Movatterモバイル変換


[0]ホーム

URL:


CN113531811A - Air conditioner control method, air conditioner, storage medium, and program product - Google Patents

Air conditioner control method, air conditioner, storage medium, and program product
Download PDF

Info

Publication number
CN113531811A
CN113531811ACN202110778968.7ACN202110778968ACN113531811ACN 113531811 ACN113531811 ACN 113531811ACN 202110778968 ACN202110778968 ACN 202110778968ACN 113531811 ACN113531811 ACN 113531811A
Authority
CN
China
Prior art keywords
air conditioner
indoor unit
temperature measuring
weight value
conditioner indoor
Prior art date
Legal status (The legal status is an assumption and is not a legal conclusion. Google has not performed a legal analysis and makes no representation as to the accuracy of the status listed.)
Granted
Application number
CN202110778968.7A
Other languages
Chinese (zh)
Other versions
CN113531811B (en
Inventor
李刚
佘潇霞
于瑞芝
王泉水
徐帆
Current Assignee (The listed assignees may be inaccurate. Google has not performed a legal analysis and makes no representation or warranty as to the accuracy of the list.)
Qingdao Haier Air Conditioner Gen Corp Ltd
Qingdao Haier Air Conditioning Electric Co Ltd
Haier Smart Home Co Ltd
Original Assignee
Qingdao Haier Air Conditioner Gen Corp Ltd
Qingdao Haier Air Conditioning Electric Co Ltd
Haier Smart Home Co Ltd
Priority date (The priority date is an assumption and is not a legal conclusion. Google has not performed a legal analysis and makes no representation as to the accuracy of the date listed.)
Filing date
Publication date
Application filed by Qingdao Haier Air Conditioner Gen Corp Ltd, Qingdao Haier Air Conditioning Electric Co Ltd, Haier Smart Home Co LtdfiledCriticalQingdao Haier Air Conditioner Gen Corp Ltd
Priority to CN202110778968.7ApriorityCriticalpatent/CN113531811B/en
Publication of CN113531811ApublicationCriticalpatent/CN113531811A/en
Priority to PCT/CN2022/092870prioritypatent/WO2023279850A1/en
Application grantedgrantedCritical
Publication of CN113531811BpublicationCriticalpatent/CN113531811B/en
Activelegal-statusCriticalCurrent
Anticipated expirationlegal-statusCritical

Links

Images

Classifications

Landscapes

Abstract

Translated fromChinese

本申请属于家用电器技术领域,具体涉及一种空调器的控制方法、空调器、存储介质及程序产品。空调器的控制方法包括:获取多个测温装置测得的温度,其中,每一个测温装置均对应一台空调内机;基于多个测温装置测得的温度,确定每一台空调内机的权重值;根据每一台空调内机的权重值确定每一台空调内机分配到的流量。本申请可以根据多个测温装置测得的温度确定与测温装置对应的每一台空调内机的权重值,并根据权重值确定每一台空调内机分配到的流量,从而使每一台空调内机分配到的流量与该空调内机所覆盖范围的温度相适配,最终使得室内的换热更加均匀。

Figure 202110778968

The application belongs to the technical field of household appliances, and in particular relates to a control method of an air conditioner, an air conditioner, a storage medium and a program product. The control method of the air conditioner includes: acquiring the temperatures measured by a plurality of temperature measuring devices, wherein each temperature measuring device corresponds to an air conditioner internal unit; The weight value of each air conditioner is determined according to the weight value of each air conditioner indoor unit. In the present application, the weight value of each air conditioner internal unit corresponding to the temperature measurement device can be determined according to the temperature measured by multiple temperature measurement devices, and the flow rate allocated to each air conditioner internal unit can be determined according to the weight value, so that each The flow distributed by the internal unit of the air conditioner is adapted to the temperature of the range covered by the internal unit of the air conditioner, which ultimately makes the indoor heat exchange more uniform.

