Movatterモバイル変換


[0]ホーム

URL:


CN113333474A - Strip steel hot-rolled plate shape control method and system based on digital twinning - Google Patents

Strip steel hot-rolled plate shape control method and system based on digital twinning
Download PDF

Info

Publication number
CN113333474A
CN113333474ACN202110458749.0ACN202110458749ACN113333474ACN 113333474 ACN113333474 ACN 113333474ACN 202110458749 ACN202110458749 ACN 202110458749ACN 113333474 ACN113333474 ACN 113333474A
Authority
CN
China
Prior art keywords
plate shape
rolling
model
data
parameters
Prior art date
Legal status (The legal status is an assumption and is not a legal conclusion. Google has not performed a legal analysis and makes no representation as to the accuracy of the status listed.)
Granted
Application number
CN202110458749.0A
Other languages
Chinese (zh)
Other versions
CN113333474B (en
Inventor
董强
李朝阳
张乐辰
何毅
文雄
Current Assignee (The listed assignees may be inaccurate. Google has not performed a legal analysis and makes no representation or warranty as to the accuracy of the list.)
Shandong Iron and Steel Co Ltd
Original Assignee
Shandong Iron and Steel Co Ltd
Priority date (The priority date is an assumption and is not a legal conclusion. Google has not performed a legal analysis and makes no representation as to the accuracy of the date listed.)
Filing date
Publication date
Application filed by Shandong Iron and Steel Co LtdfiledCriticalShandong Iron and Steel Co Ltd
Priority to CN202110458749.0ApriorityCriticalpatent/CN113333474B/en
Publication of CN113333474ApublicationCriticalpatent/CN113333474A/en
Application grantedgrantedCritical
Publication of CN113333474BpublicationCriticalpatent/CN113333474B/en
Activelegal-statusCriticalCurrent
Anticipated expirationlegal-statusCritical

Links

Images

Classifications

Landscapes

Abstract

The invention provides a strip steel hot rolled plate shape control method and system based on digital twinning, wherein the method comprises the following steps: collecting historical production data of different steel grades, and suggesting a production database; the data comprises rolling process parameters of each rack, plate blank state parameters and finish rolling outlet plate shape data; establishing a physical model of each plate shape influence factor in the rolling process according to historical production data, field test data and experimental data; solving the input parameters of the finite element simulation model through the physical model; establishing a finite element simulation result database; and establishing a digital twin body based on the production database and the finite element simulation result database, and adjusting the rolling process parameters of each rack through the digital twin body to control the plate shape. A control system is also provided based on the method. The invention carries out data interaction between the rolling mill and the twin body, can realize the prediction of the plate shape, and adjusts the plate shape control means according to the plate shape prediction result and the rolling mill outlet plate shape measurement result to improve the plate shape quality.

