




技术领域technical field
本申请属于借助于测定材料的化学或物理性质来测试或分析材料技术领域,涉及一种双重孔隙煤体的煤层气预测方法和系统。The present application belongs to the technical field of testing or analyzing materials by means of determining chemical or physical properties of materials, and relates to a method and system for predicting coalbed methane for double-porosity coal bodies.
背景技术Background technique
煤层气(俗称“瓦斯”)作为煤矿的主要伴生气体,其主要成分是甲烷,它是造成煤矿井下事故的主要原因之一。目前应对瓦斯灾害的根本性治理措施为井下钻孔抽采瓦斯。将瓦斯从开采煤层中抽取出来,既可以降低煤矿瓦斯事故,也能讲煤层中的煤层气作为一种天然气资源加以清洁利用,可谓一举两得。煤层气作为一种世界战略性资源,如何合理预测煤层气的动态生产行为以及评价煤层气产量,始终是科学研究的热点。一般来说,煤层气开采生产过程可分为三个步骤:瓦斯气体从煤基质表面解吸到孔隙中;解吸的瓦斯气体在煤基质孔隙中扩散到裂隙中;裂隙中的瓦斯渗流到钻孔和煤层气生产井之中。裂隙中可在一定程度认为只存在游离态瓦斯,瓦斯流动符合达西流,但是煤基质孔隙中的瓦斯流动理论是存在争议的,浓度梯度驱动的菲克流不能很好的描述这个过程。煤基质中瓦斯包含吸附态和游离态,其中,吸附态瓦斯主要是通过解吸成游离瓦斯来扩散到裂隙之中,因此可从传质角度出发,认为煤基质的瓦斯流动过程是由游离瓦斯密度梯度驱动的。Coalbed methane (commonly known as "gas") is the main associated gas in coal mines, and its main component is methane, which is one of the main causes of underground coal mine accidents. At present, the fundamental control measures to deal with gas disasters are underground drilling to extract gas. Extracting gas from mining coal seams can not only reduce coal mine gas accidents, but also cleanly utilize CBM in coal seams as a natural gas resource, which can be said to kill two birds with one stone. As a strategic resource in the world, how to reasonably predict the dynamic production behavior of coalbed methane and evaluate the output of coalbed methane has always been the focus of scientific research. Generally speaking, the CBM exploitation and production process can be divided into three steps: gas desorption from the surface of the coal matrix into the pores; desorbed gas diffuses into the fractures in the coal matrix pores; gas seepage in the fractures to the borehole and in coalbed methane production wells. To a certain extent, it can be considered that only free gas exists in the fractures, and the gas flow conforms to the Darcy flow. However, the gas flow theory in coal matrix pores is controversial, and the Fick flow driven by concentration gradient cannot describe this process well. The gas in the coal matrix contains both adsorbed and free states. Among them, the adsorbed gas is mainly desorbed into free gas to diffuse into the fractures. Therefore, from the perspective of mass transfer, it can be considered that the gas flow process of the coal matrix is determined by the free gas density gradient. Driven.
另外,由于现场的一些条件的限制,比如时间、经济成本等,只能预测短时期的瓦斯抽采量,无法直接准确的预测几年甚至是几十年之后的煤层气后期产量。此外,在井下钻孔瓦斯抽采设计工作中通常包含许多的关键参数(抽采负压、抽采时间、钻孔直径、钻孔长度、钻孔间距等),若通过井下现场不同参数情况下的瓦斯抽采浓度或者抽采量的对比来优选出最佳的抽采参数,则会耗费大量的人力、时间和经济成本。这种情况下,如何创造出一种合理准确的煤层气抽采量盒生产量的预测方法,来正确评估煤层气产量、优化抽采参数以及指导抽采设计工作至关重要。In addition, due to the limitations of some on-site conditions, such as time and economic cost, it is only possible to predict the gas extraction volume in a short period of time, and it is impossible to directly and accurately predict the later production of CBM in a few years or even decades. In addition, many key parameters (drainage negative pressure, drainage time, borehole diameter, borehole length, borehole spacing, etc.) are usually included in the design of underground borehole gas drainage. It will consume a lot of manpower, time and economic cost to optimize the optimal gas extraction parameters by comparing the gas extraction concentration or the extraction amount. In this case, how to create a reasonable and accurate prediction method of CBM extraction volume and production volume is crucial to correctly evaluate CBM production, optimize extraction parameters, and guide extraction design work.
因此,需要提供一种针对上述现有技术不足的改进技术方案。Therefore, it is necessary to provide an improved technical solution for the deficiencies of the above-mentioned prior art.
发明内容SUMMARY OF THE INVENTION
本申请的目的在于提供一种双重孔隙煤体的煤层气预测方法和系统,以解决或缓解上述现有技术中存在的问题。The purpose of the present application is to provide a coalbed methane prediction method and system for double-porosity coal body, so as to solve or alleviate the above-mentioned problems in the prior art.
为了实现上述目的,本申请提供如下技术方案:In order to achieve the above purpose, the application provides the following technical solutions:
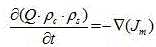
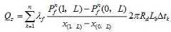
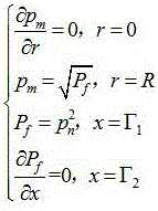
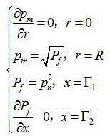
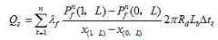
本申请提供了一种双重孔隙煤体的煤层气预测方法,所述煤体为煤基质和裂隙组成的双重孔隙介质,包括:步骤S101、沿所述煤基质的径向和所述煤体处煤层钻孔的径向,设置所述钻孔周围瓦斯流场网格节点;步骤S102、基于有限差分方法,根据所述钻孔周围瓦斯流场网格节点,对预设的煤体双重孔隙瓦斯流动模型进行离散,得到所述煤体的双重孔隙瓦斯流动差分模型;其中,所述煤体双重孔隙瓦斯流动模型为:The present application provides a method for predicting coalbed methane for a double-porosity coal body, where the coal body is a dual-porosity medium composed of a coal matrix and fractures, including: step S101: along the radial direction of the coal matrix and at the coal body In the radial direction of the coal seam borehole, set the gas flow field grid nodes around the borehole; step S102 , based on the finite difference method, according to the gas flow field grid nodes around the borehole, for the preset double-porosity gas The flow model is discretized to obtain the dual-pore gas flow differential model of the coal body; wherein, the dual-pore gas flow model of the coal body is:
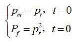
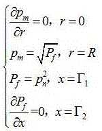
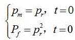
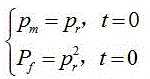
所述煤体双重孔隙瓦斯流动模型的初始条件为:The initial conditions of the double-porosity gas flow model of the coal body are:
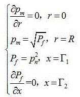
所述煤体双重孔隙瓦斯流动模型的边界条件为:The boundary conditions of the dual-porosity gas flow model of the coal body are:
式中,a为瓦斯的极限吸附量;b为吸附常数;pm为煤基质内瓦斯压力;B为单位换算系数;nm为煤基质孔隙率;t为煤基质中的吸附态的瓦斯解吸扩撒到裂隙空间内的解吸扩散时间;Km为微孔道瓦斯扩散系数;ρc是煤体的视密度;ρs是瓦斯的标准密度;r为煤基质球体内任意一点距球心的距离;nf为裂隙的孔隙率;p0为标准状态下的大气压力;Pf为裂隙内瓦斯压力平方;λf为裂隙的透气性系数;x为煤体中任意一点到钻孔壁的距离;q为瓦斯源项;R为煤基质半径;pr为煤层原始瓦斯压力;pn为钻孔瓦斯压力;Γ1为钻孔壁边界;Γ2为煤层未受钻孔影响的区域的边界;x表示所述煤体的裂隙内任一点到所述钻孔的壁面的距离;步骤S103、基于所述煤体的双重孔隙瓦斯流动差分模型,得到所述煤层钻孔周围瓦斯流场网格节点中的每个裂隙流场网格节点的裂隙内瓦斯压力;步骤S104、根据所述裂隙流场网格节点的裂隙内瓦斯压力,基于达西定律,计算所述钻孔的瓦斯流量和/或瓦斯抽采量。wherea is the limit of gas adsorption;b is the adsorption constant;pm is the gas pressure in the coal matrix;B is the unit conversion coefficient;nm is the coal matrix porosity;t is the gas desorption in the adsorbed state in the coal matrix is the desorption diffusion time of spreading into the fracture space;Km is the gas diffusion coefficient of the micro-channel;ρc is the apparent density of the coal body;ρs is the standard density of the gas;r is the distance from any point in the coal matrix sphere to the center distance;nf is the porosity of the fracture;p0 is the atmospheric pressure in the standard state;Pf is the square of the gas pressure in the fracture;λf is the permeability coefficient of the fracture;x is the distance from any point in the coal body to the borehole wall distance;q is the gas source term;R is theradius of the coal matrix;pr is the original gas pressure of the coal seam;pnis the borehole gas pressure;Γ1 is the borehole wall boundary; Boundary;x represents the distance from any point in the fissure of the coal body to the wall surface of the borehole; step S103 , based on the dual-porosity gas flow differential model of the coal body, obtain the gas flow field network around the coal seam borehole The gas pressure in the fracture of each fracture flow field grid node in the grid node; Step S104, according to the gas pressure in the fracture of the fracture flow field grid node, based on Darcy's law, calculate the gas flow rate of the borehole and / or gas extraction volume.
优选的,在步骤S101中,沿所述煤基质的径向和所述钻孔的径向,按照等比变换设置所述煤层钻孔周围瓦斯流场网格节点;其中,所述网格节点在所述煤基质的径向和所述钻孔的径向的公比分别为c1和c2,其中,c1>1,0<c2<1。Preferably, in step S101, along the radial direction of the coal matrix and the radial direction of the borehole, grid nodes of the gas flow field around the coal seam borehole are set according to the proportional transformation; wherein, the grid nodes The common ratio between the radial direction of the coal matrix and the radial direction of the borehole isc1 andc2 , wherec1 >1 and 0<c2 <1.
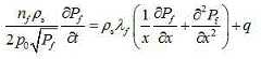
优选的,在步骤S102中,基于有限差分方法,根据所述煤层钻孔周围瓦斯流场网格节点,对煤基质扩散模型进行离散,得到煤基质瓦斯流动差分方程;其中,所述煤基质扩散模型为:Preferably, in step S102, based on the finite difference method, according to the grid nodes of the gas flow field around the coal seam borehole, the coal matrix diffusion model is discretized to obtain a coal matrix gas flow difference equation; wherein, the coal matrix diffusion The model is:
沿所述煤基质的径向,第(i,j)个所述网格节点n时刻的所述煤基质瓦斯流动差分方程为:Along the radial direction of the coal matrix, the difference equation of the coal matrix gas flow at the (i ,j )th time of the grid noden is:
其中,in,
i,j分别表示所述网格节点沿煤层钻孔的径向、沿煤基质径向的网格坐标,;;分别表示沿煤层钻孔的径向、沿煤基质径向的边界条件对应的数值,均为有理数。i andj represent the grid coordinates of the grid nodes along the radial direction of the coal seam borehole and the radial direction of the coal matrix, respectively, ; ; respectively represent the values corresponding to the boundary conditions along the radial direction of the coal seam borehole and along the radial direction of the coal matrix, All are rational numbers.
