



技术领域technical field
本发明涉及数字信号处理领域的声反馈抑制算法,特别是涉及基于线性预测与自适应滤波的可用于扩声系统、医用助听器等设备的声反馈抑制方法。The invention relates to an acoustic feedback suppression algorithm in the field of digital signal processing, in particular to an acoustic feedback suppression method based on linear prediction and adaptive filtering that can be used for sound reinforcement systems, medical hearing aids and other equipment.
背景技术Background technique
扩声系统通常是指将讲话者声音进行实时放大的系统,讲话者和听众通常处于同一个声学环境。也正因麦克风与扬声器的声学环境没有隔离,自从扩声系统投入使用以来,声反馈问题就一直存在。A sound reinforcement system usually refers to a system that amplifies the speaker's voice in real time, and the speaker and the audience are usually in the same acoustic environment. It is also because the acoustic environment of the microphone and the speaker is not isolated that the problem of acoustic feedback has always existed since the sound reinforcement system was put into use.
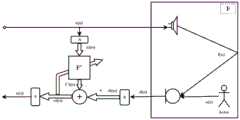
扩声系统工作过程中,当麦克风捕捉到声音信号,经放大电路放大,并由扬声器在相同的环境中回放时,扬声器信号又不可避免地反馈给麦克风,形成一个闭环回路。回路一旦形成,轻则产生回声拖尾影响听众体验,重则产生啸叫效应,使扩声系统过载损坏设备。During the working process of the sound reinforcement system, when the sound signal is captured by the microphone, amplified by the amplifier circuit, and played back by the speaker in the same environment, the speaker signal is inevitably fed back to the microphone to form a closed loop. Once the loop is formed, the echo tail will affect the audience's experience, and the howling effect will cause the sound reinforcement system to overload and damage the equipment.
声反馈包含多种频率成分,根据声反馈的强度和频谱宽度可分为回声和啸叫。当扩声系统存在一定的延时或增益较小,声反馈不足以破坏奈奎斯特稳定条件时,就会产生回声,回声属于原始声音信号的重复,频谱的范围较宽。抑制该类型的声反馈一般采用滤波器对声场环境进行建模,通过给滤波器输入扬声器信号产生回声信号的估计,从麦克风新采集到的信号中减去回声估计,以达到回声消除的目的。若系统的增益足够大,麦克风足够灵敏或麦克风与扬声器距离较近时,输入信号很容易出现同时破坏奈奎斯特幅值和相位条件的频率成分而形成正反馈,在形成正反馈的声音频点就会产生所谓的啸叫。根据啸叫产生的机理可知啸叫属于窄带信号,实际应用中多采用移频器来破坏相位条件或采用陷波器破坏幅值条件进行抑制。Acoustic feedback contains a variety of frequency components, which can be divided into echo and howling according to the intensity and frequency spectrum width of the acoustic feedback. When the sound reinforcement system has a certain delay or the gain is small, and the acoustic feedback is not enough to destroy the Nyquist stability condition, an echo will be generated. The echo belongs to the repetition of the original sound signal and has a wide spectrum range. To suppress this type of acoustic feedback, a filter is generally used to model the sound field environment. By inputting the speaker signal to the filter to generate an estimate of the echo signal, the echo estimate is subtracted from the newly collected signal by the microphone to achieve the purpose of echo cancellation. If the gain of the system is large enough, the microphone is sensitive enough, or the distance between the microphone and the speaker is close, the input signal is likely to have frequency components that destroy the Nyquist amplitude and phase conditions at the same time and form positive feedback. Point will produce the so-called howling. According to the mechanism of howling, it can be known that howling is a narrowband signal. In practical applications, frequency shifters are often used to destroy the phase condition or notch filters are used to destroy the amplitude condition for suppression.
