







技术领域technical field
本发明涉及人脸识别技术领域,特别涉及一种基于分布式智能补光的人脸识别系统及方法。The present invention relates to the technical field of face recognition, in particular to a face recognition system and method based on distributed intelligent supplementary light.
背景技术Background technique
人脸识别目前被广泛应用于刑侦破案、娱乐消费、人员管理等领域。目前,人脸识别较多是在环境光线较为充足的条件下进行应用,而当环境光较弱且面部阴影较为复杂时,相关人脸识别率将显著下降。Face recognition is currently widely used in criminal investigation, entertainment consumption, personnel management and other fields. At present, face recognition is mostly applied under the conditions of sufficient ambient light, and when the ambient light is weak and the facial shadow is more complex, the relevant face recognition rate will drop significantly.
为解决上述问题,常见的解决方案包括:1)采用对环境光线不敏感的传感器进行人脸数据的采集,在此基础上设计并开发相关人脸识别算法。相关应用包括采用近红外相机的传感系统以及采用多光谱相机的传感系统。显然绝大多数情况下上述系统的成本比可见光相机高很多,不太适合于在实际中的大量普及使用。2)采用可见光相机系统进行复杂暗场人脸图像的采集,并通过不断改进和提升现有图像处理与模式识别算法进行人脸识别效果的改进。目前,深度学习技术得到较快发展,但深度学习方法依赖于较大的训练样本量,且相关算法对复杂环境变化的自适应计算能力也受制于训练数据所能够遍历的实际情况。通过不断改进和提升人脸识别算法进行识别率的改善,相关算法的设计与改进已接近算法处理能力的上限,因此,采用改进算法来提升识别率的技术途径在实际应用中将会越来越困难。3)采用可见光相机采集与智能照明技术相结合的方式,从源头改善采集图像数据的质量,再进行人脸识别的应用。In order to solve the above problems, common solutions include: 1) Use sensors that are not sensitive to ambient light to collect face data, and design and develop relevant face recognition algorithms on this basis. Relevant applications include sensing systems using near-infrared cameras and sensing systems using multispectral cameras. Obviously, in most cases, the cost of the above-mentioned system is much higher than that of the visible light camera, and it is not suitable for mass popular use in practice. 2) The visible light camera system is used to collect complex dark-field face images, and the face recognition effect is improved by continuously improving and enhancing the existing image processing and pattern recognition algorithms. At present, deep learning technology has developed rapidly, but deep learning methods rely on a large training sample size, and the adaptive computing ability of related algorithms to complex environmental changes is also limited by the actual situation that the training data can traverse. By continuously improving and enhancing the face recognition algorithm to improve the recognition rate, the design and improvement of the related algorithms have approached the upper limit of the algorithm processing capacity. Therefore, the technical approach of using improved algorithms to improve the recognition rate will be more and more in practical applications. difficulty. 3) The combination of visible light camera acquisition and intelligent lighting technology is used to improve the quality of collected image data from the source, and then apply face recognition.
相比前两种技术,近年来发光二极管(Light Emitting Diode,LED)照明方式的普及,有效促进了智能照明技术的快速发展。通过综合采用低成本的LED光源与可见光相机,采用图像处理、计算机视觉、最优化方法实现对最优照明方式的估计与控制,可有效提高复杂暗场环境下可见光相机的人脸识别率,是未来技术发展的趋势之一。Compared with the first two technologies, the popularization of Light Emitting Diode (LED) lighting methods in recent years has effectively promoted the rapid development of intelligent lighting technology. By comprehensively using low-cost LED light sources and visible light cameras, and using image processing, computer vision, and optimization methods to estimate and control the optimal lighting method, the face recognition rate of visible light cameras in complex dark-field environments can be effectively improved. One of the trends of future technology development.
发明内容SUMMARY OF THE INVENTION
鉴于传统方法的缺点,本发明的目的在于提供一种基于分布式智能补光的人脸识别系统及方法,能够有效提高复杂暗场环境下可见光相机的人脸识别率。In view of the shortcomings of the traditional method, the purpose of the present invention is to provide a face recognition system and method based on distributed intelligent supplementary light, which can effectively improve the face recognition rate of a visible light camera in a complex dark field environment.
为解决上述技术问题,本发明的实施例提供如下方案:In order to solve the above-mentioned technical problems, the embodiments of the present invention provide the following solutions:
一方面,提供了一种基于分布式智能补光的人脸识别系统,包括相机子系统、单个照明单元亮度连续可调的分布式照明单元组、视觉信息处理子系统、照明单元控制子系统;On the one hand, a face recognition system based on distributed intelligent supplementary light is provided, including a camera subsystem, a distributed lighting unit group with continuously adjustable brightness of a single lighting unit, a visual information processing subsystem, and a lighting unit control subsystem;
所述相机子系统用于对前视场景中的人脸图像进行采集;The camera subsystem is used to collect face images in the front-view scene;
所述分布式照明单元组用于对所述相机子系统前视场景中的光线补光;The distributed lighting unit group is used to fill light in the front-view scene of the camera subsystem;
所述视觉信息处理子系统用于根据采集的人脸图像对二维、三维人脸关键点及人脸模型进行计算,并对所述分布式照明单元组中的每个照明单元进行光线辐射计算、面部反射计算、面部光线遮挡计算、相机子系统对入射光响应强度计算、以及最优化控光方法计算;The visual information processing subsystem is used to calculate two-dimensional and three-dimensional face key points and face models according to the collected face images, and to calculate light radiation for each lighting unit in the distributed lighting unit group. , facial reflection calculation, facial light occlusion calculation, camera subsystem response intensity calculation to incident light, and calculation of optimal light control method;
所述照明单元控制子系统用于根据上述计算结果对所述分布式照明单元组中的单个照明单元的输出方式进行连续控制。The lighting unit control subsystem is configured to continuously control the output mode of a single lighting unit in the distributed lighting unit group according to the above calculation result.
优选地,所述相机子系统与所述视觉信息处理子系统连接,所述相机子系统采用380nm-780nm光谱响应波段的相机,或者采用380nm-1200nm光谱响应波段的相机。Preferably, the camera subsystem is connected to the visual information processing subsystem, and the camera subsystem adopts a camera with a spectral response band of 380nm-780nm, or a camera with a spectral response band of 380nm-1200nm.
优选地,所述分布式照明单元组与所述照明单元控制子系统连接,所述分布式照明单元组由至少一个输出光效可采用电路控制的照明单元组成,所述照明单元为LED灯、OLED灯或激光照明灯。Preferably, the distributed lighting unit group is connected to the lighting unit control subsystem, the distributed lighting unit group is composed of at least one lighting unit whose output light effect can be controlled by a circuit, and the lighting unit is an LED lamp, OLED light or laser light.
优选地,所述视觉信息处理子系统分别与所述相机子系统及所述照明单元控制子系统连接,所述视觉信息处理子系统包括第一处理器,所述第一处理器为单片机电路、FPGA电路、ARM电路、或者上述电路的组合。Preferably, the visual information processing subsystem is respectively connected with the camera subsystem and the lighting unit control subsystem, and the visual information processing subsystem includes a first processor, and the first processor is a single-chip circuit, FPGA circuit, ARM circuit, or a combination of the above circuits.