Description

Strip steel hot-rolled plate shape control method and system based on digital twinning
Technical Field
The invention belongs to the technical field of hot-rolled strip steel, and particularly relates to a strip steel hot-rolled strip shape control method and system based on digital twinning.
Background
The problem of plate shape is a main problem which restricts the quality of a plate hot-rolled strip steel product, and is also a research frontier and hotspot problem which is high in difficulty and large in influence in the current rolling field. The modern strip rolling industry is developing towards high precision and automation, and the requirements of users on the quality of the strip are higher and higher. In order to improve the strip shape quality of the strip steel, the strip shape control theory is continuously perfected, new machine types, roll shape technologies, rolling processes and strip shape detection technologies are greatly developed, and the strip shape control technology is greatly improved. However, the strip rolling process, especially the hot rolling process, is a complicated metal working process, and the influencing factors of the strip shape quality are various and complicated. The strip, especially wide, extremely thin, super-strong or super-soft strip steel, is easy to have plate shape defects in the rolling process, and most of the defects are that the roll bending force and the roll shifting amount of some frames are in limit values, and meanwhile, the plate shape adjusting capacity of some frames is more surplus. Because different steel types have different high-temperature structures and deformation characteristics, the flatness dead zone ranges are different, the difference of the structures, deformation behaviors and the flatness dead zone ranges of the different steel types is not fully considered in the process of controlling the plate shape of the rolling mill control model, and field technicians generally have insufficient knowledge on the high-temperature structures and the mechanical characteristics of the steel types, so that the defects of the plate shape cannot be effectively controlled no matter feedback control or manual intervention through a control console is adopted.
In order to improve the quality of the plate shape, a rolling process finite element model is generally established on the basis of analysis such as field data acquisition, thermal simulation experiment, constitutive modeling and the like, finite element simulation analysis is carried out, the reason for generating the plate shape defect is searched, the plate shape control effect under the action of each regulation and control means is analyzed, and a plate shape control strategy can be formulated according to the simulation result, so that the aims of eliminating the plate shape defect and improving the plate shape quality are achieved. However, the finite element calculation and result analysis process is time-consuming, and it is difficult to directly apply the finite element simulation result to the production field for online plate shape control.
Disclosure of Invention
In order to solve the technical problem, the invention provides a strip steel hot-rolled strip shape control method and system based on digital twinning. And data interaction is carried out between the rolling mill and the twin body, the prediction of the plate shape can be realized, the plate shape control means is adjusted according to the plate shape prediction result and the outlet plate shape measurement result of the rolling mill, and the plate shape quality is improved.
In order to achieve the purpose, the invention adopts the following technical scheme:
a strip steel hot rolled plate shape control method based on digital twinning comprises the following steps:
collecting historical production data of different steel grades, and suggesting a production database; the data comprises rolling process parameters of each rack, plate blank state parameters and finish rolling outlet plate shape data;
establishing a physical model of each plate shape influence factor in the rolling process according to historical production data, field test data and experimental data; solving the input parameters of the finite element simulation model through the physical model; the physical model comprises a slab thermoplastic constitutive model, a working roll thermal expansion model, a working roll abrasion model and a supporting roll abrasion model;
analyzing the strip shape change trend of strip steel of each specification under different input by virtue of historical production data and input parameters of a finite element simulation model through finite element simulation calculation, extracting output parameters under the influence of each input parameter, and establishing a finite element simulation result database;
and establishing a digital twin body on the basis of the production database and the finite element simulation result database, and adjusting and producing the rolling process parameters of each rack through the digital twin body so as to control the plate shape.
Further, the establishing the finite element simulation result database further includes: and calculating output parameters of the input parameters which are not in the finite element result database by adopting a linear difference method.
Further, the process of adjusting the rolling process parameters of each stand through the digital twin body to control the plate shape comprises the following steps:
before the plate blank enters a rolling mill, acquiring the incoming material information of the plate blank, introducing a digital twin body, and comparing the incoming material information with historical production data in a production database to predict the shape of a finish rolling outlet; if the plate shape meets the prediction target, presetting rolling parameters according to a control model, and not sending a control instruction to the rolling mill by the twin; if the plate shape prediction result does not accord with the prediction target, the production process parameters of the rolling mill are adjusted once through the twin body according to the finite element simulation result database; the data of the primary adjustment comprise the rolling reduction of each rack, the roll shifting position of a working roll and the rolling speed;
in the rolling process, rolling process parameters and plate shape measurement data of each stand are transmitted into the twin body in real time, if a plate shape measurement result accords with a prediction target, the twin body does not adjust production process parameters, and the rolling mill executes an original rolling process and a control algorithm; if the plate shape measurement result does not accord with the prediction target, secondarily adjusting the production process parameters of the rolling mill through the twin body according to the finite element simulation result database; and the data of the secondary adjustment comprise single-frame roller bending force, multi-frame roller bending force and the asymmetrical rolling reduction of the finish rolling end frame.
Further, when judging whether the plate shape prediction result and the plate shape measurement result meet the prediction target, a target range needs to be set for products of different specifications in advance.
Furthermore, the rolling technological parameters of each rack comprise the rolling reduction of each rack, the roll bending force of each working roll of each rack, the roll shifting amount of each working roll of each rack, the roll gap convexity of each working roll of each rack, the rolling speed of each rack and the rolling time of each working roll of each rack;
the slab state parameters comprise steel type, slab width, mill inlet slab thickness, mill outlet slab thickness, mill inlet slab temperature and mill outlet slab temperature;
the finish rolling outlet plate shape data comprises convexity, flatness and wedge shape.
Further, the process of establishing the thermoplastic constitutive model of the slab comprises the following steps:
selecting a plurality of steel grades with poor plate shapes or difficult plate shapes to control for cutting and sampling, and setting thermal simulation experiment parameters according to actual rolling conditions; measuring stress-strain curves of the selected steel at different temperatures and different strain rates through a thermal simulation experiment; and establishing a slab thermoplastic constitutive model by adopting an Arrhenius formula.
