Movatterモバイル変換


[0]ホーム

URL:


CN113569126A - Multimedia file recommendation method and device and server - Google Patents

Multimedia file recommendation method and device and server
Download PDF

Info

Publication number
CN113569126A
CN113569126ACN202010354372.XACN202010354372ACN113569126ACN 113569126 ACN113569126 ACN 113569126ACN 202010354372 ACN202010354372 ACN 202010354372ACN 113569126 ACN113569126 ACN 113569126A
Authority
CN
China
Prior art keywords
multimedia file
multimedia
file
terminal
playing
Prior art date
Legal status (The legal status is an assumption and is not a legal conclusion. Google has not performed a legal analysis and makes no representation as to the accuracy of the status listed.)
Granted
Application number
CN202010354372.XA
Other languages
Chinese (zh)
Other versions
CN113569126B (en
Inventor
孙洁
Current Assignee (The listed assignees may be inaccurate. Google has not performed a legal analysis and makes no representation or warranty as to the accuracy of the list.)
Beijing Dajia Internet Information Technology Co Ltd
Original Assignee
Beijing Dajia Internet Information Technology Co Ltd
Priority date (The priority date is an assumption and is not a legal conclusion. Google has not performed a legal analysis and makes no representation as to the accuracy of the date listed.)
Filing date
Publication date
Application filed by Beijing Dajia Internet Information Technology Co LtdfiledCriticalBeijing Dajia Internet Information Technology Co Ltd
Priority to CN202010354372.XApriorityCriticalpatent/CN113569126B/en
Publication of CN113569126ApublicationCriticalpatent/CN113569126A/en
Application grantedgrantedCritical
Publication of CN113569126BpublicationCriticalpatent/CN113569126B/en
Activelegal-statusCriticalCurrent
Anticipated expirationlegal-statusCritical

Links

Images

Classifications

Landscapes

Abstract

The disclosure relates to a multimedia file recommendation method, a multimedia file recommendation device and a server, and belongs to the technical field of internet. The method comprises the following steps: acquiring a first historical operation record of a first terminal to be recommended; determining a first playing time parameter of the first multimedia file according to the first playing time of the first multimedia file and the first file time; and recommending a second multimedia file for the first terminal according to the first playing time length parameter and the first multimedia file, wherein if the first file time length is fixed, the first playing time length parameter is positively correlated with the playing completion degree, and if the playing completion degree is fixed, the first playing time length parameter is positively correlated with the first file time length, so that the first playing time length parameter can more accurately reflect the interest degree of the user in the multimedia file, the multimedia file recommended to the user according to the first playing time length parameter is more accurate, and the accuracy of recommending the multimedia file is improved.

