommendation function includes exposure uniformity, a first benefit impact value corresponding to insufficient exposure, and a second benefit impact value corresponding to the actual exposure amount.
在本发明实施例中,曝光推荐函数为预先构造的目标优化函数,该曝光推荐函数可以基于获取到的直播间的曝光需求数据,确定优化的曝光量推荐方案,即为哪些用户推荐曝光量、以及每个用户推荐多少曝光量,以使待曝光直播间以实现使当前待曝光直播间得到符合期望的曝光量,并且提高当前待曝光直播间曝光的精准度。In the embodiment of the present invention, the exposure recommendation function is a pre-constructed objective optimization function, and the exposure recommendation function can determine an optimized exposure recommendation scheme based on the acquired exposure demand data of the live broadcast room, that is, for which users are recommended exposure, And how much exposure is recommended by each user, so that the live broadcast room to be exposed can achieve the desired exposure amount for the current live broadcast room to be exposed, and improve the exposure accuracy of the current live broadcast room to be exposed.
其中,曝光推荐函数包括曝光均匀程度、曝光不足时对应的第一效益影响值以及实际曝光量对应的第二效益影响值。具体的,曝光均匀程度基于待曝光目标直播间的定向用户集合、待曝光直播间的优先级和各待推荐用户的推荐概率确定,第一效益影响值基于未达到预设曝光量给平台带来的损失以及未达到预设曝光量的概率确定,第二效益影响值基于各待推荐用户的推荐概率向各待推荐用户的推荐概率以及历史观看数值确定。The exposure recommendation function includes exposure uniformity, a first benefit influence value corresponding to insufficient exposure, and a second benefit influence value corresponding to the actual exposure amount. Specifically, the uniformity of exposure is determined based on the set of targeted users in the target live broadcast room to be exposed, the priority of the live broadcast room to be exposed, and the recommendation probability of each user to be recommended. The loss and the probability of not reaching the preset exposure amount are determined, and the second benefit impact value is determined based on the recommendation probability of each user to be recommended to the recommendation probability of each user to be recommended and the historical viewing value.
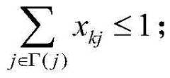
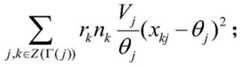
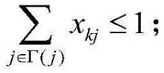
可选的,曝光均匀程度基于待曝光目标直播间的定向用户集合、待曝光直播间的优先级和各待推荐用户的推荐概率确定的确定方法可以是基于下述公式确定:Optionally, the method for determining the degree of exposure uniformity based on the set of directional users in the target live broadcast room to be exposed, the priority of the live broadcast room to be exposed, and the recommendation probability of each user to be recommended may be determined based on the following formula:
其中,rk表示的是待推荐用户k的请求数;nk表示待推荐用户k在每一次请求后能曝光的直播间个数;j是需要达到预设曝光量的直播间;Γ(j)表示需要达到预设曝光量的直播间j的定向用户集合;Z(Γ(j))表示需要达到预设曝光量的直播间j所有的定向用户集合;Vj是待曝光直播间的优先级;θj是需要达到预设曝光量的直播间j的曝光量的占比;xkj表示需要达到预设曝光量的直播间j对待推荐用户k的推荐概率。Among them, rk represents the number of requests from user k to be recommended; nk represents the number of live rooms that can be exposed by user k to be recommended after each request; j is the number of live rooms that need to reach the preset exposure; Γ(j ) represents the set of directional users of the live room j that needs to reach the preset exposure; Z(Γ(j)) represents the set of all the directional users of the live room j that needs to reach the preset exposure; Vj is the priority of the live room to be exposed level; θj is the exposure ratio of the live room j that needs to reach the preset exposure amount; xkj represents the recommendation probability that the live room j that needs to reach the preset exposure amount treats the recommended user k.
在本实施例中,请求数rk是根据各待推荐用户历史日均请求数计算而得,具体的,一次请求的过程是待推荐用户向后端发起展现若干直播间的请求,后端根据待推荐用户展现的特定的直播间;需要达到预设曝光量的直播间j一般由一个需要达到预设曝光量的曝光请求进行保量。In this embodiment, the number of requests rk is calculated according to the historical daily average number of requests of each user to be recommended. Specifically, the process of one request is that the user to be recommended initiates a request to the backend to display several live broadcast rooms, and the backend according to The specific live broadcast room to be displayed by the recommended user; the live broadcast room j that needs to reach the preset exposure amount is generally guaranteed by an exposure request that needs to reach the preset exposure amount.
具体的,上述公式在本实施例中的含义是任意需要达到预设曝光量的直播间j对每个待推荐用户k分配的概率xkj尽量和需要达到预设曝光量的直播间j的曝光量的占比θj尽量接近,这样对于同样一个需求单其分配概率可以尽量接近,不会出现曝光不均匀的情况,这里采用平方来度量上述接近程度,于是(xkj-θj)2尽量小,同时在上述结果的基础上除以θj,考虑了不同需要达到预设曝光量的各直播间的流量占比,使得不同需要达到预设曝光量的各直播间之间的接近程度是可比的;而由于每个需要达到预设曝光量的直播间的优先级和各待推荐用户对曝光量贡献能力是不一样的,因此在上述结果的基础上需要乘以待推荐用户k可以提供的曝光量rknk以及待曝光直播间的优先级Vj。Specifically, the meaning of the above formula in this embodiment is that any live room j that needs to reach the preset exposure amount assigns the probability xkj to each user k to be recommended as much as possible and the exposure of the live room j that needs to reach the preset exposure amount The proportion of the amount θj is as close as possible, so that the distribution probability of the same demand sheet can be as close as possible, and there will be no uneven exposure. Here, the square is used to measure the above-mentioned proximity, so (xkj -θj )2 as far as possible At the same time, on the basis of the above results, divide by θj , and consider the traffic ratio of each live broadcast room that needs to achieve the preset exposure amount, so that the closeness between the different live broadcast rooms that need to achieve the preset exposure amount is Comparable; and because the priority of each live broadcast room that needs to achieve the preset exposure and the ability of each user to be recommended to contribute to the exposure are different, so on the basis of the above results, it needs to be multiplied by the user to be recommended k can provide The exposure amount rk nk and the priority Vj of the live broadcast room to be exposed.
可选的,第一效益影响值基于未达到预设曝光量给平台带来的损失以及未达到预设曝光量的概率确定的确定方法可以是基于下述公式确定:Optionally, the method for determining the first benefit impact value based on the loss brought to the platform by not reaching the preset exposure amount and the probability of not reaching the preset exposure amount may be determined based on the following formula:
其中,pj表示的未达到预设曝光量给平台带来的损失;uj表示需要达到预设曝光量的直播间j未达到预设曝光量的概率。Among them, pj represents the loss brought to the platform by not reaching the preset exposure amount; uj represents the probability that the live room j that needs to achieve the preset exposure amount does not reach the preset exposure amount.
具体的,上述公式在本实施例中的含义是直播间未达到预设曝光量带来的损失,用的缺量损失pj乘以缺量概率uj从而得到损失的效益影响值。Specifically, the meaning of the above formula in this embodiment is the losscaused by notreaching the preset exposure amount in the live broadcast room.
可选的,第二效益影响值基于各待推荐用户的推荐概率向各待推荐用户的推荐概率以及历史观看数值确定的确定方法可以是基于下述公式确定:Optionally, the method for determining the second benefit impact value based on the recommendation probability of each user to be recommended to the recommendation probability of each user to be recommended and the historical viewing value may be determined based on the following formula:
其中,ckj表示待推荐用户k对需要达到预设曝光量的直播间j的历史观看数值;Among them, ckj represents the historical viewing value of the user k to be recommended to the live broadcast room j that needs to reach the preset exposure amount;
对曝光均匀程度、曝光不足时对应的第一效益影响值,以及实际曝光量对应的第二效益影响值进行加权处理,得到曝光推荐函数。The exposure recommendation function is obtained by weighting the exposure uniformity, the first benefit influence value corresponding to the underexposure, and the second benefit influence value corresponding to the actual exposure amount.
