Movatterモバイル変換


[0]ホーム

URL:


CN113468989A - Non-contact personnel identification method using heart radar signals - Google Patents

Non-contact personnel identification method using heart radar signals
Download PDF

Info

Publication number
CN113468989A
CN113468989ACN202110675375.8ACN202110675375ACN113468989ACN 113468989 ACN113468989 ACN 113468989ACN 202110675375 ACN202110675375 ACN 202110675375ACN 113468989 ACN113468989 ACN 113468989A
Authority
CN
China
Prior art keywords
signal
user
heartbeat
reflected
signals
Prior art date
Legal status (The legal status is an assumption and is not a legal conclusion. Google has not performed a legal analysis and makes no representation as to the accuracy of the status listed.)
Granted
Application number
CN202110675375.8A
Other languages
Chinese (zh)
Other versions
CN113468989B (en
Inventor
方震
闫百驹
赵荣建
何光强
Current Assignee (The listed assignees may be inaccurate. Google has not performed a legal analysis and makes no representation or warranty as to the accuracy of the list.)
Nanjing Runnan Medical Electronic Research Institute Co ltd
Original Assignee
Nanjing Runnan Medical Electronic Research Institute Co ltd
Priority date (The priority date is an assumption and is not a legal conclusion. Google has not performed a legal analysis and makes no representation as to the accuracy of the date listed.)
Filing date
Publication date
Application filed by Nanjing Runnan Medical Electronic Research Institute Co ltdfiledCriticalNanjing Runnan Medical Electronic Research Institute Co ltd
Priority to CN202110675375.8ApriorityCriticalpatent/CN113468989B/en
Publication of CN113468989ApublicationCriticalpatent/CN113468989A/en
Application grantedgrantedCritical
Publication of CN113468989BpublicationCriticalpatent/CN113468989B/en
Activelegal-statusCriticalCurrent
Anticipated expirationlegal-statusCritical

Links

Images

Classifications

Landscapes

Abstract

Translated fromChinese

本发明公开一种使用心脏雷达信号的非接触式人员识别方法,该方法包括以下步骤:S1、提取用户反射信号;S2、采用心跳信号滤波对用户反射信号进行信号预处理;S3、对进行信号预处理的反射信号相位解调,获得连续的反射信号;S4、对连续的反射信号采用心拍分割的算法,获得用户单心拍;S5、对用户单心拍采用低通滤波器重新采样到固定样本长度,并将得到的用户的单心拍储存到数据库中匹配。有益效果:相比较传统的认证方法,被动无接触式测量,本发明通过雷达系统扫描用户心跳信号,避免用户直接接触设备以及主动参与,同时与面部识别等生物特征识别技术相比,本发明能较好的保护用户的个人隐私。

Figure 202110675375

The invention discloses a non-contact person identification method using cardiac radar signals. The method includes the following steps: S1, extracting user reflected signals; S2, using heartbeat signal filtering to perform signal preprocessing on the user reflected signals; S3, performing signal The preprocessed reflected signal is phase-demodulated to obtain a continuous reflected signal; S4, a beat segmentation algorithm is used for the continuous reflected signal to obtain a user's single heart beat; S5, a low-pass filter is used for the user's single heart beat to resample to a fixed sample length , and store the obtained single heartbeat of the user into the database for matching. Beneficial effects: Compared with the traditional authentication method and passive non-contact measurement, the present invention scans the user's heartbeat signal through the radar system, avoiding the user's direct contact with the device and active participation. Better protection of user privacy.