Further, the method for establishing the thermal expansion model of the working roll comprises the following steps: on the basis of measuring the surface temperature of the on-site roller, respectively aiming at different stand positions and different roller materials, considering different rolling stages and the on-machine time length, and establishing a working roller thermal expansion model.
Further, the process of solving the input parameters of the finite element simulation model through the physical model comprises: and solving different slab state parameters, different rolling stages, different rolling process parameters, slab thermoplastic rheological stress at different frame positions, thermal convexity of the working roll, milling roll shape of the working roll and milling roll shape of the supporting roll through the slab thermoplastic constitutive model, the working roll thermal expansion model, the working roll milling model and the supporting roll milling model.
The invention also provides a strip steel hot rolled plate shape control system based on digital twinning, which comprises an acquisition module, a first establishing module, a second establishing module and an adjusting module;
the acquisition module is used for acquiring historical production data of different steel grades and suggesting a production database; the data comprises rolling process parameters of each rack, plate blank state parameters and finish rolling outlet plate shape data;
the first establishing module is used for establishing a physical model of each plate shape influence factor in the rolling process according to historical production data, field test data and experimental data; solving the input parameters of the finite element simulation model through the physical model; the physical model comprises a slab thermoplastic constitutive model, a working roll thermal expansion model, a working roll abrasion model and a supporting roll abrasion model;
the second establishing module is used for analyzing the strip shape change trend of the strip steel of each specification under different input by virtue of historical production data and input parameters of the finite element simulation model through finite element simulation calculation, extracting output parameters under the influence of each input parameter and establishing a finite element simulation result database;
the adjusting module is used for establishing a digital twin body on the basis of the production database and the finite element simulation result database, and adjusting and producing the rolling process parameters of each rack through the digital twin body so as to control the plate shape.
Further, the second establishing module further comprises a calculating module;
and the calculation module is used for calculating the output parameters of the input parameters which are not in the finite element result database by adopting a linear difference method.
The effect provided in the summary of the invention is only the effect of the embodiment, not all the effects of the invention, and one of the above technical solutions has the following advantages or beneficial effects:
the invention provides a strip steel hot rolled plate shape control method and system based on digital twinning, wherein the method comprises the following steps: collecting historical production data of different steel grades, and suggesting a production database; the data comprises rolling process parameters of each rack, plate blank state parameters and finish rolling outlet plate shape data; establishing a physical model of each plate shape influence factor in the rolling process according to historical production data, field test data and experimental data; solving the input parameters of the finite element simulation model through the physical model; the physical model comprises a slab thermoplastic constitutive model, a working roll thermal expansion model, a working roll abrasion model and a supporting roll abrasion model; analyzing the strip shape change trend of strip steel of each specification under different input by virtue of historical production data and input parameters of a finite element simulation model through finite element simulation calculation, extracting output parameters under the influence of each input parameter, and establishing a finite element simulation result database; and establishing a digital twin body based on the production database and the finite element simulation result database, and adjusting the rolling process parameters of each rack through the digital twin body to control the plate shape. The method also provides a strip steel hot rolled plate shape control system based on the digital twinning. The invention carries out data interaction between the rolling mill and the twin body, can realize the prediction of the plate shape, adjusts the plate shape control means according to the plate shape prediction result and the rolling mill outlet plate shape measurement result, and improves the plate shape quality. The invention can greatly reduce the control of the console personnel on the board shape and solve the problem that finite element simulation is difficult to be applied on line.
Drawings
FIG. 1 is a flow chart of a strip hot rolled plate shape control method based on digital twinning in embodiment 1 of the present invention;
FIG. 2 is a flowchart of a board type control method according to embodiment 1 of the present invention;
FIG. 3 is a schematic diagram of a digital twin-based strip hot rolled strip shape control system in embodiment 2 of the present invention.
Detailed Description
In order to clearly explain the technical features of the present invention, the following detailed description of the present invention is provided with reference to the accompanying drawings. The following disclosure provides many different embodiments, or examples, for implementing different features of the invention. To simplify the disclosure of the present invention, the components and arrangements of specific examples are described below. Furthermore, the present invention may repeat reference numerals and/or letters in the various examples. This repetition is for the purpose of simplicity and clarity and does not in itself dictate a relationship between the various embodiments and/or configurations discussed. It should be noted that the components illustrated in the figures are not necessarily drawn to scale. Descriptions of well-known components and processing techniques and procedures are omitted so as to not unnecessarily limit the invention.
Example 1
The embodiment 1 of the invention provides a strip steel hot rolled strip shape control method based on digital twinning, which can realize the transmission of production data and twin body data and control the strip steel strip shape in real time based on the idea of digital twinning. FIG. 1 is a flow chart of a strip hot rolled plate shape control method based on digital twinning in embodiment 1 of the present invention.
Firstly, collecting historical production data of different steel grades, and suggesting a production database; the historical production data of different steel types comprises rolling process parameters of all the stands, plate blank state parameters and finish rolling outlet plate shape data.
The rolling process parameters of each rack comprise the rolling reduction of each rack, the bending force of the working rolls of each rack, the roll shifting amount of the working rolls of each rack, the roll gap convexity of the working rolls of each rack, the rolling speed of each rack and the rolling time of the working rolls of each rack;
the slab state parameters comprise steel type, slab width, mill inlet slab thickness, mill outlet slab thickness, mill inlet slab temperature and mill outlet slab temperature;
the finish outlet plate shape data includes crown, flatness, and wedge.
The following examples are given for illustration: the finishing mill group of the 2050mm hot continuous rolling production line consists of four-roller mills with 7 stands connected in series, wherein each stand is F1-F7, and the outlet of the F7 stand is provided with a plate shape instrument for measuring the convexity, the flatness and the wedge shape of the strip steel in real time. The working rolls of each finishing mill F1-F7 have the functions of powerful roll bending and long-stroke roll shifting.
The production history data of different steel grades are collected, data of not less than 60 steel grades are collected in each specification (all rolling history data of the steel grades less than 60 steel grades are collected), and the collected data should uniformly cover different months and different groups as much as possible.