具体的,上述公式在本实施例中的含义表示为直播间曝光给平台带来的收益影响值;其中,rknkxkjckj表示的待曝光用户对于需要达到预设曝光量的直播间j可以贡献的观看次数,即待推荐用户点击转化平台得到的期望效益,其计算方式是使用待推荐用户k可以提供的曝光量rknk乘以需要达到预设曝光量的直播间j对待推荐用户k分配的概率xkj得到待推荐用户提供给需要达到预设曝光量的直播间j的曝光量期望,即rknkxkj表示待推荐用户的实际曝光量,再乘以ckj得到待曝光用户对于需要达到预设曝光量的直播间j可以贡献的观看次数,即rknkxkjckj得到了待推荐用户点击转化平台得到的期望效益。Specifically, the meaning of the above formula in this embodiment is expressed as the revenue impact value brought by the exposure of the live broadcast room to the platform; wherein, rk nk xkj ckj represents the user to be exposed for the live broadcast that needs to reach the preset exposure amount The number of views that room j can contribute, that is, the expected benefit obtained by the user to be recommended by clicking on the conversion platform. It is calculated by multiplying the exposure rk nk that the user k to be recommended can provide by the live room j that needs to achieve the preset exposure. The probability xkj allocated by the user to be recommended k is the exposure expectation that the user to be recommended provides to the live broadcast room j that needs to achieve the preset exposure, that is, rk nk xkj represents the actual exposure of the user to be recommended, multiplied by ckj obtains the number of views that the users to be exposed can contribute to the live room j that needs to achieve the preset exposure, that is, rk nk xkj ckj obtains the expected benefits obtained by the users to be recommended by clicking on the conversion platform.
将获取到的曝光均匀程度、曝光不足时对应的第一效益影响值,以及实际曝光量对应的第二效益影响值进行加权处理,得到曝光推荐函数;可选的,可以采用如下公式对上述参数进行加权处理得到曝光推荐函数。具体的,基于如下公式确定曝光推荐函数:The obtained exposure uniformity, the first benefit impact value corresponding to the underexposure, and the second benefit impact value corresponding to the actual exposure are weighted to obtain an exposure recommendation function; optionally, the following formula can be used for the above parameters. Perform weighting processing to obtain exposure recommendation function. Specifically, the exposure recommendation function is determined based on the following formula:
其中,λ是一个常数,用于平衡平台效益影响值以及直播间是否达到预设曝光量的情况。Among them, λ is a constant used to balance the impact value of platform benefits and whether the live broadcast room reaches the preset exposure.
S120、获取待曝光目标直播间的各曝光需求参数,以及所述曝光推荐函数对应的各约束条件。S120. Obtain each exposure requirement parameter of the target live broadcast room to be exposed, and each constraint condition corresponding to the exposure recommendation function.
在本实施例中,曝光需求参数是用于确定待曝光目标直播间的各待推荐用户分别对应的各推荐概率参数,即将各曝光需求参数代入至上述获取到的曝光推荐函数,得到目标直播间的各待推荐用户分别对应的各推荐概率。In this embodiment, the exposure demand parameter is used to determine each recommendation probability parameter corresponding to each user to be recommended in the target live broadcast room to be exposed, that is, substitute each exposure demand parameter into the exposure recommendation function obtained above to obtain the target live broadcast room The recommendation probabilities corresponding to the users to be recommended respectively.
具体的,各曝光需求参数包括:待推荐用户的请求数rk、待推荐用户在每一次请求后能曝光的直播间个数nk、需要达到预设曝光量的直播间j、需要达到预设曝光量的直播间j所有的定向用户集合Z(Γ(j));、待曝光直播间的优先级Vj、需要达到预设曝光量的直播间j的曝光量的占比θj、未达到预设曝光量给平台带来的损失pj、需要达到预设曝光量的直播间j未达到预设曝光量的概率uj以及待推荐用户k对需要达到预设曝光量的直播间j的历史观看数值ckj。本实施例中的各曝光需求参数既可以通过直接读取数据而得到,也可以基于其他参数进行计算得到。例如:需要达到预设曝光量的直播间j的曝光量的占比θj可以基于下述公式确定:Specifically, each exposure demand parameter includes: the number of requests rk of users to be recommended, the number of live rooms nk that can be exposed by the users to be recommended after each request, the live rooms j that need to reach a preset exposure amount, and the number of live rooms that need to reach a preset exposure Set all the directional user sets Z(Γ(j)) of the live broadcast room j with exposure; the priority Vj of the live broadcast room to be exposed, the exposure ratio θj of the live broadcast room j that needs to reach the preset exposure amount, The loss pj of the platform that does not reach the preset exposure amount, the probability uj of the live room j that needs to reach the preset exposure amount does not reach the preset exposure amount, and the user k to be recommended for the live broadcast room that needs to reach the preset exposure amount. The historical viewing value ckj of j. The exposure requirement parameters in this embodiment may be obtained by directly reading data, or may be obtained by calculation based on other parameters. For example, the exposure ratio θj of the live broadcast room j that needs to reach the preset exposure amount can be determined based on the following formula:
其中,dj表示直播间j需要达到的预设曝光量。Among them, dj represents the preset exposure amount that the live room j needs to achieve.
进一步的,基于上述待曝光目标直播间的各曝光需求参数与曝光推荐函数确定待曝光目标直播间的各待推荐用户分别对应的各推荐概率还需要获取该曝光推荐函数对应的约束条件,并该在约束条件下确定较优的各推荐概率。Further, to determine each recommendation probability corresponding to each user to be recommended in the target live broadcast room to be exposed based on the exposure requirement parameters and exposure recommendation function of the target live broadcast room to be exposed, it is also necessary to obtain the constraints corresponding to the exposure recommendation function, and the The optimal probability of each recommendation is determined under the constraints.
可选的,曝光推荐函数对应的至约束条件包括:Optionally, the constraints corresponding to the exposure recommendation function include:
xkj,uj≥0;xkj , uj ≥0;
rkxkj≤fj;rk xkj ≤fj ;
nkxkj≤1;nk xkj ≤ 1;
其中,fj表示待推荐用户每天的实际曝光量阈值。Among them, fj represents the actual daily exposure threshold of the user to be recommended.
具体的,上述约束的含义分别是:第一个约束表示待推荐用户的实际曝光量rknkxkj加上缺量概率uj使得预设曝光量dj的要求能够被满足。第二和三个约束是待推荐用户推荐待曝光直播间的概率是一个0-1区间的变量。第四个约束是一个待曝光直播间j对于一个带推荐用户每天的曝光的总次数不能超过一个上限fj。第五个约束是对于直播间j,在一次请求中,展示的期望次数不超过1。Specifically, the meanings of the above constraints are: the first constraint indicates that the actual exposure amount rk nk xkj of the user to be recommended plus the shortage probability uj enables the requirement of the preset exposure amount dj to be satisfied. The second and third constraints are that the probability that the user to be recommended recommending the live broadcast room to be exposed is a variable in the 0-1 interval. The fourth constraint is that the total number of daily exposures of a live room j to be exposed for a user with recommendation cannot exceed an upper limit fj . The fifth constraint is that for live room j, the expected number of impressions in one request does not exceed 1.
在本实施例中,第四个和第五个需求是为了用户体验,相同的直播间每天对一个用户进行过多的展示或者在一次请求中重复展示都会损害用户的体验。In this embodiment, the fourth and fifth requirements are for user experience. Excessive presentation to a user every day in the same live room or repeated presentation in one request will damage the user's experience.
S130、根据所述曝光推荐函数、所述各曝光需求参数以及所述各约束条件,确定所述待曝光目标直播间的各待推荐用户分别对应的各推荐概率。S130. Determine each recommendation probability corresponding to each user to be recommended in the target live broadcast room to be exposed according to the exposure recommendation function, the exposure requirement parameters, and the constraint conditions.
