







技术领域technical field
本发明涉及森林计测领域,特别涉及一种任意地形条件下树高树干长冠长高精度测量方法。The invention relates to the field of forest measurement, in particular to a high-precision measurement method for tree height, trunk length and crown length under arbitrary terrain conditions.
背景技术Background technique
树高、树干长、树冠长是树木生长量调查中三个基本的调查因子,与森林碳汇紧密相关。目前上述三个因子的调查仪器和方法有全站仪、电子经纬仪、三维激光扫描、布鲁莱斯等型号的测高器、测树杆等,这些设备和操作分别存在着或操作复杂、便携性差、成本昂贵,或测量精度一般等问题,一定程度上限制了在实际中的应用。此外,这些设备和方法往往均需要贴近被测树木才能进行实施,而在山区复杂地形因素条件下,工作人员可能难以到达要测量的树木周边范围,这就给森林计测工作带来不便。Tree height, trunk length, and canopy length are three basic survey factors in tree growth surveys, which are closely related to forest carbon sinks. At present, the investigation instruments and methods for the above three factors include total stations, electronic theodolites, three-dimensional laser scanning, altimeters such as Brules, and tree measuring poles. Problems such as poor performance, high cost, or general measurement accuracy limit the practical application to a certain extent. In addition, these devices and methods often need to be close to the measured trees to be implemented, and under the complex terrain conditions in mountainous areas, it may be difficult for staff to reach the surrounding area of the trees to be measured, which brings inconvenience to the forest measurement work.
发明内容Contents of the invention
针对上述技术问题,本发明提供一种任意地形条件下树高树干长冠长高精度测量方法。In view of the above technical problems, the present invention provides a high-precision measurement method for tree height, trunk length and crown length under arbitrary terrain conditions.
其技术方案为,包括步骤,Its technical scheme is, comprises steps,
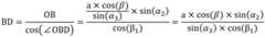
S1、在测量环境中选取两个不同位置的点,其中一个为观测点B,另一个为参考点C;观测点B和参考点C的选取条件为,观测点和参考点可分别无障碍的观察到与待测树木顶点A及树基点D,也就是树尖位置及树干和地面接触的位置;S1. Select two points in different positions in the measurement environment, one of which is observation point B and the other is reference point C; the selection conditions for observation point B and reference point C are that the observation point and reference point can be barrier-free respectively Observing the vertex A of the tree to be measured and the base point D of the tree, that is, the position of the tip of the tree and the position where the trunk contacts the ground;
S2、测量观测点B和参考点C之间的间距a,间距a的测量可选用激光测距仪;S2. Measure the distance a between the observation point B and the reference point C, and a laser range finder can be used for the measurement of the distance a;
S3、将参考点C在观测点B所在水平面上的竖直投影记为参考投影点E,测量参考点C相对于观测点B在水平线上的倾角∠CBE的度数β,得出观测点B和参考投影点E的间距;S3. Record the vertical projection of the reference point C on the horizontal plane where the observation point B is located as the reference projection point E, measure the degree β of the inclination angle ∠CBE of the reference point C relative to the observation point B on the horizontal line, and obtain the observation point B and The distance between reference projection points E;
S4、将树基点D位于观测点B所在水平面的竖直投影点记为树投影点O,通过标志杆L1、标志杆L2及待测树木的位置,确定出∠BOE的度数,从而得出树投影点O与观测点B之间的间距;S4. The vertical projection point of the tree base point D on the horizontal plane where the observation point B is located is recorded as the tree projection point O, and the degree of ∠BOE is determined through the marker pole L1, the marker pole L2 and the position of the tree to be measured, so as to obtain the tree The distance between the projection point O and the observation point B;
S5、测量树基点D相对于观测点B的倾角∠OBD的度数β1,根据S4得到树投影点O和观测点B的间距,从而得到树投影点O和树基点D的间距;S5. Measure the degree β1 of the inclination angle ∠OBD of the tree base point D relative to the observation point B, and obtain the distance between the tree projection point O and the observation point B according to S4, thereby obtaining the distance between the tree projection point O and the tree base point D;
S6、选定树干上的第一分枝点P,测量第一分枝点P相对于观测点B的倾角∠OBP度数β2;从而获得树投影点O和第一分枝点P的间距;S6. Select the first branch point P on the trunk, measure the inclination angle ∠OBP degree β2 of the first branch point P relative to the observation point B; thereby obtain the distance between the tree projection point O and the first branch point P;
S7、测量顶点A相对于观测点B的倾角∠OBA的度数β3,从而获得树投影点O和顶点A的间距,进而获得待测树体高度数值。S7. Measure the degree β3 of the inclination angle ∠OBA of the vertex A relative to the observation point B, so as to obtain the distance between the tree projection point O and the vertex A, and then obtain the value of the tree height to be measured.
优选为,所述S2中,测量观测点B和参考点C之间的间距a,具体为,在所述观测点B和参考点C处分别竖直设立标志杆L1和标志杆L2,在所述标志杆L1和标志杆L2的杆体上分别选取一个测量点,测量标志杆L1和标志杆L2的两个杆间距测量点之间的距离,从而获得观测点B和参考C之间的间距a;Preferably, in the S2, the distance a between the observation point B and the reference point C is measured, specifically, the marker pole L1 and the marker pole L2 are vertically set up at the observation point B and the reference point C respectively, and at the Select a measuring point on the rod body of the above-mentioned sign post L1 and sign post L2 respectively, and measure the distance between the two bar spacing measurement points of the sign post L1 and the sign post L2, so as to obtain the distance a between the observation point B and the reference C ;
所述测量点的选取方法为,将标志杆L1和标志杆L2竖直设置在观测位置的地面上,以标志杆L1和标志杆L2所在地面为起点,以相同的高度分别在所述标志杆L1和标志杆L2的选取一个点作为所述测量点。即标志杆L1和标志杆L2上的测量点与其对应标志杆所在地面地表的垂直距离相等。The method of selecting the measurement point is to set the signpost L1 and the signpost L2 vertically on the ground at the observation position, take the ground where the signpost L1 and the signpost L2 are located as the starting point, and place the signposts at the same height respectively. A point is selected between L1 and the sign post L2 as the measurement point. That is, the vertical distances between the measurement points on the marker pole L1 and the marker pole L2 and the ground surface where the corresponding marker poles are located are equal.
优选为,所述S3测量参考点C相对于观测点B在水平线上的倾角∠CBE的度数β,具体为,以所述标志杆L1和标志杆L2上的所述测量点为观测点;Preferably, the S3 measures the degree β of the inclination angle ∠CBE of the reference point C relative to the observation point B on the horizontal line, specifically, taking the measurement points on the marker pole L1 and the marker pole L2 as observation points;
以两个所述测量点的连线,及所述标志杆L1的测量点朝向标志杆L2的水平线形成夹角为倾角∠CBE,从而获得参考点C相对于观测点B在水平线上的倾角∠CBE的度数β。The angle between the line connecting the two measurement points and the horizontal line formed by the measurement point of the marker pole L1 towards the marker pole L2 is the inclination angle ∠CBE, so as to obtain the inclination angle ∠CBE of the reference point C relative to the observation point B on the horizontal line Degree β of CBE.
