

技术领域technical field
本发明属于空中交通管制监视技术领域,尤其涉及一种基于机载ADS-B的航空器识别号统一编码方法。The invention belongs to the technical field of air traffic control and monitoring, and in particular relates to a unified coding method for aircraft identification numbers based on airborne ADS-B.
背景技术Background technique
民用航空器飞行基于机载ADS-B系统进行无中心节点组网,空中各航空器通过目标感知、边缘计算、交换服务等分布式处理,对ADS-B监视目标进行复合跟踪,ADS-B地面组网系统网内所有成员能够共享一张精确合成态势图,支持协同间隔管理。The flight of civil aircraft is based on the airborne ADS-B system for non-central node networking. Through distributed processing such as target perception, edge computing, and switching services, each aircraft in the air performs compound tracking of ADS-B surveillance targets. ADS-B ground networking All members in the system network can share a precise synthetic situation map to support collaborative interval management.
复合跟踪在空中多个航空器传感器之间进行,每一个航空器将本航空器ADS-B监视的目标信息向协同组网系统网内成员分发,同时接收非系统内航空器发出的ADS-B目标信息,各航空器的协同处理单元对本航空器目标和系统外航空器ADS-B目标进行关联解算和编识号处理,确定目标的统一编识号、地理位置、海拔高度、速度和航向等实时信息,在空中各航空器之间并行形成一致的复合航迹。这里,统一编识号是指各航空器协同处理单元共用同一目标编识号段,各自分配目标编识号,结果应该是一致的,不会出现多名或重名。Composite tracking is carried out among multiple aircraft sensors in the air. Each aircraft distributes the target information monitored by its own aircraft ADS-B to members in the collaborative networking system network, and simultaneously receives ADS-B target information sent by non-system aircraft. The collaborative processing unit of the aircraft performs correlation calculation and numbering processing on the target of the aircraft and the ADS-B target of the aircraft outside the system, and determines the real-time information such as the unified identification number, geographic location, altitude, speed and heading of the target, and it is A consistent composite track is formed in parallel between the aircraft. Here, the unified identification number means that each aircraft cooperative processing unit shares the same target identification number segment, and assigns the target identification number to each, and the result should be consistent, and there will be no multiple or duplicate names.
现有技术包括:(1)分布式航迹融合,基于ADS-B信息生成的空管态势图,精度和实时性要求均低于精确合成态势图,在事先网络规划阶段,为每个航空器传感器分配互不重叠的目标编号段,多航空器通过航迹择优、编识号接替即可实现目标编识号统一;而本发明针对的精确合成态势图是基于ADS-B组网系统实现的,没有网络规划阶段,航空器共用同一个目标编识号段,通过竞争方式实现多航空器统一目标编识号。(2)集中式点迹融合处理,空中各航空器将目标点迹汇聚到同一个节点集中处理,目标编识号在单节点完成,不涉及多航空器统一目标编识号问题,集中式点迹融合处理带来的问题是占用信道多,航迹时延大。(3)有关文献述及的ADS-B组网应用或航迹复合跟踪技术等均未见目标统一编识号相关内容。Existing technologies include: (1) Distributed track fusion, the air traffic situation map generated based on ADS-B information, the accuracy and real-time requirements are lower than the precise synthetic situation map, in the prior network planning stage, for each aircraft sensor Allocate non-overlapping target numbering segments, and multiple aircraft can realize the unification of target numbering and numbering through track selection and numbering succession; and the precise synthetic situation diagram for the present invention is based on the ADS-B networking system. In the network planning stage, the aircraft share the same target identification number segment, and achieve a unified target identification number for multiple aircraft through competition. (2) Centralized point trace fusion processing, each aircraft in the air aggregates the target point traces to the same node for centralized processing, and the target identification number is completed in a single node, which does not involve the problem of unified target identification number of multiple aircraft, centralized point trace fusion The problem brought by the processing is that many channels are occupied and the track delay is large. (3) The ADS-B networking application or track composite tracking technology mentioned in the relevant literature does not see the relevant content of the unified target identification number.
发明内容SUMMARY OF THE INVENTION
发明目的:本发明所要解决的问题是针对现有技术不足,提供一种空管监视系统ADS-B目标统一编识号方法,通过竞争方式,在航空器无中心节点条件下,多航空器能够按同一序列进行目标统一编号,实现ADS-B在网航空器所有成员共享态势的一致性。Purpose of the invention: The problem to be solved by the present invention is to provide a method for uniform numbering and numbering of ADS-B targets in an air traffic control surveillance system. The sequence is numbered uniformly to achieve the consistency of the shared situation of all members of the ADS-B networked aircraft.
本发明包括如下步骤:The present invention comprises the following steps:
步骤1,建立目标编识号表;
步骤2,分配目标编识号;
步骤3,远端目标共享;
步骤4,目标多名处理;Step 4, multi-target processing;
步骤5,目标重名处理;Step 5, target duplicate name processing;
步骤6,删除目标编识号。Step 6, delete the target ID number.
