



技术领域technical field
本发明涉及图像分类领域,尤其涉及一种基于域适应的小样本图像分类方法及系统。The invention relates to the field of image classification, in particular to a small sample image classification method and system based on domain adaptation.
背景技术Background technique
在计算机视觉领域,训练目前主流的神经网络模型,往往需要样本数量极为庞大的图像数据集,因为机器学习需要大量的训练数据来拟合目标任务的数据分布,样本数据量不足会显著影响机器学习模型的性能。图像数据集一般包括上万张图像样本,每一个图像类别都包括上百张样本。而在实际应用场景中,一般无法获得数量如此充足的样本数据,于是小样本图像分类问题逐渐成为了一个研究的热点,为了解决这个问题,提出了小样本机器学习方法。In the field of computer vision, training the current mainstream neural network models often requires an extremely large number of image datasets, because machine learning requires a large amount of training data to fit the data distribution of the target task, and insufficient sample data will significantly affect machine learning. performance of the model. Image datasets generally include tens of thousands of image samples, and each image category includes hundreds of samples. In practical application scenarios, it is generally impossible to obtain such sufficient sample data, so the problem of small sample image classification has gradually become a research hotspot. In order to solve this problem, a small sample machine learning method is proposed.
小样本机器学习方法主要目的是解决可供模型训练的样本数据数量极端不足的情况(每类只包括1~5个样本),在这个场景下,通用的神经网络模型和机器学习方法性能极差,而小样本机器学习方法通过使用特殊的神经网络模型和训练思想,能够在这个极端的场景下达到较好的性能,因此这个领域逐渐成为当前研究的主要方向。小样本机器学习方法一般会将可用数据集人为划分为元训练数据集和元测试数据集,并将训练过程分为元训练和元测试阶段。在元训练阶段,使用足够大的带注释的元训练数据集,用来训练方法模型;在元测试阶段,使用包含与元训练数据集不同类别的元测试数据集以评估方法模型学习和分类这些新的类的能力。并且为了模拟实际应用的场景,小样本机器学习方法将元测试集中每个类别取出1~5张图像组成支持集以供方法模型学习,剩余图像组成查询集以测试方法模型分类性能。当前针对小样本机器学习方法的研究主要从模型优化和元学习两个方向进行,模型优化方向即针对小样本机器学习方法使用的神经网络模型进行优化,使其能够适应小样本的场景,例如引入图卷积神经和生成对抗网络作为骨干网络以达到更好的分类效果;元学习方向则是将元学习的思想引入小样本机器学习方法中,在元训练阶段训练一个可迁移的元参数(如梯度,模型初始参数),然后使用这些参数使方法模型在元测试阶段取得更好的分类性能。The main purpose of the small sample machine learning method is to solve the situation that the number of sample data available for model training is extremely insufficient (each type only includes 1 to 5 samples). In this scenario, the performance of general neural network models and machine learning methods is extremely poor. , and small-sample machine learning methods can achieve better performance in this extreme scenario by using special neural network models and training ideas, so this field has gradually become the main direction of current research. Small-shot machine learning methods generally divide the available datasets into meta-training datasets and meta-testing datasets artificially, and divide the training process into meta-training and meta-testing phases. In the meta-training phase, use a sufficiently large annotated meta-training dataset to train the method model; in the meta-test phase, use a meta-test dataset that contains different categories from the meta-training dataset to evaluate the method model learns and classifies these New class capabilities. And in order to simulate the actual application scenario, the small-sample machine learning method takes 1 to 5 images from each category in the meta-test set to form a support set for the method model to learn, and the remaining images form a query set to test the method model's classification performance. The current research on small-sample machine learning methods is mainly carried out in two directions: model optimization and meta-learning. The direction of model optimization is to optimize the neural network model used by small-sample machine learning methods, so that it can adapt to small-sample scenarios, such as introducing The graph convolutional neural network and the generative adversarial network are used as the backbone network to achieve better classification results; the meta-learning direction is to introduce the idea of meta-learning into the small-sample machine learning method, and train a transferable meta-parameter (such as gradient, model initial parameters), and then use these parameters to make the method model achieve better classification performance in the meta-test phase.
在使用上述小样本机器学习方法时,由于小样本机器学习方法基本都包括元训练过程,需要在图像样本数据数量和类别数都足够充足且与元测试数据集高度相似的元训练集上训练方法模型,这样严格的要求使得当前的小样本机器学习方法往往只针对几个专门用于小样本图像分类的图像数据集做实验,而在实际场景中所能获得的数据往往只有几个类别且每类只有几张样本图像,无法划分出元训练集和元测试集,而且无法轻易获得与当前任务数据相似的公开数据集,这就导致关于小样本机器学习方法的研究基本处于理论研究阶段,无法进行实际应用,即目前的小样本机器学习方法无法真正解决计算机视觉领域的小样本问题,故有待改进。When using the above small-sample machine learning methods, since the small-sample machine learning methods basically include the meta-training process, it is necessary to train the method on a meta-training set with sufficient image sample data and categories and highly similar to the meta-test data set Model, such strict requirements make the current small-sample machine learning methods often only perform experiments on a few image datasets specially used for small-sample image classification, while the data that can be obtained in actual scenes are often only a few categories and each There are only a few sample images in the class, it is impossible to divide the meta-training set and meta-test set, and it is impossible to easily obtain public data sets similar to the current task data, which leads to the research on small-sample machine learning methods basically in the theoretical research stage. For practical application, the current small-sample machine learning methods cannot really solve the small-sample problem in the field of computer vision, so it needs to be improved.
发明内容SUMMARY OF THE INVENTION
针对现有技术存在的不足,本发明的目的在于提供一种基于域适应的小样本图像分类方法及系统,在小样本机器学习方法中创造性的使用域适应方法,使得小样本机器学习方法无需再要求严格的元训练集,而是在源域上训练出多个特征提取器,之后在目标域支持集上使用小样本机器学习方法训练得到组合这些特征提取器的最佳权重,从而得到最适合目标域的最终特征提取器,在目标域查询集上测试最终得到最佳的性能。In view of the deficiencies of the prior art, the purpose of the present invention is to provide a small sample image classification method and system based on domain adaptation, and creatively use the domain adaptation method in the small sample machine learning method, so that the small sample machine learning method does not need to be further Requires a strict meta-training set, but trains multiple feature extractors on the source domain, and then uses a small-sample machine learning method on the target domain support set to train to obtain the best weights combining these feature extractors, so as to obtain the most suitable The final feature extractor of the target domain is tested on the target domain query set to obtain the best performance.
为达到上述目的,本发明的技术方案为:For achieving the above object, the technical scheme of the present invention is:
一种基于域适应的小样本图像分类方法,包括以下步骤:A small sample image classification method based on domain adaptation, including the following steps:
构建特征提取器,加载预训练参数初始化模型;Build a feature extractor and load pre-trained parameters to initialize the model;
使用域特征提取模块得到多个特征提取器;Use the domain feature extraction module to obtain multiple feature extractors;
使用权重训练模块得到适合目标数据域的最终特征提取器;Use the weight training module to get the final feature extractor suitable for the target data domain;
使用测试模块得到方法最终性能。Use the test module to get the final performance of the method.
