Movatterモバイル変換


[0]ホーム

URL:


CN113495412A - Light source system and projection apparatus - Google Patents

Light source system and projection apparatus
Download PDF

Info

Publication number
CN113495412A
CN113495412ACN202010197130.4ACN202010197130ACN113495412ACN 113495412 ACN113495412 ACN 113495412ACN 202010197130 ACN202010197130 ACN 202010197130ACN 113495412 ACN113495412 ACN 113495412A
Authority
CN
China
Prior art keywords
light
light source
optical device
splitting
combining unit
Prior art date
Legal status (The legal status is an assumption and is not a legal conclusion. Google has not performed a legal analysis and makes no representation as to the accuracy of the status listed.)
Pending
Application number
CN202010197130.4A
Other languages
Chinese (zh)
Inventor
陈晨
胡飞
余新
李屹
Current Assignee (The listed assignees may be inaccurate. Google has not performed a legal analysis and makes no representation or warranty as to the accuracy of the list.)
Shenzhen Appotronics Corp Ltd
Original Assignee
Appotronics Corp Ltd
Priority date (The priority date is an assumption and is not a legal conclusion. Google has not performed a legal analysis and makes no representation as to the accuracy of the date listed.)
Filing date
Publication date
Application filed by Appotronics Corp LtdfiledCriticalAppotronics Corp Ltd
Priority to CN202010197130.4ApriorityCriticalpatent/CN113495412A/en
Priority to PCT/CN2020/142138prioritypatent/WO2021184924A1/en
Publication of CN113495412ApublicationCriticalpatent/CN113495412A/en
Pendinglegal-statusCriticalCurrent

Links

Images

Classifications

Landscapes

Abstract

Translated fromChinese

本发明提供一种光源系统和投影设备,光源系统包括光源装置、波长转换装置、光学器件以及分光合光单元;光源装置用于发射激发光,波长转换装置用于将接收的激发光至少部分地转换为受激光,光源装置和波长转换装置分别设置于光学器件的相邻的两侧面,分光合光单元设置于光学器件内部,激发光进入光学器件并入射至分光合光单元,分光合光单元将接收的激发光反射至波长转换装置,波长转换装置出射的受激光进入光学器件,部分受激光经分光合光单元透射从光学器件出射,其余部分受激光穿过分光合光单元周围的光学器件,从光学器件出射。本发明提供的光源系统有利于提高亮度。

Figure 202010197130

The invention provides a light source system and projection equipment. The light source system includes a light source device, a wavelength conversion device, an optical device and a light splitting and light combining unit; the light source device is used for emitting excitation light, and the wavelength conversion device is used for at least partially converting the received excitation light. The light source device and the wavelength conversion device are respectively arranged on two adjacent sides of the optical device, and the light splitting and combining unit is arranged inside the optical device. The excitation light enters the optical device and is incident on the light splitting and combining unit. The received excitation light is reflected to the wavelength conversion device, the received laser light emitted by the wavelength conversion device enters the optical device, part of the received laser light is transmitted from the optical device through the light splitting and combining unit, and the rest of the received laser light passes through the optical device around the light splitting and combining unit. out of the optics. The light source system provided by the present invention is beneficial to improve the brightness.

