Movatterモバイル変換


[0]ホーム

URL:


CN113315551B - Signal detection method and device of layered space-time code system and computer equipment - Google Patents

Signal detection method and device of layered space-time code system and computer equipment
Download PDF

Info

Publication number
CN113315551B
CN113315551BCN202010124857.XACN202010124857ACN113315551BCN 113315551 BCN113315551 BCN 113315551BCN 202010124857 ACN202010124857 ACN 202010124857ACN 113315551 BCN113315551 BCN 113315551B
Authority
CN
China
Prior art keywords
signal
matrix
mean square
square error
minimum mean
Prior art date
Legal status (The legal status is an assumption and is not a legal conclusion. Google has not performed a legal analysis and makes no representation as to the accuracy of the status listed.)
Active
Application number
CN202010124857.XA
Other languages
Chinese (zh)
Other versions
CN113315551A (en
Inventor
张健
郑晨熹
郝秀娟
邓珂
Current Assignee (The listed assignees may be inaccurate. Google has not performed a legal analysis and makes no representation or warranty as to the accuracy of the list.)
Guangzhou Haige Communication Group Inc Co
Original Assignee
Guangzhou Haige Communication Group Inc Co
Priority date (The priority date is an assumption and is not a legal conclusion. Google has not performed a legal analysis and makes no representation as to the accuracy of the date listed.)
Filing date
Publication date
Application filed by Guangzhou Haige Communication Group Inc CofiledCriticalGuangzhou Haige Communication Group Inc Co
Priority to CN202010124857.XApriorityCriticalpatent/CN113315551B/en
Publication of CN113315551ApublicationCriticalpatent/CN113315551A/en
Application grantedgrantedCritical
Publication of CN113315551BpublicationCriticalpatent/CN113315551B/en
Activelegal-statusCriticalCurrent
Anticipated expirationlegal-statusCritical

Links

Images

Classifications

Landscapes

Abstract

The application relates to a signal detection method and device of a layered space-time code system and computer equipment. The method comprises the following steps: acquiring a signal to be detected of a layered space-time code system; carrying out minimum mean square error detection on a signal to be detected to obtain a minimum mean square error detection signal; performing singular value decomposition on a channel matrix of a layered space-time code system to obtain a correction parameter of a minimum mean square error detection signal; and correcting the minimum mean square error detection signal according to the correction parameters to obtain a detection signal of the layered space-time code system. By adopting the method, the signal detection performance of the layered space-time code system can be improved, and the bit error rate of signal detection is reduced.

