Movatterモバイル変換


[0]ホーム

URL:


CN113411779A - Internet of vehicles user capacity maximization design method and device capable of guaranteeing reliability - Google Patents

Internet of vehicles user capacity maximization design method and device capable of guaranteeing reliability
Download PDF

Info

Publication number
CN113411779A
CN113411779ACN202110649827.5ACN202110649827ACN113411779ACN 113411779 ACN113411779 ACN 113411779ACN 202110649827 ACN202110649827 ACN 202110649827ACN 113411779 ACN113411779 ACN 113411779A
Authority
CN
China
Prior art keywords
vehicles
reliability
vehicle
message
user capacity
Prior art date
Legal status (The legal status is an assumption and is not a legal conclusion. Google has not performed a legal analysis and makes no representation as to the accuracy of the status listed.)
Granted
Application number
CN202110649827.5A
Other languages
Chinese (zh)
Other versions
CN113411779B (en
Inventor
李可
吴文鹏
范平志
Current Assignee (The listed assignees may be inaccurate. Google has not performed a legal analysis and makes no representation or warranty as to the accuracy of the list.)
Southwest Jiaotong University
Original Assignee
Southwest Jiaotong University
Priority date (The priority date is an assumption and is not a legal conclusion. Google has not performed a legal analysis and makes no representation as to the accuracy of the date listed.)
Filing date
Publication date
Application filed by Southwest Jiaotong UniversityfiledCriticalSouthwest Jiaotong University
Priority to CN202110649827.5ApriorityCriticalpatent/CN113411779B/en
Publication of CN113411779ApublicationCriticalpatent/CN113411779A/en
Application grantedgrantedCritical
Publication of CN113411779BpublicationCriticalpatent/CN113411779B/en
Activelegal-statusCriticalCurrent
Anticipated expirationlegal-statusCritical

Links

Images

Classifications

Landscapes

Abstract

Translated fromChinese

本发明涉及蜂窝车联网通信技术领域,涉及一种保证可靠性的车联网用户容量最大化设计方法与装置,方法包括:一、划分NR‑V2X时频资源,计算出直通链路上各物理信道占用的物理资源,然后计算NR‑V2X直通链路通信中可用于消息传播的资源数;二、基于可用资源数计算链路可靠性,给出链路可靠性与用户容量的转换关系;三、根据当前系统参数,得到最多允许同时发送消息的车辆数的消息传播控制算法MDC,利用MDC算法分析MNCTN优化问题:在保证可靠性的条件下,最大化同时发送消息的车辆数。本发明通过消息传播控制算法来解决最大化并发消息传播节点数的优化问题。

Figure 202110649827

The invention relates to the technical field of cellular Internet of Vehicles communication, and relates to a design method and device for maximizing user capacity of Internet of Vehicles to ensure reliability. Occupied physical resources, and then calculate the number of resources available for message propagation in NR‑V2X direct link communication; 2. Calculate link reliability based on the number of available resources, and give the conversion relationship between link reliability and user capacity; 3. According to the current system parameters, the message propagation control algorithm MDC is obtained, which allows the maximum number of vehicles that can send messages at the same time, and the MDCTN algorithm is used to analyze the MNCTN optimization problem: under the condition of ensuring reliability, maximize the number of vehicles that can send messages at the same time. The present invention solves the optimization problem of maximizing the number of concurrent message propagation nodes through a message propagation control algorithm.