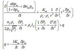
优选的,在步骤S102中,基于泰勒级数法,对裂隙瓦斯流动模型进行离散,得到裂隙瓦斯流动差分方程;其中,所述裂隙瓦斯流动模型为:Preferably, in step S102, based on the Taylor series method, the fracture gas flow model is discretized to obtain a fracture gas flow difference equation; wherein, the fracture gas flow model is:
沿煤层钻孔的径向,第(i,j)个所述网格节点n时刻的所述裂隙瓦斯流动差分方程为:Along the radial direction of the coal seam borehole, the difference equation of the fractured gas flow at the (i ,j )th time of the grid noden is:
式中,沿煤层钻孔的径向,表示离散后第n时刻沿所述钻孔的径向第(i,j)个所述网格节点处的瓦斯源项差分方程:In the formula, along the radial direction of the coal seam borehole, Represents the difference equation of the gas source term at the (i,j )th grid node along the radial direction of the borehole at thenth moment after discretization:
其中,i,j分别表示所述网格节点沿煤层钻孔的径向、沿煤基质径向的网格坐标,;;分别表示沿煤层钻孔的径向、沿煤基质径向的边界条件对应的数值,均为有理数。wherei andj represent the grid coordinates of the grid nodes along the radial direction of the coal seam borehole and along the radial direction of the coal matrix, respectively, ; ; respectively represent the values corresponding to the boundary conditions along the radial direction of the coal seam borehole and along the radial direction of the coal matrix, All are rational numbers.
优选的,步骤S103包括:步骤S113、根据预设瓦斯源项初值和第一预设初值,基于所述煤体的双重孔隙瓦斯流动差分模型中的裂隙瓦斯流动差分方程,得到所述裂隙流场网格节点n时刻的裂隙内瓦斯压力近似值;其中,所述第一预设初值为所述裂隙流场网格节点n时刻的裂隙瓦斯压力平方的初始值,n为有理数;步骤S123、根据所述裂隙流场网格节点n时刻的裂隙内瓦斯压力近似值和第二预设初值,基于所述煤体的双重孔隙瓦斯流动差分模型中的煤基质瓦斯流动差分方程,得到所述煤基质流场网格节点n时刻的煤基质内瓦斯压力近似值;其中,所述第二预设初值为所述煤基质流场网格节点n时刻煤基质内瓦斯压力的初始值;步骤S133、根据所述煤基质流场网格节点n时刻的煤基质内瓦斯压力近似值,基于所述煤体的双重孔隙瓦斯流动差分模型中的瓦斯源项差分方程,得到所述裂隙流场网格节点n时刻的瓦斯源项真值;步骤S143、响应于所述瓦斯源项真值与所述预设瓦斯源项初值的相对误差大于瓦斯源项预设误差阈值,将所述瓦斯源项真值与所述预设瓦斯源项初值进行加权平均,并基于所述煤体的双重孔隙瓦斯流动差分模型,对所述瓦斯源项真值进行循环计算,直至所述瓦斯源项相对误差小于等于所述瓦斯源项预设误差阈值,得到所述裂隙流场网格节点n时刻的裂隙内瓦斯压力,其中,所述瓦斯源项相对误差为述瓦斯源项真值与所述预设瓦斯源项初值的相对误差。Preferably, step S103 includes: step S113 , according to a preset initial value of the gas source term and a first preset initial value, and based on the fracture gas flow differential equation in the dual-porosity gas flow differential model of the coal body, obtain the fracture The approximate value of the gas pressure in the fracture at the time of the flow field grid noden ; wherein, the first preset initial value is the initial value of the square of the fracture gas pressure at the noden of the fracture flow field grid,where n is a rational number; Step S123 , according to the approximation value of the gas pressure in the fracture at time n of the grid noden of the fracture flow field and the second preset initial value, and based on the coal-matrix gas flow differential equation in the dual-porosity gas flow differential model of the coal body, obtain the The approximate value of the gas pressure in the coal matrix at the time of the grid noden of the coal matrix flow field; wherein, the second preset initial value is the initial value of the gas pressure in the coal matrix at the time of the grid noden of the coal matrix flow field; Step S133 . According to the approximate value of the gas pressure in the coal matrix at the time of the grid noden of the coal matrix flow field, and based on the difference equation of the gas source term in the dual-porosity gas flow differential model of the coal body, the grid node of the fracture flow field is obtained. The true value of the gas source term at timen ; step S143, in response to the relative error between the true value of the gas source term and the preset initial value of the gas source term being greater than the preset error threshold of the gas source term, set the gas source term to true The value of the gas source term is weighted and averaged with the initial value of the preset gas source term, and based on the dual-porosity gas flow differential model of the coal body, the true value of the gas source term is cyclically calculated until the relative error of the gas source term is less than is equal to the preset error threshold of the gas source term, to obtain the gas pressure in the fracture at time n of the grid noden of the fracture flow field, wherein the relative error of the gas source term is the true value of the gas source term and the preset gas The relative error of the initial value of the source term.
优选的,所述根据预设瓦斯源项初值和第一预设初值,基于所述煤体的双重孔隙瓦斯流动差分模型中的裂隙瓦斯流动差分方程,得到所述裂隙流场网格节点n时刻的裂隙内瓦斯压力近似值,包括:基于所述煤体的双重孔隙瓦斯流动差分模型中的裂隙瓦斯流动差分方程,沿所述煤层钻孔的径向,根据所述预设瓦斯源项初值、所述裂隙流场网格节点(n-1)时刻的裂隙内瓦斯压力平方和第一初始值,得到所述裂隙流场网格节点n时刻的裂隙内瓦斯压力平方的中间近似值;其中,n为大于1的正整数;所述第一预设初值根据所述裂隙流场网格节点(n-1)时刻的裂隙内瓦斯压力平方得到;对所述裂隙流场网格节点n时刻的裂隙内瓦斯压力平方的中间近似值与所述裂隙流场网格节点n时刻的所述第一预设初值进行比较,得到所述裂隙流场网格节点n时刻的裂隙压力相对误差;响应于所述裂隙压力相对误差大于裂隙压力预设误差阈值,基于所述裂隙瓦斯流动差分方程,对所述裂隙流场网格节点n时刻的裂隙内瓦斯压力平方的中间近似值进行循环计算,直至所述裂隙压力相对误差小于等于所述裂隙压力预设误差阈值,得到所述裂隙流场网格节点n时刻的裂隙内瓦斯压力近似值。Preferably, according to the preset initial value of the gas source term and the first preset initial value, and based on the fracture gas flow differential equation in the dual-porosity gas flow differential model of the coal body, the grid node of the fracture flow field is obtained The approximate value of the gas pressure in the fracture at timen includes: based on the fracture gas flow differential equation in the dual pore gas flow differential model of the coal body, along the radial direction of the coal seam borehole, according to the preset gas source term value, the square of the gas pressure in the fracture at the time of the fracture flow field grid node (n -1), and the first initial value, to obtain the intermediate approximation of the square of the gas pressure in the fracture at the time of the fracture flow field grid noden ; wherein ,n is a positive integer greater than 1; the first preset initial value is obtained according to the square of the gas pressure in the fracture at the time of the fracture flow field grid node (n -1); for the fracture flow field grid noden The intermediate approximation value of the square of the gas pressure in the fracture at time is compared with the first preset initial value at time n of the grid noden of the fracture flow field to obtain the relative error of the fracture pressure at time node n of the grid noden of the fracture flow field; In response to the relative error of the fracture pressure being greater than the preset error threshold of the fracture pressure, based on the fracture gas flow differential equation, the intermediate approximation value of the square of the gas pressure in the fracture at time n of the grid noden of the fracture flow field is cyclically calculated until The relative error of the fracture pressure is less than or equal to the preset error threshold of the fracture pressure, and an approximate value of the gas pressure in the fracture at time n of the grid noden of the fracture flow field is obtained.
优选的,所述根据所述裂隙流场网格节点n时刻的裂隙内瓦斯压力近似值和第二预设初值,基于所述煤体的双重孔隙瓦斯流动差分模型中的煤基质瓦斯流动差分方程,得到所述煤基质流场网格节点n时刻的煤基质内瓦斯压力近似值,包括:基于所述煤体的双重孔隙瓦斯流动差分模型中的煤基质瓦斯流动差分方程,沿所述煤基质的径向,根据所述裂隙流场网格节点n时刻的裂隙内瓦斯压力近似值、所述煤基质流场网格节点(n-1)时刻的煤基质内瓦斯压力和所述第二预设初值,得到所述煤基质流场网格节点n时刻的煤基质内瓦斯压力的中间近似值;其中,所述第二预设初值根据所述煤基质流场网格节点(n-1)时刻的煤基质内瓦斯压力得到;对所述煤基质流场网格节点n时刻的煤基质内瓦斯压力的中间近似值与所述第二预设初值进行比较,得到所述煤基质流场网格节点n时刻的煤基质压力相对误差;响应于所述煤基质压力相对误差大于煤基质压力预设误差阈值,基于所述煤基质瓦斯流动差分方程,对所述煤基质流场网格节点n时刻的煤基质内瓦斯压力的中间近似值进行循环计算,直至所述煤基质压力相对误差小于等于所述基质压力预设误差阈值得到所述煤基质流场网格节点n时刻的煤基质内瓦斯压力。Preferably, according to the approximation value of the gas pressure in the fracture and the second preset initial value at time n of the grid noden of the fracture flow field, based on the coal-matrix gas flow differential equation in the dual-porosity gas flow differential model of the coal body , to obtain the approximate value of the gas pressure in the coal matrix at time n at the grid noden of the coal matrix flow field, including: based on the coal matrix gas flow differential equation in the dual pore gas flow differential model of the coal body, along the coal matrix Radial, according to the approximate value of the gas pressure in the fracture at the grid noden of the fracture flow field, the gas pressure in the coal matrix at the grid node (n -1) of the coal matrix flow field, and the second preset initial value to obtain the intermediate approximation value of the gas pressure in the coal matrix at timen of the coal matrix flow field grid node; wherein, the second preset initial value is based on the coal matrix flow field grid node (n -1) time The gas pressure in the coal matrix is obtained by comparing the intermediate approximation value of the gas pressure in the coal matrix at the noden of the coal matrix flow field grid with the second preset initial value to obtain the coal matrix flow field grid The relative error of the coal matrix pressure at noden ; in response to the relative error of the coal matrix pressure being greater than the preset error threshold of the coal matrix pressure, based on the coal matrix gas flow difference equation, the coal matrix flow field grid grid noden time The intermediate approximate value of the gas pressure in the coal matrix is calculated cyclically until the relative error of the coal matrix pressure is less than or equal to the preset error threshold of the matrix pressure to obtain the gas pressure in the coal matrix at the time of noden of the coal matrix flow field grid.