优选地,所述照明单元控制子系统与所述分布式照明单元组及所述视觉信息处理子系统连接,所述照明单元控制子系统包括第二处理器,所述第二处理器为单片机电路、FPGA电路、ARM电路、或者上述电路的组合,所述照明单元控制子系统能够实现对单个照明单元的输出方式的连续控制。Preferably, the lighting unit control subsystem is connected to the distributed lighting unit group and the visual information processing subsystem, the lighting unit control subsystem includes a second processor, and the second processor is a single-chip circuit , FPGA circuit, ARM circuit, or a combination of the above circuits, the lighting unit control subsystem can realize continuous control of the output mode of a single lighting unit.
一方面,提供了一种基于上述人脸识别系统的人脸识别方法,包括以下步骤:In one aspect, a face recognition method based on the above-mentioned face recognition system is provided, comprising the following steps:
相机子系统对前视场景中的人脸图像进行采集;The camera subsystem collects the face image in the front-view scene;
分布式照明单元组对所述相机子系统前视场景中的光线补光;The distributed lighting unit group supplements the light in the front-view scene of the camera subsystem;
视觉信息处理子系统根据采集的人脸图像对二维、三维人脸关键点及人脸模型进行计算,并对所述分布式照明单元组中的每个照明单元进行光线辐射计算、面部反射计算、面部光线遮挡计算、相机子系统对入射光响应强度计算、以及最优化控光方法计算;The visual information processing subsystem calculates two-dimensional and three-dimensional face key points and face models according to the collected face images, and performs light radiation calculation and facial reflection calculation on each lighting unit in the distributed lighting unit group. , face light occlusion calculation, camera subsystem response intensity calculation to incident light, and optimal light control method calculation;
照明单元控制子系统根据上述计算结果对所述分布式照明单元组中的单个照明单元的输出方式进行连续控制。The lighting unit control subsystem continuously controls the output mode of a single lighting unit in the distributed lighting unit group according to the above calculation result.
优选的,所述视觉信息处理子系统根据采集的人脸图像对二维、三维人脸关键点及人脸模型进行计算具体包括:Preferably, the calculation of the two-dimensional and three-dimensional face key points and face models by the visual information processing subsystem according to the collected face images specifically includes:
采用基于支持向量机的方式快速检测人脸,再采用回归树集合的方式进行人脸关键点的检测,检测出至少8个人脸特征点;The method based on support vector machine is used to quickly detect the face, and then the method of regression tree set is used to detect the key points of the face, and at least 8 face feature points are detected;
同时,对所述相机子系统中使用的双目相机进行相机标定,确定所述双目相机的内外参数,并根据标定结果,计算前述人脸特征点在所述双目相机的世界坐标系中的三维坐标;At the same time, camera calibration is performed on the binocular camera used in the camera subsystem, the internal and external parameters of the binocular camera are determined, and according to the calibration result, the aforementioned facial feature points are calculated in the world coordinate system of the binocular camera. The three-dimensional coordinates of ;
在完成初步的人脸二维、三维特征点的计算后,建立三维人脸模型用于光照效果分析。After completing the preliminary calculation of the 2D and 3D feature points of the face, a 3D face model is established for the analysis of lighting effects.
优选地,在完成三维人脸模型重建后,所述方法还包括:Preferably, after completing the reconstruction of the three-dimensional face model, the method further includes:
进行面部眩光与阴影分析及图像增强计算处理;Perform facial glare and shadow analysis and image enhancement calculation processing;
进行面部预设位置处光源三维光线辐射建模、反射建模与遮挡计算;Perform 3D light radiation modeling, reflection modeling and occlusion calculation of the light source at the preset position of the face;
计算面部预设位置处相机对入射光响应强度;Calculate the response intensity of the camera to the incident light at the preset position of the face;
进行面部照明效果估计;Perform facial lighting effect estimation;
进行分布式最优照明估计与控制。Perform distributed optimal lighting estimation and control.
优选地,所述方法还包括:Preferably, the method further includes:
针对上述建模和计算结果,采用最优化算法进行最优照明控制方法的计算。According to the above modeling and calculation results, the optimization algorithm is used to calculate the optimal lighting control method.
本发明实施例提供的技术方案带来的有益效果至少包括:The beneficial effects brought by the technical solutions provided by the embodiments of the present invention include at least:
本发明所述系统可实现对大范围空间区域的补光,且进行最优补光估计与控制时,综合采用了数字图像处理、计算机视觉、模式识别及最优化计算方法,实现了面部感兴趣点的光线从光源出射、面部反射、相机接受响应的全流程精确计算,同时充分考虑了分布式光源的遮挡、面部光影的分布等情况,具有照明效果好、系统识别率高的优点。The system of the present invention can realize the supplementary light for a large-scale spatial area, and when performing optimal supplementary light estimation and control, digital image processing, computer vision, pattern recognition and optimization calculation methods are comprehensively used to realize facial interest. The light from the light source is emitted from the light source, the face is reflected, and the camera receives the response. The whole process is accurately calculated. At the same time, the occlusion of the distributed light source and the distribution of light and shadow on the face are fully considered. It has the advantages of good lighting effect and high system recognition rate.
本发明所设计系统和方法,对分布式照明单元与相机单元的安装位置没有限制,只要发光单元与相机的相对位置关系已知,均可进行建模计算与控光,具有系统布局设计灵活,适用范围广的优点。The system and method designed in the present invention have no restrictions on the installation positions of the distributed lighting unit and the camera unit. As long as the relative positional relationship between the light-emitting unit and the camera is known, modeling calculation and light control can be performed, and the system layout design is flexible. Advantages of a wide range of applications.
与基于近红外相机的系统相比,本发明采用的系统仅包括照明单元、可见光相机、中高性能计算与控制电路等,具有系统成本低廉,适合于普及应用推广的优点。Compared with the system based on the near-infrared camera, the system adopted in the present invention only includes an illumination unit, a visible light camera, a medium and high performance computing and control circuit, etc., and has the advantages of low system cost and suitable for popularization and application promotion.
附图说明Description of drawings
为了更清楚地说明本发明实施例中的技术方案,下面将对实施例描述中所需要使用的附图作简单地介绍,显而易见地,下面描述中的附图仅仅是本发明的一些实施例,对于本领域普通技术人员来讲,在不付出创造性劳动的前提下,还可以根据这些附图获得其他的附图。In order to illustrate the technical solutions in the embodiments of the present invention more clearly, the following briefly introduces the accompanying drawings used in the description of the embodiments. Obviously, the accompanying drawings in the following description are only some embodiments of the present invention. For those of ordinary skill in the art, other drawings can also be obtained from these drawings without creative effort.