优选为,所述S3中,得出观测点B和参考投影点E的间距,具体为,根据获取的倾角∠CBE,采用下式进行,Preferably, in said S3, the distance between the observation point B and the reference projection point E is obtained, specifically, according to the acquired inclination angle ∠CBE, the following formula is used,
BE=BC×cos(∠CBE)=a×cos(β)BE=BC×cos(∠CBE)=a×cos(β)
其中,BE为观测点B和参考投影点E之间的间距。Among them, BE is the distance between the observation point B and the reference projection point E.
优选为,所述S4中,确定出∠BOE的度数,具体为,以标志杆L1、标志杆L2的轴线,及贯穿所述树基点D的竖直线为测量参考,从而测量获得在观测点B所在的水平面上,树投影点O、观测点B和参考投影点E形成夹角∠OBE的度数α1,测量夹角∠OEB的度数α2,则可得出,在△OBE中,Preferably, in the above S4, the degree of ∠BOE is determined, specifically, the axis of the marker pole L1, the marker pole L2, and the vertical line passing through the tree base point D are taken as the measurement reference, so that the measured On the horizontal plane where B is located, the tree projection point O, the observation point B and the reference projection point E form the angle α1 of the angle ∠OBE, measure the angle α2 of the angle ∠OEB, then it can be concluded that in △OBE,
∠BOE=180°-∠OBE-∠OEB∠BOE=180°-∠OBE-∠OEB
即Right now
∠BOE=180°-α1-α2∠BOE=180°-α1 -α2
∠BOE为观测点B、树投影点O和参考投影点E在观测点B所在水平面上形成的夹角,度数记为α3。∠BOE is the angle formed by observation point B, tree projection point O and reference projection point E on the horizontal plane where observation point B is located, and the degree is recorded as α3 .
优选为,所述S4中,确定树投影点O与观测点B之间的间距,具体为,Preferably, in said S4, the distance between the tree projection point O and the observation point B is determined, specifically,
在△OBE中,利用面积公式,推导出边角关系如下,In △OBE, using the area formula, the corner relationship is deduced as follows,
于是可得OB的长,So the length of OB can be obtained,
OB为树投影点O与观测点B之间的间距。OB is the distance between tree projection point O and observation point B.
优选为,所述S5中得到树投影点O到树基点D的距离,具体为,在直角三角形△OBD中,根据下式,Preferably, the distance from the tree projection point O to the tree base point D is obtained in S5, specifically, in the right triangle ΔOBD, according to the following formula,
OD=OB×tg(∠OBD)=OB×tg(β1)OD=OB×tg(∠OBD)=OB×tg(β1 )
OD为树投影点O至树基点D之间的距离;OD is the distance between the tree projection point O and the tree base point D;
所述S6中,树投影点O和第一分枝点P间距计算方法为,使用公式,In S6, the calculation method for the distance between the tree projection point O and the first branch point P is, using the formula,
OP=OB×tg(∠OBP)=OB×tg(β2)OP=OB×tg(∠OBP)=OB×tg(β2 )
OP为树投影点O到第一分枝点P的距离;OP is the distance from the tree projection point O to the first branch point P;
所述S7中,树投影点O和顶点A间距的计算方法为,使用公式,In said S7, the calculation method for the distance between the tree projection point O and the vertex A is, using the formula,
OA=OB×tg(∠OBA)=OB×tg(β3)OA=OB×tg(∠OBA)=OB×tg(β3 )
OA为树投影点到顶点A的距离。OA is the distance from the tree projection point to vertex A.
其中,β1为∠OBD的度数,β2为∠OBP的度数,β3为∠OBA的度数,β1、β2、β3可以分别通过测量器具直接测量获得。Wherein, β1 is the degree of ∠OBD, β2 is the degree of ∠OBP, β3 is the degree of ∠OBA, β1 , β2 , and β3 can be directly measured by measuring instruments respectively.
优选为,所述S7中,待测树体高度数值包括树整体高度、树干长度及树冠长度;树整体高度为,Preferably, in said S7, the value of the height of the tree body to be measured includes the overall height of the tree, the length of the trunk and the length of the crown; the overall height of the tree is,
H=AD=OA-OD=OB×tg(β3)-OB×tg(β1)=OB×(tg(β3)-tg(β1))H=AD=OA-OD=OB×tg(β3 )-OB×tg(β1 )=OB×(tg(β3 )-tg(β1 ))
从而可得,thus available,
H为待测树木整体高度;H is the overall height of the tree to be measured;
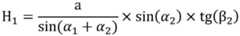
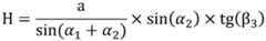
树干长度为,The trunk length is,
H1=DP=OP-OD=OB×tg(β2)-OB×tg(β1)H1 =DP=OP-OD=OB×tg(β2 )-OB×tg(β1 )
从而可得,thus available,
H1为树干长度;H1 is the trunk length;
树冠长度为,The canopy length is,
H2=AP=OA-OP=OB×tg(β3)-OB×tg(β2)H2 =AP=OA-OP=OB×tg(β3 )-OB×tg(β2 )
从而可得,thus available,
H2为树冠长度。H2 is the crown length.
优选为,还包括S8、判定待测树木是否为竖直生长;Preferably, it also includes S8, judging whether the tree to be tested grows vertically;
如果待测树木为竖直生长,则待测树木整体高度H为真实树高;If the tree to be measured grows vertically, the overall height H of the tree to be measured is the real tree height;
如果待测树木为倾斜生长,则通过待测树木相对于竖直方向的倾角进行数值修正,从而获取真实树高;If the tree to be measured grows obliquely, the true tree height is obtained by numerically correcting the inclination angle of the tree to be measured relative to the vertical direction;
判定待测树木是否为竖直生长,具体为,在所述标志杆L1和标志杆L2上的测量点处设置铅锤,将标志杆L1与标志杆L2的杆身分别与待测树体的中线重合,测量两条铅锤线与标志杆L1和标志杆L2之间的夹角,取两个夹角中的最大值记为β0,β0为树体的倾斜角的度数;Determine whether the tree to be measured grows vertically, specifically, set a plumb bob at the measuring point on the signpost L1 and the signpost L2, and connect the shafts of the signpost L1 and the signpost L2 to the body of the tree to be measured respectively. When the center line coincides, measure the angle between the two plumb lines and the marker pole L1 and the marker pole L2, take the maximum value of the two angles and record it as β0 , and β0 is the degree of the inclination angle of the tree body;
如果β0=0,则树体为竖直生长,待测树木整体高度为真实树木高度;If β0 =0, then the tree grows vertically, and the overall height of the tree to be measured is the real height of the tree;
如果β0≠0,则树体为倾斜生长。If β0 ≠0, the tree grows obliquely.
