Movatterモバイル変換


[0]ホーム

URL:


CN113512181A - A kind of polylactic acid that can be processed at low temperature and preparation method thereof - Google Patents

A kind of polylactic acid that can be processed at low temperature and preparation method thereof
Download PDF

Info

Publication number
CN113512181A
CN113512181ACN202110909263.4ACN202110909263ACN113512181ACN 113512181 ACN113512181 ACN 113512181ACN 202110909263 ACN202110909263 ACN 202110909263ACN 113512181 ACN113512181 ACN 113512181A
Authority
CN
China
Prior art keywords
lactide
polylactic acid
meso
repeating unit
hours
Prior art date
Legal status (The legal status is an assumption and is not a legal conclusion. Google has not performed a legal analysis and makes no representation as to the accuracy of the status listed.)
Granted
Application number
CN202110909263.4A
Other languages
Chinese (zh)
Other versions
CN113512181B (en
Inventor
罗彦凤
王远亮
胡雪雪
Current Assignee (The listed assignees may be inaccurate. Google has not performed a legal analysis and makes no representation or warranty as to the accuracy of the list.)
Blueprint Design Jiangsu Co ltd
Suzhou Blueprint Chemical Technology Co ltd
Original Assignee
Chongqing University
Priority date (The priority date is an assumption and is not a legal conclusion. Google has not performed a legal analysis and makes no representation as to the accuracy of the date listed.)
Filing date
Publication date
Application filed by Chongqing UniversityfiledCriticalChongqing University
Priority to CN202110909263.4ApriorityCriticalpatent/CN113512181B/en
Publication of CN113512181ApublicationCriticalpatent/CN113512181A/en
Application grantedgrantedCritical
Publication of CN113512181BpublicationCriticalpatent/CN113512181B/en
Activelegal-statusCriticalCurrent
Anticipated expirationlegal-statusCritical

Links

Images

Classifications

Landscapes

Abstract

Translated fromChinese

本发明属于可降解聚乳酸材料技术领域,具体涉及一种可低温加工的聚乳酸及其制备方法。本发明的可低温加工的聚乳酸是由meso‑丙交酯与D,L‑丙交酯共聚制成。本发明提供的新型聚乳酸具有低温加工的性能,这极大地降低了聚乳酸材料的加工难度和生产成本,提高了加工聚乳酸的安全性,降低生产成本,有利于聚乳酸材料的应用和推广,具有很高的应用潜力。

Figure 202110909263

The invention belongs to the technical field of degradable polylactic acid materials, in particular to a low-temperature processable polylactic acid and a preparation method thereof. The low-temperature processable polylactic acid of the present invention is prepared by copolymerizing meso-lactide and D,L-lactide. The novel polylactic acid provided by the invention has the performance of low-temperature processing, which greatly reduces the processing difficulty and production cost of the polylactic acid material, improves the safety of processing the polylactic acid, reduces the production cost, and is beneficial to the application and popularization of the polylactic acid material , has high application potential.