图1是本发明实施例提供的基于分布式智能补光的人脸识别系统的示意图;1 is a schematic diagram of a face recognition system based on distributed intelligent supplementary light provided by an embodiment of the present invention;
图2是本发明实施例提供的基于分布式智能补光的人脸识别方法的流程图;Fig. 2 is the flow chart of the face recognition method based on distributed intelligent fill light provided by the embodiment of the present invention;
图3是本发明实施例提供的智能补光装置的外观设计示意图;3 is a schematic diagram of the appearance design of an intelligent light supplement device provided by an embodiment of the present invention;
图4a-图4b是本发明实施例提供的智能补光装置的应用假想图;4a-4b are application imaginary diagrams of the intelligent light-filling device provided by an embodiment of the present invention;
图5是本发明实施例提供的68个人脸特征点示意图;5 is a schematic diagram of 68 facial feature points provided by an embodiment of the present invention;
图6是本发明实施例提供的简化的三维人脸模型图;6 is a simplified three-dimensional face model diagram provided by an embodiment of the present invention;
图7是本发明实施例提供的人脸照明均匀度采样点示意图。FIG. 7 is a schematic diagram of a face illumination uniformity sampling point provided by an embodiment of the present invention.
具体实施方式Detailed ways
为使本发明的目的、技术方案和优点更加清楚,下面将结合附图对本发明实施方式作进一步地详细描述。In order to make the objectives, technical solutions and advantages of the present invention clearer, the embodiments of the present invention will be further described in detail below with reference to the accompanying drawings.
本发明的实施例提供了一种基于分布式智能补光的人脸识别系统,如图1所示,所述系统包括相机子系统、单个照明单元亮度连续可调的分布式照明单元组、视觉信息处理子系统、照明单元控制子系统;An embodiment of the present invention provides a face recognition system based on distributed intelligent lighting. As shown in FIG. 1 , the system includes a camera subsystem, a distributed lighting unit group with continuously adjustable brightness of a single lighting unit, a visual Information processing subsystem, lighting unit control subsystem;
所述相机子系统用于对前视场景中的人脸图像进行采集;The camera subsystem is used to collect face images in the front-view scene;
所述分布式照明单元组用于对所述相机子系统前视场景中的光线补光;The distributed lighting unit group is used to fill light in the front-view scene of the camera subsystem;
所述视觉信息处理子系统用于根据采集的人脸图像对二维、三维人脸关键点及人脸模型进行计算,并对所述分布式照明单元组中的每个照明单元进行光线辐射计算、面部反射计算、面部光线遮挡计算、相机子系统对入射光响应强度计算、以及最优化控光方法计算;The visual information processing subsystem is used to calculate two-dimensional and three-dimensional face key points and face models according to the collected face images, and to calculate light radiation for each lighting unit in the distributed lighting unit group. , facial reflection calculation, facial light occlusion calculation, camera subsystem response intensity calculation to incident light, and calculation of optimal light control method;
所述照明单元控制子系统用于根据上述计算结果对所述分布式照明单元组中的单个照明单元的输出方式进行连续控制。The lighting unit control subsystem is configured to continuously control the output mode of a single lighting unit in the distributed lighting unit group according to the above calculation result.
进一步地,所述相机子系统与所述视觉信息处理子系统连接,采用的相机可以是对光线敏感且在光线充分、均匀条件下成像细节与对比度高的相机。优选地,所述相机子系统采用380nm-780nm光谱响应波段的相机,或者采用380nm-1200nm光谱响应波段的相机等。Further, the camera subsystem is connected to the visual information processing subsystem, and the camera used may be a camera that is sensitive to light and has high imaging details and contrast under sufficient and uniform light conditions. Preferably, the camera subsystem adopts a camera with a spectral response band of 380nm-780nm, or a camera with a spectral response band of 380nm-1200nm, or the like.
进一步地,所述分布式照明单元组与所述照明单元控制子系统连接,所述分布式照明单元组由至少一个输出光效可采用电路控制的照明单元组成,所述照明单元为LED灯、OLED灯或激光照明灯等。Further, the distributed lighting unit group is connected to the lighting unit control subsystem, and the distributed lighting unit group is composed of at least one lighting unit whose output light effect can be controlled by a circuit, and the lighting unit is an LED lamp, OLED lights or laser lights, etc.
进一步地,所述视觉信息处理子系统分别与所述相机子系统及所述照明单元控制子系统连接,采用具有图像处理能力的高性能处理器与电路组成。优选地,所述视觉信息处理子系统包括第一处理器,所述第一处理器为单片机电路、FPGA电路、ARM电路等,或者采用上述电路的组合。视觉信息处理子系统可实现对人脸的检测、二维、三维人脸关键点及人脸模型的计算,对每一个照明单元的光线的辐射计算、面部反射光计算、面部光线遮挡计算、相机对入射光响应强度计算,对照明单元实施最优化控光方法计算功能。Further, the visual information processing subsystem is respectively connected with the camera subsystem and the lighting unit control subsystem, and is composed of a high-performance processor with image processing capability and a circuit. Preferably, the visual information processing subsystem includes a first processor, and the first processor is a single chip circuit, an FPGA circuit, an ARM circuit, etc., or a combination of the above circuits. The visual information processing subsystem can realize the detection of faces, the calculation of 2D and 3D face key points and face models, the radiation calculation of each lighting unit, the calculation of face reflected light, the calculation of facial light occlusion, and the calculation of camera. Calculate the response intensity of the incident light, and implement the calculation function of the optimal light control method for the lighting unit.
进一步地,所述照明单元控制子系统与所述分布式照明单元组及所述视觉信息处理子系统连接,采用具有照明单元控制输出的处理器与电路组成。优选地,所述照明单元控制子系统包括第二处理器,所述第二处理器为单片机电路、FPGA电路、ARM电路等,或者采用上述电路的组合,所述照明单元控制子系统能够实现对单个照明单元的输出方式的连续控制。Further, the lighting unit control subsystem is connected with the distributed lighting unit group and the visual information processing subsystem, and is composed of a processor and a circuit with lighting unit control output. Preferably, the lighting unit control subsystem includes a second processor, and the second processor is a single-chip circuit, an FPGA circuit, an ARM circuit, etc., or a combination of the above circuits is used, and the lighting unit control subsystem can realize the Continuous control of the output mode of a single lighting unit.
相应地,本发明的实施例还提供了一种基于上述人脸识别系统的人脸识别方法,如图2所示,所述方法包括以下步骤:Correspondingly, an embodiment of the present invention also provides a face recognition method based on the above-mentioned face recognition system. As shown in FIG. 2 , the method includes the following steps:
相机子系统对前视场景中的人脸图像进行采集;The camera subsystem collects the face image in the front-view scene;
分布式照明单元组对所述相机子系统前视场景中的光线补光;The distributed lighting unit group supplements the light in the front-view scene of the camera subsystem;
视觉信息处理子系统根据采集的人脸图像对二维、三维人脸关键点及人脸模型进行计算,并对所述分布式照明单元组中的每个照明单元进行光线辐射计算、面部反射计算、面部光线遮挡计算、相机子系统对入射光响应强度计算、以及最优化控光方法计算;The visual information processing subsystem calculates two-dimensional and three-dimensional face key points and face models according to the collected face images, and performs light radiation calculation and facial reflection calculation on each lighting unit in the distributed lighting unit group. , face light occlusion calculation, camera subsystem response intensity calculation to incident light, and optimal light control method calculation;
照明单元控制子系统根据上述计算结果对所述分布式照明单元组中的单个照明单元的输出方式进行连续控制。The lighting unit control subsystem continuously controls the output mode of a single lighting unit in the distributed lighting unit group according to the above calculation result.