步骤1包括:各航空器协同处理单元建立相同的目标编识号表,表长N,表地址0~N,用于保存目标编识号,其中0单元不使用,即初始指针指向1单元,除了0以外的其他单元初始值设为空,目标编识号表从1~N循环使用。
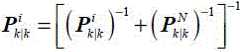
步骤2包括:如果本航空器ADS-B接收一个新的航空器目标,协同处理单元为所述新的航空器目标分配一个编识号 i,并将编识号登记在目标编识号表中,然后将目标航迹向网络分发,后续以同一编识号跟踪所述新的航空器目标,如果跟踪期间出现航迹丢点,协同处理单元进行航迹外推,得到k时刻目标航迹的状态估计及其误差协方差矩阵:
, ,
, ,
其中,为目标的状态转移矩阵,是过程噪声协方差矩阵;得到的外推数据不向网络分发。in, is the state transition matrix of the target, is the process noise covariance matrix; the resulting extrapolated data is not distributed to the network.
步骤3包括:如果协同处理单元收到新航空器目标N的航迹,其k时刻状态估计为,应与本航空器已知目标i作相关处理,过程如下:
计算两航迹状态估计量的误差:Calculate the error of the two-track state estimator :
, ,
由于两条航迹相互独立,上式对应的协方差为:Since the two tracks are independent of each other, the covariance corresponding to the above equation for:
, ,
其中,为新目标k时刻状态估计的误差协方差矩阵;in, Estimate the state at time k for the new target The error covariance matrix of ;
描述航迹i和N相似性的充分统计量为:Sufficient statistic describing the similarity of tracks i and N for:
, ,
当两条航迹对应同一个目标时,服从自由度为的卡方分布,其中是航迹状态的维数;如果低于使用卡方分布获得的门限,则判定两条航迹相关,否则,判定为不相关;When two tracks correspond to the same target, obey the degrees of freedom The chi-square distribution of , where is the dimension of the track state; if If it is lower than the threshold obtained by using the chi-square distribution, it is determined that the two tracks are related, otherwise, it is determined to be irrelevant;
如果判定为不相关,则完全接受新的航空器目标,并将目标编识号登记在目标编识号表中;如果判定为相关,而且本航空器是新接收到的目标,或者是已跟踪目标的更新数据但编识号相同,则作航迹融合处理,保持目标编识号不变,得到:If it is determined to be irrelevant, the new aircraft target is fully accepted and the target ID is registered in the target ID table; if it is determined to be relevant, and this aircraft is a newly received target, or a tracked target If the data is updated but the identification number is the same, the track fusion process is performed, and the target identification number is kept unchanged, and the following results are obtained:
, ,
。 .
步骤4包括:如果协同处理单元在分布式处理过程中发现两个以上目标,即同一个目标被两个航空器用不同编识号向网络分发,则进行目标多名处理,保留数值小的编识号,丢弃数值大的编识号(即不同平台分别发现同一航迹,则丢弃数值大的码,保留数值小的码),然后向网络发送相关指令,所有航空器收到后采用保留的编识号合并目标,并将要丢弃的编识号从目标编识号表中删除。Step 4 includes: if the cooperative processing unit finds more than two targets in the distributed processing process, that is, the same target is distributed to the network by two aircrafts with different identification numbers, multi-target processing is performed, and the identification number with a small value is reserved. number, discard the ID number with a large value (that is, if different platforms find the same track respectively, discard the code with a large value and keep the code with a small value), and then send relevant instructions to the network, and all aircraft use the reserved code after receiving it. merge targets and delete the IDs to be discarded from the target ID table.
步骤5包括:如果协同处理单元在分布式处理过程中发现目标重名,即两个不同目标被两个航空器用同一编识号向网络分发,则进行目标重名处理,接受航空器编识号小的航空器目标报告,丢弃航空器编识号大的航空器目标报告,并发出解相关指令,航空器编识号大的航空器发现重名或收到指令后,重新为目标分配一个编识号并向网络分发,所有航空器收到后在目标编识号表中登记新编识号。Step 5 includes: if the cooperative processing unit finds that the target has the same name in the distributed processing process, that is, two different targets are distributed to the network by two aircraft with the same identification number, then the target duplicate name processing is performed, and the aircraft with the smaller identification number is accepted. The target report of the aircraft with the larger aircraft identification number is discarded, and the de-correlation instruction is issued. After the aircraft with the larger aircraft identification number finds the same name or receives the instruction, it assigns a new identification number to the target and distributes it to the network. , all aircraft will register a new identification number in the target identification number table upon receipt.
步骤6包括:如果协同处理单元在分布式处理过程中发现航迹消失或作废,则删除航迹文件,并将目标编识号从目标编识号表中删除。Step 6 includes: if the cooperative processing unit finds that the track disappears or is invalid during the distributed processing, delete the track file, and delete the target ID number from the target ID number table.