在本实施例中,构建了用于求解各推荐概率的第一对偶变量以及第二对偶变量,分别求解第一对偶变量的解析值以及第二对偶变量的解析值;进一步的,基于第一对偶变量的解析值以及第二对偶变量的解析值确定待曝光目标直播间的各待推荐用户分别对应的各推荐概率。In this embodiment, a first dual variable and a second dual variable for solving each recommendation probability are constructed, and the analytical value of the first dual variable and the analytical value of the second dual variable are respectively solved; further, based on the first dual variable The analytical value of the variable and the analytical value of the second dual variable determine each recommendation probability corresponding to each user to be recommended in the target live broadcast room to be exposed.
在本实施例中构建第一对偶变量(αj)*和第二对偶变量(βk)*。可选的,对于求解第一对偶变量(αj)*的解析值,对于每个j,初始化并确定第一对偶变量的迭代公式:A first dual variable (αj )* and a second dual variable (βk )* are constructed in this embodiment. Optionally, for solving for the analytic value of the first dual variable (αj )* , for each j, initialize And determine the iterative formula for the first dual variable:
其中:l是学习率;表示待推荐用户的实际曝光率,dj表示直播间j需要达到的预设曝光量;两者的比值结果表示待推荐用户对需要达到预设曝光量的直播间j贡献的曝光率;1减去该曝光率表示的是还需要的曝光率;待曝光直播间的优先级乘以还需要的曝光率表示的是当前待曝光直播间得到需要的曝光率的优先程度;该优先程度乘以学习率作为迭代更新数值对第一对偶变量进行更新,更新迭代停止的条件可以是当还需要的包括率小于预设曝光率阈值时停止更新,得到第一对偶变量的解析值。where: l is the learning rate; Represents the actual exposure rate of the user to be recommended, dj represents the preset exposure amount that the live room j needs to achieve; the ratio result of the two represents the exposure rate contributed by the user to be recommended to the live broadcast room j that needs to achieve the preset exposure amount; 1 minus The exposure rate indicates the exposure rate that is still needed; the priority of the live broadcast room to be exposed multiplied by the exposure rate still needed indicates the priority of the current live broadcast room to be exposed to obtain the required exposure rate; the priority level is multiplied by the learning The rate is used as an iterative update value to update the first dual variable, and the condition for stopping the update iteration may be to stop updating when the required inclusion rate is less than the preset exposure rate threshold to obtain the analytical value of the first dual variable.
具体的,按照上面算式进行迭代,并获取满足迭代停止条件的最大迭代次数T之后,确定第一对偶变量的解析值:Specifically, after the iteration is performed according to the above formula, and the maximum number of iterations T satisfying the iteration stop condition is obtained, the analytical value of the first dual variable is determined:
可选的,对于求解第二对偶变量(βk)*的解析值需要说明的是:由于βk≤max(αj+λckj),因此对于直播间j的定向用户集合,计算αj+λckj最大值Mk;其中,Mk是所有需要达到预设曝光量的直播间中的最大αj+λckj取值,即Optionally, it should be noted that for solving the analytical value of the second dual variable (βk )* : since βk ≤max(αj +λckj ), for the set of directional users in the live room j, calculate αj + λckj maximum value Mk ; where Mk is the maximum value of αj + λckj in all the live broadcast rooms that need to reach the preset exposure, that is
具体的,第二对偶变量(βk)*的解析值包括:令βk=Mk,计算初始的F值,记为进一步地取二分位点取βk=sk计算若小于那么在取0到sk生成新的二分位点;若大于那么在sk到Mk的区间中生成新的二分位点;基于上述步骤进行迭代更新,直到满足迭代停止条件时确定最大迭代次数S;在迭代次数S后,确定第二对偶变量的解析值:Specifically, the analytical value of the second dual variable (βk )* includes: let βk =Mk , calculate the initial F value, denoted as Take further dichotomies Take βk =sk to calculate like less than Then take 0 tosk to generate a new dichotomous point; if more than the Then generate a new dichotomous point in the interval from sk to Mk ; perform iterative update based on the above steps until the maximum iteration number S is determined when the iteration stop condition is met; after the iteration number S, determine the analytical value of the second dual variable :
在确定第一对偶变量的解析值以及第二对偶变量的解析值之后,近似更新合约侧的对偶变量,得到:After determining the analytical value of the first dual variable and the analytical value of the second dual variable, approximately update the dual variable on the contract side to obtain:
具体的,可以基于下述公式得到待曝光目标直播间j的各待推荐用户k分别对应的各推荐概率:Specifically, each recommendation probability corresponding to each user k to be recommended in the target live room j to be exposed can be obtained based on the following formula:
S140、基于所述各待推荐用户分别对应的各推荐概率确定所述待曝光目标直播间的目标推荐用户。S140: Determine a target recommended user in the target live broadcast room to be exposed based on each recommendation probability corresponding to each of the to-be-recommended users.
在本实施例中,确定待曝光目标直播间的目标推荐用户的方法可以是:获取各待推荐用户分别对应的各推荐概率,分别将各推荐概率与预设概率阈值进行比对;若进行比对的当前推荐概率大于预设概率阈值,则将当前推荐概率对应的待推荐用户确定为待曝光目标直播间的目标推荐用户。In this embodiment, the method for determining the target recommended users in the target live broadcast room to be exposed may be: obtaining each recommendation probability corresponding to each user to be recommended, and comparing each recommendation probability with a preset probability threshold; If the current recommendation probability of the pair is greater than the preset probability threshold, the user to be recommended corresponding to the current recommendation probability is determined as the target recommended user of the target live broadcast room to be exposed.
当然,还可以是获取各待推荐用户分别对应的各推荐概率,将各推荐概率进行排序,并确定数值最大的推荐概率,将数值最大的推荐概率对应的待推荐用户确定为待曝光目标直播间的目标推荐用户。当然基于推荐概率确定目标推荐用户的方法还可以根据实际情况进行确定,本实施例对此不加以限定。Of course, it is also possible to obtain the recommendation probabilities corresponding to the users to be recommended, sort the recommendation probabilities, determine the recommendation probability with the largest value, and determine the user to be recommended corresponding to the recommendation probability with the largest value as the target live room to be exposed. target recommended users. Of course, the method for determining the target recommendation user based on the recommendation probability may also be determined according to the actual situation, which is not limited in this embodiment.
在一些实施例中,获取目标推荐用户对应的目标推荐概率,将该目标推荐概率以及待曝光目标直播间的各曝光需求参数代入至曝光推荐函数中进行计算,得到曝光推荐函数的解析值,即为目标推荐用户分配的曝光量,以使当前待曝光直播间得到符合期望的曝光量。In some embodiments, the target recommendation probability corresponding to the target recommending user is obtained, and the target recommendation probability and each exposure requirement parameter of the target live broadcast room to be exposed are substituted into the exposure recommendation function for calculation, and the analytical value of the exposure recommendation function is obtained, that is, Recommend the exposure amount allocated to the target user, so that the current live broadcast room to be exposed can get the desired exposure amount.
