



技术领域technical field
本发明属于雷达技术领域,更进一步涉及目标跟踪技术领域中的一种基于交互式多模型概率数据关联IMMPDA(Interactive multiple model probability dataassociation)算法的高机动目标跟踪方法。本发明可用于雷达对杂波环境中具有高机动性的多个目标同时进行精确跟踪。The invention belongs to the technical field of radar, and further relates to a high maneuvering target tracking method based on the Interactive Multiple Model Probability Data Association (IMMPDA) algorithm in the technical field of target tracking. The invention can be used for the radar to simultaneously accurately track multiple targets with high maneuverability in the clutter environment.
背景技术Background technique
对高机动目标进行跟踪的方法主要考虑运动模型的建立和关联滤波两个核心步骤。目前机动目标的运动模型一般有CV模型、CA模型、CT模型、Singer模型和“当前”统计模型;常用的非线性系统滤波方法主要有扩展卡尔曼滤波、无迹卡尔曼滤波等;交互式多模型IMM方法由于其较快的计算速度和较高的滤波精度而成为当前高机动目标跟踪领域应用较为广泛的方法。在没有杂波干扰的理想环境中,对高机动目标进行跟踪已经取得了一些研究成果,并且这些方法大多是对单个高机动目标进行跟踪。但在杂波环境下,再利用理想环境中的高机动目标跟踪方法同时对多个高机动目标进行跟踪则会出现跟踪效果变差甚至跟踪丢失的问题。The method of tracking high maneuvering targets mainly considers two core steps: the establishment of the motion model and the correlation filtering. At present, the motion models of maneuvering targets generally include CV model, CA model, CT model, Singer model and "current" statistical model; the commonly used nonlinear system filtering methods mainly include extended Kalman filter, unscented Kalman filter, etc.; The model IMM method has become the most widely used method in the field of high maneuvering target tracking due to its fast calculation speed and high filtering accuracy. In the ideal environment without clutter interference, some research results have been achieved on the tracking of high maneuvering targets, and most of these methods are tracking a single high maneuvering target. However, in the clutter environment, using the high maneuvering target tracking method in the ideal environment to track multiple high maneuvering targets at the same time will cause the problem of poor tracking effect or even loss of tracking.
电子科技大学在其申请的专利文献“一种基于LS和NEU-ECEF时空配准的高机动目标跟踪方法及系统”(专利申请号:201010576120.9,申请公布号:CN110187337A)中公开了一种将IMM算法和MSPDAF算法结合来跟踪高机动目标的方法。该方法的步骤是:首先,基于LS和NEU-ECEF对量测值进行时空配准。其次,根据IMM算法计算模型中各运动模型的概率以匹配高机动目标运动随机变化的运动状态。最后,根据MSPDAF算法对来自不同种类传感器的量测值进行加权融合,然后进行关联滤波估计高机动目标的状态值,从而实现对高机动目标的跟踪。该方法存在的不足之处是,该方法没有考虑杂波干扰时如何对高机动目标进行跟踪,如果环境中存在杂波,杂波会影响本方法中提到的量测值时空配准,并且杂波的干扰可能会导致量测值与高机动目标关联错误,从而使得高机动目标的跟踪精度下降甚至会出现跟踪丢失的问题。The University of Electronic Science and Technology of China disclosed in its patent document "A High Maneuvering Target Tracking Method and System Based on LS and NEU-ECEF Space-Time Registration" (Patent Application No.: 201010576120.9, Application Publication No.: CN110187337A) Algorithm and MSPDAF algorithm combined to track high maneuvering target method. The steps of the method are: First, spatiotemporal registration of the measurements based on LS and NEU-ECEF. Secondly, the probability of each motion model in the model is calculated according to the IMM algorithm to match the motion state of the random change of the motion of the high maneuvering target. Finally, according to the MSPDAF algorithm, the measurement values from different types of sensors are weighted and fused, and then the correlation filtering is performed to estimate the state value of the high maneuvering target, so as to realize the tracking of the high maneuvering target. The disadvantage of this method is that this method does not consider how to track high maneuvering targets when clutter interferes. If there is clutter in the environment, the clutter will affect the spatiotemporal registration of the measured values mentioned in this method, and The interference of clutter may cause the measurement value to correlate with the high maneuvering target incorrectly, which will reduce the tracking accuracy of the high maneuvering target and even cause the problem of tracking loss.
阜阳师范大学在其申请的专利文献“一种基于Jerk模型的自校正Kalman高机动目标跟踪滤波器”(专利申请号:201911263289.5,申请公布号:CN112948745A)中公开了一种基于Jerk模型及Kalman滤波的高机动目标跟踪的方法。该方法的步骤是:首先,用系统辨识的方法估计出噪声统计信息。其次,用噪声统计信息的估值代入Kalman滤波器中进行滤波运算。最后,将Jerk模型产生的矩阵信息代入滤波器中,通过合理设定Jerk模型参数以获得和实际环境契合的自校正模型和高机动目标的状态估计值,从而实现对高机动目标的跟踪。该方法存在的不足之处有两点:其一,该方法的前提条件是在没有杂波干扰的理想环境中,如果环境中存在杂波,仍用本方法中的自校正Kalman滤波器对量测值直接进行滤波,这样会因为关联到杂波量测而导致跟踪精度下降;其二,该方法中使用的是自校正Kalman滤波,没有考虑数据关联,当有多个高机动目标出现时无法确定多个有效量测分别与哪个高机动目标进行关联,所以该方法不再适用于对多个高机动目标同时进行跟踪的场景。Fuyang Normal University disclosed in its patent document "A Self-correcting Kalman High Mobility Target Tracking Filter Based on Jerk Model" (Patent Application No.: 201911263289.5, Application Publication No. CN112948745A), a method based on the Jerk model and Kalman filter is disclosed. method for high maneuvering target tracking. The steps of the method are: First, the noise statistics are estimated by the method of system identification. Second, the estimation of the noise statistics is substituted into the Kalman filter to perform the filtering operation. Finally, the matrix information generated by the Jerk model is substituted into the filter, and the parameters of the Jerk model are reasonably set to obtain the self-correction model that fits the actual environment and the state estimation value of the high maneuvering target, so as to realize the tracking of the high maneuvering target. There are two shortcomings in this method: First, the precondition of this method is that in an ideal environment without clutter interference, if there is clutter in the environment, the self-correcting Kalman filter in this method is still used to measure the The measured value is directly filtered, which will reduce the tracking accuracy due to the correlation with the clutter measurement. Second, this method uses the self-correcting Kalman filter, which does not consider the data correlation, and cannot be used when there are multiple high maneuvering targets. It is determined which high maneuvering target the multiple effective measurements are associated with, so this method is no longer suitable for the scenario of tracking multiple high maneuvering targets at the same time.
