Movatterモバイル変換


[0]ホーム

URL:


CN113355017A - Low-refractive-index optical fiber coating resin with high glass transition temperature - Google Patents

Low-refractive-index optical fiber coating resin with high glass transition temperature
Download PDF

Info

Publication number
CN113355017A
CN113355017ACN202110491754.1ACN202110491754ACN113355017ACN 113355017 ACN113355017 ACN 113355017ACN 202110491754 ACN202110491754 ACN 202110491754ACN 113355017 ACN113355017 ACN 113355017A
Authority
CN
China
Prior art keywords
optical fiber
acrylate
prepolymer
glass transition
transition temperature
Prior art date
Legal status (The legal status is an assumption and is not a legal conclusion. Google has not performed a legal analysis and makes no representation as to the accuracy of the status listed.)
Granted
Application number
CN202110491754.1A
Other languages
Chinese (zh)
Other versions
CN113355017B (en
Inventor
崔丽云
余晓梦
黄星
万欢
桂振东
皮亚斌
高旭
Current Assignee (The listed assignees may be inaccurate. Google has not performed a legal analysis and makes no representation or warranty as to the accuracy of the list.)
Wuhan Changyingxin Technology Co ltd
Original Assignee
Wuhan Changyingxin Technology Co ltd
Priority date (The priority date is an assumption and is not a legal conclusion. Google has not performed a legal analysis and makes no representation as to the accuracy of the date listed.)
Filing date
Publication date
Application filed by Wuhan Changyingxin Technology Co ltdfiledCriticalWuhan Changyingxin Technology Co ltd
Priority to CN202110491754.1ApriorityCriticalpatent/CN113355017B/en
Publication of CN113355017ApublicationCriticalpatent/CN113355017A/en
Application grantedgrantedCritical
Publication of CN113355017BpublicationCriticalpatent/CN113355017B/en
Activelegal-statusCriticalCurrent
Anticipated expirationlegal-statusCritical

Links

Images

Classifications

Landscapes

Abstract

Translated fromChinese

一种高玻璃化温度的低折射率光纤涂覆树脂,按重量百分比计,其中各组分的含量为预聚物A 10‑60%,预聚物B 10‑60%,附着力增强剂C 1‑10%,光引发剂0.5‑5%,单官能活性稀释剂0‑5%、多官能活性稀释剂5‑30%,含氟硅烷偶联剂0.1‑1%,各组分之和满足100%。该低折射率的光纤涂覆树脂,粘附力强,使得光纤在弯曲时不易折断,玻璃化温度高,可以提高特种光纤的工作温度。A low-refractive-index optical fiber coating resin with high glass transition temperature, by weight percentage, wherein the content of each component is 10-60% of prepolymer A, 10-60% of prepolymer B, and adhesion enhancer C 1-10%, photoinitiator 0.5-5%, monofunctional reactive diluent 0-5%, multi-functional reactive diluent 5-30%, fluorine-containing silane coupling agent 0.1-1%, the sum of each component satisfies 100%. The low-refractive-index optical fiber is coated with resin and has strong adhesion, so that the optical fiber is not easily broken during bending, and has a high glass transition temperature, which can increase the working temperature of the special optical fiber.

