Movatterモバイル変換


[0]ホーム

URL:


CN113486039A - Construction method for registering transaction floor list - Google Patents

Construction method for registering transaction floor list
Download PDF

Info

Publication number
CN113486039A
CN113486039ACN202110850987.6ACN202110850987ACN113486039ACN 113486039 ACN113486039 ACN 113486039ACN 202110850987 ACN202110850987 ACN 202110850987ACN 113486039 ACN113486039 ACN 113486039A
Authority
CN
China
Prior art keywords
value
floor
cloud platform
query
bit
Prior art date
Legal status (The legal status is an assumption and is not a legal conclusion. Google has not performed a legal analysis and makes no representation as to the accuracy of the status listed.)
Pending
Application number
CN202110850987.6A
Other languages
Chinese (zh)
Inventor
赵根
陈坤
朱丹
蒋正坤
靳莉君
付世娇
周宏文
汪蓓
王雪
刘亚琴
曾令瑶
毛华锐
黎欢
刘佳川
陈长素
Current Assignee (The listed assignees may be inaccurate. Google has not performed a legal analysis and makes no representation or warranty as to the accuracy of the list.)
Chongqing Planning And Natural Resources Information Center
Original Assignee
Chongqing Planning And Natural Resources Information Center
Priority date (The priority date is an assumption and is not a legal conclusion. Google has not performed a legal analysis and makes no representation as to the accuracy of the date listed.)
Filing date
Publication date
Application filed by Chongqing Planning And Natural Resources Information CenterfiledCriticalChongqing Planning And Natural Resources Information Center
Priority to CN202110850987.6ApriorityCriticalpatent/CN113486039A/en
Publication of CN113486039ApublicationCriticalpatent/CN113486039A/en
Pendinglegal-statusCriticalCurrent

Links

Images

Classifications

Landscapes

Abstract

The invention provides a construction method of a registered transaction floor list, which comprises the following steps: s1, the cloud platform judges whether the cloud platform receives a trigger command for downloading the dial table: if the cloud platform receives a trigger command for downloading the floor list, executing the next step; if the cloud platform does not receive the trigger command for downloading the floor list, returning to the step S1; s2, operating the downloaded floor plan to obtain a floor plan to be uploaded; and S3, uploading the floor list to be uploaded to a cloud platform to update the floor list. The invention can realize quick search of the building dial table, and is more visual after real-time update.