Figure 202110675375

Description

Non-contact personnel identification method using heart radar signals
Technical Field
The invention relates to the field of medical equipment and physiological signal detection, in particular to a non-contact personnel identification method using a heart radar signal.
Background
Biometrics describes unique human features that can be used to automatically and unambiguously identify a user's identity. Fingerprints were first discovered at the end of the 19 th century as a means of identifying appropriate metrics. Today, fingerprint recognition sensors are widely used in the field of identity authentication. Today, a large number of other biometric techniques are in use or are still under investigation. For example, iris recognition may enable user identity in devices or methods that require high security. However, all of the above-mentioned biological characteristics have a common drawback: in obtaining user information, the user must be in direct contact with the measurement device. Even if the vulnerability is not considered, this limitation greatly impairs the usability of the device in practical applications.
Continuous authentication currently improves on disposable authentication methods by continuously verifying for the duration of a session whether the method is operated by the same user as when initially logged in, which prevents malicious users from accessing the system when a legitimate user leaves or is not using the system. However, governments and enterprises increasingly propose more demanding continuous identity authentication methods due to system authentication errors caused by weak cryptographic mechanisms (hacking, password theft, etc.) and user carelessness. In recent years, radar technology has become a method of performing presence detection and monitoring. Furthermore, it is used to monitor a person's vital signs, such as heart beat signals and breathing signals, without contact.
An effective solution to the problems in the related art has not been proposed yet.
Disclosure of Invention
In view of the problems in the related art, the present invention provides a non-contact person identification method using cardiac radar signals, so as to overcome the above technical problems in the related art.
Therefore, the invention adopts the following specific technical scheme:
a method of contactless person identification using cardiac radar signals, the method comprising the steps of:
s1, extracting a user reflection signal;
s2, performing signal preprocessing on the user reflection signal by adopting heartbeat signal filtering;
s3, demodulating the phase of the reflection signal subjected to signal preprocessing to obtain a continuous reflection signal;
s4, obtaining the single heartbeat of the user by adopting a heartbeat segmentation algorithm for the continuous reflection signals;
and S5, resampling the single heartbeat of the user to a fixed sample length by adopting a low-pass filter, and storing the obtained single heartbeat of the user in a database for matching.
Further, the extracting the user reflection signal further includes the following steps:
s11, using the working principle of radio system, the transmitting end of the system transmits low power radio signal and the receiving end receives the reflected signal of the surrounding environment.
Further, the signal preprocessing of the user reflection signal by using heartbeat signal filtering further includes the following steps:
s21, receiving a reflected signal from the surrounding environment by adopting a radar system receiving end;
s22, filtering ambient environment information in the reflected signals and the breathing information of the user;
s23, extracting reflection information caused by the heartbeat motion of the user;
s24, eliminating the noise level in the heartbeat signal using the butterworth bandpass filter and the adaptive filter.
Further, the reflected signal from the surrounding environment includes: the reflected signals caused by the user's breathing movements and heartbeat movements also include reflected signals caused by the surrounding environment.
Further, the eliminating the noise level in the heartbeat signal by using the butterworth band-pass filter and the adaptive filter further comprises the following steps:
and a Butterworth band-pass filter of 0.75-30Hz is adopted to extract the heartbeat motion information of the user in the reflected signal.
Further, the phase demodulating the reflected signal subjected to the signal preprocessing to obtain a continuous reflected signal further includes the following steps:
s31, demodulating the relative phase change delta sigma between the transmitting signal and the reflected signal by using an IQ phase demodulation technology;
s32, chest vibrations caused by the heart beat cause the phase between the reflected signal and the reference signal to change, and since the wavelength λ is known, the relative displacement Δ x is calculated.
Further, the calculation formula of the relative phase change Δ σ is as follows:
Δσ=arg{(B5-B6)+j(B3-B4)};
in the formula:
B3—B4: a Q channel phase demodulation component; b is5—B6: an I-channel phase demodulation component; j: an imaginary symbol;
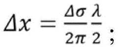
the calculation formula of the relative displacement Δ x is as follows:
Figure BDA0003120769150000031
in the formula:
Δ σ: the relative phase change of the reflected signal and the transmitted signal; λ: the wavelength of the signal.
Further, the method for obtaining the single heartbeat of the user by using the heartbeat segmentation algorithm for the continuous reflection signals further comprises the following steps:
s41, calculating minimum value points of the signals for each section of heartbeat signals;
s42, determining the shortest distance between the two minimum values;
and S43, performing heartbeat segmentation by using the minimum value.