Description

Low-refractive-index optical fiber coating resin with high glass transition temperature
Technical Field
The invention belongs to the field of optical fibers and optical fiber coatings, and particularly relates to a low-refractive-index optical fiber coating resin with a high glass transition temperature.
Background
The optical fiber coating resin is an indispensable key protective material in optical fiber production and application, and provides strength protection, water resistance, stress buffering and the like for the optical fiber, so that excellent mechanical and optical properties of the optical fiber are maintained. The most common of the optical fibers for communications is the ultraviolet UV curable optical fiber coating. The common optical fiber coating generally used for silica-based optical fiber materials is divided into an inner layer coating and an outer layer coating, the refractive index of the inner layer coating is larger than 1.48, the refractive index of the outer layer coating is larger than 1.50, after a glass optical rod is subjected to high-temperature melting and drawing and passes through a cooling system, microcracks on the surface of glass are not influenced by moisture in the air, and the optical fiber is prepared by quickly coating and solidifying the inner layer resin and the outer layer resin.
The low-refractive index optical fiber coating is a special optical fiber inner layer coating, is generally designed into organic fluorine or organic silicon ultraviolet curing acrylic resin materials, and is characterized by having a low refractive index, generally between 1.35 and 1.42. The cured film has low refractive index, can increase the numerical aperture of the optical fiber, effectively improves the long-distance transmission efficiency of optical energy and reduces optical loss on the premise of ensuring good mechanical performance. The low refractive index of the material is utilized to form the optical waveguide with the characteristic of high NA value together with the silicon-based glass material.
The refractive index of the low-refractive-index optical fiber coating resin which is common at present is between 1.36 and 1.41, and the glass transition temperature of the low-refractive-index optical fiber coating resin prepared by the prior art generally decreases along with the decrease of the refractive index, for example, the glass transition temperature of the low-refractive-index coating resin of 1.36 grade is already less than 25 ℃. If the glass transition temperature of the low-refractive-index coating is within the working temperature range of the optical fiber, the optical performance difference between the temperature region above the glass transition temperature and the temperature region below the glass transition temperature is huge, and the full-temperature performance of the prepared optical fiber is seriously influenced, so how to improve the glass transition temperature of the low-refractive-index coating resin becomes the key for the development of special optical fibers.
Disclosure of Invention
The invention aims to solve the technical problem of providing the low-refractive-index optical fiber coating resin with high glass transition temperature, which is low and adjustable in refractive index (1.36-1.41), high in glass transition temperature (60-120 ℃), strong in adhesive force, not easy to break when the optical fiber is bent and good in reliability, aiming at the defects in the prior art.
The technical scheme adopted by the invention for solving the problems is as follows:
the coating resin for the optical fiber with the high glass transition temperature and the low refractive index comprises the following components in percentage by weight: 10-60% of prepolymer A, 10-60% of prepolymer B, 1-10% of adhesion enhancer C, 0.5-5% of photoinitiator, 0-5% of monofunctional reactive diluent, 5-30% of multifunctional reactive diluent and 0.1-1% of fluorine-containing silane coupling agent, wherein the sum of all the components is 100%.
According to the scheme, the structural formula of the prepolymer A is shown as formula A, and R is shown as formula A1Is composed of
Figure BDA0003052603230000021
Figure BDA0003052603230000022
R2is-CH3or-H, R3is-CF3or-F, a is 3-8, PMZ has the structural formula
Figure BDA0003052603230000023
Wherein X has a structural formula
Figure BDA0003052603230000024
Figure BDA0003052603230000025
b=2-20,c=6-18,d=0-2,e=2-18,y=1-20,R4=-CH3or-H.
Figure BDA0003052603230000026
According to the scheme, the synthesis method of the prepolymer A comprises the following steps:
1) adding perfluorinated diacid and fluorine-containing diol into a reactor with stirring according to a molar ratio (y: y +1) (y is 1-20), adding a catalyst alpha, heating to 120 ℃ and 140 ℃, keeping the temperature for reaction until all solids become liquid, starting a vacuum pump, continuously keeping the temperature, vacuumizing and continuously reacting for 6-24 hours, keeping the relative vacuum degree between-0.09 MPa and-0.1 MPa, stopping the reaction when the acid value of materials in the reactor is less than 0.5(mgKOH/g), and discharging to obtain the fluorinated polyester diol; wherein, the adding amount of the catalyst alpha accounts for 0.03 to 1 percent of the total mass of the substances of the whole reaction system in the step;
2) according to the molar ratio of 1:2 of fluorinated polyester diol to diisocyanate, adding the fluorinated polyester diol and diisocyanate into a reactor with a stirrer to be uniformly mixed, then adding a catalyst beta and a polymerization inhibitor, and reacting the obtained mixed system at the temperature of 30-60 ℃ for 3-6 hours to obtain an intermediate of the terminal isocyanate; wherein, the adding amount of the catalyst beta accounts for 0.03-1% of the total mass of the substances of the whole reaction system in the step, and the adding amount of the polymerization inhibitor accounts for 0.01-1% of the total mass of the substances of the whole reaction system in the step;
3) according to the molar ratio of the fluorinated acrylate containing hydroxyl to the fluorinated polyester diol of 2:1, adding fluorinated acrylate containing hydroxyl into the intermediate of the terminal isocyanate obtained in the step 2), and reacting at the temperature of 60-80 ℃ for 3-6 hours to obtain prepolymer A. The scheme for the synthesis of the prepolymer is shown in FIG. 1.
In the method for synthesizing the prepolymer A, the fluorinated polyester diol is obtained by performing polycondensation reaction on perfluorinated diacid and fluorine-containing diol, and the number average molecular weight of the fluorinated polyester diol is between 600-4000.
Further, in the synthesis method of the prepolymer A, the structural formula of the fluorine-containing diol is shown as
Figure BDA0003052603230000031
Wherein c is 6-18; d is 0-2; e-2-18; r4=-CH3or-H.
Further, in the synthesis method of the prepolymer A, the diisocyanate is one or a mixture of two of Hydrogenated Xylylene Diisocyanate (HXDI), isophorone diisocyanate (IPDI) and the like according to a proportion.
In the method for synthesizing prepolymer A, the catalyst alpha is preferably p-toluenesulfonic acid.
According to the scheme, the structural formula of the prepolymer B is shown as a formula B, the prepolymer belongs to a multifunctional prepolymer, the glass transition temperature is high, and 4 parts of the whole molecule are of a high-fluoro structure and have a very low refractive index; wherein b is 2-20, n is 3-18, and R is-CH3or-H.
Figure BDA0003052603230000032
According to the scheme, the synthesis method of the prepolymer B comprises the following steps:
1) adding glycidyl (meth) acrylate and perfluorodiacid into a reactor with stirring according to the molar ratio of 2:1, uniformly mixing, then adding a catalyst gamma and a polymerization inhibitor, and reacting at the temperature of 80-110 ℃ for 2-8 hours to obtain an intermediate bifunctional fluorine-containing epoxy acrylate; wherein, the catalyst gamma accounts for 0.03 to 1 percent of the total mass of the substances in the step, and the polymerization inhibitor accounts for 0.01 to 1 percent of the total mass of the substances in the whole reaction system;
2) adding Hexamethylene Diisocyanate (HDI) and a catalyst beta into the intermediate bifunctional fluorine-containing epoxy acrylate, and reacting for 2-4 hours at 70-90 ℃ to obtain an intermediate urethane modified epoxy acrylate; wherein the catalyst beta accounts for 0.03-1% of the total mass of the substances in the first step and the second step, and the molar ratio of HDI to the perfluorinated diacid in the first step is 1: 2;
3) adding potassium carbonate into the intermediate urethane modified epoxy acrylate, uniformly stirring, cooling to 40-60 ℃, slowly adding perfluoroalkyl acyl chloride, reacting for 2-4 hours at 40-60 ℃, and filtering to remove solid particles to obtain a prepolymer B; wherein the molar ratio of the perfluoroalkyl acyl chloride to the perfluorinated diacid is 1:1, and the molar ratio of the perfluoroalkyl acyl chloride to the potassium carbonate is 1: 1-1: 2. The synthesis scheme of prepolymer B is shown in FIG. 2.