发明内容SUMMARY OF THE INVENTION
本发明的目的在于针对上述现有技术的不足,提出一种基于IMMPDA算法的高机动目标跟踪方法,旨在解决现有高机动目标跟踪方法对杂波环境中的高机动目标进行跟踪时跟踪精度低,并且不能同时对多个高机动目标进行跟踪的问题。The purpose of the present invention is to propose a high maneuvering target tracking method based on the IMMPDA algorithm in view of the above-mentioned deficiencies of the prior art, aiming to solve the tracking accuracy of the existing high maneuvering target tracking method when tracking the high maneuvering target in the clutter environment. low, and cannot track multiple high maneuvering targets at the same time.
实现本发明目的的思路是:利用雷达的参数信息和环境先验信息,计算所有量测值来源于杂波的概率和每个量测值来源于高机动目标回波的概率,通过计算概率减小环境中的杂波对量测值与高机动目标进行关联时的干扰,解决了杂波环境中的高机动目标进行跟踪的问题。由于跟踪的是多个高机动目标,在同一时刻雷达会探测得到多个量测值,这样无法确定多个量测值分别来源于哪个高机动目标,为了降低多个量测值中非对应高机动目标量测值的影响,利用当前时刻每个量测值来源于高机动目标回波的概率加权计算每个高机动目标的组合新息,获得跟踪波门内所有量测值的加权和,将加权和作为与高机动目标进行关联的量测值,然后通过滤波获得多个高机动目标的估计状态值,从而实现同时对杂波环境中的多个高机动目标进行跟踪。The idea of realizing the object of the present invention is: using the parameter information of the radar and the priori information of the environment to calculate the probability that all the measured values are derived from clutter and the probability that each measurement value is derived from the echo of a high maneuvering target, and subtract the probability by calculating the probability. The interference of the clutter in the small environment when the measured value is correlated with the high maneuvering target solves the problem of tracking the high maneuvering target in the clutter environment. Since multiple high maneuvering targets are tracked, the radar will detect multiple measurement values at the same time, so it is impossible to determine which high maneuvering target the multiple measurement values originate from. The influence of the measured value of the maneuvering target is calculated by using the probability weighting of each measured value from the echo of the high maneuvering target at the current moment to calculate the combined innovation of each high maneuvering target, and the weighted sum of all the measured values in the tracking gate is obtained, The weighted sum is used as the measurement value associated with the high maneuvering target, and then the estimated state values of multiple high maneuvering targets are obtained through filtering, so as to achieve simultaneous tracking of multiple high maneuvering targets in the clutter environment.
本发明的具体步骤如下:The concrete steps of the present invention are as follows:
(1)获取每个高机动目标的状态值:(1) Obtain the state value of each high maneuvering target:
每隔50毫秒从机载雷达接收的回波信号中检测一次每个高机动目标的量测值;The measurement value of each high maneuvering target is detected every 50 milliseconds from the echo signal received by the airborne radar;
(2)对每个高机动目标的状态估计值和协方差矩阵进行交互混合:(2) Interactively mix the state estimates and covariance matrices of each high maneuvering target:
(2a)利用概率公式,计算模型集中不同种类运动模型之间的转换概率;(2a) Using the probability formula, calculate the conversion probability between different types of motion models in the model set;
(2b)利用状态混合公式,计算模型集中每类运动模型的每个高机动目标混合状态输入值;(2b) Using the state mixture formula, calculate the input value of each high maneuvering target mixture state of each type of motion model in the model set;
(2c)利用协方差矩阵混合公式,计算模型集中每类运动模型的每个高机动目标混合状态对应的协方差矩阵;(2c) Using the covariance matrix mixing formula, calculate the covariance matrix corresponding to each high maneuvering target mixed state of each type of motion model in the model set;
(3)预测每个高机动目标的状态值和协方差矩阵:(3) Predict the state value and covariance matrix of each high maneuvering target:
(3a)利用状态预测公式,计算基于模型集中每种运动模型的每个高机动目标状态预测值;(3a) Using the state prediction formula, calculate the state prediction value of each high maneuvering target based on each motion model in the model set;
(3b)利用协方差矩阵预测公式,计算基于模型集中每种运动模型的每个高机动目标预测状态值对应的协方差矩阵;(3b) Using the covariance matrix prediction formula, calculate the covariance matrix corresponding to the predicted state value of each high maneuvering target based on each motion model in the model set;
(4)更新每种运动模型中每个高机动目标的状态估计值和协方差矩阵:(4) Update the state estimate and covariance matrix of each high maneuvering target in each motion model:
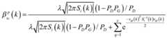
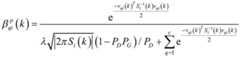
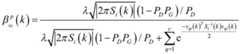
(4a)按照下式,计算每个高机动目标当前时刻所有量测值来源于杂波的概率:(4a) Calculate the probability that all measured values of each high maneuvering target at the current moment are derived from clutter according to the following formula:
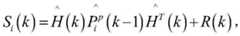
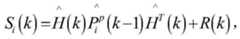
其中,表示k时刻第p个高机动目标模型集中第i种运动模型的所有量测值来源于杂波的概率,λ表示环境中的杂波密度,π表示圆周率,|·|表示取模操作,Si(k)表示k时刻模型集中第i种运动模型的新息协方差矩阵,in, Represents the probability that all the measured values of the i-th motion model in the p-th high maneuvering target model set at time k are derived from clutter, λ represents the clutter density in the environment, π represents the pi, |·| represents the modulo operation, Si (k) represents the innovation covariance matrix of the i-th motion model in the model set at time k,
