Movatterモバイル変換


[0]ホーム

URL:


CN113324727A - Schlieren image processing method for compressed corner supersonic flow field structure - Google Patents

Schlieren image processing method for compressed corner supersonic flow field structure
Download PDF

Info

Publication number
CN113324727A
CN113324727ACN202110538315.1ACN202110538315ACN113324727ACN 113324727 ACN113324727 ACN 113324727ACN 202110538315 ACN202110538315 ACN 202110538315ACN 113324727 ACN113324727 ACN 113324727A
Authority
CN
China
Prior art keywords
schlieren
intensity
image
flow field
rms
Prior art date
Legal status (The legal status is an assumption and is not a legal conclusion. Google has not performed a legal analysis and makes no representation as to the accuracy of the status listed.)
Granted
Application number
CN202110538315.1A
Other languages
Chinese (zh)
Other versions
CN113324727B (en
Inventor
甘甜
吴云
金迪
宋慧敏
贾敏
梁华
Current Assignee (The listed assignees may be inaccurate. Google has not performed a legal analysis and makes no representation or warranty as to the accuracy of the list.)
Air Force Engineering University of PLA
Original Assignee
Air Force Engineering University of PLA
Priority date (The priority date is an assumption and is not a legal conclusion. Google has not performed a legal analysis and makes no representation as to the accuracy of the date listed.)
Filing date
Publication date
Application filed by Air Force Engineering University of PLAfiledCriticalAir Force Engineering University of PLA
Priority to CN202110538315.1ApriorityCriticalpatent/CN113324727B/en
Publication of CN113324727ApublicationCriticalpatent/CN113324727A/en
Application grantedgrantedCritical
Publication of CN113324727BpublicationCriticalpatent/CN113324727B/en
Expired - Fee Relatedlegal-statusCriticalCurrent
Anticipated expirationlegal-statusCritical

Links

Images

Classifications

Landscapes

Abstract

Translated fromChinese

一种针对压缩拐角超声速流场结构的纹影图像处理方法,包括下列步骤:纹影视频采集;视频分帧操作与图像选取;折射率梯度计算;rms收敛性判定;计算纹影强度场的均方根分布;分离区大小、位置判定。本发明通过获得超声速流场结构脉动变化水平,实现分离区大小可视化定量测量和位置的判定。

Figure 202110538315

A schlieren image processing method for a compressed corner supersonic flow field structure, comprising the following steps: schlieren video acquisition; video frame division operation and image selection; refractive index gradient calculation; rms convergence determination; Square root distribution; determination of the size and location of the separation area. The invention realizes the visual quantitative measurement of the size of the separation zone and the determination of the position by obtaining the pulsation change level of the supersonic flow field structure.