Figure 202110778968

Description

Control method of air conditioner, storage medium, and program product
Technical Field
The application belongs to the technical field of household appliances, and particularly relates to a control method of an air conditioner, the air conditioner, a storage medium and a program product.
Background
Air conditioners generally include an air conditioner external unit and an air conditioner internal unit. The compressor compresses the gaseous refrigerant into high-temperature and high-pressure gaseous refrigerant, the gaseous refrigerant becomes normal-temperature and high-pressure liquid refrigerant after the heat of the condenser is dissipated, and the liquid refrigerant is finally conveyed to the air conditioner internal unit through the capillary tube. An evaporator and a cross-flow fan are arranged in an air conditioner indoor unit, the space of the liquid refrigerant is suddenly increased after the liquid refrigerant reaches the evaporator, and the liquid refrigerant is vaporized and changed into a gaseous low-temperature refrigerant, so that a large amount of heat can be absorbed; the cross flow fan guides indoor air to pass through the evaporator, and the air is blown out of the air conditioner indoor unit to the environment after heat exchange in the evaporator so as to reduce the temperature of the environment.
In the scheme of the related art, when the indoor area is large, a plurality of air conditioner indoor units are generally arranged indoors to exchange heat simultaneously.
However, with the above-mentioned solutions of the related art, the problem of uneven heat exchange may still exist indoors.
Disclosure of Invention
In order to solve the above-mentioned problems in the related art, that is, to solve the problem of uneven indoor heat exchange in the related art, the present application provides a control method of an air conditioner, a storage medium, and a program product.
An embodiment of the present application provides a method for controlling an air conditioner, including:
the method comprises the steps of obtaining the temperature measured by a plurality of temperature measuring devices, wherein each temperature measuring device corresponds to an air conditioner indoor unit;
determining the weight value of each air conditioner indoor unit based on the temperatures measured by the temperature measuring devices;
and determining the flow distributed to each air conditioner indoor unit according to the weight value of each air conditioner indoor unit.
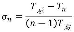
In the above preferred technical solution, when the air conditioner internal unit is in a cooling state, the method for calculating the weight value is as follows:
calculating the sum of the temperatures according to the temperatures measured by the temperature measuring devices;
calculating the weight value of each air conditioner indoor unit according to the temperature measured by each temperature measuring device and the sum of the temperatures,
wherein the weight value is calculated according to the following formula:
Figure BDA0003155430640000021
in the formula, σnRepresenting the weight value of the nth air conditioner indoor unit; t isnThe temperature measured by the nth temperature measuring device is represented; t isGeneral assemblyWhich represents the sum of the temperatures measured by the plurality of thermometric devices.
In the above preferred technical solution, when the air conditioner indoor unit is in a heating state, the method for calculating the weight value includes:
calculating the sum of the temperatures according to the temperatures measured by the temperature measuring devices;
calculating the weight value of each air conditioner indoor unit according to the temperature measured by each temperature measuring device and the sum of the temperatures,
wherein the weight value is calculated according to the following formula:
Figure BDA0003155430640000022
in the formula, σnRepresenting the weight value of the nth air conditioner indoor unit; t isnThe temperature measured by the nth temperature measuring device is represented; t isGeneral assemblyWhich represents the sum of the temperatures measured by the plurality of thermometric devices.
In the above preferred technical scheme, an electromagnetic valve and an evaporator are arranged in the air conditioner indoor unit, and the electromagnetic valve is connected in series with the evaporator; the determining the flow rate distributed to each air conditioner indoor unit according to the weight value of each air conditioner indoor unit comprises:
acquiring the maximum value of the weight value, wherein the opening degree of the electromagnetic valve corresponding to the maximum value of the weight value is 100%;
calculating an expansion coefficient of the air conditioner indoor unit according to the maximum value of the weight value;
the expansion coefficient of the air conditioner indoor unit is calculated according to the following formula:
Figure BDA0003155430640000031
in the formula, σmaxRepresents the maximum value of the weight value; β represents an expansion coefficient;
and determining the opening degree of an electromagnetic valve in each air conditioner according to the product of the weight value of each air conditioner indoor unit and the expansion coefficient of the air conditioner indoor unit, thereby determining the flow rate distributed by each air conditioner indoor unit.
In the above preferred embodiment, the method further includes: determining the rotating speed of a cross-flow fan in each air conditioner according to the opening of an electromagnetic valve in each air conditioner;
when the opening degree of an electromagnetic valve in the air conditioner is less than 50%, the rotating speed of a cross-flow fan in the air conditioner is 60% of the maximum wind speed;
when the opening degree of an electromagnetic valve in the air conditioner is 50% -80%, the rotating speed of a cross-flow fan in the air conditioner is 80% of the maximum wind speed;
when the opening degree of the electromagnetic valve in the air conditioner is larger than 80%, the rotating speed of the cross-flow fan in the air conditioner is the maximum wind speed.
In the above preferred embodiment, the method further includes:
recalculating the opening degree of the electromagnetic valve in each air conditioner after preset time;
and when the difference between the temperatures measured by any two temperature measuring devices is smaller than a preset value, maintaining the opening degree of the electromagnetic valve in each air conditioner internal machine in the current state.
In the above preferred technical scheme, the temperature measuring device includes a plurality of thermometers arranged around the air conditioner internal unit, the distance from each thermometer to the air outlet of the air conditioner internal unit is the same, and the temperature measured by the temperature measuring device is the average value of the temperatures measured by the plurality of thermometers.
Another embodiment of the present application further provides an air conditioner, including an air conditioner external unit and a plurality of air conditioner internal units connected to the air conditioner external unit, each of the air conditioner internal units being provided with a temperature measuring device corresponding thereto;
the air conditioner is also provided with a controller, the air conditioner internal units and the temperature measuring devices are in communication connection with the controller, and the controller receives the temperatures measured by the temperature measuring devices and controls the flow distributed by each air conditioner internal unit.