Description

Multimedia file recommendation method and device and server
Technical Field
The disclosure relates to the technical field of internet, in particular to a multimedia file recommendation method, a multimedia file recommendation device and a server.
Background
At present, a server corresponding to a short video application obtains a history play record of a user to be recommended, where the history play record includes a play duration of a played short video. And the server maps the playing time length into user behavior data with the data type of two categories through a piecewise function. For example, in response to that the playing duration exceeds the target duration, it is determined that the user likes the short video, that is, the user behavior data of the user for the short video is 1; and in response to that the playing time length does not exceed the target time length, determining that the user does not like the short video, namely that the user behavior data of the user to the short video is 0. And the server recommends the short video for the user according to the user behavior data.
However, mapping the playing time length to the user behavior data with the data type of two categories through the piecewise function can directly determine the user's preference degree for the short video according to the playing time length of the short video, but the mapped user behavior data cannot be completely matched with the playing time length due to different short video time lengths, so that the short video recommended to the user according to the user behavior data cannot accurately reflect the interests of the user, and the accuracy of the recommended short video is low.
Disclosure of Invention
The embodiment of the disclosure provides a multimedia file recommendation method, a multimedia file recommendation device and a server, which can improve the accuracy of recommending multimedia files. The technical scheme is as follows:
according to an aspect of the embodiments of the present disclosure, there is provided a multimedia file recommendation method, including:
acquiring a first historical operation record of a first terminal to be recommended, wherein the first historical operation record is at least used for recording a first multimedia file which is played by the first terminal in a historical manner and the playing time of the first multimedia file;
determining a first playing time length parameter of the first multimedia file according to the first playing time length and a first file time length of the first multimedia file, wherein if the first file time length is fixed, the first playing time length parameter is positively correlated with a playing completion degree, if the playing completion degree is fixed, the first playing time length parameter is positively correlated with the first file time length, and the playing completion degree is determined based on the first playing time length and the first file time length of the first multimedia file;
and recommending a second multimedia file for the first terminal according to the first playing time length parameter and the first multimedia file.
In a possible implementation manner, the first historical operation record is further configured to record first behavior data, where the first behavior data is behavior data of the first terminal to the first multimedia file;
recommending a second multimedia file for the first terminal according to the first playing duration parameter and the first multimedia file, wherein the recommending comprises:
determining the interest characteristic of the first terminal according to the first behavior data, the first multimedia file and the first playing time length parameter;
and recommending a second multimedia file for the first terminal according to the interest characteristics.
In another possible implementation manner, the recommending, according to the first play duration parameter and the first multimedia file, a second multimedia file for the first terminal includes:
determining the second multimedia file through a first multimedia recommendation model according to the first playing time length parameter and the first multimedia file, wherein the first multimedia recommendation model is used for determining the second multimedia file from a first multimedia file library according to the first playing time length and the first multimedia file;
and sending the second multimedia file to the first terminal according to the multimedia playing mode of the first terminal.
In another possible implementation, the number of the second multimedia files is at least two; the sending the second multimedia file to the first terminal according to the multimedia playing mode of the first terminal includes:
and if the multimedia playing mode is a click playing mode, sending at least two second multimedia files to the first terminal, wherein the first terminal is also used for displaying the at least two second multimedia files in a recommendation interface in the click playing mode.
In another possible implementation, the number of the second multimedia files is at least two; the sending the second multimedia file to the first terminal according to the multimedia playing mode of the first terminal includes:
and if the multimedia playing mode is a sliding playing mode, determining a target multimedia file from the at least two second multimedia files, and sending the target multimedia file to the first terminal, wherein the first terminal is further used for playing the target multimedia file when the last multimedia file is played in the sliding playing mode.
According to another aspect of the embodiments of the present disclosure, there is provided a multimedia file recommendation method, the method including:
acquiring sample data, wherein the sample data comprises a sample multimedia file and second behavior data of a second terminal to the sample multimedia file;
obtaining a second playing time length of the sample multimedia file played by the second terminal and a second file time length of the sample multimedia file, and determining a second playing time length parameter of the sample multimedia data according to the second playing time length and the second file time length, wherein if the second file time length is fixed, the second playing time length parameter is positively correlated with a playing completion degree, if the playing completion degree is fixed, the second playing time length parameter is positively correlated with the second file time length, and the playing completion degree is determined based on the second playing time length of the sample multimedia file and the second file time length;
determining the weight of the sample multimedia file according to the second playing time length parameter;
performing model training according to the weight of the sample multimedia file, the sample multimedia file and the second behavior data to obtain a second multimedia recommendation model;
and responding to a received multimedia file acquisition request of a third terminal to be recommended, and sending a third multimedia file to the third terminal according to the multimedia file acquisition request and the second multimedia recommendation model.
In a possible implementation manner, the sending a third multimedia file to the third terminal according to the multimedia file acquisition request and the second multimedia recommendation model includes:
acquiring a second historical operation record of the third terminal according to the multimedia file acquisition request, wherein the second historical operation record comprises third behavior data of a fourth multimedia file by the third terminal;
determining a target behavior type corresponding to the third behavior data according to the third behavior data;
selecting a second multimedia recommendation model corresponding to the target behavior type according to the target behavior type;
predicting the probability of the target behavior type generated by the third terminal to each multimedia file in a second multimedia file library according to the fourth multimedia file, the third behavior data and the second multimedia recommendation model;
selecting the third multimedia file from the second multimedia file library according to the probability of generating a target behavior type for each multimedia file by the third terminal;
and sending the third multimedia file to the third terminal.
According to another aspect of the embodiments of the present disclosure, there is provided a multimedia file recommendation apparatus, the apparatus including:
the system comprises a first obtaining module, a second obtaining module and a recommending module, wherein the first obtaining module is configured to obtain a first historical operation record of a first terminal to be recommended, and the first historical operation record is at least used for recording a first multimedia file which is played by the first terminal in a historical manner and the playing time length of the first multimedia file;
a first determining module configured to determine a first play duration parameter of the first multimedia file according to the first play duration and a first file duration of the first multimedia file, wherein if the first file duration is fixed, the first play duration parameter is positively correlated with a play completion, if the play completion is fixed, the first play duration parameter is positively correlated with the first file duration, and the play completion is determined based on the first play duration and the first file duration of the first multimedia file;
and the recommending module is configured to recommend a second multimedia file to the first terminal according to the first playing time length parameter and the first multimedia file.
In a possible implementation manner, the first historical operation record is further configured to record first behavior data, where the first behavior data is behavior data of the first terminal to the first multimedia file;
the recommendation module is further configured to determine an interest characteristic of the first terminal according to the first behavior data, the first multimedia file and the first play duration parameter; and recommending a second multimedia file for the first terminal according to the interest characteristics.
In another possible implementation manner, the recommending module is further configured to determine the second multimedia file through a first multimedia recommending model according to the first playing time length parameter and the first multimedia file, where the first multimedia recommending model is used to select the second multimedia file from a first multimedia file library according to the first playing time length and the first multimedia file; and sending the second multimedia file to the first terminal according to the multimedia playing mode of the first terminal.
In another possible implementation manner, the recommending module is further configured to send at least two second multimedia files to the first terminal if the multimedia playing mode is a click playing mode, and the first terminal is further configured to display the at least two second multimedia files in a recommending interface in the click playing mode.
In another possible implementation manner, the recommending module is further configured to select a target multimedia file from the at least two second multimedia files and send the target multimedia file to the first terminal if the multimedia playing mode is a sliding playing mode, and the first terminal is further configured to play the target multimedia file when a previous multimedia file is played in the sliding playing mode.
According to another aspect of the embodiments of the present disclosure, there is provided a multimedia file recommendation apparatus, the apparatus including:
the second acquisition module is configured to acquire sample data, wherein the sample data comprises a sample multimedia file and second behavior data of a second terminal to the sample multimedia file;
a third obtaining module, configured to obtain a second playing time length of the sample multimedia file played by the second terminal and a second file time length of the sample multimedia file, and determine a second playing time length parameter of the sample multimedia data according to the second playing time length and the second file time length, wherein if the second file time length is fixed, the second playing time length parameter is positively correlated with a playing completion degree, if the playing completion degree is fixed, the second playing time length parameter is positively correlated with the second file time length, and the playing completion degree is determined based on the second playing time length of the sample multimedia file and the second file time length;
a second determining module configured to determine a weight of the sample multimedia file according to the second play duration parameter;
the model training module is configured to perform model training according to the weight of the sample multimedia file, the sample multimedia file and the second behavior data to obtain a second multimedia recommendation model;
and the sending module is configured to respond to a received multimedia file obtaining request of a third terminal to be recommended, and send a third multimedia file to the third terminal according to the multimedia file obtaining request and the second multimedia recommendation model.
In a possible implementation manner, the sending module is further configured to obtain a second historical operation record of the third terminal according to the multimedia file obtaining request, where the second historical operation record includes third behavior data of a fourth multimedia file by the third terminal; determining a target behavior type corresponding to the third behavior data according to the third behavior data; selecting a second multimedia recommendation model corresponding to the target behavior type according to the target behavior type; predicting the probability of the target behavior type generated by the third terminal to each multimedia file in a second multimedia file library according to the fourth multimedia file, the third behavior data and the second multimedia recommendation model; selecting the third multimedia file from the second multimedia file library according to the probability of generating a target behavior type for each multimedia file by the third terminal; and sending the third multimedia file to the third terminal.
According to another aspect of the embodiments of the present disclosure, there is provided a server, where the server includes a processor and a memory, where the memory stores at least one instruction, and the at least one instruction is loaded and executed by the processor to implement the multimedia file recommendation method according to any one of the foregoing possible implementation manners.