本发明实施例的技术方案具体包括:获取预先设置的曝光推荐函数;其中,曝光推荐函数包括曝光均匀程度、曝光不足时对应的第一效益影响值以及实际曝光量对应的第二效益影响值,曝光均匀程度基于待曝光目标直播间的定向用户集合、待曝光直播间的优先级和各待推荐用户的推荐概率确定,第一效益影响值基于未达到预设曝光量给平台带来的损失以及未达到预设曝光量的概率确定,第二效益影响值基于各待推荐用户的推荐概率向各待推荐用户的推荐概率以及历史观看数值确定;以及获取待曝光目标直播间的各曝光需求参数和曝光推荐函数对应的各约束条件;并根据曝光推荐函数、各曝光需求参数以及各约束条件,确定待曝光目标直播间的各待推荐用户分别对应的各推荐概率;进一步的基于各待推荐用户分别对应的各推荐概率确定待曝光目标直播间的目标推荐用户。本发明实施例的技术方案通过获取待曝光直播间的各曝光需求参数,并基于预先设置的曝光推荐函数以及该曝光推荐函数对应的约束条件,确定该待曝光直播间对应的各待推荐用户的各推荐概率,最终基于各推荐概率确定目标推荐用户,并将该待曝光直播间向目标推荐用户进行推荐,实现使当前待曝光直播间得到符合期望的曝光量,并且提高当前待曝光直播间曝光的精准度。The technical solution of the embodiment of the present invention specifically includes: obtaining a preset exposure recommendation function; wherein, the exposure recommendation function includes exposure uniformity, a first benefit impact value corresponding to insufficient exposure, and a second benefit impact value corresponding to the actual exposure amount, The uniformity of exposure is determined based on the set of targeted users in the target live broadcast room to be exposed, the priority of the live broadcast room to be exposed, and the recommendation probability of each user to be recommended. The probability of not reaching the preset exposure amount is determined, and the second benefit impact value is determined based on the recommendation probability of each to-be-recommended user to each to-be-recommended user's recommendation probability and the historical viewing value; Each constraint condition corresponding to the exposure recommendation function; and according to the exposure recommendation function, each exposure requirement parameter and each constraint condition, determine each recommendation probability corresponding to each user to be recommended in the target live broadcast room to be exposed; The corresponding recommendation probabilities determine the target recommended users in the target live broadcast room to be exposed. The technical solution of the embodiment of the present invention determines the exposure requirement parameters of each live broadcast room to be exposed, and based on the preset exposure recommendation function and the constraint conditions corresponding to the exposure recommendation function, to determine the recommended users corresponding to the live broadcast room to be exposed. For each recommendation probability, the target recommended user is finally determined based on each recommendation probability, and the to-be-exposed live broadcast room is recommended to the target recommended user, so that the current to-be-exposed live-broadcast room can obtain the desired exposure and improve the current to-be-exposed live broadcast room exposure. accuracy.
以下是本发明实施例提供的目标推荐用户确定装置的实施例,该装置与上述各实施例的目标推荐用户确定方法属于同一个发明构思,在目标推荐用户确定装置的实施例中未详尽描述的细节内容,可以参考上述目标推荐用户确定方法的实施例。The following is an example of an apparatus for determining a target recommended user provided by the embodiments of the present invention, which belongs to the same inventive concept as the methods for determining a target recommended user in the above embodiments, and is not described in detail in the embodiments of the apparatus for determining a target recommended user For details, reference may be made to the foregoing embodiments of the method for determining a user for target recommendation.
实施例二Embodiment 2
图2为本发明实施例二提供的目标推荐用户确定装置的结构示意图,本实施例可适用于向用户推荐直播间的情况,更具体的适用于向待推荐的用户推荐需要达到预设曝光量的待曝光直播间的情况。该目标推荐用户确定装置的具体结构包括:曝光推荐函数获取模块210、曝光需求参数及约束条件获取模块220,推荐概率确定模块230以及目标推荐用户确定模块240;其中,2 is a schematic structural diagram of an apparatus for determining a target recommended user provided by Embodiment 2 of the present invention. This embodiment is applicable to recommending a live broadcast room to a user, and more specifically to recommending a user to be recommended that needs to reach a preset exposure amount The situation of the live broadcast room to be exposed. The specific structure of the target recommended user determination device includes: an exposure recommendation
曝光推荐函数获取模块210,用于获取预先设置的曝光推荐函数;其中,所述曝光推荐函数包括曝光均匀程度、曝光不足时对应的第一效益影响值以及实际曝光量对应的第二效益影响值,所述曝光均匀程度基于待曝光目标直播间的定向用户集合、所述待曝光直播间的优先级和各待推荐用户的推荐概率确定,所述第一效益影响值基于未达到预设曝光量给平台带来的损失以及未达到预设曝光量的概率确定,所述第二效益影响值基于所述各待推荐用户的推荐概率向各待推荐用户的推荐概率以及历史观看数值确定;The exposure recommendation
曝光需求参数及约束条件获取模块220,用于获取待曝光目标直播间的各曝光需求参数,以及所述曝光推荐函数对应的各约束条件;The exposure requirement parameter and
推荐概率确定模块230,用于根据所述曝光推荐函数、所述各曝光需求参数以及所述各约束条件,确定所述待曝光目标直播间的各待推荐用户分别对应的各推荐概率;The recommendation
目标推荐用户确定模块240,用于基于所述各待推荐用户分别对应的各推荐概率确定所述待曝光目标直播间的目标推荐用户。The target recommended
本发明实施例的技术方案具体包括:获取预先设置的曝光推荐函数;其中,所述曝光推荐函数包括曝光均匀程度、曝光不足时对应的第一效益影响值以及实际曝光量对应的第二效益影响值,所述曝光均匀程度基于待曝光目标直播间的定向用户集合、所述待曝光直播间的优先级和各待推荐用户的推荐概率确定,所述第一效益影响值基于未达到预设曝光量给平台带来的损失以及未达到预设曝光量的概率确定,所述第二效益影响值基于所述各待推荐用户的推荐概率向各待推荐用户的推荐概率以及历史观看数值确定;以及获取待曝光目标直播间的各曝光需求参数和所述曝光推荐函数对应的各约束条件;并根据所述曝光推荐函数、所述各曝光需求参数以及所述各约束条件,确定所述待曝光目标直播间的各待推荐用户分别对应的各推荐概率;进一步的基于所述各待推荐用户分别对应的各推荐概率确定所述待曝光目标直播间的目标推荐用户。本发明实施例的技术方案通过获取待曝光直播间的各曝光需求参数,并基于预先设置的曝光推荐函数以及该曝光推荐函数对应的约束条件,确定该待曝光直播间对应的各待推荐用户的各推荐概率,最终基于各推荐概率确定目标推荐用户,并将该待曝光直播间向所述目标推荐用户进行推荐,实现使当前待曝光直播间得到符合期望的曝光量,并且提高当前待曝光直播间曝光的精准度。The technical solution of the embodiment of the present invention specifically includes: obtaining a preset exposure recommendation function; wherein, the exposure recommendation function includes exposure uniformity, a first benefit impact value corresponding to insufficient exposure, and a second benefit impact corresponding to the actual exposure amount The exposure uniformity is determined based on the set of directional users in the target live broadcast room to be exposed, the priority of the to-be-exposed live broadcast room, and the recommendation probability of each user to be recommended, and the first benefit impact value is based on not reaching the preset exposure. The loss caused by the amount to the platform and the probability of not reaching the preset exposure amount are determined, and the second benefit impact value is determined based on the recommendation probability of each user to be recommended to the recommendation probability of each user to be recommended and the historical viewing value; and Acquire each exposure requirement parameter of the target live broadcast room to be exposed and each constraint condition corresponding to the exposure recommendation function; and determine the to-be-exposed target according to the exposure recommendation function, each exposure requirement parameter and each constraint condition each recommendation probability corresponding to each user to be recommended in the live broadcast room; further determining the target recommended user of the target live broadcast room to be exposed based on each recommendation probability corresponding to each of the to-be-recommended users. The technical solution of the embodiment of the present invention determines the exposure requirement parameters of each live broadcast room to be exposed, and based on the preset exposure recommendation function and the constraint conditions corresponding to the exposure recommendation function, to determine the recommended users corresponding to the live broadcast room to be exposed. For each recommendation probability, the target recommended user is finally determined based on each recommendation probability, and the to-be-exposed live broadcast room is recommended to the target recommended user, so that the current to-be-exposed live-broadcast room can obtain the desired exposure and improve the current to-be-exposed live broadcast. exposure accuracy.