Description

Signal detection method and device of layered space-time code system and computer equipment
Technical Field
The present application relates to the field of wireless communication technologies, and in particular, to a signal detection method and apparatus for a layered space-time code system, a computer device, and a storage medium.
Background
The layered space-time code is a space-time code system based on MIMO (Multiple-Input Multiple-Output) transmission mode, high-speed data service is decomposed into a plurality of low-speed data service for layered space-time coding, the low-speed data service is transmitted through a plurality of antennas after being modulated, and the high-speed data service is received through a plurality of antennas at a receiving end in a diversity mode for layered space-time decoding, so that multi-path parallel transmission is completed, and multiplexing gain is realized. In multipath parallel transmission, signals between different antennas interfere with each other, and in order to correctly detect an original transmission symbol, a conventional method is to detect at a receiving end by using MMSE (Minimum Mean square Error).
However, the MMSE detection method has poor performance, and the Bit Error Rate (BER) of the obtained signal detection result is high.
Therefore, the traditional layered space-time code system signal detection method has the problems of poor detection performance and high bit error rate of a detection result.
Disclosure of Invention
In view of the foregoing, it is desirable to provide a layered space-time code system signal detection method, apparatus, computer device and storage medium capable of improving detection performance and reducing bit error rate.
A method for signal detection in a layered space-time code system, comprising:
acquiring a signal to be detected of the layered space-time code system;
carrying out minimum mean square error detection on the signal to be detected to obtain a minimum mean square error detection signal;
performing singular value decomposition on a channel matrix of the layered space-time code system to obtain a correction parameter of the minimum mean square error detection signal;
and correcting the minimum mean square error detection signal according to the correction parameters to obtain a detection signal of the layered space-time code system.
In one embodiment, the obtaining the correction parameter of the minimum mean square error detection signal by performing singular value decomposition on a channel matrix of the hierarchical space-time code system includes:
performing singular value decomposition on the channel matrix to obtain a singular value decomposition matrix;
performing signal noise separation on the minimum mean square error detection signal according to the singular value decomposition matrix to obtain a separation matrix;
and obtaining the correction parameters according to the separation matrix.
In one embodiment, the separation matrix comprises a signal matrix and a noise matrix; the signal matrix comprises a useful signal matrix; the obtaining the correction parameter according to the separation matrix includes:
determining a useful semaphore corresponding to the minimum mean square error detection signal according to the useful signal matrix;
determining an amount of interference noise corresponding to the minimum mean square error detection signal according to the useful signal matrix and the noise matrix;
and obtaining the correction parameter according to the useful signal quantity and the interference noise quantity.
In one embodiment, the determining the amount of interference noise corresponding to the minimum mean square error detection signal according to the desired signal matrix and the noise matrix comprises:
obtaining signal energy according to the singular value decomposition matrix;
obtaining interference signal energy according to the signal energy and the useful signal matrix;
and obtaining the interference noise amount according to the interference signal energy and the noise matrix.
In one embodiment, the singular value decomposition matrix comprises a diagonal matrix; obtaining signal energy according to the singular value decomposition matrix, including:
obtaining a transformed diagonal matrix by performing diagonal element transformation on the diagonal matrix;
extracting diagonal elements of the transformed diagonal matrix;
and calculating the signal energy according to the diagonal elements.
In one embodiment, the acquiring a signal to be detected of the layered space-time code system includes:
acquiring a receiving signal of the layered space-time code system;
carrying out synchronous processing on the received signals according to a preset local synchronous signal;
and when the synchronization is realized, carrying out orthogonal frequency division multiplexing demodulation on the received signal to obtain the signal to be detected.
In one embodiment, the obtaining a minimum mean square error detection signal by performing minimum mean square error detection on the signal to be detected includes:
acquiring detection parameters of the minimum mean square error detection; the detection parameters include the channel matrix and noise variance;
and carrying out minimum mean square error detection on the signal to be detected according to the detection parameters.
A signal detection apparatus for a layered space-time code system, comprising:
the acquisition module is used for acquiring a signal to be detected of the layered space-time code system;
the minimum mean square error detection module is used for carrying out minimum mean square error detection on the signal to be detected to obtain a minimum mean square error detection signal;
a correction parameter calculation module for performing singular value decomposition on the channel matrix of the layered space-time code system to obtain a correction parameter corresponding to the minimum mean square error detection signal;
and the correcting module is used for correcting the minimum mean square error detection signal according to the correction parameters to obtain a detection signal of the layered space-time code system.
A computer device comprising a memory and a processor, the memory storing a computer program, the processor implementing the following steps when executing the computer program:
acquiring a signal to be detected of the layered space-time code system;
carrying out minimum mean square error detection on the signal to be detected to obtain a minimum mean square error detection signal;
performing singular value decomposition on a channel matrix of the layered space-time code system to obtain a correction parameter of the minimum mean square error detection signal;