In the method for synthesizing prepolymer B, the catalyst gamma is preferably benzyltriethylammonium bromide or the like.
Further, in the synthesis method of the prepolymer A and the prepolymer B, the structural formula of the perfluorinated diacid is shown in the specification
Figure BDA0003052603230000041
Wherein b is 2-20.
Further, in the synthesis method of the prepolymer B, the structural formula of the perfluoroalkyl acyl chloride is shown as
Figure BDA0003052603230000042
Wherein n is 3-18. Suitable examples of the perfluoroalkyl acid chloride include, but are not limited to, one or more of perfluorohexanoyl chloride, perfluorooctanoyl chloride, perfluoroundecanoyl chloride, tridecafluoroheptanoyl chloride, heptadecafluorononanoyl chloride, and mixtures thereof in any proportion.
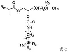
According to the scheme, the structural formula of the adhesion reinforcing agent C is shown as a formula C, the adhesion reinforcing agent C is formed by reacting fluorinated acrylate containing hydroxyl and a silane coupling agent containing an isocyanate bond, the structure of the adhesion reinforcing agent C comprises curable double bonds, elastic urethane bonds and low-refraction high-fluoroalkyl groups, and the fluoro groups can enable the adhesion reinforcing agent to have good compatibility with other high-fluorine-containing prepolymers. The adhesive force reinforcing agent has good adhesive force on base materials such as glass, silicon dioxide, ceramics, photocuring coatings and the like, and has low refractive index and little influence on the refractive index of final optical fiber coating resin. Wherein f is 1-4; r5=-OCH3or-OCH2CH3;R6=-OCH3or-OCH2CH3or-CH3. The synthetic scheme for adhesion enhancer C is shown in fig. 3.
Figure BDA0003052603230000043
According to the scheme, the synthesis method of the adhesion reinforcing agent C comprises the following specific steps:
adding the hydroxyl-containing fluorinated acrylate and the silane coupling agent containing the isocyanate bond into a reactor with a stirrer according to the molar ratio of 1: 1-1.1: 1, uniformly stirring, adding a catalyst beta and a polymerization inhibitor, and reacting for 2-8 hours at 60-90 ℃ to obtain the adhesion force enhancer C. Wherein, the adding amount of the catalyst beta accounts for 0.03-1% of the total mass of the substances of the whole reaction system, and the polymerization inhibitor accounts for 0.01-1% of the total mass of the substances of the whole reaction system.
Further, in the synthesis method of the prepolymer A, the prepolymer B and the adhesion enhancer C, the catalyst beta is a fluorine-containing organic tin compound, and suitable examples include, but are not limited to, one or a mixture of more of bis (3,3,4,4,5,5,6,6,7,7,8,8, 8-tridecafluorooctyl) tin oxide, allyltris (1H,1H,2H, 2H-perfluorooctyl) stannane, allyltris (3,3,4,4,5,5,6,6, 6-nonafluorohexyl) stannane, hexafluoroacetylacetonatotin and the like in proportion.
Further, in the synthesis method of the prepolymer A and the adhesion reinforcing agent C, the typical structure of the fluorinated acrylate containing hydroxyl is shown as formula 1, wherein R is2is-CH3or-H, R3is-CF3or-F, a is 3-8. As can be seen from FIGS. 1 and 3, R in prepolymer A and adhesion promoter C2、R3And a are derived from fluorinated acrylates containing hydroxyl groups, so that R2、R3And a have the same meaning.
Figure BDA0003052603230000051
Further, in the synthesis method of the adhesion reinforcing agent C, the structure of the silane coupling agent containing the isocyanate bond is
Figure BDA0003052603230000052
Wherein f is 1-4; r5=-OCH3or-OCH2CH3;R6=-OCH3or-OCH2CH3or-CH3. Suitable examples include, but are not limited to, 3-isocyanatopropyltriethoxysilane, 3-isocyanatopropyltrimethoxysilane, 3-isocyanatopropylmethyldiethoxysilane, 3-isocyanatopropylmethyldimethoxysilane, isocyanatomethyltrimethoxysilane, isocyanatomethylethoxysilane, 1-dimethoxy (methyl) silylmethyl isocyanate, in any desired ratio.
Furthermore, in the synthesis method of the prepolymer A, the prepolymer B and the adhesion enhancer C, the polymerization inhibitor is p-hydroxyanisole, p-tert-butylphenol or the like.
According to the above scheme, the photoinitiator is a non-yellowing photoinitiator, and can be a conventional photoinitiator or a fluorine modified photoinitiator, and suitable examples include but are not limited to one or a mixture of several of 2, 4, 6-trimethylbenzoyl-diphenylphosphine oxide (TPO), 1-hydroxy-cyclohexyl-phenyl ketone (184), 2-hydroxy-2-methyl-1-phenyl acetone (1173), 2-hydroxy-4- (2-hydroxyethoxy) -2-methyl phenylpropanone (2959).
As mentioned above, the monofunctional reactive diluent is a fluorinated alkyl acrylate, and suitable examples include, but are not limited to, one or a mixture of several of 1H,1H,2H, 2H-perfluorooctyl (meth) acrylate, 1H,2H, 2H-perfluorodecyl (meth) acrylate, 1H,2H, 2H-perfluorohexyl (meth) acrylate, 2- (perfluorooctyl) ethyl (meth) acrylate, 2- (perfluorodecyl) ethyl (meth) acrylate, 2,2,3,3,4,4, 4-heptafluorobutyl acrylate, 2,2, 2-trifluoroethyl acrylate, and the like, in proportions.
As mentioned above, the multifunctional reactive diluent is a fluorinated multifunctional acrylate, and suitable examples include, but are not limited to, one or a mixture of several of 1H,1H,6H, 6H-perfluorohexyl diacrylate, 1H,8H, 8H-perfluorooctyl diacrylate, 1H,10H, 10H-perfluorodecyl diacrylate, etc. in proportion.
According to the above scheme, the fluorine-containing silane coupling agent is siloxane containing fluoroalkyl structure, which has a very low refractive index per se to increase the adhesion of the coating resin to the optical fiber and repair microcracks of the optical fiber, and suitable examples include, but are not limited to, one or a mixture of several of heptadecafluorodecyltriethoxysilane, heptadecafluorodecyltrimethoxysilane, perfluorooctyltrimethoxysilane, dodecafluoroheptylpropyltrimethoxysilane, nonafluorohexyltrimethoxysilane, tridecafluorooctyltrimethoxysilane, etc. in proportion.
The low-refractive-index optical fiber coating resin has the refractive index of 1.36-1.41, the viscosity of 1000-10000mpa.s, and the preferable viscosity of 2000-6000mpa.s, can adjust the viscosity according to the process to meet the requirement of stable wire drawing, and can also obtain different refractive indexes by adjusting the proportion according to different grades of prepared optical fibers.
The low-refractive-index optical fiber coating resin with high glass transition temperature provided by the invention not only meets the requirement of low refractive index of a special optical fiber (the lowest refractive index can reach 1.36), but also can realize higher glass transition temperature (60-120 ℃), so that the special optical fiber can work at higher temperature and can realize higher-power laser transmission on a laser energy transmission optical fiber. Compared with the prior art, the invention has the beneficial effects that:
firstly, the viscosity of the optical fiber coating resin is 1000-10000mpa.s, the glass transition temperature is high (60-120 ℃), the toughness is good, the adhesion is strong, the optical fiber is not easy to break when being bent, the refractive index is low, the refractive index is 1.36-1.41, the digital transmission aperture of the optical fiber can be enlarged, the viscosity and the refractive index of a product can be adjusted according to different requirements of customers, and the requirements of more customizations can be met when preparing a novel special optical fiber, so that the novel special optical fiber which cannot be compared with the traditional coating can be prepared.
Secondly, the prepolymer A adopted by the invention is 2-functional tough polyester polyurethane acrylate, so that the optical fiber coating resin has good strength and extremely low refractive index; prepolymer B is a multifunctional prepolymer, has a larger modulus and a higher glass transition temperature, and optical fiber coating resins with different glass transition temperatures and different refractive indexes can be obtained by adjusting the ratio of prepolymer A to prepolymer B.
Drawings
FIG. 1 is a scheme for the synthesis of prepolymer A.
FIG. 2 is a scheme for the synthesis of prepolymer B.
Fig. 3 is a synthetic route diagram for adhesion enhancer C.
FIG. 4 is a synthetic scheme of fluorinated modified photoinitiator 17R-2959.
Detailed Description
In order to better understand the present invention, the following examples are further provided to illustrate the content of the present invention, but the present invention is not limited to the following examples.
Some of the specific raw materials used in the following examples are shown in table 1.
TABLE 1
Figure BDA0003052603230000071
In the following examples, prepolymer A, B and adhesion enhancer C were used and were prepared by the following methods:
1. synthesis of prepolymer a:
1) 660.14g (1.5mol) of perfluoroazelaic acid and 1025.28g (2.5mol) of 1H,1H,11H, 11H-perfluoro-3, 6, 9-trioxaundecane-1, 11-diol are added into a reactor with stirring, 1.6g of catalyst p-toluenesulfonic acid is added, the temperature is increased to 120 ℃ and 130 ℃ for reaction, the temperature is kept for reaction until all solids become liquid, a vacuum pump is started to keep the temperature and vacuum pumping is carried out for reaction for 6 to 24 hours, and the relative vacuum degree is kept between-0.09 MPa and-0.1 MPa. Stopping the reaction when the acid value of the materials in the reactor is less than 0.5(mgKOH/g), discharging to obtain the fluorinated polyester diol, and determining the number average molecular weight of the fluorinated polyester diol to be 1606.20.
2) Adding 803.1g (0.5mol) of fluorinated polyester diol and 222.24g (1.0mol) of isophorone diisocyanate into a reactor with a stirrer, uniformly mixing the fluorinated polyester diol and the diisocyanate, adding 1.0g of hexafluoroacetylacetone tin as a catalyst and 0.5g of p-hydroxyanisole as a polymerization inhibitor, and reacting the obtained mixed system at 50 ℃ for 4 hours to obtain an intermediate of the terminal isocyanate;
3) 498.03g (1.0mol) of 3- (perfluoro-5-methylhexyl) -2-hydroxypropyl acrylate was added to the intermediate of the terminal isocyanate obtained in step 2) and reacted at a temperature of 70 to 80 ℃ for 5 hours to obtain prepolymer A-1.
The prepolymer A-1 thus obtained was found to have a viscosity of 3200mpa.s (60 ℃ C.), a refractive index of 1.361(25 ℃ C.), a tensile modulus of 265.5MPa, an elongation of 75% and a tensile strength of 21.6 MPa.
2. Synthesis of prepolymer B:
1) 256.26g (2.0mol) of glycidyl acrylate and 440.09g (1.0mol) of perfluoroazelaic acid are uniformly mixed according to the mol ratio of 2:1, then 0.7g of benzyltriethylammonium bromide as a catalyst and 0.65g of p-hydroxyanisole as a polymerization inhibitor are added, and the reaction is carried out for 6 hours at the temperature of 100 ℃ and 110 ℃ to obtain the intermediate bifunctional fluorine-containing epoxy acrylate.
2) To the product obtained in step 1 were added 84.1g (0.5mol) of Hexamethylene Diisocyanate (HDI) and 0.7g of allyltris (3,3,4,4,5,5,6,6, 6-nonafluorohexyl) stannane as a catalyst, and reacted at 75 to 80 ℃ for 3 hours to obtain an intermediate urethane-modified epoxy acrylate.
3) Adding 207.32g (1.5mol) of potassium carbonate into the product obtained in the step 2), uniformly stirring, cooling to 50-55 ℃, slowly adding 632.54g (1.0mol) of perfluoro-n-dodecanoyl chloride, keeping the temperature at 50-55 ℃ for reaction for 4 hours, and filtering to remove solid particles to obtain the prepolymer B-1.
The prepolymer B-1 thus obtained was found to have a viscosity of 1305mpa.s (60 ℃ C.), a refractive index of 1.371(25 ℃ C.), a tensile modulus of 1325.5MPa, an elongation of 17.5% and a tensile strength of 43.6 MPa.
3. Synthesis of adhesion enhancer C:
498.03g (1.0mol) of 3- (perfluoro-5-methylhexyl) -2-hydroxypropyl acrylate and 177.23g (1.0mol) of isocyanate methyltrimethoxysilane are added into a reactor with a stirrer to be uniformly stirred, 0.5g of tin hexafluoroacetylacetonate and 0.55g of p-hydroxyanisole serving as a polymerization inhibitor are added, and the mixture is kept at 70-80 ℃ to react for 6 hours to obtain the adhesion enhancer C-1.
4. Synthesis of fluorinated modified photoinitiator 17R-2959:
22.4g of photoinitiator 2959 (molecular weight 224) and 13.8g of potassium carbonate are added into a flask, cooled to 0-5 ℃ by an ice water bath, 43.25g of perfluorooctanoyl chloride is slowly added, and after the addition of the acyl chloride is finished, the reaction is maintained at 25 ℃ for 12 hours. And filtering the product in the flask to remove precipitates to obtain a product, cleaning the product by using 50.4g of hexafluoroisopropanol, filtering to obtain a filtrate, removing most of hexafluoroisopropanol from the filtrate by using a rotary evaporator, and drying for 24 hours at 40 ℃ by using a vacuum drying oven to obtain a fluorine-containing photoinitiator, namely, a fluorinated modified photoinitiator 17R-2959. The synthetic route of the fluorinated modified photoinitiator 17R-2959 is shown in FIG. 4.
Example 1
The coating resin for the optical fiber with the high glass transition temperature and the low refractive index comprises the following components in percentage by weight: the adhesive comprises, by weight, 100% of a prepolymer A, 150% of a prepolymer B, 115% of an adhesion force enhancer C, 13% of a fluorinated modified photoinitiator 17R, 29592.0% of 1H,1H,2H, 2H-perfluorodecyl acrylate 5%, 1H,1H,8H, 8H-perfluorooctyl diacrylate 10%, 1H,1H,10H, 10H-perfluorodecyl diacrylate 14.5% and heptadecafluorodecyl trimethoxy silane 0.5%.
The preparation method of the optical fiber coating resin comprises the following steps: weighing the raw material components according to the proportion, stirring the raw material components for 60 minutes at the rotating speed of 1000 r/min at about 70 ℃ by using a dispersion machine, filtering the mixture by using a 1500-mesh filter after the photoinitiator is completely dissolved, and defoaming the mixture in a 40 ℃ oven for 1 day to obtain a finished product, wherein the serial number of the finished product is YOCC-1.
Example 2
The coating resin for the optical fiber with the high glass transition temperature and the low refractive index comprises the following components in percentage by weight: the adhesive comprises, by weight, 135% of a prepolymer A, 130% of a prepolymer B, 15% of an adhesion enhancer C, 17R-29591.0% of a fluorinated modified photoinitiator, 1.0% of a photoinitiator TPO, 1841.0% of a photoinitiator, 20% of 1H,1H,8H, 8H-perfluorooctyl diacrylate, 6% of 1H,1H,10H, 10H-perfluorodecyl diacrylate, 0.5% of heptadecafluorodecyl trimethoxy silane, and 0.5% of tridecafluorooctyl trimethoxy silane, wherein the sum of the components is 100%.
The preparation method of the optical fiber coating resin comprises the following steps: weighing the raw material components according to the proportion, stirring the raw material components for 60 minutes at the rotating speed of 1000 r/min at about 70 ℃ by using a dispersion machine, filtering the mixture by using a 1500-mesh filter after the photoinitiator is completely dissolved, and defoaming the mixture in a 40 ℃ oven for 1 day to obtain a finished product, wherein the serial number of the finished product is YOCC-2.
Example 3
The coating resin for the optical fiber with the high glass transition temperature and the low refractive index comprises the following components in percentage by weight: prepolymer A-115%, prepolymer B-150%, adhesion reinforcing agent C-14%, photoinitiator TPO 1.0%, photoinitiator 1841.0%, 2,2,3,3,4,4, 4-heptafluorobutyl acrylate 3.5%, 1H,1H,6H, 6H-perfluorohexyl diacrylate 25%, and tridecafluorooctyl trimethoxysilane 0.5%, wherein the sum of the components is 100%.
The preparation method of the optical fiber coating resin comprises the following steps: weighing the raw material components according to the proportion, stirring the raw material components for 60 minutes at the rotating speed of 1000 r/min at about 70 ℃ by using a dispersion machine, filtering the mixture by using a 1500-mesh filter after the photoinitiator is completely dissolved, and defoaming the mixture in a 40 ℃ oven for 1 day to obtain a finished product, wherein the serial number of the finished product is YOCC-3.
Performance testing
The technical specifications of examples 1-3 and some commercially available types of low index optical fiber coatings are compared as shown in Table 2.
Table 2: examples 1-3 comparison of Performance with commercially available type Low refractive coatings
Figure BDA0003052603230000101
Note that1: the recommended maximum operating temperature is empirically 10 c above the glass transition temperature.
As can be seen from Table 2, the cured refractive indexes of the YOCC-1, YOCC-2 and YOCC-3 of the invention cover the existing PC363AP, PC373AP and PC409AP, and the comparison of the key elastic modulus, tensile strength and glass transition temperature indexes shows that the cured refractive indexes of the cured YOCC-1, YOCC-2 and YOCC-3 of the invention can be used for coating resin with a single cladding layer with a large core diameter and multi-cladding layer coating resin with high power. Under the condition of the same refractive index, the glass transition temperature of the YOCC-1, YOCC-2 and YOCC-3 is higher than that of competitive products (the existing PC363AP, PC373AP and PC409AP), the elastic modulus and the strength are higher, the external stress resistance is better, the mechanical property of the prepared optical fiber is better, and the working temperature of the special optical fiber can be improved. Provides wider choice for preparing optical fiber in the field of multipurpose optical fiber laser.
The above description is only a preferred embodiment of the present invention, and it should be noted that, for those skilled in the art, many modifications and changes can be made without departing from the inventive concept of the present invention, and these modifications and changes are within the protection scope of the present invention.