Figure 202110649827

Description

Internet of vehicles user capacity maximization design method and device capable of guaranteeing reliability
Technical Field
The invention relates to the technical field of cellular internet of vehicles communication, in particular to a method and a device for maximizing the user capacity of an internet of vehicles, which ensure reliability.
Background
Ensuring the reliability of cellular internet of vehicles communication links is considered as an important basis for realizing road safety, traffic efficiency and high-grade V2X applications, and in order to meet the Quality of Service (QoS) requirements of these applications, 3GPP proposes a new generation of 5G internet of vehicles technology NR-V2X to improve the link reliability of the communication process.
Existing reliability analysis work focuses mainly on broadcast scenarios with different communication technologies, such as DSRC based on IEEE 802.11p, V2X based on D2D, or V2X based on LTE, however IEEE 802.11p has hidden terminal problem and LTE-D2D or LTE-V2X concurrent propagation may cause collision problem. In order to overcome the hidden terminal problem, w.benrhaiem et al designs a scheme for optimizing the number of times of retransmission of an urgent message. Resource allocation optimization is one way to improve reliability. A resource allocation scheme is proposed in the work of massoudi, a et al to reduce interference caused by concurrent propagation between vehicle user equipments. In addition, Park, Y et al also propose a method for controlling the size of LTE-V2X system resources. However, link reliability analysis methods for NR-V2X are lacking.
The NR-V2X introduces a unicast communication mode with retransmission mechanism and therefore more reliable compared to the broadcast communication of LTE-V2X under sufficient resource conditions. However, for the delay-sensitive application, under the condition of limited resources, sufficient retransmission times cannot be provided, and thus reliability cannot be effectively ensured. Therefore, it is desirable to design a unicast transmission scheme that can reduce the number of retransmissions under the condition of limited resources and still ensure the reliability of the link.
In view of the above background, there is a need for further improvement of link reliability under resource-limited conditions.
Disclosure of Invention
It is an object of the present invention to provide a method and apparatus for maximizing the capacity of a user of a vehicle networking system while ensuring reliability, which overcomes some or all of the disadvantages of the prior art.
The invention discloses a design method for maximizing the user capacity of a vehicle networking system, which ensures the reliability, and comprises the following steps:
dividing NR-V2X time-frequency resources, calculating physical resources occupied by each physical channel on a through link, and then calculating the number of resources which can be used for data transmission in NR-V2X through link communication;
calculating the link reliability based on the number of available resources, and giving a conversion relation between the link reliability and the user capacity;
thirdly, obtaining a message propagation control algorithm MDC of the number of vehicles which are allowed to send messages at the same time at most according to the current system parameters, and analyzing the MNCTN optimization problem by utilizing the MDC algorithm:
under the condition of ensuring the reliability, the number of vehicles simultaneously transmitting the message is maximized.
Preferably, in the step two, the link reliability is calculated based on the number of available resources as follows:
for a given message size NmNumber of resource units N to be usedREThe calculation is as follows:
Figure BDA0003111292250000021
wherein: p is a radical ofcdThe spectral efficiency under a certain modulation and coding strategy;
configuring message propagation duration to be txAnd the total available number of REs in the system is N, the number of resources available in the system is calculated as follows:
Figure BDA0003111292250000022
and calculating the signal interference noise ratio of the vehicle j, wherein the calculation expression is as follows:
Figure BDA0003111292250000023
wherein: vkTo use resource RkA set of all vehicles; gi,gvSmall-scale fading channels for vehicle i and vehicle v to vehicle j, respectivelyA coefficient, which is a variable that follows an exponential distribution with a mean value of 1; di,dvThe distances of the vehicle i and the vehicle v to the vehicle j respectively; p is the transmission power of the vehicle; n is a radical ofoIs the power of the additional white gaussian noise; α is the path loss exponent; β is the path loss at a distance of 1 meter; grIs the antenna gain of the receiver in the vehicle;
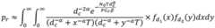
during the process of message propagation, if the total number of bits without error bits is larger than the size of V2V data packet, namely when the message received by the vehicle j is larger than 8NmWhen the bit is in place, the vehicle i is considered to successfully transmit the message to the vehicle j; the link reliability of data transmission between vehicles can be expressed as: successful transmission of 8NmThe probability of an effective bit, the formula is as follows:
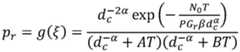
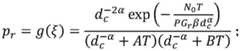
pr=Pr[ρlog2(1+Γ)>8Nm]
=Pr[Γ>T];
wherein: rho is NRE·pcdRepresents the number of effective bits transmitted for a single message at a particular MCS; n is a radical ofREThe number of REs required to propagate a single message; t is an SINR equivalent threshold; link reliability is equivalently translated into SINR constraints, where data transmission is deemed reliable if the SINR exceeds a given threshold T, i.e., when the SINR at the receiving side is greater than the threshold, and is calculated,
Figure BDA0003111292250000031
selecting the vehicle j which is farthest away from the communication range of each vehicle i, and setting the distance between the vehicles i and j as the communication distance dc(ii) a Because the first interference source on the left side and the first interference source on the right side of the receiving vehicle are two strongest interference signals which are almost the total interference of all vehicles in the message transmission process, the two interference signals are used for replacing the total interference of the receiving vehicle; therefore, the calculation formula for the link reliability can be replaced by:
Figure BDA0003111292250000032
variable g in the above formula0,g1And g2Is a variable that follows an independent exponential distribution with a mean of 1, and through conversion, the link reliability expression can be described as the following equation:
Figure BDA0003111292250000033
wherein
Figure BDA0003111292250000034
And
Figure BDA0003111292250000035
probability density functions of distances from the first interference source on the left side and the first interference source on the right side to the receiving vehicle, respectively;
let xi be λ S, where λ represents the number of vehicles on one lane within a unit distance, S is the number of lanes, and the average distance between the vehicles sending the message is 1/xi.
Preferably, in the step two, the conversion relationship between the link reliability and the user capacity is given as follows:
if the number of vehicles arriving at a certain road section per unit time in the road is subjected to Poisson distribution, the distance intervals between the vehicles sending messages in the road are subjected to exponential distribution; when the number of resources in the system is NRThen the interference distance between vehicles using the same resource obeys the Erlang distribution, and the average distance of these vehicles is NRξ; let the distance from the first interference source on the left to the receiving vehicle be d1Then d1Desired E [ d ] of1]=NR/ξ-dc(ii) a The expected distance E [ d ] from the first interference source on the right to the receiving vehicle2]=NR/ξ+dc(ii) a By mixing d1And d2Two components are replaced with their expected E d1]And E [ d ]2](ii) a Finally, the link reliability p is givenrThe calculation expression of (1):
Figure BDA0003111292250000041
wherein A ═ NR/ξ+dc),B=([NR/ξ-dc]+)When x is not less than 0, [ x ]]+X, otherwise [ x]+0, link reliability p, based on the above analysisrThe parameter xi can be expressed by a function g (xi) of the parameter xi, namely the link reliability of the current message propagation process of the system can be changed by controlling the number xi of vehicles which send messages simultaneously; when the link reliability is satisfied, the maximum number of vehicles allowed to simultaneously send messages is defined as the current user capacity
Figure BDA0003111292250000048
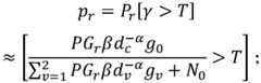
Preferably, the MNCTN optimization problem can be expressed as a desire to maximize user capacity, whose model is expressed as follows:
Maximize:
Figure BDA0003111292250000042
Subject to:
Figure BDA0003111292250000043
Figure BDA0003111292250000044
wherein
Figure BDA0003111292250000045
For a given link reliability requirement, L is the road length managed by the base station.
Preferably, in step three, the MDC algorithm can be expressed as:
1)
Figure BDA0003111292250000046
2)Setλ=0,pr1, ξ ═ λ × S; v/initialization
3)
Figure BDA0003111292250000047