通过采用上述技术方案,基于域适应的小样本图像分类方法依靠域特征提取模块、权重训练模块和预测模块三个模块创造性的在小样本机器学习方法中使用域适应方法,具体地,使用域特征提取模块在得到了在源域上充分训练的插入了域特征提取模块的多个特征提取器之后,由权重训练模块在目标域的支持集上训练组合这些特征提取器的最佳权重,从而得到最适合目标域的最终特征提取器,并由预测模块得到最终的小样本图像分类结果以衡量该基于域适应的小样本图像分类方法的性能。By adopting the above technical solutions, the domain adaptation-based small-sample image classification method creatively uses the domain adaptation method in the small-sample machine learning method by relying on the domain feature extraction module, the weight training module and the prediction module. After the extraction module obtains multiple feature extractors fully trained on the source domain and inserted into the domain feature extraction module, the weight training module trains the optimal weight of these feature extractors on the support set of the target domain, thereby obtaining The final feature extractor most suitable for the target domain, and the final few-shot image classification result is obtained by the prediction module to measure the performance of the domain-adaptive-based few-shot image classification method.
本发明进一步设置为:所述域特征提取模块使用如下公式对特征提取器输出的特征图X进行变换以提取输入图像的域特有全局特征:The present invention is further set as: the domain feature extraction module uses the following formula to transform the feature map X output by the feature extractor to extract the domain-specific global feature of the input image:
X1=γ⊙X+βX1 =γ⊙X+β
其中,X为一个维度为HW×C的矩阵,其中H、W和C分别表示其高度、宽度和通道数,域特征提取模块以X为输入并对其进行处理;X1为进行变换后的矩阵;γ,β为可训练的参数矩阵,维度均与X相同;⊙表示元素乘。Among them, X is a matrix with dimension HW×C, where H, W and C represent its height, width and number of channels, respectively, and the domain feature extraction module takes X as input and processes it; X1 is the transformed Matrix; γ, β are trainable parameter matrices, the dimensions are the same as X; ⊙ represents element-wise multiplication.
通过采用上述技术方案,域特征提取模块可对由特征提取器输出的特征图X进行变换以更好的提取输入图像的域特有全局特征。By adopting the above technical solution, the domain feature extraction module can transform the feature map X output by the feature extractor to better extract the domain-specific global features of the input image.
本发明进一步设置为:所述域特征提取模块还使用如下公式对特征提取器输出的特征图X进行局部注意力操作以提取输入图像的域特有局部特征:The present invention is further provided as follows: the domain feature extraction module also uses the following formula to perform a local attention operation on the feature map X output by the feature extractor to extract the domain-specific local features of the input image:
X2=PWConv2(ReLU(PWConv1(X)))X2 =PWConv2 (ReLU(PWConv1 (X)))
其中,X2为进行局部注意力操作后的矩阵;PWConv1表示第一个点卷积层,PWConv2表示第二个点卷积层;ReLU为激活函数,当输入值m≤0时,ReLU(m)=0,当m>0时,ReLU(m)=m;PWConv1(X)表示输入的特征图X经点卷积进行点卷积层操作后的结果。Among them, X2 is the matrix after the local attention operation; PWConv1 represents the first point convolution layer, PWConv2 represents the second point convolution layer; ReLU is the activation function, when the input value m≤0, ReLU (m)=0, when m>0, ReLU(m)=m; PWConv1 (X) represents the result of the point convolution layer operation of the input feature map X through point convolution.
通过采用上述技术方案,域特征提取模块还使用如下公式对特征提取器输出的特征图X进行局部注意力操作以更好的提取输入图像的域特有局部特征。By adopting the above technical solution, the domain feature extraction module also uses the following formula to perform a local attention operation on the feature map X output by the feature extractor to better extract the domain-specific local features of the input image.
本发明进一步设置为:所述域特征提取模块的最终输出如下公式表示:The present invention is further set as follows: the final output of the domain feature extraction module is represented by the following formula:
其中,为域特征提取模块的最终输出。in, is the final output of the domain feature extraction module.
通过采用上述技术方案,经过局部注意力操作处理得到的X2与输入的特征图X具有相同的维度,且可以保留和突出底层特征中的细微细节,更好的提取和保存并迁移域特有局部特征。由于变换操作和局部注意力操作中针对输入特征图X的操作均不改变其维度,所以两部分输出可直接相加,即同时提取到输入图像的域特有局部特征和域特有全局特征,大大提升了特征提取器提取域特有特征的能力,从而从源域中迁移出更多的特征信息,为目标域中的小样本机器学习方法提供帮助,从而提升最终的小样本图像分类性能。By adopting the above technical solution, the X2 obtained through the local attention operation has the same dimension as the input feature map X, and can retain and highlight the subtle details in the underlying features, so as to better extract, save and migrate domain- specific parts feature. Since the operations on the input feature map X in the transformation operation and the local attention operation do not change its dimensions, the two outputs can be directly added, that is, the domain-specific local features and domain-specific global features of the input image are simultaneously extracted, which greatly improves the The ability of the feature extractor to extract domain-specific features, thereby migrating more feature information from the source domain, provides help for small-sample machine learning methods in the target domain, thereby improving the final small-sample image classification performance.
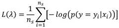
本发明进一步设置为:所述权重训练模块使用如下公式得到权重λ:The present invention is further set as: the weight training module uses the following formula to obtain the weight λ:
其中,λ为组合多个特征提取器的权重,λ为一个维度为1×N的向量;N为包含域特有特征(包括域特有全局特征和域特有局部特征)的特征提取器的数量;s为目标域中的支持集,支持集s中的图像标签对为(xi,yi),其中xi表示第i个图像样本,yi表示其对应的类别标签;j表示支持集s中的图像类别,共有Ns个类,ns个图像样本,sj表示图像类别标签等于j的图像样本下标集合,p为原型,f(·)表示特征提取器,d(·,·)表示距离函数,用于估算不同参数之间的相似性;L(λ)表示在支持集上关于λ的损失函数。Among them, λ is the weight of combining multiple feature extractors, λ is a vector with dimension 1×N; N is the number of feature extractors containing domain-specific features (including domain-specific global features and domain-specific local features); s is the support set in the target domain, the image label pair in the support set s is (xi , yi ), wherexi represents the ith image sample,yi represents its corresponding category label; j represents the support set s in There are Ns classes and ns image samples in total, sj represents the subscript set of image samples whose image class label is equal to j, p is the prototype, f( ) represents the feature extractor, d( , ) represents the distance function used to estimate the similarity between different parameters; L(λ) represents the loss function on the support set with respect to λ.
通过采用上述技术方案,权重训练模块使用目标域支持集数据训练组合域特征提取模块得到的多个特征提取器的权重,并结合训练得到的最佳权重得到最适合目标域的最终特征提取器。By adopting the above technical solution, the weight training module uses the target domain support set data to train the weights of multiple feature extractors obtained by the combined domain feature extraction module, and combines the best weights obtained by training to obtain the final feature extractor most suitable for the target domain.
