



技术领域technical field
本发明属于无线通信技术领域,尤其涉及一种蓝牙接收机coded模式下的高灵敏度接收方法。The invention belongs to the technical field of wireless communication, and in particular relates to a high-sensitivity receiving method in a coded mode of a Bluetooth receiver.
背景技术Background technique
相对于uncoded模式,蓝牙5.0 coded模式为延伸传输距离,对Preamble(以下简称帧头)部分和PDU部分的格式都进行了修改。Preamble部分由10段重复的“00111100”符号序列组成,PDU部分加入了码率为1/8或1/2的纠错编码。为此,需要有别于uncoded模式的接收方法,以提高接收机的灵敏度,延伸通信距离。如何能够在相同的发射功率条件下,解决因距离延伸接收信号强度下降、信噪比减低而影响接收机灵敏度的问题,是蓝牙5.0 coded模式面临的技术难点。Compared with the uncoded mode, the Bluetooth 5.0 coded mode extends the transmission distance, and the formats of the Preamble (hereinafter referred to as the frame header) part and the PDU part have been modified. The Preamble part consists of 10 repeated "00111100" symbol sequences, and the PDU part adds error correction coding with a code rate of 1/8 or 1/2. For this reason, a receiving method different from the uncoded mode is required to improve the sensitivity of the receiver and extend the communication distance. How to solve the problem that the receiver sensitivity is affected by the decrease of the received signal strength and the reduction of the signal-to-noise ratio due to the distance extension under the same transmit power condition is the technical difficulty faced by the Bluetooth 5.0 coded mode.
发明内容SUMMARY OF THE INVENTION
发明目的:为了解决现有技术中,蓝牙接收机在5.0 coded模式下灵敏度差的问题,本发明提供一种蓝牙接收机coded模式下的高灵敏度接收方法。Purpose of the invention: In order to solve the problem of poor sensitivity of the Bluetooth receiver in the 5.0 coded mode in the prior art, the present invention provides a high-sensitivity receiving method of the Bluetooth receiver in the coded mode.
技术方案:一种蓝牙接收机coded模式下的高灵敏度接收方法,包括以下步骤:Technical solution: a high-sensitivity receiving method in a coded mode of a Bluetooth receiver, comprising the following steps:
步骤一、对接收信号进行采样,通过差分运算的方式检测出帧头,获得采样点差分求和运算结果;
步骤二、设总频偏估计值为 ,建立的组成:
(1) (1)
其中,,T为码元传输周期,j可能取值-1、0、+1;in, , T is the symbol transmission period, j may take the value -1, 0, +1;
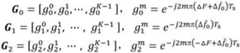
步骤三、分别假设j取值为-1、0、+1,对接收信号进行频偏补偿,得到三种频偏补偿结果;构建本地训练序列,,Ts为采样周期,表示发送信号;将本地训练序列分别与所述三种频偏补偿结果进行相关运算,取最大相关值对应的频偏补偿结果的j值,将j值带入式(1)中,得到总频偏估计值;Step 3: Assume that j is -1, 0, +1 respectively, perform frequency offset compensation on the received signal, and obtain three frequency offset compensation results; construct a local training sequence , , Ts is the sampling period, Represents the transmitted signal; the local training sequence is respectively correlated with the three frequency offset compensation results, the j value of the frequency offset compensation result corresponding to the maximum correlation value is taken, and the j value is brought into the formula (1) to obtain the total frequency biased estimates;
步骤四、确定接入码的起始位置;Step 4: Determine the starting position of the access code;
步骤五、使用步骤三得到的总频偏估计值对接收信号进行频率补偿,对频率补偿后的信号进行误差检测得到残留频偏估计值,残留频偏估计值经过环路滤波器滤波后与总频偏估计值累加,更新总频偏估计值,利用更新后的总频偏估计值进行频率补偿,采用准相干解调法对频率补偿后的信号解调。Step 5: Use the estimated total frequency offset obtained in
进一步地,步骤一中检测帧头的方法为:Further, the method for detecting the frame header in
令发送信号表示为,接收信号表示为,其中为加性高斯白噪声,为收发双方的频偏,设码元传输周期为T,每个码元传输周期的采样数为L,采样间隔为Ts=T/L,计算:Let the send signal be expressed as , the received signal is expressed as ,in is additive white Gaussian noise, For the frequency offset of the sending and receiving parties, let the symbol transmission period be T, the sampling number of each symbol transmission period is L, and the sampling interval is Ts=T/L, calculate:
(2) (2)
(3) (3)
表示相隔8T时间的两个样值进行差分运算的结果,为中间参数,表示参与差分运算的样值数,定义检测指标为, Represents the result of the difference operation between two samples separated by 8T time, is an intermediate parameter, Indicates the number of samples involved in the difference operation, and the detection index is defined as ,
(4) (4)
当检测指标超过门限时,认为接收信号中包含帧头信号,记录首次出现超门限的时刻。When the detection index exceeds the threshold When the received signal is considered to contain a frame header signal, the moment when the threshold first occurs is recorded. .
