Movatterモバイル変換


[0]ホーム

URL:


CN113419430A - Design method and system of event trigger controller of automobile adaptive cruise control system - Google Patents

Design method and system of event trigger controller of automobile adaptive cruise control system
Download PDF

Info

Publication number
CN113419430A
CN113419430ACN202110826619.8ACN202110826619ACN113419430ACN 113419430 ACN113419430 ACN 113419430ACN 202110826619 ACN202110826619 ACN 202110826619ACN 113419430 ACN113419430 ACN 113419430A
Authority
CN
China
Prior art keywords
module
event trigger
input signal
adaptive cruise
automobile
Prior art date
Legal status (The legal status is an assumption and is not a legal conclusion. Google has not performed a legal analysis and makes no representation as to the accuracy of the status listed.)
Granted
Application number
CN202110826619.8A
Other languages
Chinese (zh)
Other versions
CN113419430B (en
Inventor
李永明
吴蕊彤
于昆廷
佟绍成
白锐
Current Assignee (The listed assignees may be inaccurate. Google has not performed a legal analysis and makes no representation or warranty as to the accuracy of the list.)
Liaoning University of Technology
Original Assignee
Liaoning University of Technology
Priority date (The priority date is an assumption and is not a legal conclusion. Google has not performed a legal analysis and makes no representation as to the accuracy of the date listed.)
Filing date
Publication date
Application filed by Liaoning University of TechnologyfiledCriticalLiaoning University of Technology
Priority to CN202110826619.8ApriorityCriticalpatent/CN113419430B/en
Publication of CN113419430ApublicationCriticalpatent/CN113419430A/en
Application grantedgrantedCritical
Publication of CN113419430BpublicationCriticalpatent/CN113419430B/en
Activelegal-statusCriticalCurrent
Anticipated expirationlegal-statusCritical

Links

Images

Classifications

Landscapes

Abstract

Translated fromChinese

发明公开了一种汽车自适应巡航控制系统事件触发控制器的设计方法及系统,所述事件触发控制方法的结构包括虚拟控制器模块、自适应律模块、事件触发机制模块、事件触发输入信号模块和汽车自适应巡航控制系统。大部分现有的针对汽车自适应巡航控制系统的方法中,都能够实现被控车辆与前车的跟随,而本发明不但能够实现一般的跟随,而且通过指定性能理论可以实现被控车辆与前车始终保持在安全行驶距离范围之内,完全避免相撞的可能性,并且采用事件触发控制方法减少网络传输中数据的传输次数。

Figure 202110826619

The invention discloses a design method and system of an event-triggered controller of an automobile adaptive cruise control system. The structure of the event-triggered control method includes a virtual controller module, an adaptive law module, an event-triggered mechanism module, and an event-triggered input signal module. and car adaptive cruise control. Most of the existing methods for automobile adaptive cruise control system can realize the following of the controlled vehicle and the preceding vehicle, and the present invention can not only realize the general following, but also can realize the controlled vehicle and the preceding vehicle by specifying the performance theory. The car is always kept within a safe driving distance, completely avoiding the possibility of collision, and the event-triggered control method is used to reduce the number of data transmissions in network transmission.