优选为,当S8中,判定待测树木为倾斜生长时,对于真实树高值的修正方法为,Preferably, when in S8, it is determined that the tree to be measured grows obliquely, the correction method for the real tree height value is,
获取观测点B和树基点D之间的距离,使用下式,To obtain the distance between observation point B and tree base point D, use the following formula,
其中,BD为观测点B和树基点D之间的距离;Among them, BD is the distance between observation point B and tree base point D;
在△ABD中,In ΔABD,
∠ABD=∠OBA-∠OBD=β3-β1∠ABD=∠OBA-∠OBD=β3 -β1
∠DBP=∠OBP-∠OPD=β2-β1∠DBP=∠OBP-∠OPD=β2 -β1
∠BAD=90°-∠OBA+β0=90°-β3+β0∠BAD=90°-∠OBA+β0 =90°-β3 +β0
存在关系,exist relationship,
其中,H′为树木倾斜时的树体高度;Wherein, H' is the height of the tree when the tree is tilted;
H′1为树木倾斜时的树干长度;H′1 is the trunk length when the tree is inclined;
H′2为树木倾斜时的树冠长度。H′2 is the crown length of the tree when it is inclined.
本发明实施例提供的技术方案带来的有益效果是:本方案可以结合待测树木,在其附近可以观测到的范围内根据地形情况任选两点作为观测点和参考点,通过简单的距离和角度测量,便可获取的树木的整体高度及树干部分和树冠部分的长度。本方案进行实施时,对测量设备没有过高需求,可以借助现有的简单设备,如激光测距仪、电子数显量角器等进行实施,从而在设备的操作难度上和设备成本上也均有所降低。The beneficial effects brought by the technical solution provided by the embodiments of the present invention are: this solution can combine the trees to be measured, and select two points as observation points and reference points according to the topographical conditions within the range that can be observed near it, through a simple distance And angle measurement, you can get the overall height of the tree and the length of the trunk part and crown part. When this scheme is implemented, there is no high demand for measuring equipment, and it can be implemented with the help of existing simple equipment, such as laser rangefinders, electronic digital display protractors, etc., so that there are also advantages in terms of equipment operation difficulty and equipment cost. lowered.
本方案测量过程中无视测量者与待测目标树间的地形条件,尤其是在不可通达的地形条件下,本方案的优势更明显,另外本方案的测量精度取决于观测点和参考点间的距离和几个角度的测量精度,在现有的技术水平下这几个边角的测量简单易行,精度可控,因此更容易获得高精度的测量结果。In the measurement process of this scheme, the terrain conditions between the measurer and the target tree to be measured are ignored, especially in the inaccessible terrain conditions, the advantages of this scheme are more obvious. In addition, the measurement accuracy of this scheme depends on the distance between the observation point and the reference point. The measurement accuracy of distance and several angles. Under the existing technical level, the measurement of these corners is simple and easy, and the accuracy is controllable, so it is easier to obtain high-precision measurement results.
附图说明Description of drawings
图1为本发明实施例1的测量原理示意图。FIG. 1 is a schematic diagram of the measurement principle of
图2为本发明实施例3的测量原理示意图。Fig. 2 is a schematic diagram of the measurement principle of Embodiment 3 of the present invention.
图3为本发明实施例4的测量装置结构图。Fig. 3 is a structural diagram of a measuring device according to
图4为图3的A局部放大图。FIG. 4 is a partially enlarged view of A in FIG. 3 .
图5为图3的B局部放大图。FIG. 5 is a partial enlarged view of B in FIG. 3 .
图6为图3的C局部放大图。FIG. 6 is a partially enlarged view of C in FIG. 3 .
图7为图6的A局部放大图。FIG. 7 is a partially enlarged view of A in FIG. 6 .
图8为本发明实施例9的垫块结构示意图。Fig. 8 is a schematic diagram of the structure of the block according to Embodiment 9 of the present invention.
1、底座;11、基板;12、插杆;13、连接筒;2、支撑组件;21、主支杆;22、限位板;23、主托板;24、转台;241、转动块;242、承载台;25、定位管;251、紧固螺栓;252、圆形水准泡;26、大观察槽;27、调节环;3、大测角器;31、定边尺;32、动边尺;33、锁紧旋钮;34、瞄具;35、把手;351、水准泡;4、小测角器;41、安装架;42、铅锤转轴;43、铅锤;44、小角度尺;441、小定边尺;442、小动边尺;443、小观察槽;44、转杆;5、垫块;51、敲击块。1. Base; 11. Base plate; 12. Inserting rod; 13. Connecting cylinder; 2. Support component; 21. Main pole; 22. Limiting plate; 23. Main supporting plate; 24. Turntable; 242, bearing platform; 25, positioning tube; 251, fastening bolt; 252, circular vial; 26, large observation tank; 27, adjustment ring; 3, large goniometer; 31, fixed edge ruler; 32, dynamic Side ruler; 33, locking knob; 34, sight; 35, handle; 351, level bubble; 4, small goniometer; 41, mounting frame; 42, plumb shaft; 43, plumb weight; 441, small fixed side chi; 442, small moving side chi; 443, small observation slot; 44, rotating rod; 5, cushion block; 51, knocking block.
具体实施方式Detailed ways
为了使本发明的目的、技术方案及优点更加清楚明白,以下结合附图及实施例,对本发明进行进一步详细说明。当然,此处所描述的具体实施例仅用以解释本发明,并不用于限定本发明。In order to make the object, technical solution and advantages of the present invention clearer, the present invention will be further described in detail below in conjunction with the accompanying drawings and embodiments. Of course, the specific embodiments described here are only used to explain the present invention, not to limit the present invention.
需要说明的是,在不冲突的情况下,本发明创造中的实施例及实施例中的特征可以相互组合。It should be noted that, in the case of no conflict, the embodiments of the present invention and the features in the embodiments can be combined with each other.
在本发明创造的描述中,需要理解的是,术语“中心”、“纵向”、“横向”、“上”、“下”、“前”、“后”、“左”、“右”、“竖直”、“水平”、“顶”、“底”、“内”、“外”等指示的方位或位置关系为基于附图所示的方位或位置关系,仅是为了便于描述本发明创造和简化描述,而不是指示或暗示所指的装置或元件必须具有特定的方位、以特定的方位构造和操作,因此不能理解为对本发明创造的限制。此外,术语“第一”、“第二”等仅用于描述目的,而不能理解为指示或暗示相对重要性或者隐含指明所指示的技术特征的数量。由此,限定有“第一”、“第二”等的特征可以明示或者隐含地包括一个或者更多个该特征。在本发明创造的描述中,除非另有说明,“多个”的含义是两个或两个以上。In describing the present invention, it should be understood that the terms "center", "longitudinal", "transverse", "upper", "lower", "front", "rear", "left", "right", The orientations or positional relationships indicated by "vertical", "horizontal", "top", "bottom", "inner", "outer", etc. are based on the orientation or positional relationship shown in the drawings, and are only for the convenience of describing the present invention Creation and simplification of description, rather than indicating or implying that the device or element referred to must have a specific orientation, be constructed and operate in a specific orientation, and therefore should not be construed as limiting the invention. In addition, the terms "first", "second", etc. are used for descriptive purposes only, and should not be understood as indicating or implying relative importance or implicitly specifying the quantity of the indicated technical features. Thus, a feature defined as "first", "second", etc. may expressly or implicitly include one or more of that feature. In the description of the present invention, unless otherwise specified, "plurality" means two or more.