进一步地,所述视觉信息处理子系统根据采集的人脸图像对二维、三维人脸关键点及人脸模型进行计算具体包括:Further, the calculation of the two-dimensional and three-dimensional face key points and face models by the visual information processing subsystem according to the collected face images specifically includes:
采用基于支持向量机的方式快速检测人脸,再采用回归树集合的方式进行人脸关键点的检测,检测出至少8个人脸特征点;优选地,本发明实施例中,检测出68个人脸特征点;A method based on a support vector machine is used to quickly detect faces, and then a regression tree set method is used to detect the key points of the face, and at least 8 face feature points are detected; preferably, in the embodiment of the present invention, 68 faces are detected. Feature points;
同时,对所述相机子系统中使用的双目相机进行相机标定,确定所述双目相机的内外参数,并根据标定结果,计算前述人脸特征点在所述双目相机的世界坐标系中的三维坐标;At the same time, camera calibration is performed on the binocular camera used in the camera subsystem, the internal and external parameters of the binocular camera are determined, and according to the calibration result, the aforementioned facial feature points are calculated in the world coordinate system of the binocular camera. The three-dimensional coordinates of ;
在完成初步的人脸二维、三维特征点的计算后,建立三维人脸模型用于光照效果分析。优选地,本步骤中,采用三维形变模型3DMM进行三维人脸重建;具体的,采用Basel人脸模型进行人脸重建。After completing the preliminary calculation of the 2D and 3D feature points of the face, a 3D face model is established for the analysis of lighting effects. Preferably, in this step, the three-dimensional deformation model 3DMM is used to reconstruct the three-dimensional face; specifically, the Basel face model is used to reconstruct the face.
进一步地,在完成三维人脸模型重建后,所述方法还包括:Further, after completing the reconstruction of the three-dimensional face model, the method further includes:
进行面部眩光与阴影分析及图像增强计算处理;Perform facial glare and shadow analysis and image enhancement calculation processing;
进行面部预设位置处光源三维光线辐射建模、反射建模与遮挡计算;Perform 3D light radiation modeling, reflection modeling and occlusion calculation of the light source at the preset position of the face;
计算面部预设位置处相机对入射光响应强度;Calculate the response intensity of the camera to the incident light at the preset position of the face;
进行面部照明效果估计;Perform facial lighting effect estimation;
进行分布式最优照明估计与控制。Perform distributed optimal lighting estimation and control.
进一步地,所述方法还包括:Further, the method also includes:
针对上述建模和计算结果,采用最优化算法进行最优照明控制方法的计算。优选地,本步骤中,采用遗传算法作为最优化算法进行最优照明控制方法的计算。According to the above modeling and calculation results, the optimization algorithm is used to calculate the optimal lighting control method. Preferably, in this step, a genetic algorithm is used as the optimization algorithm to calculate the optimal lighting control method.
在一个具体的实施例中,如图3所示,为一种智能补光装置的外观设计示意图。为了简化问题,假设8个作为照明单元的LED灯采用等距、对称式、共面安装的方式安装在一个矩形底座之上。矩形底座的几何中心安放双目相机的其中任意一个相机,同时另外一个相机安放在几何中心相机的一侧,双目相机两个相机的连线与矩形底座的两条边平行。图中,D1=D2=D3=D4,D5为双目相机的两个相机的距离。In a specific embodiment, as shown in FIG. 3 , it is a schematic diagram of the appearance design of an intelligent light-filling device. In order to simplify the problem, it is assumed that 8 LED lamps as lighting units are installed on a rectangular base in an equidistant, symmetrical and coplanar installation. Any one of the binocular cameras is placed in the geometric center of the rectangular base, while the other camera is placed on one side of the geometric center camera, and the line connecting the two cameras of the binocular camera is parallel to the two sides of the rectangular base. In the figure, D1=D2=D3=D4, and D5 is the distance between the two cameras of the binocular camera.
如图4a-图4b所示,为一种智能补光装置的应用假想图。为对复杂暗场环境下人脸进行补光,智能补光装置安装在与人脸相对的墙壁之上;又因为安装在墙壁之上的光源容易对人眼产生眩目的干扰,因此智能补光装置的输出亮度应当较低,优选的,单个LED灯输出功率≤1.0W。假设应用场景中同样存在普通的照明光源,如图4中所示为房顶的顶灯,顶灯的功率一般较大,比如可采用市场上常见的几十瓦的LED灯。显然,顶灯也由LED阵列组成,此处假设顶灯的LED阵列输出光强可以为多个等级,且各个LED灯的输出可同时控制,选择任意一档输出时,各个LED灯的亮度和输出光效一致。As shown in FIG. 4a-FIG. 4b, it is an application imaginary diagram of an intelligent light-filling device. In order to fill light for faces in a complex dark field environment, the intelligent fill light device is installed on the wall opposite to the face; and because the light source installed on the wall is prone to dazzling interference to the human eye, the intelligent fill light The output brightness of the device should be low, preferably, the output power of a single LED lamp is ≤1.0W. Assuming that there is also a common lighting source in the application scenario, as shown in Figure 4 is a ceiling light on the roof, the power of the ceiling light is generally large, for example, the common LED lights of tens of watts in the market can be used. Obviously, the dome light is also composed of LED arrays. Here, it is assumed that the output light intensity of the LED array of the dome light can be multiple levels, and the output of each LED light can be controlled at the same time. When any output level is selected, the brightness and output light of each LED light Same effect.
本发明实施例中,采取基于支持向量机(Support Vector Machine,SVM)的方式快速检测人脸,再采用回归树集合(Ensemble of Regression Trees,ERT)的方式进行人脸关键点的检测,比如可以检测出68个人脸特征点。68个人脸特征点的定义如图5中所示。In the embodiment of the present invention, a method based on a support vector machine (SVM) is used to quickly detect the face, and then a method of regression trees (Ensemble of Regression Trees, ERT) is used to detect the key points of the face. For example, you can 68 facial feature points were detected. The definitions of the 68 facial feature points are shown in Figure 5.
同时,根据系统中所使用的双目相机,同样可以通过相机标定的方式,确定双目相机的内外参数;在此基础上,根据标定结果,可以计算前述68个人脸特征点在双目相机的世界坐标系中的三维坐标,计算方法如下所示。At the same time, according to the binocular camera used in the system, the internal and external parameters of the binocular camera can also be determined by means of camera calibration; on this basis, according to the calibration results, the aforementioned 68 facial feature points in the binocular camera can be calculated. The three-dimensional coordinates in the world coordinate system are calculated as follows.