Figure 202110826619

Description

Design method and system of event trigger controller of automobile adaptive cruise control system
Technical Field
The invention relates to the field of adaptive cruise control, in particular to a design method and a system of an event trigger controller of an automobile adaptive cruise control system.
Background
In recent years, the automobile industry has been dedicated to research and development of driving assistance systems, aiming at improving road traffic safety, reducing traffic accidents caused by human factors, and reducing energy consumption. Today, the rapid development of science and technology, it is important to establish a modern intelligent traffic system, which is one of the most widely used driving assistance systems, namely, an adaptive cruise control system, which can keep a certain distance between a vehicle and a preceding vehicle and drive the vehicle at a set speed on the premise that the driver does not operate the vehicle, so that the fatigue of the driver can be reduced, and the driving safety can be improved to a certain extent.
In the field of longitudinal motion control, the self-adaptive cruise control system can replace a driver to operate and adjust the opening of an accelerator of a vehicle and brake the vehicle, and the automatic longitudinal control capability of the vehicle is improved, so that traffic accidents caused by fatigue driving caused by long-time operation of the vehicle by the driver are reduced. Currently, although many control techniques are available for automotive adaptive cruise control systems. However, the prior art still has the following problems: in the control method of the automobile adaptive cruise system, although the prior art can avoid the collision of the vehicle, the event trigger control is not considered; most of the existing control methods only consider research under ideal conditions, and do not consider other external interference factors, such as weather and the like.
Disclosure of Invention
The invention provides a design method and a system of an event trigger controller of an automobile adaptive cruise control system, which aim to overcome the problems.
The method comprises the following steps:
step 1, establishing an automobile adaptive cruise system, and inputting information into a virtual controller, wherein the information is vehicle speed information obtained by a sensor in the automobile adaptive cruise system and a vehicle-mounted network;
step 2, establishing a virtual controller module, wherein the virtual controller module is used for calculating a virtual controller of the automobile adaptive cruise control system through a nonlinear model of the automobile adaptive cruise control system;
step 3, establishing an adaptive law module, processing the information output by the adaptive law module, and transmitting the processed information to an event trigger mechanism module;
step 4, the event trigger mechanism module designs a trigger mechanism corresponding to the system to obtain a trigger condition of the event trigger input signal module, and the event trigger mechanism module calculates to obtain an input signal by using output information in the virtual controller module;
triggering a triggering condition, activating an event triggering input signal module, updating an input signal at a triggering moment by the input signal, transmitting the input signal at the triggering moment to an automobile self-adaptive cruise system, and receiving the updated signal by the system;
the trigger condition is not triggered, and the control signal is always kept by the zero-order retainer;
and 5, transmitting the updated input signal back to the automobile self-adaptive cruise control system by the event trigger input signal module, and receiving the updated input signal by the automobile self-adaptive cruise control system.
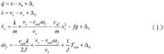
Further, the model of the automobile adaptive cruise control system instep 1 is as follows:
Figure BDA0003173989660000021
wherein s is the current actual distance between the two vehicles, s0Desired distance for the controlled vehicle to follow the leading vehicle, vxIs the longitudinal speed, v, of the vehiclesIs the front vehicle speed, and k is the vehicle driving force FwfAnd slip ratio
Figure BDA0003173989660000022
Of a proportionality coefficient, i.e.
Figure BDA0003173989660000023
rradIs the effective radius of the tire, omegafAs angular velocity of the wheel, cafIs an air resistance coefficient, f isCoefficient of rolling resistance, m is the mass of the vehicle, g is the acceleration of gravity, J is the moment of inertia of the tire, TvehFor the drive torque applied to the front wheels, Δi(i ═ 1,2,3,4) are weather factors, roughness of the road surface, aging of the sensors and other interference factors that can affect the sensors of the automobile itself.
Further,step 2 comprises:
step 21, designing a dynamic virtual error surface:
Figure BDA0003173989660000031
zi=xii
πi=ξii-1,i=2,3,4 (3)
wherein eta ismin> 0 and ηmax0 is a design parameter, upsilon (t) is a conversion signal, and x1Is an error integral term q, x2Is the actual distance s, x between the controlled vehicle and the front vehicle3Is the front vehicle speed vs,x4Is the angular velocity omega of the tiref;πiFor first-order filtering the output error, the first-order filtering is in the form of
Figure BDA0003173989660000032
ξi(0)=αi-1(0) I-1, 2,3,4 wherein τiIs a given constant; xiiIs an intermediate state variable, αi-1For the virtual controller, the estimation error is
Figure BDA0003173989660000033
(i=1,2,3,4),
Figure BDA0003173989660000034
Is TiAn estimated value of (d);
step 22, designing a virtual controller as follows:
Figure BDA0003173989660000035
Figure BDA0003173989660000036