Figure 202110538315

Description

Schlieren image processing method for compressed corner supersonic flow field structure
Technical Field
The invention relates to the technical field of supersonic flow field diagnosis, in particular to a schlieren image processing method for a compression corner supersonic flow field structure.
Background
The flow separation is one of the important problems in the supersonic flow field, and has very important significance for judging, predicting and diagnosing the size and the position of the separation area. The flow field structure can be accurately, timely and rapidly measured by a non-contact means, and the method is widely applied to the fields of aerospace, military and the like. The research on the method for measuring the size of the separation area is always a hot problem in the supersonic velocity field at home and abroad. Non-contact flow field diagnostic methods generally fall into two broad categories: one type is that parallel light beams pass through a compressible supersonic flow field, the light velocity is disturbed by density gradient changes of the flow field to deflect, imaging is carried out through a receiving device, and the deflected light beams change the illumination intensity on an imaging surface, so that the required flow field structure is obtained, but the flow field structure with large density gradient changes can be well extracted, such as shock waves. The method and the device have simple structure and are convenient to operate. The disadvantage is that low pulsation level structures, such as the size and location of the separation zones, cannot be determined. Schlieren techniques fall into this category of methods. The other type is that nano-scale tracer particles are injected into the flow field, the flow field is illuminated by nanosecond pulse laser for a short time, and the transient velocity distribution of the flow field is indirectly measured by utilizing the displacement of the tracer particles in a short time interval. The technology has higher measurement precision, can accurately capture all structures of the supersonic flow field, including the size of the separation area, and has the defects of high requirements on the quality, the size, the distribution, the refractive index and the uniformity of trace particles, complex test device and inconvenient operation. PIV, laser doppler velocimetry, is such a method. In recent years, there has been a progress in obtaining supersonic flow structure distribution by processing an original image by means of computer image post-processing technology or the like.
The schlieren method is a common method for displaying and measuring a flow field, can realize quick airflow visualization, and can be used as a non-contact method for measuring a supersonic flow field structure. Schlieren technique can be used as quantitative analysis means in the measurement of supersonic flow separation area with the help of modern fast-developed digital image post-processing technique. Although the test of the separation area by the test means such as supersonic velocity PIV and the like is more accurate, the construction, maintenance and maintenance costs are high, and the operation is very complicated. In supersonic flow experiments, it is often desirable to obtain the size of the separation zone in a timely manner and to observe its phenomena quickly and intuitively. Therefore, it is more meaningful to design an experimental device of a non-contact schlieren measurement separation area and a schlieren picture post-processing method with high cost performance and simple operation.
Disclosure of Invention
The invention provides a schlieren image processing method aiming at a compressed corner supersonic flow field structure, aiming at overcoming the defects of a schlieren method in the quantitative analysis technology and avoiding adopting a more expensive PIV technology, and comprising the following steps:
1. schlieren video capture
The high-speed camera 409 is internally provided with an embedded video acquisition system, so that multiple functions of shearing transplantation, multitask parallel, real-time acquisition and the like are realized; based on PC high-performance processing, front-end video data is transmitted to a PC end through a high-speed local area network for collection; the PC acquisition system realizes video data sharing through a high-speed local area network, and the PC end also comprises a data analysis microcomputer which can watch the test schlieren video in real time after authorization;
2. video framing operation and image selection
The PC end post-processing software comprises video framing operation, video clips at different moments are output, the size of the output image data volume can be selected according to needs, and finally a picture file is exported;
3. refractive index gradient calculation
The light beam passes through the compression corner flow test area in a parallel light beam mode, because of airflow disturbance of the smooth test area, the refractive index gradient of the light beam is changed, and in the light ray tracing process in a refraction rate discrete distribution medium, the refractive index and the gradient of a required space point are solved by adopting distance weighted interpolation and Barron gradient operators; the solved result is a digital gray matrix, and finally a black and white image containing flow field structure characteristics is displayed on the high-speed camera;
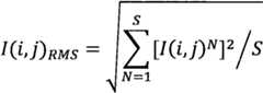
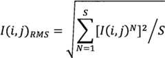
rms convergence determination
Further carrying out convergence analysis on the image intensity of the obtained continuous schlieren image sequence; i ismeanAnd IRMSRespectively, an image intensity average value and an image intensity root mean square; number ofData volume comprising S samples, residual volume
Figure BSA0000242384140000031
Which is defined as the average of the image intensity field of N images
Figure BSA0000242384140000032
And the average value of the intensity field of N-1 schlieren
Figure BSA0000242384140000033
The absolute value of the difference;
Figure BSA0000242384140000034
root mean square value of schlieren intensity field
Figure BSA0000242384140000035
And the root mean square value of the intensity field of N-1 schlieren
Figure BSA0000242384140000036
Absolute value of the difference between
Figure BSA0000242384140000037
Figure BSA0000242384140000038
Wherein (i, j) represents the ith (i) in the horizontal direction and the vertical direction of the image, respectivelyth) And j (j)th) A pixel value; determination
Figure BSA0000242384140000039
And
Figure BSA00002423841400000310
convergence is achieved when the residual error quantity is not more than 0.1;
5. calculating the root mean square distribution of the striae intensity field
Root mean square residual of the striae intensity field in step 4Further calculating the root mean square I of each pixel position of the striae intensity field on the basis of convergence of the differenceRMSThe sample volume is S;
Figure BSA00002423841400000311
the mathematical meaning of the formula is the pulsation level of the image intensity, and the corresponding physical meaning represents the pulsation level of the flow field structure corresponding to each region; note that only the certificate I (I, j)RMSThe formula has a physical meaning only if the formula has convergence, otherwise the formula has no meaning;
6. determination of size and position of separation region
Root mean square I of the striae intensity field obtained according to step 5RMSDistribution of (1), drawing IRMSContour cloud pictures are marked, contour lines are marked, a flow field structure can be further locked according to the distribution of the pulse intensity in the cloud pictures, obvious boundary characteristics can appear in different pulse intensity areas in the cloud pictures, obvious contour areas appear near compression corners, and the flow field structure corresponding to the areas can be identified as a separation area; the location and size of the separation zone can be determined from the boundaries of the intensity of the pulsations at the compressed corners in the cloud.
The invention collects single-amplitude high-resolution steady-state structure and multiple continuous transient-state structures in the flow field by high-frame-frequency high-speed schlieren technology, wherein the multiple continuous transient-state structures can better capture the change rule of the flow structure, and the size visualization quantitative measurement and the position judgment of the separation area are realized by obtaining the pulsation change level of the supersonic flow field structure.