优选的,所述响应于所述瓦斯源项真值与所述预设瓦斯源项初值的相对误差大于瓦斯源项预设误差阈值,将所述瓦斯源项真值与所述预设瓦斯源项初值进行加权平均,并基于所述煤体的双重孔隙瓦斯流动差分模型,对所述瓦斯源项真值进行循环计算,直至所述瓦斯源项相对误差小于等于所述瓦斯源项预设误差阈值,得到所述裂隙流场网格节点n时刻的裂隙内瓦斯压力,包括:对所述裂隙流场网格节点n时刻的瓦斯源项真值与所述预设瓦斯源项初值进行比较,得到所述裂隙流场网格节点n时刻的瓦斯源项相对误差;响应于所述瓦斯源项相对误差大于瓦斯源项预设误差阈值,将所述瓦斯源项真值与所述预设瓦斯源项初值进行加权平均,并基于所述煤体的双重孔隙瓦斯流动差分模型,对所述瓦斯源项真值进行循环计算,直至所述瓦斯源项相对误差小于等于所述瓦斯源项预设误差阈值,得到所述裂隙流场网格节点n时刻的裂隙内瓦斯压力。Preferably, in response to the relative error between the true value of the gas source item and the initial value of the preset gas source item being greater than a preset error threshold of the gas source item, the true value of the gas source item is compared with the preset gas source item. The initial value of the source term is weighted and averaged, and based on the dual-porosity gas flow differential model of the coal body, the true value of the gas source term is cyclically calculated until the relative error of the gas source term is less than or equal to the predicted gas source term. Setting an error threshold to obtain the gas pressure in the fracture at the time of noden of the fracture flow field grid, including: the true value of the gas source term at the time of noden of the fracture flow field grid and the initial value of the preset gas source term Make a comparison to obtain the relative error of the gas source term at the time of the grid noden of the fracture flow field; in response to the relative error of the gas source term being greater than the preset error threshold of the gas source term, compare the true value of the gas source term with the The initial value of the preset gas source term is weighted and averaged, and based on the dual-porosity gas flow differential model of the coal body, the true value of the gas source term is cyclically calculated until the relative error of the gas source term is less than or equal to the gas source term. The source term presets the error threshold, and obtains the gas pressure in the fracture at time n of the grid noden of the fracture flow field.
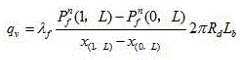
优选的,在步骤S104中,根据所述裂隙流场网格节点的裂隙内瓦斯压力,基于达西定律,按照公式:Preferably, in step S104, according to the gas pressure in the fracture of the grid node of the fracture flow field, based on Darcy's law, according to the formula:
计算所述钻孔的瓦斯流量;calculating the gas flow of the borehole;
其中,表示解吸扩散时间内所述煤体的瓦斯流量;为所述煤体上的钻孔半径;Lb为所述煤体上的钻孔长度;表示n时刻靠近所述钻孔的壁面的最近的一个所述网格节点处裂隙内瓦斯压力平方;表示n时刻所述钻孔的壁面处的裂隙内瓦斯压力平方;表示靠近所述钻孔的壁面的最近的一个所述裂隙流场网格节点距所述钻孔的壁面的坐标值;表示所述钻孔的壁面处的坐标值;in, Represents the gas flow of the coal body during the desorption diffusion time; is the drill hole radius on the coal body;Lb is the drill hole length on the coal body; represents the square of the gas pressure in the fracture at the nearest grid node near the wall of the borehole at timen ; represents the square of the gas pressure in the fracture at the wall of the borehole at timen ; represents the coordinate value of the nearest one of the fracture flow field grid nodes close to the wall surface of the borehole from the wall surface of the borehole; Represents the coordinate value at the wall surface of the borehole;
和/或,根据所述裂隙流场网格节点的裂隙内瓦斯压力,基于达西定律,按照公式:And/or, according to the gas pressure in the fracture of the grid node of the fracture flow field, based on Darcy's law, according to the formula:
计算所述钻孔的瓦斯抽采量;calculating the gas extraction volume of the borehole;
其中,表示解吸扩散时间内所述煤体的瓦斯抽采量,表示解吸扩散时间内第k个时间步长。in, represents the gas extraction volume of the coal body during the desorption diffusion time, represents thekth time step in the desorption diffusion time.
本申请实施例还提供一种双重孔隙煤体的煤层气预测系统,包括:节点设置单元,配置为沿所述煤基质的径向和所述煤体处煤层钻孔的径向,设置所述钻孔周围瓦斯流场网格节点;离散差分单元,配置为基于有限差分方法,根据所述钻孔周围瓦斯流场网格节点,对预设的煤体双重孔隙瓦斯流动模型进行离散,得到所述煤体的双重孔隙瓦斯流动差分模型;其中,所述煤体双重孔隙瓦斯流动模型为:Embodiments of the present application further provide a coalbed methane prediction system for a double-porosity coal body, including: a node setting unit, configured to set the The grid node of gas flow field around the borehole; the discrete difference unit is configured to be based on the finite difference method. The dual-porosity gas flow differential model of the coal body is described; wherein, the dual-porosity gas flow model of the coal body is:
所述煤体双重孔隙瓦斯流动模型的初始条件为:The initial conditions of the double-porosity gas flow model of the coal body are:
所述煤体双重孔隙瓦斯流动模型的边界条件为:The boundary conditions of the dual-porosity gas flow model of the coal body are:
式中,a为瓦斯的极限吸附量;b为吸附常数;pm为煤基质内瓦斯压力;B为单位换算系数;nm为煤基质孔隙率;t为煤基质中的吸附态的瓦斯解吸扩撒到裂隙空间内的解吸扩散时间;Km为微孔道瓦斯扩散系数;ρc是煤体的视密度;ρs是瓦斯的标准密度;r为煤基质球体内任意一点距球心的距离;nf为裂隙的孔隙率;p0为标准状态下的大气压力;Pf为裂隙内瓦斯压力平方;λf为裂隙的透气性系数;x为煤体中任意一点到钻孔壁的距离;q为瓦斯源项;R为煤基质半径;pr为煤层原始瓦斯压力;pn为钻孔瓦斯压力;Γ1为钻孔壁边界;Γ2为煤层未受钻孔影响的区域的边界;x表示所述煤体的裂隙内任一点到所述钻孔的壁面的距离;裂隙压力计算单元,配置为基于所述煤体的双重孔隙瓦斯流动差分模型,得到所述煤层钻孔周围瓦斯流场网格节点中的每个裂隙流场网格节点的裂隙内瓦斯压力;预测单元,配置为根据所述裂隙流场网格节点的裂隙内瓦斯压力,基于达西定律,计算所述煤体的瓦斯流量和/或瓦斯抽采量。wherea is the limit of gas adsorption;b is the adsorption constant;pm is the gas pressure in the coal matrix;B is the unit conversion coefficient;nm is the coal matrix porosity;t is the gas desorption in the adsorbed state in the coal matrix is the desorption diffusion time of spreading into the fracture space;Km is the gas diffusion coefficient of the micro-channel;ρc is the apparent density of the coal body;ρs is the standard density of the gas;r is the distance from any point in the coal matrix sphere to the center distance;nf is the porosity of the fracture;p0 is the atmospheric pressure in the standard state;Pf is the square of the gas pressure in the fracture;λf is the permeability coefficient of the fracture;x is the distance from any point in the coal body to the borehole wall distance;q is the gas source term;R is theradius of the coal matrix;pr is the original gas pressure of the coal seam;pnis the borehole gas pressure;Γ1 is the borehole wall boundary; Boundary;x represents the distance from any point in the fracture of the coal body to the wall surface of the borehole; the fracture pressure calculation unit is configured to obtain the surrounding of the coal seam borehole based on the dual pore gas flow differential model of the coal body the gas pressure in the fracture of each fracture flow field grid node in the gas flow field grid node; the prediction unit is configured to calculate the gas pressure in the fracture according to the gas pressure in the fracture flow field grid node based on Darcy's law Gas flow and/or gas extraction from the coal body.
与最接近的现有技术相比,本申请实施例的技术方案具有如下有益效果:Compared with the closest prior art, the technical solutions of the embodiments of the present application have the following beneficial effects:
本申请实施例中,通过沿煤基质的径向和煤体处煤层钻孔的径向(即裂隙的延伸方向),设置钻孔周围瓦斯流场网格节点;基于有限差分方法,对预设的煤体双重孔隙瓦斯流动模型进行离散,建立煤体的双重孔隙瓦斯流动差分模型,并基于双重孔隙瓦斯流动差分模型计算煤层钻孔周围瓦斯流场网格节点中的每个裂隙流场网格节点的裂隙内瓦斯压力;由裂隙流场网格节点的裂隙内瓦斯压力,基于达西定律,计算煤层钻孔内的瓦斯流量和/或瓦斯抽采量。籍此,通过煤层钻孔内的瓦斯流量和/或瓦斯抽采量,对钻孔瓦斯抽采流量衰减趋势及煤层气产量的进行预测,实现较长时间周期煤层气抽采量的动态变化以及煤层气的生产量的准确预测,节约井下煤层打钻测试的时间、经济和人力成本,指导井下煤层钻孔瓦斯抽采,提高瓦斯抽采效果以及煤层气产量。In the embodiment of the present application, the grid nodes of the gas flow field around the borehole are set along the radial direction of the coal matrix and the radial direction of the coal seam borehole at the coal body (that is, the extension direction of the fracture); based on the finite difference method, the preset The dual-porosity gas flow model of coal body is discretized, the dual-porosity gas flow differential model of coal body is established, and each fracture flow field grid in the gas flow field grid node around the coal seam borehole is calculated based on the dual-porosity gas flow differential model. The gas pressure in the fracture of the node; from the gas pressure in the fracture of the fracture flow field grid node, based on Darcy's law, calculate the gas flow and/or gas extraction volume in the coal seam borehole. In this way, through the gas flow and/or gas extraction volume in the coal seam borehole, the attenuation trend of drilling gas extraction flow and the coalbed methane production can be predicted, and the dynamic change of the coalbed methane extraction volume over a long period of time can be realized. The accurate prediction of the production volume of coalbed methane saves the time, economic and labor costs of drilling and testing of underground coalbeds, guides the gas drainage of underground coalbed drilling, and improves the gas drainage effect and the production of coalbed methane.
附图说明Description of drawings
构成本申请的一部分的说明书附图用来提供对本申请的进一步理解,本申请的示意性实施例及其说明用于解释本申请,并不构成对本申请的不当限定。其中:The accompanying drawings that form a part of the present application are used to provide further understanding of the present application, and the schematic embodiments and descriptions of the present application are used to explain the present application and do not constitute improper limitations on the present application. in:
图1为根据本申请的一些实施例提供的双重孔隙煤体的煤层气预测方法的流程示意图;FIG. 1 is a schematic flowchart of a method for predicting coalbed methane for dual-porosity coal bodies according to some embodiments of the present application;
图2为根据本申请的一些实施例提供的煤体瓦斯流程网格节点划分示意图;2 is a schematic diagram of grid node division of coal gas flow process provided according to some embodiments of the present application;
图3为根据本申请的一些实施例提供的双重孔隙煤体的煤层气预测方法的逻辑框图;3 is a logical block diagram of a method for predicting coalbed methane for dual-porosity coal bodies according to some embodiments of the present application;
图4为根据本申请的一些实施例提供的网格节点的裂隙内瓦斯压力确定方法的流程示意图;4 is a schematic flowchart of a method for determining gas pressure in a fracture of a grid node according to some embodiments of the present application;
图5为根据本申请的一些实施例提供的一种双重孔隙煤体的煤层气预测系统的结构示意图。FIG. 5 is a schematic structural diagram of a coalbed methane prediction system for a dual-porosity coal body provided according to some embodiments of the present application.
具体实施方式Detailed ways
下面将参考附图并结合实施例来详细说明本申请。各个示例通过本申请的解释的方式提供而非限制本申请。实际上,本领域的技术人员将清楚,在不脱离本申请的范围或精神的情况下,可在本申请中进行修改和变型。例如,示为或描述为一个实施例的一部分的特征可用于另一个实施例,以产生又一个实施例。因此,所期望的是,本申请包含归入所附权利要求及其等同物的范围内的此类修改和变型。The present application will be described in detail below with reference to the accompanying drawings and in conjunction with the embodiments. The various examples are provided by way of explanation of the application and do not limit the application. In fact, it will be apparent to those skilled in the art that modifications and variations can be made in the present application without departing from the scope or spirit of the application. For example, features illustrated or described as part of one embodiment can be used on another embodiment to yield yet another embodiment. Therefore, it is intended that this application cover such modifications and variations as come within the scope of the appended claims and their equivalents.