在本发明创造的描述中,需要说明的是,除非另有明确的规定和限定,术语“安装”、“相连”、“连接”、“设置”应做广义理解,例如,可以是固定连接,也可以是可拆卸连接,或一体地连接;可以是机械连接,也可以是电连接;可以是直接相连,也可以通过中间媒介间接相连,可以是两个元件内部的连通。对于本领域的普通技术人员而言,可以通过具体情况理解上述术语在本发明创造中的具体含义。In the description of the present invention, it should be noted that unless otherwise specified and limited, the terms "installation", "connection", "connection" and "setting" should be understood in a broad sense, for example, it can be a fixed connection, It can also be a detachable connection or an integral connection; it can be a mechanical connection or an electrical connection; it can be a direct connection or an indirect connection through an intermediary, and it can be the internal communication of two components. Those of ordinary skill in the art can understand the specific meanings of the above terms in the present invention based on specific situations.
实施例1Example 1
参见图1,本发明提供一种任意地形条件下树高树干长冠长高精度测量方法,包括步骤,Referring to Fig. 1, the present invention provides a high-precision measurement method for tree height, trunk, crown, and length under any terrain condition, comprising steps,
S1、在测量环境中选取两个不同位置的点,其中一个为观测点B,另一个为参考点C;观测点B和参考点C的选取条件为,观测点和参考点可分别无障碍的观察到与待测树木顶点A及树基点D,也就是树尖位置及树干和地面接触的位置;S1. Select two points in different positions in the measurement environment, one of which is observation point B and the other is reference point C; the selection conditions for observation point B and reference point C are that the observation point and reference point can be barrier-free respectively Observing the vertex A of the tree to be measured and the base point D of the tree, that is, the position of the tip of the tree and the position where the trunk contacts the ground;
S2、测量观测点B和参考点C之间的间距a,间距a的测量可选用激光测距仪;S2. Measure the distance a between the observation point B and the reference point C, and a laser range finder can be used for the measurement of the distance a;
测量观测点B和参考点C之间的间距a,具体为,在所述观测点B和参考点C处分别竖直设立标志杆L1和标志杆L2,在所述标志杆L1和标志杆L2的杆体上分别选取一个测量点,测量标志杆L1和标志杆L2的两个杆间距测量点之间的距离,从而获得观测点B和参考C之间的间距a;Measuring the distance a between the observation point B and the reference point C, specifically, erecting a marker pole L1 and a marker pole L2 vertically at the observation point B and the reference point C respectively, Select a measurement point on the body of the pole respectively, and measure the distance between the two pole spacing measurement points of the marker pole L1 and the marker pole L2, so as to obtain the distance a between the observation point B and the reference C;
所述测量点的选取方法为,将标志杆L1和标志杆L2竖直设置在观测位置的地面上,以标志杆L1和标志杆L2所在地面为起点,以相同的高度分别在所述标志杆L1和标志杆L2的选取一个点作为所述测量点。即标志杆L1和标志杆L2上的测量点与其对应标志杆所在地面地表的垂直距离相等。此处的高度数值可选为测量点距离地面1.5米处。The method of selecting the measurement point is to set the signpost L1 and the signpost L2 vertically on the ground at the observation position, take the ground where the signpost L1 and the signpost L2 are located as the starting point, and place the signposts at the same height respectively. A point is selected between L1 and the sign post L2 as the measurement point. That is, the vertical distances between the measurement points on the marker pole L1 and the marker pole L2 and the ground surface where the corresponding marker poles are located are equal. The height value here can be selected as the measurement point is 1.5 meters away from the ground.
S3、将参考点C在观测点B所在水平面上的竖直投影记为参考投影点E,测量参考点C相对于观测点B在水平线上的倾角∠CBE的度数β,得出观测点B和参考投影点E的间距;S3. Record the vertical projection of the reference point C on the horizontal plane where the observation point B is located as the reference projection point E, measure the degree β of the inclination angle ∠CBE of the reference point C relative to the observation point B on the horizontal line, and obtain the observation point B and The distance between reference projection points E;
测量参考点C相对于观测点B在水平线上的倾角∠CBE的度数β,具体为,以所述标志杆L1和标志杆L2上的所述测量点为观测点;Measuring the degree β of the inclination angle ∠CBE of the reference point C relative to the observation point B on the horizontal line, specifically, taking the measurement points on the marker pole L1 and the marker pole L2 as observation points;
以两个所述测量点的连线,及所述标志杆L1的测量点朝向标志杆L2的水平线形成夹角为倾角∠CBE,从而获得参考点C相对于观测点B在水平线上的倾角∠CBE的度数β。The angle between the line connecting the two measurement points and the horizontal line formed by the measurement point of the marker pole L1 towards the marker pole L2 is the inclination angle ∠CBE, so as to obtain the inclination angle ∠CBE of the reference point C relative to the observation point B on the horizontal line Degree β of CBE.
得出观测点B和参考投影点E的间距,具体为,根据获取的倾角∠CBE,采用下式进行,The distance between the observation point B and the reference projection point E is obtained, specifically, according to the acquired inclination angle ∠CBE, the following formula is used,
BE=BC×cos(∠CBE)=a×cos(β)BE=BC×cos(∠CBE)=a×cos(β)
其中,BE为观测点B和参考投影点E之间的间距。Among them, BE is the distance between the observation point B and the reference projection point E.