由于自适应滤波器可以主动适应变化的声学环境,特别适合用于助听器声学环境建模或物品及人员经常变动的扩声系统建模。而子带自适应滤波器能显著降低自适应滤波器声学环境建模的运算复杂度,同时划分子带可以对回声信号进行有效的解相关,加快自适应滤波器的收敛速度,近些年来该算法在声反馈抑制领域广泛应用。Since the adaptive filter can actively adapt to the changing acoustic environment, it is especially suitable for the modeling of the acoustic environment of hearing aids or the modeling of sound reinforcement systems where items and people change frequently. The sub-band adaptive filter can significantly reduce the computational complexity of the adaptive filter acoustic environment modeling, and at the same time, dividing the sub-band can effectively decorrelate the echo signal and speed up the convergence speed of the adaptive filter. The algorithm is widely used in the field of acoustic feedback suppression.
但是由于窄带信号啸叫是高度有色的,当声反馈中含有使扩声系统满载的啸叫时,子带自适应算法会对声学环境产生有偏估计,所建模型偏离真实声场,导致回声信号的估计有所偏差,使得减去回声估计后的声音产生一定程度的畸变,严重影响语音辨识度。However, since the howling of the narrowband signal is highly colored, when the acoustic feedback contains howling that makes the sound reinforcement system fully loaded, the sub-band adaptive algorithm will produce a biased estimate of the acoustic environment, and the built model deviates from the real sound field, resulting in echo signals There is a deviation in the estimation of , which makes the sound after subtracting the echo estimation produce a certain degree of distortion, which seriously affects the speech recognition.
发明内容Contents of the invention
本发明的目的是解决上述自适应滤波器对声学环境产生有偏估计,导致声音畸变的问题,而提供一种将自适应线性预测器与子带自适应滤波器相结合的声反馈抑制方法。The purpose of the present invention is to solve the problem that the above-mentioned adaptive filter produces biased estimation of the acoustic environment, resulting in sound distortion, and provides an acoustic feedback suppression method that combines an adaptive linear predictor and a sub-band adaptive filter.
为实现本发明的目的所采用的技术方案是:The technical scheme adopted for realizing the purpose of the present invention is:
基于线性预测与子带自适应滤波的声反馈抑制方法,通过线性预测单元接收外部输入音源进行啸叫抑制,通过自适应滤波单元接收所述线性预测单元处理过的信号,对声学环境进行建模,对声反馈中的回声信号进行抵消,消除回声。The acoustic feedback suppression method based on linear prediction and sub-band adaptive filtering, the linear prediction unit receives an external input sound source for howling suppression, and the adaptive filtering unit receives the signal processed by the linear prediction unit to model the acoustic environment , to cancel the echo signal in the acoustic feedback and eliminate the echo.
其中,所述线性预测单元属于自适应谱线增强器的逆应用,用于对声反馈中的窄带啸叫信号进行抑制。Wherein, the linear prediction unit belongs to the inverse application of the adaptive spectral line enhancer, and is used for suppressing the narrow-band howling signal in the acoustic feedback.
其中,所述线性预测单元通过对过去信号的线性组合,对当前信号内的窄带分量预测,将预测的窄带信号从当前信号中剔除,再辅以自适应算法,依据已经剔除窄带分量的误差信号调整线性预测器的权重,使线性预测单元依窄带信号的变化而变化,最终表现为可自适应的窄带陷波器。Wherein, the linear prediction unit predicts the narrowband component in the current signal through the linear combination of the past signals, and removes the predicted narrowband signal from the current signal, and then supplements with an adaptive algorithm, based on the error signal that has eliminated the narrowband component The weight of the linear predictor is adjusted so that the linear predictor unit changes according to the change of the narrowband signal, and finally behaves as an adaptive narrowband notch filter.
其中,所述自适应算法包括最小均方算法LMS、归一化最小均方算法NLMS及最小均方算法LMS、归一化最小均方算法NLMS所衍生的算法。Wherein, the adaptive algorithm includes least mean square algorithm LMS, normalized least mean square algorithm NLMS and algorithms derived from least mean square algorithm LMS and normalized least mean square algorithm NLMS.