Yet another embodiment of the present application further provides a computer-readable storage medium having stored thereon computer-executable instructions for implementing the method as described in any one of the above when executed by a processor.
Yet another embodiment of the present application also provides a computer program product, which when executed by a processor implements the method as described in any of the above.
As can be understood by those skilled in the art, embodiments of the present application provide a control method of an air conditioner, a storage medium, and a program product, where the control method of the air conditioner includes: the method comprises the steps of obtaining the temperature measured by a plurality of temperature measuring devices, wherein each temperature measuring device corresponds to an air conditioner indoor unit; determining the weight value of each air conditioner indoor unit based on the temperatures measured by the plurality of temperature measuring devices; and determining the flow distributed to each air conditioner indoor unit according to the weight value of each air conditioner indoor unit. Through the setting, the weight value of each air conditioner indoor unit corresponding to the temperature measuring device can be determined according to the temperature measured by the plurality of temperature measuring devices, and the flow distributed by each air conditioner indoor unit is determined according to the weight value, so that the flow distributed by each air conditioner indoor unit is adaptive to the temperature of the coverage area of the air conditioner indoor unit, and finally, indoor heat exchange is more uniform.
Drawings
In order to more clearly illustrate the embodiments of the present application or the technical solutions in the prior art, the drawings needed to be used in the description of the embodiments or the prior art will be briefly introduced below, and it is obvious that the drawings in the following description are some embodiments of the present application, and for those skilled in the art, other drawings can be obtained according to these drawings without inventive exercise.
Fig. 1 is an application scenario diagram of a control method of an air conditioner according to an embodiment of the present application;
fig. 2 is a flowchart illustrating a control method of an air conditioner according to an embodiment of the present disclosure;
fig. 3 is a schematic structural diagram of an air conditioner according to an embodiment of the present application.
Reference numerals:
10-an air conditioner outdoor unit; 101-a compressor; 102-a condenser;
100-a temperature measuring device;
200-a controller;
300-air conditioner indoor unit; 301-an evaporator; 302-a solenoid valve; 303-check valve;
400-throttling means.
Detailed Description
When the indoor area is large, if one air conditioner is adopted for cooling or heating, the heat exchange effect is often poor; and the heat exchange is carried out by adopting a plurality of air conditioners at the same time, the cost is higher, and the electric load during the operation is also larger. Therefore, in the related art, heat exchange is performed by adopting a mode that one air conditioner external unit drives a plurality of air conditioner internal units which are arranged in parallel. However, the inventor of the application finds that the problem of nonuniform indoor heat exchange still exists by adopting the scheme.
In view of the above, embodiments of the present application provide a control method of an air conditioner, a storage medium, and a program product. The weight value of each air conditioner indoor unit corresponding to the temperature measuring devices is determined according to the temperature measured by the plurality of temperature measuring devices, and the flow distributed by each air conditioner indoor unit is determined according to the weight value, so that the flow distributed by each air conditioner indoor unit is matched with the temperature of the coverage range of the air conditioner indoor unit, and finally indoor heat exchange is more uniform.
In order to make the objects, technical solutions and advantages of the embodiments of the present application clearer, the technical solutions in the embodiments of the present application will be clearly and completely described below with reference to the drawings in the embodiments of the present application, and it is obvious that the described embodiments are some embodiments of the present application, but not all embodiments. All other embodiments, which can be derived by a person skilled in the art from the embodiments given herein without making any creative effort, shall fall within the protection scope of the present application.
Fig. 1 is an application scenario diagram of a control method of an air conditioner according to an embodiment of the present application. As shown in fig. 1, an application scenario of the control method of the air conditioner provided by the present application includes:controller 200, a plurality oftemperature measuring device 100 and a plurality of air conditionerindoor unit 300. The plurality oftemperature measuring devices 100 and the plurality of air conditionerindoor units 300 are connected to thecontroller 200 in a wireless manner or a wired manner.
Thetemperature measuring device 100 may be a room temperature sensor installed on the air conditionerindoor unit 300; or thetemperature measuring device 100 may be a device independently installed indoors, for example, the temperature measuring device includes a plurality of thermometers disposed around the air conditioner indoor unit, distances from each of the thermometers to the air outlet of the air conditioner indoor unit are the same or different, and the temperature measured by the temperature measuring device is an average value or a weighted average value of the temperatures measured by the plurality of thermometers.
The air conditionerinternal units 300 can be connected in parallel to the same air conditioner external unit, so that one air conditioner external unit can drive the air conditioner internal units to work simultaneously, and the cost and the electric load pressure during operation are reduced.
It should be understood that the number of thetemperature measuring devices 100 and the air conditionerindoor units 300 is not limited in this embodiment, and fig. 1 is a schematic diagram illustrating twotemperature measuring devices 100 and two air conditionerindoor units 300 as an example.
Thecontroller 200 may be a server located in the cloud, an independent terminal device (such as a server), or one device in an air conditioner. Fig. 1 is a schematic diagram illustrating a controller as an independent terminal device. For convenience of description, the method of the present application is also exemplified in the following embodiments by taking a server as an example.
Fig. 2 is a flowchart of a control method of an air conditioner according to an embodiment of the present disclosure. As shown in fig. 2, the present embodiment provides a method for controlling an air conditioner, the method including:
step S101: and acquiring the temperature measured by a plurality of temperature measuring devices, wherein each temperature measuring device corresponds to an air conditioner indoor unit.
For example, the temperature measured by the temperature measuring device may be sent to the controller after the temperature measuring device receives an acquisition instruction from the controller.
Or, the temperature measured by the temperature measuring device can be actively reported to the controller by the temperature measuring device when the user uses the air conditioner.