According to another aspect of the embodiments of the present disclosure, there is provided a computer-readable storage medium, where at least one instruction is stored, and the at least one instruction is loaded and executed by a processor to implement the multimedia file recommendation method according to any one of the above-mentioned possible implementation manners.
According to another aspect of the embodiments of the present disclosure, there is provided a computer program product, wherein instructions of the computer program product, when executed by a processor of a terminal or a server, enable the terminal or the server to execute the multimedia file recommendation method described in any one of the above possible implementation manners.
In the embodiment of the disclosure, a first historical operation record of a first terminal to be recommended is obtained; determining a first playing time length score of the first multimedia file according to the first playing time length and the first file time length of the first multimedia file; recommending a second multimedia file for the first terminal according to the first play duration score and the first multimedia file, wherein if the first file duration is fixed, the first play duration parameter is positively correlated with the play completion, if the play completion is fixed, the first play duration parameter is positively correlated with the first file duration, the play completion is determined based on the first play duration and the first file duration of the first multimedia file, the play duration parameter of the multimedia file having the same play completion is positively correlated with the file duration, the play completion is determined based on the play duration and the file duration of the multimedia file, so that the play duration parameter of the multimedia file having the same play completion is positively correlated with the file duration, thereby enabling the first play duration parameter to more accurately reflect the user's interest level in the multimedia file, therefore, the multimedia files recommended to the user according to the first playing time length parameter are more accurate, and the accuracy of recommending the multimedia files is improved.
It is to be understood that both the foregoing general description and the following detailed description are exemplary and explanatory only and are not restrictive of the disclosure.
Drawings
In order to more clearly illustrate the technical solutions in the embodiments of the present disclosure, the drawings needed to be used in the description of the embodiments are briefly introduced below, and it is obvious that the drawings in the following description are only some embodiments of the present disclosure, and it is obvious for those skilled in the art to obtain other drawings based on the drawings without creative efforts.
FIG. 1 is a schematic diagram of an implementation environment shown in accordance with an exemplary embodiment;
FIG. 2 is a flow diagram illustrating a method for multimedia file recommendation, according to an exemplary embodiment;
FIG. 3 is a flow diagram illustrating a method for multimedia file recommendation, according to an exemplary embodiment;
FIG. 4 is a flow diagram illustrating a method for multimedia file recommendation, according to an exemplary embodiment;
FIG. 5 is a diagram illustrating a mapping relationship between file durations and play duration parameters according to an embodiment of the disclosure;
fig. 6 is a schematic diagram illustrating a mapping relationship between a play completion and a play duration parameter according to an embodiment of the disclosure;
FIG. 7 is a diagram illustrating a mapping relationship among file durations, play completions, and play duration parameters according to an embodiment of the disclosure;
FIG. 8 is a diagram illustrating a mapping relationship among file duration, play completion and play duration parameters according to an embodiment of the disclosure;
FIG. 9 is a flow diagram illustrating a method for multimedia file recommendation in accordance with an exemplary embodiment;
FIG. 10 is a flow diagram illustrating a method for multimedia file recommendation, according to an exemplary embodiment;
FIG. 11 is a block diagram illustrating a multimedia file recommendation apparatus in accordance with an exemplary embodiment;
FIG. 12 is a block diagram illustrating a multimedia file recommendation apparatus in accordance with an exemplary embodiment;
FIG. 13 is a block diagram illustrating a server in accordance with an exemplary embodiment.
Detailed Description
In order to make the technical solutions of the present disclosure better understood by those of ordinary skill in the art, the technical solutions in the embodiments of the present disclosure will be clearly and completely described below with reference to the accompanying drawings.
It should be noted that the terms "first," "second," and the like in the description and claims of the present disclosure and in the above-described drawings are used for distinguishing between similar elements and not necessarily for describing a particular sequential or chronological order. It is to be understood that the data so used is interchangeable under appropriate circumstances such that the embodiments of the disclosure described herein are capable of operation in sequences other than those illustrated or otherwise described herein. The implementations described in the exemplary embodiments below are not intended to represent all implementations consistent with the present disclosure. Rather, they are merely examples of apparatus and methods consistent with certain aspects of the present disclosure, as detailed in the appended claims.
FIG. 1 is a schematic diagram illustrating one implementation environment in accordance with an example embodiment. Referring to fig. 1, the embodiment includes afirst terminal 101 and aserver 102. Thefirst terminal 101 may be a mobile phone, a tablet computer, a wearable device, a computer, or other electronic devices. Theserver 102 may be aserver 102, aserver 102 cluster composed ofseveral servers 102, or a cloud computing service center.
Thefirst terminal 101 and theserver 102 may be connected via a wireless network. Moreover, thefirst terminal 101 may have installed thereon a target application that theserver 102 provides services, for example, the target application may be a social contact application, a video application, or an information browsing application, the social contact application may generate a content publishing application for a user, the video application may be a short video application, a live broadcast application, or another video playing application, and the information browsing application may be a news application.
Thefirst terminal 101 may send the first historical operational record of thefirst terminal 101 to theserver 102 via the target application. Theserver 102 recommends a second multimedia file to thefirst terminal 101 according to the first historical operating record of thefirst terminal 101. In the embodiment of the present disclosure, this is not particularly limited, and for example, the first multimedia file and the second multimedia file may be video files or audio files. The first history operation record at least includes a first multimedia file that is played by thefirst terminal 101 in history and a first playing time length for playing the first multimedia file.
Fig. 2 is a flow chart illustrating a multimedia file recommendation method according to an exemplary embodiment. Referring to fig. 2, the multimedia file recommendation method includes the steps of:
in step S201, a first historical operation record of a first terminal to be recommended is obtained, where the first historical operation record is used to record at least a first multimedia file that is played by the first terminal in a historical manner and a playing duration of the first multimedia file that is played by the first terminal.
In step S202, a first playing duration parameter of the first multimedia file is determined according to the first playing duration and a first file duration of the first multimedia file, wherein if the first file duration is fixed, the first playing duration parameter is positively correlated with a playing completion level, if the playing completion level is fixed, the first playing duration parameter is positively correlated with the first file duration, and the playing completion level is determined based on the first playing duration and the first file duration of the first multimedia file.
In step S203, a second multimedia file is recommended to the first terminal according to the first play duration parameter and the first multimedia file.
In a possible implementation manner, the first historical operation record is further used for recording first behavior data, and the first behavior data is behavior data of the first terminal to the first multimedia file;
the recommending a second multimedia file for the first terminal according to the first playing duration parameter and the first multimedia file comprises:
determining the interest characteristic of the first terminal according to the first behavior data, the first multimedia file and the first playing time parameter;
and recommending a second multimedia file for the first terminal according to the interest characteristic.
In another possible implementation manner, the recommending a second multimedia file for the first terminal according to the first play duration parameter and the first multimedia file includes:
determining the second multimedia file through a first multimedia recommendation model according to the first playing time length parameter and the first multimedia file, wherein the first multimedia recommendation model is used for determining the second multimedia file from a first multimedia file library according to the first playing time length and the first multimedia file;
and sending the second multimedia file to the first terminal according to the multimedia playing mode of the first terminal.
In another possible implementation, the number of the second multimedia files is at least two; the sending the second multimedia file to the first terminal according to the multimedia playing mode of the first terminal includes:
and if the multimedia playing mode is a click playing mode, sending at least two second multimedia files to the first terminal, wherein the first terminal is also used for displaying the at least two second multimedia files in a recommendation interface under the click playing mode.
In another possible implementation, the number of the second multimedia files is at least two; the sending the second multimedia file to the first terminal according to the multimedia playing mode of the first terminal includes:
and if the multimedia playing mode is a sliding playing mode, determining a target multimedia file from the at least two second multimedia files, and sending the target multimedia file to the first terminal, wherein the first terminal is also used for playing the target multimedia file when the last multimedia file is played in the sliding playing mode.
In the embodiment of the disclosure, a first historical operation record of a first terminal to be recommended is obtained; determining a first playing time parameter of the first multimedia file according to the first playing time of the first multimedia file and the first file time; recommending a second multimedia file for the first terminal according to the first playing time length parameter and the first multimedia file, wherein if the first file time length is fixed, the first playing time length parameter is positively correlated with the playing completion degree, if the playing completion degree is fixed, the first playing time length parameter is positively correlated with the first file time length, the playing completion degree is determined based on the first playing time length and the first file time length of the first multimedia file, and the playing time length parameter of the multimedia file with the same playing completion degree is positively correlated with the file time length, so that the first playing time length parameter can more accurately reflect the interest degree of the user on the multimedia file, the multimedia file recommended to the user according to the first playing time length parameter is more accurate, and the accuracy of recommending the multimedia file is improved.
Fig. 3 is a flow chart illustrating a multimedia file recommendation method according to an exemplary embodiment. Referring to fig. 3, the multimedia file recommendation method includes the steps of:
in step S301, sample data is obtained, where the sample data includes a sample multimedia file and second behavior data of the second terminal on the sample multimedia file.
In step S302, a second playing time duration of the sample multimedia file played by the second terminal and a second file time duration of the sample multimedia file are obtained, and a second playing time duration parameter of the sample multimedia data is determined according to the second playing time duration and the second file time duration, wherein if the second file time duration is fixed, the second playing time duration parameter is positively correlated with a playing completion degree, if the playing completion degree is fixed, the second playing time duration parameter is positively correlated with the second file time duration, and the playing completion degree is determined based on the second playing time duration and the second file time duration of the sample multimedia file.
In step S303, a weight of the sample multimedia file is determined according to the second playing time duration parameter.
In step S304, model training is performed according to the weight of the sample multimedia file, and the second behavior data, so as to obtain a second multimedia recommendation model.
In step S305, in response to receiving a multimedia file acquisition request of a third terminal to be recommended, a third multimedia file is sent to the third terminal according to the multimedia file acquisition request and the second multimedia recommendation model.
In a possible implementation manner, the sending a third multimedia file to the third terminal according to the multimedia file acquisition request and the second multimedia recommendation model includes:
acquiring a second historical operation record of the third terminal according to the multimedia file acquisition request, wherein the second historical operation record comprises third behavior data of a fourth multimedia file by the third terminal;
determining a target behavior type corresponding to the third behavior data according to the third behavior data;
selecting a second multimedia recommendation model corresponding to the target behavior type according to the target behavior type;
predicting the probability of the target behavior type generated by the third terminal to each multimedia file in a second multimedia file library according to the fourth multimedia file, the third behavior data and the second multimedia recommendation model;