Figure 202110909263

Description

Polylactic acid capable of being processed at low temperature and preparation method thereof
Technical Field
The invention belongs to the technical field of degradable polylactic acid materials, and particularly relates to polylactic acid capable of being processed at low temperature and a preparation method thereof.
Background
Polylactic acid (PLA) is a degradable polymer material synthesized from lactic acid, and can be completely degraded into carbon dioxide and water in natural environment. The PLA with high molecular weight has the advantages of excellent mechanical property, easy processing, good appearance properties of product glossiness, transparency and the like. Therefore, PLA is the most prominent fully biodegradable material in the traditional polymer industry, and is often used to replace some petroleum-based plastics commonly used at present, such as polyethylene, polypropylene, polyvinyl chloride, etc., and is the best material to solve the increasingly serious white pollution problem. At present, in order to respond to the national call and reduce the use of non-degradable plastics, the application prospect of PLA is wider, and the demand of PLA is further expanded.
The synthesis method of high molecular weight PLA is mainly a two-step method, namely, lactide is synthesized by taking lactic acid as a raw material, and Ring-opening Polymerization (ROP) is carried out on the lactide to form the high molecular weight PLA. In the conventional process, meso-lactide in lactide used for synthesizing polylactic acid is generally removed as an impurity, which increases the production cost of PLA.
The PLA articles are often processed by thermal processing. For example, the processing temperature of poly (L-lactic acid) (PLLA) is up to 200 ℃ and the processing temperature of poly (D, L-lactic acid) (PDLLA) is also up to 170 ℃. Due to the hydrolysis sensitivity and thermal degradation of PLA, molecular chain breakage is inevitably accompanied in the high-temperature processing process, and the hydrolytic degradation caused by trace water in the PLA raw material and water vapor in the processing environment can be accelerated. This results in a reduction in the molecular weight of the PLA, a broadening of the molecular weight distribution, with the result that the properties of the PLA article are severely affected. In addition, with the rapid development of 3D printing technology, 3D printing has been expanded from applications such as industrial product manufacturing, personalized therapy, preoperative planning to products in the aspects such as home applications, childhood education applications, and the like, and home 3D printers, 3D printing pens, and the like are becoming popular. PLA as a degradable biosafety material undoubtedly becomes the main raw material for household and educational 3D printing application. However, the high temperature processing characteristics of PLA cause the risk of scalding when used in daily environments such as home, which is a big obstacle to the use of PLA in daily environments such as home.
Therefore, it is very necessary to develop a polylactic acid material having low temperature processability. Kolstad et al (Journal of applied polymer science,1996,62(7):1079-1091) found that, after introducing a small amount of meso-lactide units into PLLA, the amorphous region resulting from the copolymerization of meso-lactide with L-lactide increases the disorder of the molecular arrangement of the copolymer, thereby increasing the melting point (T) of the resulting PLAm) The PLA can be processed at 150 ℃ to 180 ℃ reduced by 20 ℃ to 50 ℃ compared to PLLA. However, the temperature of 150 ℃ to 180 ℃ is still higher, which is not favorable for further popularization and application of the material. Furthermore, this process is only applicable to PLLA, while there is currently no relevant research to lower processing temperatures for another large class of amorphous polymers PDLLA in the PLA class of materials.
Disclosure of Invention
Aiming at the defects of the prior art, the invention provides polylactic acid capable of being processed at low temperature and a preparation method thereof, and aims to provide a polylactic acid capable of being processed at low temperature, which comprises the following steps: provides a novel polylactic acid material capable of being processed at low temperature, which is an amorphous material, and the processing temperature can be reduced to 105-120 ℃.
A low temperature processable polylactic acid consisting of a repeating unit a, a repeating unit B, a repeating unit C and a repeating unit D;
wherein the repeating unit A is
Figure BDA0003202875580000021
The repeating unit B is
Figure BDA0003202875580000022
The repeating unit C is
Figure BDA0003202875580000023
The repeating unit D is
Figure BDA0003202875580000024
The sum of the mole percentages of the repeating unit A and the repeating unit B is 3-74%, and the sum of the mole percentages of the repeating unit C and the repeating unit D is 97-26%;
the molar ratio of the repeating unit A to the repeating unit B is any proportion, and the molar ratio of the repeating unit C to the repeating unit D is 1: 1.
Preferably, the sum of the mole percentages of the repeating unit a and the repeating unit B is 68%, and the sum of the mole percentages of the repeating unit C and the repeating unit D is 32%.
Preferably, the repeating unit A and the repeating unit B are meso-lactide polymerized units, the repeating unit C and the repeating unit D are D, L-lactide polymerized units, and the content of copolymerized units of the meso-lactide polymerized units and the D, L-lactide polymerized units in the polylactic acid is 9-12%;
and/or the molecular weight of the polylactic acid is 10000-200000; preferably 39000-87000.
And/or the processing temperature of the polylactic acid for hot processing is 105-120 ℃.
Preferably, in the polylactic acid, the content of the copolymerized unit of the meso-lactide polymerized unit and the D, L-lactide polymerized unit is 10-11%;
preferably, the polylactic acid is prepared by copolymerizing 3 to 74 mole percent meso-lactide with 97 to 26 mole percent D, L-lactide.
Preferably, the polylactic acid is prepared by copolymerizing 68 mol% meso-lactide with 32 mol% D, L-lactide.
Preferably, the polylactic acid is obtained by reacting mixed lactide of meso-lactide and D, L-lactide for 4-14 hours at the temperature of 60-90 ℃ and then reacting for 12-24 hours at the temperature of 100-180 ℃.
