Movatterモバイル変換


[0]ホーム

URL:


CN113387957A - Spirocyclic indolone-pyrrolidine carbonate compound and composition, preparation method and application thereof - Google Patents

Spirocyclic indolone-pyrrolidine carbonate compound and composition, preparation method and application thereof
Download PDF

Info

Publication number
CN113387957A
CN113387957ACN202110644135.1ACN202110644135ACN113387957ACN 113387957 ACN113387957 ACN 113387957ACN 202110644135 ACN202110644135 ACN 202110644135ACN 113387957 ACN113387957 ACN 113387957A
Authority
CN
China
Prior art keywords
pyrrolidine
indolone
spirocyclic
chloro
carbonate compound
Prior art date
Legal status (The legal status is an assumption and is not a legal conclusion. Google has not performed a legal analysis and makes no representation as to the accuracy of the status listed.)
Granted
Application number
CN202110644135.1A
Other languages
Chinese (zh)
Other versions
CN113387957B (en
Inventor
肖飞
任红军
翁亚丽
苏斐
吴萌
Current Assignee (The listed assignees may be inaccurate. Google has not performed a legal analysis and makes no representation or warranty as to the accuracy of the list.)
Jiangsu Yayao Biotechnology Co Ltd
Original Assignee
Jiangsu Yayao Biotechnology Co Ltd
Priority date (The priority date is an assumption and is not a legal conclusion. Google has not performed a legal analysis and makes no representation as to the accuracy of the date listed.)
Filing date
Publication date
Application filed by Jiangsu Yayao Biotechnology Co LtdfiledCriticalJiangsu Yayao Biotechnology Co Ltd
Priority to CN202110644135.1ApriorityCriticalpatent/CN113387957B/en
Publication of CN113387957ApublicationCriticalpatent/CN113387957A/en
Application grantedgrantedCritical
Publication of CN113387957BpublicationCriticalpatent/CN113387957B/en
Activelegal-statusCriticalCurrent
Anticipated expirationlegal-statusCritical

Links

Images

Classifications

Landscapes

Abstract

The application relates to a spiro indolone-pyrrolidine carbonate compound, a composition thereof, a preparation method and application thereof as an anticancer medicament with antitumor activity. The structural formula of the spiro indolone-pyrrolidine carbonate compound is shown in the specification, the spiro indolone-pyrrolidine carbonate compound has excellent tumor inhibition activity, good water solubility and low toxicity, and can be used for intravenous injection.