S4、将树基点D位于观测点B所在水平面的竖直投影点记为树投影点O,通过标志杆L1、标志杆L2及待测树木的位置,确定出∠BOE的度数,从而得出树投影点O与观测点B之间的间距;S4. The vertical projection point of the tree base point D on the horizontal plane where the observation point B is located is recorded as the tree projection point O, and the degree of ∠BOE is determined through the marker pole L1, the marker pole L2 and the position of the tree to be measured, so as to obtain the tree The distance between the projection point O and the observation point B;
确定出∠BOE的度数,具体为,以标志杆L1、标志杆L2的轴线,及贯穿所述树基点D的竖直线为测量参考,从而测量获得在观测点B所在的水平面上,树投影点O、观测点B和参考投影点E形成夹角∠OBE的度数α1,测量夹角∠OEB的度数α2,则可得出,在△OBE中,Determine the degree of ∠BOE, specifically, take the axis of the marker pole L1, the marker pole L2, and the vertical line passing through the tree base point D as the measurement reference, so as to obtain the tree projection on the horizontal plane where the observation point B is located. The degree α1 of the angle ∠OBE formed by the point O, the observation point B and the reference projection point E, and the degree α2 of the angle ∠OEB are measured, then it can be concluded that in △OBE,
∠BOE=180°-∠OBE-∠OEB∠BOE=180°-∠OBE-∠OEB
即Right now
∠BOE=180°-α1-α2∠BOE=180°-α1 -α2
∠BOE为观测点B、树投影点O和参考投影点E在观测点B所在水平面上形成的夹角,度数记为α3。∠BOE is the angle formed by observation point B, tree projection point O and reference projection point E on the horizontal plane where observation point B is located, and the degree is recorded as α3 .
确定树投影点O与观测点B之间的间距,具体为,Determine the spacing between tree projection point O and observation point B, specifically,
在△OBE中,利用面积公式,推导出边角关系如下,In △OBE, using the area formula, the corner relationship is deduced as follows,
于是可得OB的长,So the length of OB can be obtained,
OB为树投影点O与观测点B之间的间距。OB is the distance between tree projection point O and observation point B.
S5、测量树基点D相对于观测点B的倾角∠OBD的度数β1,根据S4得到树投影点O和观测点B的间距,从而得到树投影点O和树基点D的间距;S5. Measure the degree β1 of the inclination angle ∠OBD of the tree base point D relative to the observation point B, and obtain the distance between the tree projection point O and the observation point B according to S4, thereby obtaining the distance between the tree projection point O and the tree base point D;
树投影点O到树基点D的距离获取,具体为,在直角三角形△OBD中,根据下式,The distance from the tree projection point O to the tree base point D is obtained, specifically, in the right triangle △OBD, according to the following formula,
OD=OB×tg(∠OBD)=OB×tg(β1)OD=OB×tg(∠OBD)=OB×tg(β1 )
OD为树投影点O至树基点D之间的距离。OD is the distance between the tree projection point O and the tree base point D.
S6、选定树干上的第一分枝点P,测量第一分枝点P相对于观测点B的倾角∠OBP度数β2;从而获得树投影点O和第一分枝点P的间距;S6. Select the first branch point P on the trunk, measure the inclination angle ∠OBP degree β2 of the first branch point P relative to the observation point B; thereby obtain the distance between the tree projection point O and the first branch point P;
树投影点O和第一分枝点P间距计算方法为,使用公式,The calculation method for the distance between the tree projection point O and the first branch point P is, using the formula,
OP=OB×tg(∠OBP)=OB×tg(β2)OP=OB×tg(∠OBP)=OB×tg(β2 )
OP为树投影点O到第一分枝点P的距离。OP is the distance from the tree projection point O to the first branch point P.
S7、测量顶点A相对于观测点B的倾角∠OBA的度数β3,从而获得树投影点O和顶点A的间距,进而获得待测树体高度数值。S7. Measure the degree β3 of the inclination angle ∠OBA of the vertex A relative to the observation point B, so as to obtain the distance between the tree projection point O and the vertex A, and then obtain the value of the tree height to be measured.
树投影点O和顶点A间距的计算方法为,使用公式,The calculation method for the distance between the tree projection point O and the vertex A is, using the formula,
OA=OB×tg(∠OBA)=OB×tg(β3)OA=OB×tg(∠OBA)=OB×tg(β3 )
OA为树投影点到顶点A的距离。OA is the distance from the tree projection point to vertex A.
其中,β1为∠OBD的度数,β2为∠OBP的度数,β3为∠OBA的度数,β1、β2、β3可以分别通过测量器具直接测量获得。Wherein, β1 is the degree of ∠OBD, β2 is the degree of ∠OBP, β3 is the degree of ∠OBA, β1 , β2 , and β3 can be directly measured by measuring instruments respectively.
待测树体高度数值包括树整体高度、树干长度及树冠长度;树整体高度为,H=AD=OA-OD=OB×tg(β3)-OB×tg(β1)=OB×(tg(β3)-tg(β1))The value of the tree height to be measured includes the overall height of the tree, the length of the trunk and the length of the crown; the overall height of the tree is, H=AD=OA-OD=OB×tg(β3 )-OB×tg(β1 )=OB×(tg (β3 )-tg(β1 ))
从而可得,thus available,
H为待测树木整体高度;H is the overall height of the tree to be measured;
树干长度为,The trunk length is,
H1=DP=OP-OD=OB×tg(β2)-OB×tg(β1)H1 =DP=OP-OD=OB×tg(β2 )-OB×tg(β1 )
从而可得,thus available,
H1为树干长度;H1 is the trunk length;
树冠长度为,The canopy length is,
H2=AP=OA-OP=OB×tg(β3)-OB×tg(β2)H2 =AP=OA-OP=OB×tg(β3 )-OB×tg(β2 )
从而可得,thus available,
H2为树冠长度。H2 is the crown length.
实施例2Example 2
在实施例1的基础上,倾角∠CBE的度数β,和倾角∠OBD的度数β1,在实际测量时主要可分为以下三种情况。On the basis of
(1)当β≠0,β1≠0时,即为复杂地形条件下坡面测树,根据上述公式进行测量和计算可以分别获取到待测树木整体高度H,树干长度H1及树冠长度H2。(1) When β ≠ 0, β1 ≠ 0, it is the slope tree measurement under complex terrain conditions. According to the above formula for measurement and calculation, the overall height H, trunk length H1 and crown length of the tree to be measured can be obtained respectively.H2 .
(2)当β=0,β1≠0,即观测点B和参考点C在同一水平面,而树木在坡面上,此时坡面树高、树干高、树冠冠长的测量计算公式变为:(2) When β=0, β1 ≠0, that is, the observation point B and the reference point C are on the same horizontal plane, and the trees are on the slope, at this time, the measurement and calculation formulas of tree height, trunk height, and crown length on the slope become for:
待测树木整体高度:The overall height of the tree to be measured:
树干长度:Trunk Length:
树冠长度:Canopy Length:
该三式分别为观测点B和参考点C在同一水平面,而树木在坡面上的树高、树干高、树冠冠长的测量计算公式。The three formulas are respectively the calculation formulas for the measurement and calculation of the tree height, trunk height and crown length of the trees on the slope when the observation point B and the reference point C are on the same horizontal plane.
(3)当β=0,β1=0,即为观测点B和参考点C在同一水平面上,此时为平地上的树木测量,此时的树高、树干长、树冠长的测量计算公式为:(3) When β=0, β1 =0, it means that the observation point B and the reference point C are on the same horizontal plane, at this time, it is the measurement of trees on the flat ground, and the measurement and calculation of tree height, trunk length and crown length at this time The formula is:
待测树木整体高度:The overall height of the tree to be measured:
树干长度:Trunk Length:
树冠长度:Canopy Length:
该三式即为平地条件下竖直生长的树高、树干高、树冠长的测量计算公式。The three formulas are the measurement and calculation formulas for vertically growing tree height, trunk height, and crown length under flat ground conditions.