Preferably, the polylactic acid is obtained by reacting the mixed lactide at 70-90 ℃ for 7-14 hours and then at 140 ℃ for 14 hours.
The invention also provides a preparation method of the polylactic acid, which comprises the following steps: the mixed lactide of meso-lactide and D, L-lactide is reacted for 4-14 hours at the temperature of 60-90 ℃, and then reacted for 12-24 hours at the temperature of 100-180 ℃ to obtain the product.
Preferably, the polylactic acid is obtained by reacting mixed lactide at 70-90 ℃ for 7-14 hours and then at 140 ℃ for 14 hours.
Preferably, the reaction is carried out in an oxygen-scavenging environment;
and/or, the reaction is carried out under the action of a catalyst, and the catalyst is selected from stannous octoate.
Preferably, the using amount ratio of the catalyst to the mixed lactide is 1 (2000-7000) in molar ratio.
The invention also provides a degradable plastic product prepared from the polylactic acid.
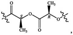
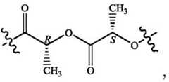
In the present invention, the "meso-lactide" refers to meso-lactide which forms repeating unit a and repeating unit B in the process of preparing polylactic acid; "D, L-lactide" refers to racemic lactide formed from equal amounts of D-lactide and L-lactide, which forms repeating unit C and repeating unit D in the process of making polylactic acid.
"copolymerized unit of meso-lactide polymerized unit and D, L-lactide polymerized unit" refers to copolymerized unit of meso-lactide and D-lactide (or L-lactide), including the following three copolymerized units: D-lactide/meso-lactide/D-lactide unit (RR-RS-RR for short), L-lactide/meso-lactide/L-lactide unit (SS-RS-SS for short) or L-lactide/meso-lactide/D-lactide unit (SS-RS-RR for short). The content of the copolymerized unit is calculated as follows:
(1) testing the nuclear magnetic resonance hydrogen spectrum of the polylactic acid;
(2) the area S of the peak fitted at 5.21ppm of δ was calculated5.21And delta is 5.10-5.25 ppm of the total peak area S5.10~5.25
(3) The content C of the copolymerized units of the meso-lactide polymerized units and the D, L-lactide polymerized units was calculated by the following formulameso-D,L-LA
Cmeso-D,L-LA=S5.21/S5.10~5.25×100%。
The polylactic acid material with low-temperature processability is prepared by the method, so that the production cost of the conventional polylactic acid product can be greatly reduced, the application scene of the polylactic acid material is greatly widened, and the polylactic acid material can be applied to daily environments such as families and the like and has a very good application prospect.
The melting point of meso-lactide (meso-LA) is 53 ℃ and the melting point of D, L-lactide (D, L-LA) is 124 ℃ to 128 ℃. The inventors have found that when the solution of the present invention is used, meso-LA is copolymerized with D, L-LA due to the T of the meso-LA segment of low molecular weight in the copolymermLow, can be melted at low temperature, and the melted meso-LA chain segment can generate similar intermiscibility and plasticization on the PDLLA chain segment, thereby obviously reducing the processing temperature of the copolymer.
In the preferred scheme of the invention, the polymerization process adopts the reaction conditions of low temperature and high temperature, so that the sublimation of the meso-LA can be avoided, and the polymerization effect of the meso-LA and the D, L-LA is improved.
Obviously, many modifications, substitutions, and variations are possible in light of the above teachings of the invention, without departing from the basic technical spirit of the invention, as defined by the following claims.
The present invention will be described in further detail with reference to the following examples. This should not be understood as limiting the scope of the above-described subject matter of the present invention to the following examples. All the technologies realized based on the above contents of the present invention belong to the scope of the present invention.
Drawings
FIG. 1 shows the NMR spectra of meso-co-D, L-PLA copolymer (A-D) and PDLLA (E), wherein the molar content of meso-LA in the raw material lactide is as follows: 74% (example 4, a), 68% (example 3, B), 62% (example 2, C), 52% (example 1, D);
FIG. 2 is the NMR spectrum of meso-co-D, L-PLA copolymer, in which the reaction temperature is 90 deg.C (example 6, A) and 60 deg.C (example 5, B);
FIG. 3 is a NMR spectrum of a copolymer of meso-co-D, L-PLA in which the reaction time at low temperature was 14 hours (example 8, A) and 4 hours (example 7, B);
FIG. 4 is a nuclear magnetic resonance hydrogen spectrum of meso-co-D, L-PLA prepared in comparative example 2.
Detailed Description
The reagents and chemicals used in the following examples and experimental examples are commercially available. The mixed lactide is synthesized by taking lactic acid as a raw material according to the method of the prior art.
Example 1
10 g of mixed lactide with the meso-LA content of 52 percent and the D and L-LA contents of 48 percent is taken, 0.0056 g of stannous octoate is added, and the mixture is vacuumized for 2 hours at room temperature to remove oxygen. After sealing, the reaction was carried out at 70 ℃ for 7 hours and at 140 ℃ for 14 hours. The obtained polymer was purified twice using a dichloromethane-absolute ethanol coprecipitation system, and once using a dichloromethane-n-hexane coprecipitation system. And (3) placing the purified product in a vacuum drying oven, and drying in vacuum at 40 ℃ to constant weight to obtain a polylactic acid product (meso-co-D, L-PLA). The hydrogen spectrum of nuclear magnetic resonance is shown in FIG. 1D.
For pure poly (D, L-lactic acid) (PDLLA, fig. 1E), the multiplet at δ 1.50-1.62 ppm is attributed to-CH on the PDLLA chain3The multiple peaks appearing at the proton delta of 5.12-5.25 ppm belong to-CH protons in the chain, the ratio of the multiple peaks is 3:1, and the multiple peaks accord with the structure of PDLLA. Of meso-co-D, L-PLA in contrast to PDLLA1The H NMR spectrum has 5.21ppm more peaks in multiplets appearing at the delta of 5.12-5.25 ppm, and the peaks at the 5.21ppm are derived from copolymerization units of meso-lactide (meso-LA) and D-lactide (D-LA) or L-lactide (L-LA), namely D-LA/meso-LA/D-LA units (RR-RS-RR), L-LA/meso-LA/L-LA units (SS-RS-SS) or L-LA/meso-LA/D-LA units (SS-RS-RR). It was found that PDLLA showed simultaneous peaks at 5.22ppm and 5.23ppm, while when meso-LA was copolymerized with D, L-LA, the resulting copolymer showed simultaneous absorption peaks at 5.21ppm and 5.23 ppm. Both peaks at 5.21 and 5.23 in FIG. 1D indicate that meso-LA has been successfully copolymerized with D, L-LA to form meso-co-D, L-PLA.