Description

Construction method for registering transaction floor list
Technical Field
The invention relates to the technical field of real estate, in particular to a construction method for registering transaction floor tables.
Background
The real estate registration system is a business system for providing informatization support for related business of real estate registration, and the main functions of the real estate registration system comprise electronic approval processes of business acceptance, approval, book entry and the like of land house registration. The real estate surveying and mapping result management subsystem realizes the management of the related surveying and mapping results of the registered floor plan by an informatization means, and achieves the effect of taking land parcel and house as a registration main line and assisting the floor plan to visually display the collaborative transaction among all departments. The method is beneficial to improving the data accuracy, shortening the service handling period and providing convenience for examination and approval of the service, and is beneficial to assisting relevant departments in providing a data source for decision support, assisting in information sharing and improving the handling efficiency.
Disclosure of Invention
The invention aims to at least solve the technical problems in the prior art, and particularly provides a construction method for registering a transaction floor list.
In order to achieve the above object of the present invention, the present invention provides a registered transaction floor list construction method, comprising the steps of:
s1, the cloud platform judges that a trigger command for downloading the dial table is received: (ii) a
If the cloud platform receives a trigger command for downloading the floor list, executing the next step;
if the cloud platform does not receive the trigger command for downloading the floor list, returning to the step S1;
s2, operating the downloaded floor plan to obtain a floor plan to be uploaded;
and S3, uploading the floor list to be uploaded to a cloud platform to update the floor list.
In a preferred embodiment of the present invention, step S2 includes the following steps:
s21, determining whether it receives the first coloring trigger command:
if a first coloring trigger command is received, performing first color coloring on the selected content;
if the first coloring trigger command is not received, executing the next step;
s22, determining whether it receives the second coloring trigger command:
if a second coloring trigger command is received, performing second color coloring on the selected content;
if the second coloring trigger command is not received, executing the next step;
s23, determining whether it receives the third coloring trigger command:
if a third coloring trigger command is received, performing third color coloring on the selected content;
if the third coloring trigger command is not received, returning to step S21 or step S24;
and S24, if receiving the storage trigger command, storing the downloaded floor list, and obtaining the floor list to be uploaded after storage.
In a preferred embodiment of the present invention, step S1 includes the following steps:
s11, obtaining the download value corresponding to the received trigger command for downloading the floor list, and obtaining the query value according to the download value, wherein the method for obtaining the query value comprises the following steps:
Qvalue=Hash(Wdownload),
wherein Wdownload represents a download value corresponding to the received download floor table triggering command;
s12, converting the query value into a value expressed by 0-9 number, a lower case letter a-Z and an upper case letter A-Z, and obtaining the expressed value, wherein the expressed value calculation method comprises the following steps:
s121, judging whether the query value is decimal:
if the query value is decimal, go to step S122;
if the query value is not decimal, converting the query value into a decimal query value; the method for converting the query value into the decimal query value comprises the following steps:
TQuery=R1+R2×r+R3×r2+R4×r3+R5×r4+…+Rg×rg-1
wherein g represents the total number of digits of the query value;
r represents the carry of the query value; r ∈ [2,61 ];
R1representing the numerical value corresponding to the 1 st bit from the right to the left of the query value;
R2representing the numerical value corresponding to the 2 nd bit from right to left of the query value;
R3representing the numerical value corresponding to the 3 rd bit from the right to the left of the query value;
R4representing the value corresponding to the 4 th bit from right to left of the query value;
R5representing the numerical value corresponding to the 5 th bit from the right to the left of the query value;
Rgrepresenting the value corresponding to the g-th bit from right to left of the query value;
r22, solving the power of r;
r3means to solve the power of r to 3;
r4means to solve the power of r to 4;
rgthe expression is to the power of g for r;
TQuery represents the decimal query value;
s122, the method for converting the decimal inquiry value into the representation value comprises the following steps:
s1221, let O0=TQuery,o=1;
S1222,
Figure BDA0003182499130000031
Wherein, OoRepresents the next cycle value;
Oo-1representing the value of the current cycle;
INT | | denotes the rounding algorithm;
o represents the number of bits of the value;
s1223, judging OoAnd 62:
if O isoIf not, if o is equal to o +1, returning to step S1222;
if O isoIf the value is less than or equal to 61, executing the next step;
s1224, let S equal 1;
S1225,
Figure BDA0003182499130000041
wherein s represents the number of remaining bits;
MOD | | | represents the algorithm of taking the remainder;
Os-1representing the conversion number;
Ssrepresenting the value corresponding to the s-th bit from right to left of the representation value;
s1226, judging the size relationship between S and o:
if s is greater than or equal to o, then it representsThe value is OoSo…S3S2S1(ii) a Wherein S is1Representing the value corresponding to the 1 st bit from right to left of the representation value; s2Representing the value corresponding to the 2 nd bit from right to left of the representation value; s3Representing the value corresponding to the 3 rd bit from right to left of the representation value; soRepresenting the value corresponding to the o-th bit from right to left of the representation value;
if S < o, S is S +1, and the process returns to step S1225;
and S13, inquiring the position of the floor dial table to be downloaded according to the representation value, and downloading the floor dial table according to the position obtained by inquiry.
In a preferred embodiment of the present invention, step S3 includes:
extracting a floor value corresponding to a floor table received by a cloud platform, and calculating the floor value of the cloud platform on the floor table received by the cloud platform, wherein the calculation method of the floor value of the cloud platform comprises the following steps:
Fcloud platform=Hash(Property ListRX),
wherein, Fcloud platformRepresenting a cloud platform floor value obtained by calculating a floor table received by the cloud platform;
Hash(Property ListRX) Representing Property List received for cloud platformRXPerforming a check function;
Property ListRXrepresenting a floor plan received by the cloud platform;
judging whether the calculated cloud platform floor value is consistent with the floor value corresponding to the floor table received by the cloud platform:
if the calculated cloud platform floor value is consistent with the floor value corresponding to the floor table received by the cloud platform, deleting the floor table received by the cloud platform, and not updating the floor table of the cloud platform;
and if the calculated cloud platform floor value is not consistent with the floor value corresponding to the floor table received by the cloud platform, extracting coloring in the floor table, filling the coloring in the floor table into the cloud platform floor table corresponding to the floor value, and updating data in the cloud platform floor table.
In conclusion, due to the adoption of the technical scheme, the building dial table can be quickly searched, and is more intuitive after being updated in real time.
Additional aspects and advantages of the invention will be set forth in part in the description which follows and, in part, will be obvious from the description, or may be learned by practice of the invention.
Drawings