// meet Current reliability requirements
4) λ + 1; // increasing the number of vehicles per lane
5) ξ ═ λ × S; v/counting the number of vehicles simultaneously transmitting messages
6)pr-ReliabilityCompute (ξ); v/calculate Current Link reliability
7)
Figure BDA0003111292250000051
V/calculating the current user Capacity
8)
Figure BDA0003111292250000052
S is the number of lanes on the road, lambda represents the number of vehicles sending messages simultaneously on each lane, parameters such as link reliability requirement, the number of vehicles sending messages on each kilometer of the road and the like are input in the algorithm, then the base station calculates the link reliability of the current system by using a reliability calculation expression, and then the current user capacity is obtained
Figure BDA0003111292250000053
And finally, sending an instruction for allowing the message to be spread to the associated vehicle, wherein xi is the number of nodes capable of sending the message simultaneously, and in order to ensure the reliability of the link for transmitting the message, the vehicle which does not receive the instruction is limited and cannot transmit the message.
The invention also provides a device of the maximum design method of the user capacity of the Internet of vehicles for ensuring the reliability, which adopts the maximum design method of the user capacity of the Internet of vehicles for ensuring the reliability and comprises a storage module, a calculation module and a communication module;
the storage module is used for inputting vehicle operation information and outputting a calculation result in the device operation process;
the computing module is used for reading the current system environment parameters from the storage module, computing the current system resources, analyzing the relation between the reliability and the user capacity according to the number of the available resources of the system, optimizing the system load of the communication module in the message transmission process, and finally storing the computing result into the storage module;
and the communication module is used for reading the result after the user capacity is optimized from the storage module and controlling the number of vehicles sending messages.
Preferably, the calculation module comprises:
the resource calculation module is used for calculating current system resources;
the reliability analysis module is used for analyzing the relation between the reliability and the user capacity according to the number of the available resources of the system;
and the user capacity optimizing module is used for optimizing the system load of the communication module in the message transmission process.
Preferably, the communication module includes a message sending module and a message receiving module.
The invention analyzes the link reliability when the unicast concurrent message transmission resource is reused in the NR-V2X mode 1 under the condition of limited resources, firstly provides a closed expression of the reliability of the concurrent unicast transmission link in an urban road scene when the interference distance distribution is given, and provides a method for controlling the number of concurrent transmission nodes according to the macroscopic configuration of a system on the basis. The method can maximize the user load on the premise of meeting the reliability requirement.
In order to further improve the reliability of the link, the invention researches the influence of a retransmission mechanism on the reliability. Besides, a message propagation control algorithm based on the NR-V2X unicast communication mode is provided by analyzing the relation between the link reliability and the user capacity. The algorithm enhances the link reliability of message propagation among vehicles in the system by limiting the number of vehicles simultaneously sending messages under the condition of giving the size of the link reliability, and reduces the message retransmission times to zero on the basis.
Drawings
FIG. 1 is a flowchart of a design method for maximizing the user capacity of the Internet of vehicles for ensuring reliability in example 1;
FIG. 2 is a schematic diagram of the propagation of NR-V2X message inembodiment 1;
FIG. 3 is a schematic diagram of the NR-V2X resource grid in example 1;
fig. 4 is a schematic diagram of the timeslot structure when the straight-through link does not have the PSFCH inembodiment 1;
fig. 5 is a schematic diagram of a timeslot structure when a direct link has a PSFCH inembodiment 1;
FIG. 6 is a diagram showing the relationship between reliability and user capacity in example 1;
FIG. 7 is a diagram showing the relationship between link reliability and message propagation duration inembodiment 1;
FIG. 8 is a diagram illustrating the relationship between link reliability and message packet size inembodiment 1;
FIG. 9 is a schematic diagram showing the relationship between the link reliability and the vehicle communication distance inembodiment 1;
FIG. 10 is a diagram illustrating a comparison result of reachable nodes of different schemes when the number of nodes is 500 in example 1;
FIG. 11 is a diagram illustrating the comparison of the reliability results of the links according to different schemes when the number of nodes is 500 in example 1;
fig. 12 is a block diagram illustrating an apparatus of a car networking user capacity maximization design method for ensuring reliability inembodiment 1.
Detailed Description
For a further understanding of the invention, reference should be made to the following detailed description taken in conjunction with the accompanying drawings and examples. It should be understood that the examples are illustrative of the invention only and not limiting.
Example 1
As shown in fig. 1, the present embodiment provides a method for maximizing the capacity of a user in a car networking system, which includes the following steps:
dividing NR-V2X time-frequency resources, calculating physical resources occupied by each physical channel on a through link, and then calculating the number of resources which can be used for data transmission in NR-V2X through link communication;
calculating the link reliability based on the number of available resources, and giving a conversion relation between the link reliability and the user capacity;
thirdly, obtaining a message propagation control algorithm MDC of the number of vehicles which are allowed to send messages at the same time at most according to the current system parameters, and analyzing the MNCTN optimization problem by utilizing the MDC algorithm:
under the condition of ensuring the reliability, the number of vehicles simultaneously transmitting the message is maximized.
As described in detail below.
Network model
FIG. 2 is an example of NR-V2X message propagation, in NR-V2X mode 1, where three pairs of vehicle transmitters (VUE-TX) and vehicle receivers (VUE-RX) in the figure are allocated by the base station the resources used in message propagation. These vehicles then send messages to the destination vehicle through the PC5 interface on the direct link.
Resource model
In the NR-V2X mode 1, when a vehicle transmits a message, the vehicle needs to apply for a resource for message transmission to a base station, and the vehicle applying for the resource can transmit the message to a destination vehicle. In the message transmission example of fig. 2, under the condition of limited resources, if the same physical resource is allocated to three pairs of vehicles in the figure, the message transmission between the vehicles will interfere with each other. The VUE-TX2 is a right first interference signal of the VUE-RX1, namely a right interference source closest to the VUE-RX1, and the VUE-TX3 is a left first interference signal of the VUE-RX1, and experimental results show that the VUE-TX2 and the VUE-TX3 are two strongest interference sources of the VUE-RX 1.
When system resources are limited, message propagation between vehicles can interfere with each other due to resource reuse, and in order to specifically analyze the relationship between link reliability of message propagation between vehicles and system resources, the following description is made on physical resource division in NR-V2X, aiming at disclosing the total number of resources available for message propagation in NR-V2X and quantitatively analyzing link reliability.
The following defines some words and symbols appearing in the present embodiment.
Definition 1: user capacity. The user capacity is defined as the number of user terminals that the system can carry in order to ensure the link reliability of the message in the process of each hop of propagation. The user capacity is related to the link reliability, and different link reliability requirements and user capacities are different.
TABLE 1 associated symbol definitions for this example
Figure BDA0003111292250000081
NR-V2X time-frequency resource partitioning
In the radio resource design of the NR-V2X direct link unicast communication, the following four physical channels or signals are mainly included.
PSSCH: physical direct link Shared Channel (Physical Sidelink Shared Channel) carries service data information and part of control information, and data communication between vehicles mainly uses psch Channel resources, so this chapter mainly discusses the resource allocation of psch and the total amount of system resources.