The invention can measure the evolution process of the microsecond-order time scale supersonic flow structure and overcome the technical defect that the traditional high-speed schlieren technology cannot effectively predict the separation area. Meanwhile, on the premise of lacking PIV test conditions, the ultrasonic velocity separation area measuring device based on the schlieren technology is simple and easy to build, high in reliability, large in measuring information amount, high in speed and high in accuracy, and is very suitable for academic research and industrial application.
Drawings
FIG. 1 is a schematic view of the overall structure of a supersonic separation zone generating apparatus according to the present invention;
FIG. 2 is a schematic diagram of theexperimental chamber 4 in relation to the position of the compression corner flow test model 5;
FIG. 3 is a schematic view of a high velocity schlieren based supersonic separation zone measurement apparatus;
fig. 4 is a transient texture shadow map of an ultrasonic flow field structure acquired by a high-speed camera, wherein fig. 4(a) to (f) respectively show transient flow field structures with slope angles of 20 °, 22 °, 24 °, 26 °, 28 °, and 30 °;
FIG. 5 shows the corner flow I corresponding to 30 compressionmeanAnd IRMSSchematic diagram of residual variation with the number of schlieren sequences;
FIG. 6 is a supersonic flow field pulsation horizontal distribution, wherein FIGS. 6(a) to (f) show I under supersonic flow conditions with slope angles of 20 °, 22 °, 24 °, 26 °, 28 °, 30 °, respectivelyRMSAnd (4) distribution.
Reference numerals: 1. an expansion section; 2. an expansion section flange (wind tunnel starting device); 3. a supersonic velocity spray pipe; 4. an experiment cabin; 5. compressing the corner flow test model; 6. a vacuum chamber; 7 a vacuum pump group; 200. an supersonic nozzle outlet; 201. a flat plate model; 202. a slope; 203. a support base; 401. a xenon lamp; 402. a grating; 403. a first concave spherical reflector; 404. a first optical glass; 405. a second optical glass; 406 a second concave spherical reflector; 407. a plane mirror; 408. a knife edge; 409. a high-speed camera; 4010. an image post-processing device.
Detailed Description
The drawings are for illustrative purposes only and are not to be construed as limiting the patent; for a better understanding of the present embodiments, certain features of the drawings may be omitted, enlarged or reduced, and do not represent the size of an actual product; it will be understood by those skilled in the art that certain well-known structures in the drawings and descriptions thereof may be omitted.
The drawings are for illustrative purposes only and are not to be construed as limiting the patent; for a better understanding of the present embodiments, certain features of the drawings may be omitted, enlarged or reduced, and do not represent the size of an actual product; it will be understood by those skilled in the art that certain well-known structures in the drawings and descriptions thereof may be omitted.
As shown in figure 1, the invention provides a supersonic separation zone generating device, which comprises anexpansion section flange 2, asupersonic nozzle 3, anexperiment chamber 4, a compression corner flow test model 5, avacuum chamber 6 and a vacuum pump set 7.
The wind tunnel inlet is in atmospheric environment, and the air pressure of thevacuum cabin 6 is reduced to be lower than the starting air pressure of the wind tunnel by adopting the vacuum pump unit 7. The test device comprises anexpansion section 1, anexpansion section flange 2, a supersonicvelocity spray pipe 3, anexperiment chamber 4, a compression corner flow test model 5 and avacuum chamber 6 in sequence from front to back. It is well known to those skilled in the art that theflare flange 2 actually belongs to theflare 1 and is used to connect the two parts of theflare 1 together. The basic principle of the wind tunnel operation is as follows: through install the diaphragm additional inexpansion section flange 2 department (promptly, press from both sides the diaphragm in the middle ofexpansion section flange 2, can playisolated experiment cabin 4 and atmospheric effect) as wind-tunnel starting switch, after the diaphragm opened (make the diaphragm rupture through external force promptly, at this moment, atmosphere can pass ruptured diaphragm entering experiment cabin 4), under the drive of pressure differential, the atmosphere is at first throughexpansion section 1, then through the acceleration effect of supersonicvelocity spray tube 3, get intoexperiment cabin 4, the required incoming flow condition of experiment is produced near compression corner flow test model 5 inexperiment cabin 4, finally, the atmosphere enters intovacuum chamber 6. Before the wind tunnel experiment, the vacuum pump unit 7 is used for forming a vacuum environment for thevacuum cabin 6. The composition, structure, location, and connection of the various components described above, other than the compression corner flow test pattern 5, are well known to those skilled in the art and will not be described in detail. In order to ensure the air tightness of the whole device, each interface and each threaded hole need to be sealed. The wind tunnel connection structure without reference numerals below the components of fig. 1 is a fixed facility and is not within the scope of the invention.
Experiment cabin 4 is confined cylinder structure, and this cylinder is transversely placed, and the round hole is opened to two left and right terminal surfaces, and supersonic velocityspray tube export 200 stretches intoexperiment cabin 4 from the left end face round hole, and the diffuser that is located 6 left ends in vacuum chamber stretches intoexperiment cabin 4 from the right-hand member face round hole, controls two round hole seam departments and all seals, for example through the welding mode. A compression corner flow test model 5 was placed in theexperimental chamber 4.
The compression corner flow test model 5 structure is illustrated in fig. 2. The compression corner flow test model 5 includes aflat plate model 201, aslope 202 installed on an upper side of a rear end of theflat plate model 201, and asupport base 203 for supporting theflat plate model 201. Thesupport base 203 is in the shape of any support frame capable of supporting theramp 202, and one embodiment of the present invention is shown in the drawings
Figure BSA0000242384140000061
A shaped supportingbase 203, on the upper end of which theflat mold 201 is fixedly mounted, and the lower end of which
Figure BSA0000242384140000062
The shaped plate is fixedly connected with the inner wall of theexperiment chamber 4, and theflat plate model 201 is horizontally placed. The total length of theflat plate model 201 is within the range of 220-600 mm, preferably 440mm, and the width of the flat plate model is within the range of 50-160 mm, preferably 110 mm. The height range of theslope 202 is 10-30 mm, the preferred value is 20mm, the angle range of the slope is 10-30 degrees, and six angles of 20 degrees, 22 degrees, 24 degrees, 26 degrees, 28 degrees and 30 degrees are selected for replacement in the example. The height of the supportingbase 203 is based on the position of theflat plate model 201 at the center of the outlet of thesupersonic nozzle 3 in the experimental chamber 4 (theflat plate model 201 can extend into the outlet of thesupersonic nozzle 3, and has zero spacing with the outlet, or keeps a smaller spacing with the outlet); in one embodiment of the invention, the height ofsupport base 203 ranges from 1080mm to 1280mm, with a preferred value of 1180 mm. To facilitate changing the angle of theramp 202, the compression corner flow test model 5 is designed to be detachable to ensure that theflat model 201, theramp 202 and thesupport base 203 can be detached, i.e., theramp 202 is easily detached from theflat model 201, theflat model 201 is easily detached from thesupport base 203, and thesupport base 203 can also be made partially detachable, for example, in one embodiment of the invention,
Figure BSA0000242384140000071
of a form-bearingbase 203
Figure BSA0000242384140000072
Is partly facilitated from
Figure BSA0000242384140000073