Extracting the rolling process parameters of each piece of steel, comprising the following steps: the rolling reduction of the frames F1-F7, the bending force of the working rolls of the frames F1-F7, the roll shifting amount of the working rolls of the frames F1-F7, the rolling speed of the frames F1-F7, and the rolling time of the working rolls of the frames F1-F7.
The slab state parameters comprise: steel type, slab width, mill inlet slab thickness, mill outlet slab thickness, mill inlet slab temperature, mill outlet slab temperature.
The finish outlet plate shape data includes crown, flatness, and wedge.
Extracting the data at each moment according to the steel type, the production month, the production time, the width, the thickness of a rolling mill inlet plate blank, the thickness of a rolling mill outlet plate blank, the temperature of the rolling mill inlet plate blank, the rolling mill outlet plate blank, the rolling reduction of the frames F1-F7, the bending force of the working rolls of the frames F1-F7, the roll shifting amount of the working rolls of the frames F1-F7, the rolling speed of the frames F1-F7, the rolling time of the working rolls of the frames F1-F7, the convexity of a strip steel at the outlet of the rolling mill, the flatness of the strip steel at the outlet of the rolling mill, the wedge shape of the strip steel at the outlet of the rolling mill and the like, summarizing the extracted data and establishing a production database.
Secondly, establishing a physical model of each plate shape influence factor in the rolling process according to historical production data, field test data and experimental data; and solving the input parameters of the finite element simulation model through the physical model; the physical model comprises a slab thermoplastic constitutive model, a working roll thermal expansion model, a working roll abrasion model and a supporting roll abrasion model;
selecting some steel grades with poor plate shapes or difficult-to-control plate shapes on site for cutting and sampling, setting thermal simulation experiment parameters by referring to actual rolling conditions, measuring stress-strain curves of the selected steel grades at different temperatures and different strain rates through the thermal simulation experiment, and establishing a slab thermoplastic constitutive model by adopting an Arrhenius formula or other methods.
On the basis of measuring the surface temperature of the on-site roller, respectively aiming at different stand positions and different roller materials, considering different rolling stages and the on-machine time length, and establishing a working roller thermal expansion model.
And (3) establishing a working roll wear model and a supporting roll wear model by considering factors such as the temperature of a rolled piece, the material of a plate blank, the material of a roll, the initial upper roll shape, the rolling length, the rolling pressure, the rolling lubrication, the contact arc length, the diameter of the roll, the roll shifting amount and the like and combining the lower mill wear roll shape of the roll.
Different slab state parameters, different rolling stages, different rolling process parameters, slab thermoplastic rheological stress at different frame positions, thermal convexity of the working roll, milling roll shape of the working roll and milling roll shape of the supporting roll are solved through the slab thermoplastic constitutive model, the working roll thermal expansion model, the working roll milling model and the supporting roll milling model which are established, and the data provide input parameters for the finite element simulation model.
And then, analyzing the strip shape change trend of the strip steel of each specification under different input by virtue of historical production data and input parameters of a finite element simulation model through finite element simulation calculation, extracting output parameters under the influence of the input parameters, and establishing a finite element simulation result database.
And setting simulation working conditions according to actual production. And verifying and debugging the model through a production database to ensure that the finite element model has high enough calculation precision. The method comprises the steps of providing input parameters for finite element simulation by means of production data and a physical model, analyzing the variation trend of single-frame and multi-frame output parameters (convexity, flatness and wedge shape) of strip steel of each specification under different input conditions (rolling process parameters and slab state parameters) through a large number of finite element simulation calculations, extracting the output parameters under the influence of each input parameter, and establishing a finite element simulation result database. And verifying and correcting the finite element database through production tests according to the finite element calculation result. Because each finite element calculation only obtains the output plate shape parameters under one input condition, enough finite element calculations are needed to cover all the working condition conditions which can occur in actual production.
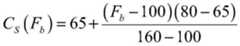
In the invention, for the input parameters which are not in the finite element result database, the output parameters are calculated by adopting a linear difference method. For example, the roll bending force F of a certain frame input parameter is obtained by finite element calculationbConvexity C of outlet plate blank of finish rolling at 100kNS80 μm, the frame bending force F under otherwise identical conditionsbOutlet slab crown C of finish rolling at 160kNSAt 65 μm, the roll bending force F can be obtained by a linear differencebWhen the thickness is 120-200 kN, the convexity of a finish rolling outlet is as follows:
Figure BDA0003041343550000071
if Fb150kN, then C is given by the above formulaS=77.5μm。
And finally, establishing a digital twin body on the basis of the production database and the finite element simulation result database, and adjusting and producing the rolling process parameters of each rack through the digital twin body so as to control the plate shape. And carrying out real-time transmission of the production data of the rolling mill and the data between the twin bodies through a data transmission interface. FIG. 2 is a flowchart of a board type control method according to embodiment 1 of the present invention;
before the plate blank enters a rolling mill, acquiring the incoming material information of the plate blank, introducing a digital twin body, and comparing the incoming material information with historical production data in a production database to predict the shape of a finish rolling outlet; the slab incoming material information comprises: steel grade, thickness, width, temperature, incoming material plate profile and the like collected by each sensor and upstream equipment. If the plate shape meets the prediction target, presetting rolling parameters according to a control model, and not sending a control instruction to the rolling mill by the twin; if the plate shape prediction result does not accord with the prediction target, the production process parameters of the rolling mill are adjusted once through the twin body according to the finite element simulation result database; the data of the primary adjustment comprises the preset rolling reduction of each rack, the roll shifting position of a working roll and the rolling speed;
in the rolling process, rolling process parameters and plate shape measurement data of each stand are transmitted into the twin body in real time, if a plate shape measurement result accords with a prediction target, the twin body does not adjust production process parameters, and the rolling mill executes an original rolling process and a control algorithm; if the plate shape measurement result does not accord with the prediction target, secondarily adjusting the production process parameters of the rolling mill through the twin body according to the finite element simulation result database; the data for the secondary adjustment includes single frame roller force and multi-frame roller force.
Through the process, the effect of controlling the real state by the virtual control and outputting the ideal plate shape can be achieved.
When judging whether the plate shape prediction result and the plate shape measurement result meet the target requirements, the target ranges of products with different specifications need to be set in advance.
For example, a target crown value C of a high-strength steel having an outlet thickness of 3mm and a width of 1600mm is settAt 60 μm, the convexity C is predictedfOr measuring convexity CmThe convexity can be considered to meet the target requirements when the following conditions are met:
0.85Ct<Cf<1.15Ct
0.85Ct<Cm<1.15Ct
a target crown range may also be set, such as crown target Ct60 μm, predicted convexity CfOr measuring convexity CmWithin the intervals (51,69), the target convexity requirement is considered to be met.
In addition, it should be noted that: the slab thermoplastic constitutive model in the physical model needs to be established on the basis of a thermal simulation experiment, the thermal simulation experiment has long period and high cost, the modeling process of each physical model is generally complex, and the plate shape defect does not occur in the rolling process of all specification plates and strips in consideration of the actual plate and strip rolling production. Therefore, in order to simplify the above process, in the specific implementation process, only a few steel grades with more plate shape defects or difficult plate shape quality control need to be subjected to related experiments, production process data acquisition, related physical model construction, finite element simulation calculation and digital twin construction, and the digital twin construction also only performs data transmission and plate shape control on the steel grades contained in the database. Thus, the implementation process of the invention is simplified and more feasible.
Example 2
Based on the strip steel hot rolled plate shape control method based on the digital twinning provided by the embodiment 1 of the invention, the embodiment 2 of the invention also provides a strip steel hot rolled plate shape control system based on the digital twinning. FIG. 3 is a schematic diagram of a digital twin-based strip hot rolled strip shape control system in embodiment 2 of the present invention. The system comprises an acquisition module, a first establishing module, a second establishing module and an adjusting module;
the acquisition module is used for acquiring historical production data of different steel grades and suggesting a production database; the data comprises rolling process parameters of each rack, plate blank state parameters and finish rolling outlet plate shape data;
the first establishing module is used for establishing a physical model of each plate shape influence factor in the rolling process according to historical production data, field test data and experimental data; solving the input parameters of the finite element simulation model through the physical model; the physical model comprises a slab thermoplastic constitutive model, a working roll thermal expansion model, a working roll abrasion model and a supporting roll abrasion model;
the second establishing module is used for analyzing the strip shape change trend of the strip steel of each specification under different input by virtue of historical production data and input parameters of the finite element simulation model through finite element simulation calculation, extracting output parameters under the influence of each input parameter and establishing a finite element simulation result database;
the adjusting module is used for establishing a digital twin body on the basis of the production database and the finite element simulation result database, and adjusting and producing the rolling process parameters of each rack through the digital twin body so as to control the plate shape.
The second establishing module also comprises a calculating module; and the calculation module is used for calculating the output parameters of the input parameters which are not in the finite element result database by adopting a linear difference method.
The process of adjusting the rolling technological parameters of each rack through the digital twin body to control the plate shape comprises the following steps:
before the plate blank enters a rolling mill, acquiring the incoming material information of the plate blank, introducing a digital twin body, and comparing the incoming material information with historical production data in a production database to predict the shape of a finish rolling outlet; if the plate shape meets the prediction target, presetting rolling parameters according to a control model, and not sending a control instruction to the rolling mill by the twin; if the plate shape prediction result does not accord with the prediction target, the production process parameters of the rolling mill are adjusted once through the twin body according to the finite element simulation result database; the data of the primary adjustment comprise preset rolling load distribution, working roll shifting position and rolling speed;
in the rolling process, rolling process parameters and plate shape measurement data of each stand are transmitted into the twin body in real time, if a plate shape measurement result accords with a prediction target, the twin body does not adjust production process parameters, and the rolling mill executes an original rolling process and a control algorithm; if the plate shape measurement result does not accord with the prediction target, secondarily adjusting the production process parameters of the rolling mill through the twin body according to the finite element simulation result database; the data for the secondary adjustment includes single frame roller force and multi-frame roller force.
When judging whether the plate shape prediction result and the plate shape measurement result meet the prediction target, the target range needs to be set for products of different specifications in advance.
The rolling technological parameters of each frame comprise the rolling reduction of each frame, the bending force of the working roll of each frame, the roll shifting amount of the working roll of each frame, the roll gap convexity of the working roll of each frame, the rolling speed of each frame and the rolling time of the working roll of each frame;
the slab state parameters comprise steel type, slab width, mill inlet slab thickness, mill outlet slab thickness, mill inlet slab temperature and mill outlet slab temperature;
the finish outlet plate shape data includes crown, flatness, and wedge.
The process for establishing the thermoplastic constitutive model of the plate blank comprises the following steps:
selecting a plurality of steel grades with poor plate shapes or difficult plate shapes to control for cutting and sampling, and setting thermal simulation experiment parameters according to actual rolling conditions; measuring stress-strain curves of the selected steel at different temperatures and different strain rates through a thermal simulation experiment; and establishing a slab thermoplastic constitutive model by adopting an Arrhenius formula.
The method for establishing the thermal expansion model of the working roll comprises the following steps: on the basis of measuring the surface temperature of the on-site roller, respectively aiming at different stand positions and different roller materials, considering different rolling stages and the on-machine time length, and establishing a working roller thermal expansion model.
The process of solving the input parameters of the finite element simulation model through the physical model comprises the following steps: and solving different slab state parameters, different rolling stages, different rolling process parameters, slab thermoplastic rheological stress at different frame positions, thermal convexity of the working roll, milling roll shape of the working roll and milling roll shape of the supporting roll through the slab thermoplastic constitutive model, the working roll thermal expansion model, the working roll milling model and the supporting roll milling model.
The invention carries out data interaction between the rolling mill and the twin body, can realize the prediction of the plate shape, adjusts the plate shape control means according to the plate shape prediction result and the rolling mill outlet plate shape measurement result, and improves the plate shape quality. The invention can greatly reduce the control of the console personnel on the board shape and solve the problem that finite element simulation is difficult to be applied on line.
Although the embodiments of the present invention have been described with reference to the accompanying drawings, the scope of the present invention is not limited thereto. Various modifications and alterations will occur to those skilled in the art based on the foregoing description. And are neither required nor exhaustive of all embodiments. On the basis of the technical scheme of the invention, various modifications or changes which can be made by a person skilled in the art without creative efforts are still within the protection scope of the invention.