PSCCH: a Physical Sidelink Control Channel (Physical Sidelink Control Channel) for carrying Physical Sidelink Control information for indicating transmission of the psch.
PSFCH: a Physical Sidelink Feedback Channel (Physical Sidelink Feedback Channel) carries ACK/NACK information of a Physical layer Sidelink, and is used for receiving an Automatic Repeat request (HARQ) fed back by a User Equipment (UE) to the UE.
DMRS: the Demodulation Reference Signal (Demodulation Reference Signal) is used for estimating a radio channel, and is a Reference Signal for channel estimation in PSCCH and PSCCH Demodulation.
Fig. 3(a) shows an example of a resource grid within one time domain resource period for NR-V2X at a given system bandwidth. The configuration of the Resource grid in the frequency domain takes subchannels as granularity, one subchannel is composed of a plurality of Resource Blocks (RBs), and one RB is composed of 12 subcarriers, wherein the subcarriers are basic units in the frequency domain. The period of the time domain resource is 10240 milliseconds, and the time domain resource is composed of 1024 radio frames with the length of 10 milliseconds, wherein each radio frame is composed of 10 subframes with the length of 1 millisecond, each subframe is composed of a plurality of time slots, and the number of the time slots in the subframe has a direct relation with the size of a subcarrier interval.
In fig. 3(b), the UE uses one or more continuous sub-channels to transmit the PSCCH and the PSCCH, when one terminal continuously occupies multiple sub-channels to transmit, the PSCCH is transmitted only in the first sub-channel, and the number of RBs of the PSCCH in the frequency domain needs to be smaller than the number of RBs in one sub-channel, and other PSCCH resources in the sub-channels are used for transmitting the PSCCH.
Fig. 4 is a specific example of fig. 3(b), which shows an example of the slot structure resource allocation when the resource grid has no feedback in the time domain, and this chapter uses the normal cyclic prefix length, and there are 14 OFDM symbols in one slot, and the corresponding relationship is shown in the figure. In each timeslot of the direct link, a Time Division Multiplexing (TDM) technique is adopted, and each symbol carries different physical channels, and the allocation method of these physical channels is described below.
The receive and transmit states and received signal strength of the nodes change in each time slot on the direct link. Therefore, the first OFDM symbol of each slot on the direct link is used for a receiving node to perform fast Automatic Gain Control (AGC) adjustment, and the last OFDM symbol of each slot is reserved as a Guard Period (GP) for node transmission and reception conversion.
The PSCCH starts with the second OFDM symbol and occupies 2 or 3 OFDM symbols consecutively. The DMRS may contain 2, 3, or 4 DMRS symbols in one slot, and in an application scenario where a terminal moves at a high speed, the time density of the DMRS needs to be increased in order to track rapid changes of a wireless channel.
Fig. 5 shows the slot structure when the direct link has a PSFCH channel, and if the current slot contains a PSFCH, each PSFCH occupies the second last and third last OFDM symbols in a slot in the time domain, and there is a guard interval of one OFDM symbol between the PSSCH and the PSFCH.
As can be seen from the comparison between fig. 4 and fig. 5, after the PSFCH physical channel is introduced, the PSSCH channel capacity available for data transmission is reduced, and in the case of limited resources, the PSFCH physical channel overhead may have a certain impact on link reliability; in addition, the HARQ feedback introduced by configuring the PSFCH resource has a larger time delay than that of the blind retransmission method. Therefore, in the current chapter, a self-adaptive retransmission mode is not used in the message transmission process, blind retransmission using a predetermined retransmission number is considered, a message retransmission mechanism is optimized on the basis, and a message transmission control scheme for reducing the message retransmission number to 0 is provided.
NR-V2X resource computing example
In NR-V2X, the resource pool is a set of subframes for PSCCH and pscsch data transmission that occur repeatedly over the system frame period. The number of symbols used by the PSCCH is configured in each resource pool, i.e. the PSCCH uses 2 or 3 symbols in the time domain in each resource pool, and the number of PSCCH resources in each resource pool is calculated below.
Assuming that the system bandwidth W is 10MHz, the subcarrier spacing is 15kHz, the configuration of subchannels is 10 RBs, the resource pool is configured as 10 slots, i.e., 10 msec, and the number of RBs in each slot is 52. A Resource Element (RE) is defined as 1 subcarrier over 1 OFDM symbol. The overhead of the physical channel in each resource pool when the system parameters are given is calculated respectively to obtain the number of PSSCHREs which can be used for data transmission in each resource pool.
1) Total number of RBs in the resource pool. The system bandwidth W is 10MHz, the resource pool is configured with 10 slots, and there are a total of 10 × 52 RBs in the resource pool, 520 RBs.
2) Total number of REs in the resource pool. Each RB includes 12 subcarriers in the frequency domain and 14 OFDM symbols in the time domain, so that one RB has 14 × 12 — 168 REs, and the total number of REs in the resource pool is 520 × 168 — 87360.
3) AGC and GP resource consumption. The first OFDM symbol of each slot is used for AGC and the last OFDM symbol is used for GP, occupying a total of (1+1) × 10) × (12 × 52) ═ 12480 REs.
4) PSCCH resource consumption. Each sub-channel is configured to be used for data transmission of the vehicle-mounted terminal, and 52 RBs in a given bandwidth frequency domain need to transmit PSCCH; configuring 3 OFDM symbols for the time domain, each vehicle-mounted terminal needs to consume 3 × (12 × 52) ═ 1872 REs in data propagation.
5) PSFCH resource consumption. In this chapter, the link reliability of the system is ensured by using a message propagation control scheme, and the retransmission times are set to 0. Therefore, when the scheme provided in this chapter is calculated, the PSFCH resource is not configured in the time domain, and HARQ feedback is not used, so that the resource overhead of the PSFCH is saved.
6) DMRS resource consumption. Because of the rapid change in channel conditions, PSSCHDMRS is a comb pilot structure withspacing 2 in the frequency domain, i.e., half of the subcarriers are used for DMRS and the other half of the subcarriers are used for psch. The time domain is configured to include 4 DMRS symbols in each slot, and the DMRSs occupy (4 × 10) × (12/2 × 52) ═ 12480 REs in total.
Based on the analysis, the PSSCHRE number N available for data transmission in each resource pool can be obtained in the process of message propagation by the vehicle-mounted terminalRE=87360-12480-1872-12480= 60528。
Assumemessage size Nm300 bytes, the number N of REs that each message needs to useREThe calculation is as follows.
Figure BDA0003111292250000111
Wherein: for calculated average per pcdFor spectrum efficiency under a certain Modulation and Coding Scheme (MCS), when the psch carries data, LDPC Coding is used, and the Modulation Scheme supports Quadrature Phase Shift Keying (QPSK), 16QAM (Quadrature Amplitude Modulation), 64QAM, and 256 QAM. Under the condition that the modulation mode selectsMCS 7, each RE can carry information of 2 bits, and the spectrum efficiency p of each REcd1.03, as specified in table 2.
TABLE 2 NR-V2XMCS options and spectral efficiency
Figure BDA0003111292250000112
Figure BDA0003111292250000121
Configuring message propagation duration to be txSince the resource pool is configured to be 10 ms, the number of allocable resource pools in the message propagation process is 10, and the total number of pscsch REs in the available message propagation process is N10 × 60528 605280, the number of available resources in the current system is calculated as follows.
Figure BDA0003111292250000122
Substituting the above calculation results into a formula to obtain
Figure BDA0003111292250000124
Link reliability analysis
When a plurality of messages are simultaneously transmitted in the network at a certain time, because the resources in the system are limited, if the number of the transmitted messages exceeds the number N of the system resourcesRThen there will be a plurality of different vehicles using the same resource to send messages, and at this time, the message propagation in the network will interfere with each other, and the message propagation may fail, so it is necessary to consider the influence of the number of vehicles in the network that simultaneously propagate messages on the communication link. A calculation expression of link reliability will be given below, and the relationship between the interference caused by resource reuse and the link reliability is specifically analyzed. Link reliability is defined below.
And (3) link reliability: and selecting a vehicle i as a source vehicle for sending the message, selecting a vehicle j which is farthest away from the vehicle i in the communication range of the vehicle i as a receiver in the unicast message transmission process of the vehicle i, and considering that the vehicle i is reliable in message sending when the vehicle j successfully receives the message. And calculating the probability of successfully receiving the message by the vehicle j as the link reliability of the vehicle i in the message transmission process.