本发明的优点主要体现在:The advantages of the present invention are mainly reflected in:
(1)各航空器对ADS-B数据进行分布式处理,依据本发明可实现目标统一编识号,解决统一管制区内航空去在无中心节点条件下,共享合成态势图的一致性问题;(1) Distributed processing of ADS-B data by each aircraft, according to the present invention, a unified target identification number can be realized, and the consistency problem of sharing synthetic situation diagrams in a unified control area under the condition of no central node can be solved;
(2)将多航空器分布式处理中目标统一编识号问题提炼为处理规则,便于航空器协同处理单元软件研发、维护和升级;(2) Refine the problem of unified target identification number in multi-aircraft distributed processing into processing rules, which is convenient for the development, maintenance and upgrade of aircraft collaborative processing unit software;
(2)各航空器协同处理单元执行同样的程序实现多航空器ADS-B目标复合跟踪,便于异构航空器协同处理单元软件产品化。(2) Each aircraft cooperative processing unit executes the same procedure to realize multi-aircraft ADS-B target composite tracking, which is convenient for the software productization of heterogeneous aircraft cooperative processing unit.
附图说明Description of drawings
下面结合附图和具体实施方式对本发明做更进一步的具体说明,本发明的上述和/或其他方面的优点将会变得更加清楚。The present invention will be further described in detail below with reference to the accompanying drawings and specific embodiments, and the advantages of the above-mentioned and/or other aspects of the present invention will become clearer.
图1是协同处理单元目标编识号表示意图。FIG. 1 is a schematic diagram of an object identification number table of a cooperative processing unit.
图2是协同处理单元目标统一编识号处理流程示意图。FIG. 2 is a schematic diagram of the processing flow of the target unified identification number of the cooperative processing unit.
具体实施方式Detailed ways
本发明公开了一种基于机载ADS-B的航空器识别号统一编码方法,针对空中各航空器协同处理单元获取的机载ADS-B监视信息构成的空管监视系统,建立统一目标编识号处理流程,所述流程包括建立目标编识号表、目标编识号分配、远端目标共享、目标多名处理、目标重名处理、目标编识号删除。具体地,各航空器协同处理单元通过执行以下步骤完成目标统一编识号:The invention discloses a unified coding method for aircraft identification numbers based on airborne ADS-B. For an air traffic control monitoring system composed of airborne ADS-B monitoring information obtained by cooperative processing units of various aircraft in the air, a unified target identification number processing is established. The process includes establishing a target ID table, target ID allocation, remote target sharing, target multiple processing, target duplicate name processing, and target ID deletion. Specifically, each aircraft cooperative processing unit completes the target unified identification number by performing the following steps:
1、各航空器协同处理单元建立相同的目标编识号表,表长N,表地址0~N,用于保存ADS-B目标编识号,其中0单元不使用,即初始指针指向1单元,其他单元初始值设为“空”,目标编识号表从1~63循环使用,如图1所示。1. Each aircraft cooperative processing unit establishes the same target number table, the table length is N, and the table address is 0~N, which is used to save the ADS-B target number.
2、结合图2,协同处理单元接收本航空器已知的在网航空器ADS-B数据(P)和未知航空器新的ADS-B数据(J),在与已经建立的目标航迹(T)“相关-融合”过程中进行统一目标编识号处理,迭代生成目标航迹。目标统一编识号处理逻辑如下:2. Combined with Figure 2, the cooperative processing unit receives the known ADS-B data of the aircraft on the network (P) and the new ADS-B data of the unknown aircraft (J), which is in line with the established target track (T)" In the process of "correlation-fusion", the unified target identification number is processed, and the target track is generated iteratively. The processing logic of the target unified identification number is as follows:
(1)如果本航空器ADS-B接收一个新的航空器目标,协同处理单元应为该目标分配一个编识号i,并将编识号登记在目标编识号表中,然后将目标航迹向网络分发,后续以同一编识号跟踪该目标,如果跟踪期间出现航迹丢点,协同处理单元进行航迹外推,得到k时刻目标航迹的状态估计及其误差协方差矩阵:(1) If the aircraft ADS-B receives a new aircraft target, the cooperative processing unit shall assign an identification number i to the target, register the identification number in the target identification number table, and then send the target track to the target. Network distribution, and then follow the target with the same ID number. If the track is lost during the tracking period, the cooperative processing unit performs track extrapolation to obtain the state estimate of the target track at time k. and its error covariance matrix :
, ,
, ,
其中,为目标的状态转移矩阵,是过程噪声协方差矩阵;得到的外推数据不向网络分发。in, is the state transition matrix of the target, is the process noise covariance matrix; the resulting extrapolated data is not distributed to the network.