selecting the third multimedia file from the second multimedia file library according to the probability of generating a target behavior type for each multimedia file by the third terminal;
and sending the third multimedia file to the third terminal.
In the embodiment of the disclosure, a second historical operation record of a third terminal to be recommended is obtained, wherein the second historical operation record comprises third behavior data of the third terminal on a fourth multimedia file; and according to the fourth multimedia file and the third behavior data, determining a third multimedia file to be recommended through a second multimedia recommendation model, sending the third multimedia file to a third terminal, and predicting the probability of generating the target behavior type of the multimedia file, so that the third multimedia file which can generate the target behavior type is recommended to the third terminal, and the accuracy of recommending the multimedia file to the third terminal is improved.
Fig. 4 is a flowchart illustrating a multimedia file recommendation method according to an exemplary embodiment, where the server recommends a second multimedia file to a first terminal according to a first historical operation record of the first terminal. Referring to fig. 4, the multimedia file recommendation method includes the steps of:
in step S401, a first history operation record of a first terminal to be recommended is acquired.
The first history operation record is at least used for recording a first multimedia file which is played by the first terminal in history and a first playing time length for playing the first multimedia file. The first historical operation record is generated according to the operation of the user received by the first terminal. For example, when any short video file is played in the first terminal, the first terminal may count information such as a time point, a playing frequency, and a playing duration of the short video file, at which the first terminal plays the short video, and record the counted information locally.
The server may obtain a first historical operating record of the first terminal through a network connection with the first terminal. The server can actively acquire the first historical operating record from the first terminal. Accordingly, the server may send a record obtaining request to the first terminal, and the first terminal sends the recorded first historical operation record to the server according to the record obtaining request. The record obtaining request may carry a target time period, and correspondingly, the first terminal obtains the first historical operation record in the target time period, and sends the first historical operation record in the target time period to the server. The server may periodically send a record acquisition request to the first terminal, or the server may send the record acquisition request to the first terminal only when receiving the multimedia recommendation instruction. In the embodiments of the present disclosure, this is not particularly limited.
The first terminal may also actively send the first historical operation record to the server. Correspondingly, the server receives the first historical operation record sent by the first terminal. The first terminal may periodically send the first historical operation record to the server, or the first terminal may send the first historical operation record to the server when the first terminal finishes recording the first historical operation record. In the embodiments of the present disclosure, this is not particularly limited.
In step S402, a first playing duration parameter of the first multimedia file is determined according to the first playing duration and the first file duration of the first multimedia file.
If the first file duration is fixed, the first playing duration parameter is positively correlated with the playing completion degree, if the playing completion degree is fixed, the first playing duration parameter is positively correlated with the first file duration, and the playing completion degree is determined based on the first playing duration and the first file duration of the first multimedia file. That is, the playing duration parameter of the multimedia file having the same file duration is positively correlated with the playing completion, and the playing duration parameter of the multimedia file having the same playing completion is positively correlated with the file duration, and the playing completion is determined based on the playing duration and the file duration of the multimedia file. The first file duration is the total duration of the first multimedia file. In this step, the server may obtain attribute information of the first multimedia file, and obtain a first file duration of the first multimedia file from the attribute information. Correspondingly, the server can store the corresponding relationship between the file identifiers and the attribute information of the multiple multimedia files, when the server acquires the first historical operation record, the file identifier of the first multimedia file is determined according to the first historical operation record, the attribute information of the first multimedia file is acquired from the corresponding relationship between the file identifiers and the attribute information of the multiple multimedia files according to the file identifier of the first multimedia file, and then the first file duration of the first multimedia file is determined from the attribute information.
The server may determine the first play time parameter through a play time determining function, and correspondingly, the step may be: and determining a first playing time length parameter of the first multimedia file through a playing time length parameter determining function according to the first playing time length and the first file time length of the first multimedia file, wherein the playing time length parameter determining function is a nonlinear function and is used for positively correlating the playing time length parameter of the multimedia file with the same file time length with the playing completion degree, and the playing time length parameter of the multimedia file with the same playing completion degree with the file time length. In the embodiment of the present disclosure, the playing duration of the first multimedia file is scored through a non-linear and continuously derivable playing duration parameter determination function, so that the server can obtain a continuous score of each playing duration of the first multimedia file.
The first play duration parameter rule of the first multimedia file may be: referring to fig. 5, fig. 5 is a schematic diagram illustrating a mapping relationship between a first file duration and a first play duration parameter at a first play duration of a certain time according to an embodiment of the present disclosure; when the video playing time is fixed, the playing completion degree of the first multimedia file is higher, referring to fig. 6, fig. 6 is a schematic diagram illustrating a mapping relationship between the playing completion degree and a first playing time parameter when the first playing time is fixed according to an embodiment of the present disclosure; in the case that the playing completion degree is fixed, the longer the first file duration of the first multimedia file is, the higher the first playing duration parameter is, referring to fig. 7, fig. 7 is a schematic diagram illustrating a mapping relationship between the first file duration, the playing completion degree, and the first playing duration parameter according to an embodiment of the present disclosure.
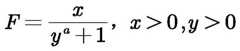
Wherein the play-out duration parameter determining function may be determined by a play-out duration parameter function. In a possible implementation, the play-out duration parameter determining function may be determined directly from the play-out duration parameter function. For example, the play-time parameter function can be represented by the following formula one.
The formula I is as follows:
Figure BDA0002472965170000131
where F is the first playing time duration parameter, x represents the playing time duration, y represents the file time duration, a represents the logic parameter, where a is a number greater than 0 and less than 1, e.g., a may have a value of 0.85,
Figure BDA0002472965170000132
representing a play duration parameter function affected by the play completion and the file duration.
In another possible implementation manner, after the server obtains the first playing time length parameter according to the formula one, normalization processing may be performed on the first playing time length parameter through a normalization function. Correspondingly, when the first playing time length parameter is the normalized first playing time length parameter, the process of determining the first playing time length parameter of the first multimedia file by the server according to the first playing time length and the first file time length and through the playing time length parameter determining function may be: the server normalizes the first playing time length parameter through a normalization function to obtain the normalized first playing time length parameter.
The normalization function may be any function having a normalization function, for example, the normalization function may be a hyperbolic tangent function. Referring to fig. 8, the first play-time duration parameter is mapped between [0, 1] by a normalization function, and accordingly, the normalized first play-time duration parameter can be represented by formula two.
The formula II is as follows:
Figure BDA0002472965170000133
wherein F' is the normalized first playing time length parameter, x represents the playing time length, y represents the file time length, a represents the logic parameter, wherein a is a number greater than 0 and less than 1, for example, the value of a may be 0.85,
Figure BDA0002472965170000134
the tan () represents a hyperbolic tangent function, which is used to normalize the first playing time parameter to obtain a normalized first playing time parameter.
In this step, the obtained first playing time length parameter is normalized through a normalization function, so that the first playing time length parameter obtained through the playing time length parameter determining function can be mapped to [0, 1], and the server is convenient to recommend a second multimedia file to the terminal according to the first playing time length parameter and the first multimedia file.
In step S403, a second multimedia file is recommended to the first terminal according to the first play duration parameter and the first multimedia file.
In this step, the server summarizes the interest characteristics of the user corresponding to the first terminal according to the first playing time length parameter and the first multimedia file, and recommends a second multimedia file to the first terminal according to the interest characteristics of the user.
It should be noted that the server may recommend the second multimedia file to the first terminal only according to the first play time parameter of the first multimedia file. The server can also recommend a second multimedia file to the first target terminal by combining the first playing time length parameter of the first multimedia file and the first behavior data corresponding to the first multimedia file. Correspondingly, the first historical operating record also comprises first behavior data of the first terminal to the first multimedia file; the server may also recommend a second multimedia file to the first terminal based on the first behavior data and the first play-time parameter and the first multimedia file, which may be implemented by the following steps (a1) - (a2), including:
(A1) and determining the interest characteristics of the first terminal according to the first behavior data, the first multimedia file and the first play duration parameter.
The first behavior data may include operations of user like approval, forwarding, commenting, paying attention and rewarding for the first multimedia file, and may further include information of time points when the user generates the operations. In this step, the server may summarize the characteristics of the first multimedia file in which the user behavior is generated according to the first behavior data, the first multimedia file, and the first play duration parameter generated by the first terminal for the first multimedia file, to obtain the interest characteristics of the first terminal. The server may summarize a first interest feature according to the first behavior data and the first multimedia file, summarize a second interest feature according to the first multimedia file and the first play duration parameter, and summarize a user feature of the first terminal according to the first interest feature and the second interest feature.
(A2) And recommending a second multimedia file for the first terminal according to the interest characteristic.
And the server selects a second multimedia file matched with the interest characteristics according to the acquired interest characteristics.
It should be noted that, the server may obtain, from the same first multimedia file, the first play duration and the first behavior data of the first terminal for the first multimedia file, and the server may also obtain, from different first multimedia files, the first play duration and the first behavior data of the first terminal for different multimedia files, which is not specifically limited in this embodiment of the disclosure.
In addition, a first multimedia recommendation model can be stored in the server, and correspondingly, the server can recommend a second multimedia file to the first terminal through the first multimedia recommendation model. The process may be implemented by the following steps (B1) - (B2), including:
(B1) and determining the second multimedia file through a first multimedia recommendation model according to the first playing time length parameter and the first multimedia file, wherein the first multimedia recommendation model is used for selecting the second multimedia file from a first multimedia file library according to the first playing time length and the first multimedia file.
In this step, the server selects a second multimedia file matching the first playing time length parameter and the interest feature corresponding to the first multimedia file from the first multimedia file library through the first multimedia file recommendation model.
It should be noted that, before this step, the server needs to perform model training on the first multimedia recommendation model to obtain a stable and accurate first multimedia recommendation model. In the model training process, the server obtains a third multimedia recommendation model, and trains the third multimedia recommendation model according to the sample data to obtain the first multimedia recommendation model.