Further, the step of determining the shortest distance between two minima further comprises the steps of:
s421, performing autocorrelation calculation on each section of signal to estimate the average heart rate of the user;
and S422, taking the highest peak value in the time range of 0.45-1.45S as the average heart beat period between two continuous heart beats.
Further, the resampling the single heartbeat of the user to a fixed sample length by adopting a low-pass filter, and storing the obtained single heartbeat of the user in a database for matching further comprises the following steps:
s51, resampling each heart beat to a uniform length n to obtain a single heart beat;
s52, inputting the single heart beat as an input signal into a trained machine learning model to classify the single heart beat;
s53, storing the single heartbeat of the user into a database for matching after the single heartbeat is extracted;
and S54, comparing the newly acquired single heartbeat signal with the data stored in the database to judge whether the access request is from an authorized user or a malicious attack.
The invention has the beneficial effects that:
1. compared with the traditional authentication method and passive contactless measurement, the method and the system scan the heartbeat signals of the user through the radar system, and avoid the direct contact of the user with equipment and active participation of the user.
2. Compared with the biological feature recognition technology such as face recognition, the method and the system can better protect the personal privacy of the user.
3. The invention continuously scans the heartbeat of the user through the radar system, thereby verifying whether the login user is replaced or leaves and ensuring the safety and stability of system login.
4. The device can sense the heart movement of the user in a non-contact way, and safely and reliably carry out continuous identity authentication on the user under the condition of protecting the privacy and insensibility of the user.
Drawings
In order to more clearly illustrate the embodiments of the present invention or the technical solutions in the prior art, the drawings needed in the embodiments will be briefly described below, and it is obvious that the drawings in the following description are only some embodiments of the present invention, and it is obvious for those skilled in the art to obtain other drawings without creative efforts.
FIG. 1 is a flow chart of a method of contactless person identification using cardiac radar signals according to an embodiment of the present invention;
fig. 2 is a schematic diagram illustrating a principle of a method for authenticating a person using a continuous wave radar in a non-contact person identification method using a cardiac radar signal according to an embodiment of the present invention.
Detailed Description
For further explanation of the various embodiments, the drawings which form a part of the disclosure and which are incorporated in and constitute a part of this specification, illustrate embodiments and, together with the description, serve to explain the principles of operation of the embodiments, and to enable others of ordinary skill in the art to understand the various embodiments and advantages of the invention, and, by reference to these figures, reference is made to the accompanying drawings, which are not to scale and wherein like reference numerals generally refer to like elements.
According to an embodiment of the invention, a method of contactless person identification using cardiac radar signals is provided.
The present invention will now be further described with reference to the accompanying drawings and detailed description, wherein, as shown in fig. 1-2, a method for contactless person identification using cardiac radar signals according to an embodiment of the present invention comprises the steps of:
s1, extracting a user reflection signal;
s2, performing signal preprocessing on the user reflection signal by adopting heartbeat signal filtering;
s3, demodulating the phase of the reflection signal subjected to signal preprocessing to obtain a continuous reflection signal;
s4, obtaining the single heartbeat of the user by adopting a heartbeat segmentation algorithm for the continuous reflection signals;
and S5, resampling the single heartbeat of the user to a fixed sample length by adopting a low-pass filter, and storing the obtained single heartbeat of the user in a database for matching.
In one embodiment, said extracting the user reflection signal further comprises the steps of:
s11, using the working principle of radio system, the transmitting end of the system transmits low power radio signal, and the receiving end receives the reflected signal of the surrounding environment, when the transmitting signal contacts the user, it will generate reflection based on the body of the user, and the receiving end receives the reflected signal. The reflected signal contains information on some physiological parameters caused by the user's breathing and heartbeat movements.
In one embodiment, the signal preprocessing of the user reflection signal by using heartbeat signal filtering further comprises the following steps:
s21, receiving a reflected signal from the surrounding environment by adopting a radar system receiving end;
s22, filtering ambient environment information in the reflected signals and the breathing information of the user;
s23, extracting reflection information caused by the heartbeat motion of the user;
s24, eliminating the noise level in the heartbeat signal by adopting a Butterworth band-pass filter and an adaptive filter;