and correcting the minimum mean square error detection signal according to the correction parameters to obtain a detection signal of the layered space-time code system.
A computer-readable storage medium, on which a computer program is stored which, when executed by a processor, carries out the steps of:
acquiring a signal to be detected of the layered space-time code system;
carrying out minimum mean square error detection on the signal to be detected to obtain a minimum mean square error detection signal;
performing singular value decomposition on a channel matrix of the layered space-time code system to obtain a correction parameter of the minimum mean square error detection signal;
and correcting the minimum mean square error detection signal according to the correction parameters to obtain a detection signal of the layered space-time code system.
According to the signal detection method, the signal detection device, the computer equipment and the storage medium of the layered space-time code system, the minimum mean square error detection is carried out on the signal to be detected of the layered space-time code system to obtain a minimum mean square error detection signal, so that a rough signal detection result can be obtained; correcting parameters are obtained by performing singular value decomposition on a channel matrix of the layered space-time code system, so that the minimum mean square error detection signal can be corrected conveniently by using the correcting parameters subsequently; and correcting the minimum mean square error detection signal according to the correction parameters to obtain a detection signal of the layered space-time code system, so that the detection performance can be improved, and the bit error rate of a signal detection result can be reduced.
Drawings
FIG. 1 is a diagram of an exemplary signal detection method for a layered space-time code system;
FIG. 2 is a flow diagram illustrating a method for signal detection in a layered space-time code system in accordance with one embodiment;
FIG. 3 is a block diagram of a layered space-time code system wireless transmitting device in one embodiment;
FIG. 4 is a block diagram of a wireless receiving device of a layered space-time code system in one embodiment;
FIG. 5 is a diagram illustrating the performance of an embodiment of a signal detection method for a layered space-time code system;
FIG. 6 is a diagram of the performance of a signal detection method in another embodiment of a layered space-time code system;
FIG. 7 is a block diagram of a signal detection apparatus of the layered space-time code system in one embodiment;
FIG. 8 is a diagram illustrating an internal structure of a computer device according to an embodiment.
Detailed Description
In order to make the objects, technical solutions and advantages of the present application more apparent, the present application is described in further detail below with reference to the accompanying drawings and embodiments. It should be understood that the specific embodiments described herein are merely illustrative of the present application and are not intended to limit the present application.
The signal detection method of the layered space-time code system provided by the application can be applied to the application environment shown in fig. 1. Wherein thewireless transmitting device 102 transmits a wireless communication signal to thewireless receiving device 104. Thewireless transmitting device 102 may be a terminal device in a public mobile communication system or a base station in the public mobile communication system, and thewireless receiving device 104 may be a terminal device in the public mobile communication system or a base station in the public mobile communication system.
In one embodiment, as shown in fig. 2, a signal detection method of a layered space-time code system is provided, which is described by taking the method as an example applied to thewireless receiving device 104 in fig. 1, and includes the following steps:
step S210, acquiring a signal to be detected of the layered space-time code system.
The signal to be detected is an input signal of the layered space-time code decoding module.
In a specific implementation, thewireless transmitting device 102 performs Turbo coding on the transmitted data, and the coded data may be divided into NtEach layer is independently modulated and then sent to an OFDM (Orthogonal Frequency Division Multiplexing) module, where the number of OFDM subcarriers may be M, the OFDM module performs IFFT (Inverse Fast Fourier Transform) and CP (Cyclic Prefix) addition on data, and the processed data is sent out through a sending antenna, where the number of sending antennas of thewireless sending device 102 may be Nt. The number of receive antennas of thewireless receiving device 104 may be NrAfter receiving the transmission signal of thewireless transmission device 102, after synchronization, CP removal and FFT (Fast Fourier Transform) processing are performed on each layer of data, and the processed data is a signal to be detected.
Step S220, performing minimum mean square error detection on the signal to be detected to obtain a minimum mean square error detection signal.
Wherein the minimum mean square error detection is a signal detection for a layered space-time code system by minimizing a linear combination of a transmitted signal vector and a received signal vector.
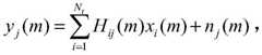
In a specific implementation, thewireless receiving device 104 is capable of receiving j (j ═ 1, 2, … …, Nr) Root of herbaceous plantThe received signal of the M (M-1, 2, … …, M) th subcarrier of the antenna can be formulated as
Figure BDA0002394104180000051
Wherein x isi(m) is the actual transmitted signal, Hij(m) is the channel frequency domain response, nj(m) is noise, mean 0 and variance σ2. Writing the above formula into a matrix form, having
Figure BDA0002394104180000061
Namely, it is
y(m)=H(m)x(m)+n(m),
Wherein y (m) e CNr×1,H(m)∈CNr×Nt,x(m)∈CNt×1,n(m)∈CNt×1. Since the process is the same for each subcarrier, the subcarrier number is omitted and the received signal can be expressed by the formula y — Hx + n. (1)
When MMSE detection is applied, the estimated value of the transmitted signal can be made to be
Figure BDA0002394104180000062
And solve for
Figure BDA0002394104180000063
So as to minimize the error between the actual transmission signal and the estimated value of the transmission signal, and solving the above equation to obtain
Figure BDA0002394104180000064
Substitute it into
Figure BDA0002394104180000065
Obtain the minimum mean square error detection signal of
Figure BDA0002394104180000066
In step S230, singular value decomposition is performed on the channel matrix of the hierarchical space-time code system to obtain a correction parameter of the minimum mean square error detection signal.