And partially disassembled. In one embodiment of the present invention, theflat plate model 201 and theslope 202, and theflat plate model 201 and the supportingbase 203 are connected by bolts, and theflat plate model 201 and theslope 202 are connected by bolts to form a compression corner structure.
As shown in fig. 3, the present invention provides a high-speed schlieren-based supersonic velocity separation zone measuring device, comprising: the system comprises axenon lamp 401, agrating 402, a first concavespherical reflector 403, firstoptical glass 404, secondoptical glass 405, a second concavespherical reflector 406, aplane mirror 407, aknife edge 408, a high-speed camera 409 and animage post-processing device 4010.
As shown in fig. 4, the supersonic separation zone generating apparatus shown in fig. 1 was placed vertically with theexpansion section 1 below and theexperimental chamber 4 above (thevacuum chamber 6 was omitted for simplicity); thexenon lamp 401, thegrating 402, the first concavespherical reflector 403 and the firstoptical glass 404 are arranged on one side (for example, the right side) of the supersonic flow field; a second concavespherical reflector 406, a secondoptical glass 405, aplane mirror 407, aknife edge 408, and a high-speed camera 409 are placed on the other side (e.g., left side) of the supersonic flow field. From right to left, a distance exists between the first concavespherical reflector 403, the firstoptical glass 404, the secondoptical glass 405 and the second concavespherical reflector 406, and the first concave spherical reflector, the secondoptical glass 405 and the firstoptical glass 404 are respectively positioned at the left and the right of theexperiment chamber 4, theexperiment chamber 4 is clamped in the middle, and a distance or no distance may exist between the secondoptical glass 405 and theexperiment chamber 4. The xenon lamp 401 and the grating 402 are positioned at the upper right position outside the experiment chamber 4, the xenon lamp 401 directly faces the grating 402 to emit converged xenon light, the grating 402 is positioned at the focal plane of the converged xenon light, and the xenon light forms a standard circular light spot after passing through the grating; then, the xenon light is projected onto the first concave spherical reflector 403, and forms a parallel light beam to propagate leftwards after being reflected by the first concave spherical reflector 403; the parallel light beams sequentially transmit through the first optical glass 404, the experiment chamber 4 and the second optical glass 405, so that the output optical signals contain flow field structure information of the compression corner flow test model 5; then the optical signal is transmitted to the second concave spherical reflector 406, after being reflected by the second concave spherical reflector 406, the optical signal becomes convergent light, then diverges again, and continues to be transmitted to the plane mirror 407 positioned at the right lower part of the second concave spherical reflector 406; the plane mirror 407 reflects the optical signal to the high-speed camera 409; due to the schlieren system, a knife edge 408 is arranged at a proper position between the plane mirror 407 and the high-speed camera 409 for cutting light, so that the high-speed camera 409 can clearly image (the principle and the position of the knife edge 408 are well known to those skilled in the art and are not described again); the high-speed camera 409 collects optical signals containing flow field structure information of the compressed corner flow test model 5 and transmits the optical signals to the image post-processing device 4010.
In one embodiment of the present invention, thegrating 402 is provided with an adjusting device (not shown) for adjusting the size of the grating and controlling the amount of light entering, and a position fine-tuning support (not shown) for ensuring that the grating 402 is located at the focal plane of the condensed xenon light emitted from the light source. The first concavespherical reflector 403 is provided with an angle adjusting device (not shown in the figure) to ensure that the light beam smoothly passes through the compression corner flow test model 5, and the diameters of the first concavespherical reflector 403 and the second concavespherical reflector 406 are 50-500 mm, preferably 300 mm. In an embodiment of the present invention, the model number of the high-speed camera 409 is Phantom @ V2512, the camera body memory has 60G, the shooting frame rate at the maximum resolution of 1280 × 800 is 30000fps, and the shooting frame rate at the minimum resolution of 128 × 8 is 700000fps, in an embodiment of the present invention, the sampling frame rate of the high-speed camera is set to 20kHz (20000fps), the exposure time range is set to 1-500 μ s, and the preferred value is 1 μ s. The high-speed camera 409 and theimage post-processing apparatus 4010 are electrically connected to each other.
The ultrasonic velocity separation area measuring method based on the high-speed schlieren is further provided, and specifically comprises the following steps: when the wind tunnel is started, the supersonic separation area measuring device based on the high-speed schlieren starts to work, at the moment, thexenon lamp 401 emits high-intensity converged light beams, the light beams are adjusted by thegrating 402 and then irradiate to the first concavespherical reflector 403, the light beams are reflected to the firstoptical glass 404 through the first concavespherical reflector 403 and enter the compression corner flow test model 5, therefore, the supersonic flow field structure is imaged on the second concavespherical reflector 406, reflected to theplane mirror 407 and then projected to the high-speed camera 409, a part of light source images are cut off by theknife edge 408 in the middle, optical signals containing the supersonic flow field structure are collected through the high-speed camera 409 and transmitted to theimage processing device 4010, and theimage processing device 4010 processes the image signals to realize the visual quantitative measurement of the supersonic flow separation area. Wherein, the area between the two optical glasses is the supersonic flow separation test area. The included angles between the optical axes of thexenon lamp 401 and the first concavespherical reflector 403 and the optical axes of the first concavespherical reflector 403 and the second concavespherical reflector 406 are not more than 30 degrees, and are as small as possible, and the included angles between the optical axes of the first concavespherical reflector 403 and the second concavespherical reflector 406 and the optical axes of the second concavespherical reflector 406 and theplane mirror 407 are not more than 30 degrees, and are also as small as possible.
In one embodiment of the present invention, theflat plate model 201 and theramp 202 are bolted to form a compression corner structure under supersonic flow conditions. Compression corner flow separation may occur in the corner region due to the presence of a shock induced adverse pressure gradient.
Provided include, but are not limited to, the following steps: at the beginning of measurement, the separation area measuring device needs to be installed in a supersonic flow field test area for measurement.
Theimage post-processing device 4010 processes the schlieren image of the compressed corner supersonic flow field structure, and mainly comprises:
1. schlieren video capture
The high-speed camera is internally provided with an embedded video acquisition system, so that a plurality of functions such as shearing transplantation, multitask parallel and real-time acquisition can be realized; based on PC high-performance processing, the front-end video data can be transmitted to the PC end through the high-speed local area network for collection. The PC acquisition system realizes video data sharing through a high-speed local area network, and the PC end also comprises a data analysis microcomputer which can watch the test schlieren video in real time after authorization. This technique is well known to those skilled in the art and will not be described in detail.
2. Video framing operation and image selection
The PC end post-processing software comprises video framing operation, video clips at different moments can be output, the size of the output image data volume can be selected according to needs, and pictures in a jpg format, for example, are finally derived. This technique is well known to those skilled in the art and will not be described in detail.