First, a Signal to Interference plus Noise Ratio (SINR) of the vehicle j is calculated, and the calculation expression is as follows:
Figure BDA0003111292250000123
wherein: vkTo use resource RkA set of all vehicles; gi,gvSmall-scale fading channel coefficients of the vehicle i and the vehicle v to the vehicle j are respectively variables subject to exponential distribution with an average value of 1; di,dvThe distances of the vehicle i and the vehicle v to the vehicle j respectively; p is the transmission power of the vehicle; n is a radical ofoIs the power of the additional white gaussian noise; α is the path loss exponent; β is the path loss at a distance of 1 meter; grIs the antenna gain of the receiver in the vehicle.
During the process of message propagation, if the total number of bits without error bits is larger than the size of V2V data packet, namely when the message received by the vehicle j is larger than 8NmWhen the bit is asserted, vehicle i is deemed to have successfully propagated the message to vehicle j. The link reliability of data transmission between vehicles can also be defined as successful transmission of 8NmThe probability of an effective bit, the formula is as follows:
pr=Pr[ρlog2(1+Γ)>8Nm]
=Pr[Γ>T]
wherein: rho is NRE·pcdRepresents the number of effective bits transmitted for a single message at a particular MCS; n is a radical ofREThe number of REs required to propagate a single message; t is an SINR equivalent threshold. Link reliability is equivalently translated into SINR constraints, where data transmission is deemed reliable if the SINR exceeds a given threshold T, i.e., when the SINR at the receiving side is greater than the threshold, and is calculated,
Figure BDA0003111292250000131
to simplify the link reliability calculation expression, the link reliability is re-described according to the following two assumptions. 1) Selecting a vehicle for each vehicle iThe distance between the vehicle i and the vehicle j which is farthest from the vehicle j in the communication range is set as the communication distance dc. 2) Since the first interference source on the left side and the first interference source on the right side of the receiving vehicle are the strongest two interference signals, which are almost the total interference of all vehicles in the message propagation process, the two interference signals are used to replace the total interference of the receiving vehicle. Therefore, the calculation formula for the link reliability can be replaced by:
Figure BDA0003111292250000132
variable g0,g1And g2Is a variable that follows an independent exponential distribution with a mean value of 1, and through transformation, the link reliability expression can be described as the following equation:
Figure BDA0003111292250000133
wherein
Figure BDA0003111292250000134
And
Figure BDA0003111292250000135
respectively, are probability density functions of the distances of the left first interferer and the right first interferer to the receiving vehicle.
Let xi be λ · S, where λ represents the number of vehicles on one lane within a unit distance, S is the number of lanes, and the average distance between the vehicles sending the message is 1/xi.
The previous calculation obtains the number N of resources which can be used by the system under the given environmentRAssuming that the number of vehicles arriving at a certain road section per unit time in a road obeys a poisson distribution, the distance intervals between vehicles sending messages in the road obeys an exponential distribution. When the number of resources in the system is NRThen, the interference distances between vehicles using the same resources are subjected to an Erlang distribution, and the average distance between these vehicles is NRAnd ξ. As shown in FIG. 2, let d be the distance from the first interference source on the left to the receiving vehicle1Then d1Desired E [ d ] of1]=NR/ξ-dc(ii) a The expected distance E d from the first interference source on the right to the receiving vehicle2]=NR/ξ+dc. By mixing d1And d2Two components are replaced by their expected E d1]And E [ d ]2]. Finally, the link reliability p is givenrThe calculation expression of (1):
Figure BDA0003111292250000141
wherein A ═ NR/ξ+dc),B=([NR/ξ-dc]+)When x is not less than 0, [ x ]]+X, otherwise [ x]+0, link reliability p, based on the above analysisrIt can be expressed by a function g (xi) related to parameter xi, i.e. the link reliability of the current message dissemination process of the system can be changed by controlling the number xi of vehicles sending messages at the same time. When the link reliability is satisfied, the number of vehicles which are allowed to send messages at most simultaneously is defined as the current user capacity.
User capacity optimization
The closed expression for calculating the link reliability under the given resource is obtained, and the link reliability p is given under the condition that the number of vehicles reaching a certain road section in unit time is assumed to be subject to the Poisson distributionrAnd user capacity
Figure BDA0003111292250000142
The conversion relationship of (1). Therefore, the present embodiment proposes a problem of maximizing the number of vehicles simultaneously transmitting messages by controlling the user capacity and further ensuring reliability under the condition of ensuring the reliability of the link.
Problem definition and modeling
MNCTN problem: according to link reliability prRelationship with the number of vehicles sending messages per unit distance, in NR-V2X mode 1The number of vehicles transmitting messages concurrently can be controlled in a unicast communication mode, and the number of vehicles transmitting messages concurrently is tried to be maximized under the condition that the reliability requirement of a link is met.
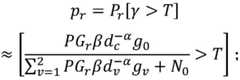
The MNCTN optimization problem can also be expressed as the following model:
Maximize:
Figure BDA0003111292250000151
Subject to:
Figure BDA0003111292250000152
Figure BDA0003111292250000153
wherein
Figure BDA0003111292250000154
Is a specified link reliability requirement.
Optimization algorithm design
In order to solve the MNCTN problem, the present embodiment provides a message propagation control algorithm mdc (message distribution control) that obtains the number of vehicles that are allowed to send messages at most according to current system parameters based on an iterative method, and a specific flow of the algorithm is shown in table 3.
TABLE 3 MDC Algorithm flow
1)
Figure BDA0003111292250000155
2)Setλ=0,pr1, ξ ═ λ × S; v/initialization
3)
Figure BDA0003111292250000156
// meet Current reliability requirements
4)λ + 1; // increasing the number of vehicles per lane
5) ξ ═ λ × S; v/counting the number of vehicles simultaneously transmitting messages
6)pr-ReliabilityCompute (ξ); v/calculate Current Link reliability
7)
Figure BDA0003111292250000157
V/calculating the current user Capacity
8)
Figure BDA0003111292250000158
Inputting parameters such as link reliability requirement, number of vehicles sending messages on each kilometer of road and the like in the algorithm, then calculating the link reliability of the current system by using a reliability calculation expression through a base station, and then obtaining the current user capacity
Figure BDA0003111292250000159
And finally, sending an instruction for allowing the message to be spread to the associated vehicle, wherein the number xi of the nodes capable of sending the message simultaneously is limited, and the message cannot be spread because the vehicle which does not receive the instruction is limited in order to ensure the reliability of the link for spreading the message.
Experimental setup and results analysis
Effect of System parameters on Link reliability
The Python programming environment was used for experiments, focusing on the impact of different system parameters on user capacity and link reliability, and table 4 lists the parameters and values used in the experiments.
Table 4 experimental parameter settings
Figure BDA0003111292250000161
Assuming a road length of 10km, different link reliability requirements can be obtained by the previous calculation
Figure BDA0003111292250000162
With subscriber capacity
Figure BDA0003111292250000163
The relationship (2) of (c). As shown in FIG. 6, user capacities
Figure BDA0003111292250000164
With the requirement of reliability
Figure BDA0003111292250000165
Is decreased when link reliability is required
Figure BDA0003111292250000166
The higher the number of the channels to be used,
Figure BDA0003111292250000167
the faster the drop. Since in the same road environment, when the link reliability requirement increases, the channel interference between vehicles needs to be reduced, the number of vehicles simultaneously transmitting messages needs to be reduced. Therefore, in order to guarantee the link reliability requirement of message dissemination, the number of vehicles for concurrently disseminating messages needs to be limited by an algorithm.
Effect of message propagation duration on link reliability
