








技术领域technical field
本申请涉及计算机技术领域,特别涉及一种质量改进方法及装置、电子设备、计算机可读存储介质。The present application relates to the field of computer technology, in particular to a quality improvement method and device, electronic equipment, and a computer-readable storage medium.
背景技术Background technique
随着消费者对产品质量要求的提高,产品之间竞争的重点从价格逐渐转移到质量。在产品设计、制造和服务过程中,不可避免存在各种质量缺陷。电子商务销售渠道的爆炸式增长使得企业可以通过电商平台的在线评论及时了解消费者对其产品或服务的看法。评论数据中往往包含消费者最看重的需求以及最厌恶的缺陷。如何利用评论数据挖掘用于改进质量的信息是亟待解决的难题。With the improvement of consumers' requirements for product quality, the focus of competition between products has gradually shifted from price to quality. In the process of product design, manufacturing and service, there are inevitably various quality defects. The explosive growth of e-commerce sales channels allows companies to keep abreast of consumers' opinions on their products or services through online reviews on e-commerce platforms. The review data often contains the most important needs and the most disgusting defects of consumers. How to use review data to mine information for quality improvement is an urgent problem to be solved.
发明内容Contents of the invention
本申请实施例的目的在于提供一种质量改进方法及装置、电子设备、计算机可读存储介质,用于基于评论数据确定用于改进的措施。The purpose of the embodiments of the present application is to provide a quality improvement method and device, electronic equipment, and a computer-readable storage medium, for determining measures for improvement based on comment data.
一方面,本申请实施例提供了一种质量改进方法,包括:On the one hand, the embodiment of the present application provides a quality improvement method, including:
从多条评论数据中获取多个顾客需求特征词和多个产品缺陷特征词;Obtain multiple customer demand feature words and multiple product defect feature words from multiple comment data;
确定所述多个顾客需求特征词所属的多个需求主题,以及所述多个产品缺陷特征词所属的多个缺陷主题;Determining a plurality of demand topics to which the plurality of customer demand characteristic words belong, and a plurality of defect topics to which the plurality of product defect characteristic words belong;
通过有序回归分析对所述评论数据进行处理,确定各需求主题的第一重要度和各缺陷主题的第二重要度;Processing the review data through ordered regression analysis to determine the first importance of each demand theme and the second importance of each defect theme;
依据各需求主题的第一重要度、各缺陷主题的第二重要度、预设计算参数,确定多个纠正措施的重要度;Determine the importance of multiple corrective measures based on the first importance of each demand topic, the second importance of each defect topic, and preset calculation parameters;
将重要度最大的第一数量的纠正措施作为质量改进措施。The corrective action of the first quantity with the greatest importance is taken as the quality improvement measure.
在一实施例中,所述从多条评论数据中获取多个顾客需求特征词和多个产品缺陷特征词,包括:In one embodiment, said obtaining multiple customer demand feature words and multiple product defect feature words from multiple comment data includes:
针对每条评论数据分别进行分词处理,得到多个分词单元和分词单元的词性;Word segmentation processing is performed on each comment data to obtain multiple word segmentation units and parts of speech of the word segmentation units;
筛选出词性为目标词性的多个分词单元;Screen out multiple word segmentation units whose part of speech is the target part of speech;
依据Apriori算法对所述目标词性对应的多个分词单元进行筛选,获得指定分词单元;According to the Apriori algorithm, a plurality of word segmentation units corresponding to the target part of speech are screened to obtain the specified word segmentation unit;
通过缺陷词表将所述指定分词单元划分为多个顾客需求特征词和多个产品缺陷特征词。The specified word segmentation unit is divided into a plurality of characteristic words of customer needs and a plurality of characteristic words of product defects through the defect vocabulary.
在一实施例中,在所述依据Apriori算法对所述目标词性对应的多个分词单元进行筛选之前,所述方法还包括:In one embodiment, before the multiple word segmentation units corresponding to the target part of speech are screened according to the Apriori algorithm, the method also includes:
通过评估函数对所述目标词性对应的多个分词单元计算评估参数;Calculating evaluation parameters for multiple word segmentation units corresponding to the target part of speech through an evaluation function;
筛选出评估参数最大的第二数量的分词单元,以基于所述Apriori算法进行筛选。The word segmentation units with the second largest number of evaluation parameters are screened out to perform screening based on the Apriori algorithm.
在一实施例中,在所述通过缺陷词表将所述指定分词单元划分为多个顾客需求特征词和多个产品缺陷特征词之前,所述方法还包括:In one embodiment, before the defect vocabulary is used to divide the specified word segmentation unit into a plurality of customer demand characteristic words and a plurality of product defect characteristic words, the method further includes:
获取多个常规缺陷词和所述评论数据指示产品的多个特定缺陷词,并依据所述常规缺陷词和所述特定缺陷词构建初始缺陷词表;Obtaining a plurality of conventional defect words and a plurality of specific defect words of the product indicated by the review data, and constructing an initial defect vocabulary according to the conventional defect words and the specific defect words;
基于所述初始缺陷词表,根据词向量算法对所述多条评论数据进行处理,获得多个语料缺陷词,并将所述语料缺陷词放入所述初始缺陷词表,获得所述缺陷词表。Based on the initial defect vocabulary, process the plurality of comment data according to the word vector algorithm to obtain a plurality of corpus defect words, and put the corpus defect words into the initial defect vocabulary to obtain the defect words surface.
在一实施例中,所述确定所述多个顾客需求特征词所属的多个需求主题,以及所述多个产品缺陷特征词所属的多个缺陷主题,包括:In an embodiment, the determining the plurality of demand topics to which the plurality of customer demand characteristic words belong, and the plurality of defect topics to which the plurality of product defect characteristic words belong includes:
在预设的需求主题配置词库中查找与每个顾客需求特征词对应的需求主题,获得多个需求主题;Search the demand theme corresponding to each customer demand feature word in the preset demand theme configuration lexicon, and obtain multiple demand themes;
在预设的缺陷主题配置词库中查找与每个产品缺陷特征词对应的缺陷主题,获得多个缺陷主题。The defect subject corresponding to each product defect feature word is searched in the preset defect subject configuration lexicon to obtain multiple defect subjects.
在一实施例中,所述计算参数包括所述需求主题与所述缺陷主题之间的第一关系矩阵、所述缺陷主题与预设多个缺陷原因之间的第二关系矩阵、所述缺陷原因与预设多个纠正措施之间的第三关系矩阵;In an embodiment, the calculation parameters include a first relationship matrix between the requirement topic and the defect topic, a second relationship matrix between the defect topic and a plurality of preset defect causes, the defect A third relationship matrix between causes and preset multiple corrective actions;
所述依据各需求主题的第一重要度、各缺陷主题的第二重要度、预设计算参数,确定多个纠正措施的重要度,包括:The determination of the importance of multiple corrective measures based on the first importance of each demand topic, the second importance of each defect topic, and preset calculation parameters includes:
依据各需求主题的第一重要度、各缺陷主题的第二重要度、所述第一关系矩阵,确定各缺陷主题的第三重要度;determining the third importance of each defect topic according to the first importance of each requirement topic, the second importance of each defect topic, and the first relationship matrix;
依据各缺陷主题的第三重要度、所述第二关系矩阵,确定各缺陷原因的第四重要度;Determining the fourth importance of each defect cause according to the third importance of each defect theme and the second relationship matrix;
依据各缺陷原因的第四重要度、所述第三关系矩阵,确定各纠正措施的重要度。The importance of each corrective measure is determined according to the fourth importance of each defect cause and the third relationship matrix.