the reflection signal caused by the respiration of the user and the reflection signal caused by the surrounding environment are irrelevant to the identity authentication of the user, the signal preprocessing is to filter the surrounding environment information in the reflection signal and the respiration information of the user, extract the reflection information caused by the heartbeat motion of the user, and prevent the heartbeat waveform from being deformed by reducing the noise level in the heartbeat signal. The noise in the reflected signal includes low frequency components, high frequency components, and unpredictable components. The present invention employs a butterworth bandpass filter and an adaptive filter to remove noise in a signal, taking into account the diversity of the noise and the frequency range of the known noise.
In one embodiment, the reflected signal from the surrounding environment comprises: the reflected signals caused by the user's breathing movements and heartbeat movements also include reflected signals caused by the surrounding environment.
In one embodiment, said removing the noise level in the heartbeat signal using the butterworth band pass filter and the adaptive filter further comprises the steps of:
and a Butterworth band-pass filter of 0.75-30Hz is adopted to extract the heartbeat motion information of the user in the reflected signal.
In one embodiment, the phase demodulating the signal-preprocessed reflected signal to obtain a continuous reflected signal further includes the following steps:
s31, demodulating the relative phase change delta sigma between the transmitting signal and the reflected signal by using an IQ phase demodulation technology;
s32, chest vibrations caused by the heart beat cause the phase between the reflected signal and the reference signal to change, and since the wavelength λ is known, the relative displacement Δ x is calculated.
In one embodiment, the relative phase change Δ σ is calculated as follows:
Δσ=arg{(B5-B6)+j(B3-B4)};
in the formula:
B3—B4: a Q channel phase demodulation component; b is5—B6: an I-channel phase demodulation component; j: an imaginary symbol;
the calculation formula of the relative displacement Δ x is as follows:
Figure BDA0003120769150000061
in the formula:
Δ σ: the relative phase change of the reflected signal and the transmitted signal; λ: the wavelength of the signal.
In one embodiment, the obtaining the single heartbeat of the user by using the heartbeat division algorithm for the continuous reflection signals further comprises the following steps:
s41, calculating minimum value points of the signals for each section of heartbeat signals;
s42, determining the shortest distance between the two minimum values;
s43, performing heartbeat segmentation by using the minimum value;
the heart beat period obtained by the calculation is multiplied by an adjusting factor to be corrected, the corrected value is used as the minimum interval to carry out heart beat division, and the shortest distance information is used, so that the local minimum value can be prevented from being used as a boundary, and the heart beat signal is prevented from being deformed.
In one embodiment, said determining the shortest distance between two minima further comprises the steps of:
s421, performing autocorrelation calculation on each section of signal to estimate the average heart rate of the user;
and S422, taking the highest peak value in the time range of 0.45-1.45S as the average heart beat period between two continuous heart beats.
In one embodiment, the resampling a single heartbeat of the user to a fixed sample length by using a low-pass filter, and storing the obtained single heartbeat of the user in a database for matching further comprises the following steps:
s51, resampling each heart beat to a uniform length n to obtain a single heart beat;
s52, inputting the single heart beat as an input signal into a trained machine learning model to classify the single heart beat;
s53, storing the single heartbeat of the user into a database for matching after the single heartbeat is extracted;
s54, comparing the newly acquired single heartbeat signal with data stored in a database to judge whether the access request is from an authorized user or a malicious attack;
by resampling each beat to a uniform length n, variations in the duration of a single beat due to different heart rates or sample rates can be eliminated, otherwise a higher heart rate or lower sample rate will result in a shorter beat signal, while a lower heart rate or higher sample rate will result in a longer beat signal, because the heart beats after resampling have uniform length, the invention takes the single heart beat as an input signal, inputs the input signal into a trained machine learning model to classify the single heart beat, in addition, in the process of user identification, considering that a plurality of single heartbeats can be segmented by extracting heartbeat signals, the invention applies a majority voting algorithm to enhance the robustness of the method, and meanwhile, the device can sense the heart motion of the user in a non-contact way, under the condition of protecting the privacy and the non-sensibility of the user, the continuous identity authentication is safely and reliably carried out on the user.
In summary, according to the technical scheme of the invention, compared with the traditional authentication method and passive contactless measurement, the heartbeat signal of the user is scanned by the radar system, so that the user is prevented from directly contacting with the equipment and actively participating in the heartbeat signal, and the privacy of the user is protected; the device can sense the heart movement of the user in a non-contact way, and safely and reliably carry out continuous identity authentication on the user under the condition of protecting the privacy and insensibility of the user.
The above description is only for the purpose of illustrating the preferred embodiments of the present invention and is not to be construed as limiting the invention, and any modifications, equivalents, improvements and the like that fall within the spirit and principle of the present invention are intended to be included therein.