其中,所述自适应滤波单元通过使用子带自适应算法,计算出回声信号的估计,得出输入信号与回声估计的差值,恢复出原始语音。Wherein, the adaptive filtering unit calculates an estimate of the echo signal by using a sub-band adaptive algorithm, obtains a difference between the input signal and the estimate of the echo, and restores the original speech.
其中,所述子带自适应算法包括最小均方算法LMS、归一化最小均方算法NLMS及最小均方算法LMS、归一化最小均方算法NLMS所衍生的算法。Wherein, the subband adaptive algorithm includes least mean square algorithm LMS, normalized least mean square algorithm NLMS, and algorithms derived from least mean square algorithm LMS and normalized least mean square algorithm NLMS.
本发明克服了传统的子带自适应滤波器对高度有色信号的有偏估计,不仅能对声学环境进行更准确的建模,也能对变化的声学环境进行有效的跟随。本发明能在进行有效的声反馈抑制的同时,降低对原始声音的影响,可应用于医用助听器和扩声系统等场合。The invention overcomes the biased estimation of the highly colored signal by the traditional sub-band adaptive filter, and can not only model the acoustic environment more accurately, but also effectively follow the changing acoustic environment. The invention can effectively suppress the acoustic feedback and reduce the influence on the original sound, and can be applied to medical hearing aids, sound reinforcement systems and the like.
附图说明Description of drawings
图1是本发明实施例提供的线性预测单元结构示意图;FIG. 1 is a schematic structural diagram of a linear prediction unit provided by an embodiment of the present invention;
图2是本发明实施例提供的自适应滤波单元结构示意图;FIG. 2 is a schematic structural diagram of an adaptive filtering unit provided by an embodiment of the present invention;
图3是本发明实施例提供的子带自适应滤波单元的结构示意图;FIG. 3 is a schematic structural diagram of a subband adaptive filtering unit provided by an embodiment of the present invention;
图4是本发明实施例提供的基于线性预测与子带自适应滤波的声反馈抑制装置的结构图。Fig. 4 is a structural diagram of an acoustic feedback suppression device based on linear prediction and sub-band adaptive filtering provided by an embodiment of the present invention.
具体实施方式Detailed ways
以下结合附图和具体实施例对本发明作进一步详细说明。应当理解,此处所描述的具体实施例仅仅用以解释本发明,并不用于限定本发明。The present invention will be described in further detail below in conjunction with the accompanying drawings and specific embodiments. It should be understood that the specific embodiments described here are only used to explain the present invention, not to limit the present invention.
本发明实施例的基于线性预测与子带自适应滤波的声反馈抑制算法,通过线性预测单元与自适应滤波单元实现,所述的线性预测单元接收外部输入音源进行啸叫抑制,所述的自适应滤波单元接收线性预测单元处理过的信号,对声学环境进行建模,消除回声。The acoustic feedback suppression algorithm based on linear prediction and sub-band adaptive filtering in the embodiment of the present invention is realized by a linear prediction unit and an adaptive filtering unit, the linear prediction unit receives an external input sound source to suppress howling, and the automatic The adaptive filtering unit receives the signal processed by the linear prediction unit, models the acoustic environment, and eliminates the echo.
下面,先对各单元工作原理进行说明,再将两者结合说明整体工作流程。In the following, the working principle of each unit will be described first, and then the overall working process will be described by combining the two.
本发明实施例中的线性预测单元属于自适应谱线增强器的逆应用,用于对声反馈中的窄带啸叫信号进行抑制。由于窄带信号相邻样本之间是高度相关的,因此通过对过去信号的合理线性组合,可以对当前信号内的窄带分量进行预测,据此可将预测的窄带信号从当前信号中剔除,此时线性预测单元充当陷波器的角色;再辅以自适应算法,依据已经剔除窄带分量的误差信号调整线性预测器的权重(抽头系数),线性预测单元便会依窄带信号的变化而变化,最终线性预测单元表现为可自适应的窄带陷波器。The linear prediction unit in the embodiment of the present invention belongs to the inverse application of the adaptive spectral line enhancer, and is used for suppressing the narrow-band howling signal in the acoustic feedback. Since the adjacent samples of the narrowband signal are highly correlated, the narrowband component in the current signal can be predicted through a reasonable linear combination of the past signals, and the predicted narrowband signal can be removed from the current signal. The linear prediction unit acts as a notch filter; supplemented by an adaptive algorithm, the weight (tap coefficient) of the linear predictor is adjusted according to the error signal that has eliminated the narrowband component, and the linear prediction unit will change according to the change of the narrowband signal, and finally The linear prediction unit behaves as an adaptive narrowband notch filter.