另一方面,本申请实施例还提供了一种质量改进装置,包括:On the other hand, the embodiment of the present application also provides a quality improvement device, including:
获取模块,用于从多条评论数据中获取多个顾客需求特征词和多个产品缺陷特征词;The acquisition module is used to obtain multiple customer demand feature words and multiple product defect feature words from multiple comment data;
第一确定模块,用于确定所述多个顾客需求特征词所属的多个需求主题,以及所述多个产品缺陷特征词所属的多个缺陷主题;The first determining module is used to determine a plurality of demand topics to which the plurality of customer demand characteristic words belong, and a plurality of defect topics to which the plurality of product defect characteristic words belong;
第二确定模块,用于通过有序回归分析对所述评论数据进行处理,确定各需求主题的第一重要度和各缺陷主题的第二重要度;The second determining module is used to process the review data through ordered regression analysis, and determine the first importance of each demand theme and the second importance of each defect theme;
第三确定模块,用于依据各需求主题的第一重要度、各缺陷主题的第二重要度、预设计算参数,确定多个纠正措施的重要度;The third determining module is used to determine the importance of multiple corrective measures according to the first importance of each demand topic, the second importance of each defect topic, and preset calculation parameters;
改进模块,用于将重要度最大的第一数量的纠正措施作为质量改进措施。The improvement module is configured to use the corrective measure of the first quantity with the greatest importance as the quality improvement measure.
在一实施例中,所述计算参数包括所述需求主题与所述缺陷主题之间的第一关系矩阵、所述缺陷主题与预设多个缺陷原因之间的第二关系矩阵、所述缺陷原因与预设多个纠正措施之间的第三关系矩阵;所述第三确定模块,还用于:In an embodiment, the calculation parameters include a first relationship matrix between the requirement topic and the defect topic, a second relationship matrix between the defect topic and a plurality of preset defect causes, the defect A third relationship matrix between the cause and a plurality of preset corrective measures; the third determination module is also used for:
依据各需求主题的第一重要度、各缺陷主题的第二重要度、所述第一关系矩阵,确定各缺陷主题的第三重要度;determining the third importance of each defect topic according to the first importance of each requirement topic, the second importance of each defect topic, and the first relationship matrix;
依据各缺陷主题的第三重要度、所述第二关系矩阵,确定各缺陷原因的第四重要度;Determining the fourth importance of each defect cause according to the third importance of each defect theme and the second relationship matrix;
依据各缺陷原因的第四重要度、所述第三关系矩阵,确定各纠正措施的重要度。The importance of each corrective measure is determined according to the fourth importance of each defect cause and the third relationship matrix.
进一步的,本申请实施例还提供了一种电子设备,所述电子设备包括:Further, the embodiment of the present application also provides an electronic device, and the electronic device includes:
处理器;processor;
用于存储处理器可执行指令的存储器;memory for storing processor-executable instructions;
其中,所述处理器被配置为执行上述质量改进方法。Wherein, the processor is configured to execute the above quality improvement method.
另外,本申请实施例还提供了一种计算机可读存储介质,所述存储介质存储有计算机程序,所述计算机程序可由处理器执行以完成上述质量改进方法。In addition, an embodiment of the present application further provides a computer-readable storage medium, the storage medium stores a computer program, and the computer program can be executed by a processor to complete the above quality improvement method.
本申请方案,从多个评论数据中获取多个顾客需求特征词和多个产品缺陷特征词,并依据顾客需求特征词确定多个需求主题,依据多个产品缺陷特征词确定多个缺陷主体,通过有序归回分析从评论数据中确定各需求主题的第一重要度和各缺陷主题的第二重要度之后,可以计算出预设多个纠正措施的重要度,从而选择重要度最大的第一数量的纠正措施作为质量改进措施;通过上述措施,可以从评论数据中挖掘出顾客最关注的需求和缺陷,并以此确定改进措施,从而可有效实现质量改进。The solution of this application is to obtain multiple customer demand feature words and multiple product defect feature words from multiple review data, and determine multiple demand topics based on customer demand feature words, and determine multiple defect subjects based on multiple product defect feature words, After determining the first importance of each requirement topic and the second importance of each defect topic from the review data through ordered regression analysis, the importance of preset multiple corrective measures can be calculated, so as to select the first priority with the greatest importance. Quantitative corrective measures are used as quality improvement measures; through the above measures, the needs and defects that customers are most concerned about can be excavated from the review data, and improvement measures can be determined based on this, so that quality improvement can be effectively realized.
附图说明Description of drawings
为了更清楚地说明本申请实施例的技术方案,下面将对本申请实施例中所需要使用的附图作简单地介绍。In order to illustrate the technical solutions of the embodiments of the present application more clearly, the following briefly introduces the drawings that are used in the embodiments of the present application.
图1为本申请一实施例提供的质量改进方法的应用场景示意图;FIG. 1 is a schematic diagram of an application scenario of a quality improvement method provided by an embodiment of the present application;
图2为本申请一实施例提供的电子设备的结构示意图;FIG. 2 is a schematic structural diagram of an electronic device provided by an embodiment of the present application;
图3为本申请一实施例提供的质量改进方法的流程示意图;FIG. 3 is a schematic flow diagram of a quality improvement method provided by an embodiment of the present application;
图4为本申请一实施例提供的特征词的获取方法的流程示意图;FIG. 4 is a schematic flow diagram of a method for acquiring feature words provided by an embodiment of the present application;
图5为本申请一实施例提供的纠正措施的重要度确定方法的流程示意图;FIG. 5 is a schematic flowchart of a method for determining the importance of corrective measures provided by an embodiment of the present application;
图6为本申请一实施例提供的缺陷报告质量屋的示意图;FIG. 6 is a schematic diagram of a defect report house of quality provided by an embodiment of the present application;
图7为本申请一实施例提供的缺陷原因分析质量屋的示意图;FIG. 7 is a schematic diagram of a defect cause analysis house of quality provided by an embodiment of the present application;
图8为本申请一实施例提供的纠正措施分析质量屋的示意图;FIG. 8 is a schematic diagram of a corrective measure analysis house of quality provided by an embodiment of the present application;
图9为本申请一实施例提供的质量改进装置的框图。Fig. 9 is a block diagram of a quality improvement device provided by an embodiment of the present application.
具体实施方式Detailed ways
下面将结合本申请实施例中的附图,对本申请实施例中的技术方案进行描述。The technical solutions in the embodiments of the present application will be described below with reference to the drawings in the embodiments of the present application.
相似的标号和字母在下面的附图中表示类似项,因此,一旦某一项在一个附图中被定义,则在随后的附图中不需要对其进行进一步定义和解释。同时,在本申请的描述中,术语“第一”、“第二”等仅用于区分描述,而不能理解为指示或暗示相对重要性。Like numbers and letters denote similar items in the following figures, so that once an item is defined in one figure, it does not require further definition and explanation in subsequent figures. Meanwhile, in the description of the present application, the terms "first", "second" and the like are only used to distinguish descriptions, and cannot be understood as indicating or implying relative importance.