(2)如果协同处理单元收到新的航空器目标N的航迹,其k时刻状态估计为,应与本航空器已知目标作“相关”处理,过程如下:(2) If the cooperative processing unit receives the new track of the aircraft target N, its state at time k is estimated as: , should be "correlated" with the known target of this aircraft, the process is as follows:
计算两航迹估计量的误差:Compute the error of the two track estimators:
由于两条航迹相互独立,上式对应的协方差为:Since the two tracks are independent of each other, the covariance corresponding to the above equation for:
, ,
其中,为新目标k时刻状态估计的误差协方差矩阵;in, Estimate the state at time k for the new target The error covariance matrix of ;
因此,描述航迹i和N相似性的充分统计量为:Therefore, a sufficient statistic to describe the similarity of tracks i and N for:
当两条航迹对应同一个目标时,服从自由度为的卡方分布,其中是航迹状态的维数;因而,如果低于使用卡方分布获得的门限,则判定两条航迹“相关”,否则,认为二者“不相关”。When two tracks correspond to the same target, obey the degrees of freedom The chi-square distribution of , where is the dimension of the track state; thus, if Below the threshold obtained using the chi-square distribution, the two tracks are determined to be "correlated", otherwise, the two are considered "uncorrelated".
如果判断为“不相关”,则完全接受新的目标,并将目标编识号登记在目标编识号表中;如果“相关”,而且本航空器是新接收到的目标(无编识号),或者是已跟踪目标的更新数据但编识号相同,则作航迹融合处理,保持目标编识号不变,得到:If it is judged to be "irrelevant", the new target will be completely accepted and the target identification number will be registered in the target identification number table; if it is "relevant", and this aircraft is the newly received target (no identification number) , or the updated data of the tracked target but the same ID number, then perform track fusion processing, keep the target ID unchanged, and get:
, ,
。 .
(3)如果协同处理单元在分布式处理过程中发现目标多名,即同一个目标被两个航空器用不同编识号向网络分发,则进行目标多名处理,保留数值小的编识号,丢弃数值大的编识号,然后向网络发送“相关”指令,所有航空器收到后采用保留的编识号合并目标,并将要丢弃的编识号从编识号表中删除。(3) If the cooperative processing unit finds multiple targets in the distributed processing process, that is, the same target is distributed to the network by two aircrafts with different identification numbers, the multi-target processing is performed, and the identification number with the smaller value is reserved. Discard the ID number with a large value, and then send a "relevant" command to the network. After all aircraft receive it, use the reserved ID number to merge the target, and delete the ID number to be discarded from the ID number table.
(4)如果协同处理单元在分布式处理过程中发现目标重名,即两个不同目标被两个航空器用同一编识号向网络分发,则进行目标重名处理,接受航空器编识号小的航空器目标报告,丢弃航空器编识号大的航空器目标报告,并发出“解相关”指令,航空器编识号大的航空器发现重名或收到指令后,重新为目标分配编识号并向网络分发,所有航空器收到后在目标编识号表中登记新编识号。(4) If the cooperative processing unit finds that the target has the same name in the distributed processing process, that is, two different targets are distributed to the network by two aircraft with the same identification number, the target duplicate name processing will be performed, and the aircraft with the smaller identification number will be accepted. Aircraft target report, discard the target report of the aircraft with a large aircraft ID, and issue a "de-correlation" command. After the aircraft with a large aircraft ID is found to have the same name or received the command, the target will be assigned a new ID and distributed to the network. , all aircraft will register a new identification number in the target identification number table upon receipt.
(5)如果协同处理单元在分布式处理过程中发现航迹消失或作废,则删除航迹文件,并将目标编识号从编识号表中删除。(5) If the cooperative processing unit finds that the track disappears or is invalid during the distributed processing, it deletes the track file and deletes the target identification number from the identification number table.
3、网内所有传感器协同处理单元执行上述同样的操作。3. All sensors in the network cooperate with processing units to perform the same operations as above.
实施例Example
设定洋区飞行有A、B、C、D四架己方航空器,四机载架航空器机载ADS-B覆盖空间内需要识别的其他航空器目标总数不超过60个,ADS-B数据分布式处理中统一目标编识号过程如下:It is set that there are four own aircraft A, B, C, and D flying in the ocean area. The total number of other aircraft targets that need to be identified in the space covered by the four-aircraft ADS-B does not exceed 60, and the ADS-B data is processed in a distributed manner. The process of unified target number identification in China is as follows:
(1)建立目标编识号表,每个机载协同处理单元各自建立相同的目标编识号表,表长度为64,表地址为0~63,其中,0单元填0表示“不使用”,实际使用1~63,初始填FFH,表示“空”,如图1所示,图中N=63。目标编识号用一个字节表示,低6bit有效。(1) Establish a target identification number table. Each airborne cooperative processing unit establishes the same target identification number table. The table length is 64, and the table address is 0 to 63. Among them, fill in 0 with 0 to indicate "not used" , 1 to 63 are actually used, and FFH is initially filled, indicating "empty", as shown in Figure 1, where N=63. The target identification number is represented by one byte, and the lower 6 bits are valid.