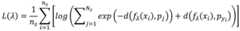
本发明进一步设置为:所述测试模块使用如下公式得到测试样本的预测结果:The present invention is further set as: the test module uses the following formula to obtain the prediction result of the test sample:
其中,xk表示第k个图像样本,yk表示其对应的类别标签,表示对于测试样本的预测结果,j表示支持集s中的图像类别,共有Ns个类,ns个图像样本,sj表示图像类别标签等于j的图像样本下标集合,p为原型,f(·)表示特征提取器,d(·,·)表示距离函数,用于估算不同参数之间的相似性。Among them, xk represents the k-th image sample, yk represents its corresponding class label, Represents the prediction result for the test sample, j represents the image category in the support set s, there are Ns classes, ns image samples, sj represents the image sample subscript set with the image class label equal to j, p is the prototype, f (·) represents the feature extractor, and d(·,·) represents the distance function, which is used to estimate the similarity between different parameters.
通过采用上述技术方案,测试模块可预测目标域查询集样本数据的类别标签从而测试本发明方法的最终性能。By adopting the above technical solution, the testing module can predict the category label of the target domain query set sample data to test the final performance of the method of the present invention.
本发明进一步设置为:在构建特征提取器,加载预训练参数初始化模型之后还包括以下步骤:The present invention is further provided as follows: after constructing the feature extractor and loading the pre-training parameter initialization model, the following steps are further included:
域特征提取模块在源域上训练多个特征提取器;The domain feature extraction module trains multiple feature extractors on the source domain;
权重训练模块在目标域支持集上使用小样本机器学习方法训练所有特征提取器得到组合所有特征提取器的权重并根据权重组合所有特征提取器得到适合目标域的最终特征提取器;The weight training module uses a small-sample machine learning method on the target domain support set to train all feature extractors to obtain the weights of all feature extractors, and combine all feature extractors according to the weights to obtain the final feature extractor suitable for the target domain;
测试模块利用最终特征提取器在目标域查询集上测试最终图像分类性能。The test module utilizes the final feature extractor to test the final image classification performance on the target domain query set.
通过采用上述技术方案,多个特征提取器在源域上进行训练,特征提取器的模型参数保存并携带着该域的域特有特征,在目标域的支持集数据结合小样本机器学习方法训练得到组合多个特征提取器的最佳权重,根据最佳权重组合所有特征提取器以得到能够在目标域上得到最佳性能的最终特征提取器,最终即可利用最终特征提取器在目标域查询集上测试最终图像分类性能。By adopting the above technical solution, multiple feature extractors are trained on the source domain, the model parameters of the feature extractors are saved and carry the domain-specific features of the domain, and the support set data in the target domain is trained with a small sample machine learning method. Combine the best weights of multiple feature extractors, combine all feature extractors according to the best weights to get the final feature extractor that can get the best performance on the target domain, and finally use the final feature extractor to query the set in the target domain to test the final image classification performance.
本发明进一步设置为:源域中的每个数据域训练一个特征提取器。The present invention is further arranged to train a feature extractor for each data domain in the source domain.
通过采用上述技术方案,在每个数据域上训练的一个特征提取器的模型参数保存并携带着该域的域特有特征,从而使得所有的特征提取器可提取源域中的所有数据域的域特有特征,提高了源域的利用率同时也提高了最终的图像分类性能。By adopting the above technical solution, the model parameters of a feature extractor trained on each data domain save and carry the domain-specific features of the domain, so that all feature extractors can extract the domain of all data domains in the source domain The unique features improve the utilization of the source domain and also improve the final image classification performance.
本发明进一步设置为:其中在源域上训练的多个特征提取器的模型结构相同。The present invention is further provided that the model structures of the plurality of feature extractors trained on the source domain are the same.
通过采用上述技术方案,多个特征提取器的模型结构相同有利于后续的组合,降低了组合特征提取器的操作难度。By adopting the above technical solution, the model structures of the multiple feature extractors are the same, which is beneficial to the subsequent combination, and the operation difficulty of the combined feature extractor is reduced.
本发明还提供一种基于域适应的小样本图像分类系统,包括域特征提取模块、权重训练模块和测试模块,其中,域特征提取模块使用如下公式对输入图像的特征图X进行变换以提取输入图像的域特有全局特征:The present invention also provides a small sample image classification system based on domain adaptation, including a domain feature extraction module, a weight training module and a test module, wherein the domain feature extraction module uses the following formula to transform the feature map X of the input image to extract the input Domain-specific global features of the image:
X1=γ⊙X+βX1 =γ⊙X+β
其中,X为一个维度为HW×C的矩阵,其中H、W和C分别表示其高度、宽度和通道数,域特征提取模块以X为输入并对其进行处理;X1为进行变换后的矩阵;γ,β为可训练的参数矩阵,维度均与X相同;⊙表示元素乘;Among them, X is a matrix with dimension HW×C, where H, W and C represent its height, width and number of channels, respectively, and the domain feature extraction module takes X as input and processes it; X1 is the transformed Matrix; γ, β are trainable parameter matrices, the dimensions are the same as X; ⊙ represents element multiplication;
所述域特征提取模块还使用如下公式对输入图像的特征图X进行局部注意力操作以提取输入图像的域特有局部特征:The domain feature extraction module also uses the following formula to perform a local attention operation on the feature map X of the input image to extract the domain-specific local features of the input image:
X2=PWConv2(ReLU(PWConv1(X)))X2 =PWConv2 (ReLU(PWConv1 (X)))
其中,X2为进行局部注意力操作后的矩阵;PWConv1表示第一个点卷积层,PWConv2表示第二个点卷积层;ReLU为激活函数,当输入值m≤0时,ReLU(m)=0,当m>0时,ReLU(m)=m;PWConv1(X)表示输入的特征图X经点卷积进行点卷积操作后的结果;Among them, X2 is the matrix after the local attention operation; PWConv1 represents the first point convolution layer, PWConv2 represents the second point convolution layer; ReLU is the activation function, when the input value m≤0, ReLU (m)=0, when m>0, ReLU(m)=m; PWConv1 (X) represents the result of point convolution of the input feature map X through point convolution;
所述域特征提取模块的最终输出如下公式表示:The final output of the domain feature extraction module is expressed by the following formula:
其中,为域特征提取模块的最终输出。in, is the final output of the domain feature extraction module.
通过采用上述技术方案,域特征提取模块能够方便的嵌入原始的神经网络,并且结合了局部注意力和特征图变换方法,能够同时提取到输入图像的域特有局部特征和域特有全局特征,大大提升了特征提取器提取域特有特征的能力,从而从源域中迁移出更多的特征信息,最终提升最终的小样本图像分类性能。By adopting the above technical solution, the domain feature extraction module can be easily embedded in the original neural network, and combined with the local attention and feature map transformation methods, it can simultaneously extract the domain-specific local features and domain-specific global features of the input image, which greatly improves the It improves the ability of feature extractor to extract domain-specific features, thereby migrating more feature information from the source domain, and finally improving the final small-sample image classification performance.