The above and/or additional aspects and advantages of the present invention will become apparent and readily appreciated from the following description of the embodiments, taken in conjunction with the accompanying drawings of which:
FIG. 1 is a schematic block diagram of the process of the present invention.
Fig. 2 is a schematic illustration of a floor chart display of the present invention.
Fig. 3 is a schematic illustration of a floor chart display of the present invention.
Detailed Description
Reference will now be made in detail to embodiments of the present invention, examples of which are illustrated in the accompanying drawings, wherein like or similar reference numerals refer to the same or similar elements or elements having the same or similar function throughout. The embodiments described below with reference to the accompanying drawings are illustrative only for the purpose of explaining the present invention, and are not to be construed as limiting the present invention.
The invention discloses a construction method of a registered transaction floor list, which comprises the following steps:
s0, logging in the system, and after the system logging is successful, executing the step S1. The step S0 includes the following steps:
s01, judging whether the system login interface command is triggered:
if the system login interface command is triggered, displaying a system login interface of the system, wherein the system login interface comprises an account number input box, a password input box and a verification code input box;
if the system login interface command is not triggered, continuing to wait, and returning to the step S01;
s02, judging whether receiving the trigger command of obtaining the verification code:
if receiving a trigger command for acquiring the verification code, executing the next step;
if the verification code acquisition triggering command is not received, continuing to wait, and returning to the step S02;
s03, extracting the account number input in the account number input box and the password input in the password input box; carrying out security processing on the extracted account number or/and password to obtain a sending account number or/and a sending password thereof; the calculation method for obtaining the sending account number comprises the following steps:
FSZH=U{zh,Q},
wherein FSZH represents a sending account;
zh represents an input account number extracted from the account number input box;
q represents an encryption serial number sent by the cloud platform;
u {, } represents a binary group security processing method;
FSmm=U{MM,Q},
wherein FSmm represents a transmission password;
MM represents an input password extracted from within the password input box;
U{X,Y}=Hash(XY),
wherein X represents a first parameter of the operation;
y represents a second parameter of the operation;
XY represents a combined parameter of the first parameter and the second parameter;
hash () represents an encryption algorithm, using the sha1 function. That is, U { zh, Q } ═ hash (zhq), U { MM, Q } ═ hash (mmq), and U { id, Q } ═ hash (idq), for example, admin is the account number input in the account number input box, 123456 is the password input in the password input box, and calculation is performed to calculate the password
Figure BDA0003182499130000071
And
Figure BDA0003182499130000072
the sending account number is 7a89c8dfdd505885fabd1ac6a7c6184b9d222ae6, and the sending password is 142b8a632322a6f5de0d01abce805c7af66a129 a.
And S04, the acquired sending account and the sending password are sent to the cloud platform for verification, a verification code is generated after the verification is successful, and login is successful by using the verification code system. And the login safety is realized.
In a preferred embodiment of the present invention, in step S03, if the account and the password are not input into the account input box, the unique ID of the login end is obtained, where the unique ID of the login end includes one of a processor serial number, a memory serial number, and a motherboard serial number; the obtained unique ID is subjected to security processing to obtain a sending code of the unique ID, and the calculation method for obtaining the sending code comprises the following steps:
FSID=U{id,Q},
wherein FSID represents a transmission code;
ID represents the unique ID obtained;
in step S04, the method of verification includes the steps of:
s041, the cloud platform determines whether the received sending account exists in the cloud platform account database:
if the sending account received by the cloud platform exists in the cloud platform account database, the sending account received by the cloud platform is the cloud platform account, a cloud platform password corresponding to the cloud platform account is extracted, and the next step is executed;
if the sending account received by the cloud platform does not exist in the cloud platform account database, prompting at a login end, wherein the prompting indicates that the input account does not exist;
s042, the cloud platform determines whether the sending password received by the cloud platform is the same as the cloud platform password in step S041:
if the sending password received by the cloud platform is the same as the cloud platform password in the step S041, the verification is passed, and a verification code is generated and sent to a contact mode bound by the cloud platform account, wherein the contact mode comprises one of a mobile phone number, a mailbox, a WeChat and a QQ;
if the sending password received by the cloud platform is not the same as the cloud platform password in the step S041, prompting at the login end, wherein the prompting is that the input password is wrong;
in step S04, the method of verification includes the steps of:
s041, the cloud platform judges whether the received sending code exists in a cloud platform sending code database:
if the sending code received by the cloud platform exists in the cloud platform sending code database, executing the next step;
if the sending code received by the cloud platform does not exist in the cloud platform sending code database, prompting at the login end, wherein the prompt indicates that the login end is not locked as a safe login device at the login end;
s042, when the verification is passed, a cloud platform account in the cloud platform account database is obtained by mapping the sending codes in the cloud platform sending code database; extracting a corresponding cloud platform password according to the cloud platform account; and generating a verification code according to the cloud platform account and the cloud platform password, and sending the verification code to a contact mode bound by the cloud platform account, wherein the contact mode comprises one of a mobile phone number, a mailbox, a WeChat and a QQ.
In a preferred embodiment of the present invention, in step S042, the verification code generation method includes the steps of:
s0421, executing the following operations on the cloud platform account and the cloud platform password in step S042:
φ⊙σ=Vc,
where Vc represents a platform result value;
phi represents a cloud platform account number;
sigma represents a cloud platform password;
an exclusive OR operation or an exclusive OR operation;
obtaining a platform result value Vc through the operations;
s0422, expressing the obtained platform result value Vc as a sexagesimal system to obtain a sexagesimal system result value; wherein capital letters A-Z respectively and sequentially represent values of 10-35, and lowercase letters a-Z respectively and sequentially represent values of 36-61;
s0423, the first six bits or the last six bits of the sixty-binary result value are taken as the verification code.
In a preferred embodiment of the present invention, the method further includes step S040, where the cloud platform account and the cloud platform password corresponding to the cloud platform account stored in the cloud platform account database and the unique ID stored in the cloud platform sending code database are updated in the following manner:
judging whether the current moment is within a preset updating moment range:
if the current time is within the preset updating time range, updating the cloud platform account number stored in the cloud platform account number database, the cloud platform password corresponding to the cloud platform account number and the unique ID stored in the cloud platform sending code database;
the method for updating the cloud platform account stored in the cloud platform account database comprises the following steps:
YPTZH=U{zh0,Qt},