Figure 202010197130

Description

Light source system and projection apparatus
Technical Field
The invention relates to the technical field of projection, in particular to a light source system and projection equipment.
Background
The existing laser fluorescent light source is widely applied to various projection equipment by virtue of the advantages of long service life, low cost and high brightness, and has a very good display effect. The important point in the laser fluorescence technology is the fluorescence excitation scheme and the fluorescence and laser light combination scheme, and the development of the fluorescence excitation scheme and the fluorescence and laser light combination scheme which are more efficient and compact has important significance for the development of the laser fluorescence technology.
In the fluorescence excitation and collection scheme used in the prior art, the dichroic filter is generally used to reflect the excitation light with short wavelength and transmit the fluorescence with long wavelength to realize the light splitting and light combining of the laser light and the fluorescence. In order to ensure the translational consistency of the fluorescent light beam and avoid the scattering of light rays by the edges of the dichroic filters, the dichroic filters are required to cover all fluorescent regions, so that the area of the dichroic filters is required to be large, the propagation distance of the fluorescent light after passing through the collecting lens group is too long, the optical expansion of the fluorescent light is diluted, and the improvement of the brightness of the laser fluorescent light source is not facilitated.
Disclosure of Invention
The present invention provides a light source system and a projection apparatus to solve the above problems.
The embodiment of the invention achieves the aim through the following technical scheme.
In a first aspect, an embodiment of the present invention provides a light source system, where the light source system includes a light source device, a wavelength conversion device, an optical device, and a light splitting and combining unit; the light source device is used for emitting exciting light, and the wavelength conversion device is used for converting the received exciting light into stimulated light at least partially; the light source device and the wavelength conversion device are respectively arranged on two adjacent side surfaces of the optical device, and the light splitting and combining unit is arranged in the optical device; exciting light enters the optical device and enters the light splitting and combining unit, the light splitting and combining unit reflects the received exciting light to the wavelength conversion device, the excited light emitted by the wavelength conversion device enters the optical device, part of the excited light is emitted from the optical device through the transmission of the light splitting and combining unit, and the rest of the excited light passes through the optical device around the light splitting and combining unit and is emitted from the optical device.
In one embodiment, the light splitting and combining unit is disposed obliquely with respect to the optical path of the excitation light emitted by the light source device.
In one embodiment, the optical device comprises a first surface, a second surface and a third surface which are connected, wherein the first surface and the third surface are arranged in parallel relatively, the wavelength conversion device faces the first surface, the light source device faces the second surface, and the excited light exits from the third surface.
In one embodiment, the area of the orthographic projection of the light splitting and combining unit on the first surface is smaller than the area of the first surface.
In one embodiment, the orthographic projection area of the light splitting and combining unit on the first surface is located in the middle area of the first surface.
In one embodiment, the optical device is a hollow rectangular prism, the light splitting and combining unit is a light splitting sheet, the light splitting sheet is arranged inside the optical device, and the light splitting sheet reflects the excitation light and transmits the excited light.
In one embodiment, the optical device is a rectangular prism formed by splicing two right-angle trapezoidal prism, the inclined surfaces of the two right-angle trapezoidal prism are spliced, and the light splitting and combining unit is arranged at the splicing position of the two right-angle trapezoidal prism.
In one embodiment, the light splitting and combining unit is a light splitting sheet sandwiched between two right-angle trapezoid prisms, and the light splitting sheet reflects the excitation light and transmits the stimulated light.
In one embodiment, the light splitting and combining unit is an optical coating formed on the inclined plane of the at least one right-angle trapezoid prism, and the optical coating reflects the excitation light and transmits the received laser light.
In one embodiment, the first surface is spaced from the third surface by a distance equal to the shortest edge length of the rectangular prism.
In one embodiment, the light source device emits excitation light in a first polarization state, the stimulated light is unpolarized light, and the beam splitting and combining unit reflects the excitation light in the first polarization state and transmits the excitation light in the stimulated light and the excitation light in a second polarization state.
In one embodiment, the light source system further comprises a supplementary light source for emitting supplementary light of a first polarization state, the supplementary light and the excitation light being of the same color; the supplementary light source is arranged on one side surface of the optical device, which is deviated from the light source device, the supplementary light emitted by the supplementary light source enters the optical device and enters the light splitting and combining unit, and the supplementary light is reflected by the light splitting and combining unit and is emitted from the optical device along the same light path as the received laser.
In one embodiment, the optical device is a rectangular prism formed by splicing two right-angle trapezoidal prism, the inclined surfaces of the two right-angle trapezoidal prism are spliced, optical coating films are arranged on the inclined surfaces of the two right-angle trapezoidal prism, the optical coating films reflect exciting light and supplementary light in a first polarization state and transmit the exciting light and the exciting light in a second polarization state.
In a second aspect, an embodiment of the present invention provides a projection apparatus, where the projection apparatus includes the light source system of any one of the above embodiments.
In the light source system and the projection equipment provided by the invention, part of the excited light is transmitted by the light splitting and combining unit and then is emitted from the third surface, and the rest part of the excited light is emitted from the third surface after passing through the optical devices around the light splitting and combining unit, so that the volume of the optical devices can be reduced, the dilution of the optical expansion of the excited light in the transmission process is reduced, and the brightness of the light source system is favorably improved.
Drawings
In order to more clearly illustrate the technical solutions in the embodiments of the present invention, the drawings needed to be used in the description of the embodiments will be briefly introduced below, and it is obvious that the drawings in the following description are only some embodiments of the present invention, and it is obvious for those skilled in the art to obtain other drawings based on these drawings without creative efforts.
Fig. 1 is a schematic structural diagram of a light source system according to an embodiment of the present invention.
Fig. 2 is a schematic structural diagram of an optical device and a light splitting and combining unit of the light source system of fig. 1.
Fig. 3 is a schematic structural diagram of another embodiment of the optical device and the light splitting and combining unit of the light source system of fig. 1.
Fig. 4 is a schematic diagram of the estimation of the shift amount of the dichroic sheet provided by the prior art.
Fig. 5 is a schematic diagram of the estimation of etendue of a dichroic sheet provided by the prior art.
Fig. 6 is a schematic diagram showing an estimation of the etendue of the light source system of fig. 1.
Fig. 7 is a schematic structural diagram of a light source system according to another embodiment of the present invention.