在上述实施例的基础上,曝光推荐函数获取模块210,包括:On the basis of the above embodiment, the exposure recommendation
曝光均匀程度确定单元,用于基于如下公式确定所述曝光推荐函数中的曝光均匀程度:an exposure uniformity determination unit, configured to determine the exposure uniformity in the exposure recommendation function based on the following formula:
其中,rk表示的是待推荐用户k的请求数;nk表示待推荐用户k在每一次请求后能曝光的直播间个数;j是需要达到预设曝光量的直播间;Γ(j)表示需要达到预设曝光量的直播间j的定向用户集合;Z(Γ(j))表示需要达到预设曝光量的直播间j所有的定向用户集合;Vj是待曝光直播间的优先级;θj是需要达到预设曝光量的直播间j的曝光量的占比;xkj表示需要达到预设曝光量的直播间j对待推荐用户k的推荐概率;Among them, rk represents the number of requests from user k to be recommended; nk represents the number of live rooms that can be exposed by user k to be recommended after each request; j is the number of live rooms that need to reach the preset exposure; Γ(j ) represents the set of directional users of the live room j that needs to reach the preset exposure; Z(Γ(j)) represents the set of all the directional users of the live room j that needs to reach the preset exposure; Vj is the priority of the live room to be exposed level; θj is the exposure ratio of the live room j that needs to reach the preset exposure amount; xkj represents the recommendation probability that the live room j that needs to reach the preset exposure amount treats the recommended user k;
第一效益影响值确定单元,用于基于如下公式确定所述曝光推荐函数中曝光不足时对应的第一效益影响值:A first benefit impact value determination unit, configured to determine a first benefit impact value corresponding to insufficient exposure in the exposure recommendation function based on the following formula:
其中,pj表示的未达到预设曝光量给平台带来的损失;uj表示需要达到预设曝光量的直播间j未达到预设曝光量的概率;Among them, pj represents the loss brought to the platform by not reaching the preset exposure; uj represents the probability that the live room j that needs to reach the preset exposure does not reach the preset exposure;
第二效益影响值确定单元,用于基于如下公式确定所述曝光推荐函数中实际曝光量对应的第二效益影响值:The second benefit impact value determining unit is configured to determine the second benefit impact value corresponding to the actual exposure amount in the exposure recommendation function based on the following formula:
其中,ckj表示待推荐用户k对需要达到预设曝光量的直播间j的历史观看数值;Among them, ckj represents the historical viewing value of the user k to be recommended to the live broadcast room j that needs to reach the preset exposure amount;
曝光推荐函数确定单元,用于对所述曝光均匀程度、所述曝光不足时对应的第一效益影响值,以及所述实际曝光量对应的第二效益影响值进行加权处理,得到所述曝光推荐函数。an exposure recommendation function determination unit, configured to perform weighting processing on the exposure uniformity, the first benefit influence value corresponding to the insufficient exposure, and the second benefit influence value corresponding to the actual exposure amount to obtain the exposure recommendation function.
在上述实施例的基础上,曝光推荐函数确定单元,包括:On the basis of the above embodiment, the exposure recommendation function determination unit includes:
曝光推荐函数确定子单元,用于基于如下公式确定所述曝光推荐函数:The exposure recommendation function determination subunit is used to determine the exposure recommendation function based on the following formula:
其中,λ是一个常数,用于平衡平台效益影响值以及直播间是否达到预设曝光量的情况。Among them, λ is a constant used to balance the impact value of platform benefits and whether the live broadcast room reaches the preset exposure.
在上述实施例的基础上,所述曝光推荐函数对应的至约束条件包括:On the basis of the above-mentioned embodiment, the constraints corresponding to the exposure recommendation function include:
xkj,uj≥0;xkj , uj ≥0;
rkxkj≤fj;rk xkj ≤fj ;
nkxkj≤1;nk xkj ≤ 1;
其中,fj表示待推荐用户每天的实际曝光量阈值。Among them, fj represents the actual daily exposure threshold of the user to be recommended.
在上述实施例的基础上,推荐概率确定模块230,包括:On the basis of the above embodiment, the recommendation
解析值确定单元,用于构造第一对偶变量以及第二对偶变量,并分别确定所述第一对偶变量的解析值以及所述第二对偶变量的解析值;an analytical value determination unit, configured to construct a first dual variable and a second dual variable, and respectively determine the analytical value of the first dual variable and the analytical value of the second dual variable;
推荐概率确定单元,用于根据所述第一对偶变量的解析值、所述第二对偶变量的解析值、所述各曝光需求参数以及所述各约束条件,确定所述待曝光目标直播间的各待推荐用户分别对应的各推荐概率。A recommendation probability determination unit, configured to determine the target live room to be exposed according to the analytical value of the first dual variable, the analytical value of the second dual variable, the exposure requirement parameters and the constraints. Each recommendation probability corresponding to each user to be recommended.
在上述实施例的基础上,解析值确定单元,包括:On the basis of the above embodiment, the analytical value determination unit includes:
第一解析值确定子单元,用于基于如下公式确定所述第一对偶变量的解析值:The first analytical value determination subunit is used to determine the analytical value of the first dual variable based on the following formula:
其中,(αj)*为第一对偶变量;l是学习率;dj表示直播间j需要达到的预设曝光量;Among them, (αj )* is the first dual variable; l is the learning rate; dj represents the preset exposure amount that the live room j needs to achieve;
第二解析值确定子单元,用于基于如下公式确定所述第二对偶变量的解析值:The second analytical value determination subunit is configured to determine the analytical value of the second dual variable based on the following formula:
其中,Mk是所有需要达到的预设曝光量中αj+λckj的最大值。Among them, Mk is the maximum value of αj + λckj among all the preset exposures that need to be reached.
在上述实施例的基础上,目标推荐用户确定模块240,包括:On the basis of the above embodiment, the target recommended
比对单元,用于分别将各推荐概率与预设概率阈值进行比对;a comparison unit, configured to respectively compare each recommendation probability with a preset probability threshold;
目标推荐用户确定单元,用于若进行比对的当前推荐概率大于所述预设概率阈值,则将所述当前推荐概率对应的待推荐用户确定为待曝光目标直播间的目标推荐用户。A target recommended user determination unit, configured to determine the to-be-recommended user corresponding to the current recommended probability as the target recommended user of the to-be-exposed target live broadcast room if the compared current recommendation probability is greater than the preset probability threshold.
本发明实施例所提供的目标推荐用户确定装置可执行本发明任意实施例所提供的目标推荐用户确定方法,具备执行方法相应的功能模块和有益效果。The device for determining a target recommended user provided by the embodiment of the present invention can execute the method for determining a target recommended user provided by any embodiment of the present invention, and has corresponding functional modules and beneficial effects of the execution method.
值得注意的是,上述目标推荐用户确定装置的实施例中,所包括的各个单元和模块只是按照功能逻辑进行划分的,但并不局限于上述的划分,只要能够实现相应的功能即可;另外,各功能单元的具体名称也只是为了便于相互区分,并不用于限制本发明的保护范围。It is worth noting that in the above-mentioned embodiment of the target recommendation user determination device, the units and modules included are only divided according to functional logic, but are not limited to the above-mentioned division, as long as the corresponding functions can be realized; , the specific names of the functional units are only for the convenience of distinguishing from each other, and are not used to limit the protection scope of the present invention.