本发明实施例中的线性预测单元可以采用的自适应算法包括但不限于最小均方算法(LMS)、归一化最小均方算法(NLMS)及其衍生的算法。The adaptive algorithm that can be adopted by the linear prediction unit in the embodiment of the present invention includes but not limited to least mean square algorithm (LMS), normalized least mean square algorithm (NLMS) and derived algorithms.
本单元属于自适应谱线增强器的逆应用,用于去除声反馈中的窄带啸叫信号。在本算法较佳的实施例中,线性预测单元采用了有限冲击响应(FIR)结构。This unit belongs to the inverse application of the adaptive spectral line enhancer, which is used to remove the narrow-band howling signal in the acoustic feedback. In a preferred embodiment of the algorithm, the linear prediction unit adopts a finite impulse response (FIR) structure.
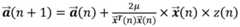
图1是本发明实施例中所涉及的线性预测单元结构示意图,原始语音信号记为s(n),由声反馈引入的啸叫信号记为g(n),y(n)为掺杂有啸叫的语音信号,x(n)代表扬声器信号,n代表该信号为第n时刻的样本。Fig. 1 is a schematic diagram of the structure of the linear prediction unit involved in the embodiment of the present invention, the original voice signal is marked as s(n), the howling signal introduced by the acoustic feedback is marked as g(n), and y(n) is doped with The howling voice signal, x(n) represents the speaker signal, and n represents that the signal is the sample at the nth moment.
对于啸叫信号g(n),其样本是相关的。因此依照其过去样本g(n-1),g(n-2),…与当前样本g(n)的相关性,g(n)的预测值g′(n)可以通过式(1)所示方式进行预测,其中bk为g(n)过去信号的权重,N为预测器长度。For howling signal g(n), its samples are correlated. Therefore, according to the correlation between its past samples g(n-1), g(n-2), ... and the current sample g(n), the predicted value g'(n) of g(n) can be obtained by formula (1) Prediction is done in the shown way, where bk is the weight of the past signal of g(n), and N is the length of the predictor.
由于y(n)的相关性主要是由啸叫信号g(n)引入的,y(n)预测值y′(n)可近似认为是g(n)的预测值g′(n),即g′(n)≈y′(n)。因此g′(n)还可以用y(n)进行预测,如式(2)所示,其中ak为y(n)过去信号的权重。Since the correlation of y(n) is mainly introduced by the howling signal g(n), the predicted value y′(n) of y(n) can be approximately considered as the predicted value g′(n) of g(n), namely g'(n)≈y'(n). Therefore, g'(n) can also be predicted by y(n), as shown in formula (2), where ak is the weight of the past signal of y(n).
如图1所示,引入自适应算法,根据y(n)与g′(n)的误差信号z(n)动态调整过去样本y(n-1),y(n-2),…的权重ak,并以误差信号z(n)作为输出信号,线性预测单元便等效为了一个可以根据啸叫频点自适应的陷波器。图1中的G代表以ak为抽头系数的FIR滤波器。As shown in Figure 1, an adaptive algorithm is introduced to dynamically adjust the weights of past samples y(n-1), y(n-2), ... according to the error signal z(n) of y(n) and g′(n). ak , and taking the error signal z(n) as the output signal, the linear prediction unit is equivalent to a notch filter that can be adaptive according to the howling frequency. G in Fig. 1 represents the FIR filter with ak as the tap coefficient.