Claims (10)

Translated fromChinese
1.一种高玻璃化温度的低折射率光纤涂覆树脂,其特征在于按重量百分比计,其各组分的含量为:预聚物A10-60%,预聚物B10-60%,附着力增强剂C1-10%,光引发剂0.5-5%,单官能活性稀释剂0-5%、多官能活性稀释剂5-30%,含氟硅烷偶联剂0.1-1%,各组分之和满足100%;1. A low-refractive-index optical fiber coating resin with a high glass transition temperature, characterized in that, by weight percentage, the content of each component is: prepolymer A10-60%, prepolymer B10-60%, attached Strength enhancer C1-10%, photoinitiator 0.5-5%, monofunctional reactive diluent 0-5%, multifunctional reactive diluent 5-30%, fluorine-containing silane coupling agent 0.1-1%, each component The sum satisfies 100%;预聚物A的结构如式A所示,式A中,R1
Figure FDA0003052603220000011
R2为-CH3或-H,R3为-CF3或-F,a为3-8;The structure of prepolymer A is shown in formula A, in formula A, R1 is
Figure FDA0003052603220000011
R2 is -CH3 or -H, R3 is -CF3 or -F, a is 3-8;PMZ的结构式为
Figure FDA0003052603220000012
其中X的结构式为
Figure FDA0003052603220000013
b=2-20,c=6-18,d=0-2,e=2-18,y=1-20,R4=-CH3或-H;
The structural formula of PMZ is
Figure FDA0003052603220000012
The structural formula of X is
Figure FDA0003052603220000013
b=2-20, c=6-18, d=0-2, e=2-18, y=1-20, R4 =-CH3 or -H;
预聚物B的结构如式B所示,式B中,b=2-20,n=3-18,R=-CH3或-H;The structure of prepolymer B is shown in formula B, in formula B, b=2-20, n=3-18, R=-CH3 or -H;
Figure FDA0003052603220000014
Figure FDA0003052603220000014
Figure FDA0003052603220000021
Figure FDA0003052603220000021
附着力增强剂C的结构如式C所示,式C中,f=1-4;R5=-OCH3或-OCH2CH3;R6=-OCH3或-OCH2CH3或-CH3,R2为-CH3或-H,R3为-CF3或-F,a为3-8。The structure of adhesion enhancer C is shown in formula C, in formula C, f=1-4; R5 =-OCH3 or -OCH2 CH3 ; R6 =-OCH3 or -OCH2 CH3 or - CH3 , R2 is -CH3 or -H, R3 is -CF3 or -F, and a is 3-8.2.根据权利要求1所述的一种高玻璃化温度的低折射率光纤涂覆树脂,其特征在于所述预聚物A的合成方法,包括如下步骤:2. a kind of high glass transition temperature low refractive index optical fiber coating resin according to claim 1, it is characterized in that the synthesis method of described prepolymer A, comprises the steps:1)按照氟化聚酯二元醇与二异氰酸酯按摩尔比1:2混合于反应器中,加入催化剂β和阻聚剂,然后置于温度30-60℃的反应3-6小时,得到端异氰酸酯的中间体;其中,催化剂β的加入量占本步骤中整个反应体系物质总质量的0.03%-1%,阻聚剂的加入量占本步骤中整个反应体系物质总质量的0.01%-0.3%;1) Mix the fluorinated polyester diol and diisocyanate in the reactor in a molar ratio of 1:2, add catalyst β and polymerization inhibitor, and then place the reaction at a temperature of 30-60 ° C for 3-6 hours to obtain a terminal. Intermediate of isocyanate; wherein, the amount of catalyst β added in this step accounts for 0.03%-1% of the total mass of the entire reaction system in this step, and the amount of polymerization inhibitor added in this step accounts for 0.01%-0.3% of the total mass of the entire reaction system in this step %;2)将含羟基的氟化丙烯酸酯加入到步骤1)所得的端异氰酸酯的中间体中,于温度60-80℃反应3-6小时,得到预聚物A;本步骤中含羟基的氟化丙烯酸酯与步骤1)中氟化聚酯二元醇的摩尔比为2:1。2) adding the hydroxyl-containing fluorinated acrylate to the intermediate of the terminal isocyanate obtained in step 1), and reacting at a temperature of 60-80 ° C for 3-6 hours to obtain a prepolymer A; in this step, the hydroxyl-containing fluorinated acrylate is The molar ratio of acrylate to fluorinated polyester diol in step 1) is 2:1.3.根据权利要求1所述的一种高玻璃化温度的低折射率光纤涂覆树脂,其特征在于所述的氟化聚酯二元醇由全氟二酸与含氟二醇通过缩聚反应得到,其数均分子量为600-4000之间;其中,含氟二醇的结构式为
Figure FDA0003052603220000022
Figure FDA0003052603220000023
全氟二酸的结构式为
Figure FDA0003052603220000024
其中b=2-20,c=6-18,d=0-2,e=2-18,R4=-CH3或-H。
3. The low-refractive-index optical fiber coating resin with high glass transition temperature according to claim 1, wherein the fluorinated polyester diol is made of perfluorodioic acid and fluorine-containing diol through a polycondensation reaction obtained, its number average molecular weight is between 600-4000; wherein, the structural formula of fluorine-containing diol is
Figure FDA0003052603220000022
Figure FDA0003052603220000023
The structural formula of perfluorodiacid is
Figure FDA0003052603220000024
where b=2-20, c=6-18,d =0-2, e=2-18, R4=-CH3 or -H.
4.根据权利要求1所述的一种高玻璃化温度的低折射率光纤涂覆树脂,其特征在于所述的预聚物B的合成方法,包括如下步骤:4. a kind of high glass transition temperature low refractive index optical fiber coating resin according to claim 1, is characterized in that the synthesis method of described prepolymer B, comprises the steps:1)(甲基)丙烯酸缩水甘油酯与全氟二酸按摩尔比2:1混合于反应器中加入催化剂γ和阻聚剂,保持温度80-110℃的反应2-8小时,得到中间体双官能含氟环氧丙烯酸酯FEA;其中,催化剂γ占本步骤物质总质量的0.03%-1%,阻聚剂占整个反应体系物质总质量的0.01%-1%;1) Mix glycidyl (meth)acrylate and perfluorodiacid in a molar ratio of 2:1 in a reactor, add catalyst γ and a polymerization inhibitor, and keep the reaction at a temperature of 80-110 ° C for 2-8 hours to obtain an intermediate Bifunctional fluorine-containing epoxy acrylate FEA; wherein, the catalyst γ accounts for 0.03%-1% of the total mass of the substance in this step, and the polymerization inhibitor accounts for 0.01%-1% of the total mass of the entire reaction system;2)将步骤1)所得中间体双官能含氟环氧丙烯酸酯FEA中加入六亚甲基二异氰酸酯和催化剂β,然后保持70-90℃反应2-4小时,得到中间体氨基甲酸酯改性环氧丙烯酸酯;其中,催化剂β占步骤1)和步骤2)的物质总质量的0.03%-1%,HDI与第一步骤中的FEA的摩尔比为1:2;2) adding hexamethylene diisocyanate and catalyst β to the intermediate bifunctional fluorine-containing epoxy acrylate FEA obtained in step 1), and then maintaining the reaction at 70-90° C. for 2-4 hours to obtain the intermediate urethane modified ester; wherein, the catalyst β accounts for 0.03%-1% of the total mass of the substances in steps 1) and 2), and the molar ratio of HDI to FEA in the first step is 1:2;3)将步骤2)所得中间体氨基甲酸酯改性环氧丙烯酸酯重加入碳酸钾搅拌均匀,降温至40-60℃,缓慢加入全氟烷基酰氯,保持40-60℃反应2-4小时,过滤去除固体颗粒物,得到所述的预聚物B;其中,本步骤中全氟烷基酰氯与步骤1)中全氟二酸的摩尔比为1:1;全氟烷基酰氯与碳酸钾的摩尔比为1:1~1:2。