Description

Spirocyclic indolone-pyrrolidine carbonate compound and composition, preparation method and application thereof
Technical Field
The application belongs to the field of medicines, and relates to a spiro indolone-pyrrolidine carbonate compound, a composition thereof, a preparation method and application thereof in preparing an anti-cancer medicine.
Background
Cancer threatens human health and life. In recent years, the research of anticancer drugs has been shifted to the development of specific molecular targeted therapeutic drugs.
The tumor suppressor protein p53 is critical in preventing tumor progression. In about 50% of human cancers, the gene encoding p53 protein is mutated or deleted, resulting in the inactivation of transcriptional activity and tumor suppressor protein function. In the remaining 50% of cases, direct interaction between p53 and the human murine double minute 2(MDM2) protein plays a major role in inhibiting wild-type p53 function. The intervention of small molecules in the interaction between MDM2-p53 has been considered as a new cancer treatment strategy.
Since 2005, wang shou et al reported a series of spiro-indolone analogs as inhibitors of MDM2-p53 interaction, and one compound in this series (SAR405838/MI-77301) is currently in clinical development (see US7759383B2, US8222288B2, US8680132B2, US20130030173a1, WO2012065022a2, and WO2012155066a 2). Swiss roche pharmaceutical company also reported a series of spiro-indolone analogs (see WO2011067185, WO2011134925 and WO2012022707) and a series of pyrrolidine analogs (see WO2013178570, WO2014206866 and WO2015000945), wherein RG7388 of the pyrrolidine analogs entered clinical development. These compounds have demonstrated limited solubility, and development of stable formulations in vivo and in clinical studies can present significant challenges.
The existing compound can only be used for oral preparations at present due to poor water solubility, and has serious gastrointestinal tract effect, low bioavailability, insufficient in-vivo stability, lack of selectivity on wild p53 tumor and influence on the treatment effect of clinical tumor; on the other hand, negative feedback up-regulation of the MDM2 protein level is an important reason to limit the long-term pharmacodynamic activity of first (e.g. nutlin-3) and second (e.g. RG-7388) MDM2 inhibitors.
Therefore, the development of spiro-indolone analogues as inhibitors of MDM2-p53 interaction, which have good water solubility, low toxicity, higher stability, high selectivity to wild-type p53 tumor, better long-term in vivo activity, and higher activity for intravenous injection dosage form, is needed.
Disclosure of Invention
Summary of The Invention
It is an object of the present application to provide a spirocyclic indolone-pyrrolidine carbonate compound, its stereoisomers or a pharmaceutically acceptable salt thereof, which has at least one of the following advantages: has good water solubility and low toxicity, can be used for injection, has high selectivity to wild p53 tumor, and has excellent stability for resisting hydrolysis of intestinal enzyme. The compounds of the present application also have the following advantages: has double functions of MDM2 antagonism and down regulation, and has better long-term activity and in vivo activity.
Another object of the present invention is to provide a method for producing the spirocyclic indolone-pyrrolidine carbonate compound.
It is still another object of the present application to provide an antitumor pharmaceutical composition.
A further object of the present application is to provide the use of the spiro indolone-pyrrolidine carbonate compound, its stereoisomer or its pharmaceutically acceptable salt in the preparation of a medicament for treating cancer.
It is yet another object of the present application to provide a method of treating cancer.
According to one aspect of the present application, there is provided a spirocyclic indolone-pyrrolidine carbonate compound of the following general formula (I):
Figure BDA0003109045190000021
in the general formula (I):
Y1、Y2、Y3and Y4Each independently selected from H and halogen;
R1selected from H, C1-C5 alkyl and C1-C5 alkoxy;
R2selected from H and C1-C5 alkyl;
R3Selected from C1-C10 alkyl (e.g., C1-C6 alkyl) and C2-C10 alkenyl (e.g., C2-C6 alkenyl);
R4selected from C1-C5 alkyl, aryl (such as phenyl), halogen (such as fluoro) substituted alkyl (such as C1-C6 alkyl);
n is 1 to 80, for example an integer from 1 to 60, an integer from 1 to 50, an integer from 1 to 10, an integer from 1 to 5, an integer from 1 to 4.
According to another aspect of the present application, there is provided a method for preparing the above spirocyclic indolone-pyrrolidine carbonate compound, comprising: carrying out nucleophilic substitution reaction on a spiro indolone compound shown as a general formula (III) and a compound shown as a general formula (IV) in the presence of alkali to obtain a spiro indolone-pyrrolidine carbonate compound shown as a formula (I),
Figure BDA0003109045190000031
wherein, Y1、Y2、Y3、Y4、R1、R2、R3、R4And n is as defined above.
According to still another aspect of the present application, the antitumor pharmaceutical composition provided by the present application comprises a therapeutically effective amount of the spirocyclic indolone-pyrrolidine carbonate compound represented by the above general formula (I), its stereoisomer or its pharmaceutically acceptable salt, and one or more pharmaceutically acceptable excipients.
According to a further aspect of the present application, there is provided a spirocyclic indolone-pyrrolidine carbonate compound of general formula (I), a stereoisomer thereof, or a pharmaceutically acceptable salt thereof for use in the preparation of a medicament for the treatment of cancer.
According to another aspect of the present application, there is provided a method for treating cancer, which comprises administering a therapeutically effective amount of a spirocyclic indolone-pyrrolidine carbonate compound of general formula (I), a stereoisomer thereof, or a pharmaceutically acceptable salt thereof to a patient with cancer. The spiro indolone-pyrrolidine carbonate compound, the stereoisomer or the pharmaceutically acceptable salt thereof has excellent tumor inhibition activity, good water solubility and low toxicity, and is particularly suitable for being prepared into intravenous injection.
Detailed Description
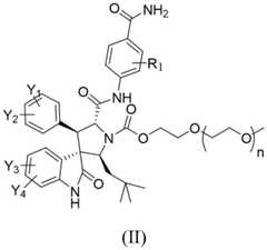
The spirocyclic indolone-pyrrolidine carbonate compound of the present application, a stereoisomer thereof, or a pharmaceutically acceptable salt thereof, in a preferred embodiment, is a spirocyclic indolone-pyrrolidine carbonate compound represented by the following general formula (II):
Figure BDA0003109045190000041
wherein, Y1、Y2、Y3、Y4、R1And n is as defined above.
In some embodiments of the present invention, the substrate is,
Y1、Y2、Y3and Y4Each independently selected from H, F and Cl;
R1selected from C1-C5 alkoxy, for example methoxy or ethoxy, especially methoxy;
n is preferably an integer of 1 to 60, and may be, for example, an integer of 1 to 50, an integer of 2 to 50, an integer of 1 to 10, an integer of 1 to 5, or an integer of 1 to 4.
The spirocyclic indolone-pyrrolidine carbonate compound represented by general formula (I) according to the present application may exhibit tautomerism or structural isomerism. This indicates that the present application includes any tautomeric or structural isomeric form of these compounds, or mixtures thereof, and is not limited to any one tautomeric or structural isomeric form presented by the above structural formulae.
Pharmaceutically acceptable salts of the spirocyclic indolone-pyrrolidine carbonate compounds according to the present application refer to acid addition salts of the compounds with suitable non-toxic organic or inorganic acids, or base addition salts with suitable non-toxic organic or inorganic bases.
The anti-tumor pharmaceutical composition provided by the application comprises a therapeutically effective amount of the spiro indolone-pyrrolidine carbonate compound shown in the general formula (I), a stereoisomer thereof or a pharmaceutically acceptable salt thereof and pharmaceutically acceptable auxiliary materials. The anti-tumor medicine composition can be prepared into injection, tablets, capsules and other dosage forms according to requirements. The pharmaceutically acceptable excipients may be appropriately selected from conventional excipients, depending on the dosage form to be prepared from the antitumor pharmaceutical composition. For example, when an injection lyophilized product is to be prepared, the pharmaceutically acceptable excipients may include excipients, diluents and the like.
The application provides a spiro indolone-pyrrolidine carbonate compound shown in a general formula (I), and an application of a stereoisomer or a pharmaceutically acceptable salt thereof in preparing a medicament for treating cancer.
Provided herein is a method for treating cancer by administering a therapeutically effective amount of a spirocyclic indolone-pyrrolidine carbonate compound of formula (I), a stereoisomer thereof, or a pharmaceutically acceptable salt thereof to a cancer patient.
The cancers described herein include, but are not limited to, breast cancer, renal cancer, lung cancer (including small cell lung cancer, non-small cell lung cancer), ovarian cancer, prostate cancer, leukemia, melanoma, myeloma, and osteosarcoma, among others.
The compounds of the present application may be administered by any conventional suitable means, including oral administration, intravenous injection, topical injection. A therapeutically effective amount of a compound herein refers to an amount of the compound effective to prevent, alleviate or ameliorate symptoms of disease or prolong the survival of a patient.
The therapeutically effective amount or dose of the compounds of the present application may vary over a wide range and may be determined in a manner known in the art. The above dosages will be adjusted according to the individual requirements of each particular case, including the particular compound being administered, the route of administration, the condition being treated and the patient being treated. Generally, when administered orally or parenterally to an adult human having a body weight of about 70kg, a daily dose of about 10mg to about 10,000mg, and preferably about 200mg to about 1,000mg, should be appropriate, and the upper limit may be exceeded if necessary. The daily dose may be administered as a single dose or in divided doses, or for parenteral administration, the daily dose may be administered as a continuous infusion.