Figure BDA0003173989660000037
wherein, c1,c2,c3In order to design the parameters for the real purpose,
Figure BDA0003173989660000038
are respectively T1、T2、T3Estimate of (b), z1,z2,z3Is a virtual error surface for the system,
Figure BDA0003173989660000039
to specify the performance function parameters, vxAs is the longitudinal speed of the vehicle,
Figure BDA00031739896600000310
and
Figure BDA00031739896600000311
are respectively xi2,ξ3The derivative of (c), ζ is the tracking error,
Figure BDA00031739896600000312
desired distance s for controlled vehicle0
Figure BDA00031739896600000313
k is a proportionality coefficient, and m is a vehicle mass;
Figure BDA00031739896600000314
cafis the air resistance coefficient; -fg-n, f is the rolling resistance coefficient, g is the gravitational acceleration; and a, b, n and k are all designed virtual controller adjusting parameters.
The system of the invention comprises:
the system comprises a virtual controller module, an adaptive law module, an event trigger mechanism module, an event trigger input signal module and an automobile adaptive cruise system;
the input of the virtual controller module is connected with the output end of the automobile self-adaptive cruise control system,
the output end of the virtual controller module is respectively connected with the input ends of the adaptive law module and the event trigger mechanism module,
the input end of the event trigger input signal module is connected with the output end of the event trigger mechanism module,
the output end of the self-adaptive law module is connected with the input end of the virtual controller module,
the output end of the event trigger input signal module is connected with the input end of the automobile self-adaptive cruise control system;
the virtual controller module is used for obtaining a virtual controller of the system through a nonlinear model of the automobile self-adaptive cruise control system;
the self-adaptive law module is used for calculating the dynamic change of the self-adaptive parameters and sending the dynamic change to the virtual controller module;
the event trigger mechanism module is used for judging whether the current input signal meets the trigger condition.
Further, the adaptive law module is:
Figure BDA0003173989660000041
Figure BDA0003173989660000042
wherein, betaiI is 1,2,3,4 and phiiI is a positive design constant, z is 1,2,3,41,z2,z3,z4Is a virtual error surface.
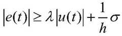
Further, the event triggering mechanism module is as follows:
Figure BDA0003173989660000043
wherein, tkk,kk∈Z+,
Figure BDA0003173989660000044
Lambda is a transmission control law and satisfies that lambda is more than 0 and less than 1; j is the moment of inertia of the tire; e (t) ═ ω (t) -u (t) is the measurement error, u (t) is the input signal, ω (t) is the updated signal, and σ is the positive design parameter;
further, the event trigger input signal module is:
Figure BDA0003173989660000045
u (t) is an input signal when the trigger input signal module is triggered
Figure BDA0003173989660000046
During which the input signal is held at a constant ω (t)kk)。
If the trigger requirement is not met, the event trigger input module does not work, the input signal is kept by the zero-order retainer until the signal meeting the trigger requirement is received, and triggering is carried out;
if the trigger requirement is met, the event trigger input module is activated to trigger the input signal u (t) at the momentkk+1) To the adaptive cruise system.
Most of the existing methods for the automobile adaptive cruise control system can realize the following of the controlled vehicle and the front vehicle, but the method not only can realize general following, but also can realize that the controlled vehicle and the front vehicle are always kept within a safe driving distance range through a specified performance theory, thereby completely avoiding the possibility of collision, reducing the waste of resources after adopting event triggering and greatly reducing the transmission times of data in network transmission.
The event trigger controller is applied to the self-adaptive cruise system, so that the consumption of communication resources is effectively reduced, and the collision of vehicles is completely avoided to the maximum extent by a specified performance theory.
Drawings
In order to more clearly illustrate the embodiments of the present invention or the technical solutions in the prior art, the drawings needed to be used in the description of the embodiments or the prior art will be briefly introduced below, and it is obvious that the drawings in the following description are some embodiments of the present invention, and for those skilled in the art, other drawings can be obtained according to these drawings without creative efforts.
FIG. 1 is a schematic diagram of an adaptive event trigger control for an adaptive cruise control system for an automobile;
FIG. 2 is a graph showing the effect of tracking the distance between a controlled vehicle and a leading vehicle;
FIG. 3 is a graph of wheel angular velocity of a wheel of the controlled vehicle;
FIG. 4 is a diagram of the effect of the updated control signal after an event trigger;
FIG. 5 is an adaptive parameter
Figure BDA0003173989660000051
A graph;
FIG. 6 is an adaptive parameter
Figure BDA0003173989660000052
A graph;
FIG. 7 is an adaptive parameter
Figure BDA0003173989660000053
A graph;
FIG. 8 is an adaptive parameter
Figure BDA0003173989660000054
Graph is shown.
Detailed Description