表示k时刻量测系统方程的雅可比矩阵,R(k)表示k时刻根据雷达的测量精度得到的测量方差矩阵,PD表示雷达检测到目标的概率,PG表示每个量测值落入跟踪波门的概率,c表示雷达获取的量测值的总数,e(·)表示以自然常数e为底的指数操作,vqi(k)表示k时刻基于模型集中第i种运动模型的第q个量测值与量测预测值之间的差值,-1表示求逆操作; Represents the Jacobian matrix of the measurement system equation at time k, R(k) represents the measurement variance matrix obtained according to the measurement accuracy of the radar at time k, PD represents the probability that the radar detects the target, and PG represents that each measurement value falls within The probability of tracking the gate, c represents the total number of measurement values obtained by the radar, e( ) represents the exponential operation with the natural constant e as the base, vqi (k) represents the ith motion model in the model set at time k based on the ith motion model in the model set. The difference between the q measured values and the measured predicted value, -1 means the inversion operation;
(4b)按照下式,计算当前时刻每个量测值来源于高机动目标回波的概率:(4b) According to the following formula, calculate the probability that each measurement value at the current moment originates from the echo of the high maneuvering target:
其中,表示k时刻基于模型集中第i种运动模型的第q个量测值来源于第p个高机动目标回波的概率;in, Represents the probability that the qth measurement value based on the ith motion model in the model set at time k is derived from the echo of the pth high maneuvering target;
(4c)按照下式,利用当前时刻每个量测值来源于高机动目标回波的概率加权计算每个高机动目标的组合新息:(4c) Calculate the combined innovation of each high-maneuvering target according to the following formula:
其中,Vip(k)表示k时刻模型集中第i种运动模型的第p个高机动目标的组合新息;Among them, Vip (k) represents the combined innovation of the p-th high maneuvering target of the i-th motion model in the model set at time k;
(4d)利用状态估计值公式,计算模型集中每种运动模型的每个高机动目标状态估计值;(4d) Using the state estimate value formula, calculate the state estimate value of each high maneuvering target of each motion model in the model set;
(4e)利用协方差矩阵公式,计算模型集中每种运动模型的每个高机动目标状态估计值对应的协方差矩阵;(4e) Using the covariance matrix formula, calculate the covariance matrix corresponding to each high maneuvering target state estimate value of each motion model in the model set;
(5)更新每个高机动目标的状态估计值和协方差矩阵:(5) Update the state estimate and covariance matrix of each high maneuvering target:
(5a)按照模型概率公式,更新模型集中每种运动模型的概率;(5a) According to the model probability formula, update the probability of each motion model in the model set;
(5b)按照下式,计算当前时刻每个高机动目标的状态估计值:(5b) Calculate the estimated state value of each high maneuvering target at the current moment according to the following formula:
其中,表示k时刻第p个高机动目标的状态估计值;in, Represents the estimated state value of the p-th high maneuvering target at time k;
(5c)按照下式,计算当前时刻每个高机动目标状态估计值对应的协方差矩阵:(5c) According to the following formula, calculate the covariance matrix corresponding to the estimated value of each high maneuvering target state at the current moment:
其中,Pp(k)表示k时刻第p个高机动目标的状态估计值对应的协方差矩阵。Among them, Pp (k) represents the covariance matrix corresponding to the state estimation value of the p-th high maneuvering target at time k.
本发明与现有技术相比具有以下优点:Compared with the prior art, the present invention has the following advantages:
第一,本发明通过计算雷达探测获得的量测值来源于杂波的概率,按照概率对杂波进行加权来降低杂波在所有量测值中的影响,从而可以削弱量测值与高机动目标进行数据关联时杂波的干扰,克服了现有技术在有杂波干扰的情况下对高机动目标进行跟踪时跟踪精度下降的问题,使得本发明可以在杂波环境中对高机动目标进行稳定跟踪。First, the present invention reduces the influence of clutter in all measured values by calculating the probability that the measured value obtained by radar detection is derived from clutter, and weights the clutter according to the probability, thereby weakening the measured value and high maneuverability. The interference of clutter when the target performs data correlation, overcomes the problem that the tracking accuracy decreases when the high maneuvering target is tracked under the condition of clutter interference in the prior art, so that the present invention can perform tracking on the high maneuvering target in the clutter environment. stable tracking.
第二,本发明通过计算每个量测值来源于高机动目标的概率,按照概率加权计算跟踪波门内所有量测值,将加权和作为与高机动目标进行关联的量测值,这样可以降低多个量测值中非对应高机动目标量测值对正确关联的影响,克服了现有技术中对多个高机动目标进行跟踪时无法确定多个量测值分别与哪个高机动目标进行关联,从而会导致跟踪丢失的问题,使得本发明可以同时对多个高机动目标进行跟踪。Second, the present invention calculates the probability that each measurement value originates from the high maneuvering target, calculates all the measured values in the tracking gate according to the probability weighting, and uses the weighted sum as the measured value associated with the high maneuvering target. The influence of the non-corresponding high maneuvering target measured values among the multiple measured values on the correct association is reduced, and the inability to determine which high maneuvering target the multiple measured values are associated with when tracking multiple high maneuvering targets in the prior art is overcome. Therefore, the problem of tracking loss will be caused, so that the present invention can track multiple high maneuvering targets at the same time.
附图说明Description of drawings
图1是本发明的流程图;Fig. 1 is the flow chart of the present invention;
图2是本发明仿真实验结果图。Fig. 2 is the simulation experiment result diagram of the present invention.
具体实施方式Detailed ways
下面结合附图对本发明作进一步的描述。The present invention will be further described below in conjunction with the accompanying drawings.
参照图1,对本发明的具体步骤作进一步的描述。1, the specific steps of the present invention will be further described.