the YPTZH represents an updated cloud platform account;
zh0the method comprises the steps that the cloud platform generates an account given to a user during registration;
Qtan encrypted serial number representing the current time;
when the updated cloud platform account is subjected to overlay registration, the cloud platform generates a cloud platform account before update corresponding to the account given to the user, so that the cloud platform account is updated;
the method for updating the cloud platform password corresponding to the cloud platform account stored in the cloud platform account database comprises the following steps:
YPTmm=U{MM0,Qt},
wherein YPTmm represents an updated cloud platform password;
MM0the method comprises the steps that a cloud platform generates a correct password corresponding to an account given to a user during registration;
the updated cloud platform password is covered with the cloud platform password before updating corresponding to the correct password, so that the cloud platform password is updated;
the method for updating the cloud platform sending code stored in the cloud platform sending code database comprises the following steps:
YPTID=U{id0,Qt},
the YPTID represents an updated cloud platform sending code;
id0a unique ID representing a client that is obtained without account and password login;
the updated cloud platform sending code is covered with the cloud platform sending code before updating corresponding to the unique ID of the client, which is obtained without account number and password login, so that the cloud platform sending code is updated;
and if the current time is not within the preset updating time range, updating the cloud platform account number stored in the cloud platform account number database, the cloud platform password corresponding to the cloud platform account number and the unique ID stored in the cloud platform sending code database.
In a preferred embodiment of the present invention, in step S04, the method further includes the following steps:
s0401, determining whether it receives the login trigger signal:
if receiving a login trigger signal, executing the next step;
if the login trigger signal is not received, continuing to wait, and returning to the step S0401;
s0402, the client compares whether the verification code input by the verification code input box is the same as the verification code generated by the client:
if the verification code input by the verification code input box extracted by the client is the same as the verification code generated by the client, the method for generating the verification code by the client comprises the following steps:
s04021, the following is performed for the transmission account and the transmission password in step S03:
FSZH⊙FSmm=KF,
wherein KF represents a client result value;
FSZH represents a sending account number;
FSmm represents the send password;
an exclusive OR operation or an exclusive OR operation;
obtaining a client result value KF through the above operations;
s04022, representing the obtained client result value KF as a sexagesimal system to obtain a sexagesimal system result value; wherein capital letters A-Z respectively and sequentially represent values of 10-35, and lowercase letters a-Z respectively and sequentially represent values of 36-61;
s04023, taking the first six bits or the last six bits of the sexagesimal system result value as the verification code generated by the client;
the client logs in the cloud platform, and the system logs in successfully;
if the verification code input by the verification code input box extracted by the client is different from the verification code generated by the client, the verification fails, and the system login fails.
As shown in fig. 1, S1, the cloud platform determines whether it receives a trigger command to download the floor list:
if the cloud platform receives a trigger command for downloading the floor list, executing the next step;
if the cloud platform does not receive the trigger command for downloading the floor list, returning to the step S1;
s2, operating the downloaded floor plan to obtain a floor plan to be uploaded;
and S3, uploading the floor list to be uploaded to a cloud platform to update the floor list. In a preferred embodiment of the present invention, step S3 includes the following steps:
s31, putting the floor list to be uploaded into a folder to be compressed, and performing data compression on the folder to be compressed to obtain a data packet;
s32, decompressing the data packet obtained in the step S31 to obtain a decompressed packet;
s33, judging whether the files in the decompressed package in the step S32 are consistent with the files in the folder to be compressed in the step S31:
if the files in the decompressed package in the step S32 are consistent with the files in the folder to be compressed in the step S31, the data package obtained in the step S31 is an upload package;
if the files in the decompressed package in the step S32 are not consistent with the files in the folder to be compressed in the step S31, acquiring files to be screened;
s34, screening the files of the data packet in the step S31 according to the files to be screened obtained in the step S33 to obtain an uploading packet;
and S35, uploading the upload package to the cloud platform.
Or/and in step S33, determining whether the files in the decompressed package in step S32 are consistent with the files in the folder to be compressed in step S31, and the method for obtaining the files to be filtered comprises the following steps:
s331, numbering the files in the folder to be compressed in the step S31, wherein the number is J1、J2、J3、……、JjWherein, J1Denotes file 1, J2Denotes file 2, J3Denotes file 3, JjJ represents the jth file, and j represents the total number of files in the folder to be compressed; let ξ be 1;
s332, for JξThe following operations are performed:
Wξ=Hash(Jξ),
wherein, JξRepresenting a ξ -file;
hash () represents the alignment algorithm; the sha1 function or the MD5 function is adopted.
WξRepresenting a comparison value corresponding to the xi file;
s333, ξ +1, and the magnitude relationship between ξ and j is determined as follows:
if ξ > j, all file comparison values in the folder to be compressed form a comparison value set Arr, and step 334 is executed;
if xi is less than or equal to j, returning to the step S332;
s334, numbering the files in the decompressed packets in the step S32, wherein the numbers are I respectively1、I2、I3、……、IiWherein, I1Denotes No. 1 decompressed File, I2Representing a 2 nd decompressed file, I3Denotes a 3 rd decompressed file, IiRepresenting the ith decompressed file, i representing the total number of files in the decompressed packet; let ν be 1 and τ be 0;
s335, for IνThe following operations are performed:
Eν=Hash(Iν),
wherein, IνRepresenting a ν decompressed file;
hash () represents the alignment algorithm;
Eνexpressing a decompression comparison value corresponding to the ν decompression file;
s336, determining EνWhether it belongs to Arr:
if EνE belongs to Arr, then tau is tau + 1; step S337 is performed;
if it is
Figure BDA0003182499130000131
Then the ν -th decompressed file is taken as a file to be screened out, and step S338 is executed;
s337, judging the size relationship between tau and j:
if τ is equal to j, the decompressed file is left as the file to be sifted out, and step S34 is executed;
if τ < j, go to step S338;
and S338, v is equal to v +1, and the size relationship between v and i is judged:
if ν ═ i, the residual decompressed file is used as a file to be screened out, and step S34 is executed;
if v < i, returning to step S335; the method and the device prevent other types of files from being generated during compression, screen out other types of files generated in the data packet, enable the files in the data packet to be completely consistent with the files before compression, and reduce waste of storage space of the cloud platform.
Or/and in step S31, the compression mode adopted by the obtained data packet is one of 7z, zip and rar;
in step S32, the compression method adopted for decompressing the data packet or obtaining the cloud platform decompression packet is one of 7z, zip, and rar.
In a preferred embodiment of the present invention, step S1 includes the following steps:
s11, obtaining the download value corresponding to the received trigger command for downloading the floor list, and obtaining the query value according to the download value, wherein the method for obtaining the query value comprises the following steps:
Qvalue=Hash(Wdownload),
wherein Qvalue represents a query value;