Claims (10)

1. A method of non-contact person identification using cardiac radar signals, the method comprising the steps of:
s1, extracting a user reflection signal;
s2, performing signal preprocessing on the user reflection signal by adopting heartbeat signal filtering;
s3, demodulating the phase of the reflection signal subjected to signal preprocessing to obtain a continuous reflection signal;
s4, obtaining the single heartbeat of the user by adopting a heartbeat segmentation algorithm for the continuous reflection signals;
and S5, resampling the single heartbeat of the user to a fixed sample length by adopting a low-pass filter, and storing the obtained single heartbeat of the user in a database for matching.
2. A method of contactless person identification using cardiac radar signals according to claim 1, wherein the extracting of user reflection signals further comprises the steps of:
s11, using the working principle of radio system, the transmitting end of the system transmits low power radio signal and the receiving end receives the reflected signal of the surrounding environment.
3. A method of contactless person identification using cardiac radar signals according to claim 1, wherein the signal pre-processing of the user reflection signal using heartbeat signal filtering further comprises the steps of:
s21, receiving a reflected signal from the surrounding environment by adopting a radar system receiving end;
s22, filtering ambient environment information in the reflected signals and the breathing information of the user;
s23, extracting reflection information caused by the heartbeat motion of the user;
s24, eliminating the noise level in the heartbeat signal using the butterworth bandpass filter and the adaptive filter.
4. A method of contactless person identification using cardiac radar signals according to claim 3, characterized in that the reflected signals from the surroundings comprise: the reflected signals caused by the user's breathing movements and heartbeat movements also include reflected signals caused by the surrounding environment.
5. A method of contactless person identification using cardiac radar signals according to claim 3, wherein said removing the noise level in the heartbeat signal using a butterworth band pass filter and an adaptive filter further comprises the steps of:
and a Butterworth band-pass filter of 0.75-30Hz is adopted to extract the heartbeat motion information of the user in the reflected signal.
6. A method for non-contact person identification using cardiac radar signals as in claim 1, wherein the phase demodulating the pre-conditioned reflected signals to obtain continuous reflected signals further comprises the steps of:
s31, demodulating the relative phase change delta sigma between the transmitting signal and the reflected signal by using an IQ phase demodulation technology;
s32, chest vibrations caused by the heart beat cause the phase between the reflected signal and the reference signal to change, and since the wavelength λ is known, the relative displacement Δ x is calculated.
7. A method of contactless person identification using cardiac radar signals according to claim 6, characterized in that the calculation formula of the relative phase change Δ σ is as follows:
Δσ=arg{(B5-B6)+j(B3-B4)};
in the formula:
B3—B4: a Q channel phase demodulation component; b is5—B6: an I-channel phase demodulation component; j: an imaginary symbol;
the calculation formula of the relative displacement Δ x is as follows:
Figure FDA0003120769140000021
in the formula:
Δ σ: the relative phase change of the reflected signal and the transmitted signal; λ: the wavelength of the signal.
8. A method for non-contact person identification using heart radar signals according to claim 1, wherein the algorithm of heart beat segmentation is applied to the continuous reflected signals, and obtaining the user's single heart beat further comprises the following steps:
s41, calculating minimum value points of the signals for each section of heartbeat signals;
s42, determining the shortest distance between the two minimum values;
and S43, performing heartbeat segmentation by using the minimum value.
9. A method of contactless person identification using cardiac radar signals according to claim 8, characterized in that said determining the shortest distance between two minima further comprises the steps of:
s421, performing autocorrelation calculation on each section of signal to estimate the average heart rate of the user;
and S422, taking the highest peak value in the time range of 0.45-1.45S as the average heart beat period between two continuous heart beats.
10. A method of non-contact person identification using cardiac radar signals as in claim 1 wherein the resampling a single beat of the user to a fixed sample length using a low pass filter and storing the resulting single beat of the user in a database for matching further comprises the steps of:
s51, resampling each heart beat to a uniform length n to obtain a single heart beat;
s52, inputting the single heart beat as an input signal into a trained machine learning model to classify the single heart beat;
s53, storing the single heartbeat of the user into a database for matching after the single heartbeat is extracted;
and S54, comparing the newly acquired single heartbeat signal with the data stored in the database to judge whether the access request is from an authorized user or a malicious attack.
CN202110675375.8A2021-06-182021-06-18Non-contact personnel identification method using cardiac radar signalsActiveCN113468989B (en)