实施例三Embodiment 3
图3为本发明实施例三提供的一种电子设备的结构示意图。图3示出了适于用来实现本发明实施方式的示例性电子设备12的框图。图3显示的电子设备12仅仅是一个示例,不应对本发明实施例的功能和使用范围带来任何限制。FIG. 3 is a schematic structural diagram of an electronic device according to Embodiment 3 of the present invention. FIG. 3 shows a block diagram of an exemplary
如图3所示,电子设备12以通用计算电子设备的形式表现。电子设备12的组件可以包括但不限于:一个或者多个处理器或者处理单元16,系统存储器28,连接不同系统组件(包括系统存储器28和处理单元16)的总线18。As shown in FIG. 3, the
总线18表示几类总线结构中的一种或多种,包括存储器总线或者存储器控制器,外围总线,图形加速端口,处理器或者使用多种总线结构中的任意总线结构的局域总线。举例来说,这些体系结构包括但不限于工业标准体系结构(ISA)总线,微通道体系结构(MAC)总线,增强型ISA总线、视频电子标准协会(VESA)局域总线以及外围组件互连(PCI)总线。
电子设备12典型地包括多种计算机系统可读介质。这些介质可以是任何能够被电子设备12访问的可用介质,包括易失性和非易失性介质,可移动的和不可移动的介质。
系统存储器28可以包括易失性存储器形式的计算机系统可读介质,例如随机存取存储器(RAM)30和/或高速缓存存储器32。电子设备12可以进一步包括其它可移动/不可移动的、易失性/非易失性计算机系统存储介质。仅作为举例,存储系统34可以用于读写不可移动的、非易失性磁介质(图3未显示,通常称为“硬盘驱动器”)。尽管图3中未示出,可以提供用于对可移动非易失性磁盘(例如“软盘”)读写的磁盘驱动器,以及对可移动非易失性光盘(例如CD-ROM,DVD-ROM或者其它光介质)读写的光盘驱动器。在这些情况下,每个驱动器可以通过一个或者多个数据介质接口与总线18相连。系统存储器28可以包括至少一个程序产品,该程序产品具有一组(例如至少一个)程序模块,这些程序模块被配置以执行本发明各实施例的功能。
具有一组(至少一个)程序模块42的程序/实用工具40,可以存储在例如系统存储器28中,这样的程序模块42包括但不限于操作系统、一个或者多个应用程序、其它程序模块以及程序数据,这些示例中的每一个或某种组合中可能包括网络环境的实现。程序模块42通常执行本发明所描述的实施例中的功能和/或方法。A program/
电子设备12也可以与一个或多个外部设备14(例如键盘、指向设备、显示器24等)通信,还可与一个或者多个使得用户能与该电子设备12交互的设备通信,和/或与使得该电子设备12能与一个或多个其它计算设备进行通信的任何设备(例如网卡,调制解调器等等)通信。这种通信可以通过输入/输出(I/O)接口22进行。并且,电子设备12还可以通过网络适配器20与一个或者多个网络(例如局域网(LAN),广域网(WAN)和/或公共网络,例如因特网)通信。如图3所示,网络适配器20通过总线18与电子设备12的其它模块通信。应当明白,尽管图3中未示出,可以结合电子设备12使用其它硬件和/或软件模块,包括但不限于:微代码、设备驱动器、冗余处理单元、外部磁盘驱动阵列、RAID系统、磁带驱动器以及数据备份存储系统等。The
处理单元16通过运行存储在系统存储器28中的程序,从而执行各种功能应用以及样本数据获取,例如实现本发实施例所提供的一种目标推荐用户确定方法步骤,目标推荐用户确定方法包括:The
获取预先设置的曝光推荐函数;其中,所述曝光推荐函数包括曝光均匀程度、曝光不足时对应的第一效益影响值以及实际曝光量对应的第二效益影响值,所述曝光均匀程度基于待曝光目标直播间的定向用户集合、所述待曝光直播间的优先级和各待推荐用户的推荐概率确定,所述第一效益影响值基于未达到预设曝光量给平台带来的损失以及未达到预设曝光量的概率确定,所述第二效益影响值基于所述各待推荐用户的推荐概率向各待推荐用户的推荐概率以及历史观看数值确定;Obtain a preset exposure recommendation function; wherein, the exposure recommendation function includes exposure uniformity, a first benefit impact value corresponding to insufficient exposure, and a second benefit impact value corresponding to the actual exposure amount, and the exposure uniformity degree is based on to-be-exposed The set of targeted users in the target live broadcast room, the priority of the live broadcast room to be exposed, and the recommendation probability of each user to be recommended are determined. The probability of the preset exposure amount is determined, and the second benefit impact value is determined based on the recommendation probability of each user to be recommended, the recommendation probability of each user to be recommended, and the historical viewing value;
获取待曝光目标直播间的各曝光需求参数,以及所述曝光推荐函数对应的各约束条件;Obtain each exposure requirement parameter of the target live broadcast room to be exposed, and each constraint condition corresponding to the exposure recommendation function;
根据所述曝光推荐函数、所述各曝光需求参数以及所述各约束条件,确定所述待曝光目标直播间的各待推荐用户分别对应的各推荐概率;According to the exposure recommendation function, the exposure requirement parameters, and the constraints, determine each recommendation probability corresponding to each user to be recommended in the target live broadcast room to be exposed;
基于所述各待推荐用户分别对应的各推荐概率确定所述待曝光目标直播间的目标推荐用户。A target recommended user in the target live broadcast room to be exposed is determined based on each recommendation probability corresponding to each of the to-be-recommended users.
当然,本领域技术人员可以理解,处理器还可以实现本发明任意实施例所提供的样本数据获取方法的技术方案。Of course, those skilled in the art can understand that the processor can also implement the technical solution of the sample data acquisition method provided by any embodiment of the present invention.
实施例五Embodiment 5
本实施例五提供了一种计算机可读存储介质,其上存储有计算机程序,该程序被处理器执行时实现例如实现本发实施例所提供的一种目标推荐用户确定方法步骤,目标推荐用户确定方法包括:The fifth embodiment provides a computer-readable storage medium on which a computer program is stored, and when the program is executed by a processor, implements, for example, the steps of a method for determining a target recommended user provided by the embodiment of the present invention, and the target recommended user Determination methods include:
获取预先设置的曝光推荐函数;其中,所述曝光推荐函数包括曝光均匀程度、曝光不足时对应的第一效益影响值以及实际曝光量对应的第二效益影响值,所述曝光均匀程度基于待曝光目标直播间的定向用户集合、所述待曝光直播间的优先级和各待推荐用户的推荐概率确定,所述第一效益影响值基于未达到预设曝光量给平台带来的损失以及未达到预设曝光量的概率确定,所述第二效益影响值基于所述各待推荐用户的推荐概率向各待推荐用户的推荐概率以及历史观看数值确定;Obtain a preset exposure recommendation function; wherein, the exposure recommendation function includes exposure uniformity, a first benefit impact value corresponding to insufficient exposure, and a second benefit impact value corresponding to the actual exposure amount, and the exposure uniformity degree is based on to-be-exposed The set of targeted users in the target live broadcast room, the priority of the live broadcast room to be exposed, and the recommendation probability of each user to be recommended are determined. The probability of the preset exposure amount is determined, and the second benefit impact value is determined based on the recommendation probability of each user to be recommended, the recommendation probability of each user to be recommended, and the historical viewing value;
获取待曝光目标直播间的各曝光需求参数,以及所述曝光推荐函数对应的各约束条件;Obtain each exposure requirement parameter of the target live broadcast room to be exposed, and each constraint condition corresponding to the exposure recommendation function;
根据所述曝光推荐函数、所述各曝光需求参数以及所述各约束条件,确定所述待曝光目标直播间的各待推荐用户分别对应的各推荐概率;According to the exposure recommendation function, the exposure requirement parameters, and the constraints, determine each recommendation probability corresponding to each user to be recommended in the target live broadcast room to be exposed;
基于所述各待推荐用户分别对应的各推荐概率确定所述待曝光目标直播间的目标推荐用户。A target recommended user in the target live broadcast room to be exposed is determined based on each recommendation probability corresponding to each of the to-be-recommended users.