Step S102: and determining the weight value of each air conditioner indoor unit based on the temperature measured by the plurality of temperature measuring devices.
The temperature measured by the temperature measuring device can be compared with a reference value to determine the corresponding weight, and the reference value can be a preset numerical value or the sum of the temperatures measured by a plurality of temperature measuring devices.
Step S103: and determining the flow distributed to each air conditioner indoor unit according to the weight value of each air conditioner indoor unit.
Because the total flow delivered by the air conditioner external unit is constant, after the weight value of each air conditioner internal unit is determined, the flow flowing into each air conditioner internal unit can be determined based on the weight value, and therefore the heat exchange efficiency of each air conditioner can be adjusted according to the actual temperature difference of different indoor areas. The flow distributed by each air conditioner internal unit is matched with the temperature of the range covered by the air conditioner internal unit, and finally, the indoor heat exchange is more uniform.
In the above preferred technical solution, the method for calculating the weight value includes:
and calculating the temperature sum according to the temperatures measured by the plurality of temperature measuring devices.
Wherein the total temperature is equal to the value obtained by adding the temperatures measured by the plurality of temperature measuring devices.
And calculating the weight value of each air conditioner indoor unit according to the temperature measured by each temperature measuring device and the sum of the temperatures.
When the air conditioner indoor unit is in a refrigerating state, the weighted value is calculated according to the following formula:
Figure BDA0003155430640000071
in the formula, σnRepresenting the weight value of the nth air conditioner indoor unit; t isnThe temperature measured by the nth temperature measuring device is represented; t isGeneral assemblyWhich represents the sum of the temperatures measured by the plurality of thermometric devices.
When the air conditioner indoor unit is in a heating state, the weighted value is calculated according to the following formula:
Figure BDA0003155430640000072
in the formula, σnRepresenting the weight value of the nth air conditioner indoor unit; t isnThe temperature measured by the nth temperature measuring device is represented; t isGeneral assemblyWhich represents the sum of the temperatures measured by the plurality of thermometric devices.
In the above preferred technical scheme, an electromagnetic valve and an evaporator are arranged in the air conditioner indoor unit, the electromagnetic valve is connected with the evaporator in series, and the flow of the refrigerant entering the evaporator can be controlled by controlling the opening degree of the electromagnetic valve. The check valve is also arranged in the air conditioner and connected with the evaporator in series, so that the evaporators with different working pressures can be prevented from liquid outflow and series flow.
Determining the flow rate distributed to each air conditioner indoor unit according to the weight value of each air conditioner indoor unit comprises the following steps:
and acquiring the maximum value of the weight value, wherein the opening degree of the electromagnetic valve corresponding to the maximum value of the weight value is 100%.
And calculating the expansion coefficient of the air conditioner indoor unit according to the maximum value of the weight value.
Wherein, the expansion coefficient of the air conditioner indoor unit is calculated according to the following formula:
Figure BDA0003155430640000081
in the formula, σmaxRepresents the maximum value of the weight value; β represents an expansion coefficient.
And determining the opening degree of the electromagnetic valve in each air conditioner indoor unit according to the product of the weight value of each air conditioner indoor unit and the expansion coefficient of the air conditioner indoor unit, thereby determining the flow distributed by each air conditioner indoor unit.
In the above preferred embodiment, the method further comprises: and determining the rotating speed of the cross-flow fan in each air conditioner according to the opening of the electromagnetic valve in each air conditioner.
When the opening degree of an electromagnetic valve in the air conditioner is less than 50%, the rotating speed of a cross-flow fan in the air conditioner is 60% of the maximum wind speed;
when the opening degree of an electromagnetic valve in the air conditioner is 50% -80%, the rotating speed of a cross-flow fan in the air conditioner is 80% of the maximum wind speed;
when the opening degree of the electromagnetic valve in the air conditioner is larger than 80%, the rotating speed of the cross-flow fan in the air conditioner is the maximum wind speed.
The control of the rotating speed of the cross flow fan can be realized by controlling the rotating speed of a motor connected with the cross flow fan, and the motor and the controller can realize communication in a wired or wireless connection mode.
This embodiment is through solenoid valve aperture and cross-flow fan rotational speed coordinated control, and the ambient temperature that finally obtains whole space is more even, in addition the adjustment of people to the wind direction to obtain best user experience.
In the above preferred embodiment, the method further comprises:
and after the preset time, recalculating the opening degree of the electromagnetic valve in each air conditioner. The preset time may be set as needed, for example, 15 minutes, half an hour, 1 hour, or the like.
And when the difference between the temperatures measured by any two temperature measuring devices is smaller than a preset value, maintaining the opening degree of the electromagnetic valve in each air conditioner at the current state. The preset value can also be set according to the requirement, and can be 0.5 ℃, 1 ℃, 2 ℃ and the like, for example.
By the scheme, the control precision of the air conditioner can be further improved, and indoor heat exchange is faster and tends to be uniform.
Fig. 3 is a schematic structural diagram of an air conditioner according to an embodiment of the present application. As shown in fig. 3, the present embodiment provides an air conditioner, which includes an air conditionerexternal unit 10 and a plurality of air conditionerinternal units 300 connected to the air conditionerexternal unit 10, wherein each air conditionerinternal unit 300 is provided with a temperature measuring device (not shown in the figure) corresponding to the air conditioner internal unit.
The air conditioneroutdoor unit 10 of the present embodiment is provided with acompressor 101, acondenser 102, and a four-way valve; thecompressor 101, thecondenser 102, and the four-way valve are connected in series. Anevaporator 301, anelectromagnetic valve 302 and acheck valve 303 are arranged in the air conditionerindoor unit 300; theelectromagnetic valve 302 and thecheck valve 303 are respectively connected in series to two sides of theevaporator 301, and the flow rate of the refrigerant entering theevaporator 301 can be controlled by controlling the opening degree of theelectromagnetic valve 302; thecheck valve 303 prevents theevaporators 301 with different operating pressures from liquid outflow cross-flow. The air conditioner further comprises athrottling device 400, thethrottling device 400 can be, for example, a capillary tube assembly, refrigerant flowing in the capillary tube assembly is arranged in the capillary tube assembly, and thethrottling device 400 is connected with theevaporator 301 and thecondenser 102. The temperature measuring device can be a room temperature sensor arranged on the air conditionerindoor unit 300; or the temperature measuring device can be a device independently installed indoors, for example, the temperature measuring device includes a plurality of thermometers arranged around the air conditioner indoor unit, the distance from each thermometer to the air outlet of the air conditioner indoor unit is the same or different, and the temperature measured by the temperature measuring device is the average value or weighted average value of the temperatures measured by the plurality of thermometers.