The preparation method of the spiro indolone-pyrrolidine carbonate compound provided by the application comprises the following steps: carrying out nucleophilic substitution reaction on a spiro indolone compound shown as a general formula (III) and a compound shown as a general formula (IV) in the presence of a base to obtain the spiro indolone-pyrrolidine carbonate compound,
Figure BDA0003109045190000061
wherein, Y1、Y2、Y3、Y4、R1、R2、R3、R4And n is as defined above.
Wherein the spiro indolone compound shown in the general formula (III) can be prepared by the methods described in WO2011/067185A1 and WO2011/134925A 1.
The compound represented by the general formula (IV) can be produced, for example, by the following reaction:
Figure BDA0003109045190000062
definition of terms
Unless defined otherwise, all technical and scientific terms used herein have the same meaning as commonly understood by one of ordinary skill in the art to which the claimed subject matter belongs.
Chemical terminology
The term "alkyl" as used herein, alone or in combination, refers to an optionally substituted straight chain or optionally substituted branched chain aliphatic hydrocarbon. A group as defined herein, such as "alkyl" when the numerical range appears, e.g., "C1-C10 alkyl," refers to an alkyl group that can be composed of 1 carbon atom, 2 carbon atoms, 3 carbon atoms, 4 carbon atoms, 5 carbon atoms, 6 carbon atoms, 7 carbon atoms, 8 carbon atoms, 9 carbon atoms, or 10 carbon atoms. Examples of alkyl groups herein include, but are not limited to, methyl, ethyl, n-propyl, isopropyl, 2-methyl-l-propyl, 2-methyl-2-propyl, 2-methyl-1-butyl, 3-methyl-l-butyl, 2-methyl-3-butyl, 2-dimethyl-1-propyl, 2-methyl-1-pentyl, 3-methyl-1-pentyl, 4-methyl-l-pentyl, 2-methyl-2-pentyl, 3-methyl-2-pentyl, 4-methyl-2-pentyl, 2-dimethyl-l-butyl, 3-dimethyl-1-butyl, methyl, ethyl, n-propyl, isopropyl, 2-methyl-l-propyl, 2-methyl-1-pentyl, 3-methyl-1-pentyl, 4-methyl-2-pentyl, 2-dimethyl-l-butyl, 3-dimethyl-1-butyl, 2-pentyl, 2-methyl-2-pentyl, 2-methyl-1-pentyl, 2-pentyl, and, 2-ethyl-1-butyl, n-butyl, isobutyl, sec-butyl, tert-butyl, n-pentyl, isopentyl, neopentyl, tert-pentyl and hexyl, and longer alkyl groups such as heptyl and octyl, and the like.
The term "alkoxy" as used herein, alone or in combination, refers to an alkyl ether group (O-alkyl) as defined above for alkyl groups. Non-limiting examples of alkoxy groups include methoxy, ethoxy, n-propoxy, isopropoxy, n-butoxy, isobutoxy, sec-butoxy, tert-butoxy and the like.
The term "alkenyl" as used herein, alone or in combination, refers to an optionally substituted straight or optionally substituted branched chain monovalent hydrocarbon radical having one or more C ═ C double bonds. The alkenyl group has, but is not limited to, 2 to about 10 carbon atoms, for example, 2 to about 10 carbon atoms, or 2 to about 8 carbon atoms, 2 to about 6 carbon atoms, 2 to about 4 carbon atoms. The double bond in these groups may be in either the cis or trans conformation and should be understood to encompass both isomers. Examples include, but are not limited to, ethenyl (CH ═ CH2), 1-propenyl (CH2CH ═ CH2), isopropenyl (C (CH3) ═ CH2), butenyl, 1, 3-butadienyl, and the like. Where a range of numbers is present for alkenyl groups as defined herein, for example, "C2-C6 alkenyl" or "C2-6 alkenyl" refers to an alkenyl group that may be composed of 2 carbon atoms, 3 carbon atoms, 4 carbon atoms, 5 carbon atoms, or 6 carbon atoms.
The term "halo-substituted" as used herein, alone or in combination, refers to an optionally substituted group (e.g., alkyl) wherein one or more hydrogen atoms are replaced with a fluorine, chlorine, bromine, iodine atom, or combinations thereof.
The term "aryl" as used herein, alone or in combination, refers to an optionally substituted aromatic hydrocarbon group having from 6 to about 20, such as from 6 to 12 or from 6 to 10, ring-forming carbon atoms. It may be a fused aromatic ring or a non-fused aromatic ring. Fused aromatic rings include rings in which 2 to 4 aromatic rings are fused, and the other individual rings may be alicyclic, heterocyclic, aromatic, heteroaromatic, or any combination thereof. Aryl herein includes monocyclic, bicyclic, tricyclic or higher aromatic groups. Non-limiting examples of monocyclic aryl groups include monocyclic aryl groups of 6 to about 12, 6 to about 10, or 6 to about 8 ring-forming carbon atoms, such as phenyl; fused ring aryl groups include bicyclic, tricyclic or higher aromatic groups, such as naphthyl, phenanthryl, anthracenyl, azulenyl; non-fused bisaryl groups include biphenyl groups.
"halogen", as used herein, alone or in combination, is selected from fluorine, chlorine, bromine and iodine.
The term "pharmaceutically acceptable salt" as used herein refers to salts that retain the biological potency of the free acid and free base of the specified compound and that are biologically or otherwise not adversely affected. Pharmaceutically acceptable salts refer to the form of salts converted from a basic or acidic group in the parent compound. For example, inorganic or organic acid salts of basic groups such as amine (amino) groups, and salts of acidic groups such as carboxyl groups with metal ions. Pharmaceutically acceptable salts herein also include acid salts formed with organic/inorganic acids and base salts formed with organic/inorganic bases. In addition, when the basic functional group of the compound of formula (la) is pyridine or imidazole (but not limited to pyridine or imidazole) and the acidic functional group is carboxylic acid (but not limited to carboxylic acid), zwitterions (inner salts) are formed and are included in the salts herein.
"stereoisomers" herein includes all stereoisomers, such as enantiomers and diastereomers. The compounds of the present application containing asymmetrically substituted carbon atoms may be isolated in optically active pure form or in racemic form. The optically active pure form can be resolved from a racemic mixture or synthesized by using chiral starting materials or chiral reagents. The compounds described herein may have one or more stereogenic centers, and each stereogenic center may exist in the R or S configuration or a combination thereof.
The compounds of the present application also include tautomeric forms. Tautomeric forms result from the exchange of one single bond with an adjacent double bond and the concomitant migration of one proton.
Pharmaceutical terms
Certain pharmaceutical terms the terms "patient," "subject," and the like as used herein refer to an individual suffering from a disease, disorder, or condition, and the like, including mammals and non-mammals. Examples of mammals include, but are not limited to, any member of the class mammalia: humans, non-human primates (e.g., chimpanzees and other apes and monkeys); livestock, such as cattle, horses, sheep, goats, pigs; domestic animals such as rabbits, dogs, and cats; laboratory animals, including rodents, such as rats, mice, and guinea pigs, and the like. In some embodiments, the mammal is a human.
As used herein, the term "treating" and other similar synonyms include alleviating, alleviating or ameliorating a symptom of a disease or disorder, inhibiting a disease or disorder, e.g., arresting the development of a disease or disorder, alleviating a disease or disorder, ameliorating a disease or disorder, alleviating a symptom caused by a disease or disorder, or halting a symptom of a disease or disorder, preventing other symptoms, ameliorating or preventing an underlying metabolic cause causing the symptom, and further, the term includes the purpose of prevention. The term also includes obtaining a therapeutic effect and/or a prophylactic effect. The therapeutic effect refers to curing or ameliorating the underlying disease being treated. In addition, a cure or amelioration of one or more physiological symptoms associated with the underlying disease is also a therapeutic effect, e.g., an improvement in the condition of the patient is observed, although the patient may still be affected by the underlying disease. For prophylactic effect, the composition can be administered to a patient at risk of developing a particular disease, or to a patient presenting with one or more physiological symptoms of the disease, even if a diagnosis of the disease has not yet been made.
The terms "effective amount," "therapeutically effective amount," or "pharmaceutically effective amount" as used herein, refer to an amount of at least one active agent (e.g., a compound of the present application) that is sufficient to alleviate, to some extent, one or more of the symptoms of the disease or disorder being treated upon administration. The result may be a reduction and/or alleviation of signs, symptoms, or causes, or any other desired change in a biological system. For example, an "effective amount" for treatment is the amount of a composition comprising a compound disclosed herein that is clinically necessary to provide a significant remission effect of the condition. An effective amount suitable in any individual case can be determined using techniques such as a dose escalation assay.
The terms "administration," "administering," and the like as used herein refer to a method capable of delivering a compound or composition to a desired site for a biological effect. These methods include, but are not limited to, oral routes, via the duodenal route, parenteral injection (including intravenous, subcutaneous, intraperitoneal, intramuscular, intraarterial injection or infusion), topical and rectal administration. Administration techniques useful for the compounds and methods described herein are well known to those skilled in the art.
