Movatterモバイル変換


[0]ホーム

URL:


CN113449426A - Digital tooth arrangement method, system, apparatus and medium - Google Patents

Digital tooth arrangement method, system, apparatus and medium
Download PDF

Info

Publication number
CN113449426A
CN113449426ACN202110746416.8ACN202110746416ACN113449426ACN 113449426 ACN113449426 ACN 113449426ACN 202110746416 ACN202110746416 ACN 202110746416ACN 113449426 ACN113449426 ACN 113449426A
Authority
CN
China
Prior art keywords
dental
teeth
tooth
initial
digital
Prior art date
Legal status (The legal status is an assumption and is not a legal conclusion. Google has not performed a legal analysis and makes no representation as to the accuracy of the status listed.)
Granted
Application number
CN202110746416.8A
Other languages
Chinese (zh)
Other versions
CN113449426B (en
Inventor
陆云桥
胡丽娟
於璐
姚峻峰
Current Assignee (The listed assignees may be inaccurate. Google has not performed a legal analysis and makes no representation or warranty as to the accuracy of the list.)
Shanghai Zhengya Dental Technology Co Ltd
Original Assignee
Shanghai Zhengya Dental Technology Co Ltd
Priority date (The priority date is an assumption and is not a legal conclusion. Google has not performed a legal analysis and makes no representation as to the accuracy of the date listed.)
Filing date
Publication date
Application filed by Shanghai Zhengya Dental Technology Co LtdfiledCriticalShanghai Zhengya Dental Technology Co Ltd
Priority to CN202110746416.8ApriorityCriticalpatent/CN113449426B/en
Publication of CN113449426ApublicationCriticalpatent/CN113449426A/en
Application grantedgrantedCritical
Publication of CN113449426BpublicationCriticalpatent/CN113449426B/en
Activelegal-statusCriticalCurrent
Anticipated expirationlegal-statusCritical

Links

Images

Classifications

Landscapes

Abstract

The invention discloses a digital tooth arrangement method, a digital tooth arrangement system, digital tooth arrangement equipment and a digital tooth arrangement medium, wherein the digital tooth arrangement method comprises the following steps: firstly, an initial digital dental model of a patient is obtained, then a preset dental arch curve is combined to represent the model by recognizing the tooth characteristics of the initial digital dental model of the patient, in addition, an dental arch curve target function can be obtained according to the initial dental arch curve combined with medical indexes, the initial dental arch curve is corrected according to the dental arch curve target function combined with preset tooth arrangement parameters, a target dental arch curve is obtained, teeth on the initial digital dental model are arranged on the target dental arch curve, and therefore the digital tooth arrangement result of the patient is obtained.