Fig. 8 is a schematic view of characteristics of an optical coating film of the light source system of fig. 7.
Fig. 9 is a schematic view showing characteristics of another optical coating film of the light source system of fig. 7.
Fig. 10 is a schematic view of characteristics of still another optical coating of the light source system of fig. 7.
Fig. 11 is a schematic structural diagram of a light source system according to another embodiment of the present invention.
Fig. 12 is a schematic structural diagram of a projection apparatus according to an embodiment of the present invention.
Detailed Description
In order to make the technical solutions of the present invention better understood, the technical solutions in the embodiments of the present invention will be clearly and completely described below with reference to the drawings in the embodiments of the present invention. It is to be understood that the described embodiments are merely exemplary of the invention, and not restrictive of the full scope of the invention. All other embodiments, which can be derived by a person skilled in the art from the embodiments given herein without making any creative effort, shall fall within the protection scope of the present invention.
Referring to fig. 1, an embodiment of the invention provides alight source system 100, where thelight source system 100 includes alight source device 10, awavelength conversion device 40, anoptical device 20, and a light splitting and combiningunit 30. Thelight source device 10 is used for emitting excitation light, and thewavelength conversion device 40 is used for at least partially converting the received excitation light into the stimulated light.
Thelight source device 10 and thewavelength conversion device 40 are respectively disposed on two adjacent side surfaces of theoptical device 20, and the light splitting and combiningunit 30 is disposed inside theoptical device 20. The excitation light emitted by thelight source device 10 enters theoptical device 20 and is incident to the light splitting and combiningunit 30, the light splitting and combiningunit 30 reflects the received excitation light to thewavelength conversion device 40, and thewavelength conversion device 40 at least partially converts the received excitation light into the received laser light; the received laser light emitted from thewavelength conversion device 40 enters theoptical device 20, part of the excited light is transmitted through the light splitting and combiningunit 30 and is emitted from theoptical device 20, and the rest of the received laser light passes through theoptical device 20 around the light splitting and combiningunit 30 and is emitted from theoptical device 20.
Specifically, theLight source device 10 refers to a Light source that can emit Light for exciting the wavelength conversion material, and theLight source device 10 may be a Laser Diode (Laser Diode) Light source or a Light Emitting Diode (Light Emitting Diode) Light source to emit the excitation Light. The excitation light emitted by thelight source device 10 may be blue light, violet light, red light, green light, ultraviolet light, or other types of light, which are not listed here. In the present embodiment, thelight source device 10 includes a blue semiconductor laser diode, and thelight source device 10 emits blue laser light as excitation light. The number of blue semiconductor laser diodes may be one or more than one. The plurality of blue semiconductor diodes may form a semiconductor diode array.
In one embodiment, the blue semiconductor laser diode is a gan-based blue laser, which has low light emitting efficiency and manufacturing cost, overcomes the limitations of poor thermal stability of red laser material and low efficiency and short life of green laser, and can implement red-green spectrum with thewavelength conversion device 40.
Thewavelength conversion device 40 is located on the optical path of the excitation light reflected by the light splitting and combiningunit 30, and is respectively disposed on two adjacent side surfaces of theoptical device 20 with thelight source device 10. Thewavelength conversion device 40 is provided with a wavelength conversion material layer (not shown) to convert at least part of the received excitation light into stimulated light, wherein the excitation light is a relative concept to the stimulated light, and the excitation light represents light capable of exciting the wavelength conversion material layer such that the wavelength conversion material generates light of different wavelengths. The excited light means light generated by the wavelength conversion material layer excited by the excitation light. For example, the blue light excites the yellow light conversion material layer to generate yellow light, and the blue light is the excitation light and the yellow light is the stimulated light. The yellow light excites the red conversion material layer to generate red light, and the yellow light is excited light and the red light is excited light. The blue light excites the green light conversion material layer to generate green light, and the blue light is exciting light and the green light is stimulated light.
The wavelength conversion material may include a phosphorescent material, such as a phosphor, or may include a nanomaterial, such as a quantum dot, or may include a fluorescent material, not to be enumerated herein. In one embodiment, the wavelength conversion material includes a fluorescent material, and the stimulated light emitted by thewavelength conversion device 40 is fluorescent light, so that the stimulated light is not affected by speckle due to incoherent light, and by exciting the fluorescent material with blue light to generate green fluorescent light and red fluorescent light, the speckle problem of human vision caused by coherence of the excitation light emitted by thelight source device 10 can be avoided.
Thewavelength conversion device 40 is provided with a heat sink (not shown), such as heat sink fins, for heat dissipation. The heat sink may be disposed on a surface of thewavelength conversion device 40 opposite the light emitting surface. By using the heat dissipation device to conduct the excess heat to the surrounding environment, the temperature of the wavelength conversion material layer is not raised excessively to affect the light emitting efficiency of thewavelength conversion device 40.
Theoptical device 20 is located at the intersection of the optical path of the excitation light emitted by thelight source device 10 and the optical path of the received laser light emitted by thewavelength device 40, and theoptical device 20 is respectively arranged at intervals with thelight source device 10 and thewavelength conversion device 40. In this embodiment, theoptical device 20 is a prism, and theoptical device 20 can transmit the excitation light and the received laser light. Theoptical device 20 comprises afirst surface 21, asecond surface 22, athird surface 23 and afourth surface 24 which are connected, wherein thefirst surface 21 and thethird surface 23 are arranged in parallel relatively, and thesecond surface 22 and thefourth surface 24 are arranged in parallel relatively; thelight source device 10 faces thesecond surface 22, thewavelength conversion device 40 faces thefirst surface 21, the excitation light emitted by thelight source device 10 enters theoptical device 20 through thefirst surface 21 and is incident to the light splitting and combiningunit 30, and the light splitting and combiningunit 30 reflects the received excitation light to thewavelength conversion device 40; the received laser light emitted from thewavelength device 40 enters theoptical device 20 through thefirst surface 21, part of the excited light is transmitted by the light splitting and combiningunit 30 and is emitted from thethird surface 23, and the rest of the received laser light passes through theoptical device 20 around the light splitting and combiningunit 30 and is emitted from thethird surface 23.
In one embodiment, as shown in fig. 2, theoptical device 20 may be a rectangular prism integrally formed and hollow inside. In other embodiments, as shown in fig. 3, theoptical device 20 may be a rectangular prism formed by splicing two rectangular trapezoid prisms. Thefirst surface 21 and thethird surface 23 of theoptical device 20 may have a distance equal to the shortest edge length of the rectangular prism. In this way, the received laser light is transmitted through the rectangular prism from the direction of the shortest edge length of the rectangular prism, and the propagation distance of the received laser light in theoptical device 20 can be reduced, which is advantageous for reducing the dilution of the etendue of thelight source system 100.