Claims (10)

1. A strip steel hot rolled plate shape control method based on digital twinning is characterized by comprising the following steps:
collecting historical production data of different steel grades, and suggesting a production database; the data comprises rolling process parameters of each rack, plate blank state parameters and finish rolling outlet plate shape data;
establishing a physical model of each plate shape influence factor in the rolling process according to historical production data, field test data and experimental data; solving the input parameters of the finite element simulation model through the physical model; the physical model comprises a slab thermoplastic constitutive model, a working roll thermal expansion model, a working roll abrasion model and a supporting roll abrasion model;
analyzing the strip shape change trend of strip steel of each specification under different input by virtue of historical production data and input parameters of a finite element simulation model through finite element simulation calculation, extracting output parameters under the influence of each input parameter, and establishing a finite element simulation result database;
and establishing a digital twin body on the basis of the production database and the finite element simulation result database, and adjusting and producing the rolling process parameters of each rack through the digital twin body so as to control the plate shape.
2. The method for controlling the hot rolled strip shape based on the digital twin as claimed in claim 1, wherein the establishing of the finite element simulation result database further comprises: and calculating output parameters of the input parameters which are not in the finite element result database by adopting a linear difference method.
3. The digital twin-based hot rolled strip shape control method as claimed in claim 1, wherein the adjusting of the rolling process parameters of each stand by the digital twin to achieve the purpose of controlling the strip shape comprises:
before the plate blank enters a rolling mill, acquiring the incoming material information of the plate blank, introducing a digital twin body, and comparing the incoming material information with historical production data in a production database to predict the shape of a finish rolling outlet; if the plate shape meets the prediction target, presetting rolling parameters according to a control model, and not sending a control instruction to the rolling mill by the twin; if the plate shape prediction result does not accord with the prediction target, the production process parameters of the rolling mill are adjusted once through the twin body according to the finite element simulation result database; the data of the primary adjustment comprise preset reduction of each stand, roll shifting position of a working roll and rolling speed.
In the rolling process, rolling process parameters and plate shape measurement data of each stand are transmitted into the twin body in real time, if a plate shape measurement result accords with a prediction target, the twin body does not adjust production process parameters, and the rolling mill executes an original rolling process and a control algorithm; if the plate shape measurement result does not accord with the prediction target, secondarily adjusting the production process parameters of the rolling mill through the twin body according to the finite element simulation result database; and the data of the secondary adjustment comprise single-frame roller bending force, multi-frame roller bending force and the asymmetrical rolling reduction of the finish rolling end frame.
4. The digital twin-based strip hot rolled plate shape control method as claimed in claim 3, wherein a target range needs to be set in advance for products of different specifications when judging whether the plate shape prediction result and the plate shape measurement result meet prediction targets.
5. The strip steel hot rolled plate shape control method based on the digital twin as claimed in claim 1, wherein the rolling process parameters of each stand comprise the rolling reduction of each stand, the bending force of the working roll of each stand, the roll shifting amount of the working roll of each stand, the roll gap convexity of the working roll of each stand, the rolling speed of each stand and the rolling time of the working roll of each stand;
the slab state parameters comprise steel type, slab width, mill inlet slab thickness, mill outlet slab thickness, mill inlet slab temperature and mill outlet slab temperature;
the finish rolling outlet plate shape data comprises convexity, flatness and wedge shape.
6. The digital twin-based hot rolled strip shape control method as claimed in claim 1, wherein the process of establishing the slab thermoplastic constitutive model includes:
selecting a plurality of steel grades with poor plate shapes or difficult plate shapes to control for cutting and sampling, and setting thermal simulation experiment parameters according to actual rolling conditions; measuring stress-strain curves of the selected steel at different temperatures and different strain rates through a thermal simulation experiment; and establishing a slab thermoplastic constitutive model by adopting an Arrhenius formula.
7. The digital twin-based strip hot rolled plate shape control method as claimed in claim 1, wherein the method for establishing the thermal expansion model of the working rolls comprises the following steps: on the basis of measuring the surface temperature of the on-site roller, respectively aiming at different stand positions and different roller materials, considering different rolling stages and the on-machine time length, and establishing a working roller thermal expansion model.
8. The method for controlling the hot rolled strip shape based on the digital twin as claimed in claim 1, wherein the process of solving the input parameters of the finite element simulation model through the physical model is as follows: and solving different slab state parameters, different rolling stages, different rolling process parameters, slab thermoplastic rheological stress at different frame positions, thermal convexity of the working roll, milling roll shape of the working roll and milling roll shape of the supporting roll through the slab thermoplastic constitutive model, the working roll thermal expansion model, the working roll milling model and the supporting roll milling model.
9. A strip steel hot rolled plate shape control system based on digital twinning is characterized by comprising an acquisition module, a first establishing module, a second establishing module and an adjusting module;
the acquisition module is used for acquiring historical production data of different steel grades and suggesting a production database; the data comprises rolling process parameters of each rack, plate blank state parameters and finish rolling outlet plate shape data;
the first establishing module is used for establishing a physical model of each plate shape influence factor in the rolling process according to historical production data, field test data and experimental data; solving the input parameters of the finite element simulation model through the physical model; the physical model comprises a slab thermoplastic constitutive model, a working roll thermal expansion model, a working roll abrasion model and a supporting roll abrasion model;
the second establishing module is used for analyzing the strip shape change trend of the strip steel of each specification under different input by virtue of historical production data and input parameters of the finite element simulation model through finite element simulation calculation, extracting output parameters under the influence of each input parameter and establishing a finite element simulation result database;
the adjusting module is used for establishing a digital twin body on the basis of the production database and the finite element simulation result database, and adjusting and producing the rolling process parameters of each rack through the digital twin body so as to control the plate shape.
10. The digital twin-based strip hot rolled plate shape control system according to claim 9, wherein the second establishing module further comprises a calculating module;
and the calculation module is used for calculating the output parameters of the input parameters which are not in the finite element result database by adopting a linear difference method.
CN202110458749.0A2021-04-272021-04-27Strip steel hot-rolled strip shape control method and system based on digital twinningActiveCN113333474B (en)