进一步地,步骤三中,根据假设计算频偏补偿结果的方法为:Further, in
分别假设j取值为+1、-1、0,构建K长度的序列,Assume that j is +1, -1, 0, respectively, to construct a sequence of length K ,
(5) (5)
其中,,in, ,
分别用序列与接收信号进行如下运算:sequence Perform the following operations with the received signal:
(6) (6)
分别是假设频偏为、和后进行频偏补偿的结果。 respectively assume that the frequency offset is , and Then the result of frequency offset compensation.
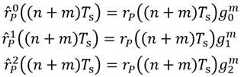
进一步地,步骤三中,所述相关运算中,分别令其相位为、和0,则对应元素的取值从集合中选择,而相位为其他取值的元素强制为零,的取值从中选取,然后进行如下相关运算:Further, in
(7) (7)
在范围内搜索式(7)中的最大相关值,分别为设定的下限和上限,出现最大相关值对应的频偏补偿值就是正确的频偏估计值。exist The maximum correlation value in Eq. (7) is searched in the range, are the set lower limit and upper limit respectively, and the frequency offset compensation value corresponding to the maximum correlation value is the correct frequency offset estimation value.
进一步地,步骤四根据帧头的大致位置,采用基于接入码的抗干扰高精度信号同步方法确定接入码的位置,完成信号同步捕获。Further, in
进一步地,步骤五,通过误差检测获取残留频偏估计值的方法为:Further, in step 5, the method for obtaining the residual frequency offset estimated value through error detection is:
设调制后的蓝牙信号的相位表示为,接收信号的相位表示为,残留频偏为,残留频偏估计值为,Let the phase of the modulated Bluetooth signal be expressed as, the phase of the received signal is expressed as , the residual frequency offset is , the residual frequency offset estimate is ,
(8) (8)
其中,为传输的第n个码元,其取值为+1或-1;h为调制指数,其取值为0.5;为码元周期长度的矩形脉冲通过高斯滤波器的响应,满足;in, is thenth symbol of transmission, and its value is +1 or -1;h is the modulation index, and its value is 0.5; is the response of a rectangular pulse of symbol period length passing through a Gaussian filter, satisfying ;
NT表示积分时间长度,由式(9)计算出NT的值,NT represents the integration time length, and the value of NT is calculated by formula (9),
(9) (9)
忽略噪声的影响,则有:Neglecting the effect of noise, we have:
(10) (10)
根据式(9)和(10)可估算得到:According to equations (9) and (10), it can be estimated that:
(11) (11)
计算出残留频偏估计值即为误差检测的结果。Calculate the residual frequency offset estimate It is the result of error detection.
进一步地,若接收信号的采样为过采样,则计算公式(11)时用求和代替。Further, if the sampling of the received signal is oversampling, the summation is used instead when calculating formula (11).
进一步地,所述环路滤波器采用一阶或二阶环路滤波器。Further, the loop filter adopts a first-order or second-order loop filter.
进一步地,步骤五中,采用基于判决的1比特差分解调法,或者采用基于laurent分解的准相干解调法对频率补偿后的信号解调。Further, in step 5, a decision-based 1-bit differential demodulation method or a quasi-coherent demodulation method based on Laurent decomposition is used to demodulate the frequency-compensated signal.