The refrigeration process of the air conditioner is as follows: thecompressor 101 compresses gaseous refrigerant into high-temperature high-pressure gaseous refrigerant, and then sends the gaseous refrigerant to thecondenser 102 for heat dissipation, and becomes normal atmospheric temperature high-pressure liquid refrigerant, and liquid refrigerant gets into theevaporimeter 301 through throttling set 400, because the space increases suddenly after the refrigerant arrives theevaporimeter 301 from throttling set 400, the pressure that the refrigerant received reduces, and liquid refrigerant will vaporize, becomes gaseous cryogenic refrigerant, thereby absorbs a large amount of heat, and theevaporimeter 301 will become cold, and the cross-flow fan of air conditioner indoor unit guides indoor air to blow through fromevaporimeter 301, thereby makes the air conditioner indoor unit blow out cold wind. The heating process of the air conditioner is the same as the principle of the cooling process, but the four-way valve is used to make the flow direction of the refrigerant in thecondenser 102 and theevaporator 301 opposite to the cooling time, thereby achieving the purpose of heating.
The air conditioner is also provided with acontroller 200, the air conditionerinternal units 300 and the temperature measuring devices are in communication connection with thecontroller 200, and thecontroller 200 receives the temperatures measured by the temperature measuring devices and controls the flow rate distributed to each air conditionerinternal unit 300.
The specific method for the controller to receive the temperatures measured by the temperature measuring devices and control the flow rate distributed to each air conditionerindoor unit 300 in this embodiment is as described in the above embodiments, and this embodiment is not described herein again.
The air conditioner of this embodiment can confirm the weight value of each air conditionerindoor unit 300 corresponding with temperature measuring device through the temperature that a plurality of temperature measuring devices measured to according to the flow that each air conditionerindoor unit 300 distributes is confirmed to the weight value, thereby make the flow that each air conditionerindoor unit 300 distributes and the temperature looks adaptation of the coverage of this air conditionerindoor unit 300, finally make indoor heat transfer more even.
The present embodiment also provides a computer-readable storage medium, in which computer-executable instructions are stored, and the computer-executable instructions are executed by a processor to implement the control method of the air conditioner in the above embodiments.
The present embodiments also provide a computer program product comprising execution instructions stored in a readable storage medium. The controller of the air conditioner may read the execution instruction from the readable storage medium, and the controller executes the execution instruction so that the air conditioner implements the control method of the air conditioner provided in the above-described embodiments.
In the several embodiments provided in the present application, it should be understood that the disclosed apparatus and method may be implemented in other ways. For example, the above-described apparatus embodiments are merely illustrative, and for example, the division of the modules is merely a logical division, and in actual implementation, there may be other divisions, for example, multiple modules or components may be combined or integrated into another system, or some features may be omitted, or not implemented. In addition, the shown or discussed mutual coupling or direct coupling or communication connection may be an indirect coupling or communication connection through some interfaces, devices or modules, and may be in an electrical, mechanical or other form.
The modules described as separate parts may or may not be physically separate, and parts displayed as modules may or may not be physical modules, may be located in one place, or may be distributed on a plurality of network modules. Some or all of the modules may be selected according to actual needs to achieve the purpose of the solution of the present embodiment.
In addition, functional modules in the embodiments of the present application may be integrated into one processing module, or each of the modules may exist alone physically, or two or more modules are integrated into one module. The integrated module can be realized in a hardware form, and can also be realized in a form of hardware and a software functional module.
The integrated module implemented in the form of a software functional module may be stored in a computer-readable storage medium. The software functional module is stored in a storage medium and includes several instructions for enabling a computer device (which may be a personal computer, a server, or a network device) or a processor (processor) to execute some steps of the methods according to the embodiments of the present application. And the aforementioned storage medium includes: a U disk, a removable hard disk, a Read-Only Memory (ROM), a Random Access Memory (RAM), a magnetic disk or an optical disk, and other various media capable of storing program codes.
In the above embodiment of the smart home control apparatus, it should be understood that the determining module may be a Central Processing Unit (CPU), or may be another general-purpose Processor, a Digital Signal Processor (DSP), an Application Specific Integrated Circuit (ASIC), or the like. A general purpose processor may be a microprocessor or the processor may be any conventional processor or the like. The steps of a method disclosed in connection with the present application may be embodied directly in a hardware processor, or in a combination of the hardware and software modules in the processor.
In the description of the embodiments of the present application, the terms "first" and "second" are used for descriptive purposes only and are not to be construed as indicating or implying relative importance or implying any number of technical features indicated. Thus, a feature defined as "first" or "second" may explicitly or implicitly include at least one such feature. In the description of the present application, "plurality" means at least two, e.g., two, three, etc., unless specifically limited otherwise.
Finally, it should be noted that: the above embodiments are only used for illustrating the technical solutions of the present application, and not for limiting the same; although the present application has been described in detail with reference to the foregoing embodiments, it should be understood by those of ordinary skill in the art that: the technical solutions described in the foregoing embodiments may still be modified, or some or all of the technical features may be equivalently replaced; and the modifications or the substitutions do not make the essence of the corresponding technical solutions depart from the scope of the technical solutions of the embodiments of the present application.