本发明实施例的计算机存储介质,可以采用一个或多个计算机可读的介质的任意组合。计算机可读介质可以是计算机可读信号介质或者计算机可读存储介质。计算机可读存储介质例如可以是但不限于:电、磁、光、电磁、红外线、或半导体的系统、装置或器件,或者任意以上的组合。计算机可读存储介质的更具体的例子(非穷举的列表)包括:具有一个或多个导线的电连接、便携式计算机磁盘、硬盘、随机存取存储器(RAM)、只读存储器(ROM)、可擦式可编程只读存储器(EPROM或闪存)、光纤、便携式紧凑磁盘只读存储器(CD-ROM)、光存储器件、磁存储器件、或者上述的任意合适的组合。在本文件中,计算机可读存储介质可以是任何包含或存储程序的有形介质,该程序可以被指令执行系统、装置或者器件使用或者与其结合使用。The computer storage medium in the embodiments of the present invention may adopt any combination of one or more computer-readable mediums. The computer-readable medium may be a computer-readable signal medium or a computer-readable storage medium. The computer-readable storage medium may be, for example, but not limited to, an electrical, magnetic, optical, electromagnetic, infrared, or semiconductor system, apparatus or device, or any combination of the above. More specific examples (a non-exhaustive list) of computer readable storage media include: electrical connections having one or more wires, portable computer disks, hard disks, random access memory (RAM), read only memory (ROM), Erasable programmable read only memory (EPROM or flash memory), optical fiber, portable compact disk read only memory (CD-ROM), optical storage devices, magnetic storage devices, or any suitable combination of the above. In this document, a computer-readable storage medium can be any tangible medium that contains or stores a program that can be used by or in conjunction with an instruction execution system, apparatus, or device.
计算机可读的信号介质可以包括在基带中或者作为载波一部分传播的数据信号,其中承载了计算机可读的程序代码。这种传播的数据信号可以采用多种形式,包括但不限于电磁信号、光信号或上述的任意合适的组合。计算机可读的信号介质还可以是计算机可读存储介质以外的任何计算机可读介质,该计算机可读介质可以发送、传播或者传输用于由指令执行系统、装置或者器件使用或者与其结合使用的程序。A computer-readable signal medium may include a propagated data signal in baseband or as part of a carrier wave, with computer-readable program code embodied thereon. Such propagated data signals may take a variety of forms, including but not limited to electromagnetic signals, optical signals, or any suitable combination of the foregoing. A computer-readable signal medium can also be any computer-readable medium other than a computer-readable storage medium that can transmit, propagate, or transport the program for use by or in connection with the instruction execution system, apparatus, or device .
计算机可读介质上包含的程序代码可以用任何适当的介质传输,包括但不限于:无线、电线、光缆、RF等等,或者上述的任意合适的组合。Program code embodied on a computer readable medium may be transmitted using any suitable medium including, but not limited to, wireless, wireline, optical fiber cable, RF, etc., or any suitable combination of the foregoing.
可以以一种或多种程序设计语言或其组合来编写用于执行本发明操作的计算机程序代码,所述程序设计语言包括面向对象的程序设计语言,诸如Java、Smalltalk、C++,还包括常规的过程式程序设计语言—诸如“C”语言或类似的程序设计语言。程序代码可以完全地在用户计算机上执行、部分地在用户计算机上执行、作为一个独立的软件包执行、部分在用户计算机上部分在远程计算机上执行、或者完全在远程计算机或服务器上执行。在涉及远程计算机的情形中,远程计算机可以通过任意种类的网络,包括局域网(LAN)或广域网(WAN),连接到用户计算机,或者,可以连接到外部计算机(例如利用因特网服务提供商来通过因特网连接)。Computer program code for carrying out operations of the present invention may be written in one or more programming languages, including object-oriented programming languages, such as Java, Smalltalk, C++, and conventional Procedural programming language - such as the "C" language or similar programming language. The program code may execute entirely on the user's computer, partly on the user's computer, as a stand-alone software package, partly on the user's computer and partly on a remote computer, or entirely on the remote computer or server. In the case of a remote computer, the remote computer may be connected to the user's computer through any kind of network, including a local area network (LAN) or wide area network (WAN), or may be connected to an external computer (eg, through the Internet using an Internet service provider) connect).
本领域普通技术人员应该明白,上述的本发明的各模块或各步骤可以用通用的计算装置来实现,它们可以集中在单个计算装置上,或者分布在多个计算装置所组成的网络上,可选地,他们可以用计算机装置可执行的程序代码来实现,从而可以将它们存储在存储装置中由计算装置来执行,或者将它们分别制作成各个集成电路模块,或者将它们中的多个模块或步骤制作成单个集成电路模块来实现。这样,本发明不限制于任何特定的硬件和软件的结合。Those of ordinary skill in the art should understand that the above-mentioned modules or steps of the present invention can be implemented by a general-purpose computing device, and they can be centralized on a single computing device, or distributed on a network composed of multiple computing devices. Optionally, they may be implemented in program code executable by a computer device, so that they can be stored in a storage device and executed by the computing device, or they can be fabricated separately into individual integrated circuit modules, or a plurality of modules of them Or the steps are made into a single integrated circuit module to realize. As such, the present invention is not limited to any specific combination of hardware and software.
注意,上述仅为本发明的较佳实施例及所运用技术原理。本领域技术人员会理解,本发明不限于这里所述的特定实施例,对本领域技术人员来说能够进行各种明显的变化、重新调整和替代而不会脱离本发明的保护范围。因此,虽然通过以上实施例对本发明进行了较为详细的说明,但是本发明不仅仅限于以上实施例,在不脱离本发明构思的情况下,还可以包括更多其他等效实施例,而本发明的范围由所附的权利要求范围决定。Note that the above are only preferred embodiments of the present invention and applied technical principles. Those skilled in the art will understand that the present invention is not limited to the specific embodiments described herein, and various obvious changes, readjustments and substitutions can be made by those skilled in the art without departing from the protection scope of the present invention. Therefore, although the present invention has been described in detail through the above embodiments, the present invention is not limited to the above embodiments, and can also include more other equivalent embodiments without departing from the concept of the present invention. The scope is determined by the scope of the appended claims.
| Application Number | Priority Date | Filing Date | Title |
|---|---|---|---|
| CN202110872374.2ACN113590955A (en) | 2021-07-30 | 2021-07-30 | Target recommendation user determination method and device, electronic equipment and storage medium |
| Application Number | Priority Date | Filing Date | Title |
|---|---|---|---|
| CN202110872374.2ACN113590955A (en) | 2021-07-30 | 2021-07-30 | Target recommendation user determination method and device, electronic equipment and storage medium |
| Publication Number | Publication Date |
|---|---|
| CN113590955Atrue CN113590955A (en) | 2021-11-02 |
| Application Number | Title | Priority Date | Filing Date |
|---|---|---|---|
| CN202110872374.2APendingCN113590955A (en) | 2021-07-30 | 2021-07-30 | Target recommendation user determination method and device, electronic equipment and storage medium |
| Country | Link |
|---|---|
| CN (1) | CN113590955A (en) |
| Publication number | Priority date | Publication date | Assignee | Title |
|---|---|---|---|---|
| CN114095481A (en)* | 2021-11-23 | 2022-02-25 | 百果园技术(新加坡)有限公司 | Chat room putting method, device, equipment and storage medium |
| CN114595381A (en)* | 2022-02-22 | 2022-06-07 | 平安科技(深圳)有限公司 | Recommendation method, recommendation device, electronic device and storage medium |
| CN115292640A (en)* | 2022-07-29 | 2022-11-04 | 支付宝(杭州)信息技术有限公司 | Multi-booth flow distribution method and device |
| Publication number | Priority date | Publication date | Assignee | Title |
|---|---|---|---|---|
| US20150229979A1 (en)* | 2014-02-11 | 2015-08-13 | The Nielsen Company (Us), Llc | Methods and apparatus to calculate video-on-demand and dynamically inserted advertisement viewing probability |
| US20160292158A1 (en)* | 2015-04-06 | 2016-10-06 | Netflix, Inc. | Global recommendation systems for overlapping media catalogs |
| CN107358593A (en)* | 2017-06-16 | 2017-11-17 | 广东欧珀移动通信有限公司 | Imaging method and device |
| US20180018700A1 (en)* | 2015-06-26 | 2018-01-18 | Tencent Technology (Shenzhen) Company Limited | Method and Device and System for Processing Promotion Information |