其中,(x,y)为二维图像坐标系中坐标,(U,V,W)为双目相机世界坐标系中的坐标;s为尺度因子;fx和fy为相机x轴方向与y轴方向的焦距长度;u0和v0为相机坐标系原点坐标;R和T为旋转矩阵和平移矩阵,表征两个相机间的空间位置关系。Among them, (x, y) are the coordinates in the two-dimensional image coordinate system, (U, V, W) are the coordinates in the world coordinate system of the binocular camera; s is the scale factor; fx and fy are the camera x-axis direction and The focal length in the y-axis direction; u0 and v0 are the origin coordinates of the camera coordinate system; R and T are the rotation matrix and the translation matrix, which represent the spatial position relationship between the two cameras.
在完成初步的人脸二维、三维特征点的计算后,需建立三维人脸模型用于光照效果分析。本发明实施例中,采用三维形变模型(3D Morphable Model,3DMM)进行三维人脸重建;具体的,采用Basel人脸模型(Basel Face Model,BFM)进行人脸重建。BFM认为人脸由平均脸、形状因素以及表情因素组成,如下式中所示。考虑到3DMM为一个相对独立的模型,因此需要计算该模型坐标系与双目视觉坐标系间的坐标变换关系,具体计算方法如式(2)(3)中所示。After completing the preliminary calculation of the 2D and 3D feature points of the face, a 3D face model needs to be established for lighting effect analysis. In the embodiment of the present invention, a three-dimensional deformable model (3D Morphable Model, 3DMM) is used for three-dimensional face reconstruction; specifically, a Basel face model (Basel Face Model, BFM) is used for face reconstruction. BFM considers a human face to be composed of an average face, shape factors, and expression factors, as shown in the following equation. Considering that 3DMM is a relatively independent model, it is necessary to calculate the coordinate transformation relationship between the model coordinate system and the binocular vision coordinate system, and the specific calculation method is shown in formula (2) (3).
MCam=RCam_3DMMM3DMM+TCam_3DMM (3)MCam = RCam_3DMM M3DMM +TCam_3DMM (3)
其中,表示平均脸;si、ei分别表示形状和表情因素,αi和βi为相关权重因子;MCam、M3DMM分别表示相机坐标系和3DMM坐标系下的坐标;RCam_3DMM、TCam_3DMM分别表示相机坐标系和3DMM坐标系的旋转矩阵与平移矩阵。in, represents the average face; si and ei represent the shape and expression factors, respectively, αi and βi are the relevant weighting factors; MCam , M3DMM represent the coordinates in the camera coordinate system and 3DMM coordinate system respectively; RCam_3DMM , TCam_3DMM respectively Represents the rotation and translation matrices of the camera coordinate system and the 3DMM coordinate system.
在完成三维人脸重建与坐标变化矩阵计算后,需进行LED光线辐射、反射亮度估计、光线遮挡估计、相机响应计算等计算步骤。首先,假设单个LED照明单元为Lambertian发光体,考虑到光源尺寸与辐射距离相比,光源尺寸可以忽略不计,因此假设本发明的墙灯光源为8个点光源。不失一般性,此处假设8个点光源的辐射特性完全一样。在如图3的示意图中,定义矩形底座几何中心的相机几何中心处为坐标原点,与中心相机光轴重合轴为Z轴,平行于矩形底座左右与上下边缘的方向为X和Y轴建立直角坐标系。则,在该坐标系定义框架下,墙灯对空间中任意一点的辐射强度可由下式计算得到。显然,上述坐标系的定义与相机坐标系重合,且空间任意一点的墙灯辐射强度为多个LED照明单元辐照强度的代数和。After completing the three-dimensional face reconstruction and coordinate change matrix calculation, it is necessary to perform calculation steps such as LED light radiation, reflection brightness estimation, light occlusion estimation, and camera response calculation. First, assuming that a single LED lighting unit is a Lambertian illuminant, considering that the size of the light source is negligible compared with the radiation distance, it is assumed that the wall light source of the present invention is 8 point light sources. Without loss of generality, it is assumed here that the radiation characteristics of the eight point light sources are exactly the same. In the schematic diagram in Figure 3, the geometric center of the camera that defines the geometric center of the rectangular base is the coordinate origin, the axis coincident with the optical axis of the central camera is the Z axis, and the directions parallel to the left and right and upper and lower edges of the rectangular base are the X and Y axes to establish a right angle Coordinate System. Then, under the frame of the coordinate system definition, the radiation intensity of the wall light to any point in the space can be calculated by the following formula. Obviously, the definition of the above coordinate system coincides with the camera coordinate system, and the radiation intensity of the wall lamp at any point in space is the algebraic sum of the radiation intensities of multiple LED lighting units.
其中,mW为表征观察角与辐射衰减关系的参数;(xW,yW,zW)为空间观察点在上述墙灯坐标系中的坐标,zW>0;IWL_i和AWL_i(i=0,1,…,7)为第i个照明单元的强度输出及发光面积因子;dW为坐标距离,显然dW=D5=D6=D8=D9。Among them, mW is a parameter representing the relationship between the observation angle and radiation attenuation; (xW , yW , zW ) are the coordinates of the spatial observation point in the above-mentioned wall lamp coordinate system, zW >0; IWL_i and AWL_i (i=0,1, .
顶灯的应用主要用来提供泛光照明。与墙灯坐标系定义类似,假设顶灯由M×N个LED灯组成,顶灯由一个矩形基座面和均匀分布在其上的LED灯组成。顶灯坐标系的原点定义在顶灯基座面的几何中心,Z轴垂直于基座面,X和Y轴平行于基座的两条边。顶灯的输出光强可由式(5)中所示。由图6中关系可见,顶灯与墙灯的空间位置关系可以采用式(6)进行计算。最终,通过将顶灯坐标系变换到墙灯坐标系(亦为相机坐标系),可采用式(7)计算空间中任意一点的总的环境光辐照强度。需要强调的是,本发明中,顶灯不是必须要用的照明光源,如果系统的具体实现不采用顶灯,则顶灯的输出为0,即在式(7)中可设置E′Overhead=0。The application of ceiling lights is mainly used to provide flood lighting. Similar to the definition of the wall light coordinate system, it is assumed that the ceiling light consists of M×N LED lights, and the ceiling light consists of a rectangular base surface and LED lights evenly distributed on it. The origin of the ceiling light coordinate system is defined at the geometric center of the base surface of the ceiling light, the Z axis is perpendicular to the base surface, and the X and Y axes are parallel to the two sides of the base. The output light intensity of the ceiling light can be shown in formula (5). It can be seen from the relationship in Fig. 6 that the spatial positional relationship between the ceiling light and the wall light can be calculated by formula (6). Finally, by transforming the dome light coordinate system to the wall light coordinate system (also the camera coordinate system), equation (7) can be used to calculate the total ambient light irradiance at any point in the space. It should be emphasized that, in the present invention, the overhead light is not an illuminating light source that must be used. If the specific implementation of the system does not use the overhead light, the output of the overhead light is 0, that is, E′Overhead =0 can be set in formula (7).