The process of training the third multimedia recommendation model may be: acquiring a sample multimedia file, and acquiring a third playing time length parameter of the sample multimedia file, wherein the third playing time length parameter is a real playing completion score corresponding to the first sample multimedia file; adding the playing completion index into the fourth multimedia recommendation model to obtain a fifth multimedia recommendation model; determining a fourth playing time length parameter of the first sample multimedia file according to the fifth multimedia recommendation model, wherein the fourth playing time length parameter is a predicted value of the fifth multimedia recommendation model to the playing time length parameter of the first sample multimedia file; determining a loss value of the fifth multimedia recommendation model according to the third playing time length parameter and the fourth playing time length parameter; adjusting the model parameters of the fifth multimedia recommendation model according to the loss value to obtain a sixth multimedia recommendation model; and determining a fifth playing duration parameter of the first sample multimedia file according to the sixth multimedia recommendation model until the loss value of the sixth multimedia recommendation model is smaller than a preset threshold value, so as to obtain the first multimedia recommendation model.
It should be noted that the first multimedia recommendation model may be determined only by the play duration parameter prediction model, that is, the first multimedia recommendation model may recommend the second multimedia file to the first terminal only according to the first play duration parameter. In another possible implementation manner, the first multimedia recommendation model may recommend the second multimedia file to the first terminal according to a plurality of recommendation indexes. Correspondingly, the first multimedia recommendation model can be used for collecting multiple recommendation indexes, the server can be used for training a prediction model corresponding to each recommendation index to obtain the prediction model of each recommendation index, the output values of the prediction models of different recommendation indexes are input into the first multimedia recommendation model, and the first multimedia recommendation model is combined with the prediction models of the multiple recommendation indexes to recommend a second multimedia file to the first terminal.
In response to that the first multimedia file recommendation model is a model for recommending a second multimedia file to the first terminal recommendation index according to multiple recommendation indexes, the server may add relevant parameters of corresponding recommendation indexes to a third multimedia file recommendation model according to the recommendation indexes of the third multimedia file recommendation model. Or, the new recommendation index is replaced by the original recommendation index, so that the resource of model training is saved.
(B2) And sending the second multimedia file to the first terminal according to the multimedia playing mode of the first terminal.
The multimedia playing mode of the first terminal may be a click playing mode or a slide playing mode. The method comprises the steps that a click playing mode refers to that file identifiers of at least two multimedia files can be displayed in a display interface of a first terminal, if the first terminal receives a click operation on any file identifier, the multimedia file to be played selected by a user is determined according to the click operation, the multimedia file is skipped to a playing interface of the multimedia file, and the multimedia file is played in the playing interface of the multimedia file. The sliding play mode refers to that the current multimedia file is played in a display interface of the first terminal, and if the playing of the current multimedia file is finished, the next multimedia file is directly played; or, if the first terminal receives the sliding operation of the user in the process of playing the current multimedia file, determining to play the next multimedia file or the previous multimedia file according to the sliding operation.
In addition, the multimedia playing mode of the first terminal may be a default multimedia playing mode of a target application installed in the first terminal, and the multimedia playing mode of the first terminal may also be a multimedia playing mode determined according to a playing habit of a user
The number of the second multimedia files may be at least two. The server may present the at least two second multimedia files according to a multimedia play mode of the first terminal. Correspondingly, in a possible implementation manner, the step of sending the second multimedia file to the first terminal according to the multimedia play mode of the first terminal may be: and if the multimedia playing mode is a click playing mode, the server sends at least two second multimedia files to the first terminal, and the first terminal is also used for displaying the at least two second multimedia files in a recommendation interface under the click playing mode.
In this implementation manner, the server may recommend at least two second multimedia files to the first terminal according to a first file acquisition request of the first terminal after receiving the first file acquisition request. The first file obtaining request may be a request generated when the first target terminal opens the target application program, or may be a request generated when the first terminal refreshes the display interface. The server may determine the number of the second multimedia files according to default settings, and may also send the number of the second multimedia files to the first terminal according to the number of the multimedia files displayed in the display interface of the first terminal.
And the server can sort the multimedia in the multimedia file library according to the interest characteristics of the user corresponding to the first terminal according to the first multimedia recommendation model, and distribute the second multimedia files to the first terminal in a stepped manner according to the sorting. For example, the server sorts video files in the multimedia file library according to interest characteristics corresponding to the first terminal to obtain multimedia files 1-10, sends the multimedia files 1-3 to the first terminal according to a first file acquisition request of the first terminal, and sends the multimedia files 4-6 to the first terminal in response to receiving the multimedia acquisition request of the first terminal again, and so on.
In another possible implementation manner, according to the multimedia play mode of the first terminal, the step of sending the second multimedia file to the first terminal may be: if the multimedia playing mode is a sliding playing mode, the server determines a target multimedia file from the at least two second multimedia files and sends the target multimedia file to the first terminal, and the first terminal is further used for playing the target multimedia file when the last multimedia file is played in the sliding playing mode.
In this implementation manner, the server may recommend, to the first terminal, at least two second multimedia files according to the second file acquisition request after receiving the second file acquisition request of the first terminal, and the first terminal plays the at least two second multimedia files according to the recommended sequence of the at least two second multimedia files. The second file obtaining request may be a request generated when the first target terminal opens the target application program, or may be a request generated when the first terminal refreshes the display interface.
And the server can sort the multimedia in the multimedia file library according to the interest characteristics of the user corresponding to the first terminal according to the first multimedia recommendation model, and recommend at least two second multimedia files to the first terminal according to the sorting. For example, the server sorts video files in the multimedia file library according to interest characteristics corresponding to the first terminal to obtain multimedia files 1-10, and the first terminal plays the second multimedia files in the display interface sequentially according to the sorting of the multimedia files before sending a next second file acquisition request.
In the embodiment of the disclosure, a first historical operation record of a first terminal to be recommended is obtained; determining a first playing time parameter of the first multimedia file according to the first playing time of the first multimedia file and the first file time; recommending a second multimedia file for the first terminal according to the first playing time length parameter and the first multimedia file, wherein if the first file time length is fixed, the first playing time length parameter is positively correlated with the playing completion degree, if the playing completion degree is fixed, the first playing time length parameter is positively correlated with the first file time length, and the playing completion degree is determined based on the first playing time length and the first file time length of the first multimedia file, so that the playing time length parameter of the multimedia file with the same playing completion degree is positively correlated with the file time length, and the first playing time length parameter can more accurately reflect the interest degree of the user in the multimedia file, so that the multimedia file recommended to the user according to the first playing time length parameter is more accurate, and the accuracy of recommending the multimedia file is improved.
In addition, the server can also recommend the multimedia files which are possibly subjected to the user behaviors by the user to the user by predicting the user behaviors of the multimedia files in the multimedia file library. Before that, model training is needed to obtain a second multimedia recommendation model. In the process of model training, the sample data can be weighted by combining the playing time parameter of each sample data. Fig. 9 is a flowchart of a multimedia file recommendation method according to an exemplary embodiment, and this embodiment is described by taking an example in which a server weights sample data and performs model training on the weighted sample data to obtain a second multimedia recommendation model. Referring to fig. 9, the multimedia file recommendation method includes the steps of:
in step S901, sample data is obtained, where the sample data includes a sample multimedia file and second behavior data of the second terminal to the sample multimedia file.
The second terminal is a terminal that generates sample data, and the second terminal may be the same terminal as the first terminal or a terminal different from the first terminal. The second behavior data is the same as the data corresponding to the behavior type included in the first behavior data, and may include: a play duration of the sample multimedia file, and at least one of praise, comment, forward, follow, and reward. The server can store the user behaviors generated on other second terminals as second behavior data locally, and when model training is needed, the second behavior data can be directly called.
In step S902, a second playing time duration of the sample multimedia file played by the second terminal and a second file time duration of the sample multimedia file are obtained, and a second playing time duration parameter of the sample multimedia data is determined according to the second playing time duration and the second file time duration.
This step is similar to step S403, and is not described herein again.
In step S903, a weight of the sample multimedia file is determined according to the second play duration parameter.
In this step, the sample multimedia files are weighted according to the second playing time length parameter, and the learning weight of the sample multimedia files with the higher second playing time length parameter is increased, so that the second multimedia recommendation model can learn more information of samples with more excellent time length when training other classification indexes by adding time length information in the sample multimedia files, and the time length information is fused in the second multimedia recommendation model, so that the second multimedia recommendation model can predict more accurately.
In step S904, model training is performed according to the weight of the sample multimedia file, and the second behavior data, so as to obtain the second multimedia recommendation model.
The process of training the model is similar to the process of training the first multimedia recommendation model in step S402, and is not described herein again.
In the embodiment of the disclosure, the sample multimedia files are weighted, the learning weight of the sample multimedia files with higher second playing time length parameters is increased, and therefore, time length information is added into the sample multimedia files, so that when other classification indexes are trained, the second multimedia recommendation model can learn more information of samples with more excellent time lengths, time length information is fused into the second multimedia recommendation model, the second multimedia recommendation model can predict more accurately, and the accuracy of prediction through the second multimedia recommendation model is improved.
The second multimedia recommendation model can be a model for predicting user behaviors, and the server can predict the user behaviors through the second multimedia recommendation model and recommend a third multimedia file to the third terminal according to the predicted user behaviors. Fig. 10 is a flowchart illustrating a multimedia file recommendation method according to an exemplary embodiment, which is described by taking an example that a server recommends a third multimedia file to a third terminal according to a second multimedia recommendation model and according to predicted user behavior. Referring to fig. 10, the multimedia file recommendation method includes the steps of:
in step S1001, in response to receiving a multimedia file acquisition request of a third terminal to be recommended, a second historical operation record of the third terminal to be recommended is acquired according to the multimedia file acquisition request, where the second historical operation record includes third behavior data of a fourth multimedia file by the third terminal.
This step is similar to step S401 and will not be described herein again.
Before this step, model training is required to obtain the second multimedia recommendation model. The training process can be obtained through steps S901 to S904, which are not described herein.