The light splitting and combiningunit 30 is disposed inside theoptical device 10, and the light splitting and combiningunit 30 can reflect the excitation light and transmit the received laser light. Specifically, the light splitting and combiningunit 30 reflects blue light and transmits red light, green light, and yellow light. In the case that theoptical device 20 is a hollow rectangular prism, the light splitting and combiningunit 30 may be a light splitter, and the light splitter is disposed in the hollow cavity of theoptical device 20. In the case that theoptical device 20 is a rectangular prism formed by splicing two right-angle trapezoidal prisms, the beam splitting and combiningunit 30 may be a beam splitter, and the beam splitter is clamped at the splicing position of the two right-angle trapezoidal prisms; the light splitting and combiningunit 30 may also be an optical coating 51, and the optical coating 51 may be formed on an inclined plane of one of the right-angle trapezoidal prisms, or may be formed on inclined planes of two right-angle trapezoidal prisms.
Theoptical device 20 and the light splitting and combiningunit 30 are matched in the above manner, so that a part of the excited light is emitted from thethird surface 23 after being transmitted by the light splitting and combiningunit 30, and the rest of the received laser light is emitted from thethird surface 23 after passing through theoptical device 20 around the light splitting and combiningunit 30, so that the light splitting and combiningunit 30 can also keep the translation consistency of the received laser light after transmitting theoptical device 20 under the condition that the light splitting and combiningunit 30 does not need to cover all the received laser light regions emitted by thewavelength conversion device 40, and can also reduce the dilution of the optical expansion (Etendue) of thelight source system 100, keep the capacity of thelight source system 100 for transmitting light energy, and be beneficial to improving the brightness of thelight source system 100.
Etendue is notImaging optics are used to describe the geometrical properties of a light beam having an aperture angle and a cross-sectional area, the Etendue being the integral of the area traversed by the beam and the solid angle occupied by the beam, i.e. Etendue ≡ n2Integral whole number cos theta dAd omega. Where θ is the angle between the normal of the area infinitesimal dA and the central axis of the solid angle infinitesimal d Ω. In an ideal optical system, which does not consider energy loss caused by scattering and absorption, the etendue of a light beam after passing through the ideal optical system is kept conservative. Etendue measures the change between the source area and the solid angle spread of a beam as it passes through an optical system. The larger the beam angle or the larger the beam source area, the larger the resulting etendue, the lower the ability of the optical system to transmit light energy, and the less favorable it is for improving the brightness of the optical system.
In the prior art, when light enters thedichroic plate 200 with refractive index n and thickness t at an oblique angle by using the dichroic plate 200 (fig. 4), a certain translation occurs in the incident plane, as shown in fig. 4. Assuming the angle of incidence of the light ray is θ, the amount of translation of the light ray is
Figure BDA0002418036060000071
Further simplification obtains:
Figure BDA0002418036060000072
as can be seen from the above formula, when n → 1, the translation amount Δ y (0; θ) → 0. Whereas for typical glass the index of refraction is about 1.5, so that an obliquely incident ray will always have some amount of translation after passing through thedichroic plate 200.
In the prior art, in order to ensure the consistency of the translation of the received laser light, and avoid the displacement of part of the received laser light and the non-displacement of part of the received laser light when the obliquely incident received laser light passes through thedichroic sheet 200 and the scattering of the received laser light caused by the edge of thedichroic sheet 200, the area of thedichroic sheet 200 needs to be enlarged to cover all the received laser light regions emitted by thewavelength conversion device 40, but the optical expansion of thelight source system 100 is easily increased, which is not beneficial to improving the brightness of thelight source system 100.
The present invention adopts the schematic diagrams of fig. 5 and fig. 6 to estimate and compare the etendue obtained by the solutions of the prior art and the present embodiment, wherein the prior art adopts the dichroic sheet 200 (fig. 5), and the present embodiment adopts the form that theoptical device 20 is matched with the light splitting and combining unit 30 (fig. 6).
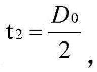
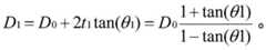
Referring to FIG. 5, assume that the spot size of the light emitted from thewavelength conversion device 40 at position A is D0The exit angle of the light spot is theta0The divergence angle of the emitted light is theta1Size D of the spot at position B after light transmission throughdichroic sheet 2001The distance between the position A and the position B is t1Thedichroic sheet 200 is inclined at 45 ° to the optical path of the incident light, t1=D0+t1tan(θ1),
Figure BDA0002418036060000081
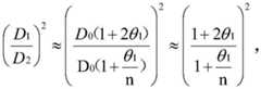
Referring to FIG. 6, assume that the spot size of the light emitted from thewavelength conversion device 40 at position A is D0The exit angle of the light spot is theta0The divergence angle of the emitted light is theta2The size D of the light spot at the position B after the light transmissionoptical device 20 and the light splitting and combiningunit 302The distance between the position A and the position B is t2The refractive index of theoptical device 20 is n, and the light splitting and combiningunit 30 is inclined at 45 ° to the optical path of the incident light. Then D is2=D0+2t2tan(θ2) Suppose that
Figure BDA0002418036060000082
Then D is2=D0[1+tan(θ2)]In which sin (theta)1)=nsin(θ2)。
In general, the divergence angle of the light upon exiting is not so large that θ1Can be approximated as the angle is smaller, then1≈sin(θ1)≈tan(θ1) Thus:
Figure BDA0002418036060000083
Figure BDA0002418036060000084
subjecting the above D to1And D2A comparison is made to estimate the extent of etendue dilution, e.g., D may be1And D2The magnitude of the two values is compared by making a difference or a quotient.
If D is1And D2By making a difference comparison, then
Figure BDA0002418036060000085
In general, n ≈ 1.5 is substituted into the calculation
Figure BDA0002418036060000086
It can be seen that when light exits and a certain divergence angle exists, i.e., the divergence angle θ1In the case of > 0, D1-D2If the condition is the same, it can be shown that the area of the light spot formed by using thedichroic sheet 200 is larger than that of theoptical device 20 and the light splitting and combiningunit 30 of the embodiment of the present invention, which is not favorable for reducing the etendue of thelight source system 100 and is not favorable for improving the brightness of thelight source system 100.
If D is1And D2By way of quotient comparison, then
Figure BDA0002418036060000091
In general, θ1Is approximately equal to 3 degrees, and n is approximately equal to 1.5, and the substitution calculation can obtain
Figure BDA0002418036060000092
It can be obtained that the etendue of the solution using thedichroic plate 200 in the prior art is increased by 14% compared with the solution in which theoptical device 20 and the light splitting and combiningunit 30 are matched with each other under the same condition.
Therefore, it can be seen from the above two comparison manners that the volume of theoptical device 20 can be reduced, so that the dilution of the etendue of the received laser light in the propagation process is reduced, and the brightness of thelight source system 100 is improved.
Referring to fig. 1, in an embodiment, alight source system 100 includes alight source device 10, awavelength conversion device 40, anoptical device 20, and a light splitting and combiningunit 30. Theoptical device 20 is a rectangular prism formed by splicing two right-angle trapezoidal body prisms, the two right-angle trapezoidal body prisms are respectively provided with a firstinclined surface 31 and a secondinclined surface 32, the firstinclined surface 31 and the secondinclined surface 32 are spliced through optical glue, namely, the firstinclined surface 31 and the secondinclined surface 32 of the two right-angle trapezoidal body prisms are opposite, one of the right-angle trapezoidal body prisms is turned upside down, the upper bottom surface and the lower bottom surface of the one right-angle trapezoidal body prism are respectively flush with the lower bottom surface and the upper bottom surface of the other right-angle trapezoidal body prism, and therefore the firstinclined surface 31 and the secondinclined surface 32 of the two right-angle trapezoidal body prisms are spliced into the rectangular prism through the optical glue. Thus, the two right-angle trapezoidal prisms can be prevented from being separated from each other when thelight source system 100 is collided by the outside, which is beneficial to improving the stability of theoptical device 20 and ensuring the normal operation of thelight source system 100.