Description

Digital tooth arrangement method, system, apparatus and medium
Technical Field
The present invention relates to the field of medical devices, and more particularly, to a method, system, device and medium for digital tooth alignment.
Background
The invisible tooth appliance has the advantages of attractive appearance, comfort and convenience for patients to take off and wear at any time, so that the invisible tooth appliance is more and more accepted by the patients for correcting teeth. The stealthy ware of rescaling of tooth can be a polymer shell form apparatus for adjusting tooth overall arrangement according to the design of patient's dentognathic face condition, and when the stealthy ware of rescaling of tooth was worn to the patient, patient's chewing effort can act on the stealthy ware of rescaling of tooth, and the accumulation can make the jaw of deformity, dislocation tooth and periodontal support tissue change day by day, makes the tooth adjust to the stealthy reasonable position of rescuring the ware overall arrangement of tooth.
At present, in the process of designing and manufacturing the tooth invisible appliance, a manufacturer generally needs to scan and acquire three-dimensional image data of the dentognathic face of a patient, perform diagnosis analysis and treatment prediction on the three-dimensional image data, perform simulated tooth arrangement through a computer, namely, perform cutting and alignment of teeth, and finally realize personalized manufacture of the tooth invisible appliance. However, the existing digital tooth arrangement methods are all directed to full-mouth teeth, and some patients may expect to correct only some teeth due to the consideration of the correction cost and the correction duration, but the digital tooth arrangement methods for full-mouth teeth are not suitable for the correction of some teeth and the needs of customers.
In view of the above-mentioned technical problems, the present application provides a technical solution to solve the technical problems.
Disclosure of Invention
The embodiment of the invention provides a digital tooth arrangement method, a digital tooth arrangement system, digital tooth arrangement equipment and a digital tooth arrangement medium.
In a first aspect, embodiments of the present application provide a digital tooth arrangement method, which may be executed by an electronic device, such as a personal computer, and the method includes: firstly, an initial digital dental model of a patient is obtained, then a preset dental arch curve is combined to represent the model by recognizing the tooth characteristics of the initial digital dental model of the patient, in addition, an dental arch curve target function can be obtained according to the initial dental arch curve combined with medical indexes, the initial dental arch curve is corrected according to the dental arch curve target function combined with preset tooth arrangement parameters, a target dental arch curve is obtained, teeth on the initial digital dental model are arranged on the target dental arch curve, and therefore the digital tooth arrangement result of the patient is obtained. Wherein, tooth incisal edge midpoint includes: the method comprises the following steps of obtaining the central point of the incisal edge of the front teeth area in the initial digital dental model, the central point of the buccal cusp of the rear teeth area, the central point of the incisal edge of the incisor, the cusp of the cusp teeth, the cusp of the premolar buccal cusp and the central point of the molar buccal cusp, and obtaining the central points of the premolar buccal cusp and the molar buccal cusp: the midpoint of the farthest two buccal cusps on the same molar was found.
In the embodiment of the application, other teeth which are not corrected are influenced after adjustment of the teeth to be corrected is considered, so that the matching relation between the teeth which are not corrected and the teeth to be corrected is considered by the objective function constructed by the application, an arch curve is constructed by the objective function, the result of simulating tooth arrangement by the arch curve enables the teeth which are not corrected to be in regular arrangement without fall between the teeth which are corrected, and the tooth arrangement result meets medical indexes and aesthetic requirements.
In one possible design, the construction of the target dental coordinate system includes: acquiring the occlusion direction of the initial digital dental model; and constructing a target dental coordinate system based on the midpoint of the incisal edge of the tooth to be corrected and the occlusion direction. The method can realize the construction of a dental jaw coordinate system so as to accurately represent the target dental arch curve.
In one possible design, one way of constructing the target dental coordinate system may include: acquiring a dental midline of an initial digital dental model, and constructing an initial dental coordinate system of the initial digital dental model by combining the dental incisal edge midpoint and the occlusion direction of tooth characteristics, wherein the y axis of the initial dental coordinate system is the dental midline, the z axis is the occlusion direction, and the x axis is the cross product of the y axis and the z axis;
respectively carrying out mapping projection on the midpoint of the tooth incisal edge of a set tooth on the single-jaw single-side initial digital tooth jaw model to a jaw plane, and obtaining the main direction of a projection point of a mapping projection point through a main component analysis algorithm;
carrying out angular bisector processing on the main directions of the projection points on the two sides of the obtained single-jaw initial digital dental model, and setting the angular bisector as a corrected dental jaw central line;
and adjusting the initial dental coordinate system based on the corrected dental centerline to obtain the target dental coordinate system, wherein the Y axis of the target dental coordinate system is the corrected dental centerline, the Z axis is the occlusion direction, and the X axis is the cross product of the Y axis and the Z axis.
In the embodiment, the finally constructed target dental coordinate system is more accurate through adjusting the dental midline.
In one possible design, the representation of the arch curve objective function includes:
the deviation of the actual value representing incisor coverage from the ideal value, the bucco-lingual deviation representing the metric between the upper and lower first premolars, and the distance representing the distance of the upper and lower second premolars from the arch curve to the midpoint of the incisal edge of the first molar are summed.
In one possible design, the deviation of the actual value representing the amount of incisor coverage from the ideal value comprises at least one of the following:
ω1[R(x1,x4ovj_0ovj_1)]n
or ω1(lnR(x1,x4εovj_0ovj_1))nOr is or
Figure BDA0003143061470000031
In one possible design, the expression measuring of the bucco-lingual deviation between the upper and lower first premolars includes at least one of:
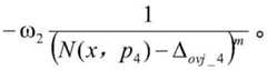
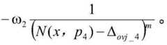
ω2[N(x,p4)-Δovj_4]m
or ω2(lnN(x,p4)-Δovj_4)m
Or
Figure BDA0003143061470000032
In one possible design, the distance between the upper and lower jaw second premolar and the midpoint of the incisal edge of the first molar from the dental arch curve comprises at least one of:
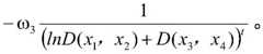
ω3[D(x1,x2)+D(x3,x4)]t
or ω3(lnD(x1,x2)+D(x3,x4))t
Or
Figure BDA0003143061470000033
In one possible design, the constraints include:
L(x1,x2)≤Δteeth_uelmgap_u
L(x3,x4)≤Δteeth_lelmgap_l
L(x3,x4)≤Δteeth_lelmgap_l
Δteeth_uenamax_u≤L(x1,,x2);
Δteeth_lenamax_l≤L(x3,,x4);
(N(x,p23)-N(x,p4))*(N(x,p23)-(x1-x3ε))≤0。
in one possible design, comprising:
x1: upper arch depth;
x2: an arch width compensation amount at any point near the middle of anupper jaw 4/5 tooth adjacent point;
x3: an arch width compensation amount at any point between theupper jaw 4/5 # tooth abutment point and the 6/7 # tooth abutment point;
x4: lower jaw dental archDepth;
x5: the compensation amount of the width of the dental arch at any point on the medial side of the mandible 4/5 tooth adjacent point;
x6: compensation amount of dental arch width at any point between the adjacent point of No. 4/5 teeth of lower jaw and the adjacent point of No. 6/7 teeth;
n, m and t are real numbers larger than 0;
ω1,ω2,ω3is a weight coefficient;
Δε: deviation of the origin of the upper and lower jaw coordinate systems on the y axis;
Δovj_0ovj_1: initial, target value of coverage at tooth number 1;
Δovj_4: buccal-lingual distance frommaxillary # 4 buccal cusp to central sulcus;
Δteeth_uteeth_l: total teeth of upper and lower jaws;
Δelmgap_uelmgap_l: the upper jaw and the lower jaw eliminate the minimum stripping amount of the gap;
Δenamax_uenamax_l: maximum stripping amount of the upper jaw and the lower jaw;
r: the upper and lower No. 1 tooth covers the weighting function of the trend target value;
n: distance from a certain point on the curve of the maxillary dental arch to the mandibular dental arch;
d: the key distance from the curve of the single jaw dental arch to the incisal margin No. 5/6;
l: arc length between single jaw arch curves 4-4;
p23:maxillary arch curve 2/3 abutment points;
p4: location parameters of the buccal cusp No. 4.
In one possible design, arch width information is obtained from tooth characteristics, as well as arch width compensation information; and distributing the dental arch width information and the dental arch width compensation information to a preset dental arch curve representation model through a preset weight function to obtain an initial dental arch curve constructed on the target dental jaw coordinate system. The method can realize the representation of the initial dental arch curve on the target dental jaw coordinate system.
In one possible design, the modifying the initial arch curve according to the arch curve target function and preset tooth arrangement parameters to obtain a target arch curve includes:
acquiring preset tooth arrangement parameters which are expected to be met by teeth to be corrected of a patient; the preset tooth arrangement parameters comprise an upper and lower jaw anterior tooth coverage trend target value, an arch curve arc length of teeth to be corrected of an upper jaw or a lower jaw falls into a set interval, and the collision quantity between the teeth to be corrected of the upper jaw or the lower jaw meets the set interval;
and correcting the arch width compensation quantity of the teeth to be corrected and the stripping quantity of the teeth to be corrected of the initial arch curve according to the arch curve target function and the preset tooth arrangement parameters, and obtaining a target arch curve.
In this embodiment, the initial arch curve is adjusted to make the finally generated target arch curve more conform to the medical requirements of tooth arrangement and the characteristics of the teeth of the patient.
In one possible design, the teeth on the initial digitized dental model are aligned on a target dental arch curve, comprising: and based on the target dental arch curve, moving the positions of the teeth on the initial digital dental model, and adjusting the angles of the teeth on the initial digital dental model to obtain the digital tooth arrangement result of the patient. The method can ensure that the teeth to be corrected can meet the medical requirements of tooth arrangement after being corrected.
In one possible design, the method further includes: adjusting the upper jaw posterior teeth and the lower jaw posterior teeth to meet the occlusion state of the set collision amount; translating the upper and lower jaws to a set ideal value of the occlusion according to a set tooth adjustment sequence, calculating the collision quantity of the upper and lower jaws by using a collision detection algorithm, and removing the collision quantity to realize the occlusion of the digital teeth of the patient. The method can achieve the purpose of optimizing the simulated tooth arrangement result by combining the simulated tooth arrangement result.
In one possible design, the method of determining the set overlap ideal comprises: and calculating to obtain a set ideal value of the patient's teeth according to the medical index and aesthetic requirements, the occlusion state information of the patient's back teeth and the actual composite value of the patient's teeth.
In one possible design, the medical metrics include: the upper and lower jaw anterior teeth keep normal coverage; the upper and lower jaws are occluded to keep the relative state of the cusp and the fossa; the teeth of the upper jaw or the lower jaw are aligned to form a neat and smooth dentition, and no obvious buccal deviation or lingual deviation exists between adjacent teeth; the ratio of total tooth volume of upper and lower jaws; the tooth volume of the tooth to be corrected of the upper jaw or the lower jaw and the corresponding dental arch length parameter.
In a second aspect, embodiments of the present application also provide a digital tooth arrangement system, including:
the acquisition module is used for acquiring an initial digital dental model of a patient;
an identification module to identify tooth features of the patient's initial digitized dental model; the tooth features include: incisal margin of teeth, midpoint of incisal margin of teeth and clinical dental crown space posture;
the construction module is used for constructing an initial dental arch curve on a target dental jaw coordinate system by utilizing a preset dental arch curve representation model according to the tooth characteristics;