综上所述,本发明实现的有益效果如下:To sum up, the beneficial effects realized by the present invention are as follows:
(1)基于域适应的小样本图像分类方法依靠域特征提取模块、权重训练模块和预测模块三个模块创造性的在小样本机器学习方法中使用域适应方法,使用域特征提取模块在得到了多个特征提取器后,由权重训练模块得到组合这些特征提取器的最佳权重并得到最适合目标域的最终特征提取器,并由预测模块得到最终的小样本图像分类结果以衡量该基于域适应的小样本图像分类方法的性能;(1) The small sample image classification method based on domain adaptation creatively uses the domain adaptation method in the small sample machine learning method by relying on the three modules of the domain feature extraction module, the weight training module and the prediction module. After several feature extractors, the weight training module obtains the best weights for combining these feature extractors and obtains the final feature extractor most suitable for the target domain, and the prediction module obtains the final small sample image classification result to measure the domain-based adaptation. The performance of the few-shot image classification method;
(2)多个特征提取器在源域上进行训练,特征提取器的模型参数保存并携带着该域的域特有特征,在目标域的支持集数据结合小样本机器学习方法训练得到组合多个特征提取器的最佳权重,根据最佳权重组合所有特征提取器以得到能够在目标域上得到最佳性能的最终特征提取器,最终即可利用最终特征提取器在目标域查询集上测试最终图像分类性能;(2) Multiple feature extractors are trained on the source domain, the model parameters of the feature extractor are saved and carry the domain-specific features of the domain, and the support set data in the target domain is trained with a small sample machine learning method to obtain a combination of multiple The optimal weight of the feature extractor, combine all feature extractors according to the best weight to get the final feature extractor that can get the best performance on the target domain, and finally use the final feature extractor to test the final feature extractor on the target domain query set. Image classification performance;
(3)域特征提取模块能够方便的嵌入原始的神经网络,并且结合了局部注意力和特征图变换方法,能够同时提取到输入图像的域特有局部特征和域特有全局特征,大大提升了特征提取器提取域特有特征的能力,从而从源域中迁移出更多的特征信息,最终提升最终的小样本图像分类性能。(3) The domain feature extraction module can be easily embedded in the original neural network, and combined with the local attention and feature map transformation methods, it can simultaneously extract the domain-specific local features and domain-specific global features of the input image, which greatly improves the feature extraction. The ability of the detector to extract domain-specific features, thereby migrating more feature information from the source domain, ultimately improves the final small-sample image classification performance.
附图说明Description of drawings
为了更清楚地说明本发明实施例中的技术方案,下面将对实施例或现有技术描述中所需要使用的附图作简单地介绍,显而易见地,下面描述中的附图仅仅是本发明中记载的一些实施例,对于本领域普通技术人员来讲,还可以根据这些附图获得其他的附图。In order to illustrate the technical solutions in the embodiments of the present invention more clearly, the following briefly introduces the accompanying drawings that need to be used in the description of the embodiments or the prior art. Obviously, the drawings in the following description are only for the present invention. For some of the described embodiments, for those of ordinary skill in the art, other drawings can also be obtained according to these drawings.
图1为实施例一中基于域适应的小样本图像分类方法的流程示意图;1 is a schematic flowchart of a small sample image classification method based on domain adaptation in Embodiment 1;
图2为本发明的关键模型结构图;Fig. 2 is the key model structure diagram of the present invention;
图3为插入域特征提取模块的神经网络基础块的结构图;Fig. 3 is the structural diagram of the neural network basic block inserted into the domain feature extraction module;
图4为实施例二中基于域适应的小样本图像分类方法的流程示意图。FIG. 4 is a schematic flowchart of a small sample image classification method based on domain adaptation in the second embodiment.
具体实施方式Detailed ways
下面结合本发明实施例中的附图,对本发明实施例中的技术方案进行清楚、完整地描述,显然,所描述的实施例是本发明一部分实施例,而不是全部的实施例。基于本发明中的实施例,本领域技术人员在没有做出创造性劳动前提下所获得的所有其他实施例,都属于本发明保护的范围。The technical solutions in the embodiments of the present invention will be clearly and completely described below with reference to the accompanying drawings in the embodiments of the present invention. Obviously, the described embodiments are part of the embodiments of the present invention, not all of the embodiments. Based on the embodiments of the present invention, all other embodiments obtained by those skilled in the art without creative efforts shall fall within the protection scope of the present invention.
实施例一Example 1
如附图1所示,一种基于域适应的小样本图像分类方法,包括:As shown in Figure 1, a small sample image classification method based on domain adaptation, including:
S101:构建特征提取器,加载预训练参数初始化模型;S101: Build a feature extractor, load pre-training parameters to initialize the model;
如附图2所示,为本发明的关键模型结构,在本实施例中使用Resnet-18卷积神经网络(即共18层神经网络层的Resnet模型)作为骨干网络,该神经网络由4个基础块和分类层组成。基础块结构如附图3所示,其中,a表示本发明在每个基础块上插入的两个域特征提取模块,3×3表示卷积核为3×3的卷积层,BN表示批标准化层,ReLU表示激活函数,表示元素乘,表示元素加。As shown in FIG. 2, it is the key model structure of the present invention. In this embodiment, the Resnet-18 convolutional neural network (that is, the Resnet model with a total of 18 neural network layers) is used as the backbone network. The neural network consists of four It consists of basic blocks and classification layers. The basic block structure is shown in Figure 3, where a represents the two domain feature extraction modules inserted in each basic block of the present invention, 3×3 represents a convolutional layer with a convolution kernel of 3×3, and BN represents a batch Normalization layer, ReLU represents activation function, represents element-wise multiplication, Indicates element addition.
设源域为R={r1,r2,…,rN},ri表示第i个图像数据域,共有N个;Let the source domain be R={r1 , r2 , ..., rN }, ri represents theith image data domain, and there are N in total;
设目标域为T=s∪q,其中s表示用于小样本机器学习方法训练的支持集,q表示用于性能测试的查询集,且在本实施例中使用CUB数据集(即包含200种不同的鸟类的图像数据集),Aircraft数据集(即包含100类飞机类别的图像数据集)和VGG-Flower数据集(即包含102种不同的花类的图像数据集)作为源域进行训练,上述三种数据集分别设为r1,r2,r3,将CIFAR-10数据集(即包含10类常见物品的图像数据集)每一类随机取出5张图像组成支持集s,剩余图像样本组成查询集q作为目标域做小样本机器学习方法的训练和测试。分类网络由池化层,线性分类层和softmax(归一化指数函数)层组成,用于输出最终预测结果。Let the target domain be T = s∪q, where s represents the support set used for training the few-shot machine learning method, q represents the query set used for performance testing, and In this example, the CUB dataset (that is, the image dataset containing 200 different bird species), the Aircraft dataset (that is, the image dataset containing 100 types of aircraft categories) and the VGG-Flower dataset (that is, containing 102 types of aircraft) are used. Image datasets of different flower categories) are used as the source domain for training. The above three datasets are set as r1 , r2 , and r3 respectively. The CIFAR-10 dataset (that is, the image dataset containing 10 types of common items) Five images are randomly selected from each class to form a support set s, and the remaining image samples form a query set q as the target domain for training and testing of small-sample machine learning methods. The classification network consists of a pooling layer, a linear classification layer, and a softmax (normalized exponential function) layer, which is used to output the final prediction result.