In order to make the objects, technical solutions and advantages of the embodiments of the present invention clearer, the technical solutions in the embodiments of the present invention will be clearly and completely described below with reference to the drawings in the embodiments of the present invention, and it is obvious that the described embodiments are some, but not all, embodiments of the present invention. All other embodiments, which can be derived by a person skilled in the art from the embodiments given herein without making any creative effort, shall fall within the protection scope of the present invention.
The design method of the event trigger controller of the automobile adaptive cruise control system comprises the following steps:
step 1, establishing an automobile adaptive cruise system, and inputting information into a virtual controller, wherein the information is vehicle speed information obtained by a sensor in the automobile adaptive cruise system and a vehicle-mounted network;
step 2, establishing a virtual controller module, wherein the virtual controller module is used for calculating a virtual controller of the automobile adaptive cruise control system through a nonlinear model of the automobile adaptive cruise control system;
step 3, establishing an adaptive law module, processing the information output by the adaptive law module, and transmitting the processed information to an event trigger mechanism module;
step 4, the event trigger mechanism module designs a trigger mechanism corresponding to the system to obtain a trigger condition of the event trigger input signal module;
triggering a triggering condition, activating an event triggering input signal module, updating an input signal at a triggering moment by the input signal, calculating the input signal by using output information in a virtual controller module by an event triggering mechanism module, transmitting the input signal at the triggering moment to an automobile self-adaptive cruise system, and receiving the updated signal by the system;
the trigger condition is not triggered, and the control signal is always kept by the zero-order retainer;
and 5, transmitting the updated input signal back to the automobile self-adaptive cruise control system by the event trigger input signal module, and receiving the updated input signal by the automobile self-adaptive cruise control system.
2. The structure of the system of the invention comprises: the system comprises a virtual controller module, an adaptive law module, an event trigger mechanism module, an event trigger input signal module and an automobile cruise system, wherein the input of the virtual controller module is connected with the output end of the automobile adaptive cruise control system, the output end of the virtual controller module is respectively connected with the input ends of the adaptive law module and the event trigger mechanism module, the input end of the event trigger input signal module is connected with the output end of the event trigger mechanism module, the output end of the adaptive law module is connected with the input end of the virtual controller module, and the output end of the event trigger input signal module is connected with the input end of the automobile adaptive cruise control system.
The system needs to establish the following modules:
A. establishing automobile self-adaptive cruise control system model
The model of the automobile self-adaptive cruise control system is described by the following differential equation:
Figure BDA0003173989660000071
wherein s is the current actual distance between the two vehicles, s0Desired distance for the controlled vehicle to follow the leading vehicle, vxIs the longitudinal speed, v, of the vehiclesIs the front vehicle speed, and k is the vehicle driving force FwfAnd slip ratio
Figure BDA0003173989660000072
The scaling factor of (a) is,
Figure BDA0003173989660000073
namely, it is
Figure BDA0003173989660000074
rradIs the effective radius, omega, of the tirefIs the angular velocity of the wheel, cafIs the air resistance coefficient, f is the rolling resistance coefficient, m is the vehicle mass, g is the gravitational acceleration, J is the tire moment of inertia, TvehIs the drive torque, Δ, applied to the front wheelsi(i ═ 1,2,3,4) as a weather factor, roughness of the road surface, aging of the sensors and other factors that may be generated in the sensors of the vehicle itselfInterference factors influencing the interference.
B. Virtual controller module
The virtual controller module has the main function of obtaining the virtual controller of the system through the nonlinear model of the automobile adaptive cruise control system.
The treatment method comprises the following steps:
firstly, designing a dynamic virtual error surface in the following form:
Figure BDA0003173989660000075
zi=xii
πi=ξii-1,i=2,3,4 (3)
wherein eta ismin> 0 andηmax0 is a design parameter, upsilon (t) is a switching signal, x1Representing the error integral term q, x2Representing the actual distance s, x between the controlled vehicle and the front vehicle3Representing front vehicle speed vs,x4Representing angular velocity omega of tyref;πiIs a first order filtering output error in the form of a first order filter
Figure BDA0003173989660000076
ξi(0)=αi-1(0) I-1, 2,3,4 wherein τiIs a given constant; xiiIs an intermediate state variable, αi-1Is a virtual controller. In order to overcome the influence caused by parameter uncertainty, a parameter estimator needs to be designed to estimate the range of unknown parameters, and the estimation error has
Figure BDA0003173989660000077
(i ═ 1,2,3,4), wherein
Figure BDA0003173989660000078
Is TiIs estimated.
The virtual controller is then of the form:
Figure BDA0003173989660000081
Figure BDA0003173989660000082
Figure BDA0003173989660000083
wherein, c1,c2,c3In order to design the parameters for the real purpose,
Figure BDA0003173989660000084
are each T1,T2,T3Estimate of (b), z1,z2,z3Is a virtual error surface of the system,
Figure BDA0003173989660000085