(2)分配目标编识号,随着本航空器机载ADS-B的协同处理单元接收航空器航迹。假设A航空器接收一个新目标航迹,则A的协同处理单元在目标编识号表查找“空”单元,首先查到1号单元为“空”,将1作为编识号赋给该目标,并将1写入1号单元,指针加1,然后,将处理生成的1号目标航迹向B、C、D分发。B、C、D收到1号目标后,均将目标编识号“1”写入自己的目标编识号表1号单元,指针加1,随着A航空器连续跟踪1号目标,不断产生1号目标航迹更新数据向网内分发,B、C、D航空器持续接受该目标,相当于也连续跟踪到1号目标。(2) Assign the target identification number, and receive the aircraft track with the cooperative processing unit of the ADS-B onboard the aircraft. Assuming that the aircraft A receives a new target track, the cooperative processing unit of A searches for the "empty" unit in the target identification number table, first finds that the No. 1 unit is "empty", and assigns 1 as the identification number to the target,
(3)远端目标共享,同理,如果D航空器接收了一个新目标,D的协同处理单元在目标编识号表查找“空”单元,首先查到2号单元为“空”,将2作为编识号赋给该目标,并将“2”写入2号单元,指针加1,然后,将处理生成的2号目标航迹向A、B、C分发。A、B、C收到2号目标后,均将编识号“2”写入目标编识号表2号单元,指针加1,随着D航空器连续跟踪和信息分发,B、C、D航空器相当于也连续跟踪到2号目标。(3) Remote target sharing. Similarly, if aircraft D receives a new target, the cooperative processing unit of D searches for the "empty" unit in the target identification number table. The target is assigned as an identification number, and "2" is written into the No. 2 unit, the pointer is incremented by 1, and then the No. 2 target track generated by the processing is distributed to A, B, and C. After receiving target No. 2, A, B, and C all write the identification number "2" into the No. 2 unit of the target identification number table, and the pointer is incremented by 1. With the continuous tracking and information distribution of D aircraft, B, C, D The aircraft is equivalent to continuously tracking target No. 2.
(4)目标融合共享,如果2号目标处于机动状态,不断运动进入了A、D机载ADS-B重叠覆盖范围,A的协同处理单元在进行航迹数据处理过程中,会将2号目标已建航迹与本航空器接收的点迹、D航空器报告的2号航迹进行“相关”和融合,沿用编识号2标识融合航迹,并向网内分发,B、C、D收到后,均对2号目标航迹作数据更新;D航空器在下一个周期作同样的处理。(4) Target fusion and sharing, if target No. 2 is in a maneuvering state and continuously moves into the overlapping coverage of A and D airborne ADS-B, the cooperative processing unit of A will process target No. 2 in the process of track data processing. The established track is "correlated" and fused with the point track received by this aircraft and the No. 2 track reported by the D aircraft, and the fused track is identified by the
(5)目标多名处理,如果A、B两航空器同时接收同一个目标,A航空器以编识号3标识目标,B航空器以编识号4标识目标,均向网络分发,所有航空器收到后将编识号“3”写入目标编识号表3号单元、“4”写入4号单元,指针加2即指向5,然后融合处理识别出编识号3、编识号4为一个目标,即出现多名,这时,发现多名的航空器(1个或多个)向网络发送“相关”指令,通知3号、4号为一个目标,并且保留编识号“3”,丢弃编识号“4”,所有航空器收到后从编识号表中删除编识号4,即将4号单元恢复为“空”状态,但指针不修改,然后,以编识号3跟踪目标。(5) Multiple targets are processed. If two aircrafts A and B receive the same target at the same time, aircraft A will identify the target with
(6)目标重名处理,如果A、B两航空器都用5号标识各自接收新的目标,并向网络分发,所有航空器收到后进行“相关”处理,当识别两个5号目标不是同一个目标时,即出现重名,可默认A航空器报告的5号目标,丢弃B航空器报告的5号目标,并发出“解相关”指令,当B航空器发现重名或收到“解相关”指令后,重新将目标标识为6号向网络分发,然后,A航空器以编识号5、B航空器以编识号6跟踪和分发目标,C、D航空器相当于也连续跟踪到5号、6号目标,指针都指向7。(6) Target duplicate name processing. If both aircraft A and B use the No. 5 logo to receive a new target and distribute it to the network, all aircraft will perform "related" processing after receiving it. When it is recognized that the two No. 5 targets are not the same When a target has a duplicate name, it can default to target No. 5 reported by aircraft A, discard target No. 5 reported by aircraft B, and issue a "de-correlation" command. When aircraft B finds the same name or receives a "de-correlation" command After that, re-identify the target as No. 6 and distribute it to the network. Then, aircraft A tracks and distributes the target with ID number 5 and aircraft B with ID number 6. Aircraft C and D are equivalent to continuously tracking No. 5 and 6. The target, the pointers all point to 7.