3. Refractive index gradient calculation
The light beam passes through a compression corner flowing test area in the form of parallel light beams, the refractive index gradient of the light beam is changed due to airflow disturbance of the smooth test area, and the method for solving the refractive index gradient of the light beam in any gradient refractive index medium comprises an Eulerian method, a Rungetta method and a Taylor series expansion method which are numerical methods for tracing the light beam transmission in the medium (Von Dinghua, Pansha, Wang wenlong, Li birch. simulation and analysis of light beam tracing in any gradient refractive index medium [ J ] computer simulation 2010, 27 (2): 135). In the process of ray tracing in a refraction rate discrete distribution medium, the refraction rate and the gradient of a required space point are solved by adopting distance weighted interpolation and Barron gradient operators (Von Dinghua, Pansha, Wang wenlong, Li birch. simulation and analysis of ray tracing in any gradient refraction rate medium [ J ] computer simulation 2010, 27 (2): 135). The solution result is a digital gray matrix, and finally a black and white image containing flow field structural features is displayed on the high-speed camera imaging, which is well known to those skilled in the art and will not be described in detail.
Theabove steps 1 to 3 are all well known technical means of those skilled in the art, and need not be described in detail, and the followingsteps 4 to 6 are technical features of the present invention, which are described in detail below.
Rms convergence determination
The convergence analysis is further performed on the image intensities (grey values) of the sequence of consecutive schlieren pictures obtained. FIG. 5 is I of supersonic flow field with compression angle of 30 degreesmeanAnd IRMSEvolution of the residual error, ImeanAnd IRMSImage intensity mean and image intensity root mean square, respectively. The data quantity comprising S samples, S being e.g.Equal to 10000, residual quantity
Figure BSA0000242384140000111
Which is defined as the average of the image intensity field of N images
Figure BSA0000242384140000112
And the average value of the intensity field of N-1 schlieren
Figure BSA0000242384140000113
The absolute value of the difference.
Figure BSA0000242384140000114
Similar root mean square values of intensity field with striae
Figure BSA0000242384140000115
And the root mean square value of the intensity field of N-1 schlieren
Figure BSA0000242384140000116
Absolute value of the difference between
Figure BSA0000242384140000117
Figure BSA0000242384140000118
Wherein (i, j) represents the ith (i) in the horizontal direction and the vertical direction of the image, respectivelyth) And j (j)th) The pixel value. In the present invention, the judgment is made
Figure BSA0000242384140000119
And
Figure BSA00002423841400001110
convergence is achieved when the residual error amount does not exceed 0.1.
5. Calculating the root mean square distribution of the striae intensity field
Instep 4 schlieren intensity fieldFurther calculating the root mean square I of each pixel position of the schlieren intensity field based on the convergence of the root mean square residualRMSThe sample volume is S.
Figure BSA00002423841400001111
The mathematical meaning of the above formula is the pulsation level of the image intensity, and the corresponding physical meaning represents the pulsation level of the flow field structure corresponding to each region. Note that only the certificate I (I, j)RMSWith convergence, the above formula has physical meaning, otherwise it is meaningless.
6. Determination of size and position of separation region
Root mean square I of the striae intensity field obtained according to step 5RMSDistribution of (1), drawing IRMSAnd (3) contouring the cloud picture, marking contour lines, further locking the flow field structure according to the distribution of the pulse intensity in the cloud picture, wherein the different pulse intensity regions in the cloud picture have obvious boundary characteristics, and the obvious contour regions are formed near the compression corners, so that the flow field structure corresponding to the regions can be identified as a separation region. The location and size of the separation zone can be determined from the boundaries of the intensity of the pulsations at the compressed corners in the cloud.
And determining the position and the size of the separation area according to the pulse horizontal distribution difference, and realizing the schlieren visual quantitative measurement of the supersonic compression corner flow separation area. Although the schlieren technique is a qualitative flow field diagnostic device, with the rapid development of the schlieren technique, such as low exposure, short pulse light source, high frame rate acquisition, etc. A large amount of real-time schlieren data can be obtained, and the flow field structure with high-density gradient, such as shock wave, can be identified through schlieren images. But still cannot identify flow field structures like separation zones, shear layers, etc. that have low density gradients. Calculating the root mean square I of the striae intensity field by statistical analysis of the striae intensity field, i.e. checking the mean intensity field and the root mean square intensity field, and by iteration of a large amount of striae data, ensuring that the two parameters are convergentRMSCan determine the pulsating water in the flow fieldFlat, low density gradient-like flow field structures are locked in accordance with the difference in pulsation levels and have distinct boundary features.
Taking supersonic compression corner flow as an example, as shown in fig. 4, fig. 4(a) to (f) show transient flow field structures with slope angles of 20 °, 22 °, 24 °, 26 °, 28 °, and 30 °, respectively. Including 6 different compression angles, it can be clearly seen that as the angle increases, the separation shock wave is forced to move upstream, indicating that the size of the separation zone is gradually increased, but the separation zone cannot be embodied in the original schlieren.
Because the high-speed schlieren technique can collect multiple continuous transient structures in the flow field, the high-speed schlieren technique can provide a large number of samples of the transient continuous structures, thereby ensuring the statistical convergence of the schlieren intensity field, as shown in fig. 5. Fig. 5 illustrates that the maximum difference of the intensities of neighboring striae calculated at each step is convergent in the overall trend, and the larger the number of samples, the smaller the residual value. The method can well embody and capture the dynamic change rule of the flow structure.
In supersonic flow fields, although different flow field structures have different pulsation levels, some features cannot be directly distinguished by original schlieren (e.g., shear layer, separation zone, etc.). The root mean square distribution of the schlieren intensity field reflects the pulsatile character of the global flow field, from which profiles of the separation zones in the flow field are laterally established, as shown in fig. 6. The boundary layer is I after passing through the separation laser because of the interaction of the laser with the boundary layerRMSAnd is significantly increased.
It can be seen from figure 6 that the pulsation level downstream of the separation shock is divided into two distinct parts: one part is positioned on the flat plate, the other part is positioned on the slope, and the pulse intensity on the slope is larger. Further careful observation of I in the entire areaRMSDistribution, it can be seen that a region with relatively stable pulse intensity appears near the compression corner, and the pulse intensity of the part of the region is obviously weaker and the boundary is obviously obvious.
The size of the partial area is increased along with the increase of the compression angle, because the pulse intensity of the separation bubbles is weaker than that of the shear layer and is positioned below the shear layer, the flow structure corresponding to the partial area is judged to be the separation bubbles, and the size and the specific position of the separation area are further obtained. The size of the separation area is visually and quantitatively measured and the position is judged by obtaining the pulse horizontal distribution of the supersonic flow field structure.