In this embodiment, theoptical device 20 includes afirst surface 21, asecond surface 22, athird surface 23 and afourth surface 24 connected to each other, and thefirst surface 21 and thethird surface 23 are disposed in parallel with each other, and thesecond surface 22 and thefourth surface 24 are disposed in parallel with each other; thefirst surface 21 is formed by connecting the bottom surface of one of the right-angle trapezoidal prism and the top surface of the other right-angle trapezoidal prism, thethird surface 23 is formed by connecting the top surface of one of the right-angle trapezoidal prism and the bottom surface of the other right-angle trapezoidal prism, and thesecond surface 22 and thefourth surface 24 are respectively formed by the right-angle waist surfaces of the two right-angle trapezoidal prisms. Thelight source device 10 faces thesecond surface 22, thewavelength conversion device 40 faces thefirst surface 21, the excitation light emitted by thelight source device 10 enters theoptical device 20 through thefirst surface 21 and is incident to the light splitting and combiningunit 30, and the light splitting and combiningunit 30 reflects the received excitation light to thewavelength conversion device 40; the received laser light emitted from thewavelength device 40 enters theoptical device 20 through thefirst surface 21, part of the excited light is transmitted by the light splitting and combiningunit 30 and is emitted from thethird surface 23, and the rest of the received laser light passes through theoptical device 20 around the light splitting and combiningunit 30 and is emitted from thethird surface 23.
The light splitting and combiningunit 30 is disposed at the joint of the two right-angle trapezoidal prisms, and the light splitting and combiningunit 30 is disposed in an inclined manner with respect to the optical path of the excitation light emitted from thelight source device 10. Specifically, thelight source device 10 and thewavelength conversion device 40 are respectively disposed on the adjacentsecond surface 22 and thefirst surface 21 of theoptical device 20, the light emitting surface of thelight source device 10 is perpendicular to thewavelength conversion device 40, the laser light emitted from thelight source device 10 enters theoptical device 20 from the second surface, the light splitting and combiningunit 30 is inclined at 45 ° relative to the optical path of the excitation light emitted from thelight source device 10, and the excitation light can enter thewavelength conversion device 40 perpendicularly after being reflected by the light splitting and combiningunit 30. In other embodiments, thelight source device 10 and thewavelength conversion device 40 may be disposed on other adjacent two sides of theoptical device 20, which is not illustrated herein.
In this embodiment, the area of the orthographic projection of the light splitting and combiningunit 30 on thefirst surface 21 is smaller than the area of thefirst surface 21, so that the orthographic projection of the light splitting and combiningunit 30 on thefirst surface 21 does not completely cover thefirst surface 21, and a part of the received laser light can be emitted from thethird surface 23 after passing through theoptical device 20 around the light splitting and combiningunit 30, so that the volume of the light splitting and combiningunit 30 does not need to be too large, and the consistency of the translation of the received laser light can be maintained even in the case that all the regions of the received laser light emitted by thewavelength conversion device 40 do not need to be covered, which is beneficial to reducing the processing difficulty of the light splitting and the manufacturing cost of thelight source system 100. In one embodiment, the orthographic projection area of the light splitting and combiningunit 30 on thefirst surface 21 is located in the middle area of thefirst surface 21, which helps to reasonably arrange the positions of the light splitting and combiningunit 30 and theoptical device 20.
In the present embodiment, referring to fig. 7, the light splitting and combining unit is an optical coating 51 formed on an inclined surface of at least one right-angled trapezoid prism of the two right-angled isosceles trapezoid prisms, and the optical coating 51 is used for reflecting the excitation light and transmitting the receiving laser light. In this way, the light splitting and combiningunit 30 reflects the excitation light and transmits the received laser light through the optical coating 51. In this embodiment, the optical coating film 51 can reflect blue light and transmit red light, green light, and yellow light.
The optical coating 51 may have a coating property of wavelength division and combination, and the optical coating 51 may have a coating property of polarization division and combination. When the optical coating 51 has the coating characteristics of wavelength-splitting and light-combining, as shown in fig. 8, the optical coating 51 can reflect short-wavelength light (or excitation light) and transmit long-wavelength light (or received laser light), thereby achieving light-combining of different wavelengths. When the optical coating 51 has the coating property of polarization splitting and light combining, as shown in fig. 9, the optical coating 51 can reflect S-polarized light and transmit P-polarized light, thereby realizing light combining of different polarized lights.
When the excitation light excites thewavelength conversion device 40, since thewavelength conversion device 40 has a certain reflectance, the excitation light is not completely absorbed, and the unconverted excitation light is reflected by thewavelength conversion device 40. When the excitation light is blue light, unconverted excitation light reflected back by thewavelength conversion device 40 can be recovered and directly used for blue light display. In the present embodiment, the optical coating 51 has the coating property of combining the wavelength-splitting light beam and the polarization-splitting light beam, as shown in fig. 10, so that the optical coating 51 can be applied to a short wavelength (λ) as a whole1) Reflection of excitation light and long wavelength (λ)2) Is transmitted by the laser light. In addition, since the cut-off wavelength of the S-polarized light is longer than that of the P-polarized light due to the coating property, the S-polarized light is more easily reflected than the P-polarized light, so that the optical coating 51 can reflect the wavelength λ of the S-polarized state1And transmits the wavelength of the P polarization state as λ1And a wavelength of transmitting the S-polarization state and the P-polarization state is lambda2Thus, in the present embodiment, thelight source device 10 may emit excitation light of a first polarization state, for example, blue laser light of S polarization state with a wavelength of 455 nm. The optical coating 51 reflects the excitation light of the first polarization state and transmits the received laser light emitted from thewavelength conversion device 40. The unconverted excitation light, reflected by thewavelength conversion device 40 and having a polarization state that becomes disordered, comprises the excitation light of the first polarization state and the excitation light of the second polarization stateThe excitation light in the second polarization state can penetrate through the optical coating 51 and exit from theoptical device 20 for blue light display, so that the light utilization rate of thelight source system 100 is improved, and the brightness is improved.
In the examples shown in fig. 8 to 10, the ordinate "T" in the line graph represents the Transmittance (Transmittance), and the abscissa "λ" represents the Wavelength (Wavelength).
Because the ageing of the glue of two right angle trapezoidal prism of amalgamation can be accelerated to the exciting light that energy density is higher, therefore can set up optics coating film 51 on the firstinclined plane 31 of the right angle isosceles trapezoid prism that is close tolight source device 10, make optics coating film 52 be closer tolight source device 10 relatively glue, thereby the exciting light oflight source device 10 transmission directly reflects towavelength conversion device 40 through optics coating film 52, the exciting light no longer incides to glue, thereby can effectively avoid the ageing of exciting light acceleration glue, improvelight source system 100's reliability and life.