一种蓝牙接收机,包括处理器、存储器及存储在存储器中并可被处理器执行的软件程序,当处理器执行该软件程序时可实现如上述的蓝牙接收机coded模式下的高灵敏度接收方法。A bluetooth receiver, comprising a processor, a memory and a software program stored in the memory and executable by the processor, when the processor executes the software program, the high-sensitivity receiving method in the coded mode of the bluetooth receiver as described above can be realized .
有益效果:本发明提供一种蓝牙接收机coded模式下的高灵敏度接收方法,相比较现有技术,可以在大频偏、低信噪比的场景下实现信号的同步捕获,即使信噪比低至0dB,也可以获得正确的频偏估计值和抽样位置估计值,在可以正确估计频偏值的条件下,大幅度降低运算复杂度。并且在捕获到信号后,基于信号发送的伪随机特性提出了一种频偏跟踪环路进行残留频偏的跟踪,可以随时跟踪信号频率,以尽量降低频偏对蓝牙GMSK信号解调的影响,为信号的解调奠定基础,从而使得接收机可以采用准相干解调来提高GMSK信号的解调性能。Beneficial effects: The present invention provides a high-sensitivity receiving method in the coded mode of a Bluetooth receiver. Compared with the prior art, the synchronous capture of signals can be achieved in the scenario of large frequency offset and low signal-to-noise ratio, even if the signal-to-noise ratio is low. To 0dB, the correct frequency offset estimation value and sampling position estimation value can also be obtained. Under the condition that the frequency offset value can be correctly estimated, the computational complexity is greatly reduced. And after capturing the signal, based on the pseudo-random characteristics of signal transmission, a frequency offset tracking loop is proposed to track the residual frequency offset, which can track the signal frequency at any time, so as to minimize the influence of frequency offset on the demodulation of Bluetooth GMSK signal. It lays the foundation for the demodulation of the signal, so that the receiver can use quasi-coherent demodulation to improve the demodulation performance of the GMSK signal.
附图说明Description of drawings
图1为定时同步受信噪比影响的性能图;Figure 1 is a performance diagram of timing synchronization affected by signal-to-noise ratio;
图2为信噪比为0dB的定时偏差情况;Figure 2 shows the timing deviation with a signal-to-noise ratio of 0dB;
图3为频偏估计受信噪比影响的性能图;Figure 3 is a performance diagram of the frequency offset estimation affected by the signal-to-noise ratio;
图4为本发明方法的流程示意图。FIG. 4 is a schematic flow chart of the method of the present invention.
具体实施方式Detailed ways
下面结合附图和具体实施例对本发明做进一步解释说明。The present invention will be further explained below with reference to the accompanying drawings and specific embodiments.
一种蓝牙接收机,包括处理器、存储器及存储在存储器中并可被处理器执行的软件程序,当处理器执行该软件程序时可实现下述蓝牙接收机coded模式下的高灵敏度接收方法。A Bluetooth receiver includes a processor, a memory and a software program stored in the memory and executable by the processor. When the processor executes the software program, the following high-sensitivity receiving method in the coded mode of the Bluetooth receiver can be implemented.