to specify the performance function parameters, vxAs is the longitudinal speed of the vehicle,
Figure BDA0003173989660000086
and
Figure BDA0003173989660000087
are respectively xi2,ξ3The derivative of (c), ζ is the tracking error,
Figure BDA0003173989660000088
desired distance s for controlled vehicle0The time derivative is a derivative of the time,
Figure BDA0003173989660000089
where k is the proportionality coefficient, m is the vehicle mass,
Figure BDA00031739896600000810
wherein c isafIs the coefficient of air resistance, -fg-n, where f is the coefficient of rolling resistance and g is the acceleration of gravity. The values of a, b, n,
Figure BDA00031739896600000811
are all designed virtual controller tuning parameters.
C. Adaptive law module
The function of the self-adaptive law module is to calculate the dynamic change of the self-adaptive parameters, calculate and send the dynamic change of the self-adaptive parameters to the virtual controller module.
Introducing an adaptive law to adaptive parameters in an automobile adaptive cruise control system:
Figure BDA00031739896600000812
Figure BDA00031739896600000813
wherein, betaiI is 1,2,3,4 and phiiI is a positive design constant, z is 1,2,3,41,z2,z3,z4Is a virtual error surface.
D. Event trigger mechanism module
The function of the event trigger mechanism module is to judge whether the current input signal meets the trigger condition.
The event trigger mechanism is as follows:
Figure BDA00031739896600000814
wherein J is the moment of inertia of the tire; lambda is a transmission control law and satisfies that lambda is more than 0 and less than 1; e (t) ═ ω (t) -u (t) is the measurement error, u (t) is the input signal, ω (t) is the updated signal, and σ is the positive design parameter;
E. event trigger input signal module
The automobile self-adaptive cruise control event trigger controller comprises the following components:
Figure BDA0003173989660000091
u (t) is the input signal, when (10) is triggered, at
Figure BDA0003173989660000092
During the period (non-trigger time), the input signal is held constant, i.e. ω (t)kk)。
If the trigger requirement is not met, the event trigger input module does not work, the input signal is kept by the zero-order retainer until the signal meeting the trigger requirement is received, and triggering is carried out;
if the triggering requirement is met, the event triggering input module is activated to trigger the input signal omega (t) at the momentkk+1) To the adaptive cruise system.
And (3) explaining the working principle of the whole process:
the invention relates to a design method of an event trigger controller of an automobile adaptive cruise control system, which has a structure shown in figure 1. While the vehicle is running, the front vehicle speed vsLongitudinal speed v of the controlled vehiclexAnd the angular velocity omega of the wheel during travelfInputting the information into the virtual controller module to obtain the virtual controller alphai(i ═ 1,2,3), adaptive parameters in the adaptive law module
Figure BDA0003173989660000093
The variable is transmitted to the input end of the virtual controller module for variable calculation, and the auxiliary virtual controller obtained by the virtual controller module
Figure BDA0003173989660000094
The updated input signal is transmitted back to the automobile self-adaptive cruise control system by the event triggering input signal module. The design aim of the invention is to enable the automobile adaptive cruise control system to effectively reduce unnecessary network transmission resources after adding the event trigger control method, and further prevent vehicle collision after combining with a specified performance theory.
The simulation results are shown in fig. 2 to 8. FIG. 2 is a graph showing the effect of tracking the distance between the controlled vehicle and the leading vehicle, FIG. 3 is a graph showing the angular velocity of the wheels of the controlled vehicle, FIG. 4 is a graph showing the effect of the control signal updated after event triggering, and FIG. 5 is a graph showing the effect of the adaptive parameters
Figure BDA0003173989660000095
FIG. 6 is a graph of adaptive parameters
Figure BDA0003173989660000096
FIG. 7 is a graph of adaptive parameters
Figure BDA0003173989660000097
FIG. 8 is a graph of adaptive parameters
Figure BDA0003173989660000098
And the graph shows that the controlled vehicle and the front vehicle can well follow and tend to be stable through the simulation result graph.
The whole beneficial effects are as follows:
(1) the event trigger controller is added in the invention, so that the vehicle collision is avoided, and the network resource transmission quantity can be saved.
(2) In the invention, the influence of external interference on the vehicle is considered, so that the method is more universal and persuasive.
(3) Most cruise systems have anti-collision capacity, but cannot completely ensure that vehicles cannot collide with each other, and the controlled vehicle and the front vehicle can keep a certain distance by combining with a specified performance theory.
Finally, it should be noted that: the above embodiments are only used to illustrate the technical solution of the present invention, and not to limit the same; while the invention has been described in detail and with reference to the foregoing embodiments, it will be understood by those skilled in the art that: the technical solutions described in the foregoing embodiments may still be modified, or some or all of the technical features may be equivalently replaced; and the modifications or the substitutions do not make the essence of the corresponding technical solutions depart from the scope of the technical solutions of the embodiments of the present invention.