具体的,若自适应算法采用NLMS算法,设抽头数为N,并定义如下向量:Specifically, if the adaptive algorithm adopts the NLMS algorithm, set the number of taps as N, and define the following vector:
那么,样本权重可按下述步骤进行迭代:Then, the sample weights can be iterated according to the following steps:
第一步、(权重赋初值):The first step, (the weight is assigned the initial value):
第二步、(啸叫估计):The second step, (howling estimation):
第三步、(计算误差信号):z(n)=y(n)-g′(n)The third step, (calculate the error signal): z(n)=y(n)-g'(n)
第四步、(权重迭代):The fourth step, (weight iteration):
其中,角标T代表矩阵或向量的转置,代表向量,μ为NLMS算法迭代步长。Among them, subscript T represents the transpose of matrix or vector, Represents a vector, and μ is the iteration step size of the NLMS algorithm.
循环进行第二到四步,等效为陷波器的线性预测单元可收敛至啸叫频点。以误差信号z(n)为输出信号,可得到去除啸叫分量的y(n)。The second to fourth steps are performed in a loop, and the linear prediction unit equivalent to a notch filter can converge to the howling frequency point. Taking the error signal z(n) as the output signal, y(n) with the howling component removed can be obtained.
由于线性预测单元只对高度相关的窄带信号敏感,若y(n)不含有啸叫分量,线性预测单元体现为全通滤波器。观察图1,线性预测单元输出的信号z(n)与输入的信号y(n)之间仅间隔一次减法操作,因此线性预测单元近似为无延迟的,这是与传统陷波器相比的又一优势,这使得线性预测单元特别适用于实时性要求比较高的医用助听器等领域。Since the linear prediction unit is only sensitive to highly correlated narrowband signals, if y(n) does not contain howling components, the linear prediction unit is embodied as an all-pass filter. Looking at Figure 1, there is only one subtraction operation between the output signal z(n) of the linear prediction unit and the input signal y(n), so the linear prediction unit is approximately without delay, which is compared with the traditional notch filter Another advantage, which makes the linear prediction unit especially suitable for fields such as medical hearing aids that require relatively high real-time performance.
本发明实施例中的自适应滤波单元用于对声学环境建模,对声反馈中的回声信号进行抵消。虽然回声信号与原始语音信号也具有一定的相关性,但由于回声信号与原始语音信号之间存在一定的时间间隔,且具有较宽的频谱范围,使得表现为陷波器的线性预测单元不能对其进行有效的控制。抑制回波的通常做法是使用自适应滤波器对声学环境建模,本发明实施例的自适应滤波单元通过使用子带自适应算法,计算出回声信号的估计,得出输入信号与回声估计的差值,恢复出原始语音。The adaptive filtering unit in the embodiment of the present invention is used to model the acoustic environment and cancel the echo signal in the acoustic feedback. Although there is a certain correlation between the echo signal and the original speech signal, but because there is a certain time interval between the echo signal and the original speech signal, and it has a wide spectrum range, the linear prediction unit represented as a notch filter cannot It is effectively controlled. The usual way to suppress echo is to use adaptive filters to model the acoustic environment. The adaptive filtering unit in the embodiment of the present invention calculates the estimate of the echo signal by using the sub-band adaptive algorithm, and obtains the estimated value of the input signal and the echo estimate. difference to restore the original voice.
本发明实施例中,自适应滤波单元同时引入了自适应滤波器来对声学环境进行建模,并采用了性能更佳的子带自适应滤波算法,以抵消声反馈中的具有宽频谱范围的回声信号。子带自适应滤波算法一方面对输入信号划分子带,可以有效的解除原始语音和回声信号之间的相关性,加快自适应滤波器的收敛速度;另一方面各个子带信号可以抽样至较低的采样率进行处理,与传统自适应滤波器相比大幅降低了运算复杂度。In the embodiment of the present invention, the adaptive filter unit also introduces an adaptive filter to model the acoustic environment, and adopts a sub-band adaptive filter algorithm with better performance to offset the noise with a wide spectral range in the acoustic feedback. echo signal. On the one hand, the sub-band adaptive filtering algorithm divides the input signal into sub-bands, which can effectively remove the correlation between the original speech and the echo signal, and speed up the convergence of the adaptive filter; on the other hand, each sub-band signal can be sampled to a smaller Compared with the traditional adaptive filter, the computational complexity is greatly reduced.