蓝牙接收机coded模式下的高灵敏度接收方法,如图4,包括以下步骤:The high-sensitivity receiving method in the coded mode of the Bluetooth receiver, as shown in Figure 4, includes the following steps:
步骤一、对接收信号进行采样,由于帧头部分是由10段重复的“00111100”符号序列组成的,因此可以利用帧头部分的规律重复性进行信号检测,使得接收机检测到接收信号中帧头部分的信息。在检测帧头的过程中,可以获得采样点差分求和运算结果;
通过差分运算的方式检测帧头的方法为:The method of detecting the frame header by differential operation is as follows:
令发送信号表示为,符号周期为,则。假设只受白噪声的影响,则接收信号表示为,其中为加性高斯白噪声,为收发双方的频偏。设码元传输周期为T,每个码元传输周期的采样数为L,采样间隔为Ts=T/L,计算:Let the send signal be expressed as , the symbol period is ,but . Assuming that it is only affected by white noise, the received signal is expressed as ,in is additive white Gaussian noise, is the frequency offset of the sender and receiver. Suppose the symbol transmission period is T, the number of samples per symbol transmission period is L, and the sampling interval is Ts=T/L, calculate:
(1) (1)
(2) (2)
其中表示对取共轭的结果,表示相隔8T时间的两个样值进行差分运算的结果,表示参与差分运算的样值数,为中间参数,定义检测指标为,in express right Take the conjugated result, Represents the result of the difference operation between two samples separated by 8T time, represents the number of samples involved in the difference operation, is an intermediate parameter, and the detection index is defined as ,
(3) (3)
当检测指标超过预先设定的门限时,认为接收信号中包含帧头信号。记录首次出现超门限的时刻。When detecting indicators exceeds a pre-set threshold , it is considered that the frame header signal is included in the received signal. Record the moment when the threshold is exceeded for the first time .
由于帧头部分的信号重复性,如果忽略噪声的影响,同时假设时刻为帧头部分第一个样值对应的时刻,即信号检测做到了位置完全准确,式(1)可以简化为Due to the signal repeatability in the frame header, if the influence of noise is ignored, it is assumed that The time is the time corresponding to the first sample value of the frame header, that is, the signal detection has achieved a completely accurate position. Equation (1) can be simplified as
(4) (4)
本步骤在检测帧头的同时还获得了采样点差分求和的结果,用于下一步频偏估计。In this step, the result of the difference summation of sampling points is also obtained while detecting the frame header. , which is used for the next step frequency offset estimation.
步骤二、考虑相位模糊性,如果频偏,则其估计值,T为码元传输周期,否则。令,则:
(5) (5)
其中,,,考虑到协议中有关最大频偏的规定,j可能的取值为-1、0或+1。接下来就需要估计出j的取值。in, , , taking into account the stipulation on the maximum frequency offset in the protocol, the possible value of j is -1, 0 or +1. Next, we need to estimate the value of j.
步骤三、分别假设j取值为+1、0、-1,构建K长度的序列,
(6) (6)
其中,。显然,以上序列分别假设频偏为、和。in, . Obviously, the above sequences respectively assume that the frequency offset is , and .
然后分别用以上序列与接收信号进行如下运算:Then use the above sequence Perform the following operations with the received signal:
(7) (7)
分别是假设频偏为、和后进行频偏补偿的结果。 respectively assume that the frequency offset is , and Then the result of frequency offset compensation.
获得三种频偏补偿的结果后,构建本地训练序列,,Ts为采样周期,表示发送信号;将本地训练序列分别与所述三种频偏补偿结果进行相关运算,取最大相关值对应的频偏补偿结果的j值,将j值带入式(5)中,得到总频偏估计值;After obtaining the results of three frequency offset compensations, construct a local training sequence , , Ts is the sampling period, Represents the transmitted signal; the local training sequence is respectively correlated with the three frequency offset compensation results, and the j value of the frequency offset compensation result corresponding to the maximum correlation value is taken, and the j value is brought into the formula (5) to obtain the total frequency biased estimates;