Priority Applications (1)

Application NumberPriority DateFiling DateTitle
CN202110458749.0ACN113333474B (en)2021-04-272021-04-27Strip steel hot-rolled strip shape control method and system based on digital twinning

Applications Claiming Priority (1)

Application NumberPriority DateFiling DateTitle
CN202110458749.0ACN113333474B (en)2021-04-272021-04-27Strip steel hot-rolled strip shape control method and system based on digital twinning

Publications (2)

Publication NumberPublication Date
CN113333474Atrue CN113333474A (en)2021-09-03
CN113333474B CN113333474B (en)2022-09-13

Family

ID=77468739

Family Applications (1)

Application NumberTitlePriority DateFiling Date
CN202110458749.0AActiveCN113333474B (en)2021-04-272021-04-27Strip steel hot-rolled strip shape control method and system based on digital twinning

Country Status (1)

CountryLink
CN (1)CN113333474B (en)

Cited By (12)

* Cited by examiner, † Cited by third party
Publication numberPriority datePublication dateAssigneeTitle
CN114289524A (en)*2021-12-302022-04-08燕山大学Wide-thick plate-shaped buckle head dynamic regulation and control method based on digital twinning
CN114311826A (en)*2022-03-152022-04-12河北工业大学Fiber metal laminate hydroforming system based on digital twinning technology
CN114360094A (en)*2021-11-192022-04-15山东钢铁股份有限公司Three-dimensional visualization implementation method and system for large rolling mill
CN114760436A (en)*2022-02-242022-07-15山东钢铁股份有限公司Construction method and system for universe of large rolling mill elements
CN115709223A (en)*2022-11-102023-02-24东北大学Method for acquiring plate shape regulation and control efficacy based on cold rolling process digital twins
CN115795983A (en)*2023-01-292023-03-14江苏沙钢集团有限公司Wire quality control method, device, equipment and storage medium
CN116266057A (en)*2021-12-162023-06-20中国兵器工业第五九研究所Digital twin method suitable for extrusion drawing forming of ultra-high strength steel shell
CN116776652A (en)*2023-08-232023-09-19中铝材料应用研究院有限公司Method and device for determining preparation parameters and nonvolatile storage medium
CN116984381A (en)*2023-07-102023-11-03首钢智新迁安电磁材料有限公司Strip shape control method, device, medium and reversible rolling mill for strip steel rolling
CN117150832A (en)*2023-11-012023-12-01北京科技大学 A real-time prediction method and device for cross-sectional shape of hot-rolled digital twin strip
CN117655118A (en)*2024-01-292024-03-08太原科技大学Strip steel plate shape control method and device with multiple modes fused
CN119303965A (en)*2024-11-222025-01-14北京科技大学顺德创新学院 Collaborative integrated plate shape presetting control method and device, system, and storage medium

Citations (3)

* Cited by examiner, † Cited by third party
Publication numberPriority datePublication dateAssigneeTitle
US20190302712A1 (en)*2018-03-302019-10-03General Electric CompanySystem and method for motor drive control
CN110947774A (en)*2019-12-062020-04-03东北大学 A Flat Shape Prediction Method Considering Rolling Spread
CN112507573A (en)*2021-02-092021-03-16东北大学Hot continuous rolling process monitoring and early warning method based on digital twinning

Patent Citations (3)

* Cited by examiner, † Cited by third party
Publication numberPriority datePublication dateAssigneeTitle
US20190302712A1 (en)*2018-03-302019-10-03General Electric CompanySystem and method for motor drive control
CN110947774A (en)*2019-12-062020-04-03东北大学 A Flat Shape Prediction Method Considering Rolling Spread
CN112507573A (en)*2021-02-092021-03-16东北大学Hot continuous rolling process monitoring and early warning method based on digital twinning

Non-Patent Citations (4)