Theoptical device 20 may include other types of films. For example, referring to fig. 7, theoptical device 20 includes an excitation light reflection reducing film 52, and the excitation light reflection reducing film 52 is disposed on thesecond surface 22 of theoptical device 20, so that the excitation light reflection reducing film 52 can improve the transmittance of the excitation light emitted from thelight source device 10 when the excitation light enters theoptical device 20 from thesecond surface 22.
For example, theoptical device 20 includes a white light antireflection film 53, and the white light antireflection film 53 may be disposed on thefirst surface 21, thethird surface 23, or both thefirst surface 21 and thethird surface 23, so that the white light antireflection film 53 can improve the transmittance of the laser light emitted by thewavelength conversion device 40 when the laser light enters theoptical device 20 from thefirst surface 21 and the transmittance of the laser light when the laser light exits from thethird surface 23. In addition, the white light antireflection film 53 may also be disposed on the secondinclined plane 32 of the right isosceles trapezoid prism away from thelight source device 10, so that the white light antireflection film 53 can improve the transmittance of the received laser light when the received laser light passes through the secondinclined plane 32. It should be noted that the white light antireflection film 53 may be disposed on at least one of thefirst surface 21, thethird surface 23, and the secondinclined surface 32.
Thelight source system 100 further includes a collectinglens group 70, and the collectinglens group 70 may be composed of a plurality of lenses, for example, the collectinglens group 70 may be composed of three or four lenses, in this embodiment, the collecting lens group includes three convex lenses. Thewavelength conversion device 40 may receive the excitation light through thecollection lens group 70, and the excited light emitted by thewavelength conversion device 40 and the excitation light reflected by thewavelength conversion device 40 may be collected, collimated and incident to theoptical device 20 through thecollection lens group 70. Thus, the collection of the excitation light and the collection of the stimulated light can be realized by arranging acollection lens group 70.
In addition, after the stimulated light is excited, the stimulated light emitted by thewavelength conversion device 40 is approximately Lambertian, the brightness of the stimulated light (Lambertian Source) in all directions is the same, and the stimulated light is collected by thecollection lens group 70, so that a large collection efficiency can be obtained.
In the scheme of recovering unconverted excitation light in the above embodiment, the optical coating 51 only transmits the unconverted excitation light of the second polarization state, and theoptical devices 20 around the optical coating 51 transmit the unconverted excitation light of the first polarization state and the unconverted excitation light of the second polarization state, so that the brightness of the blue spot in the light path emitted by theoptical devices 20 is lower in the central region than in the peripheral region.
Referring to fig. 11, in another embodiment, thelight source system 100 further includes a supplementallight source 60, and the supplementallight source 60 faces thefourth surface 24 of theoptical device 20 and is spaced apart from theoptical device 20. The supplementallight source 60 is used for emitting supplemental light, which is light in the first polarization state and has the same color as the excitation light emitted by thelight source device 10, that is, the supplemental light is blue light in the first polarization state. The supplementary light emitted by the supplementarylight source 60 is incident to the light splitting and combiningunit 30 through thefourth surface 24, and the supplementary light is reflected to thethird surface 23 through the light splitting and combiningunit 30 and is emitted through thethird surface 23. In this embodiment, by providing the supplementary light source, the polarization state and the color of the supplementary light and the laser light are the same, and the excitation light of the first polarization state polarized light that is absent in the central region in the light path emitted from theoptical device 20 can be supplemented, so that the light intensity of the light spot emitted from theoptical device 20 is more uniform.
Referring to fig. 11, in the present embodiment, the light splitting and combiningunit 30 further includes an optical coating 51 disposed on the secondinclined plane 32 of the right-angled isosceles trapezoid prism close to the supplementarylight source 60, that is, the optical coating 51 is disposed on the inclined planes of both right-angled trapezoid prisms, and the optical coating 51 can reflect the supplementary light and transmit the excited light and the excitation light of the second polarization state. Since the polarization state and the color of the complementary light and the laser light are the same, the optical coating film 51 can reflect the excitation light of the first polarization state and the complementary light, and transmit the excitation light of the excited light and the excitation light of the second polarization state. By arranging the optical coating 51 on the secondinclined plane 32, the exciting light of the first polarization state polarized light which is lacked in the central area of the light path emitted by theoptical device 20 is supplemented, and the supplemented light does not pass through the glue, so that the aging of the glue is prevented, and the reliability and the service life of thelight source system 100 are improved.
In the case where thelight source system 100 includes the supplementallight source 60, theoptical device 20 further includes a supplemental light antireflection film 55, and the supplemental light antireflection film 55 may be disposed on thefourth surface 24 of theoptical device 20, so that the supplemental light antireflection film 55 can improve the transmittance of the supplemental light emitted by the supplementallight source 60 when the supplemental light exits theoptical device 20 from thefourth surface 24. Theoptical device 20 further includes a white light antireflection film 53, where the white light antireflection film 53 may be disposed on thefirst surface 21, thethird surface 23, or both thefirst surface 21 and thethird surface 23 of theoptical device 20, and thus, the white light antireflection film 53 can improve the transmittance of the laser light emitted by thewavelength conversion device 40 when the laser light enters theoptical device 20 from thefirst surface 21 and the transmittance of the laser light when the laser light exits theoptical device 20 from thethird surface 23.
Referring to fig. 12, an embodiment of the invention provides aprojection apparatus 200, where theprojection apparatus 200 includes thelight source system 100 according to any of the embodiments.
Theprojection device 200 may be a cinema projector, an engineering projector, a micro projector, an educational projector, a wall-splicing projector, a laser television, and the like. Theprojection device 200 may further include ahousing 301, and thelight source system 100 is disposed in thehousing 301. Thehousing 301 can protect thelight source system 100 from the external environment. In theprojection apparatus 200 according to the embodiment of the present invention, the volume of theoptical device 20 can be reduced, so that the dilution of the etendue of the received laser light during the propagation process is reduced, which is beneficial to improving the brightness of thelight source system 100.
The above examples are only intended to illustrate the technical solution of the present invention, but not to limit it; although the present invention has been described in detail with reference to the foregoing embodiments, it will be understood by those of ordinary skill in the art that: the technical solutions described in the foregoing embodiments may still be modified, or some technical features may be equivalently replaced; such modifications and substitutions do not substantially depart from the spirit and scope of the embodiments of the present invention, and are intended to be included within the scope of the present invention.