Claims (1)

1. A schlieren image processing method for a compression corner supersonic flow field structure is characterized by comprising the following steps:
1. schlieren video capture
The high-speed camera 409 is internally provided with an embedded video acquisition system, so that multiple functions of shearing transplantation, multitask parallel, real-time acquisition and the like are realized; based on PC high-performance processing, front-end video data is transmitted to a PC end through a high-speed local area network for collection; the PC acquisition system realizes video data sharing through a high-speed local area network, and the PC end also comprises a data analysis microcomputer which can watch the test schlieren video in real time after authorization;
2. video framing operation and image selection
The PC end post-processing software comprises video framing operation, video clips at different moments are output, the size of the output image data volume can be selected according to needs, and finally a picture file is exported;
3. refractive index gradient calculation
The light beam passes through the compression corner flow test area in a parallel light beam mode, because of airflow disturbance of the smooth test area, the refractive index gradient of the light beam is changed, and in the light ray tracing process in a refraction rate discrete distribution medium, the refractive index and the gradient of a required space point are solved by adopting distance weighted interpolation and Barron gradient operators; the solved result is a digital gray matrix, and finally a black and white image containing flow field structure characteristics is displayed on the high-speed camera;
rms convergence determination
Further carrying out convergence analysis on the image intensity of the obtained continuous schlieren image sequence; i ismeanAnd IRMSRespectively, an image intensity average value and an image intensity root mean square; the data amount comprises S samples and the residual amount
Figure FSA0000242384130000011
Which is defined as the average of the image intensity field of N images
Figure FSA0000242384130000012
And the average value of the intensity field of N-1 schlieren
Figure FSA0000242384130000013
The absolute value of the difference;
Figure FSA0000242384130000014
root mean square value of schlieren intensity field
Figure FSA0000242384130000021
And the root mean square value of the intensity field of N-1 schlieren
Figure FSA0000242384130000022
Absolute value of the difference between
Figure FSA0000242384130000023
Figure FSA0000242384130000024
Wherein (i, j) represents the ith (i) in the horizontal direction and the vertical direction of the image, respectivelyth) And j (j)th) A pixel value; determination
Figure FSA0000242384130000025
And
Figure FSA0000242384130000026
convergence is achieved when the residual error quantity is not more than 0.1;
5. calculating the root mean square distribution of the striae intensity field
Based on the convergence of the root mean square residual error of the schlieren intensity field in the step 4, the root mean square I of each pixel position of the schlieren intensity field is further calculatedRMSThe sample volume is S;
Figure FSA0000242384130000027
the mathematical meaning of the formula is the pulsation level of the image intensity, and the corresponding physical meaning represents the pulsation level of the flow field structure corresponding to each region; note that only the certificate I (I, j)RMSThe formula has a physical meaning only if the formula has convergence, otherwise the formula has no meaning;
6. determination of size and position of separation region
Root mean square I of the striae intensity field obtained according to step 5RMSDistribution of (1), drawing IRMSContour cloud pictures are marked, contour lines are marked, a flow field structure can be further locked according to the distribution of the pulse intensity in the cloud pictures, obvious boundary characteristics can appear in different pulse intensity areas in the cloud pictures, obvious contour areas appear near compression corners, and the flow field structure corresponding to the areas can be identified as a separation area; the location and size of the separation zone can be determined from the boundaries of the intensity of the pulsations at the compressed corners in the cloud.
CN202110538315.1A2019-07-162019-07-16Schlieren image processing method for compressed corner supersonic flow field structureExpired - Fee RelatedCN113324727B (en)