Claims (10)

1. A method for controlling an air conditioner, the method comprising:
the method comprises the steps of obtaining the temperature measured by a plurality of temperature measuring devices, wherein each temperature measuring device corresponds to an air conditioner indoor unit;
determining the weight value of each air conditioner indoor unit based on the temperatures measured by the temperature measuring devices;
and determining the flow distributed to each air conditioner indoor unit according to the weight value of each air conditioner indoor unit.
2. The method for controlling the air conditioner according to claim 1, wherein when the air conditioner indoor unit is in a cooling state, the method for calculating the weight value is as follows:
calculating the sum of the temperatures according to the temperatures measured by the temperature measuring devices;
calculating the weight value of each air conditioner indoor unit according to the temperature measured by each temperature measuring device and the sum of the temperatures,
wherein the weight value is calculated according to the following formula:
Figure FDA0003155430630000011
in the formula, σnRepresenting the weight value of the nth air conditioner indoor unit; t isnThe temperature measured by the nth temperature measuring device is represented; t isGeneral assemblyWhich represents the sum of the temperatures measured by the plurality of thermometric devices.
3. The method for controlling an air conditioner according to claim 1, wherein when the indoor unit of the air conditioner is in a heating state, the method for calculating the weight value is as follows:
calculating the sum of the temperatures according to the temperatures measured by the temperature measuring devices;
calculating the weight value of each air conditioner indoor unit according to the temperature measured by each temperature measuring device and the sum of the temperatures,
wherein the weight value is calculated according to the following formula:
Figure FDA0003155430630000012
in the formula, σnRepresenting the weight value of the nth air conditioner indoor unit; t isnThe temperature measured by the nth temperature measuring device is represented; t isGeneral assemblyWhich represents the sum of the temperatures measured by the plurality of thermometric devices.
4. The control method of the air conditioner according to claim 1 or 2, wherein an electromagnetic valve and an evaporator are arranged in the air conditioner indoor unit, and the electromagnetic valve is connected with the evaporator in series; the determining the flow rate distributed to each air conditioner indoor unit according to the weight value of each air conditioner indoor unit comprises:
acquiring the maximum value of the weight value, wherein the opening degree of the electromagnetic valve corresponding to the maximum value of the weight value is 100%;
calculating an expansion coefficient of the air conditioner indoor unit according to the maximum value of the weight value;
the expansion coefficient of the air conditioner indoor unit is calculated according to the following formula:
Figure FDA0003155430630000021
in the formula, σmaxRepresents the maximum value of the weight value; β represents an expansion coefficient;
and determining the opening degree of an electromagnetic valve in each air conditioner according to the product of the weight value of each air conditioner indoor unit and the expansion coefficient of the air conditioner indoor unit, thereby determining the flow rate distributed by each air conditioner indoor unit.
5. The control method of an air conditioner according to claim 4, further comprising: determining the rotating speed of a cross-flow fan in each air conditioner according to the opening of an electromagnetic valve in each air conditioner;
when the opening degree of an electromagnetic valve in the air conditioner is less than 50%, the rotating speed of a cross-flow fan in the air conditioner is 60% of the maximum wind speed;
when the opening degree of an electromagnetic valve in the air conditioner is 50% -80%, the rotating speed of a cross-flow fan in the air conditioner is 80% of the maximum wind speed;
when the opening degree of the electromagnetic valve in the air conditioner is larger than 80%, the rotating speed of the cross-flow fan in the air conditioner is the maximum wind speed.
6. The control method of an air conditioner according to claim 5, further comprising:
recalculating the opening degree of the electromagnetic valve in each air conditioner after preset time;
and when the difference between the temperatures measured by any two temperature measuring devices is smaller than a preset value, maintaining the opening degree of the electromagnetic valve in each air conditioner internal machine in the current state.
7. The method for controlling the air conditioner according to claim 1, wherein the temperature measuring device comprises a plurality of temperature measuring meters arranged on the periphery of the air conditioner indoor unit, the distance from each temperature measuring meter to the air outlet of the air conditioner indoor unit is the same, and the temperature measured by the temperature measuring device is the average value of the temperatures measured by the plurality of temperature measuring meters.
8. An air conditioner is characterized by comprising an air conditioner external unit and a plurality of air conditioner internal units connected with the air conditioner external unit, wherein each air conditioner internal unit is provided with a temperature measuring device corresponding to the air conditioner internal unit;
the air conditioner is also provided with a controller, the air conditioner internal units and the temperature measuring devices are in communication connection with the controller, and the controller receives the temperatures measured by the temperature measuring devices and controls the flow distributed by each air conditioner internal unit.
9. A computer-readable storage medium having computer-executable instructions stored thereon, which when executed by a processor, perform the method of any one of claims 1-7.
10. A computer program product, comprising a computer program which, when executed by a processor, implements the method of any one of claims 1-7.
CN202110778968.7A2021-07-092021-07-09Control method of air conditioner, storage medium and program productActiveCN113531811B (en)