Es=EWall+E′Overhead (7)Es =EWall +E'Overhead (7)
式中,(xO,yO,zO)为顶灯坐标系;mO为表征观察角与辐射衰减关系的参数;IOL和AOL为顶灯LED的强度与辐射面积因子;(XS,YS,ZS)为墙灯坐标系与顶灯坐标系的平移矩阵;E′Overhead为EOverhead采用式(6)计算的结果。In the formula, (xO , yO , zO ) is the coordinate system of the dome light; mO is the parameter characterizing the relationship between the observation angle and radiation attenuation; IOL and AOL are the intensity and radiation area factor of the dome light LED; (XS , YS , ZS ) is the translation matrix of the coordinate system of the wall light and the coordinate system of the ceiling light; E'Overhead is the result calculated by EOverhead using formula (6).
为进行人脸照明效果分析,需进一步进行人脸表面光线的反射亮度估计、相机响应强度估计,光线遮挡估计计算。在进行光线的面部反射亮度估计时,本发明采用双向反射比分布函数(Bidirectional Reflectance Distribution Function,BRDF)进行建模估计。优选地,采用Cook-Torrance模型进行计算。Cook-Torrance模型的计算方法如式(8)至(12)中进行计算。反射光强计算完后,可进一步采用式(13)进行相机响应强度计算。In order to analyze the lighting effect of the face, it is necessary to further estimate the reflected brightness of the light on the face surface, the camera response intensity estimation, and the light occlusion estimation calculation. When estimating the brightness of the facial reflection of light, the present invention adopts a bidirectional reflectance distribution function (Bidirectional Reflectance Distribution Function, BRDF) to perform modeling estimation. Preferably, the calculation is performed using the Cook-Torrance model. The calculation method of the Cook-Torrance model is calculated as in equations (8) to (12). After the reflected light intensity is calculated, formula (13) can be used to further calculate the camera response intensity.
式中,Li为第i个观察点的反射辐射强度;K为光源数;RC_T_ij为第i个观察点在第j个光源影响下的Cook_Torrance模型计算结果;δij为第i个观察点面源法线与第i个观察点与第j个光源连线的夹角;Fij为Fresnel系数;Dij为第i个观察点对第j个光源的微平面法线分布函数;Gij为几何衰减因子;Ni为第i个观察点所处微平面法线方向;Lij为第i个观察点与第j个光源连线的入射光方向;Vi为相机坐标系下第i个观察点的方向向量;n1、n2为空气与皮肤的光线折射率;r为皮肤表面粗糙度;Hij为第i个观察点相对于第j个光源入射光方向Lij和观察点方向Vi的半角方向向量;min(A,B)为计算A与B的最小值;Ii为相机对第i个观察点的强度响应;h为相机焦距;d为相机的光圈直径;为第i个观察点的相机光轴与相机中心与观察点连线的离轴角度。In the formula, Li is the reflected radiation intensity of theith observation point; K is the number of light sources; RC_T_ij is the calculation result of the Cook_Torrance model of the ith observation point under the influence of the jth light source; δij is the ith observation point The angle between the surface source normal and the line connecting the i-th observation point and the j-th light source; Fij is the Fresnel coefficient; Dij is the micro-plane normal distribution function of the i-th observation point to the j-th light source; Gij is the geometric attenuation factor; Ni is the normal direction of the microplane where thei -th observation point is located; Lij is the incident light direction connecting the i-th observation point and the j-th light source; Vi is the i-th light source in the camera coordinate system The direction vector of the observation points; n1 , n2 are the refractive indices of air and skin; r is the surface roughness of the skin; Hij is the incident light direction of thei -th observation point relative to the j-th light source and the observation point The half-angle direction vector of the direction Vi ; min(A, B) is the minimum value of A and B; Ii is the intensity response of the camera to the i-th observation point; h is the focal length of the camera; d is the aperture diameter of the camera; is the off-axis angle between the camera optical axis of the i-th observation point and the line connecting the camera center and the observation point.
为进行快速人脸遮挡的判断,采用如图6所示的简化人脸模型。该模型将人脸视为一个椭球体与三个面片组成的模型。如式(14)和(15)中给出了求解面片与椭球体的数学模型,其中求解点可选取3DMM模型中的多个空间三维坐标点进行式(14)和(15)参数的拟合计算。In order to quickly judge the face occlusion, the simplified face model shown in Figure 6 is used. The model treats the human face as a model composed of an ellipsoid and three patches. As shown in equations (14) and (15), the mathematical model for solving the patch and ellipsoid is given, and the solving point can select multiple three-dimensional coordinate points in the 3DMM model to simulate the parameters of equations (14) and (15). Total calculation.
f(x,y,z)=a0x2+a1y2+a2z2+a3xy+a4xz+a5yz+a6x+a7y+a8z+a9 (14)f(x,y,z)=a0 x2 +a1 y2 +a2 z2 +a3 xy+a4 xz+a5 yz+a6 x+a7 y+a8 z+a9 (14)
式中,(x,y,z)为空间点坐标;ai(i=0,1,…,9)为椭球体模型参数;坐标(x1,y1,z1)、(x2,y2,z2)、(x3,y3,z3)为3DMM模型中坐标已知的空间点坐标。In the formula, (x, y, z) are the coordinates of the space point; ai (i=0, 1,..., 9) are the ellipsoid model parameters; the coordinates (x1 , y1 , z1 ), (x2 , y2 , z2 ) and (x3 , y3 , z3 ) are the coordinates of the spatial points whose coordinates are known in the 3DMM model.
在完成人脸亮度计算建模、光线遮挡判断建模后,需进行人脸照明均匀度评价。如图7中所示,为人脸照明均匀度采样点示意图。具体地,本发明采样30个点用来进行人脸照明均匀度评价。本部分的评价指标函数包括两部分。第一部分为动态时间规整(DynamicTime Warping,DTW)函数计算结果。在进行DTW函数计算时,首先积累20幅以上光照条件均匀的人脸图像,按照图7中观察点采样方法分别采样30个点的数据,并计算对应观察点图像亮度的均值;在上述工作的基础上,将30个点依次排列,形成时间序列数据。当获得一幅任意光照条件下的图像数据时,按照图7种方法采样30个点的图像强度,排列形成时间序列数据,并采用DTW方法计算该序列与之前标准的平均序列的DTW距离,将其结果作为评价光照效果的指标之一,即MDTW。第二部分,按照式(17)与表1中方法计算临近点的图像强度方差,并最终采用式(16)计算面部照明均匀度。After completing the face brightness calculation modeling and light occlusion judgment modeling, the face lighting uniformity evaluation needs to be carried out. As shown in FIG. 7 , it is a schematic diagram of the sampling points of face illumination uniformity. Specifically, the present invention samples 30 points for evaluating the uniformity of face illumination. The evaluation index function in this part includes two parts. The first part is the calculation result of Dynamic Time Warping (DTW) function. When calculating the DTW function, first accumulate more than 20 face images with uniform lighting conditions, sample the data of 30 points according to the observation point sampling method in Figure 7, and calculate the average value of the image brightness of the corresponding observation points; in the above work On the basis, 30 points are arranged in sequence to form time series data. When obtaining an image data under arbitrary lighting conditions, the image intensities of 30 points are sampled according to the methods in Fig. 7, arranged to form time-series data, and the DTW method is used to calculate the DTW distance between the sequence and the previous standard average sequence. The result is used as one of the indicators to evaluate the lighting effect, namely MDTW. In the second part, calculate the image intensity variance of adjacent points according to formula (17) and the method in Table 1, and finally use formula (16) to calculate the uniformity of facial illumination.