图2是本发明中所涉及的自适应滤波单元结构示意图。子带自适应滤波器有多种结构,下面,以图3中所示的一种典型自适应滤波结构为例,并结合图2进行说明。图2中A代表将全带信号划分为M个子带信号的分析滤波器组,S是近似为A逆矩阵的综合滤波器组,用于将子带信号重建为全带信号,信号依次经A、S后满足完全重建(PerfectReconstruction)条件,即仅引入一个纯时延。Fig. 2 is a schematic structural diagram of an adaptive filtering unit involved in the present invention. There are various structures of the sub-band adaptive filter. In the following, a typical adaptive filter structure shown in FIG. 3 is taken as an example, and illustrated in conjunction with FIG. 2 . In Figure 2, A represents the analysis filter bank that divides the full-band signal into M sub-band signals, and S is a synthesis filter bank that is approximately the inverse matrix of A, which is used to reconstruct the sub-band signal into a full-band signal, and the signal is sequentially passed through A After , S, the Perfect Reconstruction condition is satisfied, that is, only a pure time delay is introduced.
原始语音信号记为s(n),经声场F引入的回声信号记为f(n),d(n)为掺杂有回声信号的语音信号,x(n)代表扬声器信号,f′(n)为回声估计信号。图2中的di(n)、xi(n)分别为d(n)、x(n)经A划分子带后的第i个子带分量;f′i(n)为xi(n)经过F′i滤波后得到的第i个子带的回声估计信号;ei(n)代表第i个子带的误差信号,可经S综合为全带误差信号e(n)。F′是运用自适应算法所建立的声场模型。The original speech signal is denoted as s(n), the echo signal introduced by the sound field F is denoted as f(n), d(n) is the speech signal mixed with the echo signal, x(n) represents the loudspeaker signal, f′(n ) is the echo estimation signal. di (n) and xi (n) in Figure 2 are respectively the i-th subband component after d(n) and x(n) are divided into subbands by A; f′i (n) is xi (n ) is the echo estimation signal of the i-th sub-band obtained after F′i filtering; ei (n) represents the error signal of the i-th sub-band, which can be synthesized by S into a full-band error signal e(n). F' is the sound field model established by the adaptive algorithm.
具体的,如图3所示在每个子带内引入自适应算法,在第i个子带内,用di(n)与f′i(n)的误差信号ei(n)动态调整声场模型F′i,可使全带误差信号e(n)逐渐逼近原始语音信号s(n)。Specifically, as shown in Figure 3, anadaptive algorithm is introduced in each sub-band, and in the i-th sub-band, the error signal e i (n) of di (n) and f′i (n) is used to dynamically adjust the sound field model F'i can make the full-band error signal e(n) gradually approach the original speech signal s(n).
若子带内采用NLMS算法,设子带自适应滤波器抽头数为L,第i个子带的自适应滤波器F′i(n)的第j个抽头系数记为F′i,j(n),定义如下向量:If the NLMS algorithm is used in the sub-band, the number of sub-band adaptive filter taps is set to L, and the j-th tap coefficient of the i-th sub-band adaptive filter F′i (n) is denoted as F′i, j (n) , define the following vectors:
F′i(n)=[F′i,0(n)F′i,1(n)...F′i,L-1(n)]F′i (n)=[F′i,0 (n)F′i,1 (n)...F′i,L-1 (n)]
那么,第i个子带的抽头系数F′i(n)可按下述步骤进行迭代:Then, the tap coefficient F′i (n) of the i-th subband can be iterated according to the following steps:
第一步、(抽头系数赋初值):The first step, (assign the initial value of the tap coefficient):
第二步、(回声估计):The second step, (echo estimation):
第三步、(计算误差信号):ei(n)=di(n)-f′i(n)The third step, (calculate error signal): ei (n)=di (n)-f'i (n)
第四步、(权重迭代):The fourth step, (weight iteration):
其中,角标T代表矩阵或向量的转置,和粗体字母代表向量,α为NLMS算法迭代步长。Among them, subscript T represents the transpose of matrix or vector, and bold letters represent vectors, and α is the iteration step size of the NLMS algorithm.