Claims (14)

Translated fromChinese
1.一种光源系统,其特征在于,包括:1. A light source system, characterized in that, comprising:光源装置,用于发射激发光;a light source device for emitting excitation light;波长转换装置,用于将接收的所述激发光至少部分地转换为受激光;wavelength conversion means for at least partially converting the received excitation light into received light;分光合光单元;及a photosynthetic unit; and光学器件,所述光源装置和所述波长转换装置分别设置于所述光学器件的相邻的两侧面,所述分光合光单元设置于所述光学器件内部;所述激发光进入所述光学器件并入射至所述分光合光单元,所述分光合光单元将接收的所述激发光反射至所述波长转换装置;波长转换装置出射的所述受激光进入所述光学器件,部分所述受激光经所述分光合光单元透射从所述光学器件出射,其余部分所述受激光穿过所述分光合光单元周围的所述光学器件,从所述光学器件出射。an optical device, the light source device and the wavelength conversion device are respectively arranged on two adjacent sides of the optical device, and the light splitting and combining unit is arranged inside the optical device; the excitation light enters the optical device and incident on the light splitting and combining unit, and the light splitting and combining unit reflects the received excitation light to the wavelength conversion device; the received laser light emitted by the wavelength conversion device enters the optical device, and part of the received laser light enters the optical device. The laser light is transmitted through the light splitting and combining unit and exits from the optical device, and the remaining part of the received laser light passes through the optical device around the light splitting and combining unit and exits from the optical device.2.根据权利要求1所述的光源系统,其特征在于,所述分光合光单元相对于所述光源装置发射的激发光的光路呈倾斜设置。2 . The light source system according to claim 1 , wherein the light splitting and combining unit is arranged obliquely with respect to the optical path of the excitation light emitted by the light source device. 3 .3.根据权利要求1所述的光源系统,其特征在于,所述光学器件包括相连接的第一表面、第二表面及第三表面,且所述第一表面和所述第三表面相对平行设置,所述波长转换装置朝向所述第一表面,所述光源装置朝向所述第二表面,所述受激光从所述第三表面出射。3 . The light source system according to claim 1 , wherein the optical device comprises a first surface, a second surface and a third surface that are connected, and the first surface and the third surface are relatively parallel. 4 . It is arranged that the wavelength conversion device faces the first surface, the light source device faces the second surface, and the received laser light is emitted from the third surface.4.根据权利要求3所述的光源系统,其特征在于,所述分光合光单元在所述第一表面的正投影的面积小于所述第一表面的面积。4 . The light source system according to claim 3 , wherein the area of the orthographic projection of the light splitting and combining unit on the first surface is smaller than the area of the first surface. 5 .5.根据权利要求4所述的光源系统,其特征在于,所述分光合光单元在所述第一表面的正投影的区域位于所述第一表面的中间区域。5 . The light source system according to claim 4 , wherein the orthographic projection area of the light splitting and combining unit on the first surface is located in a middle area of the first surface. 6 .6.根据权利要求3所述的光源系统,其特征在于,所述光学器件为中空的长方体棱镜,所述分光合光单元为分光片,所述分光片设置于所述光学器件的内部,所述分光片反射激发光并透射受激光。6 . The light source system according to claim 3 , wherein the optical device is a hollow cuboid prism, the light splitting unit is a beam splitter, and the beam splitter is arranged inside the optical device, so the The beam splitter reflects the excitation light and transmits the received laser light.7.根据权利要求3所述的光源系统,其特征在于,所述光学器件为两个直角梯形体棱镜拼合形成的长方体棱镜,两个所述直角梯形体棱镜的斜面相拼合,所述分光合光单元设置于两个所述直角梯形体棱镜的拼合处。7 . The light source system according to claim 3 , wherein the optical device is a rectangular parallelepiped prism formed by splicing two right-angled trapezoidal prisms, and the two right-angled trapezoidal prisms are assembled with inclined surfaces, and the light splitting The light unit is arranged at the joint of the two right-angled trapezoid prisms.8.根据权利要求7所述的光源系统,其特征在于,所述分光合光单元为夹设在两个所述直角梯形体棱镜之间的分光片,所述分光片反射激发光并透射受激光。8 . The light source system according to claim 7 , wherein the light splitting and combining unit is a beam splitter sandwiched between the two right-angle trapezoidal prisms, and the beam splitter reflects the excitation light and transmits the received light. 9 . laser.9.根据权利要求8所述的光源系统,其特征在于,所述分光合光单元为形成于至少一个所述直角梯形体棱镜的斜面的光学镀膜,所述光学镀膜反射激发光并透射受激光。9 . The light source system according to claim 8 , wherein the light splitting and combining unit is an optical coating formed on the inclined surface of at least one of the right-angled trapezoidal prisms, and the optical coating reflects the excitation light and transmits the received laser light. 10 . .10.根据权利要求6至9任一项所述的光源系统,其特征在于,所述第一表面与所述第三表面的间距等于所述长方体棱镜的最短棱长。10 . The light source system according to claim 6 , wherein the distance between the first surface and the third surface is equal to the shortest edge length of the rectangular parallelepiped prism. 11 .11.根据权利要求1至9任一项所述的光源系统,其特征在于,所述光源装置发射第一偏振态的激发光,所述分光合光单元反射第一偏振态的激发光且透射所述受激光和第二偏振态的激发光。11 . The light source system according to claim 1 , wherein the light source device emits excitation light of a first polarization state, and the light splitting unit reflects the excitation light of the first polarization state and transmits the excitation light of the first polarization state. 12 . The received laser light and the excitation light of the second polarization state.12.根据权利要求11所述的光源系统,其特征在于,所述光源系统还包括补充光源,所述补充光源用于发射第一偏振态的补充光,所述补充光和所述激发光的颜色相同;所述补充光源设置于所述光学器件的与所述光源装置相背离的一侧面,所述补充光源发射的所述补充光进入所述光学器件并入射至所述分光合光单元,所述补充光经所述分光合光单元反射沿与所述受激光相同的光路从所述光学器件出射。12 . The light source system according to claim 11 , wherein the light source system further comprises a supplementary light source, and the supplementary light source is used for emitting supplementary light of the first polarization state, and a difference between the supplementary light and the excitation light is obtained. 13 . The color is the same; the supplementary light source is arranged on a side of the optical device away from the light source device, and the supplementary light emitted by the supplementary light source enters the optical device and is incident on the light splitting unit, The supplementary light is reflected by the light splitting and combining unit and exits the optical device along the same optical path as the received light.13.根据权利要求12所述的光源系统,其特征在于,所述光学器件为两个直角梯形体棱镜拼合形成的长方体棱镜,两个所述直角梯形体棱镜的斜面相拼合,两个所述直角梯形体棱镜的斜面上均设置有光学镀膜,所述光学镀膜反射第一偏振态的激发光和补充光,且透射所述受激光和第二偏振态的激发光。13 . The light source system according to claim 12 , wherein the optical device is a rectangular parallelepiped prism formed by splicing two right-angled trapezoidal prisms, wherein the inclined surfaces of the two right-angled trapezoidal prisms are assembled, and the two Optical coatings are provided on the inclined surfaces of the right-angled trapezoidal prisms, and the optical coatings reflect the excitation light and the supplementary light of the first polarization state, and transmit the received laser light and the excitation light of the second polarization state.14.一种投影设备,其特征在于,包括权利要求1至13任意一项所述的光源系统。14. A projection device, characterized by comprising the light source system according to any one of claims 1 to 13.
CN202010197130.4A2020-03-192020-03-19Light source system and projection apparatusPendingCN113495412A (en)