hash (wdown) represents a function of performing a query value calculation on the download value wdown; sha512 is used.
Wdownload represents a download value corresponding to the received download floor table triggering command;
s12, converting the query value into a value expressed by 0-9 number, a lower case letter a-Z and an upper case letter A-Z, and obtaining the expressed value, wherein the expressed value calculation method comprises the following steps:
s121, judging whether the query value is decimal:
if the query value is decimal, go to step S122;
if the query value is not decimal, converting the query value into a decimal query value; the method for converting the query value into the decimal query value comprises the following steps:
TQuery=R1+R2×r+R3×r2+R4×r3+R5×r4+…+Rg×rg-1
wherein g represents the total number of digits of the query value;
r represents the carry of the query value; r ∈ [2,61 ];
R1representing the numerical value corresponding to the 1 st bit from the right to the left of the query value;
R2representing the numerical value corresponding to the 2 nd bit from right to left of the query value;
R3representing the numerical value corresponding to the 3 rd bit from the right to the left of the query value;
R4representing the value corresponding to the 4 th bit from right to left of the query value;
R5representing the numerical value corresponding to the 5 th bit from the right to the left of the query value;
Rgrepresenting the value corresponding to the g-th bit from right to left of the query value;
the symbols of the 1 st or 2 nd or 3 rd or … … th or g th bit of the query value from right to left are 0-9, A-Z and a-Z, and the corresponding numerical values are 0-61; for example, when g is 8, the sign of the query value from right to left at 1 st, 2 nd, 3 rd, 4 th, 5 th, 6 th, 7 th or 8 th bit is "0", and the corresponding value is 0; the symbol of the query value from right to left of the 1 st, 2 nd, 3 rd, 4 th, 5 th, 6 th, 7 th or 8 th bit is "1", and the corresponding numerical value is 1; the symbol of the query value from right to left of the 1 st, 2 nd, 3 rd, 4 th, 5 th, 6 th, 7 th or 8 th bit is "2", and the corresponding numerical value is 2; the symbol of the query value from right to left 1 st, 2 nd, 3 rd, 4 th, 5 th, 6 th, 7 th or 8 th bit is "3", and the corresponding numerical value is 3; the symbol of the query value from right to left 1 st, 2 nd, 3 rd, 4 th, 5 th, 6 th, 7 th or 8 th bit is "4", and the corresponding numerical value is 4; the symbol of the query value from right to left 1 st, 2 nd, 3 rd, 4 th, 5 th, 6 th, 7 th or 8 th bit is "5", and the corresponding numerical value is 5; the symbol of the query value from right to left 1 st, 2 nd, 3 rd, 4 th, 5 th, 6 th, 7 th or 8 th bit is "6", and the corresponding numerical value is 6; the symbol of the query value from right to left 1 st, 2 nd, 3 rd, 4 th, 5 th, 6 th, 7 th or 8 th bit is "7", and the corresponding numerical value is 7; the symbol of the query value from right to left 1 st, 2 nd, 3 rd, 4 th, 5 th, 6 th, 7 th or 8 th bit is "8", and the corresponding numerical value is 8; the symbol of the query value from right to left 1 st, 2 nd, 3 rd, 4 th, 5 th, 6 th, 7 th or 8 th bit is "9", and the corresponding numerical value is 9; the symbol of the query value from right to left 1 st, 2 nd, 3 rd, 4 th, 5 th, 6 th, 7 th or 8 th bit is "A", and the corresponding numerical value is 10; the symbol of the query value from right to left 1 st, 2 nd, 3 rd, 4 th, 5 th, 6 th, 7 th or 8 th bit is 'B', and the corresponding numerical value is 11; the symbol of the query value from right to left of the 1 st, 2 nd, 3 rd, 4 th, 5 th, 6 th, 7 th or 8 th bit is "C", and the corresponding numerical value is 12; the symbol of the query value from right to left of the 1 st, 2 nd, 3 rd, 4 th, 5 th, 6 th, 7 th or 8 th bit is "D", and the corresponding numerical value is 13; the symbol of the query value from right to left 1 st, 2 nd, 3 rd, 4 th, 5 th, 6 th, 7 th or 8 th bit is 'E', and the corresponding numerical value is 14; if the symbol of the query value from right to left 1 st, 2 nd, 3 rd, 4 th, 5 th, 6 th, 7 th or 8 th bit is "F", the corresponding numerical value is 15; the symbol of the query value from right to left 1 st, 2 nd, 3 rd, 4 th, 5 th, 6 th, 7 th or 8 th bit is "G", and the corresponding numerical value is 16; the symbol of the query value from right to left 1 st, 2 nd, 3 rd, 4 th, 5 th, 6 th, 7 th or 8 th bit is "H", and the corresponding numerical value is 17; the symbol of the query value from right to left 1 st, 2 nd, 3 rd, 4 th, 5 th, 6 th, 7 th or 8 th bit is 'I', and the corresponding numerical value is 18; the symbol of the query value from right to left 1 st, 2 nd, 3 rd, 4 th, 5 th, 6 th, 7 th or 8 th bit is 'J', and the corresponding numerical value is 19; the symbol of the query value from right to left 1 st, 2 nd, 3 rd, 4 th, 5 th, 6 th, 7 th or 8 th bit is "K", and the corresponding numerical value is 20; the symbol of the query value from right to left 1 st, 2 nd, 3 rd, 4 th, 5 th, 6 th, 7 th or 8 th bit is "L", and the corresponding numerical value is 21; the symbol of the query value from right to left 1 st, 2 nd, 3 rd, 4 th, 5 th, 6 th, 7 th or 8 th bit is "M", and the corresponding numerical value is 22; the symbol of the query value from right to left 1 st, 2 nd, 3 rd, 4 th, 5 th, 6 th, 7 th or 8 th bit is "N", and the corresponding numerical value is 23; the symbol of the query value from right to left of the 1 st, 2 nd, 3 rd, 4 th, 5 th, 6 th, 7 th or 8 th bit is "O", and the corresponding numerical value is 24; the symbol of the query value from right to left 1 st, 2 nd, 3 rd, 4 th, 5 th, 6 th, 7 th or 8 th bit is 'P', and the corresponding numerical value is 25; the symbol of the query value from right to left 1 st, 2 nd, 3 rd, 4 th, 5 th, 6 th, 7 th or 8 th bit is "Q", and the corresponding numerical value is 26; the symbol of the query value from right to left 1 st, 2 nd, 3 rd, 4 th, 5 th, 6 th, 7 th or 8 th bit is "R", and the corresponding numerical value is 27; the symbol of the query value from right to left 1 st, 2 nd, 3 rd, 4 th, 5 th, 6 th, 7 th or 8 th bit is "S", and the corresponding numerical value is 28; the symbol of the query value from right to left 1 st, 2 nd, 3 rd, 4 th, 5 th, 6 th, 7 th or 8 th bit is "T", and the corresponding numerical value is 29; the symbol of the query value from right to left of the 1 st, 2 nd, 3 rd, 4 th, 5 th, 6 th, 7 th or 8 th bit is "U", and the corresponding numerical value is 30; if the symbol of the query value from right to left 1 st, 2 nd, 3 rd, 4 th, 5 th, 6 th, 7 th or 8 th bit is "V", the corresponding numerical value is 31; if the symbol of the query value from right to left 1 st, 2 nd, 3 rd, 4 th, 5 th, 6 th, 7 th or 8 th bit is "W", the corresponding numerical value is 32; the symbol of the query value from right to left 1 st, 2 nd, 3 rd, 4 th, 5 th, 6 th, 7 th or 8 th bit is "X", and the corresponding numerical value is 33; the symbol of the query value from right to left of the 1 st, 2 nd, 3 rd, 4 th, 5 th, 6 th, 7 th or 8 th bit is "Y", and the corresponding numerical value is 34; the symbol of the query value from right to left 1 st, 2 nd, 3 rd, 4 th, 5 th, 6 th, 7 th or 8 th bit is "Z", and the corresponding numerical value is 35; the symbol of the query value from right to left 1 st, 2 nd, 3 rd, 4 th, 5 th, 6 th, 7 th or 8 th bit is "a", and the corresponding numerical value is 36; the symbol of the query value from right to left 1 st, 2 nd, 3 rd, 4 th, 5 th, 6 th, 7 th or 8 th bit is "b", and the corresponding numerical value is 37; the symbol of the query value from right to left 1 st, 2 nd, 3 rd, 4 th, 5 th, 6 th, 7 th or 8 th bit is "c", and the corresponding numerical value is 38; the symbol of the query value from right to left 1 st, 2 nd, 3 rd, 4 th, 5 th, 6 th, 7 th or 8 th bit is "d", and the corresponding numerical value is 39; the symbol of the query value from right to left 1 st, 2 nd, 3 rd, 4 th, 5 th, 6 th, 7 th or 8 th bit is "e", and the corresponding numerical value is 40; if the symbol of the query value from right to left 1 st, 2 nd, 3 rd, 4 th, 5 th, 6 th, 7 th or 8 th bit is "f", the corresponding numerical value is 41; the symbol of the query value from right to left 1 st, 2 nd, 3 rd, 4 th, 5 th, 6 th, 7 th or 8 th bit is "g", and the corresponding numerical value is 42; the symbol of the query value from right to left 1 st, 2 nd, 3 rd, 4 th, 5 th, 6 th, 7 th or 8 th bit is "h", and the corresponding numerical value is 43; the sign of the query value from right to left at 1 st, 2 nd, 3 rd, 4 th, 5 th, 6 th, 7 th or 8 th bit is "i", and the corresponding