在本申请实施例中,煤基质为各向同性的、均值的多孔介质球体,其孔隙率和扩散系数均匀一致且不受煤基质中瓦斯压力变化的影响;煤基质瓦斯流场中温度不变,为等温流动;煤基质中的游离瓦斯为理想气体。In the examples of this application, the coal matrix is an isotropic, average-valued porous medium sphere, and its porosity and diffusion coefficient are uniform and unaffected by changes in gas pressure in the coal matrix; the temperature in the coal matrix gas flow field remains unchanged , is an isothermal flow; the free gas in the coal matrix is an ideal gas.
图1为根据本申请的一些实施例提供的双重孔隙煤体的煤层气预测方法的流程示意图;图2为根据本申请的一些实施例提供的煤体瓦斯流程网格节点划分示意图;图3为根据本申请的一些实施例提供的双重孔隙煤体的煤层气预测方法的逻辑框图;Fig. 1 is a schematic flowchart of a method for predicting coalbed methane for double-porosity coal bodies provided according to some embodiments of the present application; Fig. 2 is a schematic diagram of grid node division of coal body gas flow processes provided according to some embodiments of the present application; Fig. 3 is a schematic diagram of A logical block diagram of a coalbed methane prediction method for dual-porosity coal bodies provided according to some embodiments of the present application;
本申请实施例中,煤体为煤基质和裂隙组成的双重孔隙介质,如图1、图2、图3所示,该双重孔隙煤体的煤层气预测方法包括:In the embodiment of the present application, the coal body is a dual-porosity medium composed of coal matrix and fissures, as shown in Figure 1, Figure 2, Figure 3, the CBM prediction method for the dual-porosity coal body includes:
步骤S101、沿煤基质的径向和煤体处煤层钻孔的径向,设置钻孔周围瓦斯流场网格节点;Step S101, along the radial direction of the coal matrix and the radial direction of the coal seam borehole at the coal body, set the grid nodes of the gas flow field around the borehole;
在本申请实施例中,在煤层的不同深处,煤基质球体中瓦斯解吸后沿煤基质球体的径向(如图2所示的r轴:煤基质瓦斯扩散方向)流动,从煤基质球体的表面汇入裂隙,沿煤体处煤层钻孔的径向(如图2所示的x轴:裂隙瓦斯渗流方向)即裂隙的延伸方向流动,与裂隙中的气体一同进入钻孔。In the embodiments of the present application, at different depths of the coal seam, the gas in the coal matrix spheres flows along the radial direction of the coal matrix spheres after desorption (r -axis as shown in Figure 2: the coal matrix gas diffusion direction), and flows from the coal matrix spheres from the coal matrix spheres The surface of the fissures merges into the fissures, and flows along the radial direction of the coal seam borehole at the coal body (x -axis shown in Figure 2: the direction of gas seepage in the fissures), that is, the extension direction of the fissures, and enters the borehole together with the gas in the fissures.
在设置钻孔周围瓦斯流程网格节点时,沿煤基质的径向和钻孔的径向,按照等比变换设置煤层钻孔周围瓦斯流程网格节点。其中,网格节点在煤基质的径向和钻孔的径向的公比分别为c1和c2,其中,c1>1,0<c2<1。When setting the gas flow grid nodes around the borehole, along the radial direction of the coal matrix and the radial direction of the borehole, set the gas flow grid nodes around the coal seam borehole according to the proportional transformation. Wherein, the common ratios of the grid nodes in the radial direction of the coal matrix and the radial direction of the borehole arec1 andc2 , wherec1 >1, 0<c2 <1.
在本申请实施例中,沿煤体处煤层钻孔的径向的网格节点为裂隙流场网格节点,煤体处煤层钻孔的径向和基质球体的径向(r轴)网格线的交点为煤基质流场网格节点。通过在煤基质的径向和钻孔的径向按等比变换设置网格节点,煤基质球体外表面与钻孔处的网格线更为密集,能够有效的表征煤基质球体外表面与钻孔处瓦斯的剧烈流动。In the embodiment of the present application, the grid nodes along the radial direction of the coal seam borehole at the coal body are the fracture flow field grid nodes, the radial direction of the coal seam borehole at the coal body and the radial (r -axis) grid of the matrix sphere The intersection of the lines is the grid node of the coal matrix flow field. By setting grid nodes in the radial direction of the coal matrix and the radial direction of the drill hole by proportional transformation, the grid lines on the outer surface of the coal matrix sphere and the drill hole are more dense, which can effectively characterize the outer surface of the coal matrix sphere and the drill hole. Vigorous flow of gas at the hole.
步骤S102、基于有限差分方法,根据钻孔周围瓦斯流场网格节点,对预设的煤体双重孔隙瓦斯流动模型进行离散,得到煤体的双重孔隙瓦斯流动差分模型;Step S102, based on the finite difference method, according to the grid nodes of the gas flow field around the borehole, discretize the preset dual-porosity gas flow model of the coal body to obtain a dual-porosity gas flow differential model of the coal body;
在本申请实施例中,煤基质中瓦斯含量由游离瓦斯和吸附瓦斯组成,表达式如公式(1)所示。公式(1)如下:In the examples of the present application, the gas content in the coal matrix is composed of free gas and adsorbed gas, and the expression is shown in formula (1). Formula (1) is as follows:
………………………………(1) ………………………………(1)
式中,Q为煤基质中单位质量煤含有的瓦斯量,单位为:m3/kg;a为瓦斯极限吸附量,单位为:m3/kg;b为吸附常数,单位为:MPa-1;nm是煤基质孔隙率,%;pm为煤基质内瓦斯压力,单位为:MPa;B为单位换算系数,单位为:m3/(kg·MPa)。In the formula,Q is the gas content per unit mass of coal in the coal matrix, the unit is: m3 /kg;a is the limit gas adsorption capacity, the unit is: m3 /kg;b is the adsorption constant, the unit is: MPa-1 ;nm is the coal matrix porosity, %;pm is the gas pressure in the coal matrix, in MPa;B is the unit conversion factor, in m3 /(kg·MPa).
在本申请实施例中,瓦斯在煤基质中的流动服从游离瓦斯密度梯度驱动的煤基质扩散理论,表达式如公式(2)所示,公式(2)如下:In the embodiment of the present application, the gas flow in the coal matrix obeys the coal matrix diffusion theory driven by the free gas density gradient, and the expression is shown in the formula (2), and the formula (2) is as follows:
………………(2) ………………(2)
式中,Jm为煤基质中瓦斯质量通量,即单位时间内通过单位面积的瓦斯质量,单位为:kg/m2·s;Dm为游离瓦斯扩散参数,单位为:m2/d;ρfg为游离态瓦斯密度,单位为:kg/m3;r为煤基质球体内任意一点距球心的距离,单位为:m;R为通用气体常数,取值为:8.314J·mol-1·K-1;T为理想气体的热力学温度,单位为:K;M为物质的摩尔质量,单位为:g/mol,瓦斯的摩尔质量为16.0425g/mol;Km为微孔道瓦斯扩散系数,单位为:kg/(MPa·m·d)。In the formula,Jm is the gas mass flux in the coal matrix, that is, the gas mass passing through a unit area in unit time, the unit is: kg/m2 ·s;Dm is the free gas diffusion parameter, the unit is: m2 /d ;ρf g is the free state gas density, the unit is: kg/m3 ;r is the distance from any point in the coal matrix sphere to the center of the sphere, the unit is: m;R is the universal gas constant, the value is: 8.314J·mol-1 ·K-1 ;T is the thermodynamic temperature of the ideal gas, the unit is: K;M is the molar mass of the substance, the unit is: g/mol, and the molar mass of the gas is 16.0425g/mol;Km is the micro-channel Gas diffusion coefficient, unit: kg/(MPa·m·d).
在本申请实施例中,在煤基质球体内部选取一个同一球心的微小单元体球壳进行分析,根据质量守恒定律,球壳中瓦斯的变化量等于单位时间内流入与流出球壳的净瓦斯质量,表达式如公式(3)所示,公式(3)如下:In the examples of this application, a tiny unit spherical shell with the same spherical center is selected inside the coal matrix sphere for analysis. According to the law of conservation of mass, the change of gas in the spherical shell is equal to the net gas flowing into and out of the spherical shell per unit time. quality, the expression is shown in formula (3), and formula (3) is as follows:
…………………………(3) …………………… (3)
式中,ρc是煤的视密度,单位为:kg/m3;ρs是瓦斯的标准密度,即温度为0℃和压力为标准大气压下的瓦斯气体密度,ρs为0.717kg/m3;▽为哈密顿算符。In the formula,ρc is the apparent density of coal, the unit is: kg/m3 ;ρs is the standard density of gas, that is, the gas density under the temperature of 0℃ and the pressure of standard atmospheric pressure,ρs is 0.717kg/m3 ;▽ is the Hamiltonian.
由公式(1)、(2)、(3)可得,煤基质游离瓦斯密度梯度扩散模型,即煤基质扩散模型,表达式如公式(4)所示,公式(4)如下:From formulas (1), (2) and (3), the coal matrix free gas density gradient diffusion model, that is, the coal matrix diffusion model, is expressed as shown in formula (4), and formula (4) is as follows:
…………………………(4) …………………… (4)
式中,t为煤基质中的吸附态的瓦斯解吸扩撒到裂隙空间内的解吸扩散时间,单位为:天(d)。In the formula,t is the desorption and diffusion time for the gas in the coal matrix to be desorbed and spread into the fracture space, and the unit is: day (d).
在本申请实施例中,裂隙中瓦斯流动为等温过程,裂隙中的气体以游离瓦斯为主,裂隙的孔隙率不受瓦斯压力的影响。裂隙内瓦斯含量的表达式如公式(5)所示,公式(5)如下:In the embodiment of the present application, the gas flow in the fracture is an isothermal process, the gas in the fracture is mainly free gas, and the porosity of the fracture is not affected by the gas pressure. The expression of gas content in the fracture is shown in formula (5), and formula (5) is as follows:
……………………………………(5) …………………………………… (5)
式中,cf为裂隙的瓦斯含量,单位为:kg/m3;nf为裂隙的孔隙率;为单位体积煤体裂隙空间内瓦斯密度,单位为:kg/m3。In the formula,cf is the gas content of the fracture, the unit is: kg/m3 ;nf is the porosity of the fracture; the gas density in the fracture space of the coal body per unit volume, the unit is: kg/m3 .
在本申请实施例中,瓦斯在裂隙中的流动服从达西定律,表达式如公式(6)所示,公式(6)如下:In the embodiment of the present application, the flow of gas in the crack obeys Darcy's law, and the expression is shown in formula (6), and formula (6) is as follows:
……………………………………(6) …………………………………… (6)
式中,uf为裂隙内瓦斯比流量,单位为:m3/(m2·d);λf为裂隙的透气性系数,单位为:m2/(MPa2·d);kf为裂隙的渗透率,单位为:m2;μ为瓦斯的动力粘度,单位为:Pa·s;;Pf为裂隙内瓦斯压力平方,单位为:MPa2;pf为裂隙内瓦斯压力,单位为:MPa;x为煤体中任意一点到钻孔壁的距离,单位为:m。In the formula,uf is the gas ratio flow rate in the crack, the unit is: m3 /(m2 ·d);λf is the gas permeability coefficient of the crack, the unit is: m2 /(MPa2 ·d);kf is The permeability of the fracture, in m2 ;μ is the dynamic viscosity of gas, in Pa·s;Pf is the square of the gas pressure in the fracture, in MPa2 ;pf is the gas pressure in the fracture, in the unit is: MPa;x is the distance from any point in the coal body to the borehole wall, in m.