(7)目标编识号删除,如果目标和/或航空器运动一段时间后,A航空器接收不到1号目标,则A的协同处理单元外推1号目标航迹,但外推航迹数据不向网络分发。如果连续外推若干周期均没收到ADS-B信息,也未收到该目标的远端报告,则判断1号目标航迹终止,应删除1号目标航迹文件,并从目标编识号表中删除编识号1,即将1单元恢复为“空”状态,指针不修改。B、C、D航空器作同样的处理,将编识号1从目标编识号表中删除。(7) The target identification number is deleted. If the target and/or the aircraft moves for a period of time, and the aircraft A cannot receive the target No. 1, the cooperative processing unit of A will extrapolate the target track of No. 1, but the extrapolated track data will not be used. Distribute to the network. If the ADS-B information and the remote report of the target are not received for several consecutive cycles of extrapolation, it is judged that the target track No. 1 is terminated, the target track file No. 1 should be deleted, and the target ID number table should be deleted. The
与现有分布式航迹融合方法相比,本发明提出的目标统一编识号方法,不需要事先网络规划,由多航空器共用同一个目标编识号段,通过竞争方式,实现分布式ADS-B数据处理中目标统一标识,而且网内每个机载ADS-B接收机探测到的目标数据都用于航迹更新,使得统一航迹的点密度更高、更精确、时延更小。而现有的分布式航迹融合必须进行事先网络规划,为每个传感器航空器分配互不重叠的目标编识号段,多航空器通过航迹择优、编识号接替实现目标编识号统一,其择优过程导致航迹点密度较小,航迹精度和时延指标难以满足国际民航组织缩小飞行间隔的要求。Compared with the existing distributed track fusion method, the unified target numbering method proposed by the present invention does not require prior network planning, and multiple aircraft share the same target numbering and numbering segment, and realize distributed ADS-IDS through competition. Targets are uniformly identified in B data processing, and the target data detected by each airborne ADS-B receiver in the network is used for track update, making the point density of the unified track higher, more accurate, and less time delay. However, in the existing distributed track fusion, network planning must be carried out in advance, and non-overlapping target identification number segments are allocated to each sensor aircraft. The selection process leads to a small density of track points, and the track accuracy and delay indicators cannot meet the requirements of ICAO to narrow the flight interval.
与现有集中式点迹融合方法相比,本发明提出的目标统一编识号方法,不依赖ADS-B地面站,空中各航空器协同处理单元运行同样的软件,执行同样的算法,自主实现目标统一编识号,特别适用于跨洋飞行、时延敏感应用的洋区和沙漠等地面设施稀缺环境。而现有的集中式点迹融合,仅适用于多航空器ADS-B航迹汇聚到ADS-B地面站集中处理,形成统一航迹后再返送到每个航空器,占用信道多,处理时延大,对地面设施要求高,难以满足ADS-B在偏远地区和洋区飞行的应用要求。Compared with the existing centralized point trace fusion method, the unified target numbering method proposed by the present invention does not rely on the ADS-B ground station, and the cooperative processing units of each aircraft in the air run the same software, execute the same algorithm, and realize the target autonomously. Unified identification number, especially suitable for transoceanic flight, time-delay-sensitive applications in ocean areas and deserts where ground facilities are scarce. However, the existing centralized point trace fusion is only suitable for the aggregation of multiple aircraft ADS-B tracks to the ADS-B ground station for centralized processing, forming a unified track and then returning it to each aircraft, which occupies many channels and causes a large processing delay. , it has high requirements for ground facilities, and it is difficult to meet the application requirements of ADS-B flying in remote areas and oceanic areas.
本发明提供了一种基于机载ADS-B的航空器识别号统一编码方法,具体实现该技术方案的方法和途径很多,以上所述仅是本发明的优选实施方式,应当指出,对于本技术领域的普通技术人员来说,在不脱离本发明原理的前提下,还可以做出若干改进和润饰,这些改进和润饰也应视为本发明的保护范围。本实施例中未明确的各组成部分均可用现有技术加以实现。The present invention provides a unified coding method for aircraft identification numbers based on airborne ADS-B. There are many specific methods and approaches for implementing this technical solution. The above are only the preferred embodiments of the present invention. It should be pointed out that for the technical field For those of ordinary skill in the art, without departing from the principle of the present invention, several improvements and modifications can also be made, and these improvements and modifications should also be regarded as the protection scope of the present invention. All components not specified in this embodiment can be implemented by existing technologies.