According to I in FIG. 15.10~5.25/I4.34~4.41(delta-5.10 to 5.25ppm integral area I5.21And δ is 4.34 to 4.41ppm integral area I4.34~4.41) The molecular weight of the copolymer can be calculated usingformula 1. Peak area (S) fitted from δ 5.21ppm5.21) Total peak area (S) fitted to delta of 5.10 to 5.25ppm5.10~5.25) The content of meso-D, L-LA copolymerized units in meso-co-D, L-PLA (C) can be calculated by using the formula 2meso-D,L-LA)。
Mn=(I5.13-5.25/I4.3-4.5) X72 +73 (formula 1)
Cmeso-D,L-LA=S5.21/S5.10~5.25X 100% (formula 2)
The meso-D, L-LA copolymerized units in meso-co-D, L-PLA of this example were calculated to be 12%. The number average molecular weight of the copolymer was 52161 by GPC measurement.
Example 2
10 g of mixed lactide with the meso-LA content of 62 percent and the D and L-LA content of 38 percent and 0.0056 g of stannous octoate are vacuumized for 2 hours at room temperature to remove oxygen. After sealing, the reaction was carried out at 70 ℃ for 7 hours and at 140 ℃ for 14 hours. The obtained polymer was purified twice using a dichloromethane-absolute ethanol coprecipitation system, and once using a dichloromethane-n-hexane coprecipitation system. And (3) placing the purified product in a vacuum drying oven, and drying in vacuum at 40 ℃ to constant weight to obtain a polylactic acid product (meso-co-D, L-PLA). Wherein the molar percentage of the meso-lactide polymerized unit is 62 percent, and the molar percentage of the D, L-lactide polymerized unit is 38 percent. The hydrogen spectrum of nuclear magnetic resonance is shown in FIG. 1C.
The meso-D and L-LA copolymerized units in meso-co-D, L-PLA of this example were calculated to be 10%, and the number average molecular weight of the copolymer was 51364 by GPC.
Example 3
10 g of mixed lactide with the meso-LA content of 68 percent and the D and L-LA content of 32 percent and 0.0056 g of stannous octoate are vacuumized for 2 hours at room temperature to remove oxygen. After sealing, the reaction was carried out at 70 ℃ for 7 hours and at 140 ℃ for 14 hours. The obtained polymer was purified twice using a dichloromethane-absolute ethanol coprecipitation system, and once using a dichloromethane-n-hexane coprecipitation system. And (3) placing the purified product in a vacuum drying oven, and drying in vacuum at 40 ℃ to constant weight to obtain a polylactic acid product (meso-co-D, L-PLA). Wherein, the molar percentage of the meso-lactide polymerized unit is 68 percent, and the molar percentage of the D, L-lactide polymerized unit is 32 percent. The hydrogen spectrum of nuclear magnetic resonance is shown in FIG. 1B.
The meso-D, L-LA copolymerized units in meso-co-D, L-PLA of this example were calculated to be 10%. The number average molecular weight of the copolymer was 48682 by GPC measurement.
Example 4
10 g of mixed lactide with meso-LA content of 74 percent and D, L-LA content of 26 percent and 0.0056 g of stannous octoate are vacuumized for 2 hours at room temperature, and oxygen is removed. After sealing, the reaction was carried out at 70 ℃ for 7 hours and at 140 ℃ for 14 hours. The obtained polymer was purified twice using a dichloromethane-absolute ethanol coprecipitation system, and once using a dichloromethane-n-hexane coprecipitation system. And (3) placing the purified product in a vacuum drying oven, and drying in vacuum at 40 ℃ to constant weight to obtain a polylactic acid product (meso-co-D, L-PLA). The hydrogen spectrum of nuclear magnetic resonance is shown in FIG. 1A.
The meso-D and L-LA copolymerized units in meso-co-D and L-PLA of this example were calculated to be 11%, and the number average molecular weight of the copolymer was 42884 by GPC.
Example 5
10 g of mixed lactide with the meso-LA content of 68 percent and the D and L-LA content of 32 percent and 0.0056 g of stannous octoate are vacuumized for 2 hours at room temperature to remove oxygen. After sealing, the reaction was carried out at 60 ℃ for 10 hours and at 140 ℃ for 18 hours. The obtained polymer was purified twice using a dichloromethane-absolute ethanol coprecipitation system, and once using a dichloromethane-n-hexane coprecipitation system. And (3) placing the purified product in a vacuum drying oven, and drying in vacuum at 40 ℃ to constant weight to obtain a polylactic acid product (meso-co-D, L-PLA). The hydrogen spectrum of nuclear magnetic resonance is shown in FIG. 2A.
The number average molecular weight of the copolymer obtained by GPC was 78402, wherein the content of meso-D and L-LA copolymerized units in meso-co-D, L-PLA was 9%.
Example 6
10 g of mixed lactide with the meso-LA content of 68 percent and the D and L-LA content of 32 percent and 0.0056 g of stannous octoate are vacuumized for 2 hours at room temperature to remove oxygen. After sealing, the reaction was carried out at 90 ℃ for 10 hours and at 140 ℃ for 18 hours. The obtained polymer was purified twice using a dichloromethane-absolute ethanol coprecipitation system, and once using a dichloromethane-n-hexane coprecipitation system. And (3) placing the purified product in a vacuum drying oven, and drying in vacuum at 40 ℃ to constant weight to obtain a polylactic acid product (meso-co-D, L-PLA). The hydrogen spectrum of nuclear magnetic resonance is shown in FIG. 2B.
The mass of the copolymer units of meso-D and L-LA in meso-co-D, L-PLA in this example was calculated to be 11%, and the molecular weight was 86752.
Example 7
10 g of mixed lactide with the meso-LA content of 68 percent and the D and L-LA content of 32 percent and 0.0056 g of stannous octoate are vacuumized for 2 hours at room temperature to remove oxygen. After sealing, the reaction was carried out at 70 ℃ for 4 hours and at 140 ℃ for 14 hours. The obtained polymer was purified twice using a dichloromethane-absolute ethanol coprecipitation system, and once using a dichloromethane-n-hexane coprecipitation system. And (3) placing the purified product in a vacuum drying oven, and drying in vacuum at 40 ℃ to constant weight to obtain a polylactic acid product (meso-co-D, L-PLA). Wherein, the molar percentage of the meso-lactide polymerized unit is 68 percent, and the molar percentage of the D, L-lactide polymerized unit is 32 percent. The NMR spectrum is shown in FIG. 3B.
The mass of the copolymer units of meso-D and L-LA in meso-co-D, L-PLA in this example was calculated to be 9%, and the molecular weight was 39234.
Example 8