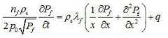
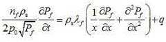
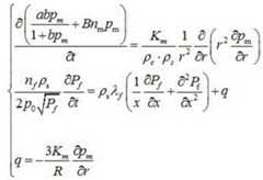
在本申请实施例中,在裂隙中选取一个微小单元体(裂隙微元体)进行分析,根据质量守恒定律,在dt时间内,裂隙微元体瓦斯含量的变化由裂隙中瓦斯流入、流出微元体的净含量和煤基质解吸汇入微元体的气体量构成,煤层钻孔周围的瓦斯径向流场为轴对称流程,则裂隙中气体流动的模型,即裂隙瓦斯流动模型的表达式如公式(7)所示,公式(7)如下:In the examples of this application, a tiny unit body (crack micro-body) is selected in the fracture for analysis. According to the law of conservation of mass, within thedt time, the change of gas content in the fracture micro-body is determined by the gas flowing into and out of the fracture. The net content of the element body is composed of the amount of gas desorbed into the micro-element body by the coal matrix. The gas radial flow field around the coal seam borehole is an axisymmetric process, and the gas flow model in the fracture is the expression of the fracture gas flow model. As shown in formula (7), formula (7) is as follows:
………………………(7) …………………… (7)
式中,nf为裂隙的孔隙率,%;p0为标准状态下的大气压力,p0=0.101325MPa;Pf为裂隙内瓦斯压力平方,单位为:MPa2;λf为裂隙的透气性系数,单位为:m2/(MPa2·d);x为煤体中任意一点到钻孔壁的距离,单位为:m;q为瓦斯源项,单位为:kg/(m3·d)。In the formula,nf is the porosity of the crack, %;p0 is the atmospheric pressure in the standard state,p0 =0.101325MPa;Pf is the square of the gas pressure in the crack, the unit is: MPa2 ;λf is the permeability of the crack coefficient, unit: m2 /(MPa2 ·d);x is the distance from any point in the coal body to the borehole wall, unit: m;q is the gas source term, unit: kg/(m3 · d).
在本申请实施例中,煤体是由煤基质和裂隙组成的双重孔隙介质,钻孔周围煤体裂隙瓦斯渗流沿钻孔径向流动,煤基质瓦斯扩散流动沿煤基质球体径向流动。煤层不同深度处的煤基质内瓦斯解吸后,沿煤基质径向运移,从煤基质表面释放扩散进入裂隙,再沿裂隙渗流涌入钻孔。In the embodiments of the present application, the coal body is a dual pore medium composed of coal matrix and fractures, the gas seepage flow in the coal body fractures around the borehole flows along the radial direction of the borehole, and the diffusion flow of coal matrix gas flows along the radial direction of the coal matrix sphere. After desorption of gas in the coal matrix at different depths of the coal seam, it migrates radially along the coal matrix, releases and diffuses from the surface of the coal matrix into the fractures, and then seeps into the borehole along the fractures.
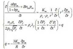
在本申请实施例中,以单位时间内单位体积煤基质的瓦斯解吸量作为该网格节点处裂隙的瓦斯源项,由游离瓦斯密度梯度驱动的煤基质扩散理论,瓦斯源项的表达式如公式(8)所示,公式(8)如下:In the examples of this application, the gas desorption amount per unit volume of coal matrix in unit time is used as the gas source term of the fractures at the grid node, and the coal matrix diffusion theory driven by free gas density gradient, the expression of the gas source term is as follows As shown in formula (8), formula (8) is as follows:
………………………(8) ………………………(8)
式中,R为煤基质半径,单位为:m。In the formula,R is the radius of the coal matrix, and the unit is m.
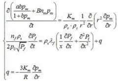
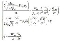
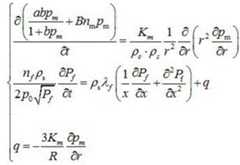
由公式(4)、公式(7)、公式(8)构成煤体双重孔隙瓦斯流动模型,表达式如公式(9)所示,公式(9)如下:The dual pore gas flow model of coal body is composed of formula (4), formula (7) and formula (8). The expression is shown in formula (9), and formula (9) is as follows:
………………………(9) ………………………(9)
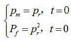
煤体双重孔隙瓦斯流动模型的初始条件如公式(10)所示,公式(10)如下:The initial conditions of the dual-porosity gas flow model of coal body are shown in formula (10), and formula (10) is as follows:
………………………(10) …………………… (10)
煤体双重孔隙瓦斯流动模型的边界条件如公式(11)所示,公式(11)如下:The boundary conditions of the dual-porosity gas flow model of coal body are shown in formula (11), and formula (11) is as follows:
………………………(11) …………………… (11)
式中,pr为煤层原始瓦斯压力,单位为:MPa;pn为钻孔瓦斯压力,单位为:MPa;Γ1为钻孔壁边界;Γ2为煤层未受钻孔影响的区域的边界;表示煤体的裂隙内任一点到钻孔的壁面的距离,单位为:m。In the formula,pr is the original coal seam gas pressure, in MPa; pnisthe borehole gas pressure, in MPa; Γ1 is the boundary of the borehole wall; Γ2 is the boundary of the coal seam that is not affected by the borehole ; Indicates the distance from any point in the fissure of the coal body to the wall of the borehole, the unit is m.
在一些可选实施例中,基于有限差分方法,根据煤层钻孔周围瓦斯流场网格节点,对煤基质扩散模型进行离散,得到煤基质瓦斯流动差分方程。In some optional embodiments, based on the finite difference method, the coal matrix diffusion model is discretized according to the grid nodes of the gas flow field around the coal seam borehole to obtain the coal matrix gas flow difference equation.
在本申请实施例中,定义钻孔周围瓦斯流场网格节点的横向坐标(即网格节点沿煤层钻孔的径向的网格坐标)为i,;为沿煤层钻孔的径向的边界条件对应的数值;定义钻孔周围瓦斯流场网格节点的纵向坐标(即网格节点沿煤基质径向的网格坐标)为j,;为沿煤基质径向的边界条件对应的数值;均为有理数。In the embodiment of this application, the lateral coordinates of the grid nodes of the gas flow field around the borehole (that is, the grid coordinates of the grid nodes along the radial direction of the coal seam borehole) are defined asi , ; is the value corresponding to the boundary condition along the radial direction of the coal seam borehole; define the longitudinal coordinates of the grid nodes of the gas flow field around the borehole (that is, the grid coordinates of the grid nodes along the radial direction of the coal matrix) asj , ; is the value corresponding to the boundary condition along the radial direction of the coal matrix; All are rational numbers.
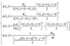
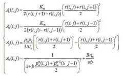
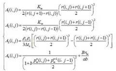
根据质量守恒定律,对每一个网格节点,单位时间内网格节点所在球壳(煤基质球体内部选取的一个同一球心的微小单元体球壳)内的瓦斯变化量等于流入该球壳的瓦斯含量与流出该球壳的瓦斯含量之差,因此,基于有限差分方法,沿煤基质的径向,对煤基质扩散模型(公式(4))进行离散,得到的第(i,j)个网格节点n时刻的煤基质瓦斯流动差分方程如公式(12)所示,公式(12)如下:According to the law of conservation of mass, for each grid node, the gas change in the spherical shell where the grid node is located (a micro-unit spherical shell with the same spherical center selected inside the coal matrix sphere) per unit time is equal to the gas flowing into the spherical shell. The difference between the gas content and the gas content flowing out of the spherical shell, therefore, based on the finite difference method, the coal matrix diffusion model (equation (4)) is discretized along the radial direction of the coal matrix, and the (i ,j )th The difference equation of coal-based gas flow at grid noden time is shown in formula (12), and formula (12) is as follows:
(12) (12)
其中,的表达式如公式(13)所示,公式(13)如下:in, The expression of is shown in formula (13), and formula (13) is as follows:
…………(13) …………(13)
其中,对于煤基质球体的外表面处,即时,网格节点的瓦斯压力等于该处裂隙瓦斯压力,即。Among them, for the outer surface of the coal matrix sphere, namely When , the gas pressure of the grid node is equal to the gas pressure of the fracture, namely .
式中,i,j分别表示网格节点沿煤层钻孔的径向、沿煤基质径向的网格坐标,;;分别表示沿煤层钻孔的径向、沿煤基质径向的边界条件对应的数值,均为有理数。wherei andj represent the grid coordinates of the grid nodes along the radial direction of the coal seam borehole and along the radial direction of the coal matrix, respectively, ; ; respectively represent the values corresponding to the boundary conditions along the radial direction of the coal seam borehole and along the radial direction of the coal matrix, All are rational numbers.
在一些可选实施例中,基于泰勒级数法,对裂隙瓦斯流动模型进行离散,得到裂隙瓦斯流动差分方程。具体的,基于泰勒级数法,沿煤层钻孔的径向(沿煤层钻孔的径向),对裂隙瓦斯流动模型(公式(4))进行离散,得到的第(i,j)个网格节点n时刻的裂隙瓦斯流动差分方程如公式(14)所示,公式(14)如下:In some optional embodiments, based on the Taylor series method, the fracture gas flow model is discretized to obtain a fracture gas flow difference equation. Specifically, based on the Taylor series method, along the radial direction of the coal seam borehole (along the radial direction of the coal seam borehole), the fracture gas flow model (formula (4)) is discretized, and the (i ,j )th network is obtained. The difference equation of crack gas flow at grid noden time is shown in formula (14), and formula (14) is as follows:
…………(14) …………(14)
其中,在i=0时,网格节点位于钻孔壁面处,节点压力等于钻孔瓦斯压力,即;在i=M时,网格节点位于煤层深处未受钻孔影响区域,瓦斯压力的偏导数为零。Among them, wheni = 0, the grid nodes are located at the wall of the borehole, and the node pressure is equal to the borehole gas pressure, namely ; Wheni =M , the grid nodes are located in the unaffected area of the deep coal seam, and the partial derivative of the gas pressure is zero.
在本申请实施例中,裂隙中的瓦斯流动模型初始条件的表达式如公式(15)所示,公式(15)如下:In the embodiment of the present application, the expression of the initial condition of the gas flow model in the fracture is shown in formula (15), and formula (15) is as follows:
…………(15) …………(15)
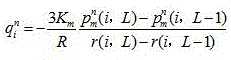
在本申请实施例中,沿煤层钻孔的径向,表示离散后第n时刻沿钻孔的径向第(i,j)个网格节点处的瓦斯源项差分方程如公式(16)所示,公式(16)如下:In the embodiment of the present application, along the radial direction of the coal seam borehole, The difference equation representing the gas source term at the (i, j )th grid node along the radial direction of the borehole at thenth moment after discretization is shown in formula (16), and formula (16) is as follows:
……………………(16) …………………… (16)
在本申请实施例中,联立公式(12)-公式(16),通过高斯迭代方法,求解裂隙瓦斯流动差分模型,即可得到煤层钻孔周围瓦斯流场网格节点中每个网格节点的裂隙内瓦斯压力和煤基质瓦斯压力。In the embodiment of the present application, formula (12)-formula (16) are combined, and each grid node in the grid nodes of the gas flow field around the coal seam hole can be obtained by solving the differential gas flow model in the fracture by the Gaussian iteration method. The gas pressure in the fracture and the coal matrix gas pressure.