步骤1,获取每个高机动目标的状态值。
每隔50毫秒从机载雷达接收的回波信号中检测一次每个高机动目标的量测值。Measurements of each high maneuvering target are detected every 50 milliseconds from the echo signal received by the airborne radar.
量测值包括对方高机动目标与机载雷达之间的距离、对方高机动目标相对于机载雷达的方位角和俯仰角。The measured values include the distance between the opponent's high maneuvering target and the airborne radar, and the azimuth and pitch angles of the opponent's high maneuvering target relative to the airborne radar.
步骤2,对每个高机动目标的状态估计值和协方差矩阵进行交互混合。Step 2, interactively mix the state estimates and covariance matrices of each high maneuvering target.
利用下述的概率公式,计算模型集中不同种类运动模型之间的转换概率。Using the following probability formula, calculate the transition probability between different kinds of motion models in the model set.
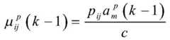
其中,表示第p个高机动目标在k-1时刻模型集中第j种运动模型转换到第i种运动模型的概率,所述模型集是由至少三种不同类型的运动模型组成,本发明的实施例中模型集由常速运动模型(CV)、一阶时间相关模型(Singer)和协同转弯模型(CT)三种运动模型组成,pij表示模型集中的第i种运动模型转移到第j种运动模型的概率,本发明的实施例中pij的取值区间为[0.9,0.98]内随机选取的一个小数。由于高机动目标的机动性是随机变化的,所以选择模型集中的各种模型是有一定概率的,表示k-1时刻根据第p个高机动目标的机动性从模型集中选择的第m种运动模型的概率,c表示归一化因子,in, Represents the probability that the p-th high maneuvering target is converted from the j-th motion model to the i-th motion model in the model set at time k-1. The model set is composed of at least three different types of motion models. Embodiments of the present invention Themedium model set consists of three motion models: constant velocity motion model (CV), first-order time correlation model (Singer) and cooperative turning model (CT). The probability of the model, in the embodiment of the present invention, the value interval of pij is a decimal randomly selected within [0.9, 0.98]. Since the mobility of high maneuvering targets changes randomly, there is a certain probability to select various models in the model set. represents the probability of the m-th motion model selected from the model set according to the maneuverability of the p-th high maneuvering target at time k-1, c represents the normalization factor,
利用下述的状态混合公式,计算模型集中每类运动模型的每个高机动目标混合状态输入值。Using the following state mixture formula, calculate the input value of each high maneuvering target mixture state for each type of motion model in the model set.
其中,表示k-1时刻模型集中第j种运动模型的第p个高机动目标混合状态输入值,n表示模型集中运动模型类型的总数,∑表示求和操作,表示k-1时刻模型集中第i种运动模型的第p个高机动目标状态估计值,μij(k-1)表示k-1时刻模型集中第j种运动模型转换到第i种运动模型的概率。in, represents the input value of the p-th high maneuvering target mixed state of the j-th motion model in the model set at time k-1, n represents the total number of motion model types in the model set, ∑ represents the summation operation, Represents the p-th high maneuvering target state estimation value of the i-th motion model in the model set at time k-1, μij (k-1) represents the conversion of the j-th motion model in the model set at k-1 time to the i-th motion model. probability.
利用下述的协方差矩阵混合公式,计算模型集中每类运动模型的每个高机动目标混合状态对应的协方差矩阵。Using the following covariance matrix mixing formula, calculate the covariance matrix corresponding to each high maneuvering target mixed state of each type of motion model in the model set.
其中,表示k-1时刻模型集中第j种运动模型的第p个高机动目标混合状态对应的协方差矩阵,表示k-1时刻模型集中第i种运动模型的第p个高机动目标状态估计值对应的协方差矩阵,T表示转置操作。in, Represents the covariance matrix corresponding to the p-th high maneuvering target mixed state of the j-th motion model in the model set at time k-1, Represents the covariance matrix corresponding to the estimated value of the p-th high maneuvering target state of the i-th motion model in the model set at time k-1, and T represents the transpose operation.
步骤3,预测每个高机动目标的状态值和协方差矩阵。Step 3, predict the state value and covariance matrix of each high maneuvering target.
利用下述的状态预测公式,计算基于模型集中每种运动模型的每个高机动目标状态预测值。Using the state prediction formula described below, calculate each high maneuvering target state prediction value based on each motion model in the model set.
其中,表示k时刻模型集中第j种运动模型的第p个高机动目标状态预测值,Fj表示模型集中第j种运动模型的状态转移矩阵。in, represents the p-th high maneuvering target state prediction value of the j-th motion model in the model set at time k, and Fj represents the state transition matrix of the j-th motion model in the model set.
利用下述的协方差矩阵预测公式,计算基于模型集中每种运动模型的每个高机动目标预测状态值对应的协方差矩阵。Using the following covariance matrix prediction formula, calculate the covariance matrix corresponding to the predicted state value of each high maneuvering target based on each motion model in the model set.
其中,表示k时刻模型集中第j种运动模型的第p个高机动目标状态预测值对应的协方差矩阵,Qj表示基于模型集中第j种运动模型的过程噪声矩阵。in, Represents the covariance matrix corresponding to the predicted value of the p-th high maneuvering target state of the j-th motion model in the model set at time k, and Qj represents the process noise matrix based on the j-th motion model in the model set.
步骤4,更新每种运动模型中每个高机动目标的状态估计值和协方差矩阵。Step 4, update the state estimate and covariance matrix of each high maneuvering target in each motion model.
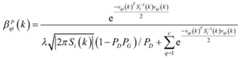
按照下式,计算每个高机动目标当前时刻所有量测值来源于杂波的概率。According to the following formula, calculate the probability that all the measured values of each high maneuvering target at the current moment come from clutter.