10 g of mixed lactide with the meso-LA content of 68 percent and the D and L-LA content of 32 percent and 0.0056 g of stannous octoate are vacuumized for 2 hours at room temperature to remove oxygen. After sealing, the reaction was carried out at 70 ℃ for 14 hours and at 140 ℃ for 14 hours. The obtained polymer was purified twice using a dichloromethane-absolute ethanol coprecipitation system, and once using a dichloromethane-n-hexane coprecipitation system. And (3) placing the purified product in a vacuum drying oven, and drying in vacuum at 40 ℃ to constant weight to obtain a polylactic acid product (meso-co-D, L-PLA). Wherein, the molar percentage of the meso-lactide polymerized unit is 68 percent, and the molar percentage of the D, L-lactide polymerized unit is 32 percent. The hydrogen spectrum of nuclear magnetic resonance is shown in FIG. 3A.
The meso-D, L-LA copolymer units in meso-co-D, L-PLA of this example were calculated to be 10% and the molecular weight was 42314.
Example 9
Synthesizing meso-co-D, L-PLA by a one-step heating method: 10 g of mixed lactide with the meso-LA content of 68 percent and the D and L-LA content of 32 percent and 0.0056 g of stannous octoate are vacuumized for 2 hours at room temperature to remove oxygen. After sealing, the polymerization temperature was 140 ℃ and the polymerization time was 24 hours. The obtained polymer was purified twice using a dichloromethane-absolute ethanol coprecipitation system, and once using a dichloromethane-n-hexane coprecipitation system. The purified product is placed in a vacuum drying oven to be dried in vacuum at 40 ℃ to constant weight, and the nuclear magnetic resonance hydrogen spectrum of the obtained polymer is shown in figure 4, and no absorption peak of 5.21ppm is seen in the figure, which shows that no copolymerization unit of meso-LA and D, L-LA is seen in the polymer. This demonstrates that the one-step heating method employed in this example is difficult to form copolymerized units of meso-LA and D, L-LA during polymerization, whereas the two-step heating methods described in examples 1-8 are more effective in effecting copolymerization of meso-LA and D, L-LA.
Comparative example 1
Synthesis of PDLLA: 10 g of D, L-lactide is taken, 0.0056 g of stannous octoate is added, and the mixture is vacuumized for 2 hours at room temperature to remove oxygen. After sealing, the reaction was carried out at 140 ℃ for 14 hours. The obtained polymer was purified twice using a dichloromethane-absolute ethanol coprecipitation system, and once using a dichloromethane-n-hexane coprecipitation system. And (3) placing the purified product in a vacuum drying oven for vacuum drying at 40 ℃ to constant weight to obtain PDLLA. The hydrogen spectrum of nuclear magnetic resonance is shown in FIG. 1E.
Experimental example 1 melt flow index test
The melt flow index of meso-co-D, L-PLA was measured with a HRZ-400B melt flow Rate tester according to the standard GB/T3682.1-2018. The results of measurements on the samples of examples 1, 6, 8, 9 and 1 are shown in Table 1, wherein the temperature is 100 ℃, 105 ℃, 110 ℃ and 115 ℃ and the load is 2.16 kg.
TABLE 1 melt flow index (MFR) of PDLLA with meso-co-D, L-PLA
Figure BDA0003202875580000091
As can be seen from the data in the table, the MFR values of the samples of each example are significantly improved relative to the PDLLA sample of comparative example 1. The results show that the melt flow index of the copolymer can be obviously increased after the meso-LA is copolymerized with the D, L-LA, namely the meso-co-D, L-PLA obtained after the meso-LA is copolymerized with the D, L-LA can obviously reduce the processing temperature compared with PDLLA.
Secondly, the MFR values of two samples of meso-co-D, L-PLA-11% (example 6), meso-co-D, L-PLA-10% (example 8) and meso-co-D, L-PLA (example 9) having the same ratios of the raw materials used, with higher contents of copolymerized units, were relatively higher. This shows that in the polymerization process of mixed lactide, compared with the one-step heating method, the two-step heating method is more preferable to prepare polylactic acid with more copolymerization units.
Further, when the molar percentages of meso-LA and D, L-LA in the mixed lactide as a raw material were 68% and 32%, respectively, the MFR of the prepared samples (meso-co-D, L-PLA-11%, meso-co-D, L-PLA-10%, and meso-co-D, L-PLA) was increased by a relatively high degree; whereas the molar percentages of meso-LA and D, L-LA in the mixed lactide were 52% and 48%, respectively, the resulting samples (meso-co-D, L-PLA-12%) had relatively low increases in MFR. This shows that in the solution of the invention, the preferred ratio of meso-LA to D, L-LA in the mixed lactide is 68% and 32% in mole percent.
Experimental example 2 example of low temperature processing
The meso-co-D, L-PLA sample prepared in example 1 was subjected to processing detection, and PDLLA sample was used as a control, and polymer samples were processed by a method combining extrusion with injection molding by a twin-screw extruder, wherein the processing steps are as follows:
PDLLA and meso-co-D, L-PLA granules (granules with the length and the width of less than 5 mm) are placed into a charging barrel of a double-screw extruder, are extruded into the charging barrel of an injection molding machine after being circulated for 3 minutes in the double screw, are subjected to injection molding, are taken out, and are stored at room temperature in a dryer.
Wherein, the specific parameters are compared as follows:
screw temperature: for PDLLA, the screw temperature was 165 ℃; for meso-co-D, L-PLA, the screw temperature is 105 ℃;
and (3) injection molding temperature: for PDLLA, the barrel temperature was 165 ℃ and for meso-co-D, L-PLA, the barrel temperature was 105 ℃.
The injection pressure was 180bar, the mold pressure 10bar and the mold temperature 33 ℃.
As can be seen from the above processing examples, the meso-co-D, L-PLA sample of example 1 can be processed at a lower temperature.
As can be seen from the above examples and experimental examples, the novel polylactic acid provided by the present invention has low temperature processing properties. The processing temperature can be reduced from 165 ℃ to 105 ℃ of the PDLLA material. The processing difficulty of the polylactic acid material is greatly reduced, the safety of processing the polylactic acid is improved, the production cost is reduced, the application and the popularization of the polylactic acid material are facilitated, and the polylactic acid material has high application potential.