the construction module is also used for acquiring a dental arch curve target function according to the initial dental arch curve and the medical index; correcting the initial dental arch curve according to the target dental arch curve function and a constraint condition obtained by combining preset tooth arrangement parameters to obtain a target dental arch curve;
the arrangement module is used for carrying out arrangement processing on the teeth on the initial digital dental model on the target dental arch curve;
wherein, tooth incisal edge midpoint includes: the method comprises the following steps of obtaining the central point of the incisal edge of the front teeth area in the initial digital dental model, the central point of the buccal cusp of the rear teeth area, the central point of the incisal edge of the incisor, the cusp of the cusp teeth, the cusp of the premolar buccal cusp and the central point of the molar buccal cusp, and obtaining the central points of the premolar buccal cusp and the molar buccal cusp: the midpoint of the farthest two buccal cusps on the same molar was found.
For the beneficial effects of the second aspect, reference may be made to the description of the first aspect, and the description is not repeated here.
In a third aspect, embodiments of the present application provide a method for designing a shell-shaped dental appliance, where the method includes designing a shell-shaped dental appliance according to the digital tooth arrangement method described in the first aspect.
In a fourth aspect, the present invention provides an electronic device, comprising a processor and a memory, wherein the processor executes computer instructions stored in the memory, so that the electronic device performs the method of any one of the first aspect.
In a fifth aspect, this embodiment further provides a computer-readable storage medium, which includes a computer program and when the computer program runs on an electronic device, causes the electronic device to execute any one of the possible design methods of any one of the above aspects.
In a sixth aspect, the present application further provides a computer program product, which when run on a terminal, causes the electronic device to execute any one of the possible design methods of any one of the above aspects.
As for the advantageous effects of the above third to sixth aspects, reference may be made to the description of the above first aspect.
Drawings
In order to more clearly illustrate the technical solutions in the embodiments of the present invention, the drawings needed to be used in the description of the embodiments will be briefly introduced below, and it is obvious that the drawings in the following description are only some embodiments of the present invention, and it is obvious for those skilled in the art to obtain other drawings based on these drawings without creative efforts.
FIG. 1 is a schematic view of a patient's teeth according to an embodiment of the present invention;
FIG. 2 is a schematic flow chart of a digital tooth arrangement method according to an embodiment of the present invention;
FIG. 3 is a schematic view of a dental coordinate system according to an embodiment of the present invention;
FIG. 4 is a schematic view of a dental arch curve according to an embodiment of the present invention;
FIG. 5 is a graph illustrating a target arch curve represented by an objective function according to an embodiment of the present invention;
FIG. 6 is a schematic diagram illustrating an exemplary simulated tooth arrangement effect provided by an embodiment of the invention;
fig. 7 is a schematic diagram of a digital tooth alignment system according to an embodiment of the invention.
Detailed Description
In order to more clearly illustrate the embodiments of the present invention or the technical solutions in the prior art, the following description will be made with reference to the accompanying drawings. It is obvious that the drawings in the following description are only some examples of the invention, and that for a person skilled in the art, other drawings and embodiments can be derived from them without inventive effort.
Currently, before a doctor carries out tooth arrangement on a patient, a tooth arrangement scheme needs to be predicted and evaluated firstly, and the prediction and evaluation of the scheme are realized by simulating a tooth arrangement process. The tooth arrangement mode can be simulated by firstly utilizing a 3D digital imaging technology and a three-dimensional modeling technology to obtain accurate three-dimensional dentition grid model data; and then, teeth in the three-dimensional dentition grid model data are automatically arranged by utilizing tooth arrangement rules in the orthodontics and through a proper algorithm, so that prediction and evaluation are provided for an actual tooth arrangement scheme. At present, the digital tooth arrangement method is aimed at the full-mouth teeth, and no related technology exists in the industry of analogue tooth arrangement aiming at partial teeth.
For example, for eight teeth in the dashed box shown in fig. 1. Considering that only eight teeth are corrected, there may occur a problem that eight teeth are moved to collide with surrounding teeth that are not to be corrected or to have an excessively large gap. Therefore, the embodiment of the present application provides a digital tooth arrangement method, which performs simulated tooth arrangement on teeth to be corrected so that the uncorrected teeth do not collide with the corrected teeth or have abnormal gaps, or the simulated tooth arrangement provided by the embodiment of the present application enables the uncorrected teeth and the corrected teeth to meet the correction requirement of tooth alignment due to tooth arrangement mismatching.
Before describing the embodiments of the present application, some terms used in the embodiments of the present application will be explained below to facilitate understanding by those skilled in the art.
1. The arch curve refers to an ideal curve tangent to the dentition.
Because the arch of a patient is abnormal in shape, the target arch curve is designed according to the embodiment of the application, and the fitting and generation of the target arch curve have important significance in auxiliary correction design and simulation tooth arrangement test.
2. Alignment refers to the correction of teeth in a crowded malposition to adjust the teeth to the normal physiological position that the arch should occupy.
3. International Union of Dentisties or FDI formulary
Figure BDA0003143061470000081
Figure BDA0003143061470000091
4. Palmer-Zsignond recording method
Figure BDA0003143061470000092
The embodiment of the invention provides a digital tooth arrangement method, which can be applied to invisible orthodontic correction of partial teeth, as shown in fig. 2, and can be executed by an electronic device, which can be a mobile phone (mobile phone), a tablet computer (Pad), a Personal Computer (PC), a wireless terminal in remote medical (remote medical) and the like. Hereinafter, the electronic device is a Personal Computer (PC), and the method specifically includes the following steps.
S201, acquiring an initial digital dental model of the patient.
The digital dental model can comprise a tooth grid, three axes of teeth, a gum line of the teeth, an FDI number of the teeth, an initial position of the teeth, a bite direction, a dental midline and the like.
In one possible embodiment, the initial digital dental model may be generated by first obtaining three-dimensional dentition mesh model data by using a 3D digital imaging technique and a three-dimensional modeling technique, and generating the initial digital dental model based on the three-dimensional dentition mesh model data; or, a plaster dental model can be obtained based on the patient biting the model, then three-dimensional reconstruction is carried out on the plaster dental model to obtain three-dimensional dentition grid model data, and the initial digital dental model is generated based on the three-dimensional dentition grid model data.
S202, identifying tooth characteristics of the initial digital dental model of the patient.
The tooth characteristics can include the incisal edges of the teeth, the middle points of the incisal edges of the teeth, the clinical dental crown space posture, and the facial-lingual distance from the middle points of the incisal edges of the upper jaw No. 4 teeth to the central sulcus. The tooth characteristics may also include clinical coronal axis (FACC) axis, FACC point, FACC axis direction.
In this embodiment, the identified dental features may be dental features of all of the patient's teeth, or may be dental features of a portion of the patient's teeth.
For example, the teeth to be corrected may be all of the teeth of the patient as shown in fig. 1; or eight teeth as shown by the dotted line box in fig. 1, that is, eight teeth including 1 (middle incisor), 2 (side incisor), 3 (cuspid), and 4 (first premolar); or the teeth to be corrected can also be ten teeth including 1 (middle incisor), 2 (side incisor), 3 (cuspid), 4 (first premolar) and 5 (second premolar); the teeth to be corrected may be six teeth including 1 (middle incisor), 2 (side incisor) and 3 (cuspid). It should be noted that the following description mainly takes the tooth to be corrected as eight teeth shown by the dashed line box in fig. 1 as an example.
And S203, constructing an initial dental arch curve on the target dental jaw coordinate system by utilizing the preset dental arch curve representation model according to the tooth characteristics.
In this step, one possible implementation manner may be: obtaining dental arch width information and dental arch width compensation information from the tooth characteristics; and distributing the dental arch width information and the dental arch width compensation information to a preset dental arch curve representation model through a preset weight function to obtain an initial dental arch curve constructed on the target dental jaw coordinate system. There are various ways to construct the target dental coordinate system, and see examples one to three below.
Illustratively, the preset arch curve representation model may be an equation representation model of a deformed ellipse. The arch width information includes an arch width W, and the arch width compensation information includes an arch depth D, an arch width compensation amount C1, and an arch width compensation amount C2. Wherein, C1 and C2 adopt weight functions to be distributed on the elliptic curve.
And S204, acquiring a dental arch curve target function according to the initial dental arch curve and the medical index.
In this embodiment, the medical index may include at least one of: the upper and lower jaw anterior teeth keep normal coverage; the upper and lower jaws are occluded to keep the relative state of the cusp and the fossa; the teeth of the upper jaw or the lower jaw are aligned to form a neat and smooth dentition, and no obvious buccal deviation or lingual deviation exists between adjacent teeth; the ratio of the total tooth volume of the upper jaw and the lower jaw is matched to meet the occlusion requirement; the tooth volume of the upper jaw or the lower jaw to be corrected is matched with the corresponding dental arch length so as to meet the requirement of tooth alignment.
In this step, one possible implementation may be: firstly, constructing an incisal edge midpoint and an incisal jaw centerline of a tooth to be corrected, and then constructing an objective function for solving a target dental arch curve of a patient under the incisal jaw coordinate system according to the incisal edge midpoint, the dental arch width, the dental arch depth and the dental arch width compensation quantity of the tooth to be corrected; the characteristic parameters of the objective function for solving the target dental arch curve may include a maxillary dental arch depth, a mandibular dental arch depth, a maxillary dental arch width, a mandibular dental arch width, a maxillary dental arch width compensation amount, a mandibular dental arch width compensation amount, and the like.
And S205, correcting the initial dental arch curve according to the target function of the dental arch curve and the preset tooth arrangement parameters to obtain a target dental arch curve.
In this step, one possible implementation may be: acquiring preset tooth arrangement parameters which are expected to be met by teeth to be corrected of a patient; the preset tooth arrangement parameters comprise an upper and lower jaw anterior tooth coverage trend target value, arch curve arc length of teeth to be corrected of an upper jaw or a lower jaw falls into a set interval, and collision quantity between the teeth to be corrected of the upper jaw or the lower jaw meets the set interval; and further, correcting the arch width, the arch depth and the arch width compensation quantity of the initial arch curve according to the arch curve target function and the preset tooth arrangement parameters, and obtaining a target arch curve. The specific calculation method of the target arch curve can be seen below.
And S206, arranging the teeth on the initial digital dental model on the target dental arch curve.
In this step, one possible implementation may be: and based on the target dental arch curve, moving the positions of the teeth on the initial digital dental model, and adjusting the angles of the teeth on the initial digital dental model to obtain the digital tooth arrangement result of the patient.