The term "pharmaceutically acceptable adjuvant" as used herein refers to a substance that does not affect the biological activity or properties of the compounds of the present application and is relatively non-toxic, i.e., the substance can be administered to an individual without causing an adverse biological response or interacting in an undesirable manner with any of the components included in the composition. The pharmaceutically acceptable excipients include, but are not limited to, carriers, stabilizers, diluents, dispersants, suspending agents, thickeners, and/or excipients.
Drawings
FIG. 1 is a photograph of the compound prepared in example 111H NMR spectrum;
FIG. 2 is a photograph of the compound prepared in example 1113C NMR spectrum;
FIG. 3 is a high resolution mass spectrum of the compound prepared in example 11;
FIG. 4 shows that the compounds of the present application are relatively stable and resistant to hydrolysis;
FIG. 5 shows the effect of compounds of the present application on the level of p53 protein in p53 wild type tumor cells;
FIG. 6 shows the effect of compounds of the present application on the expression level of p53 protein in p53 mutant tumor cells;
FIG. 7 shows the effect of compounds of the present application on the proliferative activity of various p53 wild-type tumor cells;
FIG. 8 shows the effect of compounds of the present application on the proliferative activity of p53 mutant tumor cells.
Figure 9 shows the in vivo tumor growth inhibitory activity of the compounds of the present application.
Detailed Description
The present application will be specifically described below with reference to examples, but the scope of the present application is not limited to these examples.
Example 1: synthesis of intermediate methyl 4-amino-3-methoxybenzoate
Figure BDA0003109045190000101
To methyl 3-methoxybenzoate (83.0g, 500mmol) in H at 0 deg.C2SO4(70 wt%, 200ml) of the solution was added dropwise with HNO3(65 wt%, 40ml), and the resulting mixture was stirred overnight and then poured into ice water. The mixture thus obtained was filtered, and the resulting solid cake was washed with water (3X 300ml) to give 84.4g of methyl 4-nitro-3-methoxybenzoate as a yellow solid in 80% yield.
A solution of methyl 4-nitro-3-methoxybenzoate (84.4g,400mmol) in ethanol (1500ml) in the presence of Pd/carbon (10% Pd, 5.35g) catalyst in the presence of H2Stirred under the atmosphere for 5 hours, and then the reaction solution was passed
Figure BDA0003109045190000102
The catalyst was removed by filtration through celite and the solvent evaporated in vacuo to give an off-white solid which was recrystallised from methanol to give methyl 4-amino-3-methoxybenzoate (70.95g,392mmol) in 98% yield.
1H NMR(400MHz,CDCl3):δ7.55(dd,J=8.2Hz,1.4Hz,1H),7.45(d,J=8.0Hz,1H),6.65(d,J=8.0Hz,1H),4.22(s,2H),3.90(s,3H),3.86(s,3H);
MS:C9H12NO3([M+H]+) The calculated value is 182 and the measured value is 182.
Example 2: synthesis of intermediate methyl 4- (2- ((tert-butoxycarbonyl) amino) acetamido) -3-methoxybenzoate
Figure BDA0003109045190000111
2- ((tert-Butoxycarbonyl) amino) acetic acid (8.75g,50mmol), Et3A solution of N (60mmol) in Dichloromethane (DCM) (150ml) and acetyl chloride (60mmol) at room temperature in N2After stirring under atmosphere for 1 hour, a solution of methyl 4-amino-3-methoxybenzoate (9.05g,50mmol) in ethanol (100ml) was added and the resulting mixture was stirred overnight. Then, 200ml of water was added to the reaction solution, the reaction mixture was extracted with DCM (2X 150ml), and the organic layers were combined and washed with water and Na2SO4Drying and subsequent removal of the solvent in vacuo gave a residue which was purified by silica gel column chromatography to give 12.0g of the title compound as a white solid in 70% yield.
1H NMR(400MHz,CDCl3):δ8.59(s,1H),8.42(d,J=8.4Hz,1H),7.66(d,J=8.4Hz,1H),7.52(s,1H),5.30(s,1H),3.96(d,J=5.2Hz,2H),3.91(s,3H),3.89(s,3H),1.48(s,9H);
MS:C16H23N2O6([M+H]+) Calculated value 339, found value 339.2.
Example 3: synthesis of intermediate 4- (2-amino acetamido) -3-methoxy methyl benzoate hydrochloride
Figure BDA0003109045190000112
A solution of methyl 4- (2- ((tert-butoxycarbonyl) amino) acetylamino) -3-methoxybenzoate (11.83g, 35mmol) and concentrated hydrochloric acid (7.0ml) in ethyl acetate (100ml) was stirred at room temperature overnight, then the reaction solution was filtered, and the resulting filter cake was washed with ethyl acetate (2X 50ml) and then dried to give 6.562g of methyl 4- (2-aminoacetoylamino) -3-methoxybenzoate hydrochloride as a white solid in 69% yield.
1H NMR(400MHz,DMSO):δ10.03(s,1H),8.49(s,3H),8.20(d,J=8.4Hz,1H),7.57(d,J=8.4Hz,1H),7.51(d,J=1.2Hz,1H),3.90(s,5H),3.83(s,3H);
MS:C11H15N2O4([M-HCl+H]+) The calculated value is the number of the codes of 239,found value is 239.
Example 4: synthesis of intermediate (E) -4- (2- ((3, 3-dimethylbutylidene) amino) acetamido) -3-methoxybenzoic acid methyl ester
Figure BDA0003109045190000121
To a suspension of methyl 4- (2-aminoacetamido) -3-methoxybenzoate hydrochloride (6.56g,24mmol) in MTBE (methyl tert-butyl ether) (100ml) was added triethylamine (5ml) at room temperature, and after stirring for 1 hour, 3-dimethyl-n-butyraldehyde (2.64g,26.4mmol) was added dropwise, and the resulting mixture was stirred at room temperature for 10 hours. The reaction mixture was then filtered to remove triethylamine hydrochloride and the solid filter cake (3 × 30ml) was washed with MTBE and the combined organic phases were evaporated in vacuo to remove the organic solvent to give a viscous oil which was used in the next step without purification.
Example 5: synthesis of intermediate (E) -6-chloro-3- (3-chloro-2-fluorobenzylidene) indolin-2-one
Figure BDA0003109045190000122
6-Chloroindolin-2-one (8.35g,50mmol) and 3-chloro-2-fluorobenzaldehyde (8.295g,52.5mmol) were stirred at reflux for 6 hours in the presence of piperidine (1ml), then the reaction suspension was filtered, the resulting solid was collected, washed with methanol, and dried to give (E) -6-chloro-3- (3-chloro-2-fluorobenzylidene) indol-2-one product (14.63g,47.5mmol) as a yellow solid in 95% yield.
1H NMR(400MHz,DMSO):δ10.85(s,1H),7.70(q,J=7.3Hz 2H),7.54(s,1H),7.36(t,J=8Hz 1H),7.16(d,J=8Hz 1H),6.92-6.86(m,2H);
MS:C15H9Cl2FNO([M+H]+) Calculated value 308, found value 308.0.
Example 6: synthesis of intermediate rac-methyl 4- ((2'S,3' R,4'S,5' R) -6-chloro-4 '- (3-chloro-2-fluorophenyl) -2' -neopentyl-2-oxospiro [ indoline-3, 3 '-pyrrolidine ] -5' -carboxamido) -3-methoxybenzoate
Figure BDA0003109045190000131
A solution of methyl (E) -4- (2- ((3, 3-dimethylbutylidene) amino) acetylamino) -3-methoxybenzoate (24mmol) and (E) -6-chloro-3- (3-chloro-2-fluorobenzylidene) indolin-2-one (24mmol) in 60ml of toluene (toluene) in the presence of 1, 8-diazabicycloundecen-7-ene (7ml) was stirred overnight, then 100ml of water was added, the resulting mixture was extracted with ethyl acetate (2X 150ml), the organic layers were combined, and washed with water and then with Na2SO4Drying, removal of the solvent in vacuo and purification of the resulting residue by silica gel column chromatography gave 13.9g of the title compound as a yellow solid in 92% yield.
1H NMR(400MHz,CDCl3) δ 10.65(s,1H),8.49(d, J ═ 8Hz1H), 7.94(s,1H),7.66(dd, J ═ 8.6Hz J ═ 1Hz 1H),7.57(s,1H),7.51(t, J ═ 6.8Hz 1H),7.28(s,1H),7.16(t, J ═ 7.4Hz 1H),7.07(dd, J ═ 8.2Hz J ═ 1.4Hz 1H),6.92(t, J ═ 8Hz1H), 6.73(d, J ═ 1.2Hz 1H),4.69(t, J ═ 8.8Hz 1H),4.44(d, J ═ 9.2Hz 1H),3.93(s,3H),3.90(s, 3.65) (t, J ═ 8.8Hz 1H), 10.8H, 10 (s,1H), 10.8H, 10.1H), 10.8 (m, 10H);
MS:C32H33Cl2FN3O5([M+H]+) Calculated 628 and found 628.2.
Example 7: synthesis of intermediate 1-chloroethyl (2- (2-hydroxyethoxy) ethyl) carbonate
Figure BDA0003109045190000132
A solution of 2- (2-methoxyethoxy) ethane-1-ol (6.0g,50mmol) and 1-chloroethyl chloroformate (1-chloroethyl chloroformate) (7.455g,52.5mmol) in Et3Stirring at room temperature in the presence of N (4.04g,52.5mmol) for 6 hours; then 200ml of water was added theretoThe reaction mixture was extracted with DCM (2X 150ml), the organic layers were combined and washed with water and then Na2SO4Drying, removal of the solvent in vacuo and purification of the resulting residue by silica gel column chromatography gave 8.475g of the title compound as an oil in 75% yield.
1H NMR(400MHz,CDCl3):δ6.41(q,J=5.7Hz 1H),4.37-4.32(m,2H),3.73(t,J=4.8Hz,2H),3.66-3.62(m,2H),3.56-3.52(m,2H),3.37(s,3H),1.81(d,J=6.4Hz,3H)。
Example 8: synthesis of compound of the formula (4- ((2'S,3' R,4'S,5' R) -6-chloro-4 '- (3-chloro-2-fluorophenyl) -2' -neopentyl-2-oxospiro [ indoline-3, 3 '-pyrrolidine ] -5' -carboxamido) -3-methoxybenzoic acid- (R) -N, N-dimethyl-1-phenyl-1-ethylamine salt, R-amine salts)
Figure BDA0003109045190000141
A mixture of rac-4- ((2'S,3' R,4'S,5' R) -6-chloro-4 '- (3-chloro-2-fluorophenyl) -2' -neopentyl-2-oxospiro [ indoline-3, 3 '-pyrrolidine ] -5' -carboxamido) -3-methoxybenzoic acid (4.0g,6.5mmol, first step of synthesis according to example 8) and (R) -N, N-dimethyl-1-phenyl-1-ethylamine (1.12 g, 7.49mmol, (R) -N, N-dimethyl-1-phenylethan-1-amine) was dispersed in ethyl acetate and heated to 60 degrees Celsius and stirred at this temperature for 2 hours, then cooled to room temperature and stirred overnight. The precipitated solid was filtered and washed with cold ethyl acetate to give, after drying, the R-amine salt 4- ((2'S,3' R,4'S,5' R) -6-chloro-4 '- (3-chloro-2-fluorophenyl) -2' -neopentyl-2-oxospiro [ indoline-3, 3 '-pyrrolidine ] -5' -carboxamido) -3-methoxybenzoic acid- (R) -N, N-dimethyl-1-phenyl-1-ethylamine salt (2.0 g) as a white solid.
1H NMR(d6-DMSO,400MHz):δ10.75(s,1H),10.47(s,1H),8.38(d,J=8.4Hz,1H),7.70(d,J=8.0Hz,1H),7.61(t,J=7.0Hz,1H),7.55-7.58(m,2H),7.37(t,J=7.4Hz,1H),7.25-7.33(m,4H),7.22(t,J=6.8Hz,1H),7.17(t,J=8.0Hz,1H),7.00(d,J=8.4Hz,1H),6.67(s,1H),4.67(t,J=7.6Hz,1H),4.47(d,J=9.6Hz,1H),3.90(s,3H),3.65-3.90(m,1H),3.20-3.40(m,2H),2.08(s,6H),1.29-1.32(m,1H),1.26(d, J ═ 6.8Hz,3H),0.91(s,9H),0.76(d, J ═ 14Hz,1H) (see fig. 3).
Example 9: synthesis of (2'S,3' R,4'S,5' R) -6-chloro-4 '- (3-chloro-2-fluorophenyl) -2' - (2, 2-dimethylpropyl) -2-oxo-1, 2-dihydrospiro- [ indole-3, 3 '-pyrrolidine ] -5' -carboxylic acid (4-carbamoyl-2-methoxyphenyl) amine of the formula
Figure BDA0003109045190000151