步骤S103、基于煤体的双重孔隙瓦斯流动差分模型,得到煤层钻孔周围瓦斯流场网格节点中的每个裂隙流场网格节点的裂隙内瓦斯压力;Step S103, obtaining the gas pressure in the fracture of each fracture flow field grid node in the gas flow field grid nodes around the coal seam borehole based on the dual-porosity gas flow differential model of the coal body;
在本申请实施例中,煤体的双重孔隙瓦斯流动差分模型由煤基质瓦斯流动差分方程、裂隙瓦斯流动差分方程、以及瓦斯源项差分方程组成。其中,煤基质瓦斯流动差分方程、裂隙瓦斯流动差分方程的系数矩阵较稀疏,通过高斯-赛德尔迭代法进行解算,可有效加快解算效率。In the embodiment of the present application, the dual pore gas flow differential model of the coal body is composed of a coal matrix gas flow differential equation, a fractured gas flow differential equation, and a gas source term differential equation. Among them, the coefficient matrix of the coal-based gas flow difference equation and the fractured gas flow difference equation is relatively sparse, and the Gauss-Seidel iteration method can be used to solve the calculation, which can effectively speed up the calculation efficiency.
图4为根据本申请的一些实施例提供的网格节点的裂隙内瓦斯压力确定方法的流程示意图;如图4所示,步骤S103包括:FIG. 4 is a schematic flowchart of a method for determining gas pressure in a fracture of a grid node according to some embodiments of the present application; as shown in FIG. 4 , step S103 includes:
步骤S113、根据预设瓦斯源项初值和第一预设初值,基于煤体的双重孔隙瓦斯流动差分模型中的裂隙瓦斯流动差分方程,得到裂隙流场网格节点n时刻的裂隙内瓦斯压力近似值;其中,第一预设初值为裂隙流场网格节点n时刻的裂隙瓦斯压力平方的初始值,n为有理数;Step S113 , according to the preset initial value of the gas source term and the first preset initial value, and based on the fracture gas flow differential equation in the dual-porosity gas flow differential model of the coal body, obtain the gas in the fracture at time n at the grid noden of the fracture flow field. Approximate value of pressure; wherein, the first preset initial value is the initial value of the square of the fracture gas pressure at the noden of the fracture flow field grid,where n is a rational number;
在本申请实施例中,在解吸扩散时间的每一时间步长中,求解裂隙流场裂隙瓦斯压力近似值时,对裂隙瓦斯流动差分方程中的瓦斯源项设定瓦斯源项初值,同时,由于裂隙瓦斯流动差分方程为非线性方程,无法直接求解各裂隙流场网格节点的裂隙压力,因而,对裂隙流场网格节点n时刻的裂隙瓦斯压力平方赋予初始值(第一预设初值)进行迭代运算。In the embodiment of the present application, in each time step of the desorption diffusion time, when solving the approximation of the fracture gas pressure in the fracture flow field, the initial value of the gas source term in the gas flow difference equation in the fracture is set, and at the same time, Since the difference equation of fracture gas flow is a nonlinear equation, the fracture pressure of each fracture flow field grid node cannot be directly solved. Therefore, an initial value is given to the square of the fracture gas pressure at the grid noden of the fracture flow field (the first preset initial value). value) for iterative operations.
具体的,首先,基于煤体的双重孔隙瓦斯流动差分模型中的裂隙瓦斯流动差分方程,沿煤层钻孔的径向,根据预设瓦斯源项初值、裂隙流场网格节点(n-1)时刻的裂隙内瓦斯压力平方和第一初始值,得到裂隙流场网格节点n时刻的裂隙内瓦斯压力平方的中间近似值;其中,n为大于1的正整数;第一预设初值根据裂隙流场网格节点(n-1)时刻的裂隙内瓦斯压力平方得到;Specifically, first, based on the fracture gas flow differential equation in the dual-porosity gas flow differential model of the coal body, along the radial direction of the coal seam borehole, according to the preset initial value of the gas source term, the fracture flow field grid node (n -1 ) and the first initial value of the square of the gas pressure in the fracture to obtain the intermediate approximation of the square of the gas pressure in the fracture at the noden of the fracture flow field grid; wheren is a positive integer greater than 1; the first preset initial value is based on The square of the gas pressure in the fracture at the grid node (n -1) of the fracture flow field is obtained;
在本申请实施例中,第一预设初值为前一时刻裂隙瓦斯压力平方乘以一个略小于1的系数得到,然后,将其代入里写瓦斯流动差分方程的系数矩阵中,通过高斯-赛德尔方法进行求解,得到裂隙流场网格节点n时刻的裂隙内瓦斯压力平方的中间近似值。In the embodiment of the present application, the first preset initial value is obtained by multiplying the square of the fracture gas pressure at the previous moment by a coefficient slightly less than 1, and then substitute it into the coefficient matrix of the gas flow difference equation written in it, through the Gauss- The Seidel method is used to solve the problem, and the intermediate approximation of the square of the gas pressure in the fracture at noden of the fracture flow field grid is obtained.
然后,对裂隙流场网格节点n时刻的裂隙内瓦斯压力平方的中间近似值与裂隙流场网格节点n时刻的第一预设初值进行比较,得到裂隙流场网格节点n时刻的裂隙压力相对误差;Then, the intermediate approximation value of the square of the gas pressure in the fracture at noden of the fracture flow field grid is compared with the first preset initial value of the grid noden of the fracture flow field, and the fracture flow field grid node at time nis obtained. Pressure relative error;
在本申请实施例中,将裂隙流场网格节点n时刻的裂隙内瓦斯压力平方的中间近似值与赋予的裂隙流场网格节点n时刻的裂隙瓦斯压力平方初始值(第一初始值)进行比较,计算两者的相对误差。In the embodiment of the present application, the intermediate approximation value of the square of the gas pressure in the fracture at the noden of the fracture flow field grid and the given initial value (the first initial value) of the square of the gas pressure in the fracture at the noden of the fracture flow field grid are performed. Compare and calculate the relative error of the two.
最后,响应于裂隙压力相对误差大于裂隙压力预设误差阈值,基于裂隙瓦斯流动差分方程,对裂隙流场网格节点n时刻的裂隙内瓦斯压力平方的中间近似值进行循环计算,直至裂隙压力相对误差小于等于裂隙压力预设误差阈值,得到裂隙流场网格节点n时刻的裂隙内瓦斯压力近似值。Finally, in response to the relative error of the fracture pressure being greater than the preset error threshold of the fracture pressure, based on the difference equation of gas flow in the fracture, the intermediate approximation of the square of the gas pressure in the fracture at time n of the grid noden of the fracture flow field is cyclically calculated until the relative error of the fracture pressure is reached. If it is less than or equal to the preset error threshold of the fracture pressure, the approximate value of the gas pressure in the fracture at time n of the grid noden of the fracture flow field is obtained.
在本申请实施例中,如果裂隙流场网格节点n时刻的裂隙内瓦斯压力平方的中间近似值与第一初始值的相对误差大于裂隙压力预设误差阈值,将裂隙流场网格节点n时刻的裂隙内瓦斯压力平方的中间近似值作为裂隙流场网格节点n时刻的裂隙内瓦斯压力平方新的初始值,重新基于裂隙瓦斯流动差分方程求解裂隙流场网格节点n时刻的裂隙内瓦斯压力平方新的中间近似值;裂隙内瓦斯压力平方新的中间近似值继续与裂隙压力预设误差阈值进行比较,依次循环,直至裂隙内瓦斯压力平方的中间近似值小于等于裂隙压力预设误差阈值,迭代循环结束,到网格节点n时刻的裂隙内瓦斯压力近似值。In the embodiment of the present application, if the relative error between the intermediate approximation value of the square of the gas pressure in the fracture at the time of the fracture flow field grid noden and the first initial value is greater than the preset error threshold of the fracture pressure, the time of the fracture flow field grid noden is The intermediate approximation of the square of the gas pressure in the fracture is used as the new initial value of the square of the gas pressure in the fracture at the noden of the fracture flow field, and the gas pressure in the fracture at the noden of the fracture flow field is re-solved based on the difference equation of gas flow in the fracture. The new intermediate approximation value is squared; the new intermediate approximate value of the square of the gas pressure in the fracture is continuously compared with the preset error threshold of the fracture pressure, and the cycle is repeated until the intermediate approximate value of the square of the gas pressure in the fracture is less than or equal to the preset error threshold of the fracture pressure, and the iteration cycle ends , the approximate value of the gas pressure in the fracture to grid noden .
步骤S123、根据裂隙流场网格节点n时刻的裂隙内瓦斯压力近似值和第二预设初值,基于煤体的双重孔隙瓦斯流动差分模型中的煤基质瓦斯流动差分方程,得到煤基质流场网格节点n时刻的煤基质内瓦斯压力近似值;其中,第二预设初值为煤基质流场网格节点n时刻煤基质内瓦斯压力的初始值;Step S123, according to the approximate value of the gas pressure in the fracture and the second preset initial value at the time of the grid noden of the fracture flow field, and based on the coal matrix gas flow differential equation in the dual-porosity gas flow differential model of the coal body, obtain the coal matrix flow field The approximate value of the gas pressure in the coal matrix at the grid noden ; wherein, the second preset initial value is the initial value of the gas pressure in the coal matrix at the grid noden of the coal matrix flow field;
具体的,首先,基于煤体的双重孔隙瓦斯流动差分模型中的煤基质瓦斯流动差分方程,沿煤基质的径向,根据裂隙流场网格节点n时刻的裂隙内瓦斯压力近似值、煤基质流场网格节点(n-1)时刻的煤基质内瓦斯压力和第二预设初值,得到煤基质流场网格节点n时刻的煤基质内瓦斯压力的中间近似值;其中,第二预设初值根据煤基质流场网格节点(n-1)时刻的煤基质内瓦斯压力得到;然后,对煤基质流场网格节点n时刻的煤基质内瓦斯压力的中间近似值与第二预设初值进行比较,得到煤基质流场网格节点n时刻的煤基质压力相对误差;最后,响应于煤基质压力相对误差大于煤基质压力预设误差阈值,基于煤基质瓦斯流动差分方程,对煤基质流场网格节点n时刻的煤基质内瓦斯压力的中间近似值进行循环计算,直至煤基质压力相对误差小于等于基质压力预设误差阈值得到煤基质流场网格节点n时刻的煤基质内瓦斯压力。Specifically, first, based on the coal matrix gas flow differential equation in the dual-porosity gas flow differential model of the coal body, along the radial direction of the coal matrix, according to the approximate value of the gas pressure in the fracture at the noden of the fracture flow field grid, the coal matrix flow The gas pressure in the coal matrix at the time of field grid node (n -1) and the second preset initial value are obtained to obtain the intermediate approximation value of the gas pressure in the coal matrix at the timen of the grid node of the coal matrix flow field; wherein, the second preset The initial valueis obtained according to the gas pressure in the coal matrix at the grid node (n -1) of the coal matrix flow field; The initial value is compared to obtain the relative error of coal matrix pressure at noden of coal matrix flow field grid; finally, in response to the relative error of coal matrix pressure being greater than the preset error threshold of coal matrix pressure, based on the difference equation of coal matrix gas flow, the coal matrix gas flow difference equation is calculated. The intermediate approximate value of the gas pressure in the coal matrix at the grid noden of the matrix flow field is calculated cyclically until the relative error of the coal matrix pressure is less than or equal to the preset error threshold of the matrix pressure to obtain the gas in the coal matrix at the grid noden of the coal matrix flow field. pressure.