3) The intermediate urethane-modified epoxy acrylate obtained in step 2) is re-added with potassium carbonate, stirred evenly, cooled to 40-60°C, slowly added with perfluoroalkyl acyl chloride, and kept at 40-60°C for reaction 2-4 hours, filtered to remove the solid particles to obtain the prepolymer B; wherein, in this step, the molar ratio of the perfluoroalkyl acid chloride to the perfluorodiacid in step 1) was 1:1; the perfluoroalkyl acid chloride and carbonic acid The molar ratio of potassium is 1:1 to 1:2.5.根据权利要求4所述的一种高玻璃化温度的低折射率光纤涂覆树脂,其特征在于所述的预聚物B合成方法中,所述的催化剂γ是苄基三乙基溴化铵;全氟二酸的结构式为
Figure FDA0003052603220000031
其中b=2-20。
5. a kind of high glass transition temperature low refractive index optical fiber coating resin according to claim 4, is characterized in that in described prepolymer B synthesis method, described catalyst γ is benzyl triethyl bromide Ammonium chloride; the structural formula of perfluorodiacid is
Figure FDA0003052603220000031
where b=2-20.
6.根据权利要求1所述的一种高玻璃化温度的低折射率光纤涂覆树脂,其特征在于所述的附着力增强剂C的合成方法如下:6. the low refractive index optical fiber coating resin of a kind of high glass transition temperature according to claim 1 is characterized in that the synthetic method of described adhesion enhancer C is as follows:含羟基的氟化丙烯酸酯与含有异氰酸酯键的硅烷偶联剂按摩尔比1:1~1.1:1混合于反应器中,加入催化剂β和阻聚剂,保持60-90℃反应2-8小时,得到所述附着力增强剂C;其中,催化剂β的加入量占整个反应体系物质总质量的0.03%-1%,阻聚剂占整个反应体系物质总质量的0.01%-1%。The hydroxyl-containing fluorinated acrylate and the silane coupling agent containing isocyanate bonds are mixed in the reactor in a molar ratio of 1:1 to 1.1:1, and the catalyst β and the polymerization inhibitor are added, and the reaction is kept at 60-90 ° C for 2-8 hours , to obtain the adhesion enhancer C; wherein, the amount of catalyst β added accounts for 0.03%-1% of the total mass of the entire reaction system, and the polymerization inhibitor accounts for 0.01%-1% of the total mass of the entire reaction system.7.根据权利要求2、4、6中任意一项所述的一种高玻璃化温度的低折射率光纤涂覆树脂,其特征在于所述的催化剂β均是含氟的有机锡化合物;阻聚剂均是对羟基苯甲醚或对叔丁基苯酚。7. A low-refractive-index optical fiber coating resin with high glass transition temperature according to any one of claims 2, 4, and 6, wherein the catalyst β is a fluorine-containing organotin compound; The polymerization agents are all p-hydroxyanisole or p-tert-butylphenol.8.根据权利要求1所述的一种高玻璃化温度的低折射率光纤涂覆树脂,其特征在于所述的含氟硅烷偶联剂是含有氟代烷基结构的硅氧烷;所述的单官能活性稀释剂是氟化的烷基丙烯酸酯;所述的多官能活性稀释剂是氟化的多官能丙烯酸酯。8 . The low-refractive-index optical fiber coating resin with high glass transition temperature according to claim 1 , wherein the fluorine-containing silane coupling agent is a siloxane containing a fluoroalkyl structure; the The monofunctional reactive diluent is a fluorinated alkyl acrylate; the multifunctional reactive diluent is a fluorinated multifunctional acrylate.9.根据权利要求1所述的一种高玻璃化温度的低折射率光纤涂覆树脂,其特征在于所述的含氟硅烷偶联剂包括但不限于十七氟癸基三乙氧基硅烷、十七氟癸基三甲氧基硅烷、全氟辛基三甲氧基硅烷、十二氟庚基丙基三甲氧基硅烷、九氟己基三甲氧基硅烷、十三氟辛基三甲氧基硅烷中的一种或几种按比例的混合物;所述的光引发剂包括但不限于2,4,6-三甲基苯甲酰基-二苯基氧化膦、1-羟基-环已基-苯基甲酮、2-羟基-2-甲基-1-苯基丙酮、2-羟基-4-(2-羟乙氧基)-2-甲基苯丙酮中的一种或几种按比例的混合物。9 . The high glass transition temperature and low refractive index optical fiber coating resin according to claim 1 , wherein the fluorine-containing silane coupling agent includes but is not limited to heptadecafluorodecyltriethoxysilane. 10 . , Heptadecafluorodecyltrimethoxysilane, Perfluorooctyltrimethoxysilane, Dodecafluoroheptylpropyltrimethoxysilane, Nonafluorohexyltrimethoxysilane, Tridecafluorooctyltrimethoxysilane One or more mixtures in proportion; the photoinitiators include but are not limited to 2,4,6-trimethylbenzoyl-diphenylphosphine oxide, 1-hydroxy-cyclohexyl-phenyl One or more mixtures in proportion of methyl ketone, 2-hydroxy-2-methyl-1-phenylacetone, 2-hydroxy-4-(2-hydroxyethoxy)-2-methylpropiophenone .10.根据权利要求1所述的一种高玻璃化温度的低折射率光纤涂覆树脂,其特征在于所述的单官能活性稀释剂包括但不限于1H,1H,2H,2H-全氟辛基(甲基)丙烯酸酯、1H,1H,2H,2H-全氟癸基(甲基)丙烯酸酯、1H,1H,2H,2H-全氟己基(甲基)丙烯酸酯、2-(全氟辛基)乙基(甲基)丙烯酸酯、2-(全氟癸基)乙基(甲基)丙烯酸酯、2,2,3,3,4,4,4-七氟丁基丙烯酸酯、2,2,2-三氟乙基丙烯酸酯中的一种或几种按比例的混合物;10. The low refractive index optical fiber coating resin with high glass transition temperature according to claim 1, wherein the monofunctional reactive diluent includes but is not limited to 1H, 1H, 2H, 2H-perfluorooctane Alkyl (meth)acrylate, 1H,1H,2H,2H-perfluorodecyl (meth)acrylate, 1H,1H,2H,2H-perfluorohexyl (meth)acrylate, 2-(perfluorodecyl (meth)acrylate Octyl)ethyl(meth)acrylate, 2-(perfluorodecyl)ethyl(meth)acrylate, 2,2,3,3,4,4,4-heptafluorobutylacrylate, One or more of 2,2,2-trifluoroethyl acrylate in proportion to the mixture;所述的多官能活性稀释剂包括但不限于1H,1H,6H,6H-全氟己基二丙烯酸酯、1H,1H,8H,8H-全氟辛基二丙烯酸酯、1H,1H,10H,10H-全氟癸基二丙烯酸酯中的一种或几种按比例的混合物。The multifunctional reactive diluents include but are not limited to 1H, 1H, 6H, 6H-perfluorohexyl diacrylate, 1H, 1H, 8H, 8H-perfluorooctyl diacrylate, 1H, 1H, 10H, 10H - A mixture of one or more of perfluorodecyl diacrylate in proportion.
CN202110491754.1A2021-05-062021-05-06 A low-refractive-index optical fiber coating resin with high glass transition temperatureActiveCN113355017B (en)