根据附图2中的关键模型结构构建作为特征提取器的神经网络,加载预训练参数初始化模型,将γ参数初始化为全1矩阵,β参数初始化为全0矩阵,使用随机参数初始化分类网络。Build a neural network as a feature extractor according to the key model structure in Figure 2, load the pre-trained parameter initialization model, initialize the γ parameter to an all-1 matrix, and initialize the β parameter to an all-zero matrix, and use random parameters to initialize the classification network.
S102:使用域特征提取模块得到多个特征提取器;S102: use the domain feature extraction module to obtain multiple feature extractors;
域特征提取模块使用如下公式对特征提取器输出的特征图X进行变换以更好的提取输入图像的域特有全局特征:The domain feature extraction module uses the following formula to transform the feature map X output by the feature extractor to better extract the domain-specific global features of the input image:
X1=γ⊙X+βX1 =γ⊙X+β
其中,X为一个维度为HW×C的矩阵,其中H、W和C分别表示其高度、宽度和通道数,域特征提取模块以X为输入并对其进行处理;X1为进行变换后的矩阵;γ,β为可训练的参数矩阵,维度均与X相同;⊙表示元素乘。Among them, X is a matrix with dimension HW×C, where H, W and C represent its height, width and number of channels, respectively, and the domain feature extraction module takes X as input and processes it; X1 is the transformed Matrix; γ, β are trainable parameter matrices, and the dimensions are the same as X; ⊙ represents element-wise multiplication.
同时,为了更好的提取域特有局部特征,本发明还引入了局部注意力操作,由两个点卷积(point-wise convolution)层和一个ReLU激活函数组成。点卷积是一种特殊的卷积运算,可以实现跨通道信息的融合增加网络的非线性并实现通道数的升维与降维,在本实施例中将其实现为点卷积层。ReLU为激活函数,当输入值m≤0时,ReLU(m)=0,当m>0时,ReLU(m)=m。因此,域特征提取模块使用如下公式对特征提取器输出的特征图X进行局部注意力操作以更好的提取输入图像的域特有局部特征:Meanwhile, in order to better extract domain-specific local features, the present invention also introduces a local attention operation, which consists of two point-wise convolution layers and a ReLU activation function. Point convolution is a special convolution operation, which can realize the fusion of cross-channel information, increase the nonlinearity of the network, and realize the increase and reduction of the number of channels. In this embodiment, it is implemented as a point convolution layer. ReLU is an activation function. When the input value m≤0, ReLU(m)=0, and when m>0, ReLU(m)=m. Therefore, the domain feature extraction module uses the following formula to perform local attention on the feature map X output by the feature extractor to better extract the domain-specific local features of the input image:
X2=PWConv2(ReLU(PWConv1(X)))X2 =PWConv2 (ReLU(PWConv1 (X)))
其中,X2为进行局部注意力操作后的矩阵;PWConv1表示第一个点卷积层,PWConv2表示第二个点卷积层;ReLU为激活函数,当输入值m≤0时,ReLU(m)=0,当m>0时,ReLU(m)=m;PWConv1(X)表示输入的特征图X经点卷积进行点卷积层操作后的结果。Among them, X2 is the matrix after the local attention operation; PWConv1 represents the first point convolution layer, PWConv2 represents the second point convolution layer; ReLU is the activation function, when the input value m≤0, ReLU (m)=0, when m>0, ReLU(m)=m; PWConv1 (X) represents the result of the point convolution layer operation of the input feature map X through point convolution.
最终,域特征提取模块的输出如下公式表示:Finally, the output of the domain feature extraction module is expressed by the following formula:
其中,为域特征提取模块的最终输出。经过局部注意力操作处理得到的X2与输入的特征图X具有相同的维度,且可以保留和突出底层特征中的细微细节,更好的提取和保存并迁移域特有局部特征。由于变换操作和局部注意力操作中针对输入特征图X的操作均不改变其维度,所以两部分输出可直接相加,即同时提取到输入图像的域特有局部特征和域特有全局特征,大大提升了特征提取器提取域特有特征的能力,从而从源域中迁移出更多的特征信息,为目标域中的小样本机器学习方法提供帮助,从而提升最终的小样本图像分类性能。in, is the final output of the domain feature extraction module. The X2 obtained by the local attention operation has the same dimension as the input feature map X, and can retain and highlight the subtle details in the underlying features, so as to better extract, save and transfer domain-specific local features. Since the operations on the input feature map X in the transformation operation and the local attention operation do not change its dimensions, the two outputs can be directly added, that is, the domain-specific local features and domain-specific global features of the input image are simultaneously extracted, which greatly improves the The ability of the feature extractor to extract domain-specific features, thereby migrating more feature information from the source domain, provides help for small-sample machine learning methods in the target domain, thereby improving the final small-sample image classification performance.
使用上述特征提取器分别在源域数据域r1,r2,r3上进行充分的训练并分别保存训练得到的模型参数,将训练得到的特征提取器分别设为f1(·),f2(·),f3(·)作为输出,使其充分的提取各个域的域特有特征信息,这些特征信息被保存于模型参数中。Use the above feature extractors to perform sufficient training on the source data domains r1 , r2 , and r3 respectively and save the model parameters obtained by training respectively, and set the feature extractors obtained by training as f1 ( ), f2 (·), f3 (·) as output, so that it can fully extract the domain-specific feature information of each domain, and these feature information are stored in the model parameters.
S103:使用权重训练模块得到适合目标数据域的最终特征提取器;S103: use the weight training module to obtain a final feature extractor suitable for the target data domain;
权重训练模块使用如下公式得到权重λ:The weight training module uses the following formula to obtain the weight λ:
其中,λ为组合多个特征提取器的权重,λ为一个维度为1×N的向量;N为包含域特有特征(包括域特有全局特征和域特有局部特征)的特征提取器的数量;s为目标域中的支持集,支持集s中的图像标签对为(xi,yi),其中xi表示第i个图像样本,yi表示其对应的类别标签;j表示支持集s中的图像类别,共有Ns个类,ns个图像样本,sj表示图像类别标签等于j的图像样本下标集合,p为原型,f(·)表示特征提取器,d(·,·)表示距离函数,用于估算不同参数之间的相似性,实际应用时可以有多种选择,如欧氏距离、曼哈顿距离等;L(λ)表示在支持集上关于λ的损失函数。Among them, λ is the weight of combining multiple feature extractors, λ is a vector with dimension 1×N; N is the number of feature extractors containing domain-specific features (including domain-specific global features and domain-specific local features); s is the support set in the target domain, the image label pair in the support set s is (xi , yi ), wherexi represents the ith image sample,yi represents its corresponding category label; j represents the support set s in There are Ns classes and ns image samples in total, sj represents the subscript set of image samples whose image class label is equal to j, p is the prototype, f( ) represents the feature extractor, d( , ) Represents the distance function, which is used to estimate the similarity between different parameters. There are many choices in practical application, such as Euclidean distance, Manhattan distance, etc.; L(λ) represents the loss function about λ on the support set.