其中,表示k时刻第p个高机动目标模型集中第i种运动模型的所有量测值来源于杂波的概率,λ表示环境中的杂波密度,π表示圆周率,|·|表示取模操作,Si(k)表示k时刻模型集中第i种运动模型的新息协方差矩阵,in, Represents the probability that all the measured values of the i-th motion model in the p-th high maneuvering target model set at time k are derived from clutter, λ represents the clutter density in the environment, π represents the pi, |·| represents the modulo operation, Si (k) represents the innovation covariance matrix of the i-th motion model in the model set at time k,
表示k时刻量测系统方程的雅可比矩阵,R(k)表示k时刻根据雷达的测量精度得到的测量方差矩阵,PD表示雷达检测到目标的概率,PG表示每个量测值落入跟踪波门的概率,c表示雷达获取的量测值的总数,e(·)表示以自然常数e为底的指数操作,vqi(k)表示k时刻基于模型集中第i种运动模型的第q个量测值与量测预测值之间的差值,-1表示求逆操作。 Represents the Jacobian matrix of the measurement system equation at time k, R(k) represents the measurement variance matrix obtained according to the measurement accuracy of the radar at time k, PD represents the probability that the radar detects the target, and PG represents that each measurement value falls within The probability of tracking the gate, c represents the total number of measurement values obtained by the radar, e( ) represents the exponential operation with the natural constant e as the base, vqi (k) represents the ith motion model in the model set at time k based on the ith motion model in the model set. The difference between the q measured values and the measured predicted value, -1 indicates the inversion operation.
按照下式,计算当前时刻每个量测值来源于高机动目标回波的概率。According to the following formula, calculate the probability that each measurement value at the current moment originates from the echo of the high maneuvering target.
其中,表示k时刻基于模型集中第i种运动模型的第q个量测值来源于第p个高机动目标回波的概率。in, Indicates the probability that the qth measurement value based on the ith motion model in the model set at time k is derived from the pth high maneuvering target echo.
按照下式,利用每个量测值来源于高机动目标回波的概率加权计算每个高机动目标的组合新息。According to the following formula, the combined innovation of each high-maneuvering target is calculated using the probability weighting of each measurement value originating from the echo of the high-maneuvering target.
其中,Vip(k)表示k时刻模型集中第i种运动模型的第p个高机动目标的组合新息。Among them, Vip (k) represents the combined innovation of the p-th high maneuvering target of the i-th motion model in the model set at time k.
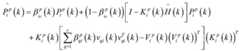
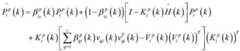
利用下述的状态估计值公式,计算模型集中每种运动模型的每个高机动目标状态估计值。Each high maneuvering target state estimate for each motion model in the model set is calculated using the state estimate formula described below.
其中,表示k时刻模型集中第i种运动模型的第p个高机动目标的状态估计值,表示k时刻模型集中第i种运动模型的第p个高机动目标状态预测值,表示k时刻模型集中第i种运动模型的第p个高机动目标的增益矩阵,表示在k时刻模型集中第i种运动模型的第p个高机动目标状态预测值对应的协方差矩阵。in, Represents the estimated state value of the p-th high maneuvering target of the i-th motion model in the model set at time k, represents the predicted value of the p-th high maneuvering target state of the i-th motion model in the model set at time k, Represents the gain matrix of the p-th high maneuvering target of the i-th motion model in the model set at time k, Represents the covariance matrix corresponding to the predicted value of the p-th high maneuvering target state of the i-th motion model in the model set at time k.
利用下述的协方差矩阵公式,计算模型集中每种运动模型的每个高机动目标状态估计值对应的协方差矩阵。Using the following covariance matrix formula, calculate the covariance matrix corresponding to each high maneuvering target state estimate for each motion model in the model set.
其中,表示k时刻模型集中第i种运动模型的第p个高机动目标状态估计值对应的协方差矩阵,I表示单位矩阵。in, Represents the covariance matrix corresponding to the estimated value of the p-th high maneuvering target state of the i-th motion model in the model set at time k, and I represents the identity matrix.
步骤5,更新每个高机动目标的状态估计值和协方差矩阵。Step 5, update the state estimate and covariance matrix of each high maneuvering target.
按照下述的模型概率公式,更新模型集中每种运动模型的概率。The probability of each motion model in the model set is updated according to the following model probability formula.
其中,表示第p个高机动目标在k时刻从模型集中选择第i种运动模型的概率。in, Indicates the probability that the p-th high maneuvering target selects the i-th motion model from the model set at time k.
按照下式,计算当前时刻每个高机动目标的状态估计值。According to the following formula, the state estimation value of each high maneuvering target at the current moment is calculated.
其中,表示k时刻第p个高机动目标的状态估计值。in, Represents the state estimate of the p-th high maneuvering target at time k.
按照下式,计算当前时刻每个高机动目标状态估计值对应的协方差矩阵。According to the following formula, the covariance matrix corresponding to the estimated value of each high maneuvering target state at the current moment is calculated.
其中,Pp(k)表示k时刻第p个高机动目标的状态估计值对应的协方差矩阵。Among them, Pp (k) represents the covariance matrix corresponding to the state estimation value of the p-th high maneuvering target at time k.
以下结合仿真实验,对本发明技术效果进行进一步说明。The technical effects of the present invention will be further described below in conjunction with simulation experiments.
1.仿真实验的条件。1. The conditions of the simulation experiment.
本发明在Intel(R)Core(TM)i7-9700K CPU 3.60GHz处理器的电脑上,采用MATLABR2019a软件完成仿真。The present invention uses MATLABR2019a software to complete the simulation on a computer with an Intel(R) Core(TM) i7-9700K CPU 3.60GHz processor.
仿真场景设置:为了验证本发明提出的基于IMMPDA算法的多高机动目标跟踪方法,本发明的仿真实验场景为:雷达所在的载机做匀速直线运动,两个高机动目标基于比例导引律对载机进行攻击,速度4马赫左右,其中一个高机动目标从载机运动方向左侧30°且距离载机14km处出现,另一个高机动目标从载机运动方向右侧30°且距离载机14.5km处出现,对载机进行制导攻击。为了使仿真更接近实际环境,在目标高机动目标位置周围设置杂波点。Simulation scene setting: In order to verify the multi-high maneuvering target tracking method based on the IMMPDA algorithm proposed by the present invention, the simulation experiment scene of the present invention is: the carrier aircraft where the radar is located moves in a straight line at a uniform speed, and the two high maneuvering targets are based on the proportional guidance law. The carrier aircraft attacked at a speed of about Mach 4. One of the high maneuvering targets appeared 30° from the left side of the carrier plane's movement direction and 14km away from the carrier plane, and another high maneuverability target appeared 30° from the right side of the carrier plane's movement direction and a distance from the carrier plane. Appears at 14.5km and conducts a guided attack on the carrier aircraft. To bring the simulation closer to the real environment, clutter points are set around the target high maneuvering target location.