The relationship between the message propagation duration and the link reliability is shown in fig. 7, and it can be seen from the figure that as the number of vehicles sending messages per kilometer increases, the reliability of the messages decreases faster when the message propagation duration is shorter, i.e. the delay is lower, because the shorter the propagation duration, the lower the total number of system resources in the process of sending messages by the vehicles, and the higher the probability of resource reuse occurring when the vehicles send messages, the more likely the mutual interference is, and thus the link reliability is reduced. Therefore, the shorter the time delay of message propagation, the lower the link reliability, when the number of vehicles sending the message is the same.
Effect of message packet size on Link reliability
FIG. 8 illustrates the relationship between the number of concurrent vehicles and the size and reliability of the data received by the receiving vehicle, the amount of message data received Nrm=pr×NmWhen the number of vehicles is small, system resources are relatively sufficientAt this time, reliability can be guaranteed, and a larger message packet means more data is received. It can be seen from the figure that the larger the single message packet, the faster the data size received by the vehicle decreases, when the number of vehicles increases gradually, and the message size NmThe reliability thereof is known to decrease more without change; in the case of a small single message, the size of the received data changes smoothly, and the reliability changes less. The larger the single message is, the more resources are required to be allocated to each vehicle, and in the case of limited system resources, the greater the probability of resource reuse between vehicles is, and the greater the number of vehicles interfering with each other in the communication range is, the more obvious the influence on reliability is.
Effect of vehicle communication distance on Link reliability
Fig. 9 reveals the relationship between the link reliability and the inter-vehicle communication distance, and as the communication distance between the vehicles is larger, the farther the distance between the vehicles that send-receive messages is, the lower the probability that the messages are successfully propagated according to the definition of the link reliability. In addition, as the communication distance between vehicles increases, more vehicles within the communication range transmit messages, and the interference to receiving vehicles further increases, in which case, the probability of collision during message transmission increases, and the link reliability decreases faster.
Generally, link reliability describes the performance of a link between two vehicles and is generally difficult to guarantee, so from a system perspective, controlling the number of nodes that concurrently propagate messages in a V2V network is an effective means of guaranteeing link reliability.
Impact of feedback mechanism on link reliability
In order to analyze the specific influence of the blind retransmission mechanism on the reliability of the message propagation link, an experiment is designed to evaluate the message propagation performance of the propagation control scheme and the blind retransmission scheme when the retransmission mechanism is not introduced.
Propagation control scheme (MDC): aiming at the link reliability constraint, the number of vehicles which are allowed to send messages simultaneously is obtained through a reliability calculation formula, and the link reliability is ensured to meet the requirement in the process of transmitting each message, so that the requirement on reliability can be met under the condition of not retransmitting the message.
Blind retransmission scheme: the number of vehicles which send messages at the same time is not limited, all vehicles can freely send messages, the message retransmission times are preset, and retransmission is needed according to the preset times no matter whether a receiving end receives data or not. The retransmission times of the contrast scheme are set to be 0, 1 or 2 respectively and are recorded as Feedback _0, Feedback _1 and Feedback _ 2.
The experiment is carried out by using a topology containing 500 nodes, the number of sending nodes is set, and then message propagation is started. In order to facilitate observation of the variation of the link reliability, the experimental results are shown in fig. 10 and 11.
Fig. 10 and 11 show the effect of propagation control on the number of nodes receiving a message and their link reliability, and it can be seen from fig. 10 that in the initial stage, the scheme of adding feedback has the reachable nodes that increase rapidly with the number of nodes sending the message because there is no limit to the number of nodes sending simultaneously, but as can be seen from fig. 11, its link reliability is decreasing all the time, and when the number of nodes sending the message is close to 250, the link reliability of the feedback scheme is almost 0, and only those nodes selected as the seed receive the message, and then no other nodes receive the message from the seed node.
When the number of nodes sending the message is greater than 250, the link reliability of the feedback-based scheme is increased again, because the total number of nodes in the network is only 500, the number of connections between the sending node and the receiving node is reduced as more and more vehicles receive the message, at this time, the number of pairs of nodes sending the message is also reduced, and the link reliability is gradually ensured.
Therefore, for a large-scale network under a limited resource scene, the propagation control scheme can ensure high link reliability in a road network vehicle-dense place by limiting the number of nodes simultaneously sending messages, has a wider message propagation coverage range and can exert better message propagation performance.
Small knot
The link reliability is a key performance index in the application of NR-V2X, and the embodiment analyzes an interference mode of concurrent message propagation in the NR-V2X mode 1, and obtains a closed expression of the link reliability under the condition that the number of vehicles reaching a certain road section in unit time obeys poisson distribution. In addition, the embodiment also provides an optimization problem for maximizing the number of concurrent message propagation nodes, the optimization problem is used as a mathematical model for the NR-V2X network to constrain the link reliability, and an iterative method is used to provide a message propagation control algorithm (MDC) to solve the problem. The MDC algorithm controls the number of vehicles simultaneously sending messages according to the current user capacity to meet the requirement of link reliability. Finally, experimental results show that for a retransmission mechanism based on HARQ feedback in NR-V2X, a MDC algorithm without retransmission can ensure that more vehicles receive messages in a larger-scale network, while ensuring the reliability of the communication link.
As shown in fig. 12, the present embodiment further provides a device for a reliability-guaranteed user capacity maximization design method in a car networking, which adopts the reliability-guaranteed user capacity maximization design method in a car networking, and includes a storage module, a calculation module, and a communication module;
the storage module is used for inputting vehicle operation information and outputting a calculation result in the device operation process;
the computing module is used for reading the current system environment parameters from the storage module, computing the current system resources, analyzing the relation between the reliability and the user capacity according to the number of the available resources of the system, optimizing the system load of the communication module in the message transmission process, and finally storing the computing result into the storage module;
and the communication module is used for reading the result after the user capacity is optimized from the storage module and controlling the number of vehicles sending messages.
The calculation module comprises:
the resource calculation module is used for calculating current system resources;
the reliability analysis module is used for analyzing the relation between the reliability and the user capacity according to the number of the available resources of the system;
and the user capacity optimizing module is used for optimizing the system load of the communication module in the message transmission process.
The communication module comprises a message sending module and a message receiving module.
The device firstly obtains the current system parameter, then calculates the available resource of the current system, thereby obtains the relation between the reliability and the user capacity, when the base station selects the vehicle to send the message, when the number of the vehicle selecting to send the message is less than the user capacity, the vehicle is continuously selected to send the message to the user, otherwise, the selection of the vehicle spreading the message is stopped.
The present invention and its embodiments have been described above schematically, and the description is not intended to be limiting, and what is shown in the drawings is only one embodiment of the present invention, and the actual structure is not limited thereto. Therefore, if the person skilled in the art receives the teaching, without departing from the spirit of the invention, the person skilled in the art shall not inventively design the similar structural modes and embodiments to the technical solution, but shall fall within the scope of the invention.