numerical value is 44; the symbol of the query value from right to left of the 1 st, 2 nd, 3 rd, 4 th, 5 th, 6 th, 7 th or 8 th bit is "j", and the corresponding numerical value is 45; the sign of the query value from right to left 1 st, 2 nd, 3 rd, 4 th, 5 th, 6 th, 7 th or 8 th bit is "k", and the corresponding numerical value is 46; the symbol of the query value from right to left 1 st, 2 nd, 3 rd, 4 th, 5 th, 6 th, 7 th or 8 th bit is 'l', and the corresponding numerical value is 47; the symbol of the query value from right to left 1 st, 2 nd, 3 rd, 4 th, 5 th, 6 th, 7 th or 8 th bit is "m", and the corresponding numerical value is 48; the symbol of the query value from right to left 1 st, 2 nd, 3 rd, 4 th, 5 th, 6 th, 7 th or 8 th bit is "n", and the corresponding numerical value is 49; the symbol of the query value from right to left of the 1 st, 2 nd, 3 rd, 4 th, 5 th, 6 th, 7 th or 8 th bit is "o", and the corresponding numerical value is 50; the symbol of the query value from right to left 1 st, 2 nd, 3 rd, 4 th, 5 th, 6 th, 7 th or 8 th bit is "p", and the corresponding numerical value is 51; the sign of the query value from right to left 1 st, 2 nd, 3 rd, 4 th, 5 th, 6 th, 7 th or 8 th bit is "q", and the corresponding numerical value is 52; the symbol of the query value from right to left 1 st, 2 nd, 3 rd, 4 th, 5 th, 6 th, 7 th or 8 th bit is "r", and the corresponding numerical value is 53; the symbol of the query value from right to left 1 st, 2 nd, 3 rd, 4 th, 5 th, 6 th, 7 th or 8 th bit is "s", and the corresponding numerical value is 54; the symbol of the query value from right to left 1 st, 2 nd, 3 rd, 4 th, 5 th, 6 th, 7 th or 8 th bit is "t", and the corresponding numerical value is 55; the symbol of the query value from right to left 1 st, 2 nd, 3 rd, 4 th, 5 th, 6 th, 7 th or 8 th bit is "u", and the corresponding numerical value is 56; the sign of the query value from right to left at 1 st, 2 nd, 3 rd, 4 th, 5 th, 6 th, 7 th or 8 th bit is "v", and the corresponding numerical value is 57; the symbol of the query value from right to left 1 st, 2 nd, 3 rd, 4 th, 5 th, 6 th, 7 th or 8 th bit is "w", and the corresponding numerical value is 58; the sign of the query value from right to left 1 st, 2 nd, 3 rd, 4 th, 5 th, 6 th, 7 th or 8 th bit is "x", and the corresponding numerical value is 59; the symbol of the query value from right to left 1 st, 2 nd, 3 rd, 4 th, 5 th, 6 th, 7 th or 8 th bit is "y", and the corresponding numerical value is 60; the sign of the query value from right to left at 1 st, 2 nd, 3 rd, 4 th, 5 th, 6 th, 7 th or 8 th bit is "z", and the corresponding value is 61.
r22, solving the power of r;
r3means to solve the power of r to 3;
r4means to solve the power of r to 4;
rgthe expression is to the power of g for r;
TQuery represents the decimal query value;
s122, the method for converting the decimal inquiry value into the representation value comprises the following steps:
s1221, let O0=TQuery,o=1;
S1222,
Figure BDA0003182499130000181
Wherein, OoRepresents the next cycle value;
Oo-1representing the value of the current cycle;
INT | | denotes the rounding algorithm;
o represents the number of bits of the value;
s1223, judging OoAnd 62:
if O isoIf the value is more than or equal to 62, o is o +1, and the step is returnedA step S1222;
if O isoIf the value is less than or equal to 61, executing the next step;
s1224, let S equal 1;
S1225,
Figure BDA0003182499130000191
wherein s represents the number of remaining bits;
MOD | | | represents the algorithm of taking the remainder;
Os-1representing the conversion number;
Ssrepresenting the value corresponding to the s-th bit from right to left of the representation value;
s1226, judging the size relationship between S and o:
if s is more than or equal to O, the value is OoSo…S3S2S1(ii) a Wherein S is1Representing the value corresponding to the 1 st bit from right to left of the representation value; s2Representing the value corresponding to the 2 nd bit from right to left of the representation value; s3Representing the value corresponding to the 3 rd bit from right to left of the representation value; soRepresenting the value corresponding to the o-th bit from right to left of the representation value;
if S < o, S is S +1, and the process returns to step S1225;
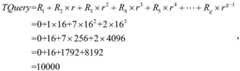
for example, a 16-ary 2710 is downloaded,
first, convert 2710 in 16 to 10 systems:
Figure BDA0003182499130000192
second step, let O0=10000,o=1;
In the third step, the first step is,
Figure BDA0003182499130000201
since 161 > 62, o + 1-2;
in the third step, the first step is,
Figure BDA0003182499130000202
due to 2<62, then o is 2;
fourthly, making s equal to 1;
in the fifth step, the first step is carried out,
Figure BDA0003182499130000203
due to 1<2, then s + 1+ 2;
in the sixth step, the first step is carried out,
Figure BDA0003182499130000211
since 2 is 2, the value is O2S2S1I.e. a value of 2 Ib.
And S13, inquiring the position of the floor dial table to be downloaded according to the representation value, and downloading the floor dial table according to the position obtained by inquiry.
In a preferred embodiment of the present invention, step S2 includes the following steps:
s21, determining whether it receives the first coloring trigger command:
if a first coloring trigger command is received, performing first color coloring on the selected content;
if the first coloring trigger command is not received, executing the next step;
s22, determining whether it receives the second coloring trigger command:
if a second coloring trigger command is received, performing second color coloring on the selected content;
if the second coloring trigger command is not received, executing the next step;
s23, determining whether it receives the third coloring trigger command:
if a third coloring trigger command is received, performing third color coloring on the selected content;
if the third coloring trigger command is not received, returning to step S21 or step S24; wherein the first color, the second color or the third color is not limited to gray, cyan, red, pink or yellow, preferably the first color is red, the second color is pink and the third color is yellow; as shown in fig. 2, downloaded floor list, gray for inoperable content and cyan for operable content (not sold); fig. 3 shows a to-be-uploaded floor dial, wherein red indicates that the floor is sold, pink indicates that the floor is mortgage, and yellow indicates that the floor is locked and is about to be purchased.
And S24, if receiving the storage trigger command, storing the downloaded floor list, and obtaining the floor list to be uploaded after storage.
In a preferred embodiment of the present invention, step S3 includes:
extracting a floor value corresponding to a floor table received by a cloud platform, and calculating the floor value of the cloud platform on the floor table received by the cloud platform, wherein the calculation method of the floor value of the cloud platform comprises the following steps:
firstly, decompressing an upload packet received by a cloud platform to obtain a floor plan received by the cloud platform.
Fcloud platform=Hash(Property ListRX),
Wherein, Fcloud platformRepresenting a cloud platform floor value obtained by calculating a floor table received by the cloud platform;
Hash(Property ListRX) Representing Property List received for cloud platformRXPerforming a check function; the verification function issha 1.
Property ListRXRepresenting a floor plan received by the cloud platform;
judging whether the calculated cloud platform floor value is consistent with the floor value corresponding to the floor table received by the cloud platform:
if the calculated cloud platform floor value is consistent with the floor value corresponding to the floor table received by the cloud platform, deleting the floor table received by the cloud platform, and not updating the floor table of the cloud platform;
and if the calculated cloud platform floor value is not consistent with the floor value corresponding to the floor table received by the cloud platform, extracting coloring in the floor table, filling the coloring in the floor table into the cloud platform floor table corresponding to the floor value, and updating data in the cloud platform floor table.
While embodiments of the invention have been shown and described, it will be understood by those of ordinary skill in the art that: various changes, modifications, substitutions and alterations can be made to the embodiments without departing from the principles and spirit of the invention, the scope of which is defined by the claims and their equivalents.