Priority Applications (1)

Application NumberPriority DateFiling DateTitle
CN202110538315.1ACN113324727B (en)2019-07-162019-07-16Schlieren image processing method for compressed corner supersonic flow field structure

Applications Claiming Priority (2)

Application NumberPriority DateFiling DateTitle
CN202110538315.1ACN113324727B (en)2019-07-162019-07-16Schlieren image processing method for compressed corner supersonic flow field structure
CN201910669996.8ACN110823498A (en)2019-07-162019-07-16 Measurement device and measurement method of supersonic separation zone based on high-speed schlieren

Related Parent Applications (1)

Application NumberTitlePriority DateFiling Date
CN201910669996.8ADivisionCN110823498A (en)2019-07-162019-07-16 Measurement device and measurement method of supersonic separation zone based on high-speed schlieren

Publications (2)

Publication NumberPublication Date
CN113324727Atrue CN113324727A (en)2021-08-31
CN113324727B CN113324727B (en)2023-05-05

Family

ID=69547696

Family Applications (2)

Application NumberTitlePriority DateFiling Date
CN201910669996.8AWithdrawnCN110823498A (en)2019-07-162019-07-16 Measurement device and measurement method of supersonic separation zone based on high-speed schlieren
CN202110538315.1AExpired - Fee RelatedCN113324727B (en)2019-07-162019-07-16Schlieren image processing method for compressed corner supersonic flow field structure

Family Applications Before (1)

Application NumberTitlePriority DateFiling Date
CN201910669996.8AWithdrawnCN110823498A (en)2019-07-162019-07-16 Measurement device and measurement method of supersonic separation zone based on high-speed schlieren

Country Status (1)

CountryLink
CN (2)CN110823498A (en)

Cited By (1)

* Cited by examiner, † Cited by third party
Publication numberPriority datePublication dateAssigneeTitle
CN116929701A (en)*2023-09-152023-10-24中国空气动力研究与发展中心低速空气动力研究所Method and system for measuring flow trace of airfoil surface

Families Citing this family (11)

* Cited by examiner, † Cited by third party
Publication numberPriority datePublication dateAssigneeTitle
CN111795795B (en)*2020-06-012021-06-15丽水市天顺导轨制造有限公司Electronic auxiliary selection system and method applying signal analysis
CN112067239B (en)*2020-07-272022-06-03中国航天空气动力技术研究院 A method for automatically judging the establishment of supersonic wind tunnel flow field based on schlieren video
CN112683486A (en)*2020-12-112021-04-20中国人民解放军国防科技大学Shape-preserving side window structure refraction and reflection type schlieren instrument
CN112748626B (en)*2021-02-022021-11-26哈尔滨工业大学Visualization device for shock wave high-speed digital shadow imaging
CN113252663B (en)*2021-04-202025-06-03北京航空航天大学 Device and method for measuring optimal expansion ratio of convergence-expansion tube based on Schlieren method
CN113310656B (en)*2021-04-302022-09-27中国航天空气动力技术研究院Three-dimensional shock wave outer contour observation method
CN113639955B (en)*2021-10-152022-01-04中国空气动力研究与发展中心计算空气动力研究所Device for measuring concave panel boundary layer disturbance
CN114813020A (en)*2022-03-312022-07-29西安交通大学 A frosting experiment device and its application
CN114838900A (en)*2022-05-092022-08-02中山大学 Optical compensation method and device for wind tunnel experiment
CN117590021B (en)*2023-10-272025-01-17北京东方计量测试研究所 Particle Image Velocimetry System Based on the Vacuum Chamber of Weightless Aircraft
CN119148560B (en)*2024-08-292025-08-29中国人民解放军空军工程大学 Supersonic closed-loop flow control method based on high-speed linear array camera and schlieren system

Citations (11)

* Cited by examiner, † Cited by third party
Publication numberPriority datePublication dateAssigneeTitle
JPH07175934A (en)*1993-12-171995-07-14Tokyo Gas Co Ltd Fluid image processing analyzer
US5600060A (en)*1996-02-221997-02-04The United States Of America As Represented By The Secretary Of The NavyApparatus and method for computing unsteady flows by direct solution of the vorticity equation
CN102542556A (en)*2010-12-302012-07-04汕头大学Method for automatically extracting ultrasonic breast tumor image
CN103913288A (en)*2014-03-142014-07-09中国科学院力学研究所Rainbow schlieren measurement imaging system and method
US20140340502A1 (en)*2013-05-152014-11-20Massachusetts Institute Of TechnologyMethods and apparatus for refractive flow measurement with three dimensions and uncertainty
US20150048264A1 (en)*2013-08-132015-02-19National Taiwan UniversityFluid analysis method and fluid analysis system
CN106596037A (en)*2016-12-162017-04-26中国空气动力研究与发展中心高速空气动力研究所Wind tunnel test model flow density projection field video measurement method
CN106682278A (en)*2016-12-062017-05-17西安交通大学Supersonic flow field predicting accuracy determination device and method based on image processing
CN108563843A (en)*2018-03-262018-09-21北京航空航天大学The disturbance region update method of steady compressible flowing
CN108680335A (en)*2018-03-232018-10-19中国航天空气动力技术研究院A kind of High-speed transient schlieren system
CN109684690A (en)*2018-12-122019-04-26云南电网有限责任公司电力科学研究院A kind of emulated computation method obtaining laser shade, schlieren and shear interference image

Family Cites Families (2)