| CN108520034A (en)* | 2018-03-29 | 2018-09-11 | 广州优视网络科技有限公司 | Using recommendation method, apparatus and computer equipment |
| CN109039678A (en)* | 2017-06-08 | 2018-12-18 | 腾讯科技(深圳)有限公司 | Control method, device, electronic equipment and the storage medium that promotion message plays |
| CN109547808A (en)* | 2018-11-22 | 2019-03-29 | 北京达佳互联信息技术有限公司 | Data processing method, device, server and storage medium |
| CN109951725A (en)* | 2019-03-07 | 2019-06-28 | 武汉斗鱼鱼乐网络科技有限公司 | A kind of recommended method and relevant device of direct broadcasting room |
| CN110225361A (en)* | 2019-06-03 | 2019-09-10 | 武汉瓯越网视有限公司 | Direct broadcasting room recommended method, storage medium, electronic equipment and system |
| US20190347708A1 (en)* | 2018-01-10 | 2019-11-14 | Beijing Sensetime Technology Development Co., Ltd | Methods and apparatuses for deep learning-based recommendation, electronic devices, and media |
| CN110730385A (en)* | 2018-07-16 | 2020-01-24 | 武汉斗鱼网络科技有限公司 | Live broadcast room recommendation method and device, server and storage medium |
| US20200221181A1 (en)* | 2019-01-07 | 2020-07-09 | Alphonso Inc. | Content Recommendation System and Method-Based Implicit Ratings |
| CN111510783A (en)* | 2020-04-26 | 2020-08-07 | 咪咕动漫有限公司 | Method, device, electronic equipment and storage medium for determining video exposure |
| US20210209491A1 (en)* | 2020-09-01 | 2021-07-08 | Beijing Baidu Netcom Science And Technology Co., Ltd. | Method and apparatus for recommending content, device, and medium |
| Publication number | Priority date | Publication date | Assignee | Title |
|---|---|---|---|---|
| US20150229979A1 (en)* | 2014-02-11 | 2015-08-13 | The Nielsen Company (Us), Llc | Methods and apparatus to calculate video-on-demand and dynamically inserted advertisement viewing probability |
| US20160292158A1 (en)* | 2015-04-06 | 2016-10-06 | Netflix, Inc. | Global recommendation systems for overlapping media catalogs |
| US20180018700A1 (en)* | 2015-06-26 | 2018-01-18 | Tencent Technology (Shenzhen) Company Limited | Method and Device and System for Processing Promotion Information |
| CN109039678A (en)* | 2017-06-08 | 2018-12-18 | 腾讯科技(深圳)有限公司 | Control method, device, electronic equipment and the storage medium that promotion message plays |
| CN107358593A (en)* | 2017-06-16 | 2017-11-17 | 广东欧珀移动通信有限公司 | Imaging method and device |
| US20190347708A1 (en)* | 2018-01-10 | 2019-11-14 | Beijing Sensetime Technology Development Co., Ltd | Methods and apparatuses for deep learning-based recommendation, electronic devices, and media |
| CN108520034A (en)* | 2018-03-29 | 2018-09-11 | 广州优视网络科技有限公司 | Using recommendation method, apparatus and computer equipment |
| CN110730385A (en)* | 2018-07-16 | 2020-01-24 | 武汉斗鱼网络科技有限公司 | Live broadcast room recommendation method and device, server and storage medium |
| CN109547808A (en)* | 2018-11-22 | 2019-03-29 | 北京达佳互联信息技术有限公司 | Data processing method, device, server and storage medium |
| US20200221181A1 (en)* | 2019-01-07 | 2020-07-09 | Alphonso Inc. | Content Recommendation System and Method-Based Implicit Ratings |
| CN109951725A (en)* | 2019-03-07 | 2019-06-28 | 武汉斗鱼鱼乐网络科技有限公司 | A kind of recommended method and relevant device of direct broadcasting room |
| CN110225361A (en)* | 2019-06-03 | 2019-09-10 | 武汉瓯越网视有限公司 | Direct broadcasting room recommended method, storage medium, electronic equipment and system |
| CN111510783A (en)* | 2020-04-26 | 2020-08-07 | 咪咕动漫有限公司 | Method, device, electronic equipment and storage medium for determining video exposure |
| US20210209491A1 (en)* | 2020-09-01 | 2021-07-08 | Beijing Baidu Netcom Science And Technology Co., Ltd. | Method and apparatus for recommending content, device, and medium |
| Title |
|---|
| 包红云等: "集成组内标签与用户链接关系的Flickr组推荐模型", 模式识别与人工智能, vol. 26, no. 2, 15 February 2013 (2013-02-15), pages 176 - 181* |
| 张宴硕等: "算法推荐机制下的短视频创作与传播", 新媒体研究, no. 18, pages 128 - 130* |
| Publication number | Priority date | Publication date | Assignee | Title |
|---|---|---|---|---|
| CN114095481A (en)* | 2021-11-23 | 2022-02-25 | 百果园技术(新加坡)有限公司 | Chat room putting method, device, equipment and storage medium |
| CN114095481B (en)* | 2021-11-23 | 2024-03-12 | 百果园技术(新加坡)有限公司 | Chat room delivery method, device, equipment and storage medium |
| CN114595381A (en)* | 2022-02-22 | 2022-06-07 | 平安科技(深圳)有限公司 | Recommendation method, recommendation device, electronic device and storage medium |
| CN114595381B (en)* | 2022-02-22 | 2024-06-25 | 平安科技(深圳)有限公司 | Recommendation method, recommendation device, electronic equipment and storage medium |
| CN115292640A (en)* | 2022-07-29 | 2022-11-04 | 支付宝(杭州)信息技术有限公司 | Multi-booth flow distribution method and device |
| Publication | Publication Date | Title |
|---|---|---|
| CN113590955A (en) | Target recommendation user determination method and device, electronic equipment and storage medium | |
| CN108985694B (en) | Method and device for determining distribution center address | |
| CN110232411B (en) | Model distillation implementation method, device, system, computer equipment and storage medium | |
| CN112367370A (en) | Management method, device, equipment and medium for hybrid cloud resource data | |
| CN110321694B (en) | Operation authority allocation method based on label updating system and related equipment | |
| CN114036381B (en) | Course recommendation method and device, storage medium and electronic device | |
| CN108965951B (en) | Advertisement playing method and device | |
| CN113420227B (en) | Training method of click rate estimation model, click rate estimation method and device | |
| CN114970357A (en) | Energy-saving effect evaluation method, system, device and storage medium | |
| CN110569190B (en) | Transaction pressure testing method and device, electronic device and readable storage medium | |
| CN115237931A (en) | A method and system for updating sub-service processing results for service orchestration | |
| CN115187283A (en) | Improved carbon cost calculation method, device, equipment and storage medium considering user side carbon responsibility | |
| US20170221005A1 (en) | Quantifying job poster value | |
| CN109348236B (en) | Storage capacity evaluation method and device, server and storage medium | |
| CN112446708A (en) | Risk identification method and device | |
| CN111861757A (en) | A financing matching method, system, device and storage medium | |
| CN109426962B (en) | Data model calibration method, device and equipment | |
| CN116708322A (en) | Resource allocation method, device, equipment and medium | |
| CN110084395A (en) | Prediction technique, device, server and the storage medium of network public-opinion evolution result | |
| CN110827142A (en) | User credit evaluation method, system, server and storage medium | |
| CN115510240A (en) | Traceable knowledge map construction and use method, device, equipment and storage medium | |
| CN116563007A (en) | Credit risk prediction method, electronic equipment and readable storage medium | |
| CN111598390B (en) | Server high availability evaluation methods, devices, equipment and readable storage media | |
| CN115062848A (en) | Service data processing method, device, equipment and medium | |
| CN115222123A (en) | Customer quantity prediction method, apparatus, device, medium, and program product |
| Date | Code | Title | Description |
|---|---|---|---|
| PB01 | Publication | ||
| PB01 | Publication | ||
| SE01 | Entry into force of request for substantive examination | ||
| SE01 | Entry into force of request for substantive examination | ||
| AD01 | Patent right deemed abandoned | Effective date of abandoning:20250207 | |
| AD01 | Patent right deemed abandoned |