Wherein the third behavior data at least comprises at least one of approval, comment, forwarding, attention and appreciation of the fourth multimedia file by the third terminal. The server can select a second multimedia recommendation model corresponding to the target behavior type according to the target behavior type included in the third behavior data, and predict the target behavior type through the second multimedia recommendation model to determine the probability that the third terminal will generate the target behavior type.
In step S1002, a target behavior type corresponding to the third behavior data is determined according to the third behavior data.
In this step, the server obtains the third behavior data, analyzes the third behavior data, and determines a target behavior type corresponding to the third behavior data.
In step S1003, according to the target behavior type, a second multimedia recommendation model corresponding to the target behavior type is selected.
The server can store second multimedia recommendation models corresponding to different target behavior types and the corresponding relation between the target behavior types and the second multimedia recommendation models. In this step, the server may obtain, according to the target behavior type, the second multimedia recommendation model corresponding to the target behavior type from the correspondence between the target behavior type and the second multimedia recommendation model.
In step S1004, a probability that the third terminal generates the target behavior type for each multimedia file in the second multimedia file library is predicted according to the fourth multimedia file, the third behavior data and the second multimedia recommendation model.
In this step, the server inputs a fourth multimedia file and the third behavior data into a second multimedia recommendation model, and the second multimedia recommendation model predicts the multimedia files in a second multimedia file library according to the fourth multimedia file and the third behavior data, and determines the probability that the third terminal generates a target behavior type for each multimedia file.
In step S1005, the third multimedia file is selected from the second multimedia file library according to the probability that the third terminal generates the target behavior type for each multimedia file.
In this step, the server may sort the multimedia files in the second multimedia file library according to the probability of the target behavior type corresponding to each multimedia file, and select a third multimedia file according to the result of the sorting.
In step S1006, the third multimedia file is transmitted to the third terminal.
This step is similar to step S403, and is not described herein again.
In the embodiment of the disclosure, a second historical operation record of a third terminal to be recommended is obtained, wherein the second historical operation record comprises third behavior data of the third terminal on a fourth multimedia file; and according to the fourth multimedia file and the third behavior data, determining a third multimedia file to be recommended through a second multimedia recommendation model, sending the third multimedia file to a third terminal, and predicting the probability of generating the target behavior type of the multimedia file, so that the third multimedia file which can generate the target behavior type is recommended to the third terminal, and the accuracy of recommending the multimedia file to the third terminal is improved.
All the above optional technical solutions may be combined arbitrarily to form the optional embodiments of the present disclosure, and are not described herein again.
Fig. 11 is a block diagram illustrating a multimedia file recommendation apparatus according to an example embodiment. Referring to fig. 11, the apparatus includes:
a first obtainingmodule 1101 configured to obtain a first historical operation record of a first terminal to be recommended, where the first historical operation record is used to record at least a first multimedia file that is played by the first terminal in a historical manner and a playing time length for which the first multimedia file is played;
a first determiningmodule 1102 configured to determine a first playing time duration parameter of the first multimedia file according to the first playing time duration and a first file time duration of the first multimedia file, wherein if the first file time duration is fixed, the first playing time duration parameter is positively correlated with a playing completion degree, if the playing completion degree is fixed, the first playing time duration parameter is positively correlated with the first file time duration, and the playing completion degree is determined based on the first playing time duration and a first file time duration of the first multimedia file;
a recommendingmodule 1103 configured to recommend a second multimedia file to the first terminal according to the first playing time parameter and the first multimedia file.
In a possible implementation manner, the first historical operation record is further used for recording first behavior data, and the first behavior data is behavior data of the first terminal to the first multimedia file;
the recommendingmodule 1103 is further configured to determine an interest characteristic of the first terminal according to the first behavior data, the first multimedia file and the first playing time parameter; and recommending a second multimedia file for the first terminal according to the interest characteristic.
In another possible implementation manner, the recommendingmodule 1103 is further configured to determine the second multimedia file through a first multimedia recommendation model according to the first playing time length parameter and the first multimedia file, where the first multimedia recommendation model is used to select the second multimedia file from a first multimedia file library according to the first playing time length and the first multimedia file; and sending the second multimedia file to the first terminal according to the multimedia playing mode of the first terminal.
In another possible implementation manner, the recommendingmodule 1103 is further configured to send at least two second multimedia files to the first terminal if the multimedia playing mode is the click playing mode, and the first terminal is further configured to display the at least two second multimedia files in the recommending interface in the click playing mode.
In another possible implementation manner, the recommendingmodule 1103 is further configured to select a target multimedia file from the at least two second multimedia files and send the target multimedia file to the first terminal if the multimedia playing mode is a sliding playing mode, where the first terminal is further configured to play the target multimedia file when a last multimedia file is played in the sliding playing mode.
In the embodiment of the disclosure, a first historical operation record of a first terminal to be recommended is obtained; determining a first playing time parameter of the first multimedia file according to the first playing time of the first multimedia file and the first file time; recommending a second multimedia file for the first terminal according to the first playing time length parameter and the first multimedia file, wherein if the first file time length is fixed, the first playing time length parameter is positively correlated with the playing completion degree, if the playing completion degree is fixed, the first playing time length parameter is positively correlated with the first file time length, the playing completion degree is determined based on the first playing time length and the first file time length of the first multimedia file, and the playing time length parameter of the multimedia file with the same playing completion degree is positively correlated with the file time length, so that the first playing time length parameter can more accurately reflect the interest degree of the user on the multimedia file, the multimedia file recommended to the user according to the first playing time length parameter is more accurate, and the accuracy of recommending the multimedia file is improved.
Fig. 12 is a block diagram illustrating a multimedia file recommendation apparatus according to an example embodiment. Referring to fig. 12, the apparatus includes:
a second obtainingmodule 1201 configured to obtain sample data, where the sample data includes a sample multimedia file and second behavior data of the second terminal to the sample multimedia file;
a third obtainingmodule 1202, configured to obtain a second playing time duration of the sample multimedia file played by the second terminal and a second file time duration of the sample multimedia file, and determine a second playing time duration parameter of the sample multimedia data according to the second playing time duration and the second file time duration, where if the second file time duration is fixed, the second playing time duration parameter is positively correlated with a playing completion degree, if the playing completion degree is fixed, the second playing time duration parameter is positively correlated with the second file time duration, and the playing completion degree is determined based on the second playing time duration and the second file time duration of the sample multimedia file;
a second determiningmodule 1203, configured to determine a weight of the sample multimedia file according to the second playing duration parameter;
amodel training module 1204, configured to perform model training according to the weight of the sample multimedia file, and the second behavior data, to obtain a second multimedia recommendation model;
the sendingmodule 1205 is configured to, in response to receiving a multimedia file obtaining request of a third terminal to be recommended, send a third multimedia file to the third terminal according to the multimedia file obtaining request and the second multimedia recommendation model.
In a possible implementation manner, the sendingmodule 1205 is further configured to obtain, according to the multimedia file obtaining request, a second historical operation record of the third terminal, where the second historical operation record includes third behavior data of a fourth multimedia file by the third terminal; determining a target behavior type corresponding to the third behavior data according to the third behavior data; selecting a second multimedia recommendation model corresponding to the target behavior type according to the target behavior type; predicting the probability of the target behavior type generated by the third terminal to each multimedia file in a second multimedia file library according to the fourth multimedia file, the third behavior data and the second multimedia recommendation model; selecting the third multimedia file from the second multimedia file library according to the probability of generating a target behavior type for each multimedia file by the third terminal; and sending the third multimedia file to the third terminal.
In the embodiment of the disclosure, a second historical operation record of a third terminal to be recommended is obtained, wherein the second historical operation record comprises third behavior data of the third terminal on a fourth multimedia file; and according to the fourth multimedia file and the third behavior data, determining a third multimedia file to be recommended through a second multimedia recommendation model, sending the third multimedia file to a third terminal, and predicting the probability of generating the target behavior type of the multimedia file, so that the third multimedia file which can generate the target behavior type is recommended to the third terminal, and the accuracy of recommending the multimedia file to the third terminal is improved.
It should be noted that: in the multimedia file recommendation apparatus provided in the foregoing embodiment, when performing multimedia recommendation, only the division of the functional modules is illustrated, and in practical applications, the functions may be allocated by different functional modules according to needs, that is, the internal structure of the terminal is divided into different functional modules to complete all or part of the functions described above. In addition, the multimedia file recommendation device provided in the above embodiment and the multimedia file recommendation method embodiment belong to the same concept, and specific implementation processes thereof are described in the method embodiment in detail and are not described herein again.
Fig. 13 is a block diagram of a server according to an exemplary embodiment, where theserver 1300 may have a relatively large difference due to different configurations or performances, and may include one or more processors (CPUs) 1301 and one ormore memories 1302, where thememory 1302 stores at least one instruction, and the at least one instruction is loaded and executed by theprocessor 1301 to implement the multimedia file recommendation method provided by each method embodiment. Of course, the server may also have components such as a wired or wireless network interface, a keyboard, and an input/output interface, so as to perform input/output, and the server may also include other components for implementing the functions of the device, which are not described herein again.
In an exemplary embodiment, a computer-readable storage medium is further provided, in which at least one instruction is stored, and the at least one instruction is executable by a processor in a server to perform the multimedia file recommendation method in the above embodiment. For example, the computer-readable storage medium may be a ROM (Read-Only Memory), a RAM (Random Access Memory), a CD-ROM (Compact Disc Read-Only Memory), a magnetic tape, a floppy disk, an optical data storage device, and the like.
The present disclosure also provides a computer program product, wherein when the instructions in the computer program product are executed by a processor of a terminal or a server, the terminal or the server can execute the multimedia file recommendation method provided by the above method embodiments.
Other embodiments of the disclosure will be apparent to those skilled in the art from consideration of the specification and practice of the disclosure disclosed herein. This disclosure is intended to cover any variations, uses, or adaptations of the disclosure following, in general, the principles of the disclosure and including such departures from the present disclosure as come within known or customary practice within the art to which the disclosure pertains. It is intended that the specification and examples be considered as exemplary only, with a true scope and spirit of the disclosure being indicated by the following claims.
It will be understood that the present disclosure is not limited to the precise arrangements described above and shown in the drawings and that various modifications and changes may be made without departing from the scope thereof. The scope of the present disclosure is limited only by the appended claims.