* Cited by examiner, † Cited by third party
Publication numberPriority datePublication dateAssigneeTitle
JP2000009584A (en)*1998-06-292000-01-14Mitsubishi Heavy Ind LtdMultiple optical source color schlieren apparatus
CN105424312A (en)*2015-11-252016-03-23中国科学院长春光学精密机械与物理研究所Coaxial-paraboloid-based reflection type schlieren instrument optical system

Patent Citations (11)

* Cited by examiner, † Cited by third party
Publication numberPriority datePublication dateAssigneeTitle
JPH07175934A (en)*1993-12-171995-07-14Tokyo Gas Co Ltd Fluid image processing analyzer
US5600060A (en)*1996-02-221997-02-04The United States Of America As Represented By The Secretary Of The NavyApparatus and method for computing unsteady flows by direct solution of the vorticity equation
CN102542556A (en)*2010-12-302012-07-04汕头大学Method for automatically extracting ultrasonic breast tumor image
US20140340502A1 (en)*2013-05-152014-11-20Massachusetts Institute Of TechnologyMethods and apparatus for refractive flow measurement with three dimensions and uncertainty
US20150048264A1 (en)*2013-08-132015-02-19National Taiwan UniversityFluid analysis method and fluid analysis system
CN103913288A (en)*2014-03-142014-07-09中国科学院力学研究所Rainbow schlieren measurement imaging system and method
CN106682278A (en)*2016-12-062017-05-17西安交通大学Supersonic flow field predicting accuracy determination device and method based on image processing
CN106596037A (en)*2016-12-162017-04-26中国空气动力研究与发展中心高速空气动力研究所Wind tunnel test model flow density projection field video measurement method
CN108680335A (en)*2018-03-232018-10-19中国航天空气动力技术研究院A kind of High-speed transient schlieren system
CN108563843A (en)*2018-03-262018-09-21北京航空航天大学The disturbance region update method of steady compressible flowing
CN109684690A (en)*2018-12-122019-04-26云南电网有限责任公司电力科学研究院A kind of emulated computation method obtaining laser shade, schlieren and shear interference image

Non-Patent Citations (2)

* Cited by examiner, † Cited by third party
Title
孔小平等: "隔离段激波串精细结构与压力特性实验研究"*
武宇;易仕和;陈植;张庆虎;冈敦殿;: "超声速层流/湍流压缩拐角流动结构的实验研究"*

Cited By (2)

* Cited by examiner, † Cited by third party
Publication numberPriority datePublication dateAssigneeTitle
CN116929701A (en)*2023-09-152023-10-24中国空气动力研究与发展中心低速空气动力研究所Method and system for measuring flow trace of airfoil surface
CN116929701B (en)*2023-09-152023-12-01中国空气动力研究与发展中心低速空气动力研究所Method and system for measuring flow trace of airfoil surface

Also Published As

Publication numberPublication date
CN110823498A (en)2020-02-21
CN113324727B (en)2023-05-05

Similar Documents

PublicationPublication DateTitle
CN113324727A (en)Schlieren image processing method for compressed corner supersonic flow field structure
MeierComputerized background-oriented schlieren
CN201037868Y (en)High speed particle image speed measuring device
US20050018882A1 (en)Controlled surface wave image velocimetry
CN109489612B (en)Airplane fuel nozzle spraying angle testing device and method
CN108168835B (en)Wind tunnel double-optical path schlieren field display device
CN113252295A (en)Flow field measuring instrument and flow field measuring method based on rectangular pyramid sensor
Costantini et al.Feasibility of skin-friction field measurements in a transonic wind tunnel using a global luminescent oil film
CN107014445A (en)A kind of gas jet characteristic comprehensive measurement device and method
Chalmers et al.Ice Crystal Environment Modular Axial Compressor Rig: Characterization of Particle Fracture and Melt Across One Rotor Using Laser Shadowgraphy
Shinder et al.Improvements to NIST׳ S air speed calibration service
CN110553813A (en)method for determining local wind resistance test interval of wind window based on PIV (particle image velocimetry) experiment
CN115901178A (en) Measurement system and analysis method for wave resonance flow field characteristics between multi-body offshore structures
Garcia et al.Characterization of near-bed coherent structures in turbulent open channel flow using synchronized high-speed video and hot-film measurements
CN204789239U (en)Angle of scattering is from maring whole audience rainbow measuring device based on dual wavelength
CN109141814A (en)A kind of device and method that high-gravity rotating bed flow field characteristic is measured based on PIV technology
McDaniel et al.Boundary-Layer Analysis in Mach-6 Quiet Tunnel Using Schlieren Methods
CN116124413A (en)Fan wake flow observation device and method based on snow particles
Zhang et al.Particle streak velocimetry: a review
CN118603465A (en) A fluid-structure coupling vibration full-field measurement device and method based on event camera
Kaiser et al.Large-scale volumetric particle tracking using a single camera: analysis of the scalability and accuracy of glare-point particle tracking
Gui et al.Techniques for measuring bulge–scar pattern of free surface deformation and related velocity distribution in shallow water flow over a bump
CN118032660A (en)Liquid drop bottom air film interference experimental device and method under high pressure condition
Cogotti et al.Presentation of flow field investigation by PIV on a full-scale car in the Pininfarina wind tunnel
ReutherImpact of the intermittent behavior on statistics in pressure gradient turbulent boundary layers

Legal Events

DateCodeTitleDescription
PB01Publication
PB01Publication
SE01Entry into force of request for substantive examination
SE01Entry into force of request for substantive examination
GR01Patent grant
GR01Patent grant
CF01Termination of patent right due to non-payment of annual fee
CF01Termination of patent right due to non-payment of annual fee

Granted publication date:20230505


[8]ページ先頭

©2009-2025 Movatter.jp