Claims (8)

Translated fromChinese
1.一种保证可靠性的车联网用户容量最大化设计方法,其特征在于:包括以下步骤:1. a design method for maximizing the user capacity of the Internet of Vehicles to ensure reliability, is characterized in that: comprise the following steps:一、划分NR-V2X时频资源,计算出直通链路上各物理信道占用的物理资源,然后计算NR-V2X直通链路通信中可用于消息传播的资源数;1. Divide the NR-V2X time-frequency resources, calculate the physical resources occupied by each physical channel on the through link, and then calculate the number of resources available for message propagation in the NR-V2X through link communication;二、基于可用资源数计算链路可靠性,给出链路可靠性与用户容量的转换关系;2. Calculate link reliability based on the number of available resources, and give the conversion relationship between link reliability and user capacity;三、根据当前系统参数,得到最多允许同时发送消息的车辆数的消息传播控制算法MDC,利用MDC算法分析MNCTN优化问题:3. According to the current system parameters, get the message propagation control algorithm MDC that allows the maximum number of vehicles that can send messages at the same time, and use the MDC algorithm to analyze the MNCTN optimization problem:在保证可靠性的条件下,最大化同时发送消息的车辆数。Maximize the number of vehicles sending messages at the same time, under the condition of guaranteed reliability.2.根据权利要求1所述的一种保证可靠性的车联网用户容量最大化设计方法,其特征在于:步骤二中,基于可用资源数计算链路可靠性具体如下:2. a kind of car networking user capacity maximization design method that guarantees reliability according to claim 1, is characterized in that: in step 2, based on the number of available resources, the link reliability is calculated as follows:对于一个给定的消息大小Nm,需要使用的资源单元数NRE计算如下:For a given message size Nm , the number of resource elements NRE to be used is calculated as follows:
Figure FDA0003111292240000011
Figure FDA0003111292240000011
其中:pcd为在某种特定的调制与编码策略下的频谱效率;Among them: pcd is the spectral efficiency under a certain modulation and coding strategy;配置消息传播持续时间为tx,系统中总可用的RE数为N,则系统中可使用的资源数计算如下:The configuration message propagation duration is tx , and the total number of REs available in the system is N, then the number of resources available in the system is calculated as follows:
Figure FDA0003111292240000012
Figure FDA0003111292240000012
计算车辆j的信号干扰噪声比,计算表达式如下:Calculate the signal-to-interference-noise ratio of vehicle j, and the calculation expression is as follows:
Figure FDA0003111292240000013
Figure FDA0003111292240000013
其中:Vk为使用资源Rk的所有车辆的集合;gi,gv分别为车辆i与车辆v对车辆j的小规模衰落信道系数,是服从均值为1的指数分布的变量;di,dv分别为车辆i、车辆v对车辆j的距离;P是车辆的传输功率;No是附加的白高斯噪声的功率;α是路径损耗指数;β为距离为1米时的路径损耗;Gr是车辆中接收器的天线增益;Among them: Vk is the set of all vehicles using the resource Rk ; gi and gv are the small-scale fading channel coefficients of vehicle i and vehicle v to vehicle j, respectively, which are variables subject to an exponential distribution with a mean of 1; di , dv are the distances from vehicle i, vehicle v to vehicle j, respectively; P is the transmission power of the vehicle; No is the power of the additional white Gaussian noise; α is the path loss index; β is the path loss when the distance is 1 meter ; Gr is the antenna gain of the receiver in the vehicle;在消息传播的过程中,如果无错误位的比特总数大于V2V数据包大小,即当车辆j收到的的消息大于8Nm比特时,则认为车辆i向车辆j成功传播了消息;车辆之间数据传输的链路可靠性可表述为:成功传输8Nm个有效比特的概率,公式表示如下:In the process of message dissemination, if the total number of bits without error bits is greater than the V2V data packet size, that is, when the message received by vehicle j is greater than 8Nm bits, it is considered that vehicle i has successfully transmitted the message to vehicle j; The link reliability of data transmission can be expressed as: the probability of successfully transmitting 8Nm valid bits, the formula is as follows:pr=Pr[ρlog2(1+Γ)>8Nm]pr =Pr[ρlog2 (1+Γ)>8Nm ]=Pr[Γ>T];=Pr[Γ>T];其中:ρ=NRE·pcd表示在某种特定的MCS下单个消息传输的有效比特数;NRE为传播单个消息需要的RE的数量;T为SINR等效阈值;链路可靠性被等价地转化为SINR的约束,若SINR超过一个给定的阈值T,即认为当接收方SINR大于阈值时,数据传输是可靠的,经过计算可得,
Figure FDA0003111292240000021
Where: ρ=NRE · pcd represents the effective number of bits transmitted by a single message under a specific MCS; NRE is the number of REs required to propagate a single message; T is the SINR equivalent threshold; link reliability is equal to The price is converted into the constraint of SINR. If the SINR exceeds a given threshold T, it is considered that when the SINR of the receiver is greater than the threshold, the data transmission is reliable. After calculation,
Figure FDA0003111292240000021
选择每个车辆i的通信范围内与其距离最远的车辆j,设车辆i、j的距离为其通信距离dc;由于接收车辆的左侧第一干扰源与右侧第一干扰源是最强的两个干扰信号,几乎是消息传播过程中所有车辆的总干扰,使用这两个干扰信号代替接收车辆的总干扰;因此,链路可靠性的计算公式可替换如下:Select the vehicle j with the farthest distance within the communication range of each vehicle i, and set the distance between vehicles i and j as its communication distance dc ; The two strong interference signals are almost the total interference of all vehicles in the process of message propagation. These two interference signals are used to replace the total interference of the receiving vehicle; therefore, the calculation formula of link reliability can be replaced as follows:
Figure FDA0003111292240000022
Figure FDA0003111292240000022
上式中的变量g0,g1和g2是服从均值为1的独立指数分布的变量,经过转换,链路可靠性表达式可以被描述为以下式:The variables g0 , g1 and g2 in the above formula are variables that obey an independent exponential distribution with a mean of 1. After transformation, the link reliability expression can be described as the following formula:
Figure FDA0003111292240000023
Figure FDA0003111292240000023
其中
Figure FDA0003111292240000024
Figure FDA0003111292240000025
分别是左侧第一干扰源和右侧第一干扰源到接收车辆的距离的概率密度函数;
in
Figure FDA0003111292240000024
and
Figure FDA0003111292240000025
are the probability density functions of the distances from the first interference source on the left and the first interference source on the right to the receiving vehicle, respectively;
令单位距离内发送消息的车辆数量表示为ξ=λ·S,其中λ表示单位距离内一个车道上的车辆数量,S为车道数,发送消息的车辆之间的平均距离为1/ξ。Let the number of vehicles sending messages within a unit distance be denoted as ξ=λ·S, where λ represents the number of vehicles in a lane within a unit distance, S is the number of lanes, and the average distance between vehicles sending messages is 1/ξ.3.根据权利要求2所述的一种保证可靠性的车联网用户容量最大化设计方法,其特征在于:步骤二中,给出链路可靠性与用户容量的转换关系具体如下:3. a kind of car networking user capacity maximization design method that guarantees reliability according to claim 2, is characterized in that: in step 2, the conversion relation that provides link reliability and user capacity is specifically as follows:设道路中单位时间到达某一路段的车辆数量服从泊松分布,则道路中发送消息的车辆之间的距离间隔服从指数分布;当系统中资源数为NR时,则使用相同资源的车辆之间的干扰距离服从Erlang分布,且这些车辆的平均距离为NR/ξ;令左侧第一干扰源到接收车辆的距离为d1,那么d1的期望E[d1]=NR/ξ-dc;右侧第一干扰源到接收车辆的期望距离为E[d2]=NR/ξ+dc;通过将d1和d2两个分量替换为其期望E[d1]和E[d2];最后,给出了链路可靠性pr的计算表达式:Assuming that the number of vehicles arriving at a certain road section per unit time on the road obeys the Poisson distribution, the distance interval between the vehicles sending messages on the road obeys the exponential distribution; when the number of resources in the system isNR , the number of vehicles using the same resources is the same. The interference distance between the two obeys the Erlang distribution, and the average distance of these vehicles isNR /ξ; let the distance from the first interference source on the left to the receiving vehicle be d1 , then the expectation of d1 E[d1 ]=NR / ξ-dc ; the expected distance from the first interference source on the right to the receiving vehicle is E[d2 ]=NR /ξ+dc ; by replacing the two components of d1 and d2 with its expected E[d1 ] and E[d2 ]; finally, the calculation expression of link reliability pr is given:
Figure FDA0003111292240000031
Figure FDA0003111292240000031
其中A=(NR/ξ+dc),B=([NR/ξ-dc]+),当x≥0,[x]+=x,否则[x]+=0,基于上述分析可得,链路可靠性pr可以用关于参数ξ的函数g(ξ)来表示,即可以通过控制同时发送消息的车辆数ξ来改变系统当前消息传播过程的链路可靠性;在满足链路可靠性时,定义最多允许同时发送消息的车辆数即为当前用户容量
Figure FDA0003111292240000037
where A=(NR /ξ+dc ) , B=([NR /ξ-dc ]+ ) , when x≥0, [x]+ =x, otherwise [x]+ = 0. Based on the above analysis, the link reliability pr can be represented by the function g(ξ) about the parameter ξ, that is, the link reliability of the current message propagation process of the system can be changed by controlling the number of vehicles that send messages at the same time ξ When the link reliability is satisfied, the current user capacity is defined as the maximum number of vehicles that can send messages at the same time.
Figure FDA0003111292240000037
4.根据权利要求3所述的一种保证可靠性的车联网用户容量最大化设计方法,其特征在于:MNCTN优化问题可以表述为最大化用户容量的期望,其模型表示如下:4. a reliability-guaranteed IoV user capacity maximization design method according to claim 3, is characterized in that: MNCTN optimization problem can be expressed as the expectation of maximizing user capacity, and its model is expressed as follows:Maximize:Maximize:
Figure FDA0003111292240000032
Figure FDA0003111292240000032
Subject to:Subject to:
Figure FDA0003111292240000033
Figure FDA0003111292240000033
Figure FDA0003111292240000034
Figure FDA0003111292240000034
其中
Figure FDA0003111292240000035
为指定的链路可靠性要求,L为基站管理的道路长度。
in
Figure FDA0003111292240000035
is the specified link reliability requirement, and L is the length of the road managed by the base station.
5.根据权利要求4所述的一种保证可靠性的车联网用户容量最大化设计方法,其特征在于:步骤三中,MDC算法可表述为:5. a kind of car networking user capacity maximization design method according to claim 4 is characterized in that: in step 3, MDC algorithm can be expressed as:
Figure FDA0003111292240000036
Figure FDA0003111292240000036
Figure FDA0003111292240000041
Figure FDA0003111292240000041
S为道路上的车道数,λ表示每车道同时发送消息的车辆数,算法中输入链路可靠性要求、每千米道路上发送消息的车辆数等参数,然后由基站使用可靠性计算表达式计算当前系统的链路可靠性,然后得到当前用户容量
Figure FDA0003111292240000042
与可同时发送消息的节点数ξ,最后向关联的车辆发送允许消息传播的指令,为保证消息传播的链路可靠性,未收到指令的车辆则被限制,不能传播消息。
S is the number of lanes on the road, λ is the number of vehicles sending messages at the same time in each lane, and parameters such as link reliability requirements and the number of vehicles sending messages on the road per kilometer are input in the algorithm, and then the base station uses the reliability calculation expression Calculate the link reliability of the current system, and then get the current user capacity
Figure FDA0003111292240000042
and the number of nodes that can send messages at the same time, and finally send an instruction to allow message dissemination to the associated vehicle. In order to ensure the link reliability of message dissemination, vehicles that have not received the instruction are restricted and cannot disseminate messages.
6.一种保证可靠性的车联网用户容量最大化设计方法的装置,其特征在于:其采用如权利要求1-5中所述的任意一种保证可靠性的车联网用户容量最大化设计方法的装置,并包括存储模块、计算模块和通信模块;6. A device for a design method for maximizing the user capacity of the Internet of Vehicles with guaranteed reliability, characterized in that: it adopts any one of the design methods for maximizing the user capacity of the Internet of Vehicles that guarantees reliability as described in claims 1-5. The device includes a storage module, a computing module and a communication module;存储模块用于在装置运行过程中输入车辆运行信息以及输出计算结果;The storage module is used to input vehicle operation information and output calculation results during the operation of the device;计算模块用于从存储模块中读取当前系统环境参数,计算当前系统资源,并根据系统可用资源数分析可靠性与用户容量之间的关系,优化通信模块在消息传播过程中的系统负载,最后将计算结果存入存储模块;The calculation module is used to read the current system environment parameters from the storage module, calculate the current system resources, and analyze the relationship between reliability and user capacity according to the number of available system resources, optimize the system load of the communication module in the process of message propagation, and finally Store the calculation result in the storage module;通信模块用于从存储模块中读取优化用户容量后的结果,控制发送消息的车辆数。The communication module is used to read the result of optimizing the user capacity from the storage module, and control the number of vehicles that send messages.7.根据权利要求6所述的一种保证可靠性的车联网用户容量最大化设计方法的装置,其特征在于:计算模块包括:7. The device for a method for maximizing the user capacity of the Internet of Vehicles for ensuring reliability according to claim 6, wherein the calculation module comprises:资源计算模块,用于计算当前系统资源;The resource calculation module is used to calculate the current system resources;可靠性分析模块,用于根据系统可用资源数分析可靠性与用户容量之间的关系;The reliability analysis module is used to analyze the relationship between reliability and user capacity according to the number of system available resources;用户容量优化模块,用于优化通信模块在消息传播过程中的系统负载。The user capacity optimization module is used to optimize the system load of the communication module in the process of message propagation.8.根据权利要求6所述的一种保证可靠性的车联网用户容量最大化设计方法的装置,其特征在于:通信模块包括消息发送模块和消息接收模块。8 . The device according to claim 6 , characterized in that the communication module comprises a message sending module and a message receiving module.
CN202110649827.5A2021-06-102021-06-10Internet of vehicles user capacity maximization design method and device capable of guaranteeing reliabilityActiveCN113411779B (en)