Therefore, by the method, the teeth arrangement of the patient can be simulated, and the digital teeth arrangement result can be obtained. The digital tooth arrangement method can consider the matching relation between the teeth which are not corrected and the teeth to be corrected under the condition that the teeth to be corrected of a patient are partial teeth of the patient, so that an arch curve is constructed by utilizing the objective function, the result of simulating tooth arrangement by utilizing the arch curve enables the teeth which are not corrected and the teeth which are corrected to be in neat arrangement without fall, and the tooth arrangement result meets medical indexes and aesthetic requirements.
In this embodiment, the target dental coordinate system needs to be constructed before the initial arch curve is constructed. The target jaw coordinate system can be constructed in the following way: firstly, acquiring the occlusion direction of an initial digital dental model; and then constructing a target dental coordinate system based on the midpoint of the incisal edge of the tooth to be corrected and the occlusion direction. Specifically, see examples one through three below.
First, an initial dental coordinate system of the initial digital dental model is obtained, an initial dental coordinate system of the initial digital dental model is constructed by combining dental incisal edge midpoints and occlusion directions of tooth features, wherein a y axis of the initial dental coordinate system is the dental midline, a z axis is the occlusion direction, and an x axis is a cross product of the y axis and the z axis, then, mapping projection is performed on dental incisal edge midpoints of set teeth on the single-side initial digital dental model of the single jaw to a jaw plane respectively, and a main direction of projection points of the mapping projection points is obtained through a main component analysis algorithm. Further, angle bisector processing can be carried out on the main directions of the projection points on the two sides of the obtained single-jaw initial digital dental model, the angle bisector is set as a corrected dental centerline, an initial dental coordinate system is adjusted based on the corrected dental centerline, and a target dental coordinate system is obtained, wherein the Y axis of the target dental coordinate system is the corrected dental centerline, the Z axis is the occlusion direction, and the X axis is the cross product of the Y axis and the Z axis.
As shown in fig. 3, first, a dental coordinate system of maxillary teeth (shown as (a) in fig. 3) and a dental coordinate system of mandibular teeth (shown as (b) in fig. 3) are established, respectively. Specifically, an initial dental coordinate system is established by using incisal edge midpoints, occlusion directions and dental midline of upper and lower teeth, incisal edge midpoints of No. 15-17/45-47 teeth are projected onto a jaw plane, Principal Component Analysis (PCA) algorithm is used for solving the main direction of the incisal edge midpoints of No. 25-27/35-37 teeth, the same processing is carried out, angular bisectors of the two main directions are taken as midline directions, and the dental midline is corrected. And then, taking the midpoint of the incisal edge of the No. 6 tooth of the single jaw tooth, enabling a projection point on the midline to deviate 10mm backwards, and interpolating according to the midpoint of the incisal edge of the No. 5/6/7 tooth in the occlusion direction to obtain a single jaw origin, wherein the Y axis of a jaw coordinate system is the midline direction of the corrected jaw midline, the Z axis is the occlusion direction, and the X axis is the cross product of the Y axis and the Z axis.
Taking all the vertexes (or the midpoints of the incisal edges or the centers of gravity of the tooth meshes) of the single-jaw tooth meshes, making PCA, and taking the third column as the occlusion direction, namely the z direction; taking the middle points of the connecting lines of all the vertexes (or the middle points of incisal edges or the centers of gravity of tooth grids) of the single-jaw teeth and the FDI teeth, carrying out PCA (principal component analysis) or least square fitting on all the middle points to obtain a direction, and projecting the direction to the normal direction of the occlusion direction, namely the direction of a middle line, namely the direction of y; the cross product of the two is obtained in the other direction, namely the x direction; the projection of all vertices (or the midpoint of the incisal edge, or the center of gravity of the tooth mesh) in the midline direction is the closest to the latter, and the point of projection on the midline is taken as the origin.
Example three: taking the middle points of the incisal edges of two No. 6 teeth and the middle points of the incisal edges of two No. 1 teeth (and/or the middle points of the incisal edges of two No. 3 teeth) of a single jaw, and fitting a least square plane, wherein the normal direction of the plane is the occlusion direction, namely the z direction; taking a middle perpendicular line connecting the middle points of the single jaw teeth and the FDI teeth, wherein the least square direction (or average direction) of all the middle perpendicular lines is the middle line direction, namely the y direction; the cross product of the two is obtained in the other direction, namely the x direction; the projection point of the average point of the middle points of the most rear cutting edges on the two sides on the middle line is taken as the origin.
For the above-mentioned S204 and S205, for expansion, the incisal marginal midpoint of the tooth to be corrected (e.g. incisal marginal midpoint of 4-4 teeth), the width of the dental arch and the depth of the dental arch are firstly obtained, and the dental arch curves of the upper and lower teeth are fitted to the same coordinate system for representation. Illustratively, as shown in fig. 4, incisal edge midpoints, arch widths, and arch depths of respective teeth in the initial digitized dental model shown in (a) of fig. 4 are acquired, and maxillary initial arch curves and mandibular initial arch curves (shown by thick black lines in the drawing) are represented under the world coordinate system shown in (b) of fig. 4. It can be seen that the arch curve can be represented by a function of a deformed elliptic curve, for example, the function of the elliptic curve includes four types of characteristic parameters, namely, arch width W, arch depth D, arch width compensation quantity C1 and arch width compensation quantity C2, wherein C1 and C2 are assigned to the elliptic curve by using a weight function. And then obtaining an arch curve target function based on the medical index and the initial arch curve, wherein the characteristic parameters of the arch curve target function can comprise the maxillary arch depth, the mandibular arch depth and the arch width compensation quantity of the teeth to be corrected, such as the arch width compensation quantity of No. 1 teeth, the arch width compensation quantity of No. 2 teeth and the like.
Taking an example that teeth to be corrected are 4-4 teeth of a patient shown by a dashed line box in fig. 1 as an example, scanning an oral cavity of the patient, obtaining three-dimensional dentition grid model data by using a 3D digital imaging technology and a three-dimensional modeling technology, thereby obtaining an initial digital dental model of the patient, then identifying tooth characteristics such as a tooth incisal edge, an incisal edge midpoint, a FACC axis and the like of each tooth in the initial digital dental model, constructing an objective function of the teeth of the patient based on the tooth characteristics, and representing an arch curve fitting of upper and lower teeth in the same world coordinate system, wherein the arch curve objective function is represented by an example that: the deviation of the actual value representing incisor coverage from the ideal value, the bucco-lingual deviation representing the metric between the upper and lower first premolars, and the distance representing the distance of the upper and lower second premolars from the arch curve to the midpoint of the incisal edge of the first molar are summed.
Setting the target function of the dental arch curve to be min.f (x);
the deviation of the actual value representing the incisor coverage from the ideal value is set to Δ θ 1;
representing a measure of the bucco-lingualdeviation Δ θ 2 between the upper and lower mandibular first premolars;
distance Δ θ 3 from the arch curve representing the distance between the upper and lower second premolar and the midpoint of the incisal edge of the first molar:
the ocular arch curve objective function is thus expressed as: min (x) ═ Δ θ 1+Δ θ 2+ Δ θ 3;
the tooth arrangement parameters preset in the target function of the eye dental arch curve can meet the constraint conditions:
L(x1,x2)≤Δteeth_uelmgap_u
L(x3,x4)≤Δteeth_lelmgap_l
L(x3,x4)≤Δteeth_lelmgap_l
Δteeth_uenamax_u≤L(x1,,x2);
Δteeth_lenamax_l≤L(x3,,x4);
(N(x,p23)-N(x,p4))*(N(x,p23)-(x1-x3ε))≤0;
wherein min.f (x) is f (x) taking the minimum value, x1: upper arch depth; x is the number of2: an arch width compensation amount at any point near the middle of anupper jaw 4/5 tooth adjacent point; x is the number of3: an arch width compensation amount at any point between theupper jaw 4/5 # tooth abutment point and the 6/7 # tooth abutment point; x is the number of4: mandibular arch depth; x is the number of5: the compensation amount of the width of the dental arch at any point on the medial side of themandible 4/5 tooth adjacent point; x is the number of6: compensation amount of dental arch width at any point between the adjacent point of No. 4/5 teeth of lower jaw and the adjacent point of No. 6/7 teeth; n, m and t are real numbers larger than 0; omega1,ω2,ω3Is a weight coefficient; deltaε: deviation of the origin of the upper and lower jaw coordinate systems on the y axis; deltaovj_0ovj_1: initial, target value of coverage at tooth number 1; deltaovj_4: buccal-lingual distance frommaxillary # 4 buccal cusp to central sulcus;
Δteeth_uteeth_l: total teeth of upper and lower jaws;
Δelmgap_uelmgap_l: the upper jaw and the lower jaw eliminate the minimum stripping amount of the gap;
Δenamax_uenamax_l: maximum stripping amount of the upper jaw and the lower jaw;
r: the upper and lower No. 1 tooth covers the weighting function of the trend target value;
n: distance from a certain point on the curve of the maxillary dental arch to the mandibular dental arch;
d: the key distance from the curve of the single jaw dental arch to the incisal margin No. 5/6;
l: arc length between single jaw arch curves 4-4;
p23: abutment point, p, of maxillaryarch curve 2/34: location parameters of the buccal cusp No. 4. .
Then, the objective function is combined with the iterative calculation of the preset tooth arrangement parameters to obtain the minimum characteristic parameter of the objective functionNumber x1,x2,x3,x4,x5,x6Then based on the characteristic parameter x1,x2,x3,x4,x5,x6A target arch curve (such as the curve shown in fig. 5) can be obtained. From this target arch curve, it can be seen that the arch widths of teeth 4-4 on the target arch curve are compensated.
It should be noted that there may be other variations to the terms of the above formula f (x), for example, the deviation Δ θ 1 between the actual value representing the incisor coverage and the ideal value includes at least one of the following ways:
ω1[R(x1,x4ovj_0ovj_1)]n
or ω1(lnR(x1,x4εovj_0ovj_1))n
Or
Figure BDA0003143061470000151
Representing a measure of the bucco-lingualdeviation Δ θ 2 between the upper and lower first premolars includes at least one of:
ω2[N(x,p4)-Δovj_4]m
or ω2(lnN(x,p4)-Δovj_4)m
Or
Figure BDA0003143061470000152
In one possible design, the distance Δ θ 3 from the arch curve representing the distance between the upper and lower second premolar and the midpoint of the incisal edge of the first molar includes at least one of:
ω3[D(x1,x2)+D(x3,x4)]t
or ω3(lnD(x1,x2)+D(x3,x4))t
Or
Figure BDA0003143061470000153
The above Δ θ 1,Δ θ 2, and Δ θ 3 may be arbitrarily combined when f (x) is expressed
Wherein n, m and t are real numbers larger than 0.
Based on target dental arch curve, this application embodiment can also be treated and rescued tooth and arrange, specifically, can remove based on target dental arch curve treat the position of rescuring the tooth, if with the tooth according to the orderly distribution of dental arch curve on the dental arch, then adjust the angle of treating the rescuring tooth after the position removal for after the adjustment treat that the collision volume between the adjacent tooth of rescuring the tooth satisfies the settlement interval, the collision volume is based on the torque angle of treating the rescuring tooth after the adjustment is confirmed. Collision can occur in the process of simulating tooth arrangement, and the axial inclination is realized according to the tooth long axis direction specified by the FDI number; the 2-2 tooth torque angle is realized according to the FACC shaft direction appointed by the FDI number, the 3-4 tooth torque angle firstly obtains an initial value according to the FACC shaft direction appointed by the FDI number, and then a final value is obtained by utilizing the FACC midpoint for compensation; the torsion angle is achieved according to the tangency of the incisal margin and the dental arch curve. For example, regarding the collision amount, one possible calculation method may be to divide the actual stripping amount equally to obtain the collision amount of the adjacent teeth, and to move the midpoint of the incisal edge of 4-4 teeth along the dental arch curve to make the collision amount between the teeth reach the set interval. In the collision process, the axial inclination is realized according to the major axis direction of the designated tooth with the FDI number; the 2-2 tooth torque angle is realized according to the FACC shaft direction appointed by the FDI number, the 3-4 tooth torque angle firstly obtains an initial value according to the FACC shaft direction appointed by the FDI number, and then a final value is obtained by utilizing the FACC midpoint for compensation; the torsion angle is achieved according to the tangency of the incisal margin and the dental arch curve. Another possible calculation method may be to obtain the actual stripping amount unequally, specifically, the total stripping amount is Δ, and the actual stripping amount is calculated between two teeth No. 1 according to min { Δ,0.5} according to aesthetic requirements; if the remaining stripping amount deltac0, according to 3/4 between teeth, 4/5 between teeth, 2/3 between teeth, 1/2 between teethStripping in the order of min { r Δ }c0.5} calculating the actual stripping amount, r is 0.75, 0.6, 0.5, 1, DeltacUpdated after each calculation.