| Application Number | Priority Date | Filing Date | Title |
|---|---|---|---|
| CN202110967030.XACN113422847B (en) | 2021-08-23 | 2021-08-23 | Aircraft identification number unified coding method based on airborne ADS-B |
| Application Number | Priority Date | Filing Date | Title |
|---|---|---|---|
| CN202110967030.XACN113422847B (en) | 2021-08-23 | 2021-08-23 | Aircraft identification number unified coding method based on airborne ADS-B |
| Publication Number | Publication Date |
|---|---|
| CN113422847Atrue CN113422847A (en) | 2021-09-21 |
| CN113422847B CN113422847B (en) | 2021-11-02 |
| Application Number | Title | Priority Date | Filing Date |
|---|---|---|---|
| CN202110967030.XAActiveCN113422847B (en) | 2021-08-23 | 2021-08-23 | Aircraft identification number unified coding method based on airborne ADS-B |
| Country | Link |
|---|---|
| CN (1) | CN113422847B (en) |
| Publication number | Priority date | Publication date | Assignee | Title |
|---|---|---|---|---|
| CN114120717A (en)* | 2021-11-29 | 2022-03-01 | 四川九洲空管科技有限责任公司 | An ADS-B Anti-collision Method Based on DO185B Standard |
| CN114675259A (en)* | 2022-03-28 | 2022-06-28 | 中国电子科技集团公司第五十二研究所 | A Real-time and Efficient Fusion Method of Heterogeneous Target Track Data |
| CN114910073A (en)* | 2022-05-07 | 2022-08-16 | 中国航空工业集团公司沈阳飞机设计研究所 | Multi-platform situation unifying method and system |
| CN116720387A (en)* | 2023-08-08 | 2023-09-08 | 河海大学 | Target compound tracking system architecture modeling method based on edge calculation |
| Publication number | Priority date | Publication date | Assignee | Title |
|---|---|---|---|---|
| US20090322589A1 (en)* | 2007-06-01 | 2009-12-31 | Dooley Graham C | Methods and apparatus for assignment and maintenance of unique aircraft addresses for tis-b services |
| CN102194332A (en)* | 2011-03-24 | 2011-09-21 | 中国船舶重工集团公司第七○九研究所 | Self-adaptation flight path data correlation method |
| CN105426256A (en)* | 2015-11-03 | 2016-03-23 | 中国电子科技集团公司第二十八研究所 | Multi-process collaboration based large-batch real-time target concurrent processing method |
| CN106528669A (en)* | 2016-10-31 | 2017-03-22 | 青岛海信电器股份有限公司 | Identification information processing method for terminal device, and device and system |
| CN107390164A (en)* | 2017-06-13 | 2017-11-24 | 中国科学院声学研究所 | A kind of continuous tracking method of underwater distributed multi-source target |
| CN110298239A (en)* | 2019-05-21 | 2019-10-01 | 平安科技(深圳)有限公司 | Target monitoring method, apparatus, computer equipment and storage medium |
| CN111277677A (en)* | 2020-01-21 | 2020-06-12 | 成都民航空管科技发展有限公司 | ADS-B-based aircraft address code conflict detection method and system |
| CN111882582A (en)* | 2020-07-24 | 2020-11-03 | 广州云从博衍智能科技有限公司 | Image tracking correlation method, system, device and medium |
| CN112488061A (en)* | 2020-12-18 | 2021-03-12 | 电子科技大学 | Multi-aircraft detection and tracking method combined with ADS-B information |
| CN112946624A (en)* | 2021-03-01 | 2021-06-11 | 西安交通大学 | Multi-target tracking algorithm based on flight path management method |
| CN113157800A (en)* | 2021-03-31 | 2021-07-23 | 西南电子技术研究所(中国电子科技集团公司第十研究所) | Identification method for discovering dynamic target in air in real time |
| US20210233417A1 (en)* | 2018-04-27 | 2021-07-29 | Seamatica Aerospace Ltd. | Method and system for communicating unicast/multicast messages using automatic dependent surveillance - broadcast (ads-b) protocol |
| Publication number | Priority date | Publication date | Assignee | Title |
|---|---|---|---|---|
| US20090322589A1 (en)* | 2007-06-01 | 2009-12-31 | Dooley Graham C | Methods and apparatus for assignment and maintenance of unique aircraft addresses for tis-b services |
| CN102194332A (en)* | 2011-03-24 | 2011-09-21 | 中国船舶重工集团公司第七○九研究所 | Self-adaptation flight path data correlation method |
| CN105426256A (en)* | 2015-11-03 | 2016-03-23 | 中国电子科技集团公司第二十八研究所 | Multi-process collaboration based large-batch real-time target concurrent processing method |
| CN106528669A (en)* | 2016-10-31 | 2017-03-22 | 青岛海信电器股份有限公司 | Identification information processing method for terminal device, and device and system |
| CN107390164A (en)* | 2017-06-13 | 2017-11-24 | 中国科学院声学研究所 | A kind of continuous tracking method of underwater distributed multi-source target |
| US20210233417A1 (en)* | 2018-04-27 | 2021-07-29 | Seamatica Aerospace Ltd. | Method and system for communicating unicast/multicast messages using automatic dependent surveillance - broadcast (ads-b) protocol |
| CN110298239A (en)* | 2019-05-21 | 2019-10-01 | 平安科技(深圳)有限公司 | Target monitoring method, apparatus, computer equipment and storage medium |
| CN111277677A (en)* | 2020-01-21 | 2020-06-12 | 成都民航空管科技发展有限公司 | ADS-B-based aircraft address code conflict detection method and system |