由于蓝牙的发送信号采用GMSK恒包络调制方式,因此由式(7)构建的序列是一个复值序列,在进行相关运算会带来较大的复杂度。为此,可以只取序列中相位接近、和0的元素,分别令其相位为、和0,则对应元素的取值从集合中选择,而相位为其他取值的元素强制为零。至此,的取值从中选取。然后进行如下相关运算:Since the bluetooth transmit signal adopts GMSK constant envelope modulation, the sequence constructed by formula (7) is a complex-valued sequence, which will bring greater complexity in the correlation operation. To this end, you can only take the phase in the sequence close to the , and elements of 0, respectively, let their phases be , and 0, the value of the corresponding element is from the set , while elements whose phases are other values are forced to zero. So far, value from selected from. Then perform the following related operations:
(8) (8)
虽然在步骤一中通过检测的方式大致找到了帧头的位置,但并不是确切的位置,因此需要在一定的范围内进行如下的相关运算,例如限定一个范围,在该范围内搜索式(8)中的最大相关值,分别为设定的下限和上限,出现最大相关值对应的频偏补偿值就是正确的频偏估计值。例如在本实施例中,中出现了最大相关值,则总频偏估计值为。同时记录出现相关峰值的位置为。Although the position of the frame header is roughly found by detection in
步骤四、通过步骤三已经获得正确的估计值,接下来需要获取正确的信号抽样位置,在总频偏估计值的确定环境已经获得了大致的位置,还需进一步搜索更精确的位置。由于蓝牙通信协议在帧头之后发送接入码,因为接入码对于收发双方都是预知的,而且接入码具有较好的随机性。因此可以基于本申请人另一篇专利号为2020111383050的专利《蓝牙接收机中基于接入码的抗干扰高精度信号同步方法》,利用接入码实现精确的接入码起止位置的搜索,实现信号的同步捕获,从而为后面的信号解调做好充分的准备。
如图1显示了利用本方法进行信号同步捕获时各种信噪比条件下定时同步的性能。即使信噪比低至0dB时,错误同步(漏同步和假同步)的概率也只有3%。图2显示了过抽样因子L为8的情况下定时偏差的分布情况。信噪比为0dB时,绝大多数的定时偏差都控制在两个样值内。图3显示了各种信噪比条件下的频偏估计性能,坐标轴的纵轴显示的是相对于符号速率归一化后的均方根误差。由此可见,频偏估计的均方根误差基本控制在2kHz以内。Figure 1 shows the performance of timing synchronization under various signal-to-noise ratio conditions when the method is used for signal synchronization acquisition. Even when the signal-to-noise ratio is as low as 0dB, the probability of false synchronization (missing and false synchronization) is only 3%. Figure 2 shows the distribution of timing bias with an oversampling factorL of 8. When the signal-to-noise ratio is 0dB, most of the timing deviation is controlled within two samples. Figure 3 shows the frequency offset estimation performance under various signal-to-noise ratio conditions, and the vertical axis of the coordinate axis shows the RMS error normalized to the symbol rate. It can be seen that the root mean square error of frequency offset estimation is basically controlled within 2kHz .
步骤五、从以上步骤,已经实现了信号的同步捕获,但是从蓝牙协议来看,蓝牙信号在发送过程中最大频率漂移率可达。因此,还需要接续对频偏进行跟踪,以尽量降低频偏对蓝牙GMSK信号解调的影响。为此,提供了频偏跟踪环的跟踪方法。Step 5. From the above steps, the synchronous capture of the signal has been achieved, but from the perspective of the Bluetooth protocol, the maximum frequency drift rate of the Bluetooth signal during the transmission process can reach . Therefore, it is also necessary to continuously track the frequency offset to minimize the influence of the frequency offset on the demodulation of the Bluetooth GMSK signal. To this end, a tracking method of frequency offset tracking loop is provided.
使用步骤三得到的总频偏估计值对接收信号进行频率补偿,经过频偏补偿后的接收信号中还存在一定的残留频偏,对频率补偿后的信号进行误差检测得到残留频偏估计值,残留频偏估计值经过环路滤波器获得较为准确的残留频偏估计值。Use the total frequency offset estimate obtained in
具体的获取的方法为:设调制后的蓝牙信号的相位表示为,接收信号的相位为,残留频偏为,残留频偏估计值为specific acquisition The method is: set the phase of the modulated Bluetooth signal as , the phase of the received signal is , the residual frequency offset is , the residual frequency offset estimate is
(9) (9)
其中,为传输的第n个码元,其取值为+1或-1;h为调制指数,其取值为0.5;为码元周期长度的矩形脉冲通过高斯滤波器的响应,满足;in, is thenth symbol of transmission, and its value is +1 or -1;h is the modulation index, and its value is 0.5; is the response of a rectangular pulse of symbol period length passing through a Gaussian filter, satisfying ;
由于为随机的+1、-1序列,因此我们基于蓝牙信号发送的伪随机特性,可以认为在一段时间内对积分的结果,设NT表示积分时间长度,由式(10)计算出NT的值,because It is a
(10) (10)
接收端由于存在频偏,忽略噪声的影响,则有:Due to the existence of frequency offset at the receiving end, ignoring the influence of noise, there are:
(11) (11)
因此相应的积分结果,其中表示残留频偏,也即跟踪阶段的跟踪误差。So the corresponding integral result ,in Indicates the residual frequency offset, that is, the tracking error in the tracking phase.