Claims (4)

1. A construction method of a registered transaction floor list is characterized by comprising the following steps:
s1, the cloud platform judges that a trigger command for downloading the dial table is received: (ii) a
If the cloud platform receives a trigger command for downloading the floor list, executing the next step;
if the cloud platform does not receive the trigger command for downloading the floor list, returning to the step S1;
s2, operating the downloaded floor plan to obtain a floor plan to be uploaded;
and S3, uploading the floor list to be uploaded to a cloud platform to update the floor list.
2. The registered transaction floor plan construction method according to claim 1, comprising the steps of, in step S2:
s21, determining whether it receives the first coloring trigger command:
if a first coloring trigger command is received, performing first color coloring on the selected content;
if the first coloring trigger command is not received, executing the next step;
s22, determining whether it receives the second coloring trigger command:
if a second coloring trigger command is received, performing second color coloring on the selected content;
if the second coloring trigger command is not received, executing the next step;
s23, determining whether it receives the third coloring trigger command:
if a third coloring trigger command is received, performing third color coloring on the selected content;
if the third coloring trigger command is not received, returning to step S21 or step S24;
and S24, if receiving the storage trigger command, storing the downloaded floor list, and obtaining the floor list to be uploaded after storage.
3. The registered transaction floor plan construction method according to claim 1, comprising the steps of, in step S1:
s11, obtaining the download value corresponding to the received trigger command for downloading the floor list, and obtaining the query value according to the download value, wherein the method for obtaining the query value comprises the following steps:
Qvalue=Hash(Wdownload),
wherein Wdownload represents a download value corresponding to the received download floor table triggering command;
s12, converting the query value into a value expressed by 0-9 number, a lower case letter a-Z and an upper case letter A-Z, and obtaining the expressed value, wherein the expressed value calculation method comprises the following steps:
s121, judging whether the query value is decimal:
if the query value is decimal, go to step S122;
if the query value is not decimal, converting the query value into a decimal query value; the method for converting the query value into the decimal query value comprises the following steps:
TQuery=R1+R2×r+R3×r2+R4×r3+R5×r4+…+Rg×rg-1
wherein g represents the total number of digits of the query value;
r represents the carry of the query value; r ∈ [2,61 ];
R1representing the numerical value corresponding to the 1 st bit from the right to the left of the query value;
R2representing the numerical value corresponding to the 2 nd bit from right to left of the query value;
R3representing the numerical value corresponding to the 3 rd bit from the right to the left of the query value;
R4representing the value corresponding to the 4 th bit from right to left of the query value;
R5representing the numerical value corresponding to the 5 th bit from the right to the left of the query value;
Rgrepresenting the value corresponding to the g-th bit from right to left of the query value;
r22, solving the power of r;
r3means to solve the power of r to 3;
r4means to solve the power of r to 4;
rgthe expression is to the power of g for r;
TQuery represents the decimal query value;
s122, the method for converting the decimal inquiry value into the representation value comprises the following steps:
s1221, let O0=TQuery,o=1;
S1222,
Figure FDA0003182499120000031
Wherein, OoRepresents the next cycle value;
Oo-1representing the value of the current cycle;
INT | | denotes the rounding algorithm;
o represents the number of bits of the value;
s1223, judging OoAnd 62:
if O isoIf not, if o is equal to o +1, returning to step S1222;
if O isoIf the value is less than or equal to 61, executing the next step;
s1224, let S equal 1;
S1225,
Figure FDA0003182499120000032
wherein s represents the number of remaining bits;
MOD | | | represents the algorithm of taking the remainder;
Os-1representing the conversion number;
Ssrepresenting the value corresponding to the s-th bit from right to left of the representation value;
s1226, judging the size relationship between S and o:
if s is more than or equal to O, the value is OoSo…S3S2S1(ii) a Wherein S is1Representing the value corresponding to the 1 st bit from right to left of the representation value; s2Representing the value corresponding to the 2 nd bit from right to left of the representation value; s3Representing the value corresponding to the 3 rd bit from right to left of the representation value; soRepresenting the value corresponding to the o-th bit from right to left of the representation value;
if S < o, S is S +1, and the process returns to step S1225;
and S13, inquiring the position of the floor dial table to be downloaded according to the representation value, and downloading the floor dial table according to the position obtained by inquiry.
4. The registered transaction floor plan construction method according to claim 1, wherein step S3 includes:
extracting a floor value corresponding to a floor table received by a cloud platform, and calculating the floor value of the cloud platform on the floor table received by the cloud platform, wherein the calculation method of the floor value of the cloud platform comprises the following steps:
Fcloud platform=Hash(Property ListRX),
wherein, Fcloud platformRepresenting a cloud platform floor value obtained by calculating a floor table received by the cloud platform;
Hash(Property ListRX) Representing Property List received for cloud platformRXPerforming a check function;
Property ListRXrepresenting a floor plan received by the cloud platform;
judging whether the calculated cloud platform floor value is consistent with the floor value corresponding to the floor table received by the cloud platform:
if the calculated cloud platform floor value is consistent with the floor value corresponding to the floor table received by the cloud platform, deleting the floor table received by the cloud platform, and not updating the floor table of the cloud platform;
and if the calculated cloud platform floor value is not consistent with the floor value corresponding to the floor table received by the cloud platform, extracting coloring in the floor table, filling the coloring in the floor table into the cloud platform floor table corresponding to the floor value, and updating data in the cloud platform floor table.
CN202110850987.6A2021-07-272021-07-27Construction method for registering transaction floor listPendingCN113486039A (en)