图1为本申请实施例提供的质量改进方法的应用场景示意图。如图1所示,该应用场景包括服务端20和服务端30;服务端20可以是搭载购物网站的服务器、服务器集群或云计算中心,用于向服务端30提供购物网站上针对某一商品或某一服务的在线评论数据;服务端30可以是服务器、服务器集群或云计算中心,可以基于评论数据确定质量改进措施。FIG. 1 is a schematic diagram of an application scenario of a quality improvement method provided by an embodiment of the present application. As shown in Figure 1, the application scenario includes a
如图2所示,本实施例提供一种电子设备1,包括:至少一个处理器11和存储器12,图2中以一个处理器11为例。处理器11和存储器12通过总线10连接,存储器12存储有可被处理器11执行的指令,指令被处理器11执行,以使电子设备1可执行下述的实施例中方法的全部或部分流程。在一实施例中,电子设备1可以是上述服务端30,用于执行质量改进方法。As shown in FIG. 2 , this embodiment provides an
存储器12可以由任何类型的易失性或非易失性存储设备或者它们的组合实现,如静态随机存取存储器(Static Random Access Memory,简称SRAM),电可擦除可编程只读存储器(Electrically Erasable Programmable Read-Only Memory,简称EEPROM),可擦除可编程只读存储器(Erasable Programmable Read Only Memory,简称EPROM),可编程只读存储器(Programmable Red-Only Memory,简称PROM),只读存储器(Read-Only Memory,简称ROM),磁存储器,快闪存储器,磁盘或光盘。
本申请还提供了一种计算机可读存储介质,存储介质存储有计算机程序,计算机程序可由处理器11执行以完成本申请提供的质量改进方法。The present application also provides a computer-readable storage medium, the storage medium stores a computer program, and the computer program can be executed by the
参见图3,为本申请一实施例提供的质量改进方法的流程示意图,如图3所示,该方法可以包括以下步骤310-步骤350。Referring to FIG. 3 , it is a schematic flowchart of a quality improvement method provided by an embodiment of the present application. As shown in FIG. 3 , the method may include the following steps 310 - 350 .
步骤310:从多条评论数据中获取多个顾客需求特征词和多个产品缺陷特征词。Step 310: Obtain multiple characteristic words of customer needs and characteristic words of product defects from multiple pieces of review data.
其中,评论数据可以是电商平台上消费者购买产品后留下的在线评论,评论数据可以包括评论文本和评论打分。示例性的,对于手机的评论数据,评论文本可以是“做工精良,屏幕细腻,系统非常流畅”,评论打分可以是五分制中的五分。Wherein, the review data may be online reviews left by consumers on the e-commerce platform after purchasing products, and the review data may include review text and review scores. Exemplarily, for the review data of a mobile phone, the review text may be "excellent workmanship, delicate screen, and very smooth system", and the review score may be five out of five.
顾客需求特征词可以是用于说明顾客需求的词汇。示例性的,对于电子产品,顾客需求特征词可以包括“价格”、“便宜”、“打折”、“手写”、“录音机”、“电池质量”、“音效”、“耳机”等。Characteristic words of customer needs may be words used to describe customer needs. Exemplarily, for electronic products, the feature words of customer needs may include "price", "cheap", "discount", "handwriting", "recorder", "battery quality", "sound effect", "earphone" and so on.
产品缺陷特征词可以是用于说明产品缺陷的词汇。示例性的,对于电子产品,产品缺陷特征词可以包括“漏电”、“死机”、“蓝屏”、“无法开机”、“散热差”、“做工差”、“坏点”等。The product defect feature words may be words used to describe product defects. Exemplarily, for electronic products, the characteristic words of product defects may include "leakage", "crash", "blue screen", "unable to boot", "poor heat dissipation", "poor workmanship", "dead pixel" and so on.
针对一款产品,服务端可以从电商平台获取该产品的多条评论数据,并从评论数据的评论文本中获取多个顾客需求特征词和多个产品缺陷特征词。For a product, the server can obtain multiple pieces of review data for the product from the e-commerce platform, and obtain multiple customer demand feature words and multiple product defect feature words from the review text of the review data.
步骤320:确定多个顾客需求特征词所属的多个需求主题,以及多个产品缺陷特征词所属的多个缺陷主题。Step 320: Determine the multiple demand topics to which the multiple customer demand feature words belong, and the multiple defect topics to which the multiple product defect feature words belong.
其中,需求主题是概括顾客需求特征词的类别信息,不同顾客需求特征词可以属于同一需求主题。缺陷主题是概括产品缺陷特征词的类别信息,不同产品缺陷特征词可以属于同一缺陷主题。Wherein, the demand subject is category information summarizing the characteristic words of customer demand, and different characteristic words of customer demand may belong to the same demand subject. Defect topic is the category information that summarizes product defect feature words, and different product defect feature words can belong to the same defect topic.
服务端可以判断每个顾客需求特征词所属的需求主题,从而得到多个需求主题。服务端可以判断每个产品缺陷词所属的缺陷主题,从而得到多个缺陷主题。The server can determine the demand topic to which each customer demand feature word belongs, thereby obtaining multiple demand topics. The server can determine the defect topic to which each product defect word belongs, thereby obtaining multiple defect topics.
示例性的,对于电子产品,需求主题可以包括“价格”、“外观”、“功能”、“屏幕”、“电池”、“音质”、“硬件”、“软件”、“服务”、“配件”等;缺陷主题可以包括“漏电”、“死机”、“失灵”、“屏幕无显示”、“无法开机”、“无法上网”、“屏幕差”、“做工差”、“键盘差”、“散热不好”、“速度慢”等。Exemplarily, for electronic products, demand topics may include "price", "appearance", "function", "screen", "battery", "sound quality", "hardware", "software", "service", "accessory ", etc.; defect topics can include "leakage", "crash", "failure", "no display on the screen", "unable to boot", "unable to access the Internet", "poor screen", "poor workmanship", "poor keyboard", "The heat dissipation is not good", "the speed is slow" and so on.
步骤330:通过有序回归分析对评论数据进行处理,确定各需求主题的第一重要度和各缺陷主题的第二重要度。Step 330: Process the review data through ordered regression analysis to determine the first importance of each requirement topic and the second importance of each defect topic.
服务端可以依据评论数据中各需求主题所对应的顾客需求特征词的出现频次、各缺陷主题对应的产品缺陷特征词的出现频次、各顾客需求特征词对应的情感值、以及评论数据中的评论打分构建数据集,并对数据集进行有序回归分析,确定各需求主题的第一重要度和各缺陷主题的第二重要度。The server can base on the occurrence frequency of customer demand feature words corresponding to each demand theme in the review data, the frequency of occurrence of product defect feature words corresponding to each defect theme, the emotional value corresponding to each customer demand feature word, and the comment data in the review data. Score and construct a data set, and perform an ordered regression analysis on the data set to determine the first importance of each requirement topic and the second importance of each defect topic.
其中,顾客需求特征词的情感值可以依据其在评论文本上下文的词汇确定;若顾客需求特征词在评论文本上下文的词汇出现在预设积极情感词表,则顾客需求特征词的情感值为1分;若顾客需求特征词在评论文本上下文的词汇出现在预设消极情感词表,则顾客需求特征词的情感值为-1分。Among them, the emotional value of the customer demand characteristic words can be determined according to the vocabulary in the context of the review text; if the vocabulary of the customer demand characteristic words in the review text context appears in the preset positive emotional vocabulary, the emotional value of the customer demand characteristic words is 1 points; if the vocabulary of customer demand feature words in the review text context appears in the preset negative emotion vocabulary, the sentiment value of customer demand feature words is -1 point.
步骤340:依据各需求主题的第一重要度、各缺陷主题的第二重要度、预设计算参数,确定多个纠正措施的重要度。Step 340: Determine the importance of multiple corrective measures according to the first importance of each requirement topic, the second importance of each defect topic, and preset calculation parameters.