* Cited by examiner, † Cited by third party
Title
ŁUKASZ RAUCH ETC.: "Computer-Integrated Platform for Automatic,Flexible, and Optimal Multivariable Design of a Hot Strip Rolling Technology Using Advanced Multiphase Steels", 《METALS》*
张健民等: "热轧产线智能制造技术应用研究――宝钢1580热轧示范产线", 《中国机械工程》*
张殿华等: "基于CPS架构的板带热轧智能化控制", 《轧钢》*
彭艳: "冶金轧制设备技术数字化智能化发展综述", 《燕山大学学报》*

Cited By (16)

* Cited by examiner, † Cited by third party
Publication numberPriority datePublication dateAssigneeTitle
CN114360094A (en)*2021-11-192022-04-15山东钢铁股份有限公司Three-dimensional visualization implementation method and system for large rolling mill
CN114360094B (en)*2021-11-192023-02-03山东钢铁股份有限公司Three-dimensional visualization implementation method and system for large rolling mill
CN116266057A (en)*2021-12-162023-06-20中国兵器工业第五九研究所Digital twin method suitable for extrusion drawing forming of ultra-high strength steel shell
CN114289524A (en)*2021-12-302022-04-08燕山大学Wide-thick plate-shaped buckle head dynamic regulation and control method based on digital twinning
CN114760436A (en)*2022-02-242022-07-15山东钢铁股份有限公司Construction method and system for universe of large rolling mill elements
CN114311826A (en)*2022-03-152022-04-12河北工业大学Fiber metal laminate hydroforming system based on digital twinning technology
CN115709223A (en)*2022-11-102023-02-24东北大学Method for acquiring plate shape regulation and control efficacy based on cold rolling process digital twins
CN115795983A (en)*2023-01-292023-03-14江苏沙钢集团有限公司Wire quality control method, device, equipment and storage medium
CN116984381A (en)*2023-07-102023-11-03首钢智新迁安电磁材料有限公司Strip shape control method, device, medium and reversible rolling mill for strip steel rolling
CN116776652A (en)*2023-08-232023-09-19中铝材料应用研究院有限公司Method and device for determining preparation parameters and nonvolatile storage medium
CN116776652B (en)*2023-08-232023-12-12中铝材料应用研究院有限公司Method and device for determining preparation parameters and nonvolatile storage medium
CN117150832A (en)*2023-11-012023-12-01北京科技大学 A real-time prediction method and device for cross-sectional shape of hot-rolled digital twin strip
CN117150832B (en)*2023-11-012024-02-23北京科技大学Real-time prediction method and device for cross section shape of hot-rolled digital twin strip steel
CN117655118A (en)*2024-01-292024-03-08太原科技大学Strip steel plate shape control method and device with multiple modes fused
CN117655118B (en)*2024-01-292024-04-19太原科技大学 Multi-mode fusion strip shape control method and device
CN119303965A (en)*2024-11-222025-01-14北京科技大学顺德创新学院 Collaborative integrated plate shape presetting control method and device, system, and storage medium

Also Published As

Publication numberPublication date
CN113333474B (en)2022-09-13

Similar Documents

PublicationPublication DateTitle
CN113333474B (en)Strip steel hot-rolled strip shape control method and system based on digital twinning
CN103962391B (en)Rolling load optimization method for hot continuous finishing mill group
CN107931329B (en)A kind of control method for improving CSP double fluid and changing specification rolling force model precision
Lee et al.Application of neural-network for improving accuracy of roll-force model in hot-rolling mill
CN104785543B (en)A kind of hot-strip crown feedback control method based on moving average filter
CN101559437B (en)Roll shape curve design method for 4-high tandem cold rolling mill by taking complex wave control as target
CN101543841A (en)Control method for cold rolling mill for improving surface quality of strip steel
CN107413856B (en)It is a kind of that roller method is removed based on the change online roll change of specification of ESP mm finishing mill unit
CN108213086B (en) A method for realizing micro-wave rolling of hot-rolled strip
Pittner et al.Tandem Hot Metal Rolling Mill Control
CN109570241A (en)A kind of wedge-shaped control system and method with sideslip protection
Li et al.IoT-based framework for digital twins in steel production: A case study of key parameter prediction and optimization for CSR
TakahashiState of the art in hot rolling process control
CN103861875B (en)The optimal control method of cold-rolling mill technical cooling system
Song et al.Control strategy of multi-stand work roll bending and shifting on the crown for UVC hot rolling mill based on MOGPR approach
CN116329297A (en)Plate shape prediction method based on transverse mechanical property difference of rolled piece
KR100841888B1 (en) Material Prediction and Material Control of Rolling Line
CN116441324A (en)Plate-shaped control system
Yuan et al.Fatigue-damage prediction model of backup roll of hot strip mills and its applications
Wang et al.Research and application of non-symmetrical roll bending control of cold rolling mill
CN114505352B (en)Same-plate-difference channeling roll feedforward dynamic control method
LV et al.Development of a virtual shapemeter based on a shape control model for continuous annealing
CN114289524B (en) A dynamic control method of wide and thick plate warping head based on digital twin
CN103909096B (en)Method and system for determining operation parameters of hot rolling mill
Koinov et al.Flexural forces of the working rollers and the broadening of thin steel strip in hot rolling

Legal Events

DateCodeTitleDescription
PB01Publication
PB01Publication
SE01Entry into force of request for substantive examination
SE01Entry into force of request for substantive examination
GR01Patent grant
GR01Patent grant

[8]ページ先頭

©2009-2025 Movatter.jp