VAR7=VAR(MEAN1,MEAN2,MEAN3,MEAN4) (17)VAR7 =VAR(MEAN1 ,MEAN2 ,MEAN3 ,MEAN4 ) (17)
式中,w1、w2为权重参数;MDTW、MVAR为DTW函数与方差计算结果;VARi(i=1,2,…,6)、VAR、MEANj(j=1,2,3,4)为计算方差与均值的函数。In the formula, w1 , w2 are weight parameters; MDTW , MVAR are DTW function and variance calculation results; VARi (i=1,2,...,6), VAR, MEANj (j=1,2, 3,4) are functions for calculating variance and mean.
表1面部照明均匀度评价参与点选择方法Table 1. Participating point selection method for facial lighting uniformity evaluation
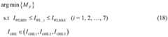
最终,针对上述建模结果,可采用最优化方法进行最优照明控制方法的计算。具体地,本发明采用遗传算法进行上述建模结果的计算。相关计算方法如式(18)所示。Finally, according to the above modeling results, the optimization method can be used to calculate the optimal lighting control method. Specifically, the present invention adopts the genetic algorithm to calculate the above modeling result. The relevant calculation method is shown in formula (18).
其中,min{*}表示计算最小值;IWLMIN和IWLMAX为墙灯输出最小值与最大值;若假设顶灯由三个等级的输出强度控制,则IOHL1、IOHL2、IOHL3表示顶灯的3个控制强度输出。Among them, min{*} represents the calculated minimum value; IWLMIN and IWLMAX are the minimum and maximum output values of the wall light; if it is assumed that the ceiling light is controlled by three levels of output intensity, then IOHL1 , IOHL2 , IOHL3 represent the three ceiling lights Controls intensity output.
综上所述,本发明所述系统可实现对大范围空间区域的补光,且进行最优补光估计与控制时,综合采用了数字图像处理、计算机视觉、模式识别及最优化计算方法,实现了面部感兴趣点的光线从光源出射、面部反射、相机接受响应的全流程精确计算,同时充分考虑了分布式光源的遮挡、面部光影的分布等情况,具有照明效果好、系统识别率高的优点。To sum up, the system of the present invention can realize the supplementary light for a large-scale spatial area, and comprehensively adopts digital image processing, computer vision, pattern recognition and optimization calculation methods when performing optimal supplementary light estimation and control. It realizes the accurate calculation of the whole process of the light emitted from the light source, the facial reflection, and the camera's response to the point of interest on the face. At the same time, it fully considers the occlusion of distributed light sources and the distribution of light and shadow on the face. It has good lighting effects and high system recognition rate. The advantages.
本发明所设计系统和方法,对分布式照明单元与相机单元的安装位置没有限制,只要发光单元与相机的相对位置关系已知,均可进行建模计算与控光,具有系统布局设计灵活,适用范围广的优点。The system and method designed in the present invention have no restrictions on the installation positions of the distributed lighting unit and the camera unit. As long as the relative positional relationship between the light-emitting unit and the camera is known, modeling calculation and light control can be performed, and the system layout design is flexible. Advantages of a wide range of applications.
与基于近红外相机的系统相比,本发明采用的系统仅包括照明单元、可见光相机、中高性能计算与控制电路等,具有系统成本低廉,适合于普及应用推广的优点。Compared with the system based on the near-infrared camera, the system adopted in the present invention only includes an illumination unit, a visible light camera, a medium and high performance computing and control circuit, etc., and has the advantages of low system cost and suitable for popularization and application promotion.
因此,本发明有效克服了现有技术中的种种缺点而具高度产业利用价值。Therefore, the present invention effectively overcomes various shortcomings in the prior art and has high industrial application value.
上述实施例仅例示性说明本发明的原理及其功效,而非用于限制本发明。任何熟悉此技术的人士皆可在不违背本发明的精神及范畴下,对上述实施例进行修饰或改变。因此,举凡所属技术领域中具有通常知识者在未脱离本发明所揭示的精神与技术思想下所完成的一切等效修饰或改变,仍应由本发明的权利要求所涵盖。The above-mentioned embodiments merely illustrate the principles and effects of the present invention, but are not intended to limit the present invention. Anyone skilled in the art can modify or change the above embodiments without departing from the spirit and scope of the present invention. Therefore, all equivalent modifications or changes made by those with ordinary knowledge in the technical field without departing from the spirit and technical idea disclosed in the present invention should still be covered by the claims of the present invention.
以上所述仅为本发明的较佳实施例,并不用以限制本发明,凡在本发明的精神和原则之内,所作的任何修改、等同替换、改进等,均应包含在本发明的保护范围之内。The above are only preferred embodiments of the present invention and are not intended to limit the present invention. Any modifications, equivalent replacements, improvements, etc. made within the spirit and principles of the present invention shall be included in the protection of the present invention. within the range.