Priority Applications (1)

Application NumberPriority DateFiling DateTitle
CN202110491754.1ACN113355017B (en)2021-05-062021-05-06 A low-refractive-index optical fiber coating resin with high glass transition temperature

Applications Claiming Priority (1)

Application NumberPriority DateFiling DateTitle
CN202110491754.1ACN113355017B (en)2021-05-062021-05-06 A low-refractive-index optical fiber coating resin with high glass transition temperature

Publications (2)

Publication NumberPublication Date
CN113355017Atrue CN113355017A (en)2021-09-07
CN113355017B CN113355017B (en)2022-04-29

Family

ID=77525756

Family Applications (1)

Application NumberTitlePriority DateFiling Date
CN202110491754.1AActiveCN113355017B (en)2021-05-062021-05-06 A low-refractive-index optical fiber coating resin with high glass transition temperature

Country Status (1)

CountryLink
CN (1)CN113355017B (en)

Cited By (9)

* Cited by examiner, † Cited by third party
Publication numberPriority datePublication dateAssigneeTitle
CN114736549A (en)*2022-03-232022-07-12武汉长盈鑫科技有限公司 A kind of FRP coating resin composition suitable for UV-LED curing and preparation method thereof
CN114773985A (en)*2022-05-062022-07-22长飞光纤光缆股份有限公司Low-refractive-index optical fiber coating
CN114957302A (en)*2022-05-102022-08-30常州大学Carborane fluorine-containing photoinitiator and preparation method and application thereof
CN115403716A (en)*2022-09-142022-11-29武汉镱得飞光电技术有限公司Ultraviolet-curing acrylic resin composition and preparation and application thereof
CN115746602A (en)*2022-11-122023-03-07烟台德邦科技股份有限公司High-reliability UV protective coating and preparation method thereof
WO2023190742A1 (en)*2022-03-312023-10-05ダイキン工業株式会社Curable composition
WO2023190723A1 (en)*2022-03-312023-10-05ダイキン工業株式会社Curable composition
WO2023190725A1 (en)*2022-03-312023-10-05ダイキン工業株式会社Curable composition
WO2023190766A1 (en)*2022-03-312023-10-05ダイキン工業株式会社Curable composition

Citations (9)

* Cited by examiner, † Cited by third party
Publication numberPriority datePublication dateAssigneeTitle
US4786658A (en)*1986-02-271988-11-22Dainippon Ink And Chemicals, Inc.Fluorine-containing resin composition having low refractive index
JPH04356444A (en)*1991-05-311992-12-10Nippon Kayaku Co Ltd(meth)acrylate ester, its production, resin composition, coating agent for optical fiber and cured product, all by using the same
JP2002363219A (en)*2001-06-112002-12-18Nippon Kayaku Co LtdResin component having low refractive index and cured product of the same
CN102070745A (en)*2009-11-202011-05-25上海华明高技术(集团)有限公司Fluorinated acrylate copolymer-containing resin and polymerization method thereof
CN105273613A (en)*2015-11-112016-01-27武汉长盈通光电技术有限公司Low-refractive optical fiber coating resin
CN108192071A (en)*2017-12-292018-06-22上海乘鹰新材料有限公司A kind of light-cured resin, liquid photocurable composition
CN111057462A (en)*2019-12-162020-04-24中昊北方涂料工业研究设计院有限公司Ultra-low refractive index high fluorine content UV curing polyurethane acrylate coating
CN111187568A (en)*2020-02-262020-05-22上海维凯光电新材料有限公司Low-refractive-index optical fiber inner layer coating and preparation method thereof
CN112662303A (en)*2019-10-152021-04-16露温迪克埃蒂姆有限公司Highly water-resistant resin composition for optical fiber coating