使用上述公式所示的损失函数即可在支持集上使用梯度下降等方法训练得到最佳的组合权重λ,进而得到最适应目标域的最终特征提取器fλ(·)。Using the loss function shown in the above formula, the optimal combination weight λ can be obtained by training on the support set using methods such as gradient descent, and then the final feature extractor fλ ( ) that is most suitable for the target domain can be obtained.
具体地,在使用权重训练模块得到适合目标数据域的最终特征提取器的步骤中,还包括以下子步骤:Specifically, in the step of using the weight training module to obtain a final feature extractor suitable for the target data domain, the following sub-steps are also included:
S1031:接受多域特征提取模块的输出特征提取器f1(·),f2(·),f3(·)作为输入,将这些特征提取器的组合权重参数λ初始化为全1向量,由以下公式得到初始fλ(·):S1031: Accept the output feature extractors f1 (·), f2 (·), and f3 (·) of the multi-domain feature extraction module as input, and initialize the combined weight parameter λ of these feature extractors as an all-1 vector, which is set by The initial fλ ( ) is obtained by the following formula:
其中,x表示目标域图像,fλ(x)表示特征提取器针对x提取的特征,公式中的其他设置与步骤S103中的公式相同。Wherein, x represents the target domain image, fλ (x) represents the feature extracted by the feature extractor for x, and other settings in the formula are the same as the formula in step S103.
S1032:使用fλ(·)处理支持集s上的图像样本,由以下公式得到初始的支持集每类原型S1032: Use fλ (·) to process the image samples on the support set s, and obtain the initial support set for each type of prototype by the following formula
公式中的设置与步骤S103中的公式相同。The settings in the formula are the same as those in step S103.
S1033:使用以下公式所示的损失函数遍历支持集s上的所有图像样本,得到当前λ的训练损失,使用随机梯度下降方法训练λ:S1033: Use the loss function shown in the following formula to traverse all image samples on the support set s to obtain the training loss of the current λ, and use the stochastic gradient descent method to train λ:
其中,λ为组合多个特征提取器的权重,λ为一个维度为1×N的向量;N为包含域特有特征(包括域特有全局特征和域特有局部特征)的特征提取器的数量;s为目标域中的支持集,支持集s中的图像标签对为(xi,yi),其中xi表示第i个图像样本,yi表示其对应的类别标签;j表示支持集s中的图像类别,共有Ns个类,ns个图像样本,sj表示图像类别标签等于j的图像样本下标集合,p为原型,f(·)表示特征提取器,d(·,·)表示距离函数,用于估算不同参数之间的相似性,实际应用时可以有多种选择,如欧氏距离、曼哈顿距离等;L(λ)表示在支持集上关于λ的损失函数。Among them, λ is the weight of combining multiple feature extractors, λ is a vector with dimension 1×N; N is the number of feature extractors containing domain-specific features (including domain-specific global features and domain-specific local features); s is the support set in the target domain, the image label pair in the support set s is (xi , yi ), wherexi represents the ith image sample,yi represents its corresponding category label; j represents the support set s in There are Ns classes and ns image samples in total, sj represents the subscript set of image samples whose image class label is equal to j, p is the prototype, f( ) represents the feature extractor, d( , ) Represents the distance function, which is used to estimate the similarity between different parameters. There are many choices in practical application, such as Euclidean distance, Manhattan distance, etc.; L(λ) represents the loss function about λ on the support set.
S1034:重复步骤S1033直至λ的训练损失不再下降,最终得到组合多个特征提取器的最佳权重参数λ,即得到最适合目标数据域的最终特征提取器fλ(·)。S1034: Repeat step S1033 until the training loss of λ no longer decreases, and finally obtain the optimal weight parameter λ combining multiple feature extractors, that is, obtain the final feature extractor fλ (·) that is most suitable for the target data domain.
S104:使用测试模块得到方法最终性能。S104: Use the test module to obtain the final performance of the method.
测试模块使用如下公式得到测试样本的预测结果:The test module uses the following formula to obtain the prediction result of the test sample:
其中,xk表示第k个图像样本,yk表示其对应的类别标签,表示对于测试样本的预测结果,j表示支持集s中的图像类别,共有Ns个类,ns个图像样本,sj表示图像类别标签等于j的图像样本下标集合,p为原型,f(·)表示特征提取器,d(·,·)表示距离函数,用于估算不同参数之间的相似性,实际应用时可以有多种选择,如欧氏距离、曼哈顿距离等。Among them, xk represents the k-th image sample, yk represents its corresponding category label, Represents the prediction result for the test sample, j represents the image category in the support set s, there are Ns classes, ns image samples, sj represents the image sample subscript set with the image class label equal to j, p is the prototype, f ( ) represents the feature extractor, and d( , ) represents the distance function, which is used to estimate the similarity between different parameters. There are many choices in practical applications, such as Euclidean distance, Manhattan distance, etc.
由权重训练模块得到最适合目标数据域的最终特征提取器fλ(·)后,使用测试模块遍历查询集q,得到分类方法的最终性能。After the final feature extractor fλ (·) that is most suitable for the target data domain is obtained by the weight training module, the test module is used to traverse the query set q to obtain the final performance of the classification method.
本实施例中的基于域适应的小样本图像分类方法依靠域特征提取模块、权重训练模块和预测模块三个模块创造性的在小样本机器学习方法中使用域适应方法,具体地,使用域特征提取模块在得到了在源域上充分训练的插入了域特征提取模块的多个特征提取器之后,由权重训练模块在目标域的支持集上训练组合这些特征提取器的最佳权重,从而得到最适合目标域的最终特征提取器,并由预测模块得到最终的小样本图像分类结果以衡量该基于域适应的小样本图像分类方法的性能。The small sample image classification method based on domain adaptation in this embodiment creatively uses the domain adaptation method in the small sample machine learning method by relying on the domain feature extraction module, the weight training module and the prediction module. After the module obtains multiple feature extractors that are fully trained on the source domain and inserted into the domain feature extraction module, the weight training module trains the optimal weight of these feature extractors on the support set of the target domain to obtain the most optimal weight. The final feature extractor suitable for the target domain is obtained, and the final small-sample image classification result is obtained by the prediction module to measure the performance of the domain-adaptive-based small-sample image classification method.