在确定各需求主题的第一重要度和各缺陷主题的第二重要度之后,服务端可以依据计算参数,确定预设多个纠正措施对应的重要度。这里,纠正措施可以是针对产品生产过程各个阶段的改进措施。示例性的,纠正措施可以包括“加强技能培训”、“采取激励机制”、“定期维护设备”“加强检测方法效果”、“监督生产过程”、“使用控制图管理”、“采用5S管理”、“加强监督工作”、“制定合理的抽样方法”、“企业产品”、“竞争产品”、“改进产品”等。After determining the first importance of each requirement topic and the second importance of each defect topic, the server can determine the corresponding importance of multiple preset corrective measures according to the calculation parameters. Here, corrective measures can be improvement measures for various stages of the product production process. Exemplary, corrective measures may include "strengthening skill training", "adopting incentive mechanism", "regularly maintaining equipment", "enhancing the effect of detection methods", "supervising the production process", "using control chart management", "using 5S management" , "strengthening supervision work", "developing reasonable sampling methods", "enterprise products", "competitive products", "improved products", etc.
步骤350:将重要度最大的第一数量的纠正措施作为质量改进措施。Step 350: Take the first number of corrective measures with the greatest importance as quality improvement measures.
在确定每一纠正措施对应的重要度之后,服务端可以依据重要度从大到小的顺序对多个纠正措施进行排序,并选择重要度最大的第一数量的纠正措施,作为质量改进措施。其中,第一数量可以是预配置的经验值。After determining the importance corresponding to each corrective measure, the server can sort the multiple corrective measures in descending order of importance, and select the first corrective measure with the highest importance as the quality improvement measure. Wherein, the first quantity may be a preconfigured experience value.
示例性的,服务端基于重要度对纠正措施排序后,从中选择重要度最大的3个纠正措施作为质量改进措施,并可向用户终端(比如:手机、平板电脑、计算机等)输出上述质量改进措施,从而提示用户基于上述质量改进措施对产品质量进行改进。Exemplarily, after the server sorts the corrective measures based on the importance, the three corrective measures with the highest importance are selected as quality improvement measures, and the above-mentioned quality improvement measures can be output to the user terminal (such as: mobile phone, tablet computer, computer, etc.) Measures, thereby prompting users to improve product quality based on the above quality improvement measures.
通过上述措施,可以从大量评论数据中挖掘出用于改进质量的顾客需求特征词和产品缺陷特征词,在确定顾客需求特征词所属需求主题和产品缺陷特征词所属缺陷主题之后,从评论数据中确定各需求主题和缺陷主题的重要度,从而可以确定各纠正措施的重要度,进而选择重要度大的若干纠正措施作为质量改进措施。Through the above measures, it is possible to mine customer demand feature words and product defect feature words for quality improvement from a large amount of review data. Determine the importance of each requirement topic and defect topic, so as to determine the importance of each corrective measure, and then select several corrective measures with high importance as quality improvement measures.
在一实施例中,参见图4,为本申请一实施例提供的特征词的获取方法的流程示意图,如图4所示,服务端在执行步骤310时,可以执行如下步骤311-步骤314。In an embodiment, refer to FIG. 4 , which is a schematic flowchart of a method for acquiring feature words provided in an embodiment of the present application. As shown in FIG. 4 , when the server executes
步骤311:针对每条评论数据分别进行分词处理,得到多个分词单元和分词单元的词性。Step 311: Perform word segmentation processing for each piece of comment data to obtain multiple word segmentation units and parts of speech of the word segmentation units.
服务端可以通过分词算法对每条评论数据中的评论文本进行分词处理,从而得到多个分词单元和分词单元的词性。这里,分词单元是分词得到的最小结果。分词算法可以是BERT(Bidirectional Encoder Representations from Transformers)+CRF(ConditionalRandom Field Algorithm,条件随机场算法)。The server can perform word segmentation processing on the comment text in each piece of comment data through a word segmentation algorithm, so as to obtain multiple word segmentation units and parts of speech of the word segmentation units. Here, the word segmentation unit is the minimum result obtained by word segmentation. The word segmentation algorithm can be BERT (Bidirectional Encoder Representations from Transformers) + CRF (Conditional Random Field Algorithm, conditional random field algorithm).
步骤312:筛选出词性为目标词性的多个分词单元。Step 312: Screen out multiple word segmentation units whose part of speech is the target part of speech.
其中,目标词性是与顾客需求或产品缺陷关联密切的词性,目标词性可以是名称、形容词和动词中一种或多种的组合。Among them, the target part of speech is a part of speech closely related to customer needs or product defects, and the target part of speech can be a combination of one or more of names, adjectives and verbs.
服务端可以筛选出词性为目标词性的分词单元,并将其它词性的分词单元进行过滤。The server can filter out word segmentation units whose part of speech is the target part of speech, and filter word segmentation units of other parts of speech.
步骤313:依据Apriori算法对目标词性对应的多个分词单元进行筛选,获得指定分词单元。Step 313: According to the Apriori algorithm, a plurality of word segmentation units corresponding to the target part of speech are screened to obtain a specified word segmentation unit.
服务端可以基于Apriori算法来实现关联挖掘,可以从满足预设最小支持度的事务集合中生成规则找到频繁项集。这里,事务集合是评论文本集合;频繁项集为分词单元集合。服务端根据预设的最小支持度、最小领域支持度和独立支持度,从频繁项集筛选出高频的、能够表达关键产品特征的分词单元,构成关键项集。关键项集中的分词单元可认为是指定分词单元。The server can implement association mining based on the Apriori algorithm, and can generate rules to find frequent itemsets from transaction sets that meet the preset minimum support. Here, the transaction collection is a collection of comment texts; the frequent itemset is a collection of word segmentation units. According to the preset minimum support, minimum domain support, and independent support, the server screens out high-frequency word segmentation units that can express key product features from frequent item sets to form key item sets. The word segmentation units in the key item set can be considered as specified word segmentation units.
步骤314:通过缺陷词表将指定分词单元划分为多个顾客需求特征词和多个产品缺陷特征词。Step 314: Divide the designated word segmentation unit into a plurality of characteristic words of customer needs and a plurality of characteristic words of product defects through the defect vocabulary.
其中,缺陷词表包含大量表示缺陷的词汇。Among them, the defect vocabulary contains a large number of words representing defects.
服务端可以在缺陷词表中查找每一指定分词单元,一方面,若查到该指定分词单元,则该指定分词单元为产品缺陷特征词;另一方面,若未查到该指定分词单元,则该指定分词单元为顾客需求特征词。The server can search for each specified word segmentation unit in the defect vocabulary. On the one hand, if the specified word segmentation unit is found, then the specified word segmentation unit is a product defect feature word; on the other hand, if the specified word segmentation unit is not found, Then the designated word segmentation unit is a characteristic word of customer demand.
通过上述措施,可以从评论数据中提取得到顾客需求特征词和产品缺陷特征词。Through the above measures, the feature words of customer needs and product defects can be extracted from the review data.