Claims (7)

1. A design method of an event trigger controller of an automobile adaptive cruise control system is characterized by comprising the following steps:
step 1, establishing an automobile adaptive cruise system, and inputting information into a virtual controller, wherein the information is vehicle speed information obtained by a sensor in the automobile adaptive cruise system and a vehicle-mounted network;
step 2, establishing a virtual controller module, wherein the virtual controller module is used for calculating a virtual controller of the automobile adaptive cruise control system through a nonlinear model of the automobile adaptive cruise control system;
step 3, establishing an adaptive law module, and transmitting the information output by the adaptive law module to an event trigger mechanism module;
step 4, the event trigger mechanism module designs a trigger mechanism corresponding to the system to obtain a trigger condition of the event trigger input signal module, and the event trigger mechanism module calculates to obtain an input signal by using output information in the virtual controller module;
triggering a triggering condition, activating an event triggering input signal module, updating an input signal at a triggering moment by the input signal, transmitting the input signal at the triggering moment to an automobile self-adaptive cruise system, and receiving the updated signal by the system;
the trigger condition is not triggered, and the control signal is always kept by the zero-order retainer;
and 5, transmitting the updated input signal back to the automobile self-adaptive cruise control system by the event trigger input signal module, and receiving the updated input signal by the automobile self-adaptive cruise control system.
2. The method for designing an event trigger controller of an automobile adaptive cruise control system according to claim 1, wherein the automobile adaptive cruise control system model in the step 1 is as follows:
Figure FDA0003173989650000011
wherein s is the current actual distance between the two vehicles, s0Desired distance for the controlled vehicle to follow the leading vehicle, vxIs the longitudinal speed, v, of the vehiclesIs the front vehicle speed, and k is the vehicle driving force FwfAnd slip ratio
Figure FDA0003173989650000012
Of a proportionality coefficient, i.e.
Figure FDA0003173989650000021
rradIs the effective radius of the tire, omegafAs angular velocity of the wheel, cafIs the air resistance coefficient, f is the rolling resistance coefficient, m is the vehicle mass, g is the gravitational acceleration, J is the tire moment of inertia, TvehFor the drive torque applied to the front wheels, Δi(i ═ 1,2,3,4) are weather factors, roughness of the road surface, aging of the sensors and other interference factors that can affect the sensors of the automobile itself.
3. The design method of the event trigger controller of the automobile adaptive cruise control system according to claim 2, wherein the step 2 comprises the following steps:
step 21, designing a dynamic virtual error surface:
Figure FDA0003173989650000022
zi=xii
πi=ξii-1,i=2,3,4 (3)
wherein eta ismin> 0 and ηmax0 is a design parameter, upsilon (t) is a conversion signal, and x1Is an error integral term q, x2Is the actual distance s, x between the controlled vehicle and the front vehicle3Is the front vehicle speed vs,x4Is the angular velocity omega of the tiref;πiFor first-order filtering the output error, the first-order filtering is in the form of
Figure FDA0003173989650000023
ξi(0)=αi-1(0) I-1, 2,3,4 wherein τiIs a given constant; xiiIs an intermediate state variable, αi-1For the virtual controller, the estimation error is
Figure FDA0003173989650000024
Figure FDA0003173989650000025
Is TiAn estimated value of (d);
step 22, designing a virtual controller as follows:
Figure FDA0003173989650000026
Figure FDA0003173989650000027
Figure FDA0003173989650000028
wherein, c1,c2,c3In order to design the parameters for the real purpose,
Figure FDA0003173989650000029
are respectively T1、T2、T3Estimate of (b), z1,z2,z3Is a virtual error surface for the system,
Figure FDA00031739896500000210
to specify the performance function parameters, vxAs is the longitudinal speed of the vehicle,
Figure FDA00031739896500000211
and
Figure FDA00031739896500000212
are respectively xi2,ξ3The derivative of (c), ζ is the tracking error,
Figure FDA00031739896500000213
desired distance s for controlled vehicle0
Figure FDA00031739896500000214
k is a proportionality coefficient, and m is a vehicle mass;
Figure FDA00031739896500000215
cafis the air resistance coefficient; n is-fg, f is rolling resistance coefficient, g is gravity acceleration; a. b, n and k are all designed virtual controller adjusting parameters.
4. A design system of an event trigger controller of an automobile adaptive cruise control system is characterized by comprising the following components:
the system comprises a virtual controller module, an adaptive law module, an event trigger mechanism module, an event trigger input signal module and an automobile adaptive cruise system;
the input of the virtual controller module is connected with the output end of the automobile self-adaptive cruise control system,
the output end of the virtual controller module is respectively connected with the input ends of the adaptive law module and the event trigger mechanism module,
the input end of the event trigger input signal module is connected with the output end of the event trigger mechanism module,
the output end of the self-adaptive law module is connected with the input end of the virtual controller module,
the output end of the event trigger input signal module is connected with the input end of the automobile self-adaptive cruise control system;
the virtual controller module is used for obtaining a virtual controller of the system through a nonlinear model of the automobile self-adaptive cruise control system;
the self-adaptive law module is used for calculating the dynamic change of the self-adaptive parameters and sending the dynamic change to the virtual controller module;
the event trigger mechanism module is used for judging whether the current input signal meets the trigger condition;
the event trigger input module is used for transmitting the updated input signal to the automobile self-adaptive cruise system;
the automobile self-adaptive cruise system module is used for receiving updated input signals and transmitting the input signals to the virtual controller module.
5. The system for designing an event trigger controller for an automotive adaptive cruise control system according to claim 4, wherein the adaptive law module is:
Figure FDA0003173989650000031
Figure FDA0003173989650000032
wherein, betaiI is 1,2,3,4 and phiiI is a positive design constant, z is 1,2,3,41,z2,z3,z4Is a virtual error surface.
6. The design system of event trigger controller for vehicle adaptive cruise control system according to claim 4, wherein the event trigger mechanism module is:
Figure FDA0003173989650000033
wherein, tkkFor the controller to update the time of day, kk ∈ Z+,
Figure FDA0003173989650000041
λ is transmission control law, λ is more than 0 and less than 1, e (t) is ω (t) -u (t) is measurement error, u (t) is input signal, ω (t) is updated signal, and σ is positive design parameter of event trigger mechanism; j is the moment of inertia of the tire,
when in use
Figure FDA0003173989650000042
An event trigger mechanism is triggered and the event trigger input signal module is activated.
7. The design system of an event trigger controller for an automotive adaptive cruise control system according to claim 4, wherein the event trigger input signal module is:
Figure FDA0003173989650000043
wherein u (t) is an input signal when the trigger input signal module is activated
Figure FDA0003173989650000044
During which the input signal u (t) is held constant ω (t)kk)。
If the trigger requirement is not met, the event trigger input module does not work, the input signal is kept by the zero-order retainer until the signal meeting the trigger requirement is received, and triggering is carried out;
if the trigger requirement is met, the event trigger input module is activated to trigger the input signal u (t) at the momentkk+1) To the adaptive cruise system.
CN202110826619.8A2021-07-212021-07-21Design method and system for event trigger controller of automobile self-adaptive cruise control systemActiveCN113419430B (en)