In one possible embodiment, to optimize the results of the simulated tooth arrangement, the maxillary and mandibular posterior teeth may also be adjusted to a bite state that satisfies a set amount of collision; translating the upper and lower jaws to a set ideal value of the occlusion according to the set tooth adjustment sequence, calculating the collision quantity of the upper and lower jaws by using a collision detection algorithm, and removing the collision quantity to realize the occlusion of the digital teeth of the patient. The method for determining the set overlap ideal value comprises the following steps: and calculating a set ideal value of the occlusion of the teeth of the patient according to the medical index and aesthetic requirements, the occlusion state information of the back teeth of the patient (such as the projection distance of the midpoint of the incisal edges of the upper and lower jaws in the occlusion direction) and the actual occlusion value of the teeth of the patient (such as the projection distance of the midpoint of the incisal edges of the upper and lower jaws No. 1 in the occlusion direction). For example, the upper and lower posterior teeth are adjusted to the occlusion state of-0.2 collision volume; and respectively finely adjusting the z-direction displacement of the teeth according to the sequence of the upper jaw 1/3 number teeth, the lower jaw 2-2 number teeth, the lower jaw 3 number teeth, theupper jaw 2 number teeth, theupper jaw 4 number teeth and thelower jaw 4 number teeth to realize the overlapping of the upper and lower jaws 4-4 teeth.
As shown in fig. 6, for 4-4 teeth of a patient, the initial digital dental model of the patient can be as shown in (a) of fig. 6 and (b) of fig. 6, and the results of simulating the posterior teeth arrangement of teeth arrangement according to the above method can be as shown in (c) of fig. 6 and (d) of fig. 6, and it can be seen that the teeth arrangement simulated according to the above method is relatively clean with 4-4 teeth, and the orthodontic requirements of the teeth arrangement caused by the misarrangement of teeth and the clean teeth are satisfied between the simulated teeth arrangement and other teeth which are not corrected. In addition, the time consumed by manpower in the design process of the tooth orthodontic scheme is reduced through computer modeling operation, and the working efficiency can be improved.
Referring to fig. 7, a digital tooth arrangement system according to an embodiment of the present application includes an obtainingmodule 701 for obtaining an initial digital dental model of a patient.
Anidentification module 702 for identifying tooth features of the patient's initial digitized dental model; the tooth features include: incisal margin of tooth, midpoint of incisal margin of tooth, and clinical dental crown space posture.
Aconstructing module 703 for constructing an initial dental arch curve on the target dental coordinate system by using a preset dental arch curve representation model according to the tooth characteristics.
Theconstructing module 703 is further configured to obtain an arch curve target function according to the initial arch curve in combination with a medical index; and correcting the initial dental arch curve according to the dental arch curve target function and the preset tooth arrangement parameters to obtain a target dental arch curve.
Anarrangement module 704 for arranging the teeth on the initial digitized dental model on the target dental arch curve;
wherein, tooth incisal edge midpoint includes: the method comprises the following steps of obtaining the central point of the incisal edge of the front teeth area in the initial digital dental model, the central point of the buccal cusp of the rear teeth area, the central point of the incisal edge of the incisor, the cusp of the cusp teeth, the cusp of the premolar buccal cusp and the central point of the molar buccal cusp, and obtaining the central points of the premolar buccal cusp and the molar buccal cusp: the midpoint of the farthest two buccal cusps on the same molar was found.
In one possible design, thebuilding module 702 is specifically configured to: acquiring the occlusion direction of the initial digital dental model; and constructing a target dental coordinate system based on the midpoint of the incisal edge of the tooth to be corrected and the occlusion direction.
In one possible design, thebuilding module 702 is further configured to:
acquiring a dental midline of the initial digital dental model, and constructing an initial dental coordinate system of the initial digital dental model by combining a tooth incisal edge midpoint of the tooth characteristic and the occlusion direction, wherein a y axis of the initial dental coordinate system is the dental midline, a z axis is the occlusion direction, and an x axis is a cross product of the y axis and the z axis;
respectively carrying out mapping projection on the midpoint of the tooth incisal edge of a set tooth on the single-jaw single-side initial digital tooth jaw model to a jaw plane, and obtaining the main direction of a projection point of a mapping projection point through a main component analysis algorithm;
carrying out angular bisector processing on the main directions of the projection points on the two sides of the obtained single-jaw initial digital dental model, and setting the angular bisector as a corrected dental jaw central line;
and adjusting the initial dental coordinate system based on the corrected dental centerline to obtain the target dental coordinate system, wherein the Y axis of the target dental coordinate system is the corrected dental centerline, the Z axis is the occlusion direction, and the X axis is the cross product of the Y axis and the Z axis.
In one possible design, theconstruction module 702, when constructing the initial arch curve on the target jaw coordinate system using the preset arch curve representation model according to the tooth characteristics, is specifically configured to:
obtaining arch width information and arch width compensation information from the tooth characteristics;
and distributing the dental arch width compensation information to the preset dental arch curve representation model through a preset weight function, and combining the dental arch width information and the dental arch depth to obtain the initial dental arch curve constructed on the target dental jaw coordinate system.
In one possible design, thebuilding module 702, when performing modification processing on the initial arch curve according to the arch curve objective function in combination with preset tooth arrangement parameters and obtaining a target arch curve, is specifically configured to:
acquiring preset tooth arrangement parameters which are expected to be met by the teeth to be corrected of the patient; the preset tooth arrangement parameters comprise an upper and lower jaw anterior tooth coverage trend target value, arch curve arc length of teeth to be corrected of an upper jaw or a lower jaw falls into a set interval, and collision quantity between the teeth to be corrected of the upper jaw or the lower jaw meets the set interval;
and correcting the arch width compensation quantity of the teeth to be corrected and the stripping quantity of the teeth to be corrected of the initial arch curve according to the arch curve target function and the preset tooth arrangement parameters, and obtaining the target arch curve.
In one possible design, rankingmodule 704 is specifically configured to: and moving the positions of the teeth on the initial digital dental model based on the target dental arch curve, and adjusting the angles of the teeth on the initial digital dental model to obtain the digital tooth arrangement result of the patient.
In one possible design, rankingmodule 704 is specifically configured to: adjusting the upper jaw posterior teeth and the lower jaw posterior teeth to meet the occlusion state of the set collision amount;
translating the upper and lower jaws to a set ideal value of the occlusion according to the set tooth adjustment sequence, calculating the collision quantity of the upper and lower jaws by using a collision detection algorithm, and removing the collision quantity to realize the occlusion of the digital teeth of the patient.
For the benefits of the digital tooth arrangement system, reference may be made to the description of the above method embodiments, and the description thereof will not be repeated here.
Through the above description of the embodiments, it is clear to those skilled in the art that, for convenience and simplicity of description, the foregoing division of the functional modules is merely used as an example, and in practical applications, the above function distribution may be completed by different functional modules according to needs, that is, the internal structure of the device may be divided into different functional modules to complete all or part of the above described functions. For the specific working processes of the system, the apparatus and the unit described above, reference may be made to the corresponding processes in the foregoing method embodiments, and details are not described here again.
Each functional unit in the embodiments of the present application may be integrated into one processing unit, or each unit may exist alone physically, or two or more units are integrated into one unit. The integrated unit can be realized in a form of hardware, and can also be realized in a form of a software functional unit.
The integrated unit, if implemented in the form of a software functional unit and sold or used as a stand-alone product, may be stored in a computer readable storage medium. Based on such understanding, the technical solutions of the embodiments of the present application may be essentially implemented or make a contribution to the prior art, or all or part of the technical solutions may be implemented in the form of a software product stored in a storage medium and including several instructions for causing a computer device (which may be a personal computer, a server, or a network device) or a processor to execute all or part of the steps of the methods described in the embodiments of the present application. And the aforementioned storage medium includes: flash memory, removable hard drive, read only memory, random access memory, magnetic or optical disk, and the like.
The embodiment of the application also provides a design method of the shell-shaped tooth appliance, and the design method comprises the step of designing the shell-shaped tooth appliance based on the digital tooth arrangement method. When the shell-shaped tooth appliance is designed in the embodiment, a digital tooth jaw model needs to be designed firstly, the digital tooth jaw model is scientifically and reasonably designed and is the basis for producing the tooth appliance, tooth arrangement at each correction stage needs to be realized through the method, and the shell-shaped tooth appliance, such as a high-molecular shell-shaped tooth appliance, can be manufactured after tooth arrangement. The implementation of the first embodiment will not be described herein.
Embodiments of the present application further provide a method for manufacturing a shell-shaped dental appliance, including: designing a shell-shaped tooth appliance according to the design method of the shell-shaped tooth appliance; the shell-shaped tooth appliance is manufactured by a 3D printing or hot pressing film method. The digital shell-shaped tooth appliance model is manufactured in a 3D printing mode, the 3D printing personalization degree is high, and the digital shell-shaped tooth appliance model is suitable for customizing different digital shell-shaped tooth appliance models for different patients; or directly print shell form tooth and rescue the ware according to the tooth model, this kind of mode is made more intellectuality, has saved hot pressing membrane technology etc. and has shortened processing man-hour, and production efficiency further obtains improving.
The embodiment of the application also provides an electronic device, which comprises a processor and a memory, wherein the processor executes computer instructions stored in the memory, so that the electronic device executes the digital tooth arrangement method.
Embodiments of the present application also provide a computer storage medium including computer instructions, which, when executed on an electronic device, cause the electronic device to perform the above digital tooth arrangement method.
The above description is only a specific implementation of the embodiments of the present application, but the scope of the embodiments of the present application is not limited thereto, and any changes or substitutions within the technical scope disclosed in the embodiments of the present application should be covered by the scope of the embodiments of the present application. Therefore, the protection scope of the embodiments of the present application shall be subject to the protection scope of the claims.