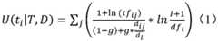
在一实施例中,服务端在依据Apriori算法对目标词性对应的多个分词单元进行筛选之前,还可以通过评估函数对目标词性对应的多个分词单元计算评估参数。这里,评估函数可以用于评估分词单元在评论数据中的重要程度。示例性的,评估函数可通过如下公式(1)来表示:In an embodiment, before the server screens the multiple word segmentation units corresponding to the target part of speech according to the Apriori algorithm, it may also calculate evaluation parameters for the multiple word segmentation units corresponding to the target part of speech through an evaluation function. Here, the evaluation function can be used to evaluate the importance of word segmentation units in the review data. Exemplarily, the evaluation function can be expressed by the following formula (1):
其中,T表示词性为目标词性的分词单元的集合;D表示评论数据中评论文本的集合;ti表示第i个分词单元;g为预设常数,可以是0.2;tfij是分词单元ti出现在评论文本dj中的概率;dij是指评论文本dj的长度;为集合D中评论文本的平均长度;dfi表示包含分词单元ti的评论文本的数量;I为所有评论文本中词的个数。Among them, T represents the set of word segmentation units whose part of speech is the target part of speech; D represents the set of comment text in the comment data; ti represents the i-th word segmentation unit; g is a preset constant, which can be 0.2; tfij is the word segmentation unit ti The probability of appearing in the comment text dj ; dij refers to the length of the comment text dj ; is the average length of comment text in set D; dfi represents the number of comment texts containing word segmentation unit ti ; I is the number of words in all comment texts.
在计算出各分词单元的评估参数后,服务端可以依据评估参数的大小对分词单元进行排序,并筛选出评估参数最大的第二数量的分词单元。这里,第二数量可以是预配置的经验值。示例性的,第二数量可以是5000,服务端可以从所有词性为目标词性的分词单元中,选择评估参数最大的5000个分词单元。After calculating the evaluation parameters of each word segmentation unit, the server can sort the word segmentation units according to the size of the evaluation parameters, and filter out the second number of word segmentation units with the largest evaluation parameters. Here, the second quantity may be a preconfigured experience value. Exemplarily, the second number may be 5000, and the server may select 5000 word segmentation units with the largest evaluation parameters from all word segmentation units whose part of speech is the target part of speech.
后续服务端可以基于Apriori算法对第二数量的分词单元进行进一步筛选。The subsequent server may further screen the second number of word segmentation units based on the Apriori algorithm.
通过上述措施,服务端可以从所有词性为目标词性的分词单元中进行筛选,从而降低后续通过Apriori算法筛选的计算量。Through the above measures, the server can filter all word segmentation units whose part of speech is the target part of speech, thereby reducing the calculation amount for subsequent screening by the Apriori algorithm.
在一实施例中,服务端在通过缺陷词表对指定分词单元进行划分之前,可以生成缺陷词表。In an embodiment, the server may generate the defect vocabulary before dividing the specified word segmentation unit through the defect vocabulary.
服务端可以获取多个常规缺陷词和评论数据指示产品的多个特定缺陷词。这里,常规缺陷词可以是描述产品缺陷的一般词汇;特定缺陷词可以是行业专家提供的能够更准确描述产品特定部位缺陷的词汇。服务端可以依据多个常规缺陷词和多个特定缺陷词构成初始缺陷词表。The server can acquire a plurality of general defect words and a plurality of specific defect words indicating products in the review data. Here, the general defect words may be general words describing product defects; the specific defect words may be words provided by industry experts that can more accurately describe defects in specific parts of the product. The server can form an initial defect vocabulary based on a plurality of general defect words and a plurality of specific defect words.
服务端可以基于初始缺陷词表,根据词向量算法对多个评论数据进行处理,获得多个语料缺陷词。其中,词向量算法可以是Word2vec(word to vector)算法。服务端可以基于词向量算法对初始缺陷词表中的常规缺陷词和特定缺陷词计算词向量,并将多个评论数据作为语料属于词向量算法,通过词向量算法从评论数据中识别出与已计算出的词向量近似的新词,作为语料缺陷词。服务端可以将从评论数据中识别出的语料缺陷词放入初始缺陷词表,从而得到缺陷词表。Based on the initial defect vocabulary, the server can process multiple comment data according to the word vector algorithm to obtain multiple corpus defect words. Wherein, the word vector algorithm may be Word2vec (word to vector) algorithm. Based on the word vector algorithm, the server can calculate the word vectors for the general defect words and specific defect words in the initial defect vocabulary, and use multiple comment data as corpus to belong to the word vector algorithm. The new words that are approximated by the calculated word vectors are used as corpus-deficit words. The server can put the defective words in the corpus identified from the comment data into the initial defective vocabulary, so as to obtain the defective vocabulary.
在一实施例中,服务端在执行步骤320时,可以在预设的需求主题配置词库中查找与每个顾客需求特征词对应的需求主题,从而获得多个需求主题。其中,需求主题配置词库包括多个需求主题,以及对应于每一需求主题的顾客需求特征词。参见如下表1,为本申请示出的一种需求主题配置词库:In one embodiment, when the server executes
表1Table 1
针对每个顾客需求特征词,服务端可以在需求主题配置词库中查找该顾客需求特征词对应的需求主题。对每个顾客需求特征词进行查找后,可以确定所有顾客需求特征词对应的所有需求主题。服务端确定的需求主题可以与需求主题配置词库中所有需求主题一致,也可能少于需求主题配置词库中的需求主题。For each characteristic word of customer demand, the server can search the demand subject corresponding to the characteristic word of customer demand in the demand subject configuration dictionary. After searching each characteristic word of customer demand, all demand topics corresponding to all characteristic words of customer demand can be determined. The requirement subject determined by the server may be consistent with all requirement subjects in the requirement subject configuration lexicon, or may be less than the requirement subjects in the requirement subject configuration lexicon.
服务端可以在预设的缺陷主题配置词库中查找与每个产品缺陷特征词对应的缺陷主题,从而获得多个缺陷主题。其中,缺陷主题配置词库包括多个缺陷主题,以及对应于每一缺陷主题的产品缺陷特征词。参见如下表2,为本申请示出的一种缺陷主题配置词库:The server can search for a defect subject corresponding to each product defect feature word in a preset defect subject configuration dictionary, thereby obtaining multiple defect subjects. Wherein, the defect subject configuration lexicon includes a plurality of defect subjects, and product defect feature words corresponding to each defect subject. See Table 2 below to configure the thesaurus for a defect topic shown in this application:
表2Table 2
针对每个产品缺陷特征词,服务端可以在缺陷主题配置词库中查找该产品缺陷特征词对应的缺陷主题。对每个产品缺陷特征词进行查找后,可以确定所有产品缺陷特征词对应的所有缺陷主题。服务端确定的缺陷主题可以与缺陷主题配置词库中给所有缺陷主题一致,也可能少于缺陷主题配置词库中的缺陷主题。For each product defect feature word, the server can search the defect topic corresponding to the product defect feature word in the defect topic configuration dictionary. After searching each product defect feature word, all defect topics corresponding to all product defect feature words can be determined. The defect topics determined by the server may be consistent with all defect topics in the defect topic configuration lexicon, or may be less than the defect topics in the defect topic configuration lexicon.
在一实施例中,计算参数可以包括需求主题与缺陷主题之间的第一关系矩阵、缺陷主题与预设多个缺陷原因之间的第二关系矩阵、缺陷原因与预设多个纠正措施之间的第三关系矩阵。In one embodiment, the calculation parameters may include a first relationship matrix between a requirement topic and a defect topic, a second relationship matrix between a defect topic and a plurality of preset defect causes, and a relationship between a defect cause and a plurality of preset corrective measures. The third relationship matrix between.
参见图5,为本申请一实施例提供的纠正措施的重要度确定方法的流程示意图,如图5所示,该方法包括以下步骤341-步骤343。Referring to FIG. 5 , it is a schematic flowchart of a method for determining the importance of corrective measures provided by an embodiment of the present application. As shown in FIG. 5 , the method includes the following steps 341 - 343 .