本实施例还提供了一种基于域适应的小样本图像分类系统,包括域特征提取模块、权重训练模块和测试模块,其中,域特征提取模块使用如下公式对输入图像的特征图X进行变换以提取输入图像的域特有全局特征:This embodiment also provides a small sample image classification system based on domain adaptation, including a domain feature extraction module, a weight training module and a test module, wherein the domain feature extraction module uses the following formula to transform the feature map X of the input image to obtain Extract domain-specific global features of the input image:
X1=γ⊙X+βX1 =γ⊙X+β
其中,X为一个维度为HW×C的矩阵,其中H、W和C分别表示其高度、宽度和通道数,域特征提取模块以X为输入并对其进行处理;X1为进行变换后的矩阵;γ,β为可训练的参数矩阵,维度均与X相同;⊙表示元素乘;Among them, X is a matrix with dimension HW×C, where H, W and C represent its height, width and number of channels, respectively, and the domain feature extraction module takes X as input and processes it; X1 is the transformed Matrix; γ, β are trainable parameter matrices, the dimensions are the same as X; ⊙ represents element multiplication;
所述域特征提取模块还使用如下公式对输入图像的特征图X进行局部注意力操作以提取输入图像的域特有局部特征:The domain feature extraction module also uses the following formula to perform a local attention operation on the feature map X of the input image to extract the domain-specific local features of the input image:
X2=PWConv2(ReLU(PWConv1(X)))X2 =PWConv2 (ReLU(PWConv1 (X)))
其中,X2为进行局部注意力操作后的矩阵;PWConv1表示第一个点卷积层,PWConv2表示第二个点卷积层;ReLU为激活函数,当输入值m≤0时,ReLU(m)=0,当m>0时,ReLU(m)=m;PWConv1(X)表示输入的特征图X经点卷积进行点卷积操作后的结果;Among them, X2 is the matrix after the local attention operation; PWConv1 represents the first point convolution layer, PWConv2 represents the second point convolution layer; ReLU is the activation function, when the input value m≤0, ReLU (m)=0, when m>0, ReLU(m)=m; PWConv1 (X) represents the result of point convolution of the input feature map X through point convolution;
所述域特征提取模块的最终输出如下公式表示:The final output of the domain feature extraction module is expressed by the following formula:
其中,为域特征提取模块的最终输出。in, is the final output of the domain feature extraction module.
上述域特征提取模块能够方便的嵌入原始的神经网络,并且结合了局部注意力和特征图变换方法,能够同时提取到输入图像的域特有局部特征和域特有全局特征,大大提升了特征提取器提取域特有特征的能力,从而从源域中迁移出更多的特征信息,最终提升最终的小样本图像分类性能。The above domain feature extraction module can be easily embedded in the original neural network, and combined with the local attention and feature map transformation methods, it can simultaneously extract the domain-specific local features and domain-specific global features of the input image, which greatly improves the feature extractor extraction. The ability of domain-specific features, thereby migrating more feature information from the source domain, ultimately improves the final small-sample image classification performance.
实施例二Embodiment 2
如附图4所示,为本发明公开的一种基于域适应的小样本图像分类方法,与实施例一不同的是,在构建特征提取器,加载预训练参数初始化模型之后还包括以下步骤:As shown in FIG. 4 , it is a small sample image classification method based on domain adaptation disclosed in the present invention, which is different from Embodiment 1 in that the following steps are included after constructing a feature extractor and loading a pre-training parameter initialization model:
S201:域特征提取模块在源域上训练多个特征提取器;S201: The domain feature extraction module trains multiple feature extractors on the source domain;
S202:权重训练模块在目标域支持集上使用小样本机器学习方法训练所有特征提取器得到组合所有特征提取器的权重并根据权重组合所有特征提取器得到适合目标域的最终特征提取器;S202: The weight training module uses a small-sample machine learning method on the target domain support set to train all feature extractors to obtain weights that combine all feature extractors, and combine all feature extractors according to the weights to obtain a final feature extractor suitable for the target domain;
S203:测试模块利用最终特征提取器在目标域查询集上测试最终图像分类性能。S203: The test module uses the final feature extractor to test the final image classification performance on the target domain query set.
在步骤S201中,源域中的每个数据域训练一个特征提取器。In step S201, a feature extractor is trained for each data domain in the source domain.
在每个数据域上训练的一个特征提取器的模型参数保存并携带着该域的域特有特征,从而使得所有的特征提取器可提取源域中的所有数据域的域特有特征,提高了源域的利用率同时也提高了最终的图像分类性能。The model parameters of a feature extractor trained on each data domain save and carry the domain-specific features of the domain, so that all feature extractors can extract the domain-specific features of all data domains in the source domain, improving the source The utilization of the domain also improves the final image classification performance.
进一步地,在源域上训练的多个特征提取器的模型结构相同,便于后续多个特征提取器的组合,降低了组合特征提取器的操作难度。Further, the model structures of the multiple feature extractors trained on the source domain are the same, which facilitates the subsequent combination of the multiple feature extractors and reduces the operational difficulty of combining the feature extractors.
本实施例通过多个特征提取器在源域上进行训练,特征提取器的模型参数保存并携带着该域的域特有特征,在目标域的支持集数据结合小样本机器学习方法训练得到组合多个特征提取器的最佳权重,根据最佳权重组合所有特征提取器以得到能够在目标域上得到最佳性能的最终特征提取器,最终即可利用最终特征提取器在目标域查询集上测试最终图像分类性能。In this embodiment, multiple feature extractors are used for training on the source domain. The model parameters of the feature extractors are stored and carry the domain-specific features of the domain. The support set data in the target domain is trained with a small sample machine learning method to obtain a combination of multiple features. The optimal weights of each feature extractor, combine all feature extractors according to the best weights to get the final feature extractor that can get the best performance on the target domain, and finally use the final feature extractor to test on the target domain query set Final image classification performance.
尽管已描述了本发明的优选实施例,但本领域内的技术人员一旦得知了基本创造性概念,则可对这些实施例作出另外的变更和修改。所以,所附权利要求意欲解释为包括优选实施例以及落入本发明范围的所有变更和修改。显然,本领域的技术人员可以对本发明进行各种改动和变型而不脱离本发明的精神和范围。这样,倘若本发明的这些修改和变型属于本发明权利要求及其等同技术的范围之内,则本发明也意图包含这些改动和变型在内。Although preferred embodiments of the present invention have been described, additional changes and modifications to these embodiments may occur to those skilled in the art once the basic inventive concepts are known. Therefore, the appended claims are intended to be construed to include the preferred embodiment and all changes and modifications that fall within the scope of the present invention. It will be apparent to those skilled in the art that various modifications and variations can be made in the present invention without departing from the spirit and scope of the invention. Thus, provided that these modifications and variations of the present invention fall within the scope of the claims of the present invention and their equivalents, the present invention is also intended to include these modifications and variations.