Claims (19)

1. A method of digitizing tooth arrangements, the method comprising:
acquiring an initial digital dental model of a patient;
identifying tooth features of the patient's initial digitized dental model; the tooth features include: the middle point of the incisal edge of the tooth and the space posture of the clinical dental crown;
constructing an initial dental arch curve on a target dental jaw coordinate system by utilizing a preset dental arch curve representation model according to the tooth characteristics;
acquiring a target function representing the dental arch curve according to the initial dental arch curve and the medical index;
correcting the initial dental arch curve according to the target dental arch curve function and a constraint condition obtained by combining preset tooth arrangement parameters to obtain a target dental arch curve;
aligning teeth on the initial digitized dental model on the target dental arch curve;
wherein, tooth incisal edge midpoint includes: the method comprises the following steps of obtaining the central point of the incisal edge of the front teeth area in the initial digital dental model, the central point of the buccal cusp of the rear teeth area, the central point of the incisal edge of the incisor, the cusp of the cusp teeth, the cusp of the premolar buccal cusp and the central point of the molar buccal cusp, and obtaining the central points of the premolar buccal cusp and the molar buccal cusp: the midpoint of the farthest two buccal cusps on the same molar was found.
2. The digital tooth arrangement method according to claim 1, wherein the construction of the dental coordinate system comprises:
acquiring the occlusion direction and the dental midline of an initial digital dental model, and constructing an initial dental coordinate system of the initial digital dental model by combining the dental incisal edge midpoints of the dental features;
respectively carrying out mapping projection on the midpoint of the tooth incisal edge of a set tooth on the single-jaw single-side initial digital tooth jaw model to a jaw plane, and obtaining the main direction of a projection point of a mapping projection point through a main component analysis algorithm;
carrying out angular bisector processing on the main directions of the projection points on the two sides of the obtained single-jaw initial digital dental model, and setting the angular bisector as a corrected dental jaw central line;
and constructing the target dental coordinate system based on the corrected dental midline.
3. The digital tooth arrangement method according to claim 2, wherein the constructing of the initial dental coordinate system comprises:
the y-axis of the initial dental coordinate system is the dental midline, the z-axis is the occlusion direction, and the x-axis is the cross product of the y-axis and the z-axis.
4. The digital tooth arrangement method according to claim 3, wherein the construction of the dental coordinate system comprises:
and constructing an odontognathic coordinate system based on the incisal edge midpoint and the odontognathic midline of the tooth to be corrected, wherein the Y axis of the odontognathic coordinate system is the midline direction of the odontognathic midline, the Z axis is the occlusion direction, and the X axis is the cross product of the Y axis and the Z axis.
5. The digital tooth arrangement method according to claim 4, wherein the representation of the arch curve objective function comprises:
the deviation of the actual value representing incisor coverage from the ideal value, the bucco-lingual deviation representing the metric between the upper and lower first premolars, and the distance representing the distance of the upper and lower second premolars from the arch curve to the midpoint of the incisal edge of the first molar are summed.
6. The digital tooth arrangement method according to claim 5, wherein the deviation of the actual value representing the incisor coverage from the ideal value comprises at least one of:
ω1[R(x1,x4ovj_0ovj_1)]n
or ω1(lnR(x1,x4εovj_0ovj_1))nOr is or
Figure FDA0003143061460000021
7. The digital dental alignment method of claim 5, wherein the representing measures the bucco-lingual deviation between the upper and lower first premolars includes at least one of:
ω2[N(x,p4)-Δovj_4]m
or ω2(lnN(x,p4)-Δovj_4)m
Or
Figure FDA0003143061460000022
8. The digital tooth arrangement method according to claim 5, wherein the distance between the upper and lower second premolars and the midpoint of the incisal edge of the first molar from the arch curve includes at least one of:
ω3[D(x1,x2)+D(x3,x4)]t
or ω3(lnD(x1,x2)+D(x3,x4))t
Or
Figure FDA0003143061460000031
9. The digital dental alignment method of any one of claims 6 to 8, wherein the constraints include:
L(x1,x2)≤Δteeth_uelmgap_u
L(x3,x4)≤Δteeth_lelmgap_l
L(x3,x4)≤Δteeth_lelmgap_l
Δteeth_uenamax_u≤L(x1,,x2);
Δteeth_lenamax_l≤L(x3,,x4);
(N(x,p23)-N(x,p4))*(N(x,p23)-(x1-x3ε))≤0。
10. the digital dental alignment method of claim 9, comprising:
x1: upper arch depth;
x2: an arch width compensation amount at any point near the middle of an upper jaw 4/5 tooth adjacent point;
x3: an arch width compensation amount at any point between the upper jaw 4/5 # tooth abutment point and the 6/7 # tooth abutment point;
x4: mandibular arch depth;
x5: the compensation amount of the width of the dental arch at any point on the medial side of the mandible 4/5 tooth adjacent point;
x6: compensation amount of dental arch width at any point between the adjacent point of No. 4/5 teeth of lower jaw and the adjacent point of No. 6/7 teeth;
n, m and t are real numbers larger than 0;
ω1,ω2,ω3is a weight coefficient;
Δε: deviation of the origin of the upper and lower jaw coordinate systems on the y axis;
Δovj_0ovj_1: initial, target value of coverage at tooth number 1;
Δovj_4: buccal-lingual distance from maxillary # 4 buccal cusp to central sulcus;
Δteeth_uteeth_l: total teeth of upper and lower jaws;
Δelmgap_uelmgap_l: the upper jaw and the lower jaw eliminate the minimum stripping amount of the gap;
Δenamax_uenamax_l: maximum stripping amount of the upper jaw and the lower jaw;
r: the upper and lower No. 1 tooth covers the weighting function of the trend target value;
n: distance from a certain point on the curve of the maxillary dental arch to the mandibular dental arch;
d: the key distance from the curve of the single jaw dental arch to the incisal margin No. 5/6;
l: arc length between single jaw arch curves 4-4;
p23: maxillary arch curve 2/3 abutment points;
p4: location parameters of the buccal cusp No. 4.
11. The digital tooth arrangement method according to claim 1, wherein constructing an initial dental arch curve on a target dental coordinate system using a preset dental arch curve representation model according to the tooth characteristics comprises:
obtaining arch width information and arch width compensation information from the tooth characteristics;
and distributing the dental arch width compensation information to the preset dental arch curve representation model through a preset weight function, and combining the dental arch width information and the dental arch depth to obtain the initial dental arch curve constructed on the target dental jaw coordinate system.
12. The digital tooth arrangement method according to claim 1, wherein the correcting process of the initial arch curve according to the arch curve target function in combination with preset tooth arrangement parameters and obtaining a target arch curve comprises:
acquiring preset tooth arrangement parameters which are expected to be met by the teeth to be corrected of the patient; the preset tooth arrangement parameters comprise an upper and lower jaw anterior tooth coverage trend target value, arch curve arc length of teeth to be corrected of an upper jaw or a lower jaw falls into a set interval, and collision quantity between the teeth to be corrected of the upper jaw or the lower jaw meets the set interval;
and correcting the dental arch width information, the dental arch depth information and the dental arch width compensation information of the initial dental arch curve according to the dental arch curve target function and in combination with preset tooth arrangement parameters to obtain the target dental arch curve.
13. The digital dental alignment method of claim 1, wherein aligning the teeth on the initial digital dental model on the target dental arch curve comprises:
and moving the positions of the teeth on the initial digital dental model based on the target dental arch curve, and adjusting the angles of the teeth on the initial digital dental model to obtain the digital tooth arrangement result of the patient.
14. The digital dental alignment method of claim 1, further comprising:
adjusting the upper jaw posterior teeth and the lower jaw posterior teeth to meet the occlusion state of the set collision amount;
translating the upper and lower jaws to a set ideal value of the occlusion according to the set tooth adjustment sequence, calculating the collision quantity of the upper and lower jaws by using a collision detection algorithm, and removing the collision quantity to realize the occlusion of the digital teeth of the patient.
15. The method of claim 7, wherein the determining the set overlap ideal comprises:
and calculating to obtain a set ideal value of the teeth of the patient according to the medical index, the occlusion state information of the back teeth of the patient and the actual composite value of the teeth of the patient.
16. The method of claim 1, wherein the medical metric comprises at least one of: the upper and lower jaw anterior teeth keep normal coverage; the upper and lower jaws are occluded to keep the relative state of the cusp and the fossa; the teeth of the upper jaw or the lower jaw are aligned to form a neat and smooth dentition, and no obvious buccal deviation or lingual deviation exists between adjacent teeth; the ratio of total tooth volume of upper and lower jaws; the tooth volume of the tooth to be corrected of the upper jaw or the lower jaw and the corresponding dental arch length parameter.
17. A digital dental alignment system, comprising:
the acquisition module is used for acquiring an initial digital dental model of a patient;
an identification module to identify tooth features of the patient's initial digitized dental model; the tooth features include: incisal margin of teeth, midpoint of incisal margin of teeth and clinical dental crown space posture;
the construction module is used for constructing an initial dental arch curve on a target dental jaw coordinate system by utilizing a preset dental arch curve representation model according to the tooth characteristics;
the construction module is also used for acquiring a dental arch curve target function according to the initial dental arch curve and the medical index; correcting the initial dental arch curve according to the target dental arch curve function and a constraint condition obtained by combining preset tooth arrangement parameters to obtain a target dental arch curve;
the arrangement module is used for carrying out arrangement processing on the teeth on the initial digital dental model on the target dental arch curve;
wherein, tooth incisal edge midpoint includes: the method comprises the following steps of obtaining the central point of the incisal edge of the front teeth area in the initial digital dental model, the central point of the buccal cusp of the rear teeth area, the central point of the incisal edge of the incisor, the cusp of the cusp teeth, the cusp of the premolar buccal cusp and the central point of the molar buccal cusp, and obtaining the central points of the premolar buccal cusp and the molar buccal cusp: the midpoint of the farthest two buccal cusps on the same molar was found.
18. An electronic device comprising a processor and a memory, the processor executing computer instructions stored by the memory to cause the electronic device to perform the digital tooth arrangement method of any one of claims 1 to 16.
19. A computer readable storage medium comprising computer instructions which, when executed on an electronic device, cause the electronic device to perform the digital dental alignment method of any one of claims 1 to 16.
CN202110746416.8A2021-07-012021-07-01Digital tooth arrangement method, system, apparatus and mediumActiveCN113449426B (en)