实施例3Example 3
在实施例1的基础上,本方案步骤还包括S8、判定待测树木是否为竖直生长;On the basis of
参见图2,A1D为竖直贯穿树基点D的直线;A1、P1分别为A点、P点在线A1D上的垂线垂足,即在线A1D上的水平投影点;O1、O2分别为P点和A点在水平面OEB上的竖直投影点;∠ADA1为树体的倾斜角,度数为β0。Referring to Fig. 2, A1 D is a straight line vertically passing through the tree base point D; A1 and P1 are respectively the vertical feet of points A and P on the line A1 D, that is, the horizontal projection point on the line A1 D ; O1 , O2 are the vertical projection points of point P and point A on the horizontal plane OEB respectively; ∠ADA1 is the inclination angle of the tree, and its degree is β0 .
如果待测树木为竖直生长,则待测树木整体高度H为真实树高;If the tree to be measured grows vertically, the overall height H of the tree to be measured is the real tree height;
如果待测树木为倾斜生长,则通过待测树木相对于竖直方向的倾角进行数值修正,从而获取真实树高;If the tree to be measured grows obliquely, the true tree height is obtained by numerically correcting the inclination angle of the tree to be measured relative to the vertical direction;
判定待测树木是否为竖直生长,具体为,在所述标志杆L1和标志杆L2上的测量点处设置铅锤,将标志杆L1与标志杆L2的杆身分别与待测树体的中线重合,测量两条铅锤线与标志杆L1和标志杆L2之间的夹角,取两个夹角中的最大值记为β0,β0为树体的倾斜角的度数;Determine whether the tree to be measured grows vertically, specifically, set a plumb bob at the measuring point on the signpost L1 and the signpost L2, and connect the shafts of the signpost L1 and the signpost L2 to the body of the tree to be measured respectively. When the center line coincides, measure the angle between the two plumb lines and the marker pole L1 and the marker pole L2, take the maximum value of the two angles and record it as β0 , and β0 is the degree of the inclination angle of the tree body;
如果β0=0,则树体为竖直生长,待测树木整体高度为真实树木高度;If β0 =0, then the tree grows vertically, and the overall height of the tree to be measured is the real height of the tree;
如果β0≠0,则树体为倾斜生长。If β0 ≠0, the tree grows obliquely.
当判定待测树木为倾斜生长时,对于真实树高值的修正方法为,When it is judged that the tree to be measured grows obliquely, the correction method for the real tree height value is,
获取观测点B和树基点D之间的距离,使用下式,To obtain the distance between observation point B and tree base point D, use the following formula,
其中,BD为观测点B和树基点D之间的距离;Among them, BD is the distance between observation point B and tree base point D;
在△ABD中,In ΔABD,
∠ABD=∠OBA-∠OBD=β3-β1∠ABD=∠OBA-∠OBD=β3 -β1
∠DBP=∠OBP-∠OPD=β2-β1∠DBP=∠OBP-∠OPD=β2 -β1
∠BAD=90°-∠OBA+β0=90°-β3+β0∠BAD=90°-∠OBA+β0 =90°-β3 +β0
存在关系,exist relationship,
其中,H′为树木倾斜时的树体高度;Wherein, H' is the height of the tree when the tree is tilted;
H′1为树木倾斜时的树干长度;H′1 is the trunk length when the tree is inclined;
H′2为树木倾斜时的树冠长度。H′2 is the crown length of the tree when it is inclined.
实施例4Example 4
参见图3至图7,结合本方案方法,本方案提出一种任意地形条件下树高测量装置,装置本身包括从下至上依次设置的底座1、支撑组件2及大测角器3;Referring to Fig. 3 to Fig. 7, in combination with the method of this scheme, this scheme proposes a tree height measurement device under any terrain condition, and the device itself includes a
所述大测角器3包括角度测量尺,角度测量尺包括定边尺31与动边尺32,定边尺31和动边尺32的一端通过转轴转动连接,连接处设置有锁紧旋钮33,定边尺31和动边尺32的尺体一侧均设置有用于远距离瞄准定位的瞄具34。The large goniometer 3 includes an angle measuring ruler, and the angle measuring ruler includes a fixed
角度测量尺选用数显角度测量尺,定边尺31的尺体上设置有显示屏,数显角度测量尺为现有技术,在此不再赘述。Angle measuring ruler selects digital display angle measuring ruler for use, and the scale body of fixed
所述底座1包括基板11,基板11下侧面中部竖直固定设置有插杆12,所述插杆12底端为尖端,所述基板11上侧面设置连接筒13,连接筒13下端与所述基板11球铰连接;连接筒13内部中空,且内壁设置有内螺纹;The
所述支撑组件2包括主支杆21,主支杆21底端与所述连接筒13螺纹连接,所述主支杆21底端设置外螺纹,设置有外螺纹的螺纹部上侧设置有限位板22;所述主支杆21顶端固定设置主托板23,主托板23上表面设置转台24,所述转台24包括位于底部的转动块241,所述转动块241下侧面与所述主托板23上表面转动连接,所述转动块241上部铰接承载台242;The
所述承载台242包括与所述转动块241上部铰接的支杆,支杆顶端固定设置台板,所述台板与所述定边尺31及动边尺32的转轴同轴转动连接。The carrying
支杆和转动块22的铰接处设置有锁紧螺栓。A locking bolt is provided at the hinge of the pole and the