Priority Applications (2)

Application NumberPriority DateFiling DateTitle
CN202110778968.7ACN113531811B (en)2021-07-092021-07-09Control method of air conditioner, storage medium and program product
PCT/CN2022/092870WO2023279850A1 (en)2021-07-092022-05-13Control method for air conditioner, and air conditioner, storage medium and program product

Applications Claiming Priority (1)

Application NumberPriority DateFiling DateTitle
CN202110778968.7ACN113531811B (en)2021-07-092021-07-09Control method of air conditioner, storage medium and program product

Publications (2)

Publication NumberPublication Date
CN113531811Atrue CN113531811A (en)2021-10-22
CN113531811B CN113531811B (en)2022-11-18

Family

ID=78098243

Family Applications (1)

Application NumberTitlePriority DateFiling Date
CN202110778968.7AActiveCN113531811B (en)2021-07-092021-07-09Control method of air conditioner, storage medium and program product

Country Status (2)

CountryLink
CN (1)CN113531811B (en)
WO (1)WO2023279850A1 (en)

Cited By (3)

* Cited by examiner, † Cited by third party
Publication numberPriority datePublication dateAssigneeTitle
CN115388569A (en)*2022-06-142022-11-25比艾克莱检测技术(上海)有限公司Refrigerating device based on weight calculation and control method thereof
CN115493249A (en)*2022-11-162022-12-20煜安特种阀门研制(深圳)有限公司Multi-valve-based temperature and humidity regulation and control method, device and system
WO2023279850A1 (en)*2021-07-092023-01-12青岛海尔空调器有限总公司Control method for air conditioner, and air conditioner, storage medium and program product

Citations (4)