Priority Applications (1)

Application NumberPriority DateFiling DateTitle
CN202110850987.6ACN113486039A (en)2021-07-272021-07-27Construction method for registering transaction floor list

Applications Claiming Priority (1)

Application NumberPriority DateFiling DateTitle
CN202110850987.6ACN113486039A (en)2021-07-272021-07-27Construction method for registering transaction floor list

Publications (1)

Publication NumberPublication Date
CN113486039Atrue CN113486039A (en)2021-10-08

Family

ID=77944051

Family Applications (1)

Application NumberTitlePriority DateFiling Date
CN202110850987.6APendingCN113486039A (en)2021-07-272021-07-27Construction method for registering transaction floor list

Country Status (1)

CountryLink
CN (1)CN113486039A (en)

Cited By (1)

* Cited by examiner, † Cited by third party
Publication numberPriority datePublication dateAssigneeTitle
CN117556512A (en)*2023-11-282024-02-13杭州中房信息科技有限公司Efficient generation method, medium and equipment for building table overview chart adapting to complex data

Citations (8)

* Cited by examiner, † Cited by third party
Publication numberPriority datePublication dateAssigneeTitle
CN106204358A (en)*2016-06-302016-12-07广东新禾道信息科技有限公司Real estate unifies register information management system
CN106951440A (en)*2017-02-142017-07-14浙江臻善科技股份有限公司Online with the method and system of the real estate Data Integration of actual time safety combined offline
CN107016084A (en)*2017-03-312017-08-04江苏速度信息科技股份有限公司A kind of place name address quickly positions the method with inquiry
CN109189869A (en)*2018-07-112019-01-11安徽农业大学A kind of Immovable Property Registration data extraction method based on GIS
CN109615482A (en)*2018-12-212019-04-12万翼科技有限公司Methods of exhibiting, device and the storage medium of information of lease
CN110490772A (en)*2019-08-202019-11-22江苏荣泽信息科技股份有限公司A kind of stock buildings transaction system based on block chain technology
CN111383141A (en)*2018-12-282020-07-07重庆传晟信息技术有限公司House book data management system
CN111461751A (en)*2020-04-022020-07-28武汉大学Block chain-based house property information chain organization method, historical state tracing method and device

Patent Citations (8)

* Cited by examiner, † Cited by third party
Publication numberPriority datePublication dateAssigneeTitle
CN106204358A (en)*2016-06-302016-12-07广东新禾道信息科技有限公司Real estate unifies register information management system
CN106951440A (en)*2017-02-142017-07-14浙江臻善科技股份有限公司Online with the method and system of the real estate Data Integration of actual time safety combined offline
CN107016084A (en)*2017-03-312017-08-04江苏速度信息科技股份有限公司A kind of place name address quickly positions the method with inquiry
CN109189869A (en)*2018-07-112019-01-11安徽农业大学A kind of Immovable Property Registration data extraction method based on GIS
CN109615482A (en)*2018-12-212019-04-12万翼科技有限公司Methods of exhibiting, device and the storage medium of information of lease
CN111383141A (en)*2018-12-282020-07-07重庆传晟信息技术有限公司House book data management system
CN110490772A (en)*2019-08-202019-11-22江苏荣泽信息科技股份有限公司A kind of stock buildings transaction system based on block chain technology
CN111461751A (en)*2020-04-022020-07-28武汉大学Block chain-based house property information chain organization method, historical state tracing method and device

Non-Patent Citations (4)

* Cited by examiner, † Cited by third party
Title
WEIXIN_30289831: "楼盘表展示效果记录", 《HTTPS://BLOG.CSDN.NET/WEIXIN_30289831/ARTICLE/DETAILS/98172821》*
付丽莉等: "一种面向不动产单元的楼盘表构建新方法", 《北京测绘》*
王晋桃: "浅析房产管理信息系统中的动态楼盘表", 《中国房地产》*
谢振存等: "基于房屋生命周期的楼盘表设计与应用", 《中国建设信息化》*

Cited By (1)

* Cited by examiner, † Cited by third party
Publication numberPriority datePublication dateAssigneeTitle
CN117556512A (en)*2023-11-282024-02-13杭州中房信息科技有限公司Efficient generation method, medium and equipment for building table overview chart adapting to complex data

Similar Documents

PublicationPublication DateTitle
CN112162723B (en)Quantum subtraction operation method, device, electronic device and storage medium
CN113645203B (en)Real estate registration and bank deep fusion method
CN113746620B (en)Homomorphic encryption method, device, medium and computer program product
CN113486039A (en)Construction method for registering transaction floor list
US7548175B2 (en)Encoding apparatus, decoding apparatus, encoding method, computer readable medium storing program thereof, and computer data signal
CN112468532A (en)Credit investigation data sending method, device, system, equipment and computer storage medium
CN111259217A (en)Invoice archiving method and device and computer readable storage medium
JP2010211820A (en)Method, computer system and computer program for retrieving secured data
CN111242119A (en)Vehicle image processing method and device, electronic equipment and computer readable medium
CN112269806B (en)Data query method, device, equipment and computer storage medium
CN111930869A (en)Address deviation rectifying method and device, electronic equipment and storage medium
CN113077058B (en)Push model optimization method and device executed by user terminal
CN115934484A (en)Diffusion model data enhancement-based anomaly detection method, storage medium and equipment
CN113505137B (en)Real estate space graph updating method
CN106953880A (en)Data processing method and system, sub server and main server
CN115972198B (en)Mechanical arm visual grabbing method and device under incomplete information condition
CN113190508A (en)Management-oriented natural language identification method
CN113141351B (en)Multi-department combined auditing and authenticating working method for government affair big data
CN113179450B (en)Working method for analyzing urban operation management in big data environment
CN117240498A (en)Intelligent big data platform interactive cloud control method
Karthik et al.Quantum image teleportation protocol (QITP) and quantum audio teleportation protocol (QATP) by using quantum teleportation and huffman coding
CN113162918B (en)Method for extracting abnormal data under condition of rapidly mining four-in-one network
Athreya et al.Some limit theorems for positive recurrent branching Markov chains: II
CN117034369B (en)Address data processing method, device, equipment and medium
CA2503502A1 (en)Method and apparatus for sorting cyclic data in lexicographic order

Legal Events

DateCodeTitleDescription
PB01Publication
PB01Publication
SE01Entry into force of request for substantive examination
SE01Entry into force of request for substantive examination

[8]ページ先頭

©2009-2025 Movatter.jp