在每个子带内循环进行第二到四步,F′可逐渐收敛至声学环境F。以误差信号e(n)为输出信号,可有效抵消d(n)中回声分量。The second to fourth steps are performed circularly in each subband, and F' can gradually converge to the acoustic environment F. Taking the error signal e(n) as the output signal can effectively cancel the echo component in d(n).
图4是本发明实施例提供的用于实现基于线性预测与子带自适应滤波的声反馈抑制方法的装置整体结构图。本发明将上述两个单元相结合,以实现同时去除声反馈中的窄带啸叫信号和宽频谱回声信号。通过所述的线性预测单元接收外部输入音源并进行啸叫抑制,所述的子带自适应滤波单元接收线性预测单元处理过的信号,对声学环境进行建模,抑制回声信号。Fig. 4 is an overall structural diagram of a device for implementing an acoustic feedback suppression method based on linear prediction and sub-band adaptive filtering provided by an embodiment of the present invention. The present invention combines the above two units to simultaneously remove the narrow-band howling signal and the wide-spectrum echo signal in the acoustic feedback. The linear prediction unit receives an external input sound source and performs howling suppression, and the sub-band adaptive filtering unit receives the signal processed by the linear prediction unit, models the acoustic environment, and suppresses the echo signal.
以上所述仅是本发明的优选实施方式,应当指出的是,对于本技术领域的普通技术人员来说,在不脱离本发明原理的前提下,还可以做出若干改进和润饰,这些改进和润饰也应视为本发明的保护范围。The above is only a preferred embodiment of the present invention, it should be pointed out that, for those of ordinary skill in the art, without departing from the principle of the present invention, some improvements and modifications can also be made, these improvements and Retouching should also be regarded as the protection scope of the present invention.
| Application Number | Priority Date | Filing Date | Title |
|---|---|---|---|
| CN202110552960.9ACN113347536B (en) | 2021-05-20 | 2021-05-20 | Acoustic feedback suppression algorithm based on linear prediction and sub-band adaptive filtering |
| Application Number | Priority Date | Filing Date | Title |
|---|---|---|---|
| CN202110552960.9ACN113347536B (en) | 2021-05-20 | 2021-05-20 | Acoustic feedback suppression algorithm based on linear prediction and sub-band adaptive filtering |
| Publication Number | Publication Date |
|---|---|
| CN113347536A CN113347536A (en) | 2021-09-03 |
| CN113347536Btrue CN113347536B (en) | 2023-05-26 |
| Application Number | Title | Priority Date | Filing Date |
|---|---|---|---|
| CN202110552960.9AExpired - Fee RelatedCN113347536B (en) | 2021-05-20 | 2021-05-20 | Acoustic feedback suppression algorithm based on linear prediction and sub-band adaptive filtering |
| Country | Link |
|---|---|
| CN (1) | CN113347536B (en) |
| Publication number | Priority date | Publication date | Assignee | Title |
|---|---|---|---|---|
| CN114513723B (en)* | 2022-02-23 | 2025-06-10 | 北京小米移动软件有限公司 | Howling sound suppression method, device, earphone and storage medium |
| CN115426576B (en)* | 2022-09-21 | 2025-07-18 | 思必驰科技股份有限公司 | Sound feedback suppression method, electronic device and storage medium |
| Publication number | Priority date | Publication date | Assignee | Title |
|---|---|---|---|---|
| CN102164210A (en)* | 2010-01-08 | 2011-08-24 | 科尼桑特系统股份有限公司 | Systems and methods for echo cancellation and echo suppression |
| WO2014097470A1 (en)* | 2012-12-21 | 2014-06-26 | Toa株式会社 | Reverberation removal device |
| CN107291663A (en)* | 2017-06-12 | 2017-10-24 | 华侨大学 | The variable step suppressed applied to acoustic feedback normalizes sub-band adaptive filtering method |
| JP2019087815A (en)* | 2017-11-02 | 2019-06-06 | リオン株式会社 | Feedback canceller and hearing aid provided with the same |
| Publication number | Priority date | Publication date | Assignee | Title |
|---|---|---|---|---|