Claims (10)

1. A polylactic acid processable at low temperature, which is characterized by consisting of a repeating unit A, a repeating unit B, a repeating unit C and a repeating unit D;
wherein the repeating unit A is
Figure FDA0003202875570000011
The repeating unit B is
Figure FDA0003202875570000012
The repeating unit C is
Figure FDA0003202875570000013
The repeating unit D is
Figure FDA0003202875570000014
The sum of the mole percentages of the repeating unit A and the repeating unit B is 3-74%, and the sum of the mole percentages of the repeating unit C and the repeating unit D is 97-26%;
the molar ratio of the repeating unit A to the repeating unit B is any proportion, and the molar ratio of the repeating unit C to the repeating unit D is 1: 1.
2. Polylactic acid according to claim 1, characterized in that: the sum of the mole percentages of the repeating unit A and the repeating unit B is 68%, and the sum of the mole percentages of the repeating unit C and the repeating unit D is 32%.
3. Polylactic acid according to claim 1, characterized in that: the repeating unit A and the repeating unit B are meso-lactide polymerization units, the repeating unit C and the repeating unit D are D, L-lactide polymerization units, and the content of a copolymerization unit of the meso-lactide polymerization unit and the D, L-lactide polymerization unit in the polylactic acid is 9-12%.
4. Polylactic acid according to claim 3, characterized in that: in the polylactic acid, the content of a copolymerization unit of a meso-lactide polymerization unit and a D, L-lactide polymerization unit is 10-11%;
and/or the molecular weight of the polylactic acid is 10000-200000.
5. Polylactic acid according to claim 1, characterized in that: the polylactic acid is prepared by copolymerizing 3 to 74 mole percent of meso-lactide and 97 to 26 mole percent of D, L-lactide.
6. Polylactic acid according to claim 5, characterized in that: the polylactic acid is obtained by reacting the meso-lactide with the D, L-lactide for 4-14 hours at the temperature of 60-90 ℃ and then reacting for 12-24 hours at the temperature of 100-180 ℃.
7. The method for producing polylactic acid according to any one of claims 1 to 4, wherein: the method comprises the following steps: the mixed lactide of meso-lactide and D, L-lactide is reacted for 4-14 hours at the temperature of 60-90 ℃, and then reacted for 12-24 hours at the temperature of 100-180 ℃ to obtain the product.
8. The method of claim 7, wherein: the polylactic acid is obtained by reacting mixed lactide at 70-90 ℃ for 7-14 hours and then at 140 ℃ for 14 hours.
9. The method of claim 7, wherein: the reaction is carried out in an oxygen-removing environment;
and/or, the reaction is carried out under the action of a catalyst, and the catalyst is selected from stannous octoate;
and/or the dosage ratio of the catalyst to the mixed lactide is 1 (2000-7000) in molar ratio.
10. A degradable plastic product prepared from the polylactic acid according to any one of claims 1 to 6.
CN202110909263.4A2021-08-092021-08-09 A kind of polylactic acid that can be processed at low temperature and preparation method thereofActiveCN113512181B (en)