Priority Applications (2)

Application NumberPriority DateFiling DateTitle
CN202010197130.4ACN113495412A (en)2020-03-192020-03-19Light source system and projection apparatus
PCT/CN2020/142138WO2021184924A1 (en)2020-03-192020-12-31Light source system and projection equipment

Applications Claiming Priority (1)

Application NumberPriority DateFiling DateTitle
CN202010197130.4ACN113495412A (en)2020-03-192020-03-19Light source system and projection apparatus

Publications (1)

Publication NumberPublication Date
CN113495412Atrue CN113495412A (en)2021-10-12

Family

ID=77768014

Family Applications (1)

Application NumberTitlePriority DateFiling Date
CN202010197130.4APendingCN113495412A (en)2020-03-192020-03-19Light source system and projection apparatus

Country Status (2)

CountryLink
CN (1)CN113495412A (en)
WO (1)WO2021184924A1 (en)

Families Citing this family (1)

* Cited by examiner, † Cited by third party
Publication numberPriority datePublication dateAssigneeTitle
CN119376169A (en)*2023-07-202025-01-28深圳光峰科技股份有限公司 Light source device and optical imaging system

Citations (9)

* Cited by examiner, † Cited by third party
Publication numberPriority datePublication dateAssigneeTitle
CN101430492B (en)*2007-11-082011-05-18北京中视中科光电技术有限公司Light source for projection system and projection display device
CN102289141A (en)*2010-06-182011-12-21索尼公司Illumination device and image display apparatus
JP2012094439A (en)*2010-10-282012-05-17Samsung Yokohama Research Institute Co LtdLighting system and projection type image display device
RU2464549C1 (en)*2011-05-122012-10-20Ираида Николаевна СарычеваFibre-optic device for detecting fluorescence
US20130343033A1 (en)*2011-03-182013-12-26Masateru MatsubaraIllumination Optical System and Projector Including Fluorophore
CN103631078A (en)*2013-12-182014-03-12吴震Light-emitting device and projection display system
CN104267506A (en)*2011-08-292015-01-07深圳市绎立锐光科技开发有限公司Light source, light combination device and projection device with light source
JP2015108830A (en)*2014-12-052015-06-11Necディスプレイソリューションズ株式会社Illumination optical system including phosphor, projector, and irradiation method
CN108594575A (en)*2018-06-142018-09-28北京数科技有限公司A kind of micro- projection arrangement

Family Cites Families (5)

* Cited by examiner, † Cited by third party
Publication numberPriority datePublication dateAssigneeTitle
DE1537130B2 (en)*1967-10-251974-07-18Robert Bosch Fernsehanlagen Gmbh, 6100 Darmstadt Color television camera with reduced drag
CN104020633B (en)*2013-02-282015-12-09深圳市绎立锐光科技开发有限公司 Lighting device and related projection system
CN105204278B (en)*2014-05-262017-05-10台达电子工业股份有限公司 Light source system and its applicable projection equipment
TWI654443B (en)*2017-06-052019-03-21銳準醫光股份有限公司 Optical slitting device using advanced optical interference microscopy
WO2020024595A1 (en)*2018-08-012020-02-06深圳市绎立锐光科技开发有限公司Light source device and headlight system

Patent Citations (9)

* Cited by examiner, † Cited by third party
Publication numberPriority datePublication dateAssigneeTitle
CN101430492B (en)*2007-11-082011-05-18北京中视中科光电技术有限公司Light source for projection system and projection display device
CN102289141A (en)*2010-06-182011-12-21索尼公司Illumination device and image display apparatus
JP2012094439A (en)*2010-10-282012-05-17Samsung Yokohama Research Institute Co LtdLighting system and projection type image display device
US20130343033A1 (en)*2011-03-182013-12-26Masateru MatsubaraIllumination Optical System and Projector Including Fluorophore
RU2464549C1 (en)*2011-05-122012-10-20Ираида Николаевна СарычеваFibre-optic device for detecting fluorescence
CN104267506A (en)*2011-08-292015-01-07深圳市绎立锐光科技开发有限公司Light source, light combination device and projection device with light source
CN103631078A (en)*2013-12-182014-03-12吴震Light-emitting device and projection display system
JP2015108830A (en)*2014-12-052015-06-11Necディスプレイソリューションズ株式会社Illumination optical system including phosphor, projector, and irradiation method
CN108594575A (en)*2018-06-142018-09-28北京数科技有限公司A kind of micro- projection arrangement

Also Published As

Publication numberPublication date
WO2021184924A1 (en)2021-09-23

Similar Documents

PublicationPublication DateTitle
JP3273955B2 (en) Image projection device
CN102971671B (en) Light source device and projector
US9551917B2 (en)Light source unit and projection display system using same
CN102346366B (en)Projector
US20090310042A1 (en)Illumination system and method with efficient polarization recovery
CN107436526B (en)Light source device and projection display device
JP7118711B2 (en) Light source device and image projection device
TW200947102A (en)Optical element and color combiner
US11347141B2 (en)Light source device and projector
CN108693691B (en) Light source device and projector
US20120307167A1 (en)Polarization converting element, polarization converting unit, and projection-type imaging device
CN113759648A (en)Illumination device and projector
JP4943885B2 (en) Multi-wavelength polarization conversion element, illumination unit, and image display device
JP5051830B2 (en) Polarized illumination device and projection-type image display device
US10620520B2 (en)Wavelength conversion element, wavelength conversion system, light source apparatus, and projector
CN113495412A (en)Light source system and projection apparatus
US11212495B2 (en)Wavelength conversion element, light source device, and projector
CN101504506B (en)Laser source device, lighting device, image displaying device and monitoring device
CN211718628U (en)Polarized light converter and light source system thereof
WO2012129788A1 (en)Laser projection light source module and projection apparatus
CN113960867A (en) Lighting fixtures and projectors
CN205193309U (en)Binary channels dichroic mirror and projection arrangement
JP6447511B2 (en) Color separation / synthesis prism and optical system using the same
CN112130407B (en)Wavelength conversion element, light source device, and projector
US11226082B1 (en)Optoelectronic light source

Legal Events

DateCodeTitleDescription
PB01Publication
PB01Publication
SE01Entry into force of request for substantive examination
SE01Entry into force of request for substantive examination

[8]ページ先頭

©2009-2025 Movatter.jp