进一步计算出残留频偏估计值,Further calculate the residual frequency offset estimate ,
(12)。 (12).
若接收信号的采样为过采样,则计算公式(12)时可以用求和代替。If the sampling of the received signal is oversampling, the summation can be used instead when calculating formula (12).
将误差检测出的残留频偏估计值送入环路滤波器,尽量消除噪声的影响,获得更加准确的估计值。环路滤波器可以采用一阶或二阶环路滤波器。Estimated residual frequency offset from error detection It is sent to the loop filter to eliminate the influence of noise as much as possible to obtain a more accurate estimate. . The loop filter can be a first-order or second-order loop filter.
将残留频偏估计值与前一时刻的频偏估计值累加,获得当前时刻的频偏估计值,利用更新后的进行频率补偿,经过频偏补偿后可以进行解调,关于GMSK信号的解调可以采用基于判决的1比特差分解调法,或者采用基于laurent分解的准相干解调法等。The residual frequency offset estimate is Estimated frequency offset from the previous moment Accumulate to obtain the estimated frequency offset at the current moment , using the updated Frequency compensation is performed, and demodulation can be performed after frequency offset compensation. For the demodulation of GMSK signals, a decision-based 1-bit differential demodulation method or a quasi-coherent demodulation method based on Laurent decomposition can be used.
| Application Number | Priority Date | Filing Date | Title |
|---|---|---|---|
| CN202111042215.6ACN113497775B (en) | 2021-09-07 | 2021-09-07 | High-sensitivity receiving method in coded mode of Bluetooth receiver |
| Application Number | Priority Date | Filing Date | Title |
|---|---|---|---|
| CN202111042215.6ACN113497775B (en) | 2021-09-07 | 2021-09-07 | High-sensitivity receiving method in coded mode of Bluetooth receiver |
| Publication Number | Publication Date |
|---|---|
| CN113497775A CN113497775A (en) | 2021-10-12 |
| CN113497775Btrue CN113497775B (en) | 2021-12-03 |
| Application Number | Title | Priority Date | Filing Date |
|---|---|---|---|
| CN202111042215.6AActiveCN113497775B (en) | 2021-09-07 | 2021-09-07 | High-sensitivity receiving method in coded mode of Bluetooth receiver |
| Country | Link |
|---|---|
| CN (1) | CN113497775B (en) |
| Publication number | Priority date | Publication date | Assignee | Title |
|---|---|---|---|---|
| CN109862545B (en)* | 2019-01-15 | 2022-03-18 | 珠海市杰理科技股份有限公司 | Frequency offset compensation method and device of Bluetooth signal, computer equipment and storage medium |
| CN119341717A (en)* | 2024-10-15 | 2025-01-21 | 航天行云科技有限公司 | A low-resource-cost MSK timing error estimation method |
| Publication number | Priority date | Publication date | Assignee | Title |
|---|---|---|---|---|
| CN102415069A (en)* | 2009-04-23 | 2012-04-11 | 皇家飞利浦电子股份有限公司 | Frequency offset and channel gain tracking for enhanced transmission efficiency |
| US8223893B1 (en)* | 2002-02-13 | 2012-07-17 | Marvell International Ltd. | Compensation for residual frequency offset, phase noise and sampling phase offset in wireless networks |
| CN202551094U (en)* | 2012-02-09 | 2012-11-21 | 泰凌微电子(上海)有限公司 | Frequency offset estimating and eliminating system |
| CN111212006A (en)* | 2019-12-25 | 2020-05-29 | 奉加微电子(上海)有限公司 | Signal demodulation system and demodulation method |
| CN111988108A (en)* | 2020-10-22 | 2020-11-24 | 南京沁恒微电子股份有限公司 | Anti-jamming and high-precision signal synchronization method based on access code in bluetooth receiver |
| Publication number | Priority date | Publication date | Assignee | Title |
|---|---|---|---|---|
| US8223893B1 (en)* | 2002-02-13 | 2012-07-17 | Marvell International Ltd. | Compensation for residual frequency offset, phase noise and sampling phase offset in wireless networks |
| CN102415069A (en)* | 2009-04-23 | 2012-04-11 | 皇家飞利浦电子股份有限公司 | Frequency offset and channel gain tracking for enhanced transmission efficiency |