R-amine salt 4- ((2'S,3' R,4'S,5' R) -6-chloro-4 '- (3-chloro-2-fluorophenyl) -2' -neopentyl-2-oxospiro [ indoline-3, 3 '-pyrrolidine ] -5' -carboxamido) -3-methoxybenzoic acid- (R) -N, N-dimethyl-1-phenyl-1-ethylamine salt (1.37g, 2.0mmol) and CDI (648mg, 4.0mmol) were stirred in THF (15mL) at room temperature for 1.5 hours, and ammonia (1.0mL) was added and stirring was continued for 30 minutes. After completion of the reaction, water (20mL) was added and extracted with ethyl acetate. The organic phase was separated, washed successively with brine, 1M dilute hydrochloric acid and water and then concentrated. The resulting suspension was diluted with n-heptane and filtered, and the filter cake was washed with n-heptane and dried to give the desired amide product (1.10g, 90% yield) as a white solid.
Example 10: synthesis of 2- (2-methoxyethoxy) ethyl (2'S, 3R, 4' S,5'R) -5' - ((4-carbamoyl-2-methoxyphenyl) carbamoyl) -6-chloro-4 '- (3-chloro-2-fluorophenyl) -2' -neopentyl-2-hydropirocyclo [ indole-3, 3 '-pyrrolidine ] -1' -carbonate, a compound of the formula
Figure BDA0003109045190000161
(2' S,3' R,4' S,5' R) -6-chloro-4 ' - (3-chloro-2-fluorophenyl) -2' - (2, 2-dimethylpropyl) -2-oxo-1, 2-dihydrospiro- [ indole-3, 3' -pyrrolidine]-5' -Carboxylic acid (4-carbamoyl-2-methoxyphenyl) amide (612mg,1.0mmol) was dissolved in DMF (100mL), followed by addition of anhydrous KCO3(4.0mmol) and dropwise addition of 1-chloroethyl (2- (2-methoxyethoxy) ethyl) carbonate(904mg, 4.0mmol) was stirred at room temperature overnight. After completion of the reaction, water (20mL) was added and extracted with ethyl acetate. The organic phase was separated, washed with brine, 1M dilute hydrochloric acid and water in this order, and then concentrated through a column to obtain the objective product (644mg, yield: 85%) as a white solid.1H NMR(CDCl3,400MHz):10.59(s,1H),8.47(d,J=8.4Hz,1H),7.80(d,J=1.6Hz,1H),7.55(d,J=1.3Hz,1H),7.48(t,J=6.8Hz,1H),7.28-7.36(m,2H),7.19-7.26(m,2H),7.04(t,J=8.0Hz),6.05-6.55(bs,1H),5.30-5.80(bs,1H),4.70(t,J=9.62Hz,1H),4.40-4.54(m,3H),3.94(s,3H),3.83(t,J=4.7Hz,2H),3.62-3.74(m,3H),3.60(t,J=4.6Hz,2H),1.24-1.35(m,1H),0.96(s,9H);HRMS(ESI-TOF):m/z calculated for C37H41Cl2FN4NaO8+[M+Na]+:781.2183,found:781.2190.
Example 11: synthesis of 2- (2- (2-methoxyethoxy) ethoxy) ethyl (2'S, 3R, 4' S,5'R) -5' - ((4-carbamoyl-2-methoxyphenyl) carbamoyl) -6-chloro-4 '- (3-chloro-2-fluorophenyl) -2' -neopentyl-2-hydropirocyclo [ indole-3, 3 '-pyrrolidine ] -1' -carbonate, a compound of the formula
Figure BDA0003109045190000162
(2' S,3' R,4' S,5' R) -6-chloro-4 ' - (3-chloro-2-fluorophenyl) -2' - (2, 2-dimethylpropyl) -2-oxo-1, 2-dihydrospiro- [ indole-3, 3' -pyrrolidine]-5' -Carboxylic acid (4-carbamoyl-2-methoxyphenyl) amide (612mg,1.0mmol) was dissolved in DMF (100mL), followed by addition of anhydrous KCO3(4.0mmol) and dropwise addition of 2- (2- (2-methoxyethoxy) ethoxy) ethan-1-ol (1.08g,4.0mmol), stirring at room temperature overnight. After completion of the reaction, water (20mL) was added and extracted with ethyl acetate. The organic phase was separated, washed with brine, 1M dilute hydrochloric acid and water in this order, and then concentrated through the column to give the objective product (642mg, yield: 80%) as a white solid.1H NMR(CDCl3,400MHz):10.6(s,1H),8.45(d,J=8.0Hz,1H),7.8(s,1H),7.55(s,1H),7.48(t,J=8.0Hz,1H),7.35(t,J=8.0Hz,2H),7.20-7.40(m,2H),7.04(t,J=8.0Hz,1H),6.1-6.6(bs,1H),5.4-5.8(bs,1H),4.69(t,J=10,1H),4.40-4.55(m,3H),3.04(s,3H),3.83(t,J=4,2H),3.69-3.77(m,4H),3.62-3.69(m,4H),3.50-3.58(m,2H),3.36(s,3H),3.18-3.30(m,1H),1.24-1.36(m,1H),0.95(s,9H);13C NMR(CDCl3,100MHz):174.41,171.63,168.82,157.69,155.21,149.52,148.46,140.10,134.91,130.57,130.01,128.73,127.35,125.51,124.81(Jc-F=4.3Hz),123.62,123.36,121.40(d,J=19Hz),119.95,118.22,116.15,109.98,72.01,70.83,70.81,70.68,68.61,68.06,66.60,66.57,65.51,59.12,55.76,50.96,42.79,30.45,29.89;HRMS(ESI-TOF):m/z calculated for C39H45Cl2FN4NaO9+[M+Na]+:825.2445,found:825.2456.
Example 12: synthesis of 2,5,8,11, 14-Pentaoxohexadecan-16-yl (2'S, 3R, 4' S,5'R) -5' - ((4-carbamoyl-2-methoxyphenyl) carbamoyl) -6-chloro-4 '- (3-chloro-2-fluorophenyl) -2' -neopentyl-2-hydropirocyclo [ indole-3, 3 '-pyrrolidine ] -1' -carbonate, a compound of the formula
Figure BDA0003109045190000171
(2' S,3' R,4' S,5' R) -6-chloro-4 ' - (3-chloro-2-fluorophenyl) -2' - (2, 2-dimethylpropyl) -2-oxo-1, 2-dihydrospiro- [ indole-3, 3' -pyrrolidine]-5' -Carboxylic acid (4-carbamoyl-2-methoxyphenyl) amide (306mg,0.5mmol) was dissolved in DMF (50mL), followed by addition of anhydrous KCO3(2.0mmol) and dropwise addition of 1-chloroethyl (2,5,8,11, 14-pentaoxohexadecan-16-yl) carbonate (0.72g,2.0mmol), stirring overnight at room temperature. After completion of the reaction, water (20mL) was added and extracted with ethyl acetate. The organic phase was separated, washed with brine, 1M dilute hydrochloric acid and water in this order, and then concentrated through the column to give the objective product (352mg, yield: 79%) as a white solid.1H NMR(CDCl3,400MHz):10.56(s,1H),8.41(d,J=8.4Hz,1H),7.79(d,J=1.7Hz,1H),7.54(d,J=1.3Hz,1H),7.49(t,J=6.8Hz,1H),7.20-7.40(m,4H),7.00-7.15(m,1H),6.30-6.60(m,1H),5.19(bs,1H),4.71(t,J=9.4Hz,1H),4.40-4.60(m,2H),4.25-2.34(m,1H),3.93(s,3H),3.83(t,J=4.6Hz,2H),3.78(s,1H),3.60-3.75(m,16H),3.50-3.58(m,2H),3.35-3.40(m,4H),1.20-1.37(m,1H),0.86-1.08(m,10H);HRMS(ESI-TOF):m/z calculated for C43H53Cl2FN4NaO11[M+Na]+:913.2970,found:913.2975.
Experimental examples
EXAMPLE 13 Water solubility improvement of Compounds of the present application
Purpose of experiment
The compounds of the present application were examined for their effect on improving the water solubility of spirocyclic indolone compounds by polyethylene glycol carbonate structure.
Experimental methods
30.00mg of rac-SIP (rac-spirolinolone pyrrolidone, org. Process Res. Dev.2013; 17(2):247 256) reference substance is precisely weighed and placed in a 10ml volumetric flask, acetonitrile is added for dissolution and volume is fixed to the scale, and 3.00mg/ml rac-SIP mother liquor is prepared and stored at low temperature and in dark place for later use.
Figure BDA0003109045190000181
Chromatographic conditions are as follows: iiinertsil ODS-3 column (4.6 mm. times.150 mm, 5 μm); the mobile phase is acetonitrile-20% phosphoric acid solution (40: 60, V/V); the flow rate is 1 ml/min; the detection wavelength is 286 nm; the sample amount is 20 mul; the temperature was room temperature. Under the chromatographic condition, rac-SIP reference substance solution with proper concentration is taken for sample injection measurement, the retention time of rac-SIP peak is 4.5min, and impurities do not interfere with the main peak measurement.
Precisely measuring the rac-SIP reference product mother solution in a 10ml volumetric flask, adding acetonitrile to dilute and fix the volume to a scale, and shaking up to obtain series of standard solutions with the concentrations of 0.1, 0.5, 1.0, 2.0 and 3.0 mu g/ml respectively. Detecting according to the above chromatographic conditions, recording peak area, and plotting peak area (Y) against concentration (X) for regression to obtain regression equation (Y is 89.12X +0.2189 (r)20.9996) the sample concentration is calculated according to this equation.
An excess of rac-SIP, 2-PEG-rac-SIP (2- (2-methoxyethoxy) ethyl (2'S, 3R, 4' S,5'R) -5' - ((4-carbamoyl-2-methoxyphenyl) carbamoyl) -6-chloro-4 '- (3-chloro-2-fluorophenyl) -2' -neopentyl-2-hydropirocyclo [ indole-3, 3 '-pyrrolidine ] -1' -carbonate) (see example 10),3-PEG-rac-SIP (2- (2- (2-methoxyethoxy) ethoxy) ethyl (2'S, 3R, 4' S,5'R) -5' - ((4-carbamoyl-2-methoxyphenyl) carbamoyl) -6-chloro-4 'were added' - (3-chloro-2-fluorophenyl) -2' -neopentyl-2-hydrocyclospiro [ indole-3, 3' -pyrrolidine ] -1' -carbonate) (see example 11) were placed in stoppered tubes, added with an appropriate amount of water, sonicated until no longer dissolved, placed in a shaker (100r/min) and shaken at (25 ± 1) ° c for 24h, after equilibrium of dissolution, the saturated solution of each compound was taken out, placed in a centrifuge, centrifuged at 10000 r/min for 10min, the supernatant was precisely extracted, quantitatively diluted with acetonitrile and then injected for measurement, and the solubility of different derivatives in water was approximately calculated from the rac-SIP standard curve.
Results of the experiment
Solubility test results show that rac-SIP has very low solubility in water (<0.1mg/ml), hardly soluble; and 2-PEG-rac-SIP (i.e., the compound of example 10) solubility>0.4mg/ml, 3-PEG-rac-SIP (i.e., the compound of example 11) solubility>3mg/ml, it can be concluded that: with PEG (i.e., -CH)2-CH2the-O-) length increases and the solubility becomes better.
Example 14 the Compounds of the present application have a more stable resistance to hydrolysis
The compound of the present application is used as a polyethylene glycol carbonate compound, the stability of metabolism in vivo is a key basis for exerting bioactivity, and 3-PEG-rac-SIP (the compound of example 11) is taken as an example in order to research the intestinal metabolism condition of the compound of the present application, and the intestinal metabolism process of the compound is simulated by utilizing human intestinal microparticles. The specific operation steps are as follows: the total volume of the incubation solution was 200. mu.L, prepared with 5mmol/LK2HPO4 buffer solution (pH 7.4) as the matrix, and containing human intestinal microsomes at a final mass concentration of 0.2g/L (protein content) and 10. mu. mol/L3-PEG-rac-SIP. After pre-incubation in a water bath at 37 ℃ for 5min, reduced Nicotinamide Adenine Dinucleotide Phosphate (NADPH) solution (final concentration is 1mmol/L) which is also pre-incubated for 5min is added to start the reaction, and at the end of the reaction, 200. mu.L of acetonitrile solution containing 200. mu.g/L of internal standard is added and mixed to stop the reaction. Shaking the terminated incubation sample for 2min, centrifuging at 4 ℃ and 14000 r min < -1 > for 10min, and quantitatively detecting the residual amount of the 3-PEG-rac-SIP by an LC-MS method. The calibration group was a microsomal reaction group without NADPH. Test results show that after 3-PEG-rac-SIP and human intestinal microsome are incubated for 2 hours, more than 75% of original drugs still exist in a system shown in figure 4, and the compound 3-PEG-rac-SIP is stable and has the hydrolysis resistance against various intestinal enzymes.
Example 15 compounds of the present application up-regulate p53 protein levels in p53 wild-type tumor cells.