2.仿真内容与结果分析。2. Simulation content and result analysis.
本发明的仿真实验是利用本发明的方法对上面两个基于比例导引律制导的高机动目标进行跟踪,其结果如图2所示。The simulation experiment of the present invention uses the method of the present invention to track the above two high maneuvering targets guided by the proportional guidance law, and the results are shown in FIG. 2 .
本发明中的两个高机动目标运动轨迹是基于比例导引律现有技术对机载雷达所在的载机进行制导打击。The motion trajectories of the two high maneuvering targets in the present invention are based on the prior art of proportional guidance law to conduct guided strikes on the carrier aircraft where the airborne radar is located.
图2(a)是机载雷达对杂波环境中两个高机动目标进行跟踪的真实轨迹与跟踪的轨迹曲线对比图。图2(a)中跟踪的轨迹曲线,该曲线是通过采用本发明方法每隔50ms计算一次两个高机动目标的状态估计值,将计算7.5秒后的所有两个高机动目标的状态估计值绘制得到的。横坐标表示在三维空间中两个高机动目标的位置坐标沿着x轴移动对应的值,纵坐标表示在三维空间中高机动目标的位置坐标沿着y轴移动对应的值,竖坐标表示在三维空间中高机动目标的位置坐标沿着z轴移动对应的值,单位为米m。图2(a)中以虚线标示的曲线表示两个高机动目标的真实轨迹曲线,以实线标示的曲线表示两个高机动目标跟踪的轨迹曲线,以加号标示的曲线表示雷达所在载机的运动轨迹曲线,以圆点标示的点迹表示在环境中添加的多个杂波点。Figure 2(a) is a comparison diagram of the real trajectory and the tracked trajectory curve of the airborne radar tracking two high maneuvering targets in the clutter environment. The trajectory curve tracked in Fig. 2(a) is calculated by using the method of the present invention to calculate the state estimated values of two high maneuvering targets every 50ms, and the state estimated values of all two high maneuvering targets after 7.5 seconds will be calculated. drawn. The abscissa represents the corresponding value of the position coordinates of the two high maneuvering targets moving along the x-axis in the three-dimensional space, the ordinate represents the corresponding value of the position coordinates of the high maneuvering target moving along the y-axis in the three-dimensional space, and the vertical coordinate represents the movement in the three-dimensional space. The position coordinates of the high maneuvering target in space move along the z-axis by the corresponding value, in meters. In Fig. 2(a), the curves marked with dotted lines represent the real trajectory curves of the two high-maneuvering targets, the curves marked with solid lines represent the trajectory curves of the two high-maneuvering targets, and the curves marked with plus signs represent the carrier aircraft where the radar is located. The motion trajectory curve of , the dots marked with dots represent multiple clutter points added in the environment.
图2(b)是对高机动目标1跟踪过程中方位角误差随机载雷达与高机动目标1之间的距离变化曲线图。图2(b)是通过将本发明方法获得的高机动目标1跟踪的轨迹曲线和真实轨迹曲线对比得到的。图2(b)中的横坐标表示机载雷达与高机动目标1之间的距离,单位是千米km,纵坐标表示高机动目标1方位角误差,单位为度。图2(b)中以虚线标示的曲线表示高机动目标1方位角的量测误差曲线,该曲线是由高机动目标1每个时刻的方位角量测值与方位角真实值做差然后取绝对值绘制得到的,以实线标示的曲线表示高机动目标1方位角的跟踪误差曲线,该曲线是由高机动目标1每个时刻的方位角估计值与方位角真实值做差然后取绝对值绘制得到的。Figure 2(b) is a graph of the distance variation between the azimuth error random-borne radar and the
图2(c)是对高机动目标1跟踪过程中俯仰角误差随机载雷达与高机动目标1之间的距离变化曲线图。图2(c)是通过将本发明方法获得的高机动目标1跟踪的轨迹曲线和真实轨迹曲线对比得到的。图2(c)中的横坐标表示机载雷达与高机动目标1之间的距离,单位是千米km,纵坐标表示高机动目标1俯仰角误差,单位为度。图2(c)中以虚线标示的曲线表示高机动目标1俯仰角的量测误差曲线,该曲线是由高机动目标1每个时刻的俯仰角量测值与俯仰角真实值做差然后取绝对值绘制得到的,以实线标示的曲线表示高机动目标1俯仰角的跟踪误差曲线,该曲线是由高机动目标1每个时刻的俯仰角估计值与俯仰角真实值做差然后取绝对值绘制得到的。Figure 2(c) is a graph of the distance variation between the pitch angle error random carrier radar and the
图2(d)是对高机动目标2跟踪过程中方位角误差随机载雷达与高机动目标2之间的距离变化曲线图。图2(d)是通过将本发明方法获得的高机动目标2跟踪的轨迹曲线和真实轨迹曲线对比得到的。图2(d)中的横坐标表示机载雷达与高机动目标2之间的距离,单位是千米km,纵坐标表示高机动目标2方位角误差,单位为度。图2(d)中以虚线标示的曲线表示高机动目标2方位角的量测误差曲线,该曲线是由高机动目标2每个时刻的方位角量测值与方位角真实值做差然后取绝对值绘制得到的,以实线标示的曲线表示高机动目标2方位角的跟踪误差曲线,该曲线是由高机动目标2每个时刻的方位角估计值与方位角真实值做差然后取绝对值绘制得到的。Figure 2(d) is a graph of the distance variation between the azimuth error random-borne radar and the high maneuvering target 2 during the tracking process of the high maneuvering target 2. FIG. 2(d) is obtained by comparing the trajectory curve tracked by the high maneuvering target 2 obtained by the method of the present invention with the real trajectory curve. The abscissa in Fig. 2(d) represents the distance between the airborne radar and the high maneuvering target 2, the unit is km km, and the ordinate represents the azimuth error of the high maneuvering target 2, the unit is degrees. The curve marked by the dotted line in Fig. 2(d) represents the measurement error curve of the azimuth angle of the high maneuvering target 2. The curve is obtained by taking the difference between the measured azimuth angle of the high maneuvering target 2 at each moment and the true value of the azimuth angle. The curve marked by the solid line represents the tracking error curve of the azimuth angle of the high maneuvering target 2, which is obtained by drawing the absolute value. value drawn.