在本申请实施例中,煤基质内瓦斯压力的迭代求解过程与裂隙瓦斯压力迭代求解的方法相同,在此不再一一赘述。In the embodiment of the present application, the iterative solution process of the gas pressure in the coal matrix is the same as the method of iterative solution of the fractured gas pressure, and details are not repeated here.
步骤S133、根据煤基质流场网格节点n时刻的煤基质内瓦斯压力近似值,基于煤体的双重孔隙瓦斯流动差分模型中的瓦斯源项差分方程,得到裂隙流场网格节点n时刻的瓦斯源项真值;Step S133 , according to the approximate value of the gas pressure in the coal matrix at the time of the grid noden of the coal matrix flow field, and based on the difference equation of the gas source term in the double-porosity gas flow differential model of the coal body, obtain the gas at the time of the grid noden of the fracture flow field. the truth value of the source term;
在本申请实施例中,根据煤基质流场网格节点n时刻的煤基质内瓦斯压力近似值,按照公式(16),计算裂隙流场网格节点n时刻的瓦斯源项真值。In the embodiment of the present application, according to the approximate value of the gas pressure in the coal matrix at noden of the coal matrix flow field, according to formula (16), the true value of the gas source term at the noden of the fracture flow field grid is calculated.
步骤S143、响应于瓦斯源项真值与预设瓦斯源项初值的相对误差大于瓦斯源项预设误差阈值,将瓦斯源项真值与预设瓦斯源项初值进行加权平均,并基于煤体的双重孔隙瓦斯流动差分模型,对瓦斯源项真值进行循环计算,直至瓦斯源项相对误差小于等于瓦斯源项预设误差阈值,得到裂隙流场网格节点n时刻的裂隙内瓦斯压力,其中,瓦斯源项相对误差为瓦斯源项真值与所述预设瓦斯源项初值的相对误差。Step S143, in response to the relative error between the true value of the gas source item and the preset initial value of the gas source item being greater than the preset error threshold of the gas source item, perform a weighted average of the true value of the gas source item and the initial value of the preset gas source item, and based on The dual-porosity gas flow differential model of coal body is used to cyclically calculate the true value of the gas source term until the relative error of the gas source term is less than or equal to the preset error threshold of the gas source term, and the gas pressure in the fracture at the grid noden of the fracture flow field is obtained. , where the relative error of the gas source term is the relative error between the true value of the gas source term and the initial value of the preset gas source term.
具体的,首先,对裂隙流场网格节点n时刻的瓦斯源项真值与预设瓦斯源项初值进行比较,得到裂隙流场网格节点n时刻的瓦斯源项相对误差;Specifically, first, compare the true value of the gas source term at the noden of the fracture flow field grid with the initial value of the preset gas source term, and obtain the relative error of the gas source term at the noden of the fracture flow field grid;
在本申请实施例中,将裂隙流场网格节点n时刻的瓦斯源项真值与预设瓦斯源项初值进行比较,计算裂隙流场网格节点n时刻的瓦斯源项真值与预设瓦斯源项初值的相对误差,得到裂隙流场网格节点n时刻的瓦斯源项相对误差。In the embodiment of the present application, the true value of the gas source term at the time of the grid noden of the fracture flow field is compared with the initial value of the preset gas source term, and the true value of the gas source term at the time of the grid noden of the fracture flow field is calculated. Assuming the relative error of the initial value of the gas source term, the relative error of the gas source term at the noden of the fracture flow field grid is obtained.
然后,响应于瓦斯源项相对误差大于瓦斯源项预设误差阈值,将瓦斯源项真值与预设瓦斯源项初值进行加权平均,并基于煤体的双重孔隙瓦斯流动差分模型,对瓦斯源项真值进行循环计算,直至瓦斯源项相对误差小于等于瓦斯源项预设误差阈值,得到裂隙流场网格节点n时刻的裂隙内瓦斯压力。Then, in response to the relative error of the gas source term being greater than the preset error threshold of the gas source term, the true value of the gas source term and the preset initial value of the gas source term are weighted and averaged, and based on the dual-porosity gas flow differential model of the coal body, the gas The true value of the source term is calculated cyclically until the relative error of the gas source term is less than or equal to the preset error threshold of the gas source term, and the gas pressure in the fracture at the noden of the fracture flow field grid is obtained.
当瓦斯源项相对误差大于瓦斯源项预设误差阈值,将瓦斯源项真值与预设瓦斯源项初值进行加权平均,作为裂隙瓦斯压力差分方程中的瓦斯源项初值进行迭代循环计算,直至得到的瓦斯源项相对误差小于等于瓦斯源项预设误差阈值,到裂隙流场网格节点n时刻的裂隙内瓦斯压力。When the relative error of the gas source term is greater than the preset error threshold of the gas source term, the true value of the gas source term and the preset initial value of the gas source term are weighted and averaged, and the initial value of the gas source term in the fracture gas pressure difference equation is used for iterative loop calculation. , until the obtained relative error of the gas source term is less than or equal to the preset error threshold of the gas source term, reaching the gas pressure in the fracture at the time of the grid noden of the fracture flow field.
步骤S104、根据裂隙流场网格节点的裂隙内瓦斯压力,基于达西定律,计算煤体的瓦斯流量和/或瓦斯抽采量。Step S104 , according to the gas pressure in the fracture of the grid node of the fracture flow field, and based on Darcy's law, calculate the gas flow rate and/or gas extraction volume of the coal body.
在本申请实施例中,根据达西定律,气体通过在压力梯度下由裂隙流入钻孔,因而,根据裂隙流场网格节点的裂隙内瓦斯压力,基于达西定律,分别按照公式(17)、公式(18)计算钻孔的瓦斯流量和瓦斯抽采量。公式(17)、公式(18)如下:In the embodiment of the present application, according to Darcy's law, the gas flows into the borehole through the fracture under the pressure gradient. Therefore, according to the gas pressure in the fracture of the grid node of the fracture flow field, based on Darcy's law, according to formula (17) , Equation (18) to calculate the gas flow and gas drainage of the borehole. Formula (17) and formula (18) are as follows:
……………………(17) …………………… (17)
……………………(18) …………………… (18)
其中,表示解吸扩散时间内煤体的瓦斯流量;为煤体上的钻孔半径;Lb为煤体上的钻孔长度;表示n时刻靠近钻孔的壁面的最近的一个网格节点处裂隙内瓦斯压力平方;表示n时刻钻孔的壁面处的裂隙内瓦斯压力平方;表示靠近钻孔的壁面的最近的一个网格节点距钻孔的壁面的坐标值;表示钻孔的壁面处的坐标值;表示解吸扩散时间内煤体的瓦斯抽采量;表示解吸扩散时间内第k个时间步长。in, Represents the gas flow of the coal during the desorption diffusion time; is the drill hole radius on the coal body;Lb is the drill hole length on the coal body; represents the square of the gas pressure in the fracture at the nearest grid node near the wall of the borehole at timen ; Represents the square of the gas pressure in the fracture at the wall of the borehole at timen ; Represents the coordinate value of the nearest grid node close to the wall of the borehole from the wall of the borehole; Represents the coordinate value at the wall of the borehole; Represents the gas extraction volume of the coal during the desorption diffusion time; represents thekth time step in the desorption diffusion time.
本申请实施例中,沿煤基质的径向和煤体处煤层钻孔的径向(即裂隙延伸的方向),设置钻孔周围瓦斯流场网格节点;基于有限差分方法,对预设的煤体双重孔隙瓦斯流动模型进行离散,建立煤体的双重孔隙瓦斯流动差分模型,并基于双重孔隙瓦斯流动差分模型计算煤层钻孔周围瓦斯流场网格节点中每个裂隙内瓦斯压力网格节点的裂隙内瓦斯压力;由裂隙内瓦斯压力网格节点的裂隙内瓦斯压力,基于达西定律,计算煤层钻孔内的瓦斯流量和/或瓦斯抽采量。籍此,通过煤层钻孔内的瓦斯流量和/或瓦斯抽采量,对钻孔瓦斯抽采流量衰减趋势及煤层气产量的进行预测,实现较长时间周期煤层气抽采量的动态变化以及煤层气的生产量的准确预测,节约井下煤层打钻测试的时间、经济和人力成本,指导井下煤层钻孔瓦斯抽采,提高瓦斯抽采效果以及煤层气产量。In the embodiment of the present application, the grid nodes of the gas flow field around the borehole are set along the radial direction of the coal matrix and the radial direction of the coal seam borehole at the coal body (that is, the direction in which the fracture extends); based on the finite difference method, the preset grid nodes are set. The dual-porosity gas flow model of the coal body is discretized, the dual-porosity gas flow differential model of the coal body is established, and the gas pressure grid node in each fracture is calculated based on the dual-porosity gas flow differential model. The gas pressure in the fracture; from the gas pressure in the fracture of the gas pressure grid node in the fracture, based on Darcy's law, calculate the gas flow and/or gas extraction volume in the coal seam borehole. In this way, through the gas flow and/or gas extraction volume in the coal seam borehole, the attenuation trend of drilling gas extraction flow and the coalbed methane production can be predicted, and the dynamic change of the coalbed methane extraction volume over a long period of time can be realized. The accurate prediction of the production volume of coalbed methane saves the time, economic and labor costs of drilling and testing of underground coalbeds, guides the gas drainage of underground coalbed drilling, and improves the gas drainage effect and the production of coalbed methane.