Patent Citations (9)

* Cited by examiner, † Cited by third party
Publication numberPriority datePublication dateAssigneeTitle
US4786658A (en)*1986-02-271988-11-22Dainippon Ink And Chemicals, Inc.Fluorine-containing resin composition having low refractive index
JPH04356444A (en)*1991-05-311992-12-10Nippon Kayaku Co Ltd(meth)acrylate ester, its production, resin composition, coating agent for optical fiber and cured product, all by using the same
JP2002363219A (en)*2001-06-112002-12-18Nippon Kayaku Co LtdResin component having low refractive index and cured product of the same
CN102070745A (en)*2009-11-202011-05-25上海华明高技术(集团)有限公司Fluorinated acrylate copolymer-containing resin and polymerization method thereof
CN105273613A (en)*2015-11-112016-01-27武汉长盈通光电技术有限公司Low-refractive optical fiber coating resin
CN108192071A (en)*2017-12-292018-06-22上海乘鹰新材料有限公司A kind of light-cured resin, liquid photocurable composition
CN112662303A (en)*2019-10-152021-04-16露温迪克埃蒂姆有限公司Highly water-resistant resin composition for optical fiber coating
CN111057462A (en)*2019-12-162020-04-24中昊北方涂料工业研究设计院有限公司Ultra-low refractive index high fluorine content UV curing polyurethane acrylate coating
CN111187568A (en)*2020-02-262020-05-22上海维凯光电新材料有限公司Low-refractive-index optical fiber inner layer coating and preparation method thereof

Cited By (19)

* Cited by examiner, † Cited by third party
Publication numberPriority datePublication dateAssigneeTitle
CN114736549B (en)*2022-03-232022-09-30武汉长盈鑫科技有限公司 A kind of FRP coating resin composition suitable for UV-LED curing and preparation method thereof
CN114736549A (en)*2022-03-232022-07-12武汉长盈鑫科技有限公司 A kind of FRP coating resin composition suitable for UV-LED curing and preparation method thereof
JP2023152919A (en)*2022-03-312023-10-17ダイキン工業株式会社curable composition
JP2023152918A (en)*2022-03-312023-10-17ダイキン工業株式会社curable composition
JP7723287B2 (en)2022-03-312025-08-14ダイキン工業株式会社 curable composition
JP7723286B2 (en)2022-03-312025-08-14ダイキン工業株式会社 curable composition
WO2023190742A1 (en)*2022-03-312023-10-05ダイキン工業株式会社Curable composition
WO2023190723A1 (en)*2022-03-312023-10-05ダイキン工業株式会社Curable composition
WO2023190725A1 (en)*2022-03-312023-10-05ダイキン工業株式会社Curable composition
WO2023190766A1 (en)*2022-03-312023-10-05ダイキン工業株式会社Curable composition
JP2023152920A (en)*2022-03-312023-10-17ダイキン工業株式会社curable composition
JP7644378B2 (en)2022-03-312025-03-12ダイキン工業株式会社 Curable Composition
JP7644377B2 (en)2022-03-312025-03-12ダイキン工業株式会社 Curable Composition
JP2023152921A (en)*2022-03-312023-10-17ダイキン工業株式会社curable composition
CN114773985A (en)*2022-05-062022-07-22长飞光纤光缆股份有限公司Low-refractive-index optical fiber coating
CN114957302A (en)*2022-05-102022-08-30常州大学Carborane fluorine-containing photoinitiator and preparation method and application thereof
CN115403716A (en)*2022-09-142022-11-29武汉镱得飞光电技术有限公司Ultraviolet-curing acrylic resin composition and preparation and application thereof
CN115746602B (en)*2022-11-122023-12-01烟台德邦科技股份有限公司High-reliability UV protective coating and preparation method thereof
CN115746602A (en)*2022-11-122023-03-07烟台德邦科技股份有限公司High-reliability UV protective coating and preparation method thereof

Also Published As

Publication numberPublication date
CN113355017B (en)2022-04-29

Similar Documents

PublicationPublication DateTitle
CN113355017A (en)Low-refractive-index optical fiber coating resin with high glass transition temperature
KR100454809B1 (en)A solvent-free, radiation-curable, optical glass fiber coating composition and solvent-free method for making a solvent-free, radiation-curable, optical glass fiber coating composition
CN111187568B (en)Low-refractive-index optical fiber inner layer coating and preparation method thereof
JPS6375072A (en) Photocurable coating composition and coated glass optical fiber
JP2009132800A (en) Radiation curable resin composition
CN103687882A (en)Light-curing resin composition, and plumbing member and functional panel using same
CN105754545A (en)Ultraviolet mixing solidifying adhesive for display and preparation method thereof
CN117004361A (en)Ultraviolet light curing adhesive
CN105273613B (en)A kind of optical fiber coating resin of low-refraction
CN108977071B (en)Optical fiber outer layer coating with interpenetrating network polymer structure and preparation method thereof
JP2527186B2 (en) Active energy ray curable composition
CN1304421A (en)Monomer composition for optical plastic material, optical plastic material, and lens
JP2001131243A (en) Liquid radiation-curable resin composition, coating material for optical fiber, and optical fiber
JP2543903B2 (en) Active energy ray curable composition
CN115403716B (en)Ultraviolet light curing acrylic resin composition and preparation and application thereof
US5652821A (en)Plastic-clad optical fiber
JP2000044650A (en)New fluorine-containing urethane (meth)acrylate compound, resin composition and its cured product
JP3238269B2 (en) Composition and lens for high refractive index plastic lens
JP2657415B2 (en) Resin composition and coating agent for optical fiber
JP2002128845A (en) Liquid radiation-curable resin composition, coating composition for optical fiber, and optical fiber
CN117866001A (en)Fluorine-containing silane coupling agent compound and preparation method and application thereof
JP4698047B2 (en) Low refractive index resin composition and cured product thereof
JPS63107846A (en)Coating material for optical glass fiber
JPH07278255A (en) Novel compound and plastic clad optical fiber using the same
JP4702918B2 (en) Low refractive index resin composition and cured product thereof

Legal Events

DateCodeTitleDescription
PB01Publication
PB01Publication
SE01Entry into force of request for substantive examination
SE01Entry into force of request for substantive examination
GR01Patent grant
GR01Patent grant

[8]ページ先頭

©2009-2025 Movatter.jp