Priority Applications (1)

Application NumberPriority DateFiling DateTitle
CN202110909263.4ACN113512181B (en)2021-08-092021-08-09 A kind of polylactic acid that can be processed at low temperature and preparation method thereof

Applications Claiming Priority (1)

Application NumberPriority DateFiling DateTitle
CN202110909263.4ACN113512181B (en)2021-08-092021-08-09 A kind of polylactic acid that can be processed at low temperature and preparation method thereof

Publications (2)

Publication NumberPublication Date
CN113512181Atrue CN113512181A (en)2021-10-19
CN113512181B CN113512181B (en)2022-08-12

Family

ID=78068398

Family Applications (1)

Application NumberTitlePriority DateFiling Date
CN202110909263.4AActiveCN113512181B (en)2021-08-092021-08-09 A kind of polylactic acid that can be processed at low temperature and preparation method thereof

Country Status (1)

CountryLink
CN (1)CN113512181B (en)

Citations (17)

* Cited by examiner, † Cited by third party
Publication numberPriority datePublication dateAssigneeTitle
WO1990001521A1 (en)*1988-08-081990-02-22Battelle Memorial InstituteDegradable thermoplastic from lactides
CN1050203A (en)*1988-08-081991-03-27巴特尔纪念研究院Come from the degradable thermoplastic plastics of rac-Lactide
CN1583819A (en)*2004-06-152005-02-23东华大学Synthesis of polylactate in supercrilical fluid of CO2
CN101018668A (en)*2004-06-232007-08-15自然工作有限责任公司Branched polylactic acid polymers and method of preparing same
CN101186687A (en)*2007-12-042008-05-28武汉大学深圳研究院Method for preparing polylactic acid by lactide open loop polymerization reaction
CN101367921A (en)*2008-10-062009-02-18中国人民解放军第二军医大学 A kind of method that lactide ring-opening synthesizes polylactic acid
JP2011111461A (en)*2009-11-242011-06-09Daiso Co LtdMethod for producing polylactic acid
CN102245125A (en)*2008-10-112011-11-16奥巴斯尼茨医学公司Bioabsorbable polymeric compositions and medical devices
CN103097432A (en)*2010-06-172013-05-08日立造船株式会社Method for producing polylactic acid
CN103804663A (en)*2014-03-072014-05-21中国科学院长春应用化学研究所Aliphatic series-polylactic acid segmented copolymer and preparation method thereof
CN103896908A (en)*2008-08-292014-07-02伍德伊万特-费休股份有限公司Process for preparing a mixture of lactide derivatives
US20150018493A1 (en)*2012-03-132015-01-15Greencentre CanadaSalen indium catalysts and methods of manufacture and use thereof
CN107109041A (en)*2014-12-222017-08-293M创新有限公司Composition and film comprising polylactic acid polymer, polyvinyl acetate polymer and plasticizer
CN108102321A (en)*2010-06-222018-06-01维健股份有限公司Polylactic acid gloves and its manufacturing method
CN108191904A (en)*2018-01-032018-06-22长春理工大学A kind of achirality aluminium compound and its synthetic method and polylactic acid synthetic method
CN108559067A (en)*2018-01-102018-09-21四川大学Long-chain branched polymer type processing aid and preparation method thereof and its application
CN111499844A (en)*2018-03-082020-08-07深圳市立心科学有限公司Medical polylactic acid and preparation method thereof

Patent Citations (17)

* Cited by examiner, † Cited by third party
Publication numberPriority datePublication dateAssigneeTitle
CN1050203A (en)*1988-08-081991-03-27巴特尔纪念研究院Come from the degradable thermoplastic plastics of rac-Lactide
WO1990001521A1 (en)*1988-08-081990-02-22Battelle Memorial InstituteDegradable thermoplastic from lactides
CN1583819A (en)*2004-06-152005-02-23东华大学Synthesis of polylactate in supercrilical fluid of CO2
CN101018668A (en)*2004-06-232007-08-15自然工作有限责任公司Branched polylactic acid polymers and method of preparing same
CN101186687A (en)*2007-12-042008-05-28武汉大学深圳研究院Method for preparing polylactic acid by lactide open loop polymerization reaction
CN103896908A (en)*2008-08-292014-07-02伍德伊万特-费休股份有限公司Process for preparing a mixture of lactide derivatives
CN101367921A (en)*2008-10-062009-02-18中国人民解放军第二军医大学 A kind of method that lactide ring-opening synthesizes polylactic acid
CN102245125A (en)*2008-10-112011-11-16奥巴斯尼茨医学公司Bioabsorbable polymeric compositions and medical devices
JP2011111461A (en)*2009-11-242011-06-09Daiso Co LtdMethod for producing polylactic acid
CN103097432A (en)*2010-06-172013-05-08日立造船株式会社Method for producing polylactic acid
CN108102321A (en)*2010-06-222018-06-01维健股份有限公司Polylactic acid gloves and its manufacturing method
US20150018493A1 (en)*2012-03-132015-01-15Greencentre CanadaSalen indium catalysts and methods of manufacture and use thereof
CN103804663A (en)*2014-03-072014-05-21中国科学院长春应用化学研究所Aliphatic series-polylactic acid segmented copolymer and preparation method thereof
CN107109041A (en)*2014-12-222017-08-293M创新有限公司Composition and film comprising polylactic acid polymer, polyvinyl acetate polymer and plasticizer
CN108191904A (en)*2018-01-032018-06-22长春理工大学A kind of achirality aluminium compound and its synthetic method and polylactic acid synthetic method
CN108559067A (en)*2018-01-102018-09-21四川大学Long-chain branched polymer type processing aid and preparation method thereof and its application
CN111499844A (en)*2018-03-082020-08-07深圳市立心科学有限公司Medical polylactic acid and preparation method thereof