As a contemplated antagonist of the MDM2-p53 interaction, it is theorized that rac-SIP, 3-PEG-rac-SIP, can up-regulate the level of p53 protein expression in cells by antagonizing MDM2 function. The application selects a prostate cancer cell line LNCaP cell with a wild type p53 gene, and verifies the influence of the compound on the expression level of p53 protein in the LNCaP cell at the protein level. The specific operation steps are as follows: 2.0X 105A/mL suspension of LNCaP cells was seeded into 6-well plates at 2mL per well. The culture medium is RPMI 1640 medium containing 10% Fetal Bovine Serum (FBS); cells were cultured in a carbon dioxide incubator at 37 ℃. After 48 hours of cell culture, the drug was added, 4. mu.L DMSO was added to the solvent group, and 4. mu.L of the compound was added to the other groups at different final concentrations depending on the setting of each well. After further incubation for 24 hours the medium was aspirated, 60. mu.L of RIPA lysate was added to each well, the lysate was transferred to a 1.5ml EP tube and lysed for 30 minutes on ice, 15. mu.L of 5 Xprotein loading buffer was added to each tube and cooked for 30 minutes in a 100 ℃ metal bath. SDS-PAGE gel electrophoresis separation, and Western blotting to detect the expression quantity of p53 andMDM 2. FIG. 5A shows the effect of rac-SIP at the protein level on the levels of p53 protein and MDM2 protein endogenous to LNCaP cells. FIG. 5B is a graph showing the effect of 3-PEG-rac-SIP at the protein level on the levels of p53 protein and MDM2 protein endogenous to LNCaP cells. FIG. 5C is the effect of control drug RG-7388 at protein levels on the levels of p53 protein and MDM2 protein endogenous to LNCaP cells.
The test results show that the compounds can up-regulate the expression level of p53 protein in LNCaP cells in a dose-dependent manner within a selected concentration interval range, and have the same efficacy compared with a control drug RG-7388. In the test, after administration for 24h, the compounds can increase the MDM2 protein level at low dose, the MDM2 protein level is reduced along with the increase of the administration concentration, and the MDM2 protein level is continuously increased along with the increase of the administration concentration under the treatment of a control drug RG-7388, which shows that the potential of the compounds of the application for down-regulating MDM2 is better than that of the RG-7388. The negative feedback expression of the MDM2 protein level is up-regulated, which is one of the reasons for limiting the long-term pharmacodynamic activity of the MDM2 inhibitors of the first generation (such as nutlin-3) and the second generation (such as RG-7388), and the compound of the application has dual functions of MDM2 antagonism and down-regulation due to the down-regulation of the MDM2 protein, so that the defects of the traditional MDM2 inhibitor can be overcome, and the MDM2 protein level possibly has better long-term activity and in vivo activity.
Example 16 the compounds of the present application had no effect on the expression level of p53 protein in p53 mutant tumor cells.
Example 15 it has been demonstrated that the compounds of the present application can activate the p53 protein level in the wild-type tumor cell line of the p53 gene, and in order to examine the selectivity of the compounds for activating p53, the present application next examined the effect of the compound 3-PEG-rac-SIP on the mutant p53 protein in the mutant tumor cell line DU145 cells of the p53 gene. Using the same procedures as in example 15, this experiment examined the effect of different concentrations of 3-PEG-rac-SIP on the levels of p53 protein and MDM2 protein in DU145 cells using the Western blot method. FIG. 6 shows the effect of 3-PEG-rac-SIP at the protein level on the levels of p53 protein and MDM2 protein endogenous to DU145 cells.
The test result shows that in the selected concentration interval range, the 3-PEG-rac-SIP has little influence on the level of p53 protein in DU145 cells, namely, the 3-PEG-rac-SIP cannot activate mutant p53, which indicates that the compound has high selectivity on wild p53 tumor cells, thereby avoiding generating nonspecific toxicity, and being beneficial to selecting target patients of the compound in clinical treatment, and realizing accurate treatment on tumor patients.
Example 17 the compounds of the present application inhibit the proliferative activity of a variety of p53 wild-type tumor cells.
About 0.5 to 1.0X 104Cell suspensions per mL were seeded at 200 μ L per well in 96-well plates. Paving for 24 hoursThereafter, 1 μ L of DMSO or test drug at different concentrations was added to each well and incubation was continued for 72 hours. Adding 20 mu L of MTT reagent into each hole, continuously incubating for 4h in a carbon dioxide constant-temperature incubator, finally sucking out the culture medium, adding 100 mu L of isopropanol into each hole, shaking and uniformly mixing for 10min on a 96-hole plate oscillator, and measuring the absorbance value of the mixture by using an Enspire 2300 multifunctional microplate reader at the wavelength of 570 nM. Three parallel groups were set up and statistically analyzed, and the data were processed in percent based on the values of the DMSO group. FIG. 7 shows the proliferation inhibition IC of p53 wild-type tumor cells by compounds of the present application50
The detection principle of the experiment is that in living cell mitochondriaSuccinate dehydrogenaseExogenous MTT can be reduced to water-insoluble blue-purple crystalline Formazan (Formazan) and deposited in cells, and dead cells do not have the function. Isopropyl alcohol energyDissolutionFormazan in cells, and its light absorption value measured at 570 wavelengths with a multifunctional plate reader, indirectly reflects the number of living cells. Experimental results show that the compounds rac-SIP, 2-PEG-rac-SIP (the compound in the example 10),3-PEG-rac-SIP (the compound in the example 11) and 5-PEG-rac-SIP (the compound in the example 12) have strong proliferation inhibition activity on various p53 wild-type tumor cell lines (detection cells comprise prostate cancer, osteosarcoma, lung cancer, kidney cancer, breast cancer, myeloma, melanoma, ovarian cancer and leukemia), and in vitro activity detection results show that the compounds can be used as potential tumor treatment drugs.
Example 18 the compounds of the present application show less inhibition of proliferation of p53 mutant tumor cells.
According to the above, DU145 cells are a wild-type tumor cell line of p53, while another prostate cancer cell line PC-3 is a tumor cell line with a deletion of the p53 gene. Using the same procedure as in example 17, this experiment examined the effect of different concentrations of compounds on the proliferation of DU145 cells and PC-3 cells using the MTT method. Three parallel groups were set up and statistically analyzed, and the data were processed in percent based on the values of the DMSO group. Experimental data on
Figure BDA0003109045190000221
Expressed and plotted with GraphPad Prism 5.0 (see figure 8). FIG. 8 shows the proliferative effects of compounds of the present application on the p53 mutant and p53 deletion tumor cells, DU145 and PC-3 cells.
The experimental results show that IC of rac-SIP and 3-PEG-rac-SIP and the control drug RG-7388 inhibit the proliferation of DU145 and PC-3 cells50All above 10. mu.M, and proliferation inhibition IC on p53 wild-type tumor cell line50In contrast, the compounds of the present application have a weak activity of inhibiting the proliferation of tumor cells in which p53 is mutated or deleted. Further illustrated are compounds of the present application that exert tumor suppressive activity by activating p 53. In combination with the experimental results in example 17, we can conclude that the compounds of the present application are highly selective tumor suppressors of wild-type p53 and are more suitable for the treatment of tumor patients without mutations in the p53 gene.
Example 19 Compounds of the present application inhibit the growth of xenograft tumors in nude mice with lung cancer in vivo.
In example 17, compound 3-PEG-rac-SIP of the present application showed in vitro proliferation inhibitory activity against a number of p53 wild-type tumor cell lines, and to evaluate the in vivo inhibitory activity of the compound of the present application against p53 wild-type tumors, we selected the NCI-H460 human lung cancer cell line expressing the wild-type p53 protein and constructed a nude mouse xenograft model of lung cancer to evaluate the in vivo tumor inhibitory activity of the compound of the present application. The specific operation is as follows: collecting the cultured human lung cancer cell NCI-H460 cell suspension at a concentration of 1 x 107Each dose of the vaccine was inoculated in a dose of 0.1ml per mouse, subcutaneously into the right axilla of a nude mouse. The diameter of the transplanted tumor of the nude mice is measured by a vernier caliper, and the animals are randomly grouped when the tumor grows to 100-150mm3, and 8 animals are in each group. Simultaneously, administration of the 3-PEG-rac-SIP 30mg/kg group is started, 200 microliters of medicine solution is injected into the abdominal cavity of the 3-PEG-rac-SIP 30mg/kg group every day, 200 microliters of solvent is injected into the abdominal cavity of the blank control group every day, the method for measuring the tumor diameter is used every 1 day, the anti-tumor effect of the 3-PEG-rac-SIP is dynamically observed, and the body weight of the mouse is measured every 1 day. The drug is continuously administered for 1 month, and after the experiment is finished, the nude mice are sacrificed immediately, and tumor masses are stripped and weighed by operation.
The experimental results in fig. 9 show that 30mg/kg 3-PEG-rac-SIP administered daily can significantly inhibit the growth and proliferation of NCI-H460 tumors compared to the blank control group, with a tumor inhibition rate of 73.3% after 30 days of continuous administration. In addition, the daily administration of 30mg/kg of 3-PEG-rac-SIP has little effect on the body weight of mice, and the compound 3-PEG-rac-SIP has low in-vivo toxicity and has the potential of being applied to the clinical treatment of tumor patients.