Priority Applications (1)

Application NumberPriority DateFiling DateTitle
CN202110746416.8ACN113449426B (en)2021-07-012021-07-01Digital tooth arrangement method, system, apparatus and medium

Applications Claiming Priority (1)

Application NumberPriority DateFiling DateTitle
CN202110746416.8ACN113449426B (en)2021-07-012021-07-01Digital tooth arrangement method, system, apparatus and medium

Publications (2)

Publication NumberPublication Date
CN113449426Atrue CN113449426A (en)2021-09-28
CN113449426B CN113449426B (en)2023-10-24

Family

ID=77814811

Family Applications (1)

Application NumberTitlePriority DateFiling Date
CN202110746416.8AActiveCN113449426B (en)2021-07-012021-07-01Digital tooth arrangement method, system, apparatus and medium

Country Status (1)

CountryLink
CN (1)CN113449426B (en)

Cited By (17)

* Cited by examiner, † Cited by third party
Publication numberPriority datePublication dateAssigneeTitle
CN114399602A (en)*2022-01-242022-04-26上海爱乐慕健康科技有限公司 A method, device, system and readable storage medium for tooth arrangement
CN114431989A (en)*2022-01-072022-05-06可丽尔医疗科技(常州)有限公司 Establishment method of coordinate system based on target dental arch curve, automatic tooth arrangement method and tooth movement evaluation method
CN114601578A (en)*2022-03-112022-06-10上海爱乐慕健康科技有限公司Manufacturing method and manufacturing system of pre-activated bow expander and pre-activated bow expander
CN114948287A (en)*2022-05-102022-08-30上海爱乐慕健康科技有限公司Occlusion induction appliance design and manufacturing method and occlusion induction appliance
CN115471514A (en)*2022-09-232022-12-13五邑大学 Method, device, and computer-readable storage medium for obtaining dental arch curve
CN116549148A (en)*2023-05-042023-08-08广州黑格智造信息科技有限公司Tooth arrangement method and device of three-dimensional tooth model and electronic equipment
CN116636940A (en)*2023-05-062023-08-25佛山臻硅科技有限公司Orthodontic appliance design method, manufacturing method and orthodontic appliance
CN116725716A (en)*2023-06-252023-09-12先临三维科技股份有限公司Tooth model determining method, device, equipment and storage medium
WO2023216954A1 (en)*2022-05-072023-11-16上海时代天使医疗器械有限公司Method for generating digital data set for representing target teeth layout
CN117132596A (en)*2023-10-262023-11-28天津医科大学口腔医院Mandibular third molar generation-retarding type identification method and system based on deep learning
CN117257491A (en)*2023-09-182023-12-22安徽美立刻医疗器械有限公司Method, device, equipment and medium for quantifying tooth correction effect
CN118161279A (en)*2024-05-152024-06-11无锡时代天使医疗器械科技有限公司Method and device for determining reference curve, dental appliance and design method
WO2025030771A1 (en)*2023-08-072025-02-13杭州朝厚信息科技有限公司Method for generating digital data set representing target tooth layout
WO2025030770A1 (en)*2023-08-072025-02-13杭州朝厚信息科技有限公司Method for generating digital data set representing target tooth layout
WO2025030775A1 (en)*2023-08-072025-02-13杭州朝厚信息科技有限公司Method for generating digital data set representing target tooth arrangement
WO2025066984A1 (en)*2023-09-282025-04-03先临三维科技股份有限公司Bracket placement method and apparatus, device, and storage medium
CN119786059A (en)*2024-12-092025-04-08苏州市吴江区儿童医院 Dental data analysis system based on medical big data