Priority Applications (1)

Application NumberPriority DateFiling DateTitle
CN202110675375.8ACN113468989B (en)2021-06-182021-06-18Non-contact personnel identification method using cardiac radar signals

Applications Claiming Priority (1)

Application NumberPriority DateFiling DateTitle
CN202110675375.8ACN113468989B (en)2021-06-182021-06-18Non-contact personnel identification method using cardiac radar signals

Publications (2)

Publication NumberPublication Date
CN113468989Atrue CN113468989A (en)2021-10-01
CN113468989B CN113468989B (en)2024-11-01

Family

ID=77870335

Family Applications (1)

Application NumberTitlePriority DateFiling Date
CN202110675375.8AActiveCN113468989B (en)2021-06-182021-06-18Non-contact personnel identification method using cardiac radar signals

Country Status (1)

CountryLink
CN (1)CN113468989B (en)

Cited By (3)

* Cited by examiner, † Cited by third party
Publication numberPriority datePublication dateAssigneeTitle
CN114036483A (en)*2021-11-252022-02-11南京润楠医疗电子研究院有限公司 Identity authentication method and device based on bioradar detection of heartbeat signal
CN114259225A (en)*2021-12-152022-04-01中国电子科技南湖研究院Identity recognition method and system based on millimeter wave radar
CN116172566A (en)*2021-11-262023-05-30阿尔卑斯阿尔派株式会社 ECG signal processing method, device, storage medium and program product

Citations (4)

* Cited by examiner, † Cited by third party
Publication numberPriority datePublication dateAssigneeTitle
WO2012087332A1 (en)*2010-12-232012-06-28California Institute Of TechnologySystems and methods for remote long standoff biometric identification using microwave cardiac signals
WO2020004721A1 (en)*2018-06-272020-01-02유메인주식회사Method for measuring vital information by using ultra-wideband impulse radar signal
CN112336322A (en)*2020-11-042021-02-09珠海市海米软件技术有限公司Non-contact respiration or heartbeat detection method
CN112686094A (en)*2020-12-032021-04-20华中师范大学Non-contact identity recognition method and system based on millimeter wave radar

Patent Citations (4)