Claims (12)

1. A spirocyclic indolone-pyrrolidine carbonate compound of the following general formula I, a stereoisomer thereof, or a pharmaceutically acceptable salt thereof:
Figure FDA0003109045180000011
in formula I:
Y1、Y2、Y3and Y4Each independently selected from H and halogen;
R1selected from H, C1-C5 alkyl and C1-C5 alkoxy;
R2selected from H and C1-C5 alkyl;
R3selected from C1-C10 alkyl and C2-C10 alkenyl;
R4selected from C1-C5 alkyl, aryl, halogen substituted alkyl;
n is an integer of 1 to 80.
2. The spirocyclic indolone-pyrrolidine carbonate compound according to claim 1, a stereoisomer thereof, or a pharmaceutically acceptable salt thereof, wherein R is3Selected from C1-C6 alkyl and C2-C6 alkenyl.
3. The spirocyclic indolone-pyrrolidine carbonate compound according to claim 1 or 2, a stereoisomer thereof, or a pharmaceutically acceptable salt thereof, wherein said spirocyclic indolone-pyrrolidine carbonate compound has a structure represented by the following general formula II:
Figure FDA0003109045180000021
wherein, Y1、Y2、Y3、Y4、R1、R2、R4And n is as defined in claim 1.
4. Spirocyclic indolone-pyrrolidine carbonate compound according to any one of claims 1 to 2, its stereoisomers or pharmaceutically acceptable salts thereof, wherein Y is1、Y2、Y3And Y4Each independently selected from H, F and Cl.
5. Spirocyclic indolone-pyrrolidine carbonate compound, its stereoisomers or pharmaceutically acceptable salts thereof according to any of claims 1 to 4, wherein R1Selected from H, C1-C3 alkyl and C1-C3 alkoxy; r2Selected from hydrogen; and/or R4Selected from C1-C5 alkyl, phenyl, halogen substituted C1-C6 alkyl.
6. The spirocyclic indolone-pyrrolidine carbonate compound, a stereoisomer thereof, or a pharmaceutically acceptable salt thereof according to any one of claims 1 to 5, wherein n is an integer of 1 to 60, an integer of 1 to 50, an integer of 1 to 40, an integer of 1 to 30, an integer of 1 to 20, an integer of 1 to 10, an integer of 1 to 5, or an integer of 1 to 4.
7. The spirocyclic indolone-pyrrolidine carbonate compound according to any one of claims 1 to 6, a stereoisomer thereof or a pharmaceutically acceptable salt thereof, wherein said spirocyclic indolone-pyrrolidine carbonate compound is selected from the group consisting of:
racemic 2- (2-methoxyethoxy) ethyl (2'S, 3R, 4' S,5'R) -5' - ((4-carbamoyl-2-methoxyphenyl) carbamoyl) -6-chloro-4 '- (3-chloro-2-fluorophenyl) -2' -neopentyl-2-hydropirocyclo [ indole-3, 3 '-pyrrolidine ] -1' -carbonate
Figure FDA0003109045180000031
Racemic 2- (2- (2-methoxyethoxy) ethoxy) ethyl (2'S, 3R, 4' S,5'R) -5' - ((4-carbamoyl-2-methoxyphenyl) carbamoyl) -6-chloro-4 '- (3-chloro-2-fluorophenyl) -2' -neopentyl-2-hydropirocyclo [ indole-3, 3 '-pyrrolidine ] -1' -carbonate
Figure FDA0003109045180000032
2,5,8,11, 14-Pentaoxohexadecan-16-yl (2'S, 3R, 4' S,5'R) -5' - ((4-carbamoyl-2-methoxyphenyl) carbamoyl) -6-chloro-4 '- (3-chloro-2-fluorophenyl) -2' -neopentyl-2-hydropirocyclo [ indole-3, 3 '-pyrrolidine ] -1' -carbonate
Figure FDA0003109045180000033
Chiral-2- (2-methoxyethoxy) ethyl (2'S, 3R, 4' S,5'R) -5' - ((4-carbamoyl-2-methoxyphenyl) carbamoyl) -6-chloro-4 '- (3-chloro-2-fluorophenyl) -2' -neopentyl-2-hydropirocyclo [ indole-3, 3 '-pyrrolidine ] -1' -carbonate
Figure FDA0003109045180000041
Chiral-2- (2- (2-methoxyethoxy) ethoxy) ethyl (2'S, 3R, 4' S,5'R) -5' - ((4-carbamoyl-2-methoxyphenyl) carbamoyl) -6-chloro-4 '- (3-chloro-2-fluorophenyl) -2' -neopentyl-2-hydropirocyclo [ indole-3, 3 '-pyrrolidine ] -1' -carbonate
Figure FDA0003109045180000042
8. An antitumor pharmaceutical composition comprising a therapeutically effective amount of the spirocyclic indolone-pyrrolidine carbonate compound of any one of claims 1 to 7, a stereoisomer thereof or a pharmaceutically acceptable salt thereof and a pharmaceutically acceptable adjuvant.
9. The antitumor pharmaceutical composition according to claim 8, wherein the composition is an injection, a tablet or a capsule.
10. Use of a spirocyclic indolone-pyrrolidine carbonate compound according to any one of claims 1 to 7, a stereoisomer thereof or a pharmaceutically acceptable salt thereof for the manufacture of a medicament for the treatment of cancer.
11. The use of claim 10, wherein the cancer is selected from the group consisting of breast cancer, renal cancer, lung cancer, ovarian cancer, prostate cancer, leukemia, melanoma, myeloma, and osteosarcoma.
12. A method for preparing a spirocyclic indolone-pyrrolidine carbonate compound of claims 1-7, comprising: carrying out nucleophilic substitution reaction on a spiro indolone compound shown in the following general formula III and a compound shown in the following general formula IV in the presence of alkali to obtain the spiro indolone polyethylene glycol carbonate compound.
Figure FDA0003109045180000051
Wherein, Y1、Y2、Y3、Y4、R1、R2、R3、R4And n is as defined in claims 1 to 7.
CN202110644135.1A2021-06-092021-06-09Spirocyclic indolone-pyrrolidine carbonate compound and composition, preparation method and application thereofActiveCN113387957B (en)