转台24为万向转动结构,在森林计测工作中,因为树木的生长可能存在多种情况,而需要量取的角度从竖直到水平方向均可能涉及,所以采用转台2便于对工具本体3的控制使用。The
定边尺31与动边尺32连接的一端外侧连接把手35。把手35连接于工具本体3的一侧,更加便于工作人员对工具本体3进行操作。A
所述把手35上设置有长条状的水准泡351。The
所述主支杆21的杆体上套设定位管25,定位管25与主支杆21滑动连接,所述定位管25的管壁上开设有螺纹孔,螺纹连接紧固螺栓251,定位管25管壁外侧固定设置有圆形水准泡252。The rod body of the
定位管25的管壁外侧还设置有用于测量树木倾斜生长角度的小测角器4,所述小测角器4包括安装架41,安装架41与定位管25外壁固定连接,安装架41上设置铅锤转轴42,所述铅锤转轴42的轴线与所述主支杆21的轴线方向垂直;铅锤转轴42的轴杆上开设贯通孔,贯通孔方向为轴杆截面的直径方向,铅锤43的挂绳上端穿过该贯通孔,且铅锤43挂绳的顶端打结;The outside of the pipe wall of the
铅锤转轴42的轴杆端部同轴转动设置转杆44,转杆44上开设有通槽,通槽内滑动连接小角度尺44;The end of the shaft rod of the plumb
小角度尺44同样为数显角度测量尺,小角度尺44包括小定边尺441及小动边尺442,小定边尺441贯穿所述通槽,且通过通槽与所述铅锤转轴42滑动连接,小动边尺442为折叠尺体,两段尺体的连接处铰接;小定边尺441的尺体上开设有小观察槽443。The
如果树木倾斜生长,结合本方案的测量方法,将主支杆21倾斜,令其与树木中线对齐,转动定位管25,令小测角器4位于主支杆21相对于水平线小角度一侧,等铅锤43处于竖直静止状态后,转动转杆44,通过小观察槽443观察,令小定边尺441和铅锤43的挂绳位于同一直线上,然后滑动小定边尺441,调节小动边尺442的角度,令其与主支杆21的轴线平行。如果在拉动小定边尺441后,小动边尺442和主支杆21的间距仍然过大,可以将小动边尺442折叠,通过折叠来增加小动边尺442的宽度,令其更容易贴近主支杆21的外壁。通过读取小定边尺441上的显示屏,便可读出树木倾斜角度,也就是β0。If the tree grows obliquely, in combination with the measurement method of this program, the
本装置采用独脚架式的支立形式,结合本方案提供测量方法,在测量时可以更灵活的调整主支杆21的方向,因为有很大部分情况树木是倾斜生长的,因此,在需要将主支杆21倾斜然后观察树木倾斜角度时,本装置的结构更加方便使用。This device adopts a monopod-type support form, combined with this program to provide a measurement method, the direction of the
实施例5Example 5
在实施例4的基础上,每个瞄具34均包括两个准星,两个准星之间留有间距。On the basis of
每个瞄具34设置两个准星,能够把视线观测的方向位置固定住,不至于随观测者视线的变动而发生变化,从而确保视线和瞄准星所附着的尺子之间保持平行线,能保证视线观测出来的角度和量角器测量出来的角度大小相等。Each
定边尺31与动边尺32连接的一端外侧固定连接把手35。把手35连接于工具本体3的一侧,更加便于工作人员对工具本体3进行操作。A
两个瞄具34的准星相同,定边尺31和动边尺32上的瞄具34高度要一致,才能保证瞄具视线观测到的角度和出的角度和角度测量尺测量出的角度大小一致。在实际设计制造时,每个瞄具34的两个准星之间间距无需过大,可以降低制造难度。采用这一形式的瞄具34无需额外供电,对于野外计测作业环境适用性极高。The front sights of the two
瞄具34也可以选用红光激光发射类瞄具,结合视镜观察激光打到树木上的红色标记来配合定边尺31和动边尺32的使用。The
进行角度测量时,结合瞄具34分别确定定边尺31和动边尺32的朝向角度,根据定边尺31上的显示屏进行角度读数即可。When performing angle measurement, the orientation angles of the fixed
实施例6Example 6
在实施例4或5的基础上,所述主支杆21的杆体上开设有径向贯通杆体的大观察槽26,大观察槽26沿主支杆21的轴线开设。当需要观测树木是否倾斜时,令主支杆21倾斜,使其与树木中线对齐,通过大观察槽26观察被测树木,确保主支杆21和树木中线是否基本对齐。On the basis of
实施例7Example 7
在实施例6的基础上,所述大观察槽26内设置透镜,所述透镜整体为矩形条状,透镜朝向主支杆21径向两侧均为内凹的弧形面,两个弧形面圆心的连线与所述主支杆21的轴线垂直且相交。On the basis of Embodiment 6, a lens is arranged in the
通过透镜的设置,可以扩大透过大观察槽26获取的观察面积,而考虑到测量方法中,需要确保主支杆21和树木倾斜中线对其,采用这一形式的透镜,不会缩小树木的纵向图像,而仅仅是收窄树木的横向宽度,因此可以更容易的观察树木在大观察槽26内是否居中。Through the setting of the lens, the observation area obtained through the
实施例8Example 8
在实施例6的基础上,所述大观察槽26的两侧设置弹性的透明膜,大观察槽26内填充透明液体,大观察槽26上方的主支杆21杆体内部开设空腔,空腔内设置活塞,活塞在空腔内沿主支杆21轴向滑动运动,且不转动,空腔和大观察槽26内部空间连通;On the basis of embodiment 6, elastic transparent films are arranged on both sides of the
活塞上侧固定连接活塞杆,活塞杆为丝杆,所述主支杆21上转动设置调节环27,调节环27与所述活塞杆螺纹连接。The upper side of the piston is fixedly connected to the piston rod, and the piston rod is a screw rod. An
通过这一结构,当调节环27驱动活塞杆下移时,大观察槽26两侧的透明膜向外突出,此时大观察槽26呈凸透镜状态,反之,活塞杆上移时,透明膜内凹,大观察26呈凹透镜状态。根据实际使用观测过程中与树木的距离,可以调节大观察槽26的状态,便于更好的进行观测树木影像在大观察槽26内的状态,确保主支杆21与树木中线对齐,从而提高最终的测量精度。Through this structure, when the
实施例9Example 9
参见图8,在实施例4至实施例8任一的基础上,本装置还包括垫块5。Referring to FIG. 8 , on the basis of any one of
所述基板11上开设四个定位孔,垫块5上部为敲击块51,敲击块51上侧面开设有碟形凹槽,敲击块下侧面固定连接四根立柱,立柱底端固定设置销杆,销杆与定位孔对应。使用时,首先将底座1摆放在要设置的位置,然后将垫块51插设在基板11上,之后用重物敲击垫块,直至插杆12插入地表之后,取下垫块5,支撑组件2等即可完成装置架设。因为考虑到使用环境中可能存在不容易架设底座1的环境,通过垫块5,可以大力敲击,而避免装置其它部分组件损坏。Four positioning holes are provided on the
以上所述仅为本发明的较佳实施例,并不用以限制本发明,凡在本发明的精神和原则之内,所作的任何修改、等同替换、改进等,均应包含在本发明的保护范围之内。The above descriptions are only preferred embodiments of the present invention, and are not intended to limit the present invention. Any modifications, equivalent replacements, improvements, etc. made within the spirit and principles of the present invention shall be included in the protection of the present invention. within range.