步骤341:依据各需求主题的第一重要度、各缺陷主题的第二重要度、第一关系矩阵,确定各缺陷主题的第三重要度。Step 341: Determine the third importance of each defect topic according to the first importance of each requirement topic, the second importance of each defect topic, and the first relationship matrix.
其中,第一关系矩阵表示每个需求主题和每个缺陷主题之间的关系程度,关系程度可以包括“强”、“中”、“弱”三种。Wherein, the first relationship matrix represents the degree of relationship between each requirement topic and each defect topic, and the degree of relationship may include three types: "strong", "medium" and "weak".
服务端可以在预设缺陷报告质量屋中填入各需求主题的第一重要度、各缺陷主体的第二重要度、各需求主题与各缺陷主体之间的关系程度,进而计算出各缺陷主题的第三重要度。The server can fill in the first importance of each requirement topic, the second importance of each defect subject, and the relationship between each requirement topic and each defect subject in the preset defect report house of quality, and then calculate the defect subject the third degree of importance.
针对任一缺陷主题,服务端可以依据该缺陷主题与各个需求主题之间的关系程度,确定该缺陷主题下各需求主题的权重系数。这里,不同关系程度对应的权重系数可以预先配置。示例性的,关系程度“强”对应的权重系数为3、关系程度“中”对应的权重系数为2、关系程度“强”对应的权重系数为1。服务端可以基于不同需求主题的权重系数对需求主题的第一重要度加权求和,并以加权求和结果与该缺陷主题的第二重要度相乘,获得缺陷主题的第三重要度。For any defect topic, the server can determine the weight coefficient of each requirement topic under the defect topic according to the degree of relationship between the defect topic and each requirement topic. Here, the weight coefficients corresponding to different relationship degrees can be pre-configured. Exemplarily, the weight coefficient corresponding to the relationship degree "strong" is 3, the weight coefficient corresponding to the relationship degree "medium" is 2, and the weight coefficient corresponding to the relationship degree "strong" is 1. The server can weight and sum the first importance of the demand topic based on the weight coefficients of different demand topics, and multiply the weighted summation result by the second importance of the defect topic to obtain the third importance of the defect topic.
参见图6,为本申请一实施例提供的缺陷报告质量屋的示意图,如图6所示,缺陷报告质量屋的左墙填入了各需求主体的第一重要度,天花板填入了各缺陷主体的第二重要度,“产品缺陷重要度”一栏为计算出的第三重要度。Referring to Figure 6, it is a schematic diagram of the defect report quality house provided by an embodiment of the present application. As shown in figure 6, the left wall of the defect report quality house is filled with the first importance of each demand subject, and the ceiling is filled with each defect The second degree of importance of the subject, and the column of "Importance of Product Defects" is the calculated third degree of importance.
以图6说明计算过程,关系程度“强”对应的权重系数为3、关系程度“中”对应的权重系数为2、关系程度“强”对应的权重系数为1,缺陷主题“漏电”与需求主题“外观”的关系程度为“中”,对应的权重系数为2;缺陷主题“漏电”与需求主题“音质”的关系程度为“强”,对应的权重系数为3;缺陷主题“漏电”与需求主题“硬件”的关系程度为“强”,对应的权重系数为3;缺陷主题“漏电”与需求主题“服务”的关系程度为“弱”,对应的权重系数为1。缺陷主题“漏电”的第三重要度为(0.938*2+1.322*3+1.058*3+2.243*1)*2.543=28.6。The calculation process is illustrated in Figure 6. The weight coefficient corresponding to the relationship degree "strong" is 3, the weight coefficient corresponding to the relationship degree "medium" is 2, and the weight coefficient corresponding to the relationship degree "strong" is 1. The defect topic "leakage" and demand The relationship degree of the theme "appearance" is "medium", and the corresponding weight coefficient is 2; the relationship degree between the defect theme "leakage" and the demand theme "sound quality" is "strong", and the corresponding weight factor is 3; the defect theme "leakage" The degree of relationship with the requirement topic "hardware" is "strong", and the corresponding weight coefficient is 3; the degree of relationship between the defect topic "leakage" and the requirement topic "service" is "weak", and the corresponding weight coefficient is 1. The third degree of importance of the defect topic "leakage" is (0.938*2+1.322*3+1.058*3+2.243*1)*2.543=28.6.
步骤342:依据各缺陷主题的第三重要度、第二关系矩阵,确定各缺陷原因的第四重要度。Step 342: Determine the fourth importance of each defect cause according to the third importance of each defect topic and the second relationship matrix.
其中,第二关系矩阵表示每个缺陷主题和每个缺陷原因之间的关系程度,关系程度可以包括“强”、“中”、“弱”三种。Wherein, the second relationship matrix indicates the degree of relationship between each defect subject and each defect cause, and the degree of relationship may include three types: "strong", "medium" and "weak".
服务端可以在预设缺陷原因分析质量屋中填入各缺陷主题的第三重要度、各缺陷主题和各缺陷原因之间的关系程度,进而计算出各缺陷原因的第四重要度。The server can fill in the third importance of each defect topic, the relationship between each defect topic and each defect cause in the preset defect cause analysis house of quality, and then calculate the fourth importance of each defect cause.
针对任一缺陷原因,服务端可以依据该缺陷原因与各个缺陷主题之间的关系程度,确定该缺陷原因下各缺陷主题的权重系数。这里,不同关系程度对应的权重系数可以预先配置。示例性的,关系程度“强”对应的权重系数为3、关系程度“中”对应的权重系数为2、关系程度“强”对应的权重系数为1。服务端可以基于不同缺陷主题的权重系数对缺陷主题的第三重要度进行加权求和,从而得到缺陷原因的第四重要度。For any defect cause, the server can determine the weight coefficient of each defect topic under the defect cause according to the degree of relationship between the defect cause and each defect topic. Here, the weight coefficients corresponding to different relationship degrees can be pre-configured. Exemplarily, the weight coefficient corresponding to the relationship degree "strong" is 3, the weight coefficient corresponding to the relationship degree "medium" is 2, and the weight coefficient corresponding to the relationship degree "strong" is 1. The server can weight and sum the third importance of the defect topic based on the weight coefficients of different defect topics, so as to obtain the fourth importance of the defect cause.
图7为本申请一实施例提供的缺陷原因分析质量屋的示意图,如图7所示,缺陷原因分析质量屋的左墙填入了各缺陷主题的第三重要度,“缺陷原因重要度”一栏为计算出的第四重要度。Fig. 7 is a schematic diagram of the defect cause analysis house of quality provided by an embodiment of the present application. As shown in Fig. 7, the left wall of the defect cause analysis house of quality is filled with the third importance degree of each defect subject, "importance degree of defect cause" One column is the calculated fourth importance.
以图7说明计算过程,关系程度“强”对应的权重系数为3、关系程度“中”对应的权重系数为2、关系程度“强”对应的权重系数为1。缺陷原因“缺乏专业技能”与各缺陷主题“漏电”、“死机”、“失灵”、“屏幕无显示”、“无法开机”、“无法上网”、“屏幕差”、“做工差”、“散热不好”的关系程度分别为“强”、“强”、“中”、“弱”、“强”、“中”、“弱”、“弱”、“弱”,在这种情况下,缺陷原因“缺乏专业技能”的第四重要度为28.6*3+9.5*3+16*2+34.4*1+25.1*3+21.5*2+15.9*1+20.9*1+9.3*1=345.1。The calculation process is illustrated in Figure 7. The weight coefficient corresponding to the degree of relationship "strong" is 3, the weight coefficient corresponding to the degree of relationship "medium" is 2, and the weight coefficient corresponding to the degree of relationship "strong" is 1. Defect reason "lack of professional skills" and each defect theme "leakage", "crash", "failure", "no display on the screen", "unable to boot", "unable to access the Internet", "poor screen", "poor workmanship", " The degree of relationship of poor heat dissipation is "strong", "strong", "medium", "weak", "strong", "medium", "weak", "weak", "weak", in this case , the fourth importance of defect cause "lack of professional skills" is 28.6*3+9.5*3+16*2+34.4*1+25.1*3+21.5*2+15.9*1+20.9*1+9.3*1= 345.1.