| CN111882582A (en)* | 2020-07-24 | 2020-11-03 | 广州云从博衍智能科技有限公司 | Image tracking correlation method, system, device and medium |
| CN112488061A (en)* | 2020-12-18 | 2021-03-12 | 电子科技大学 | Multi-aircraft detection and tracking method combined with ADS-B information |
| CN112946624A (en)* | 2021-03-01 | 2021-06-11 | 西安交通大学 | Multi-target tracking algorithm based on flight path management method |
| CN113157800A (en)* | 2021-03-31 | 2021-07-23 | 西南电子技术研究所(中国电子科技集团公司第十研究所) | Identification method for discovering dynamic target in air in real time |
| Title |
|---|
| LI WEIQIANG等: "Multiple Object Tracking with Motion and Appearance Cues", 《2019 IEEE/CVF INTERNATIONAL CONFERENCE ON COMPUTER VISION WORKSHOP (ICCVW)》* |
| 钱泷: "基于DenseNet的无人机在线多目标跟踪算法", 《电脑知识与技术》* |
| Publication number | Priority date | Publication date | Assignee | Title |
|---|---|---|---|---|
| CN114120717A (en)* | 2021-11-29 | 2022-03-01 | 四川九洲空管科技有限责任公司 | An ADS-B Anti-collision Method Based on DO185B Standard |
| CN114120717B (en)* | 2021-11-29 | 2022-09-20 | 四川九洲空管科技有限责任公司 | ADS-B anti-collision method based on DO185B standard |
| CN114675259A (en)* | 2022-03-28 | 2022-06-28 | 中国电子科技集团公司第五十二研究所 | A Real-time and Efficient Fusion Method of Heterogeneous Target Track Data |
| CN114675259B (en)* | 2022-03-28 | 2025-06-13 | 中国电子科技集团公司第五十二研究所 | A real-time and efficient fusion method for heterogeneous target track data |
| CN114910073A (en)* | 2022-05-07 | 2022-08-16 | 中国航空工业集团公司沈阳飞机设计研究所 | Multi-platform situation unifying method and system |
| CN116720387A (en)* | 2023-08-08 | 2023-09-08 | 河海大学 | Target compound tracking system architecture modeling method based on edge calculation |
| CN116720387B (en)* | 2023-08-08 | 2023-10-13 | 河海大学 | Target compound tracking system architecture modeling method based on edge calculation |
| Publication number | Publication date |
|---|---|
| CN113422847B (en) | 2021-11-02 |
| Publication | Publication Date | Title |
|---|---|---|
| CN113422847B (en) | Aircraft identification number unified coding method based on airborne ADS-B | |
| CN106371091B (en) | The data fusion method and device of ADS-B and secondary radar monitoring information | |
| CN107808552B (en) | Flight behavior detection method and device | |
| US5712785A (en) | Aircraft landing determination apparatus and method | |
| US10613222B2 (en) | Probabilistic weather severity estimation system | |
| CN109934368B (en) | Method, device and system for predicting order quantity and order state | |
| CN115775473B (en) | An aircraft positioning system in the ADS-B aviation surveillance system | |
| JP7164633B2 (en) | Information processing equipment | |
| CN110751858A (en) | Multi-element operation information correlation method suitable for abnormal status information of continuous flight | |
| CN115357041A (en) | Unmanned aerial vehicle group monitoring method and system based on 5G mobile networking and electronic equipment | |
| CN108496165A (en) | A kind of data processing method, apparatus and system | |
| CN107959592A (en) | A kind of restructural wireless communications network architectural framework and its reconstruct implementation method | |
| CN112133137B (en) | Method and device for checking consistency between ITWR system and ATC system | |
| CN110796901A (en) | An air traffic situation risk hot spot identification method | |
| JP2007147306A (en) | Tracking processing system | |
| WO2002007385A1 (en) | Monitoring control device | |
| US11928978B2 (en) | Airport mapping database using a node-edge network of geospatial objects | |
| EP4152297B1 (en) | Systems and methods for multi-sensor correlation of airspace surveillance data | |
| CN111741525A (en) | Updating method and device of positioning fingerprint, storage medium and electronic equipment | |
| CN116703063A (en) | Multi-task scheduling management method, device, equipment and storage medium | |
| Gerbeth et al. | Satellite selection in the context of an operational GBAS | |
| CN111210670A (en) | Method and system for centralized allocation of secondary radar transponder codes | |
| CN112002147B (en) | Method and device for checking correlation between ATC (advanced telecom computing) system and ITWR (International telecom computing platform) system | |
| Chen et al. | Travel Time Prediction for Multi-Airport Systems Via Multiclass Queuing Networks | |
| CN116184314A (en) | ADS-B Station Location Selection Method for Civil Aviation Multilateration |
| Date | Code | Title | Description |
|---|---|---|---|
| PB01 | Publication | ||
| PB01 | Publication | ||
| SE01 | Entry into force of request for substantive examination | ||
| SE01 | Entry into force of request for substantive examination | ||
| GR01 | Patent grant | ||
| GR01 | Patent grant |