Claims (10)

1. A method for recommending multimedia files, the method comprising:
acquiring a first historical operation record of a first terminal to be recommended, wherein the first historical operation record is at least used for recording a first multimedia file which is played by the first terminal in a historical manner and the playing time of the first multimedia file;
determining a first playing time length parameter of the first multimedia file according to the first playing time length and a first file time length of the first multimedia file, wherein if the first file time length is fixed, the first playing time length parameter is positively correlated with a playing completion degree, if the playing completion degree is fixed, the first playing time length parameter is positively correlated with the first file time length, and the playing completion degree is determined based on the first playing time length and the first file time length of the first multimedia file;
and recommending a second multimedia file for the first terminal according to the first playing time length parameter and the first multimedia file.
2. The method of claim 1, wherein the first historical operation record is further used for recording first behavior data, and the first behavior data is behavior data of the first terminal on the first multimedia file;
recommending a second multimedia file for the first terminal according to the first playing duration parameter and the first multimedia file, wherein the recommending comprises:
determining the interest characteristic of the first terminal according to the first behavior data, the first multimedia file and the first playing time length parameter;
and recommending a second multimedia file for the first terminal according to the interest characteristics.
3. The method according to claim 1, wherein recommending a second multimedia file for the first terminal according to the first play-time parameter and the first multimedia file comprises:
determining the second multimedia file through a first multimedia recommendation model according to the first playing time length parameter and the first multimedia file, wherein the first multimedia recommendation model is used for determining the second multimedia file from a first multimedia file library according to the first playing time length and the first multimedia file;
and sending the second multimedia file to the first terminal according to the multimedia playing mode of the first terminal.
4. The method of claim 3, wherein the number of the second multimedia files is at least two; the sending the second multimedia file to the first terminal according to the multimedia playing mode of the first terminal includes:
and if the multimedia playing mode is a click playing mode, sending at least two second multimedia files to the first terminal, wherein the first terminal is also used for displaying the at least two second multimedia files in a recommendation interface in the click playing mode.
5. The method of claim 3, wherein the number of the second multimedia files is at least two; the sending the second multimedia file to the first terminal according to the multimedia playing mode of the first terminal includes:
and if the multimedia playing mode is a sliding playing mode, determining a target multimedia file from the at least two second multimedia files, and sending the target multimedia file to the first terminal, wherein the first terminal is further used for playing the target multimedia file when the last multimedia file is played in the sliding playing mode.
6. A method for recommending multimedia files, the method comprising:
acquiring sample data, wherein the sample data comprises a sample multimedia file and second behavior data of a second terminal to the sample multimedia file;
obtaining a second playing time length of the sample multimedia file played by the second terminal and a second file time length of the sample multimedia file, and determining a second playing time length parameter of the sample multimedia data according to the second playing time length and the second file time length, wherein if the second file time length is fixed, the second playing time length parameter is positively correlated with a playing completion degree, if the playing completion degree is fixed, the second playing time length parameter is positively correlated with the second file time length, and the playing completion degree is determined based on the second playing time length of the sample multimedia file and the second file time length;
determining the weight of the sample multimedia file according to the second playing time length parameter;
performing model training according to the weight of the sample multimedia file, the sample multimedia file and the second behavior data to obtain a second multimedia recommendation model;
and responding to a received multimedia file acquisition request of a third terminal to be recommended, and sending a third multimedia file to the third terminal according to the multimedia file acquisition request and the second multimedia recommendation model.
7. The method according to claim 6, wherein said sending a third multimedia file to the third terminal according to the multimedia file acquisition request and the second multimedia recommendation model comprises:
acquiring a second historical operation record of the third terminal according to the multimedia file acquisition request, wherein the second historical operation record comprises third behavior data of a fourth multimedia file by the third terminal;
determining a target behavior type corresponding to the third behavior data according to the third behavior data;
selecting a second multimedia recommendation model corresponding to the target behavior type according to the target behavior type;
predicting the probability of the target behavior type generated by the third terminal to each multimedia file in a second multimedia file library according to the fourth multimedia file, the third behavior data and the second multimedia recommendation model;
selecting the third multimedia file from the second multimedia file library according to the probability of generating a target behavior type for each multimedia file by the third terminal;
and sending the third multimedia file to the third terminal.
8. An apparatus for recommending multimedia files, said apparatus comprising:
the system comprises a first obtaining module, a second obtaining module and a recommending module, wherein the first obtaining module is configured to obtain a first historical operation record of a first terminal to be recommended, and the first historical operation record is at least used for recording a first multimedia file which is played by the first terminal in a historical manner and the playing time length of the first multimedia file;
a first determining module configured to determine a first play duration parameter of the first multimedia file according to the first play duration and a first file duration of the first multimedia file, wherein if the first file duration is fixed, the first play duration parameter is positively correlated with a play completion, if the play completion is fixed, the first play duration parameter is positively correlated with the first file duration, and the play completion is determined based on the first play duration and the first file duration of the first multimedia file;
and the recommending module is configured to recommend a second multimedia file to the first terminal according to the first playing time length parameter and the first multimedia file.
9. An apparatus for recommending multimedia files, said apparatus comprising:
the second acquisition module is configured to acquire sample data, wherein the sample data comprises a sample multimedia file and second behavior data of a second terminal to the sample multimedia file;
a third obtaining module, configured to obtain a second playing time length of the sample multimedia file played by the second terminal and a second file time length of the sample multimedia file, and determine a second playing time length parameter of the sample multimedia data according to the second playing time length and the second file time length, wherein if the second file time length is fixed, the second playing time length parameter is positively correlated with a playing completion degree, if the playing completion degree is fixed, the second playing time length parameter is positively correlated with the second file time length, and the playing completion degree is determined based on the second playing time length of the sample multimedia file and the second file time length;
a second determining module configured to determine a weight of the sample multimedia file according to the second play duration parameter;
the model training module is configured to perform model training according to the weight of the sample multimedia file, the sample multimedia file and the second behavior data to obtain a second multimedia recommendation model;
and the sending module is configured to respond to a received multimedia file obtaining request of a third terminal to be recommended, and send a third multimedia file to the third terminal according to the multimedia file obtaining request and the second multimedia recommendation model.
10. A server, characterized in that the server comprises a processor and a memory, wherein at least one instruction is stored in the memory, and the at least one instruction is loaded and executed by the processor to implement the multimedia file recommendation method according to any one of claims 1-5 or claims 6-7.
CN202010354372.XA2020-04-292020-04-29Multimedia file recommendation method, device and serverActiveCN113569126B (en)