Priority Applications (1)

Application NumberPriority DateFiling DateTitle
CN202110649827.5ACN113411779B (en)2021-06-102021-06-10Internet of vehicles user capacity maximization design method and device capable of guaranteeing reliability

Applications Claiming Priority (1)

Application NumberPriority DateFiling DateTitle
CN202110649827.5ACN113411779B (en)2021-06-102021-06-10Internet of vehicles user capacity maximization design method and device capable of guaranteeing reliability

Publications (2)

Publication NumberPublication Date
CN113411779Atrue CN113411779A (en)2021-09-17
CN113411779B CN113411779B (en)2022-08-09

Family

ID=77683540

Family Applications (1)

Application NumberTitlePriority DateFiling Date
CN202110649827.5AActiveCN113411779B (en)2021-06-102021-06-10Internet of vehicles user capacity maximization design method and device capable of guaranteeing reliability

Country Status (1)

CountryLink
CN (1)CN113411779B (en)

Citations (8)

* Cited by examiner, † Cited by third party
Publication numberPriority datePublication dateAssigneeTitle
CN106792888A (en)*2017-01-182017-05-31北京邮电大学A kind of method for wireless communication networking and device based on information Perception
CN109302709A (en)*2018-09-142019-02-01重庆邮电大学 Task offloading and resource allocation strategy of Internet of Vehicles for mobile edge computing
CN110213796A (en)*2019-05-282019-09-06大连理工大学A kind of intelligent resource allocation methods in car networking
CN110601737A (en)*2019-09-122019-12-20杭州电子科技大学Internet of vehicles link reliability enhancing method based on multi-beam parallel transmission
US20190394624A1 (en)*2018-06-252019-12-26Lenovo (Singapore) Pte. Ltd.V2x communication over multiple radio access types
CN111030719A (en)*2019-11-222020-04-17华为技术有限公司 In-vehicle device and data processing method
US20200229171A1 (en)*2019-04-022020-07-16Intel CorporationMethods of autonomous resource selection in new radio (nr) vehicle-to-everything (v2x) sidelink communication
CN112534836A (en)*2018-09-282021-03-19苹果公司Improved multicast and unicast in new radio vehicle to all (V2X) communications

Patent Citations (9)

* Cited by examiner, † Cited by third party
Publication numberPriority datePublication dateAssigneeTitle
CN106792888A (en)*2017-01-182017-05-31北京邮电大学A kind of method for wireless communication networking and device based on information Perception
US20190394624A1 (en)*2018-06-252019-12-26Lenovo (Singapore) Pte. Ltd.V2x communication over multiple radio access types
CN112219413A (en)*2018-06-252021-01-12联想(新加坡)私人有限公司V2X communication over multiple radio access types
CN109302709A (en)*2018-09-142019-02-01重庆邮电大学 Task offloading and resource allocation strategy of Internet of Vehicles for mobile edge computing
CN112534836A (en)*2018-09-282021-03-19苹果公司Improved multicast and unicast in new radio vehicle to all (V2X) communications
US20200229171A1 (en)*2019-04-022020-07-16Intel CorporationMethods of autonomous resource selection in new radio (nr) vehicle-to-everything (v2x) sidelink communication
CN110213796A (en)*2019-05-282019-09-06大连理工大学A kind of intelligent resource allocation methods in car networking
CN110601737A (en)*2019-09-122019-12-20杭州电子科技大学Internet of vehicles link reliability enhancing method based on multi-beam parallel transmission
CN111030719A (en)*2019-11-222020-04-17华为技术有限公司 In-vehicle device and data processing method

Non-Patent Citations (3)

* Cited by examiner, † Cited by third party
Title
CLAUDIA CAMPOLO: "5G NR V2X: On the Impact of a Flexible Numerology on the Autonomous Sidelink Mode", 《2019 IEEE 2ND 5G WORLD FORUM (5GWF)》*
沈众宜: "VANET中接入技术的研究", 《中国优秀博士学位论文全文数据库》*
肖娇: "基于C-V2X的车联网资源调度算法研究", 《中国优秀硕士学位论文全文数据库》*

Also Published As

Publication numberPublication date
CN113411779B (en)2022-08-09

Similar Documents

PublicationPublication DateTitle
CN113411844B (en)Method and apparatus for sidelink resource selection between devices in a wireless communication system
Capozzi et al.Downlink packet scheduling in LTE cellular networks: Key design issues and a survey
CN101170351B (en)Data transmission method
KR101597409B1 (en)Method for receiving uplink radio frequency signals in a radio communication system, master unit and slave unit thereof
US20140328183A1 (en)Systems and Methods for Traffic-Aware Medium Access Selection
KR100974238B1 (en) Method and apparatus for configuring downlink frame in communication system
CN111279738A (en)Link adaptation in a beamformed radio access network
Sabeeh et al.Congestion control in autonomous resource selection of cellular-V2X
Sabeeh et al.Resource re-selection with adaptive modulation and collision detection in LTE V2X mode 4
CN106973362B (en) A D2D communication method based on network coding in cellular network
US10772114B2 (en)Scheduling method and system
Kawamatsu et al.Highly efficient relay routing method for 5G cellular V2V communications
CN104640226B (en)Multiple services resource regulating method and device are based under a kind of cognition relay system
CN113411779B (en)Internet of vehicles user capacity maximization design method and device capable of guaranteeing reliability
MakarevitchDistributed scheduling for WiMAX mesh network
Yin et al.Variable mcs method for lte v2v mode4
Saxena et al.A Lightweight qos-aware resource allocation method for NR-V2X networks
CN107820216A (en)Dispatching method and device based on SC MTCH
Hindumathi et al.Adaptive priority-based fair-resource allocation for MIMO-OFDM multicast networks
CN102905225A (en) An Adaptive Scheduling Method for MBMS System
CN115885549B (en)Adaptive operation mode setting for a circuit
KR101958069B1 (en)Method, apparatus and system for transmitting svc video data in radio communication environment
Villares et al.Multi-Base Station Coordination for Semi-Persistent Scheduling in Industrial 5G Wireless Time-Sensitive Networks
CN107277860A (en)The method and system that upstream data flow is controlled in LWA
Kumar et al.A new adaptive model for throughput enhancement and optimal relay selection in IEEE 802.16 j MMR networks

Legal Events

DateCodeTitleDescription
PB01Publication
PB01Publication
SE01Entry into force of request for substantive examination
SE01Entry into force of request for substantive examination
GR01Patent grant
GR01Patent grant

[8]ページ先頭

©2009-2025 Movatter.jp