图2(e)是对高机动目标1跟踪过程中俯仰角误差随机载雷达与高机动目标2之间的距离变化曲线图。图2(e)是通过将本发明方法获得的高机动目标2跟踪的轨迹曲线和真实轨迹曲线对比得到的。图2(e)中的横坐标表示机载雷达与高机动目标2之间的距离,单位是千米km,纵坐标表示高机动目标2俯仰角误差,单位为度。图2(e)中以虚线标示的曲线表示高机动目标2俯仰角的量测误差曲线,该曲线是由高机动目标2每个时刻的俯仰角量测值与俯仰角真实值做差然后取绝对值绘制得到的,以实线标示的曲线表示高机动目标2俯仰角的跟踪误差曲线,该曲线是由高机动目标2每个时刻的俯仰角估计值与俯仰角真实值做差然后取绝对值绘制得到的。Figure 2(e) is a graph of the distance variation between the random-borne radar with pitch angle error and the high maneuvering target 2 during the tracking process of the
由图2(a)可以看出,本发明方法跟踪得到的杂波环境中的两个高机动目标的轨迹曲线与真实的轨迹曲线走向几乎趋于重合,表明本发明方法跟踪的两个高机动目标的轨迹曲线具有较高的精度。It can be seen from Figure 2(a) that the trajectory curves of the two high maneuvering targets in the clutter environment tracked by the method of the present invention almost tend to coincide with the real trajectory curves, indicating that the two high maneuvering targets tracked by the method of the present invention The trajectory curve of the target has high precision.
由图2(b)、图2(c)、图2(d)和图2(e)可以看出,在对杂波环境中的两个高机动目标同时进行跟踪的过程中,方位角和俯仰角的量测误差和跟踪误差都在随着目标高机动目标与机载雷达之间距离的拉近而逐渐减小,并且方位角和俯仰角的跟踪误差始终比量测误差小,表明本发明方法可以同时对杂波环境中的多个高机动目标进行跟踪。It can be seen from Fig. 2(b), Fig. 2(c), Fig. 2(d) and Fig. 2(e) that in the process of simultaneously tracking two high maneuvering targets in a clutter environment, the azimuth angle and The measurement error and tracking error of the pitch angle gradually decrease as the distance between the target high maneuvering target and the airborne radar gets closer, and the tracking error of the azimuth angle and the pitch angle is always smaller than the measurement error, indicating that this The inventive method can simultaneously track multiple high maneuvering targets in a clutter environment.
| Application Number | Priority Date | Filing Date | Title |
|---|---|---|---|
| CN202110700281.1ACN113376626A (en) | 2021-06-23 | 2021-06-23 | High maneuvering target tracking method based on IMMPDA algorithm |
| Application Number | Priority Date | Filing Date | Title |
|---|---|---|---|
| CN202110700281.1ACN113376626A (en) | 2021-06-23 | 2021-06-23 | High maneuvering target tracking method based on IMMPDA algorithm |
| Publication Number | Publication Date |
|---|---|
| CN113376626Atrue CN113376626A (en) | 2021-09-10 |
| Application Number | Title | Priority Date | Filing Date |
|---|---|---|---|
| CN202110700281.1APendingCN113376626A (en) | 2021-06-23 | 2021-06-23 | High maneuvering target tracking method based on IMMPDA algorithm |
| Country | Link |
|---|---|
| CN (1) | CN113376626A (en) |
| Publication number | Priority date | Publication date | Assignee | Title |
|---|---|---|---|---|
| CN115128597A (en)* | 2022-08-25 | 2022-09-30 | 西安电子科技大学 | Maneuvering target tracking method under non-Gaussian noise based on IMM-STEKF |
| CN115542309A (en)* | 2022-08-25 | 2022-12-30 | 西安电子科技大学 | Maneuvering target self-adaptive tracking method under non-Gaussian noise condition based on IMM-VB |
| Publication number | Priority date | Publication date | Assignee | Title |
|---|---|---|---|---|
| US20080246653A1 (en)* | 2007-04-05 | 2008-10-09 | Sirf Technology, Inc. | Gps navigation using interacting multiple model (imm) estimator and probabilistic data association filter (pdaf) |
| JP2010032304A (en)* | 2008-07-28 | 2010-02-12 | Toshiba Corp | Multiple target tracking system |
| CN105372659A (en)* | 2015-11-20 | 2016-03-02 | 上海无线电设备研究所 | Road traffic monitoring multi-target detection tracking method and tracking system |
| CN106054151A (en)* | 2016-05-23 | 2016-10-26 | 西安电子科技大学 | Radar multi-target tracking optimization method based on data correlation method |
| CN106443622A (en)* | 2016-09-13 | 2017-02-22 | 哈尔滨工程大学 | Distributed target tracking method based on improved joint probability data association |
| CN107045125A (en)* | 2017-03-17 | 2017-08-15 | 电子科技大学 | A kind of Interactive Multiple-Model radar target tracking method based on predicted value measurement conversion |
| CN109633589A (en)* | 2019-01-08 | 2019-04-16 | 沈阳理工大学 | The Multi-target Data Associations assumed are optimized based on multi-model more in target following |
| CN109655826A (en)* | 2018-12-16 | 2019-04-19 | 成都汇蓉国科微系统技术有限公司 | The low slow Small object track filtering method of one kind and device |
| CN111142100A (en)* | 2020-01-06 | 2020-05-12 | 南京鹰目电子科技有限公司 | Radar target tracking method |
| CN111398948A (en)* | 2020-04-08 | 2020-07-10 | 成都汇蓉国科微系统技术有限公司 | Maneuvering small target track association method under strong clutter background |
| Publication number | Priority date | Publication date | Assignee | Title |
|---|---|---|---|---|
| US20080246653A1 (en)* | 2007-04-05 | 2008-10-09 | Sirf Technology, Inc. | Gps navigation using interacting multiple model (imm) estimator and probabilistic data association filter (pdaf) |
| JP2010032304A (en)* | 2008-07-28 | 2010-02-12 | Toshiba Corp | Multiple target tracking system |
| CN105372659A (en)* | 2015-11-20 | 2016-03-02 | 上海无线电设备研究所 | Road traffic monitoring multi-target detection tracking method and tracking system |