Citations (6)

* Cited by examiner, † Cited by third party
Publication numberPriority datePublication dateAssigneeTitle
US5431562A (en)*1990-01-191995-07-11Ormco CorporationMethod and apparatus for designing and forming a custom orthodontic appliance and for the straightening of teeth therewith
US20160175068A1 (en)*2014-12-232016-06-23Shanghai Hui Yin Information Technology Co., LtdDirect fractional step method for generating tooth arrangement
CN106137414A (en)*2015-04-142016-11-23上海时代天使医疗器械有限公司Determine the method and system of target dentition layout
CN110164558A (en)*2019-05-272019-08-23上海爱圣美科技有限公司A kind of method of tooth model parametrization
CN111696068A (en)*2019-03-142020-09-22杭州朝厚信息科技有限公司Method and computer system for generating digital data set representing target tooth layout by using artificial neural network
CN112053431A (en)*2020-08-312020-12-08上海正雅齿科科技股份有限公司Gum deformation obtaining method and system and electronic equipment

Patent Citations (7)

* Cited by examiner, † Cited by third party
Publication numberPriority datePublication dateAssigneeTitle
US5431562A (en)*1990-01-191995-07-11Ormco CorporationMethod and apparatus for designing and forming a custom orthodontic appliance and for the straightening of teeth therewith
US20160175068A1 (en)*2014-12-232016-06-23Shanghai Hui Yin Information Technology Co., LtdDirect fractional step method for generating tooth arrangement
CN105769352A (en)*2014-12-232016-07-20上海晖银信息科技有限公司Direct step-by-step method for generating tooth correcting state
CN106137414A (en)*2015-04-142016-11-23上海时代天使医疗器械有限公司Determine the method and system of target dentition layout
CN111696068A (en)*2019-03-142020-09-22杭州朝厚信息科技有限公司Method and computer system for generating digital data set representing target tooth layout by using artificial neural network
CN110164558A (en)*2019-05-272019-08-23上海爱圣美科技有限公司A kind of method of tooth model parametrization
CN112053431A (en)*2020-08-312020-12-08上海正雅齿科科技股份有限公司Gum deformation obtaining method and system and electronic equipment

Non-Patent Citations (1)

* Cited by examiner, † Cited by third party
Title
余小灵: ""全口义齿数字化排牙优化技术研究及实现"", 《中国优秀硕士学位论文全文数据库 医药卫生科技辑》*

Cited By (22)

* Cited by examiner, † Cited by third party
Publication numberPriority datePublication dateAssigneeTitle
CN114431989A (en)*2022-01-072022-05-06可丽尔医疗科技(常州)有限公司 Establishment method of coordinate system based on target dental arch curve, automatic tooth arrangement method and tooth movement evaluation method
CN114399602A (en)*2022-01-242022-04-26上海爱乐慕健康科技有限公司 A method, device, system and readable storage medium for tooth arrangement
CN114601578A (en)*2022-03-112022-06-10上海爱乐慕健康科技有限公司Manufacturing method and manufacturing system of pre-activated bow expander and pre-activated bow expander
CN114601578B (en)*2022-03-112024-04-19上海爱乐慕健康科技有限公司Manufacturing method and manufacturing system of pre-activated expander and pre-activated expander
WO2023216954A1 (en)*2022-05-072023-11-16上海时代天使医疗器械有限公司Method for generating digital data set for representing target teeth layout
CN114948287A (en)*2022-05-102022-08-30上海爱乐慕健康科技有限公司Occlusion induction appliance design and manufacturing method and occlusion induction appliance
CN115471514A (en)*2022-09-232022-12-13五邑大学 Method, device, and computer-readable storage medium for obtaining dental arch curve
CN116549148A (en)*2023-05-042023-08-08广州黑格智造信息科技有限公司Tooth arrangement method and device of three-dimensional tooth model and electronic equipment
WO2024227363A1 (en)*2023-05-042024-11-07广州黑格智造信息科技有限公司Tooth arrangement method and apparatus for three-dimensional tooth model, and electronic device
CN116636940A (en)*2023-05-062023-08-25佛山臻硅科技有限公司Orthodontic appliance design method, manufacturing method and orthodontic appliance
CN116636940B (en)*2023-05-062024-06-18佛山臻硅科技有限公司Orthodontic appliance design method, manufacturing method and orthodontic appliance
CN116725716A (en)*2023-06-252023-09-12先临三维科技股份有限公司Tooth model determining method, device, equipment and storage medium
WO2025030775A1 (en)*2023-08-072025-02-13杭州朝厚信息科技有限公司Method for generating digital data set representing target tooth arrangement
WO2025030770A1 (en)*2023-08-072025-02-13杭州朝厚信息科技有限公司Method for generating digital data set representing target tooth layout
WO2025030771A1 (en)*2023-08-072025-02-13杭州朝厚信息科技有限公司Method for generating digital data set representing target tooth layout
CN117257491A (en)*2023-09-182023-12-22安徽美立刻医疗器械有限公司Method, device, equipment and medium for quantifying tooth correction effect
WO2025066984A1 (en)*2023-09-282025-04-03先临三维科技股份有限公司Bracket placement method and apparatus, device, and storage medium
CN117132596B (en)*2023-10-262024-01-12天津医科大学口腔医院Mandibular third molar generation-retarding type identification method and system based on deep learning
CN117132596A (en)*2023-10-262023-11-28天津医科大学口腔医院Mandibular third molar generation-retarding type identification method and system based on deep learning
CN118161279B (en)*2024-05-152024-10-08无锡时代天使医疗器械科技有限公司Method and device for determining reference curve, dental appliance and design method
CN118161279A (en)*2024-05-152024-06-11无锡时代天使医疗器械科技有限公司Method and device for determining reference curve, dental appliance and design method
CN119786059A (en)*2024-12-092025-04-08苏州市吴江区儿童医院 Dental data analysis system based on medical big data

Also Published As

Publication numberPublication date
CN113449426B (en)2023-10-24

Similar Documents

PublicationPublication DateTitle
CN113449426B (en)Digital tooth arrangement method, system, apparatus and medium
US12076206B2 (en)Methods for aligner design using thickness maps
US20250152302A1 (en)Orthodontic progress tracking using coarse to fine 3d models
CN113874919B (en) Visual representation of the gum line generated based on the 3D tooth model
US11678956B2 (en)Filling undercut areas of teeth relative to axes of appliance placement
CN113272861B (en)Combining data from multiple dental anatomy scans
CN110025387B (en)Automatic generation method of digital dental ideal model
CN101534741B (en) Systems and methods for automatically constructing dental shafts
CN107106258B (en) Dental appliance with cavities for unemerged or growing teeth
CN105769352B (en)Direct step-by-step method for producing orthodontic conditions
CN112739287A (en) Provides a simulation of the patient's dental treatment
CN114431989B (en)Method for establishing coordinate system based on target dental arch curve, automatic tooth arrangement method and tooth movement evaluation method
WO1994010935A1 (en)Custom orthodontic appliance forming method and apparatus
JP7170933B2 (en) Virtual occlusion model for dental treatment
JP2015136520A (en)Method for fabricating plate denture, design support device of plate denture and program
CN113907903A (en)Design method for implant position in edentulous area by using artificial intelligence technology
CN115252173A (en)Method for determining gum line and application thereof
JP2024501887A (en) Orthodontic system, its design method, and manufacturing method
CN115861415A (en)Tooth digital model attitude deviation calculation method, system, scoring method and terminal
CN117582303A (en)Digital tooth arrangement method and system for accurate orthodontic treatment
CN117017532A (en)Combined personalized target dental arch curve modeling method and model
CN119479978A (en) Generating method, displaying method, electronic device and storage medium
HK1221630B (en)Direct fractional step method for generating tooth arrangement

Legal Events

DateCodeTitleDescription
PB01Publication
PB01Publication
SE01Entry into force of request for substantive examination
SE01Entry into force of request for substantive examination
GR01Patent grant
GR01Patent grant

[8]ページ先頭

©2009-2025 Movatter.jp