| Application Number | Priority Date | Filing Date | Title |
|---|---|---|---|
| CN202110937389.2ACN113587896B (en) | 2021-08-16 | 2021-08-16 | A high-precision measurement method for tree height, trunk and crown length under arbitrary terrain conditions |
| Application Number | Priority Date | Filing Date | Title |
|---|---|---|---|
| CN202110937389.2ACN113587896B (en) | 2021-08-16 | 2021-08-16 | A high-precision measurement method for tree height, trunk and crown length under arbitrary terrain conditions |
| Publication Number | Publication Date |
|---|---|
| CN113587896A CN113587896A (en) | 2021-11-02 |
| CN113587896Btrue CN113587896B (en) | 2023-06-20 |
| Application Number | Title | Priority Date | Filing Date |
|---|---|---|---|
| CN202110937389.2AExpired - Fee RelatedCN113587896B (en) | 2021-08-16 | 2021-08-16 | A high-precision measurement method for tree height, trunk and crown length under arbitrary terrain conditions |
| Country | Link |
|---|---|
| CN (1) | CN113587896B (en) |
| Publication number | Priority date | Publication date | Assignee | Title |
|---|---|---|---|---|
| CN116152256A (en)* | 2023-04-21 | 2023-05-23 | 长沙能川信息科技有限公司 | Tree growth simulation method, device, equipment and storage medium |
| Publication number | Priority date | Publication date | Assignee | Title |
|---|---|---|---|---|
| CH148800A (en)* | 1929-12-04 | 1931-08-15 | Joos Johann | Field meter. |
| ES8501116A1 (en)* | 1984-02-25 | 1984-12-01 | Merino Lopez Jose A | System of direct measurement of heights of trees in foot (Machine-translation by Google Translate, not legally binding) |
| CN108020201A (en)* | 2017-03-13 | 2018-05-11 | 湖南科技大学 | It is a kind of that there is the spirit level and its application method of high precision instrument high measurement |
| CN211696304U (en)* | 2020-05-18 | 2020-10-16 | 于子娟 | Forestry tree height monitoring equipment and measuring mechanism and fixed stabilizer blade thereof |
| CN212902984U (en)* | 2020-07-03 | 2021-04-06 | 林远辉 | Forestry is with device of measuring trees breast-height diameter |
| Publication number | Priority date | Publication date | Assignee | Title |
|---|---|---|---|---|
| CN101539425A (en)* | 2009-01-08 | 2009-09-23 | 中南林业科技大学 | Method for measuring height and distance of section with difficult strike |
| CN102183236A (en)* | 2011-01-22 | 2011-09-14 | 旷天水 | Device for measuring height of tree |
| RU2012119577A (en)* | 2012-05-11 | 2013-11-20 | Федеральное государственное бюджетное образовательное учреждение высшего профессионального образования Марийский государственный технический университет | METHOD FOR MEASURING TREE HEIGHT USING A RULE |
| CN104089609A (en)* | 2014-07-11 | 2014-10-08 | 北京林业大学 | Method for measuring crown height and crown breadth of stumpage |
| CN105136107B (en)* | 2015-07-07 | 2018-06-08 | 旷天水 | The measuring method and measuring system of a kind of target location, tree height and diameter |
| CN106643546B (en)* | 2016-10-31 | 2019-04-12 | 南京林业大学 | The three-dimensional green biomass measurement method of single wood based on mobile two dimensional laser scanning |
| CN209117002U (en)* | 2018-11-30 | 2019-07-16 | 刘彦君 | A kind of novel high device of measurement tree |
| CN111307046B (en)* | 2020-02-17 | 2021-06-01 | 东北林业大学 | Tree height measuring method based on hemispherical image |
| CN113237467B (en)* | 2021-03-18 | 2025-03-21 | 西北农林科技大学 | Tree crown width measuring device and measuring method |
| Publication number | Priority date | Publication date | Assignee | Title |
|---|---|---|---|---|
| CH148800A (en)* | 1929-12-04 | 1931-08-15 | Joos Johann | Field meter. |
| ES8501116A1 (en)* | 1984-02-25 | 1984-12-01 | Merino Lopez Jose A | System of direct measurement of heights of trees in foot (Machine-translation by Google Translate, not legally binding) |
| CN108020201A (en)* | 2017-03-13 | 2018-05-11 | 湖南科技大学 | It is a kind of that there is the spirit level and its application method of high precision instrument high measurement |
| CN211696304U (en)* | 2020-05-18 | 2020-10-16 | 于子娟 | Forestry tree height monitoring equipment and measuring mechanism and fixed stabilizer blade thereof |
| CN212902984U (en)* | 2020-07-03 | 2021-04-06 | 林远辉 | Forestry is with device of measuring trees breast-height diameter |
| Publication number | Publication date |
|---|---|
| CN113587896A (en) | 2021-11-02 |
| Publication | Publication Date | Title |
|---|---|---|
| CN104541129B (en) | Inclination sensor | |
| US7987605B2 (en) | Reflector target tripod for survey system with light emitter and pivoting bracket for enhanced ground marking accuracy | |
| CN205317206U (en) | Multifunctional measuring engineering instrument | |
| CN108981754A (en) | A kind of method of photoelectric platform and carrier aircraft setting angle zero position | |
| CN108050928A (en) | A kind of vision measurer and a kind of vision measuring method | |
| CN105444733A (en) | Measuring scale and measuring method for automatically-centralized level gauge | |
| CN206192330U (en) | Portable Altimeter | |
| CN105890571A (en) | Integrated rapid level measuring device with ruler and instrument | |
| CN113587896B (en) | A high-precision measurement method for tree height, trunk and crown length under arbitrary terrain conditions | |
| JP6431995B2 (en) | Improved portable prism receiver, improved portable GPS receiver, and surveying method using the same | |
| CN113218375A (en) | Laser mapping method | |
| CN109163700B (en) | Walking type static force level gauge and leveling method | |
| KR101224084B1 (en) | Apparatus of measuring distance with standard position | |
| CN106482743B (en) | A kind of rapid detection method of relative position measurement equipment | |
| CN106705932B (en) | Outdoor comprehensive mapping device for military topography | |
| CN112033357A (en) | Leveling-free polygon prism measuring device and method for triangulation elevation measurement | |
| KR101984507B1 (en) | the improved portable prism receiver and the measurement method using the same | |
| JPS58191917A (en) | Method and device for measuring object by theodolite pair | |
| CN206037990U (en) | Fiber optic gyroscope theodolite is used in survey and drawing | |
| CN212674089U (en) | Total powerstation prism pole straightness quick verifying attachment that hangs down | |
| CN207636083U (en) | Laser plummet | |
| CN206399413U (en) | Construction of Civil Engineering measurement apparatus | |
| CN221802913U (en) | High definition high multiplying power engineering measuring apparatu | |
| ES2347626B1 (en) | SUPPORT OF PORTABLE MULTI-CAMERA PHOTOGRAMETRIC SYSTEM FOR GROUND APPLICATIONS. | |
| CN112066958B (en) | Method and system for positioning structure in cofferdam |
| Date | Code | Title | Description |
|---|---|---|---|
| PB01 | Publication | ||
| PB01 | Publication | ||
| SE01 | Entry into force of request for substantive examination | ||
| SE01 | Entry into force of request for substantive examination | ||
| GR01 | Patent grant | ||
| GR01 | Patent grant | ||
| CF01 | Termination of patent right due to non-payment of annual fee | ||
| CF01 | Termination of patent right due to non-payment of annual fee | Granted publication date:20230620 |