| CN106054151A (en)* | 2016-05-23 | 2016-10-26 | 西安电子科技大学 | Radar multi-target tracking optimization method based on data correlation method |
| CN106443622A (en)* | 2016-09-13 | 2017-02-22 | 哈尔滨工程大学 | Distributed target tracking method based on improved joint probability data association |
| CN107045125A (en)* | 2017-03-17 | 2017-08-15 | 电子科技大学 | A kind of Interactive Multiple-Model radar target tracking method based on predicted value measurement conversion |
| CN109655826A (en)* | 2018-12-16 | 2019-04-19 | 成都汇蓉国科微系统技术有限公司 | The low slow Small object track filtering method of one kind and device |
| CN109633589A (en)* | 2019-01-08 | 2019-04-16 | 沈阳理工大学 | The Multi-target Data Associations assumed are optimized based on multi-model more in target following |
| CN111142100A (en)* | 2020-01-06 | 2020-05-12 | 南京鹰目电子科技有限公司 | Radar target tracking method |
| CN111398948A (en)* | 2020-04-08 | 2020-07-10 | 成都汇蓉国科微系统技术有限公司 | Maneuvering small target track association method under strong clutter background |
| Title |
|---|
| 吴佳芯: "多目标跟踪的数据关联算法研究", 《中国优秀博硕士学位论文全文数据库(硕士) 信息科技辑》* |
| 张贞凯等: "多目标跟踪中自适应时间资源调度", 《航空学报》* |
| 曹正林等: "机载相控阵雷达TAS方式的实现", 《电子与信息学报》* |
| 王刚等: "基于IMM-IPDA的杂波区内机动小目标跟踪研究", 《现代雷达》* |
| Publication number | Priority date | Publication date | Assignee | Title |
|---|---|---|---|---|
| CN115128597A (en)* | 2022-08-25 | 2022-09-30 | 西安电子科技大学 | Maneuvering target tracking method under non-Gaussian noise based on IMM-STEKF |
| CN115542309A (en)* | 2022-08-25 | 2022-12-30 | 西安电子科技大学 | Maneuvering target self-adaptive tracking method under non-Gaussian noise condition based on IMM-VB |
| CN115542309B (en)* | 2022-08-25 | 2025-06-20 | 西安电子科技大学 | Adaptive tracking method of maneuvering target under non-Gaussian noise based on IMM-VB |
| Publication | Publication Date | Title |
|---|---|---|
| CN110503071B (en) | Multi-target tracking method based on variational Bayesian label multi-Bernoulli superposition model | |
| CN105137418B (en) | Multiple target tracking and data interconnection method based on complete adjacent fuzzy clustering | |
| CN115128597B (en) | Maneuvering target tracking method under non-Gaussian noise based on IMM-STEKF | |
| CN109521420B (en) | Multi-target tracking method based on multi-feature matching | |
| CN110231620B (en) | Noise-related system tracking filtering method | |
| CN113376626A (en) | High maneuvering target tracking method based on IMMPDA algorithm | |
| CN106526584A (en) | Joint processing method of target detection and tracking in multi-radar system | |
| CN108490409A (en) | The automatic initial mode of three-dimensional radar based on flight path risk assessment | |
| CN106353720A (en) | Multi-station continuous positioning model based on TDOA/GROA (time different of arrival/gain ratio of arrival) | |
| CN103792515B (en) | A kind of different platform 2 ties up radar and infrared sensor metric data synthetic method | |
| CN115542309B (en) | Adaptive tracking method of maneuvering target under non-Gaussian noise based on IMM-VB | |
| CN104777465A (en) | Random extended object shape and state estimation method based on B spline function | |
| CN113238208A (en) | Method for calculating forward acoustic scattering Doppler frequency shift of moving target in irregular track water | |
| CN112666516A (en) | Passive tracking method based on track information field | |
| CN113866754B (en) | Moving target track association method based on Gaussian distribution wave gate | |
| CN114488104B (en) | Sky wave beyond-view range radar target tracking method based on interaction consistency | |
| Wang et al. | Research on multi-maneuvering target tracking JPDA algorithm | |
| CN111854729B (en) | A Track Association Method Based on Motion Information and Attribute Information | |
| CN116045983A (en) | A composite seeker jamming track recognition method based on interactive multi-model | |
| CN115586489A (en) | Multi-station passive sensor target positioning method based on angle measurement | |
| CN113552551A (en) | Direct correlation method for distributed 2D sensor network tracks | |
| CN113885019A (en) | Angle measuring method based on sum and difference antenna system radar space-time adaptive processing | |
| JP2985608B2 (en) | Multi-target tracking device | |
| Chen et al. | Kalman filter tracking algorithm simulation based on angle expansion | |
| CN105510907A (en) | Strong scattering point target detection-based weak scattering point target tracking approach method |
| Date | Code | Title | Description |
|---|---|---|---|
| PB01 | Publication | ||
| PB01 | Publication | ||
| SE01 | Entry into force of request for substantive examination | ||
| SE01 | Entry into force of request for substantive examination | ||
| RJ01 | Rejection of invention patent application after publication | ||
| RJ01 | Rejection of invention patent application after publication | Application publication date:20210910 |