Priority Applications (1)

Application NumberPriority DateFiling DateTitle
CN202010354372.XACN113569126B (en)2020-04-292020-04-29Multimedia file recommendation method, device and server

Applications Claiming Priority (1)

Application NumberPriority DateFiling DateTitle
CN202010354372.XACN113569126B (en)2020-04-292020-04-29Multimedia file recommendation method, device and server

Publications (2)

Publication NumberPublication Date
CN113569126Atrue CN113569126A (en)2021-10-29
CN113569126B CN113569126B (en)2024-10-25

Family

ID=78158442

Family Applications (1)

Application NumberTitlePriority DateFiling Date
CN202010354372.XAActiveCN113569126B (en)2020-04-292020-04-29Multimedia file recommendation method, device and server

Country Status (1)

CountryLink
CN (1)CN113569126B (en)

Cited By (1)

* Cited by examiner, † Cited by third party
Publication numberPriority datePublication dateAssigneeTitle
CN114201626A (en)*2021-11-182022-03-18北京达佳互联信息技术有限公司Multimedia recommendation method and device, electronic equipment and storage medium

Citations (3)

* Cited by examiner, † Cited by third party
Publication numberPriority datePublication dateAssigneeTitle
CN109032738A (en)*2018-07-172018-12-18腾讯科技(深圳)有限公司Control method for playing multimedia, device, terminal and storage medium
CN109165302A (en)*2018-07-272019-01-08腾讯科技(深圳)有限公司Multimedia file recommendation method and device
CN110929052A (en)*2019-12-032020-03-27北京奇艺世纪科技有限公司Multimedia resource recommendation method and device, electronic equipment and storage medium

Patent Citations (3)

* Cited by examiner, † Cited by third party
Publication numberPriority datePublication dateAssigneeTitle
CN109032738A (en)*2018-07-172018-12-18腾讯科技(深圳)有限公司Control method for playing multimedia, device, terminal and storage medium
CN109165302A (en)*2018-07-272019-01-08腾讯科技(深圳)有限公司Multimedia file recommendation method and device
CN110929052A (en)*2019-12-032020-03-27北京奇艺世纪科技有限公司Multimedia resource recommendation method and device, electronic equipment and storage medium

Cited By (2)

* Cited by examiner, † Cited by third party
Publication numberPriority datePublication dateAssigneeTitle
CN114201626A (en)*2021-11-182022-03-18北京达佳互联信息技术有限公司Multimedia recommendation method and device, electronic equipment and storage medium
CN114201626B (en)*2021-11-182023-03-28北京达佳互联信息技术有限公司Multimedia recommendation method and device, electronic equipment and storage medium

Also Published As

Publication numberPublication date
CN113569126B (en)2024-10-25

Similar Documents

PublicationPublication DateTitle
CN109241425B (en)Resource recommendation method, device, equipment and storage medium
CN108921221B (en)User feature generation method, device, equipment and storage medium
CN107832437B (en)Audio/video pushing method, device, equipment and storage medium
CN111522724B (en)Method and device for determining abnormal account number, server and storage medium
CN110727868B (en)Object recommendation method, device and computer-readable storage medium
US11849160B2 (en)Image analysis system
CN111858969B (en)Multimedia data recommendation method, device, computer equipment and storage medium
CN114398556B (en)Recommendation method, device, equipment and storage medium of learning content
KR102386817B1 (en)Apparatus for music sorting based on User preference and device applied to the same
CN113422988B (en)Live broadcast cover generation method and device, electronic equipment and storage medium
CN111552835A (en)File recommendation method and device and server
CN113055745A (en)Video playing processing method, device, equipment and storage medium
CN114461824B (en) Resource recommendations, model training methods, devices, equipment, storage media and programs
CN115618024A (en)Multimedia recommendation method and device and electronic equipment
CN114302156B (en)Method, device, system and storage medium for recommending dynamic information of anchor
CN113569126B (en)Multimedia file recommendation method, device and server
CN110516151A (en)Effective behavior detection and personalized recommendation method
CN110569447B (en)Network resource recommendation method and device and storage medium
CN117271828A (en)Audio pushing method, training method of prediction model and related equipment
CN111639199A (en)Multimedia file recommendation method, device, server and storage medium
CN114513686A (en)Method and device for determining video information and storage medium
CN113127684B (en)Short video generation method based on user interest and interactive behavior
KR102679131B1 (en)Method for recommending contents and system thereof
KR102674099B1 (en)Method, device, and system for automating content planning and a/b testing based on classification of video content and analysis of viewing-related data
CN119336985B (en) Training method, device, equipment and medium for resource recommendation and resource allocation model

Legal Events

DateCodeTitleDescription
PB01Publication
PB01Publication
SE01Entry into force of request for substantive examination
SE01Entry into force of request for substantive examination
GR01Patent grant
GR01Patent grant

[8]ページ先頭

©2009-2025 Movatter.jp