步骤343:依据各缺陷原因的第四重要度、第三关系矩阵,确定各纠正措施的重要度。Step 343: Determine the importance of each corrective measure according to the fourth importance of each defect cause and the third relationship matrix.
其中,第三关系矩阵表示每个缺陷原因与每个纠正措施之间的关系程度,关系程度可以包括“强”、“中”、“弱”三种。Wherein, the third relationship matrix indicates the degree of relationship between each defect cause and each corrective measure, and the degree of relationship can include three types: "strong", "medium" and "weak".
服务端可以在预设纠正措施分析质量屋中填入各缺陷原因的第四重要度、各缺陷原因与各纠正措施之间的关系程度,进而计算出各纠正措施的重要度。The server can fill in the fourth importance of each defect cause and the relationship between each defect cause and each corrective measure in the preset corrective measure analysis house of quality, and then calculate the importance of each corrective measure.
针对任一纠正措施,服务端可以依据该纠正措施与各个缺陷原因之间的关系程度,确定该纠正措施下各缺陷原因的权重系数。这里,不同关系程度对应的权重系数可以预先配置。示例性的,关系程度“强”对应的权重系数为3、关系程度“中”对应的权重系数为2、关系程度“强”对应的权重系数为1。服务端可以基于不通过缺陷原因的权重系数对缺陷原因的第四重要度进行加权求和,从而得到纠正措施的重要度。For any corrective measure, the server can determine the weight coefficient of each defect cause under the corrective measure according to the degree of relationship between the corrective measure and each defect cause. Here, the weight coefficients corresponding to different relationship degrees can be pre-configured. Exemplarily, the weight coefficient corresponding to the relationship degree "strong" is 3, the weight coefficient corresponding to the relationship degree "medium" is 2, and the weight coefficient corresponding to the relationship degree "strong" is 1. The server can perform a weighted summation of the fourth importance of the cause of the defect based on the weight coefficient of the cause of the defect that does not pass, so as to obtain the importance of the corrective measures.
图8为本申请一实施例提供的纠正措施分析质量屋的示意图,如图所示,纠正措施分析质量屋的左墙填入了各缺陷原因的第四重要度,“纠正措施重要度”一栏为计算出的各纠正措施的重要度。Fig. 8 is a schematic diagram of the House of Quality for Corrective Action Analysis provided by an embodiment of the present application. As shown in the figure, the left wall of the House of Quality for Corrective Action Analysis is filled with the fourth importance of each defect cause, and "Importance of Corrective Measures" The column is the calculated importance of each corrective action.
以图8说明计算过程,关系程度“强”对应的权重系数为3、关系程度“中”对应的权重系数为2、关系程度“强”对应的权重系数为1。纠正措施“加强技能培训”与各缺陷原因“缺乏专业技能”、“操作不规范”、“设备老化”、“工艺设计不完善”、“工艺参数不当”、“监督工作不严格”的关系程度分别为“强”、“弱”、“弱”、“强”、“强”、“弱”,纠正措施“加权技能培训”的重要度为345.1*3+442*1+155.9*1+205.7*3+114.7*3+330.6*1=2925。Figure 8 is used to illustrate the calculation process. The weight coefficient corresponding to the degree of relationship "strong" is 3, the weight coefficient corresponding to the degree of relationship "medium" is 2, and the weight coefficient corresponding to the degree of relationship "strong" is 1. The degree of relationship between the corrective measures "strengthening skills training" and the causes of defects "lack of professional skills", "irregular operation", "aging equipment", "imperfect process design", "improper process parameters" and "not strict supervision" They are "Strong", "Weak", "Weak", "Strong", "Strong", and "Weak", respectively, and the importance of the corrective action "weighted skill training" is 345.1*3+442*1+155.9*1+205.7 *3+114.7*3+330.6*1=2925.
图9是本发明一实施例的一种质量改进装置的框图,如图9所示,该装置可以包括:Fig. 9 is a block diagram of a quality improvement device according to an embodiment of the present invention. As shown in Fig. 9, the device may include:
获取模块910,用于从多条评论数据中获取多个顾客需求特征词和多个产品缺陷特征词;An
第一确定模块920,用于确定所述多个顾客需求特征词所属的多个需求主题,以及所述多个产品缺陷特征词所属的多个缺陷主题;The first determining
第二确定模块930,用于通过有序回归分析对所述评论数据进行处理,确定各需求主题的第一重要度和各缺陷主题的第二重要度;The second determining
第三确定模块940,用于依据各需求主题的第一重要度、各缺陷主题的第二重要度、预设计算参数,确定多个纠正措施的重要度;The third determining
改进模块950,用于将重要度最大的第一数量的纠正措施作为质量改进措施。An
在一实施例中,改进模块950,还用于:In one embodiment, the
依据各需求主题的第一重要度、各缺陷主题的第二重要度、所述第一关系矩阵,确定各缺陷主题的第三重要度;determining the third importance of each defect topic according to the first importance of each requirement topic, the second importance of each defect topic, and the first relationship matrix;
依据各缺陷主题的第三重要度、所述第二关系矩阵,确定各缺陷原因的第四重要度;Determining the fourth importance of each defect cause according to the third importance of each defect theme and the second relationship matrix;
依据各缺陷原因的第四重要度、所述第三关系矩阵,确定各纠正措施的重要度。The importance of each corrective measure is determined according to the fourth importance of each defect cause and the third relationship matrix.
上述装置中各个模块的功能和作用的实现过程具体详见上述质量改进方法中对应步骤的实现过程,在此不再赘述。For the realization process of the functions and effects of each module in the above-mentioned device, please refer to the realization process of the corresponding steps in the above-mentioned quality improvement method for details, and will not be repeated here.
在本申请所提供的几个实施例中,所揭露的装置和方法,也可以通过其它的方式实现。以上所描述的装置实施例仅仅是示意性的,例如,附图中的流程图和框图显示了根据本申请的多个实施例的装置、方法和计算机程序产品的可能实现的体系架构、功能和操作。在这点上,流程图或框图中的每个方框可以代表一个模块、程序段或代码的一部分,模块、程序段或代码的一部分包含一个或多个用于实现规定的逻辑功能的可执行指令。在有些作为替换的实现方式中,方框中所标注的功能也可以以不同于附图中所标注的顺序发生。例如,两个连续的方框实际上可以基本并行地执行,它们有时也可以按相反的顺序执行,这依所涉及的功能而定。也要注意的是,框图和/或流程图中的每个方框、以及框图和/或流程图中的方框的组合,可以用执行规定的功能或动作的专用的基于硬件的系统来实现,或者可以用专用硬件与计算机指令的组合来实现。In the several embodiments provided in this application, the disclosed devices and methods may also be implemented in other ways. The device embodiments described above are only illustrative. For example, the flow charts and block diagrams in the accompanying drawings show the architecture, functions and possible implementations of devices, methods and computer program products according to multiple embodiments of the present application. operate. In this regard, each block in a flowchart or block diagram may represent a module, program segment, or portion of code that contains one or more executable instruction. In some alternative implementations, the functions noted in the block may occur out of the order noted in the figures. For example, two blocks in succession may, in fact, be executed substantially concurrently, or they may sometimes be executed in the reverse order, depending upon the functionality involved. It should also be noted that each block of the block diagrams and/or flowchart illustrations, and combinations of blocks in the block diagrams and/or flowchart illustrations, can be implemented by a dedicated hardware-based system that performs the specified function or action , or may be implemented by a combination of dedicated hardware and computer instructions.