Priority Applications (1)

Application NumberPriority DateFiling DateTitle
CN202110644135.1ACN113387957B (en)2021-06-092021-06-09Spirocyclic indolone-pyrrolidine carbonate compound and composition, preparation method and application thereof

Applications Claiming Priority (1)

Application NumberPriority DateFiling DateTitle
CN202110644135.1ACN113387957B (en)2021-06-092021-06-09Spirocyclic indolone-pyrrolidine carbonate compound and composition, preparation method and application thereof

Publications (2)

Publication NumberPublication Date
CN113387957Atrue CN113387957A (en)2021-09-14
CN113387957B CN113387957B (en)2022-08-09

Family

ID=77620134

Family Applications (1)

Application NumberTitlePriority DateFiling Date
CN202110644135.1AActiveCN113387957B (en)2021-06-092021-06-09Spirocyclic indolone-pyrrolidine carbonate compound and composition, preparation method and application thereof

Country Status (1)

CountryLink
CN (1)CN113387957B (en)

Cited By (2)

* Cited by examiner, † Cited by third party
Publication numberPriority datePublication dateAssigneeTitle
CN114057755A (en)*2021-10-172022-02-18贵州省中国科学院天然产物化学重点实验室(贵州医科大学天然产物化学重点实验室) A kind of preparation method and use of spirocyclic indolinone compounds based on iridoid aglycone
WO2024078370A1 (en)*2022-10-132024-04-18中国科学院上海药物研究所Small molecular compound having substituted phenylspiro[indoline-3,3'-pyrrolidine] structure

Citations (2)

* Cited by examiner, † Cited by third party
Publication numberPriority datePublication dateAssigneeTitle
CN102741257A (en)*2009-12-022012-10-17霍夫曼-拉罗奇有限公司 spiroindolinone pyrrolidine
CN107698598A (en)*2016-08-082018-02-16肖飞Spiro indole ketone polyethylene glycol carbonates class compound and its composition, Preparation method and use

Patent Citations (2)

* Cited by examiner, † Cited by third party
Publication numberPriority datePublication dateAssigneeTitle
CN102741257A (en)*2009-12-022012-10-17霍夫曼-拉罗奇有限公司 spiroindolinone pyrrolidine
CN107698598A (en)*2016-08-082018-02-16肖飞Spiro indole ketone polyethylene glycol carbonates class compound and its composition, Preparation method and use

Cited By (3)

* Cited by examiner, † Cited by third party
Publication numberPriority datePublication dateAssigneeTitle
CN114057755A (en)*2021-10-172022-02-18贵州省中国科学院天然产物化学重点实验室(贵州医科大学天然产物化学重点实验室) A kind of preparation method and use of spirocyclic indolinone compounds based on iridoid aglycone
CN114057755B (en)*2021-10-172022-08-30贵州省中国科学院天然产物化学重点实验室(贵州医科大学天然产物化学重点实验室)Preparation method and application of iridoid aglycone-based spiro indolone compound
WO2024078370A1 (en)*2022-10-132024-04-18中国科学院上海药物研究所Small molecular compound having substituted phenylspiro[indoline-3,3'-pyrrolidine] structure

Also Published As

Publication numberPublication date
CN113387957B (en)2022-08-09

Similar Documents

PublicationPublication DateTitle
CN106536503B (en)A kind of tyrosine kinase inhibitor and application thereof
JP7128345B2 (en) Diaryl macrocyclic compound, pharmaceutical composition and use thereof
EP3070089B1 (en)Aminomethyl tryptanthrin derivative, preparation method and application thereof
CN105153122B (en)[(indol-3-yl) pyrimidine -2-base] aminophenyl propyl- 2- alkenylamide derivatives and salt, preparation method, application
WO2017079864A1 (en)Treatment of cancers related to chronically active ras
US20210292340A1 (en)Cell necrosis inhibitor, preparation method therefor and use thereof
EA018620B1 (en)THIENOTRIAZOLODIAZEPINE DERIVATIVES ACTIVE ON Apo A1
JP2016535788A5 (en)
WO2022052861A1 (en)5-substituted indole 3-amide derivative, preparation method and use thereof
CN113387957B (en)Spirocyclic indolone-pyrrolidine carbonate compound and composition, preparation method and application thereof
CN116375707B (en) Menin inhibitors and uses thereof
CN111196801A (en) Apophthene alkaloid derivatives and preparation method and use thereof
CN111909101A (en)EGFR kinase inhibitor and application thereof in preparation of anti-cancer drugs
CN112174940A (en)3- (6, 7-bis (2-methoxyethoxy) -quinazoline-4-amido) phenyl-1H-triazole derivative
CN109134463B (en) β-carboline type 5 phosphodiesterase inhibitor and preparation method and use thereof
JP7013446B2 (en) GABA (A) receptor modulators and methods for suppressing airway hypersensitivity and inflammation in asthma
WO2021052501A1 (en)Heterocyclic amide compound, pharmaceutically acceptable salt thereof, and preparation method therefor and use thereof
US20220402918A1 (en)Group of tetrahydroindoloquinazoline compounds and use thereof
CN109809971B (en)Poly-benzyl derivative, pharmaceutical composition thereof, preparation method and application thereof
JP5673676B2 (en) Imidazo [1,2-a] pyridine derivatives
CN108341774B (en)Substituted quinolinone inhibitors
US20200361919A1 (en)Deuterated indoleamine 2,3-dioxygenase inhibitor and application thereof
CN110577501A (en)indoleamine 2, 3-dioxygenase modulators, method for the production and use thereof
CN113912604B (en)Compound with IDO inhibitory activity, preparation method, composition and application thereof
RU2793918C2 (en)Cell necrosis inhibitor, method for its production and application

Legal Events

DateCodeTitleDescription
PB01Publication
PB01Publication
SE01Entry into force of request for substantive examination
SE01Entry into force of request for substantive examination
GR01Patent grant
GR01Patent grant

[8]ページ先頭

©2009-2025 Movatter.jp