| Application Number | Priority Date | Filing Date | Title |
|---|---|---|---|
| CN202110845927.5ACN113569721B (en) | 2021-07-26 | 2021-07-26 | Face recognition system and method based on distributed intelligent light filling |
| Application Number | Priority Date | Filing Date | Title |
|---|---|---|---|
| CN202110845927.5ACN113569721B (en) | 2021-07-26 | 2021-07-26 | Face recognition system and method based on distributed intelligent light filling |
| Publication Number | Publication Date |
|---|---|
| CN113569721Atrue CN113569721A (en) | 2021-10-29 |
| CN113569721B CN113569721B (en) | 2024-09-27 |
| Application Number | Title | Priority Date | Filing Date |
|---|---|---|---|
| CN202110845927.5AActiveCN113569721B (en) | 2021-07-26 | 2021-07-26 | Face recognition system and method based on distributed intelligent light filling |
| Country | Link |
|---|---|
| CN (1) | CN113569721B (en) |
| Publication number | Priority date | Publication date | Assignee | Title |
|---|---|---|---|---|
| US20120112096A1 (en)* | 2010-11-05 | 2012-05-10 | U.S. Government As Represented By The Secretary Of The Army | System and method for determining three-dimensional information from photoemission intensity data |
| CN105913013A (en)* | 2016-04-08 | 2016-08-31 | 青岛万龙智控科技有限公司 | Binocular vision face recognition algorithm |
| WO2017097195A1 (en)* | 2015-12-11 | 2017-06-15 | 宁波舜宇光电信息有限公司 | Lighting module and application thereof |
| CN108401318A (en)* | 2018-02-28 | 2018-08-14 | 景小妮 | Intelligent lighting system and method based on object surface three-dimensional morphology analysis |
| CN108496173A (en)* | 2018-04-12 | 2018-09-04 | 深圳阜时科技有限公司 | Electronic equipment and its face recognition method |
| CN110769164A (en)* | 2019-11-21 | 2020-02-07 | 天津九安医疗电子股份有限公司 | A method for automatically adjusting the lighting level of a target scene and an intelligent lighting control system |
| CN111354018A (en)* | 2020-03-06 | 2020-06-30 | 合肥维尔慧渤科技有限公司 | Object identification method, device and system based on image |
| CN111368596A (en)* | 2018-12-26 | 2020-07-03 | 北京眼神智能科技有限公司 | Face recognition backlight compensation method, device, readable storage medium and device |
| CN111885304A (en)* | 2020-07-16 | 2020-11-03 | 深圳传音控股股份有限公司 | Photographing method, mobile terminal and computer storage medium |
| CN112507781A (en)* | 2020-10-21 | 2021-03-16 | 天津中科智能识别产业技术研究院有限公司 | Multi-dimensional multi-modal group biological feature recognition system and method |
| CN112906529A (en)* | 2021-02-05 | 2021-06-04 | 深圳前海微众银行股份有限公司 | Face recognition light supplementing method and device, face recognition equipment and face recognition system |
| DE102020131353A1 (en)* | 2019-12-16 | 2021-06-17 | Nvidia Corporation | FACIAL ANALYSIS BASED ON A NEURAL NETWORK USING FACE LANDMARKS AND RELATED TRUSTED VALUES |
| Publication number | Priority date | Publication date | Assignee | Title |
|---|---|---|---|---|
| US20120112096A1 (en)* | 2010-11-05 | 2012-05-10 | U.S. Government As Represented By The Secretary Of The Army | System and method for determining three-dimensional information from photoemission intensity data |
| WO2017097195A1 (en)* | 2015-12-11 | 2017-06-15 | 宁波舜宇光电信息有限公司 | Lighting module and application thereof |
| CN105913013A (en)* | 2016-04-08 | 2016-08-31 | 青岛万龙智控科技有限公司 | Binocular vision face recognition algorithm |
| CN108401318A (en)* | 2018-02-28 | 2018-08-14 | 景小妮 | Intelligent lighting system and method based on object surface three-dimensional morphology analysis |
| CN108496173A (en)* | 2018-04-12 | 2018-09-04 | 深圳阜时科技有限公司 | Electronic equipment and its face recognition method |
| CN111368596A (en)* | 2018-12-26 | 2020-07-03 | 北京眼神智能科技有限公司 | Face recognition backlight compensation method, device, readable storage medium and device |
| CN110769164A (en)* | 2019-11-21 | 2020-02-07 | 天津九安医疗电子股份有限公司 | A method for automatically adjusting the lighting level of a target scene and an intelligent lighting control system |
| DE102020131353A1 (en)* | 2019-12-16 | 2021-06-17 | Nvidia Corporation | FACIAL ANALYSIS BASED ON A NEURAL NETWORK USING FACE LANDMARKS AND RELATED TRUSTED VALUES |
| CN111354018A (en)* | 2020-03-06 | 2020-06-30 | 合肥维尔慧渤科技有限公司 | Object identification method, device and system based on image |
| CN111885304A (en)* | 2020-07-16 | 2020-11-03 | 深圳传音控股股份有限公司 | Photographing method, mobile terminal and computer storage medium |
| CN112507781A (en)* | 2020-10-21 | 2021-03-16 | 天津中科智能识别产业技术研究院有限公司 | Multi-dimensional multi-modal group biological feature recognition system and method |
| CN112906529A (en)* | 2021-02-05 | 2021-06-04 | 深圳前海微众银行股份有限公司 | Face recognition light supplementing method and device, face recognition equipment and face recognition system |
| Title |
|---|
| 张驰;刘菲;侯广琦;孙哲南;谭铁牛;: "光场成像技术及其在计算机视觉中的应用", 中国图象图形学报, no. 03, 16 March 2016 (2016-03-16)* |
| Publication number | Publication date |
|---|---|
| CN113569721B (en) | 2024-09-27 |
| Publication | Publication Date | Title |
|---|---|---|
| KR20220132617A (en) | Systems and methods for pose detection and measurement | |
| CN111009007A (en) | Finger multi-feature comprehensive three-dimensional reconstruction method | |
| WO2021042277A1 (en) | Method for acquiring normal vector, geometry and material of three-dimensional object employing neural network | |
| CA3150045A1 (en) | Dynamically estimating light-source-specific parameters for digital images using a neural network | |
| CN110570503A (en) | Method for acquiring normal vector, geometry and material of three-dimensional object based on neural network | |
| CN104766270B (en) | One kind is based on fish-eye actual situation illumination fusion method | |
| CN106875468B (en) | Three-dimensional reconstruction device and method | |
| CN102855626B (en) | Light source direction is demarcated and human body information three-dimensional acquisition method and apparatus | |
| CN106600687B (en) | Multi-direction flame emission chromatography system | |
| CN109297413A (en) | A visual measurement method for large-scale cylindrical structures | |
| CN111879791B (en) | A machine vision system and method for enhancing convex features on a pattern surface | |
| CN110060335B (en) | Virtual-real fusion method for mirror surface object and transparent object in scene | |
| CN106779042B (en) | Device and method for calculating aggregation index of aquaculture fish shoal | |
| CN104463198A (en) | Method for carrying out illumination estimation on real illumination environment | |
| CN108401318B (en) | Intelligent illumination control system and method based on object surface three-dimensional morphology analysis | |
| JP2003109005A (en) | Method for recognizing object obtained by modeling broadened-specular reflection and linear subspace | |
| CN112468954A (en) | Visible light indoor stereo positioning method based on neural network | |
| CN118510098A (en) | LED light source anti-dazzle control method and device, electronic equipment and medium | |
| Nie et al. | A novel photometric stereo method with nonisotropic point light sources | |
| CN115719385A (en) | Vision-based tactile sensor calibration method and device | |
| Song et al. | Photometric stereo with quasi-point light source | |
| CN113569721B (en) | Face recognition system and method based on distributed intelligent light filling | |
| CN118483237A (en) | A chip surface defect detection system and method based on photometric stereo vision | |
| Nie et al. | A novel calibration method for the photometric stereo system with non-isotropic led lamps | |
| CN109377547B (en) | Photometric stereo three-dimensional reconstruction system and reconstruction method for self-calibrating light source direction |
| Date | Code | Title | Description |
|---|---|---|---|
| PB01 | Publication | ||
| PB01 | Publication | ||
| SE01 | Entry into force of request for substantive examination | ||
| SE01 | Entry into force of request for substantive examination | ||
| GR01 | Patent grant | ||
| GR01 | Patent grant |