* Cited by examiner, † Cited by third party
Publication numberPriority datePublication dateAssigneeTitle
JP2012193892A (en)*2011-03-162012-10-11Fuji Electric Co LtdCooling device
JP2016057057A (en)*2014-09-052016-04-21アイシン精機株式会社 Energy management system
CN106979588A (en)*2017-03-302017-07-25武汉烽火技术服务有限公司The energy-saving management system and administration of energy conservation method of a kind of air conditioner in machine room energy consumption
CN110709645A (en)*2017-06-152020-01-17三菱电机株式会社Indoor unit of air conditioner

Family Cites Families (6)

* Cited by examiner, † Cited by third party
Publication numberPriority datePublication dateAssigneeTitle
JPH10132334A (en)*1996-10-311998-05-22Sanyo Electric Co LtdAir conditioner
CN102654303A (en)*2012-05-092012-09-05青岛海尔空调电子有限公司Air conditioning system and pressure adjusting method and device for same
CN107543290A (en)*2017-09-042018-01-05广东美的暖通设备有限公司Multi-online air-conditioning system control method and device and multi-online air-conditioning system
CN109028494B (en)*2018-09-182020-09-18青岛海尔空调电子有限公司 Method, device and computer storage medium for air conditioning refrigerant flow control
CN110260452B (en)*2019-05-242022-01-04青岛海尔空调电子有限公司Multi-split air conditioning system and heat exchange amount calculation method thereof
CN113531811B (en)*2021-07-092022-11-18青岛海尔空调器有限总公司Control method of air conditioner, storage medium and program product

Patent Citations (4)

* Cited by examiner, † Cited by third party
Publication numberPriority datePublication dateAssigneeTitle
JP2012193892A (en)*2011-03-162012-10-11Fuji Electric Co LtdCooling device
JP2016057057A (en)*2014-09-052016-04-21アイシン精機株式会社 Energy management system
CN106979588A (en)*2017-03-302017-07-25武汉烽火技术服务有限公司The energy-saving management system and administration of energy conservation method of a kind of air conditioner in machine room energy consumption
CN110709645A (en)*2017-06-152020-01-17三菱电机株式会社Indoor unit of air conditioner

Cited By (3)

* Cited by examiner, † Cited by third party
Publication numberPriority datePublication dateAssigneeTitle
WO2023279850A1 (en)*2021-07-092023-01-12青岛海尔空调器有限总公司Control method for air conditioner, and air conditioner, storage medium and program product
CN115388569A (en)*2022-06-142022-11-25比艾克莱检测技术(上海)有限公司Refrigerating device based on weight calculation and control method thereof
CN115493249A (en)*2022-11-162022-12-20煜安特种阀门研制(深圳)有限公司Multi-valve-based temperature and humidity regulation and control method, device and system

Also Published As

Publication numberPublication date
CN113531811B (en)2022-11-18
WO2023279850A1 (en)2023-01-12

Similar Documents

PublicationPublication DateTitle
US10443863B2 (en)Method of monitoring charge condition of heat pump system
CN113531811A (en) Air conditioner control method, air conditioner, storage medium, and program product
US8484990B2 (en)Optimization of air cooled chiller system operation
US20220205661A1 (en)Machine learning apparatus, air conditioning system, and machine learning method
US20100204838A1 (en)Energy efficient air conditioning system and method utilizing variable capacity compressor and sensible heat ratio load matching
US20170030621A1 (en)Low ambient cooling scheme and control
CN115264654B (en)Air conditioner and overload control method thereof
CN106016541A (en)Natural cooling machine room air conditioner and supercooling degree control method thereof
US12326284B2 (en)Systems and methods for humidity control in an air conditioning system
CN112197406A (en)Operation control method and device of air conditioning system
US20200072486A1 (en)Air conditioning system
CN113418283A (en)Control method for air conditioner
JP2018071864A (en)Air conditioner
US20250297765A1 (en)Air conditioner units and methods for cold-weather mitigation
CN119492140B (en) air conditioner
US20250216116A1 (en)Compressor modulation in non-communicating mode
CN117308309A (en)Expansion valve opening updating method and device, air conditioning equipment, storage medium and product
JP7219266B2 (en) air conditioning system
CN120043150A (en)Air conditioner and control method thereof
WO2023181358A1 (en)Air conditioning system
CN120351569A (en)Air conditioner outdoor unit
JP2025091109A (en) Air conditioning control system and air conditioning control method
KR101854336B1 (en)Air conditioner and method for controlling the same
CN120760201A (en) air conditioner
CN117366830A (en)Air conditioner comfort control method and device and air conditioner

Legal Events

DateCodeTitleDescription
PB01Publication
PB01Publication
SE01Entry into force of request for substantive examination
SE01Entry into force of request for substantive examination
GR01Patent grant
GR01Patent grant

[8]ページ先頭

©2009-2025 Movatter.jp