Priority Applications (1)

Application NumberPriority DateFiling DateTitle
CN202110826619.8ACN113419430B (en)2021-07-212021-07-21Design method and system for event trigger controller of automobile self-adaptive cruise control system

Applications Claiming Priority (1)

Application NumberPriority DateFiling DateTitle
CN202110826619.8ACN113419430B (en)2021-07-212021-07-21Design method and system for event trigger controller of automobile self-adaptive cruise control system

Publications (2)

Publication NumberPublication Date
CN113419430Atrue CN113419430A (en)2021-09-21
CN113419430B CN113419430B (en)2024-03-15

Family

ID=77718044

Family Applications (1)

Application NumberTitlePriority DateFiling Date
CN202110826619.8AActiveCN113419430B (en)2021-07-212021-07-21Design method and system for event trigger controller of automobile self-adaptive cruise control system

Country Status (1)

CountryLink
CN (1)CN113419430B (en)

Cited By (1)

* Cited by examiner, † Cited by third party
Publication numberPriority datePublication dateAssigneeTitle
CN114721271A (en)*2022-04-142022-07-08辽宁工业大学Fuzzy self-adaptive fixed time event trigger control method based on automobile cruise system

Citations (4)

* Cited by examiner, † Cited by third party
Publication numberPriority datePublication dateAssigneeTitle
US20110160951A1 (en)*2009-12-252011-06-30Hitachi, Ltd.Control Unit for Gateway and Automotive Control System
CN104192146A (en)*2014-09-122014-12-10辽宁工业大学Fuzzy control based automotive intelligent cruise assisted driving system control method
CN104837118A (en)*2015-04-292015-08-12辽宁工业大学Indoor fusion positioning system and method based on WiFi and BLUETOOTH
CN112782978A (en)*2020-12-242021-05-11北京交通大学High-speed train cruising operation control method based on self-triggering mechanism

Patent Citations (4)