| CN102164210A (en)* | 2010-01-08 | 2011-08-24 | 科尼桑特系统股份有限公司 | Systems and methods for echo cancellation and echo suppression |
| WO2014097470A1 (en)* | 2012-12-21 | 2014-06-26 | Toa株式会社 | Reverberation removal device |
| CN107291663A (en)* | 2017-06-12 | 2017-10-24 | 华侨大学 | The variable step suppressed applied to acoustic feedback normalizes sub-band adaptive filtering method |
| JP2019087815A (en)* | 2017-11-02 | 2019-06-06 | リオン株式会社 | Feedback canceller and hearing aid provided with the same |
| Publication number | Publication date |
|---|---|
| CN113347536A (en) | 2021-09-03 |
| Publication | Publication Date | Title |
|---|---|---|
| CN109727604B (en) | Frequency domain echo cancellation method for speech recognition front end and computer storage medium | |
| Boll et al. | Suppression of acoustic noise in speech using two microphone adaptive noise cancellation | |
| JP5049277B2 (en) | Method and system for clear signal acquisition | |
| US8189767B2 (en) | Method and system for clear signal capture | |
| US8594320B2 (en) | Hybrid echo and noise suppression method and device in a multi-channel audio signal | |
| JP4184342B2 (en) | Method and system for processing subband signals using adaptive filters | |
| CN105575397B (en) | Voice noise reduction method and voice acquisition equipment | |
| CN1719516B (en) | Adaptive filter device and adaptive filtering method | |
| JP4957810B2 (en) | Sound processing apparatus, sound processing method, and sound processing program | |
| CN111213359B (en) | Echo canceller and method for echo canceller | |
| WO2006111369A1 (en) | A method and device for removing echo in an audio signal | |
| JP2001128282A (en) | Microphone array processing system for noisy multi-path environment | |
| CN102739886A (en) | Stereo echo offset method based on echo spectrum estimation and speech existence probability | |
| CN115457928B (en) | A method and system for echo cancellation based on neural network double talk detection | |
| CN110191245B (en) | An Adaptive Echo Cancellation Method Based on Time-varying Parameters | |
| CN113347536B (en) | Acoustic feedback suppression algorithm based on linear prediction and sub-band adaptive filtering | |
| CN100524464C (en) | Adaptive filter method and apparatus for improving speech quality of mobile communication apparatus | |
| JP6143702B2 (en) | Echo canceling apparatus, method and program | |
| Noor | Frequency Controlled Noise Cancellation for Audio and Hearing Purposes | |
| TW201801068A (en) | Signal processing device and signal processing method | |
| Noor et al. | Development of a background noise cancellation system using efficient oversampled DFT filter banks | |
| Hegde et al. | Performance Analysis for Acoustic Echo Cancellation Systems based on Variable Step Size NLMS algorithms | |
| Rao et al. | Comparing Performance of KalmanFiltering and DWT based on the Speech Enhancement Techniques | |
| Jeyakumar et al. | Simulation of Adaptive Algorithms for Feedback and Noise Cancellation in Digital Hearing Aids | |
| Hire et al. | Intelligibility Enhancement of Synthetic Speech: A Review |
| Date | Code | Title | Description |
|---|---|---|---|
| PB01 | Publication | ||
| PB01 | Publication | ||
| SE01 | Entry into force of request for substantive examination | ||
| SE01 | Entry into force of request for substantive examination | ||
| GR01 | Patent grant | ||
| GR01 | Patent grant | ||
| CF01 | Termination of patent right due to non-payment of annual fee | Granted publication date:20230526 | |
| CF01 | Termination of patent right due to non-payment of annual fee |