| CN202551094U (en)* | 2012-02-09 | 2012-11-21 | 泰凌微电子(上海)有限公司 | Frequency offset estimating and eliminating system |
| CN111212006A (en)* | 2019-12-25 | 2020-05-29 | 奉加微电子(上海)有限公司 | Signal demodulation system and demodulation method |
| CN111988108A (en)* | 2020-10-22 | 2020-11-24 | 南京沁恒微电子股份有限公司 | Anti-jamming and high-precision signal synchronization method based on access code in bluetooth receiver |
| Publication number | Publication date |
|---|---|
| CN113497775A (en) | 2021-10-12 |
| Publication | Publication Date | Title |
|---|---|---|
| US9954701B2 (en) | Bluetooth signal receiving method and device using improved packet detection and symbol timing acquisition | |
| CN113497775B (en) | High-sensitivity receiving method in coded mode of Bluetooth receiver | |
| CN112399551B (en) | A high-precision synchronization method for short-term burst signals | |
| WO2019153591A1 (en) | Phase splitting differential chaos shift keying communication method based on hybrid system | |
| CN108964824B (en) | A kind of anti-Doppler frequency displacement synchronous method based on pseudo-random sequence differential encoding | |
| CN109088838B (en) | Pseudo code-Doppler fast capturing method of direct sequence spread spectrum DPSK signal under high dynamic condition | |
| CN108881089B (en) | Pilot Frequency Detection Method of SOQPSK Modulated Signal in Telemetry System | |
| CN103023831B (en) | A kind of carrier frequency bias estimation being applicable to burst waveform | |
| CN105187348A (en) | Any-rate CPFSK (Continuous Phase Frequency Shift Key) signal timing synchronization method | |
| KR101817544B1 (en) | Bluetooth signal receiving method and device using improved carrier frequency offset compensation | |
| CN111988108B (en) | Anti-jamming and high-precision signal synchronization method based on access code in bluetooth receiver | |
| CN103428153B (en) | GMSK signal acceptance method in satellite mobile communication | |
| RU2733419C1 (en) | Transmitter and receiver and corresponding methods | |
| WO2018129843A1 (en) | Artm cpm demodulation and synchronization method with low implementation complexity | |
| CN107342960B (en) | A Non-data-aided Frequency Offset Estimation Method Suitable for Amplitude Phase Shift Keying | |
| TW201038028A (en) | Carrier recovery device and related method | |
| CN116055271A (en) | A Burst Signal Detection Method with Double Sliding Windows under Specific Waveform Structure | |
| CN113115430A (en) | High-speed burst digital demodulation system | |
| CN117880043A (en) | Burst short frame communication carrier large frequency offset estimation method | |
| CN104092527A (en) | GMSK coherent demodulation stream processing synchronization method combined with difference | |
| KR20130080227A (en) | Ultra low power super-regenerative receiving apparatus and method thereof | |
| CN104796370B (en) | A kind of signal synchronizing method of underwater sound communication, system and underwater sound communication system | |
| EP3667354B1 (en) | Systems and methods for angle of arrival estimation | |
| CN114465691A (en) | Low-complexity constant envelope phase modulation signal sampling deviation estimation and compensation method and system | |
| CN103595682A (en) | Frame synchronization method, device and receiver for OFDM |
| Date | Code | Title | Description |
|---|---|---|---|
| PB01 | Publication | ||
| PB01 | Publication | ||
| SE01 | Entry into force of request for substantive examination | ||
| SE01 | Entry into force of request for substantive examination | ||
| GR01 | Patent grant | ||
| GR01 | Patent grant |