* Cited by examiner, † Cited by third party
Publication numberPriority datePublication dateAssigneeTitle
US20110160951A1 (en)*2009-12-252011-06-30Hitachi, Ltd.Control Unit for Gateway and Automotive Control System
CN104192146A (en)*2014-09-122014-12-10辽宁工业大学Fuzzy control based automotive intelligent cruise assisted driving system control method
CN104837118A (en)*2015-04-292015-08-12辽宁工业大学Indoor fusion positioning system and method based on WiFi and BLUETOOTH
CN112782978A (en)*2020-12-242021-05-11北京交通大学High-speed train cruising operation control method based on self-triggering mechanism

Non-Patent Citations (6)

* Cited by examiner, † Cited by third party
Title
HUI ZHAO 等: "Robust Event-Triggered Model Predictive Control for Multiple High-Speed Trains With Switching Topologies", IEEE TRANSACTIONS ON VEHICULAR TECHNOLOGY*
KUNTING YU 等: "Adaptive Fuzzy Event-Triggered Control for Nonlinear Systems with Asymmetric Hysteresis", 2020 CHINESE AUTOMATION CONGRESS*
WEI WANG 等: "Adaptive Fuzzy Event-Triggered Control for Leader–Following Consensus of High-Order Nonlinear Systems", IEEE TRANSACTIONS ON FUZZY SYSTEMS*
ZHONGCHANG LIU 等: "Cooperative Platoon Control of Heterogeneous Vehicles Under a Novel Event-Triggered Communication Strategy", IEEE ACCESS*
刘猛: "车辆自适应巡航控制系统仿真研究", 中国优秀硕士学位论文全文数据库 工程科技Ⅱ辑*
张伟 等: "基于事件触发的模糊网络时滞系统的容错控制", 模糊系统与数学*

Cited By (1)

* Cited by examiner, † Cited by third party
Publication numberPriority datePublication dateAssigneeTitle
CN114721271A (en)*2022-04-142022-07-08辽宁工业大学Fuzzy self-adaptive fixed time event trigger control method based on automobile cruise system

Also Published As

Publication numberPublication date
CN113419430B (en)2024-03-15

Similar Documents

PublicationPublication DateTitle
CN110568762B (en)Intelligent electric vehicle formation adaptive robust control method capable of resisting communication delay
CN107808027B (en) Adaptive Vehicle Following Method Based on Improved Model Predictive Control
CN110103959B (en)Self-adaptive cruise control method
CN110435623A (en)A kind of grading automatical emergency braking control system of the electric vehicle of adjust automatically
CN104260725B (en) An Intelligent Driving System Containing a Driver Model
CN101054092B (en)Driver workload-based vehicle stability enhancement control
CN108944943B (en) A Curve-Following Model Based on Risk Dynamic Balance Theory
CN114987539B (en)Automatic driving automobile personalized collision grading early warning method and system based on risk field model
CN113928284B (en)Self-adaptive multi-stage braking control method for automatic emergency braking system
CN112896164B (en)Vehicle braking method, device and medium based on vehicle weight and gradient self-adaption
CN114792478B (en)Intelligent network-connected automobile formation control method based on event triggering
Phadke et al.Control of antilock braking systems using disturbance observer with a novel nonlinear sliding surface
CN108944948B (en) A vehicle braking control system and method
CN112590789B (en)Self-adaptive cruise control method for electric automobile
CN105035085A (en)Method and device for automatic car following
CN112373460A (en)Vehicle rollover early warning method and system based on scene change dynamic adjustment threshold
CN114371691A (en) A kind of assisted driving curve trajectory tracking control method
Yi et al.An investigation of intelligent cruise control laws for passenger vehicles
CN113419430B (en)Design method and system for event trigger controller of automobile self-adaptive cruise control system
CN119568126A (en)Method for controlling stability of transport vehicle
CN114043986A (en)Tire road surface adhesion coefficient multi-model fusion estimation method considering quality mismatch
CN110979326B (en) A method for calculating the output torque of an intelligent networked electric vehicle
CN114721271B (en)Fuzzy self-adaptive fixed time event trigger control method based on automobile cruise system
CN113954874B (en)Automatic driving control method based on improved intelligent driver model
CN119190037A (en) Road friction estimation method and device based on vehicle platooning combined with extended Kalman filter

Legal Events

DateCodeTitleDescription
PB01Publication
PB01Publication
SE01Entry into force of request for substantive examination
SE01Entry into force of request for substantive examination
GR01Patent grant
GR01Patent grant

[8]ページ先頭

©2009-2025 Movatter.jp