| Application Number | Priority Date | Filing Date | Title |
|---|---|---|---|
| CN202110866395.3ACN113569960B (en) | 2021-07-29 | 2021-07-29 | Small sample image classification method and system based on domain adaptation |
| Application Number | Priority Date | Filing Date | Title |
|---|---|---|---|
| CN202110866395.3ACN113569960B (en) | 2021-07-29 | 2021-07-29 | Small sample image classification method and system based on domain adaptation |
| Publication Number | Publication Date |
|---|---|
| CN113569960Atrue CN113569960A (en) | 2021-10-29 |
| CN113569960B CN113569960B (en) | 2023-12-26 |
| Application Number | Title | Priority Date | Filing Date |
|---|---|---|---|
| CN202110866395.3AActiveCN113569960B (en) | 2021-07-29 | 2021-07-29 | Small sample image classification method and system based on domain adaptation |
| Country | Link |
|---|---|
| CN (1) | CN113569960B (en) |
| Publication number | Priority date | Publication date | Assignee | Title |
|---|---|---|---|---|
| CN117150282A (en)* | 2023-09-16 | 2023-12-01 | 石家庄正和网络有限公司 | Secondhand equipment recycling evaluation method and system based on prediction model |
| CN119152303A (en)* | 2023-06-16 | 2024-12-17 | 北京理工大学 | Deformable mirror control method and device capable of rapidly adapting to practical application environment |
| Publication number | Priority date | Publication date | Assignee | Title |
|---|---|---|---|---|
| US20190012526A1 (en)* | 2017-07-04 | 2019-01-10 | Microsoft Technology Licensing, Llc | Image recognition with promotion of underrepresented classes |
| CN109961089A (en)* | 2019-02-26 | 2019-07-02 | 中山大学 | Few-shot and zero-shot image classification methods based on metric learning and meta-learning |
| CN111738301A (en)* | 2020-05-28 | 2020-10-02 | 华南理工大学 | A long-tailed distribution image data recognition method based on two-channel learning |
| US20210003700A1 (en)* | 2019-07-02 | 2021-01-07 | Wuyi University | Method and apparatus for enhancing semantic features of sar image oriented small set of samples |
| CN112419321A (en)* | 2021-01-25 | 2021-02-26 | 长沙理工大学 | X-ray image identification method and device, computer equipment and storage medium |
| CN112668494A (en)* | 2020-12-31 | 2021-04-16 | 西安电子科技大学 | Small sample change detection method based on multi-scale feature extraction |
| CN112784764A (en)* | 2021-01-27 | 2021-05-11 | 南京邮电大学 | Expression recognition method and system based on local and global attention mechanism |
| CN112784879A (en)* | 2020-12-31 | 2021-05-11 | 前线智能科技(南京)有限公司 | Medical image segmentation or classification method based on small sample domain self-adaption |
| CN112801146A (en)* | 2021-01-13 | 2021-05-14 | 华中科技大学 | Target detection method and system |
| CN112990097A (en)* | 2021-04-13 | 2021-06-18 | 电子科技大学 | Face expression recognition method based on countermeasure elimination |
| Publication number | Priority date | Publication date | Assignee | Title |
|---|---|---|---|---|
| US20190012526A1 (en)* | 2017-07-04 | 2019-01-10 | Microsoft Technology Licensing, Llc | Image recognition with promotion of underrepresented classes |
| CN109961089A (en)* | 2019-02-26 | 2019-07-02 | 中山大学 | Few-shot and zero-shot image classification methods based on metric learning and meta-learning |
| US20210003700A1 (en)* | 2019-07-02 | 2021-01-07 | Wuyi University | Method and apparatus for enhancing semantic features of sar image oriented small set of samples |
| CN111738301A (en)* | 2020-05-28 | 2020-10-02 | 华南理工大学 | A long-tailed distribution image data recognition method based on two-channel learning |
| CN112668494A (en)* | 2020-12-31 | 2021-04-16 | 西安电子科技大学 | Small sample change detection method based on multi-scale feature extraction |
| CN112784879A (en)* | 2020-12-31 | 2021-05-11 | 前线智能科技(南京)有限公司 | Medical image segmentation or classification method based on small sample domain self-adaption |
| CN112801146A (en)* | 2021-01-13 | 2021-05-14 | 华中科技大学 | Target detection method and system |
| CN112419321A (en)* | 2021-01-25 | 2021-02-26 | 长沙理工大学 | X-ray image identification method and device, computer equipment and storage medium |
| CN112784764A (en)* | 2021-01-27 | 2021-05-11 | 南京邮电大学 | Expression recognition method and system based on local and global attention mechanism |
| CN112990097A (en)* | 2021-04-13 | 2021-06-18 | 电子科技大学 | Face expression recognition method based on countermeasure elimination |
| Title |
|---|
| 李新叶;龙慎鹏;朱婧;: "基于深度神经网络的少样本学习综述", 计算机应用研究, no. 08* |
| 段萌;王功鹏;牛常勇;: "基于卷积神经网络的小样本图像识别方法", 计算机工程与设计, no. 01* |
| Publication number | Priority date | Publication date | Assignee | Title |
|---|---|---|---|---|
| CN119152303A (en)* | 2023-06-16 | 2024-12-17 | 北京理工大学 | Deformable mirror control method and device capable of rapidly adapting to practical application environment |
| CN117150282A (en)* | 2023-09-16 | 2023-12-01 | 石家庄正和网络有限公司 | Secondhand equipment recycling evaluation method and system based on prediction model |
| CN117150282B (en)* | 2023-09-16 | 2024-01-30 | 石家庄正和网络有限公司 | Secondhand equipment recycling evaluation method and system based on prediction model |
| Publication number | Publication date |
|---|---|
| CN113569960B (en) | 2023-12-26 |
| Publication | Publication Date | Title |
|---|---|---|
| CN113505797B (en) | Model training method and device, computer equipment and storage medium | |
| CN113609337B (en) | Pre-training method, training method, device, equipment and medium for graph neural network | |
| CN110135562B (en) | Distillation learning method, system and device based on feature space change | |
| CN116089883B (en) | A training method used to improve the distinction between old and new categories in incremental learning of existing categories | |
| CN111178196B (en) | Cell classification method, device and equipment | |
| CN113515614A (en) | Knowledge distillation-based attribute identification method, terminal device and storage medium | |
| CN114565807A (en) | Method and device for training target image retrieval model | |
| CN113569960B (en) | Small sample image classification method and system based on domain adaptation | |
| CN111260074B (en) | Method for determining hyper-parameters, related device, equipment and storage medium | |
| CN118451423A (en) | Optimal knowledge distillation scheme | |
| JP2019095600A (en) | Acoustic model learning device, speech recognition device, and method and program for them | |
| CN117576737A (en) | Palmprint image expansion method and device based on multi-connection generative adversarial network | |
| CN112232360B (en) | Image retrieval model optimization method, image retrieval method, device and storage medium | |
| CN114997036B (en) | Network topology reconstruction method, device and equipment based on deep learning | |
| CN112733724B (en) | Kinship verification method and device based on discriminative sample element miner | |
| CN112101418A (en) | Method, system, medium and equipment for identifying breast tumor type | |
| CN111753966A (en) | Implementation method of multi-label model training framework using missing multi-label data | |
| WO2020090651A1 (en) | Acoustic model training device, model training device, and method and program for same | |
| CN113010687B (en) | Exercise label prediction method and device, storage medium and computer equipment | |
| CN113392868B (en) | Model training method, related device, equipment and storage medium | |
| JP2022111020A (en) | Transfer learning method and computer device for deep learning model based on document similarity learning | |
| JP2019095599A (en) | Acoustic model learning device, speech recognition device, and method and program for them | |
| CN113222100A (en) | Training method and device of neural network model | |
| CN114387504B (en) | A distribution network cable identification method and device based on semantic segmentation | |
| CN116563638A (en) | An image classification model optimization method and system based on episodic memory |
| Date | Code | Title | Description |
|---|---|---|---|
| PB01 | Publication | ||
| PB01 | Publication | ||
| SE01 | Entry into force of request for substantive examination | ||
| SE01 | Entry into force of request for substantive examination | ||
| GR01 | Patent grant | ||
| GR01 | Patent grant |