Non-Patent Citations (3)

* Cited by examiner, † Cited by third party
Title
SHIRAHAMA, H,ET AL.,: "Characteristics of the biodegradability and physical properties of stereocomplexes between poly(D-lactide) and poly(D-lactide) copolymers", 《JOURNAL OF POLYMER SCIENCE PART A-POLYMER CHEMISTRY》*
牛旭锋等: "内消旋丙交酯及其聚合物的研究进展", 《高分子材料科学与工程》*
龚明: "开环聚合合成聚乳酸及改性研究", 《中国优秀硕士学位论文全文数据库 工程科技Ⅰ辑》*

Also Published As

Publication numberPublication date
CN113512181B (en)2022-08-12

Similar Documents

PublicationPublication DateTitle
CN104312121B (en)Transparent polylactic acid film of high tenacity and preparation method thereof
CN111621239B (en)Full-biodegradable adhesive tape and preparation method thereof
CN108822514A (en)A kind of completely biological degradation polylactic acid base inflation film and preparation method thereof
CN112708246B (en)Multi-component biodegradable mulching film and preparation method thereof
CN104387732A (en)Transparent, tear-resistant and biodegradable polylactic acid thin film and preparation method thereof
CN114573965B (en)High-barrier biodegradable material and preparation method and application thereof
CN110396286B (en)Low-price excellent 3D printing consumable and preparation method thereof
CN114031913A (en)Anti-aging heat-resistant polylactic acid injection molding material and preparation method thereof
EP3530692A1 (en)Polyester composition and preparation method therefor
JP4476808B2 (en) High molecular weight aliphatic polyester and process for producing the same
JP2022506554A (en) High temperature resistant, aging resistant polyglycolide copolymer and its composition
CN113429551A (en)Low-melting-point thermoplastic polyester elastomer and preparation method thereof
CN110373008B (en)Polylactic acid composite material and preparation method thereof
CN103224697A (en)Completely-biodegradable PHA (polyhydroxyalkanoate)/PCL (polycaprolactone) blend and preparation method thereof
KR101820247B1 (en)Resin compositions for improving clarity and thermal resistance of stereocomplexed polylactic acid
CN113512181A (en) A kind of polylactic acid that can be processed at low temperature and preparation method thereof
CN115594957A (en)High-barrier degradable material, high-barrier degradable film and preparation method thereof
CN113429762A (en)Starch/polylactic acid/PBAT nano composite material and preparation method thereof
KR20140034554A (en)Polylactic acid-based resin composition to improve crystallization behavior and product by using the same
KR102208407B1 (en)Polyethylene carbonate resin composition and method for preparing the same
CN106700040A (en)Method for preparing polylactic acid through twin screw reactive extrusion method and ring open polymerization method
CN115677986B (en) A method for preparing heat-resistant and aging-resistant degradable aliphatic polyester
CN1769317A (en) Method for preparing polylactic acid block copolymer with twin-screw reaction extruder
CN115057999A (en)High-heat-resistance poly (butylene succinate) composition and preparation method thereof
CN112251002A (en)PBS (Poly Butylene succinate) degradable packaging material with excellent toughness and temperature resistance and preparation method thereof

Legal Events

DateCodeTitleDescription
PB01Publication
PB01Publication
SE01Entry into force of request for substantive examination
SE01Entry into force of request for substantive examination
GR01Patent grant
GR01Patent grant
TR01Transfer of patent right
TR01Transfer of patent right

Effective date of registration:20221108

Address after:Room 3610, No. 70, Zhongshan East Road, Mudu Town, Wuzhong District, Suzhou City, Jiangsu Province, 215000

Patentee after:Suzhou Blueprint Chemical Technology Co.,Ltd.

Address before:Room 2602, No. 70, Zhongshan East Road, Mudu Town, Wuzhong District, Suzhou City, Jiangsu Province, 215000

Patentee before:Blueprint design (Jiangsu) Co.,Ltd.

Effective date of registration:20221108

Address after:Room 2602, No. 70, Zhongshan East Road, Mudu Town, Wuzhong District, Suzhou City, Jiangsu Province, 215000

Patentee after:Blueprint design (Jiangsu) Co.,Ltd.

Address before:400044 No. 174, positive street, Shapingba District, Chongqing

Patentee before:Chongqing University


[8]ページ先頭

©2009-2025 Movatter.jp