图5为根据本申请的一些实施例提供的一种双重孔隙煤体的煤层气预测系统的结构示意图;如图5所示,该双重孔隙煤体的煤层气预测系统包括:节点设置单元501、离散差分单元502、裂隙压力计算单元503和预测单元504。节点设置单元501,配置为沿煤基质的径向和煤体处煤层钻孔的径向,设置钻孔周围瓦斯流场网格节点;离散差分单元502,配置为基于有限差分方法,根据钻孔周围瓦斯流场网格节点,对预设的煤体双重孔隙瓦斯流动模型进行离散,得到煤体的双重孔隙瓦斯流动差分模型;其中,煤体双重孔隙瓦斯流动模型为:FIG. 5 is a schematic structural diagram of a coalbed methane prediction system for a double-porosity coal body provided according to some embodiments of the present application; as shown in FIG. 5 , the coalbed methane prediction system for a dual-porosity coal body includes: a
煤体双重孔隙瓦斯流动模型的初始条件为:The initial conditions of the dual-porosity gas flow model of coal body are:
煤体双重孔隙瓦斯流动模型的边界条件为:The boundary conditions of the dual-porosity gas flow model of coal body are:
式中,a为瓦斯的极限吸附量,m3/kg;b为吸附常数,MPa-1;pm为煤基质内瓦斯压力,MPa;B为单位换算系数,m3/(kg·MPa);nm为煤基质孔隙率,%;t为煤基质中的吸附态的瓦斯解吸扩撒到裂隙空间内的解吸扩散时间,d;Km为微孔道瓦斯扩散系数,kg/(MPa·m·s);ρc是煤体的视密度,kg/m3;ρs是瓦斯的标准密度,ρs=0.717kg/m3;r为煤基质球体内任意一点距球心的距离,m;nf为裂隙的孔隙率,%;p0为标准状态下的大气压力,p0=0.101325MPa;Pf为裂隙内瓦斯压力平方,MPa2;λf为裂隙的透气性系数,m2/(MPa2·d);x为煤体中任意一点到钻孔壁的距离,m;q为瓦斯源项,kg/(m3·d);R为煤基质半径,m;pr为煤层原始瓦斯压力,MPa;pn为钻孔瓦斯压力,MPa;Γ1为钻孔壁边界;Γ2为煤层未受钻孔影响的区域的边界;x表示煤体的裂隙内任一点到钻孔的壁面的距离;裂隙压力计算单元503,配置为基于煤体的双重孔隙瓦斯流动差分模型,得到煤层钻孔周围瓦斯流场网格节点中每个裂隙内瓦斯压力网格节点的裂隙内瓦斯压力;预测单元504,配置为根据裂隙内瓦斯压力网格节点的裂隙内瓦斯压力,基于达西定律,计算煤体的瓦斯流量和/或瓦斯抽采量。In the formula,a is the limit gas adsorption capacity, m3 /kg;b is the adsorption constant, MPa-1 ;pm is the gas pressure in the coal matrix, MPa;B is the unit conversion factor, m3 /(kg·MPa) ;nm is the porosity of the coal matrix, %;t is the desorption diffusion time of the adsorbed gas in the coal matrix desorbed and spread into the fracture space, d;Km is the gas diffusion coefficient of micropores, kg/(MPa· m·s);ρc is the apparent density of coal, kg/m3 ;ρs is the standard density of gas,ρs =0.717kg/m3 ;r is the distance from any point in the coal matrix sphere to the center of the sphere, m;nf is the porosity of the fracture, %;p0 is the atmospheric pressure in the standard state,p0 =0.101325MPa;Pf is the square of the gas pressure in the fracture, MPa2 ;λf is the gas permeability coefficient of the fracture, m2 /(MPa2 ·d);x is the distance from any point in the coal body to the borehole wall, m;q is the gas source term, kg/(m3 ·d);R is theradius of the coal matrix, m;pr is the original coal seam gas pressure, MPa;pn is the borehole gas pressure, MPa; Γ1 is the boundary of the borehole wall; Γ2 is the boundary of the coal seam unaffected by the drilling;x represents any point in the fracture of the coal body to The distance from the wall surface of the borehole; the fracture
本申请实施例提供的双重孔隙煤体的煤层气预测系统能够实现上述任一双重孔隙煤体的煤层气预测方法实施例的步骤、流程,并达到相同的技术效果,在此不再一一赘述。The CBM prediction system for double-porosity coal body provided by the embodiment of the present application can realize the steps and processes of any of the above-mentioned embodiments of the CBM prediction method for double-pore coal body, and achieve the same technical effect, which will not be repeated here. .
以上所述仅为本申请的优选实施例,并不用于限制本申请,对于本领域的技术人员来说,本申请可以有各种更改和变化。凡在本申请的精神和原则之内,所作的任何修改、等同替换、改进等,均应包含在本申请的保护范围之内。The above descriptions are only preferred embodiments of the present application, and are not intended to limit the present application. For those skilled in the art, the present application may have various modifications and changes. Any modification, equivalent replacement, improvement, etc. made within the spirit and principle of this application shall be included within the protection scope of this application.
| Application Number | Priority Date | Filing Date | Title | 
|---|---|---|---|
| CN202110939156.6ACN113392567B (en) | 2021-08-16 | 2021-08-16 | Method and system for predicting coal bed gas of double-pore coal body | 
| Application Number | Priority Date | Filing Date | Title | 
|---|---|---|---|
| CN202110939156.6ACN113392567B (en) | 2021-08-16 | 2021-08-16 | Method and system for predicting coal bed gas of double-pore coal body | 
| Publication Number | Publication Date | 
|---|---|
| CN113392567Atrue CN113392567A (en) | 2021-09-14 | 
| CN113392567B CN113392567B (en) | 2021-11-09 | 
| Application Number | Title | Priority Date | Filing Date | 
|---|---|---|---|
| CN202110939156.6AActiveCN113392567B (en) | 2021-08-16 | 2021-08-16 | Method and system for predicting coal bed gas of double-pore coal body | 
| Country | Link | 
|---|---|
| CN (1) | CN113392567B (en) | 
| Publication number | Priority date | Publication date | Assignee | Title | 
|---|---|---|---|---|
| CN113654945A (en)* | 2021-10-20 | 2021-11-16 | 中国矿业大学(北京) | A system and method for predicting coal particle gas emission based on real gas state | 
| CN114166698A (en)* | 2022-02-08 | 2022-03-11 | 中国矿业大学(北京) | A method and system for evaluating the gas diffusivity of coal microporous channels under competitive adsorption | 
| CN115929284A (en)* | 2023-01-14 | 2023-04-07 | 华北科技学院(中国煤矿安全技术培训中心) | A Method for Predicting the Rising Trend of Pressure Drilling Gas Pressure | 
| CN116861813A (en)* | 2023-07-05 | 2023-10-10 | 西安科技大学 | A dynamic visualization method of coal seam gas basic parameters based on monitoring data calculation | 
| Publication number | Priority date | Publication date | Assignee | Title | 
|---|---|---|---|---|
| US20080140472A1 (en)* | 2006-12-12 | 2008-06-12 | Dagan Gilat | Method and Computer Program Product for Modeling an Organization | 
| CN110674989A (en)* | 2019-09-23 | 2020-01-10 | 煤炭科学技术研究院有限公司 | Prediction method, system and equipment for coal bed gas extraction amount and readable storage medium | 
| CN111045080A (en)* | 2019-12-25 | 2020-04-21 | 安徽省煤田地质局勘查研究院 | A coal seam gas content prediction method based on PSO-BP model and seismic attribute parameters | 
| CN113032942A (en)* | 2019-12-24 | 2021-06-25 | 河南理工大学 | Lost gas quantity calculation method based on gas anomalous diffusion model | 
| CN113237917A (en)* | 2021-04-20 | 2021-08-10 | 中国煤炭地质总局勘查研究总院 | Method and device for calculating methane adsorption amount in coal at different temperatures | 
| Publication number | Priority date | Publication date | Assignee | Title | 
|---|---|---|---|---|
| US20080140472A1 (en)* | 2006-12-12 | 2008-06-12 | Dagan Gilat | Method and Computer Program Product for Modeling an Organization | 
| CN110674989A (en)* | 2019-09-23 | 2020-01-10 | 煤炭科学技术研究院有限公司 | Prediction method, system and equipment for coal bed gas extraction amount and readable storage medium | 
| CN113032942A (en)* | 2019-12-24 | 2021-06-25 | 河南理工大学 | Lost gas quantity calculation method based on gas anomalous diffusion model | 
| CN111045080A (en)* | 2019-12-25 | 2020-04-21 | 安徽省煤田地质局勘查研究院 | A coal seam gas content prediction method based on PSO-BP model and seismic attribute parameters | 
| CN113237917A (en)* | 2021-04-20 | 2021-08-10 | 中国煤炭地质总局勘查研究总院 | Method and device for calculating methane adsorption amount in coal at different temperatures | 
| Publication number | Priority date | Publication date | Assignee | Title | 
|---|---|---|---|---|
| CN113654945A (en)* | 2021-10-20 | 2021-11-16 | 中国矿业大学(北京) | A system and method for predicting coal particle gas emission based on real gas state | 
| CN114166698A (en)* | 2022-02-08 | 2022-03-11 | 中国矿业大学(北京) | A method and system for evaluating the gas diffusivity of coal microporous channels under competitive adsorption | 
| CN115929284A (en)* | 2023-01-14 | 2023-04-07 | 华北科技学院(中国煤矿安全技术培训中心) | A Method for Predicting the Rising Trend of Pressure Drilling Gas Pressure | 
| CN116861813A (en)* | 2023-07-05 | 2023-10-10 | 西安科技大学 | A dynamic visualization method of coal seam gas basic parameters based on monitoring data calculation | 
| CN116861813B (en)* | 2023-07-05 | 2024-12-24 | 西安科技大学 | Coal bed gas basic parameter dynamic visualization method based on monitoring data calculation | 
| Publication number | Publication date | 
|---|---|
| CN113392567B (en) | 2021-11-09 | 
| Publication | Publication Date | Title | 
|---|---|---|
| CN113392567B (en) | Method and system for predicting coal bed gas of double-pore coal body | |
| CN108868748B (en) | Method for calculating repeated fracturing fracture opening pressure of shale gas horizontal well | |
| CN109284571B (en) | Multi-scale and multi-field coupling seepage mathematical modeling method for carbon dioxide replacement shale gas | |
| CN109471168B (en) | Method for predicting velocity and attenuation of longitudinal wave in pore fracture medium | |
| CN111911115B (en) | Shale gas well dynamic production allocation method | |
| Huo et al. | Numerical investigation of flue gas injection enhanced underground coal seam gas drainage | |
| CN107622328B (en) | A kind of more cluster pressure break horizontal well production prediction methods of shale gas reservoir segmentation | |
| CN110580401B (en) | Method for judging the number of times of temporary blockage of wellbore with multi-cluster fracturing in directional wells and horizontal wells | |
| CN108518212A (en) | A method for calculating unsteady-state production of complex fracture networks in shale gas reservoirs | |
| CN112727534B (en) | Gas drilling hole arrangement method based on true three-dimensional stress and permeability dynamic change | |
| CN104806233B (en) | A kind of method for predicting plane of weakness formation collapsed pressure equal yield density window | |
| CN108133080B (en) | Heterogeneous fractured shale gas reservoir numerical simulation method considering unsteady adsorption | |
| CN112878982B (en) | Deep shale gas productivity prediction method considering long-term fracture conductivity | |
| CN105574251B (en) | The design method in the slit formation stratum directional well deflecting orientation based on geomechanics | |
| CN117930384B (en) | Inversion method of fracture parameters in oil and gas reservoirs based on ion analysis of fracturing flowback fluid | |
| CN110750930A (en) | A method for predicting stress evolution of fractured reservoirs based on fracture continuum model | |
| CN109241651A (en) | A kind of general formation fracture pressure prediction method | |
| Zhou et al. | Effect of adsorption-induced matrix deformation on coalbed methane transport analyzed using fractal theory | |
| CN103161436A (en) | Well test interpretation method of horizontal well for thickened oil thermal recovery | |
| CN114004119A (en) | A simulation method of heat transfer and phase transition in supercritical CO2 fracturing network expansion | |
| Wang et al. | A semianalytical model for simulating real gas transport in nanopores and complex fractures of shale gas reservoirs | |
| Li et al. | Failure analysis and countermeasures for cement sheath interface sealing integrity in shale gas wells | |
| Liu et al. | Optimal injection parameters for enhancing coalbed methane recovery: a simulation study from the Shizhuang block, Qinshui basin, China | |
| CN111005716A (en) | Method and system for analyzing capacity of tight oil reservoir based on elliptical flow | |
| CN117169080A (en) | Prediction method considering dynamic permeability of coal bed under gas-solid coupling effect | 
| Date | Code | Title | Description | 
|---|---|---|---|
| PB01 | Publication | ||
| PB01 | Publication | ||
| SE01 | Entry into force of request for substantive examination | ||
| SE01 | Entry into force of request for substantive examination | ||
| GR01 | Patent grant | ||
| GR01 | Patent grant |