* Cited by examiner, † Cited by third party
Publication numberPriority datePublication dateAssigneeTitle
WO2012087332A1 (en)*2010-12-232012-06-28California Institute Of TechnologySystems and methods for remote long standoff biometric identification using microwave cardiac signals
WO2020004721A1 (en)*2018-06-272020-01-02유메인주식회사Method for measuring vital information by using ultra-wideband impulse radar signal
CN112336322A (en)*2020-11-042021-02-09珠海市海米软件技术有限公司Non-contact respiration or heartbeat detection method
CN112686094A (en)*2020-12-032021-04-20华中师范大学Non-contact identity recognition method and system based on millimeter wave radar

Non-Patent Citations (1)

* Cited by examiner, † Cited by third party
Title
郑晓娜: ""基于心电信号的身份识别方法研究"", 《中国优秀硕士学位论文全文数据库信息科技辑》, vol. 2015, no. 09, pages 19 - 43*

Cited By (4)

* Cited by examiner, † Cited by third party
Publication numberPriority datePublication dateAssigneeTitle
CN114036483A (en)*2021-11-252022-02-11南京润楠医疗电子研究院有限公司 Identity authentication method and device based on bioradar detection of heartbeat signal
CN116172566A (en)*2021-11-262023-05-30阿尔卑斯阿尔派株式会社 ECG signal processing method, device, storage medium and program product
CN114259225A (en)*2021-12-152022-04-01中国电子科技南湖研究院Identity recognition method and system based on millimeter wave radar
CN114259225B (en)*2021-12-152024-03-15中国电子科技南湖研究院Identity recognition method and system based on millimeter wave radar

Also Published As

Publication numberPublication date
CN113468989B (en)2024-11-01

Similar Documents

PublicationPublication DateTitle
Cao et al.PPGPass: Nonintrusive and secure mobile two-factor authentication via wearables
Karimian et al.Non-fiducial ppg-based authentication for healthcare application
Lin et al.Cardiac scan: A non-contact and continuous heart-based user authentication system
CA2835460C (en)System and method for enabling continuous or instantaneous identity recognition based on physiological biometric signals
Zheng et al.Finger-to-heart (F2H): Authentication for wireless implantable medical devices
US10869620B2 (en)Biometric identification by garments having a plurality of sensors
US9946942B2 (en)Method, apparatus and system for biometric identification
CN113468989A (en)Non-contact personnel identification method using heart radar signals
CA2586772C (en)Method and apparatus for electro-biometric identity recognition
Bhuva et al.A novel continuous authentication method using biometrics for IOT devices
Abdeldayem et al.ECG-based human authentication using high-level spectro-temporal signal features
US20200236545A1 (en)Method and system for non-contact motion-based user authentication
Wang et al.HeartPrint: Exploring a heartbeat-based multiuser authentication with single mmWave radar
Sufi et al.Polynomial distance measurement for ECG based biometric authentication
Dey et al.Electrocardiogram feature based inter-human biometric authentication system
Guennoun et al.Continuous authentication by electrocardiogram data
Raghavendra et al.Exploring dorsal finger vein pattern for robust person recognition
Liu et al.Cardiocam: Leveraging camera on mobile devices to verify users while their heart is pumping
CN114259225B (en)Identity recognition method and system based on millimeter wave radar
Shang et al.A usable authentication system using wrist-worn photoplethysmography sensors on smartwatches
CN113468494B (en)Non-contact heartbeat-based user identity continuous authentication method and system
Huang et al.Nf-heart: a near-field non-contact continuous user authentication system via ballistocardiogram
Wu et al.Continuous authentication via wrist photoplethysmogram: an extensive study
Pan et al.G-ppg: A gesture-related ppg-based two-factor authentication for wearable devices
KR101863840B1 (en)Authentication apparatutus based on ecg

Legal Events

DateCodeTitleDescription
PB01Publication
PB01Publication
SE01Entry into force of request for substantive examination
SE01Entry into force of request for substantive examination
GR01Patent grant
GR01Patent grant

[8]ページ先頭

©2009-2025 Movatter.jp