另外,在本申请各个实施例中的各功能模块可以集成在一起形成一个独立的部分,也可以是各个模块单独存在,也可以两个或两个以上模块集成形成一个独立的部分。In addition, each functional module in each embodiment of the present application may be integrated to form an independent part, each module may exist independently, or two or more modules may be integrated to form an independent part.
功能如果以软件功能模块的形式实现并作为独立的产品销售或使用时,可以存储在一个计算机可读取存储介质中。基于这样的理解,本申请的技术方案本质上或者说对现有技术做出贡献的部分或者该技术方案的部分可以以软件产品的形式体现出来,该计算机软件产品存储在一个存储介质中,包括若干指令用以使得一台计算机设备(可以是个人计算机,服务器,或者网络设备等)执行本申请各个实施例方法的全部或部分步骤。而前述的存储介质包括:U盘、移动硬盘、只读存储器(ROM,Read-Only Memory)、随机存取存储器(RAM,Random Access Memory)、磁碟或者光盘等各种可以存储程序代码的介质。If the functions are implemented in the form of software function modules and sold or used as independent products, they can be stored in a computer-readable storage medium. Based on this understanding, the technical solution of the present application is essentially or the part that contributes to the prior art or the part of the technical solution can be embodied in the form of a software product, and the computer software product is stored in a storage medium, including Several instructions are used to make a computer device (which may be a personal computer, a server, or a network device, etc.) execute all or part of the steps of the methods in the various embodiments of the present application. The aforementioned storage medium includes: U disk, mobile hard disk, read-only memory (ROM, Read-Only Memory), random access memory (RAM, Random Access Memory), magnetic disk or optical disk and other media that can store program codes. .
| Application Number | Priority Date | Filing Date | Title |
|---|---|---|---|
| CN202110775302.6ACN113449507B (en) | 2021-07-08 | 2021-07-08 | Quality improvement method and device, electronic equipment and storage medium |
| Application Number | Priority Date | Filing Date | Title |
|---|---|---|---|
| CN202110775302.6ACN113449507B (en) | 2021-07-08 | 2021-07-08 | Quality improvement method and device, electronic equipment and storage medium |
| Publication Number | Publication Date |
|---|---|
| CN113449507A CN113449507A (en) | 2021-09-28 |
| CN113449507Btrue CN113449507B (en) | 2023-02-17 |
| Application Number | Title | Priority Date | Filing Date |
|---|---|---|---|
| CN202110775302.6AActiveCN113449507B (en) | 2021-07-08 | 2021-07-08 | Quality improvement method and device, electronic equipment and storage medium |
| Country | Link |
|---|---|
| CN (1) | CN113449507B (en) |
| Publication number | Priority date | Publication date | Assignee | Title |
|---|---|---|---|---|
| WO2024257566A1 (en)* | 2023-06-15 | 2024-12-19 | ソニーグループ株式会社 | Information processing device, information processing method, and program |
| Publication number | Priority date | Publication date | Assignee | Title |
|---|---|---|---|---|
| CN110826323A (en)* | 2019-10-24 | 2020-02-21 | 新华三信息安全技术有限公司 | Comment information validity detection method and device |
| CN111258905A (en)* | 2020-01-19 | 2020-06-09 | 中信银行股份有限公司 | Defect positioning method and device, electronic equipment and computer readable storage medium |
| CN112417845A (en)* | 2020-11-18 | 2021-02-26 | 武汉大学 | Text evaluation method and device, electronic equipment and storage medium |
| CN113032554A (en)* | 2019-12-24 | 2021-06-25 | Tcl集团股份有限公司 | Decision making system and computer readable storage medium |
| Publication number | Priority date | Publication date | Assignee | Title |
|---|---|---|---|---|
| US10909550B2 (en)* | 2013-03-12 | 2021-02-02 | Oracle International Corporation | Method and system for performing trend analysis of themes in social data |
| Publication number | Priority date | Publication date | Assignee | Title |
|---|---|---|---|---|
| CN110826323A (en)* | 2019-10-24 | 2020-02-21 | 新华三信息安全技术有限公司 | Comment information validity detection method and device |
| CN113032554A (en)* | 2019-12-24 | 2021-06-25 | Tcl集团股份有限公司 | Decision making system and computer readable storage medium |
| CN111258905A (en)* | 2020-01-19 | 2020-06-09 | 中信银行股份有限公司 | Defect positioning method and device, electronic equipment and computer readable storage medium |
| CN112417845A (en)* | 2020-11-18 | 2021-02-26 | 武汉大学 | Text evaluation method and device, electronic equipment and storage medium |
| Publication number | Publication date |
|---|---|
| CN113449507A (en) | 2021-09-28 |
| Publication | Publication Date | Title |
|---|---|---|
| EP4016432A1 (en) | Method and apparatus for training fusion ordering model, search ordering method and apparatus, electronic device, storage medium, and program product | |
| US11709875B2 (en) | Prioritizing survey text responses | |
| KR101644817B1 (en) | Generating search results | |
| CN104933081A (en) | Search suggestion providing method and apparatus | |
| US20130191395A1 (en) | Social media data analysis system and method | |
| CN108038725A (en) | A kind of electric business Customer Satisfaction for Product analysis method based on machine learning | |
| EP2862105A1 (en) | Ranking search results based on click through rates | |
| WO2018053966A1 (en) | Click rate estimation | |
| WO2015149690A1 (en) | Media content recommendation method and apparatus | |
| US11860955B2 (en) | Method and system for providing alternative result for an online search previously with no result | |
| US20130297546A1 (en) | Generating synthetic sentiment using multiple transactions and bias criteria | |
| CN110362662A (en) | Data processing method, device and computer readable storage medium | |
| CN112749238A (en) | Search ranking method and device, electronic equipment and computer-readable storage medium | |
| US20240330993A1 (en) | Method and system for realtime measuring of product reputation | |
| CN113821588A (en) | Text processing method and device, electronic equipment and storage medium | |
| US10943073B2 (en) | Dynamic candidate expectation prediction | |
| CN113449507B (en) | Quality improvement method and device, electronic equipment and storage medium | |
| CN111930949A (en) | Search string processing method and device, computer readable medium and electronic equipment | |
| CN112818221B (en) | Method, device, electronic device and storage medium for determining heat of entity | |
| CN111160699A (en) | Expert recommendation method and system | |
| CN113807905B (en) | Item recommendation method and device, computer storage medium, and electronic device | |
| CN111737607B (en) | Data processing method, device, electronic equipment and storage medium | |
| CN114139798A (en) | Enterprise risk prediction method, device and electronic equipment | |
| CN112541069A (en) | Text matching method, system, terminal and storage medium combined with keywords | |
| CN114528489A (en) | User tag determination method, device, electronic equipment and program product |
| Date | Code | Title | Description |
|---|---|---|---|
| PB01 | Publication | ||
| PB01 | Publication | ||
| SE01 | Entry into force of request for substantive examination | ||
| SE01 | Entry into force of request for substantive examination | ||
| GR01 | Patent grant | ||
| GR01 | Patent grant |