Wherein, the correction parameters of the minimum mean square error detection signal comprise a useful signal quantity and an interference noise quantity.
In a specific implementation, by performing singular value decomposition on a channel matrix of a layered space-time code system, thewireless receiving device 104 converts detection signals between different antennas into a form of useful signals and interference signals, obtains correction parameters of MMSE detection signals by calculating the energy of the useful signals and the energy of the interference signals, adjusts soft information after MMSE detection, and finally completes detection and decoding.
In practical application, SVD (Singular Value Decomposition) is performed on the channel matrix H to obtain the channel matrix H
H=SVDH, (3)
Wherein S and D are cacique matrices obtained by decomposition, V is a diagonal matrix, and the diagonal element of V is lambdai(1≤i≤Nt),
Figure BDA0002394104180000067
By substituting equations (1) and (3) into equation (2), the detection signal can be converted into
Figure BDA0002394104180000068
Note the book
Figure BDA0002394104180000071
Wherein
Figure BDA0002394104180000072
Note the book
Figure BDA0002394104180000073
Substituting G and Q into formula (4), the detection signal can be further converted into
Figure BDA0002394104180000074
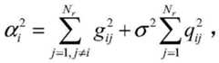
Wherein, mu is SHn is a noise term, GΛA diagonal matrix formed of diagonal elements of G, GΓThe matrix with the diagonal elements in G zeroed out. For equation (5), GΛx is a useful signal term, GΓx + Q μ is the interference plus noise term.
All elements G of the matrix GijCan be formulated as
Figure BDA0002394104180000075
Wherein,
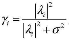
Figure BDA0002394104180000076
is the diagonal element of Λ. Let giiFor diagonal elements of the matrix G, the energy values of the off-diagonal elements of G may be formulated as
Figure BDA0002394104180000077
The Signal-to-Noise Ratio (SNR) of each symbol can be expressed as
Figure BDA0002394104180000078
Wherein
Figure BDA0002394104180000079
In order for the energy of the useful signal to be useful,
Figure BDA00023941041800000710
for interference plus noise energy, is formulated as
Figure BDA00023941041800000711
Wherein q isijAre elements in the matrix Q. G in the above formulaiiAsThe amount of the useful signal is,
Figure BDA00023941041800000712
as the amount of interference noise, giiAnd
Figure BDA00023941041800000713
can be used as a correction parameter of the minimum mean square error detection signal.
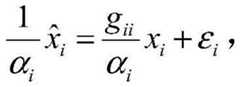
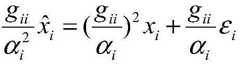
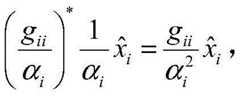
And S240, correcting the minimum mean square error detection signal according to the correction parameters to obtain a detection signal of the layered space-time code system.
In particular, in obtaining useful signal energy
Figure BDA00023941041800000714
Sum interference plus noise energy
Figure BDA00023941041800000715
Thereafter, the unbiased estimate of the ith antenna transmitted symbol may be formulated as
Figure BDA00023941041800000716
Wherein epsiloniIs white gaussian noise with energy of 1. When the received signal is y ═ Hx + N, N to N (0,1), the best soft information substituted into the decoder is H*y (wherein x represents a conjugate) and converting formula (6) into a form of y ═ Hx + n
Figure BDA0002394104180000081
Thus substituting the best soft information for the decoder as
Figure BDA0002394104180000082
Namely that
Figure BDA0002394104180000083
Is the best soft information substituted into the decoder. In practical application, the method can be used for
Figure BDA0002394104180000084
And multiplying the soft information adjustment quantity by the minimum mean square error detection signal to obtain a detection signal of the layered space-time code system.
In the signal detection method of the layered space-time code system, the minimum mean square error detection is carried out on the signal to be detected of the layered space-time code system to obtain a minimum mean square error detection signal, so that a rough signal detection result can be obtained; correcting parameters are obtained by performing singular value decomposition on a channel matrix of the layered space-time code system, so that the minimum mean square error detection signal can be corrected conveniently by using the correcting parameters subsequently; and correcting the minimum mean square error detection signal according to the correction parameters to obtain a detection signal of the layered space-time code system, so that the detection performance can be improved, and the bit error rate of a signal detection result can be reduced.
In an embodiment, the step S230 may specifically include: performing singular value decomposition on the channel matrix to obtain a singular value decomposition matrix; performing signal noise separation on the minimum mean square error detection signal according to the singular value decomposition matrix to obtain a separation matrix; and obtaining correction parameters according to the separation matrix.
Wherein the singular value decomposition matrices are S, V and D in formula (3), and the separation matrices are G and Q in formula (5).
In a specific implementation, the channel matrix H is subjected to SVD and expressed by a formula
H=SVDH
Where S and D are cacique matrices, V is a diagonal matrix, and the diagonal elements of V are λi(1≤i≤Nt),
Figure BDA0002394104180000085
Substituting the above formula into the minimum mean square error detection signal formula to obtain
Figure BDA0002394104180000086
Note the book
Figure BDA0002394104180000087
Wherein
Figure BDA0002394104180000088
Note the book
Figure BDA0002394104180000089
The minimum mean square error detection signal can be further converted into
Figure BDA00023941041800000810
Wherein, mu is SHn is a noise term, GΛA diagonal matrix formed of diagonal elements of G, GΓThe matrix with the diagonal elements in G zeroed out. For the above formula, GΛx is a useful signal term, GΓx + Q μ is the interference plus noise term.
All elements G of the matrix GijCan be formulated as
Figure BDA0002394104180000091
Wherein,
Figure BDA0002394104180000092
is the diagonal element of Λ. Let giiFor diagonal elements of the matrix G, the energy values of the off-diagonal elements of G may be formulated as
Figure BDA0002394104180000093
The signal-to-noise ratio of each symbol can be expressed as
Figure BDA0002394104180000094
Wherein
Figure BDA0002394104180000095
To be usefulThe energy of the signal is transmitted to the receiver,
Figure BDA0002394104180000096
for interference plus noise energy, is formulated as
Figure BDA0002394104180000097
Wherein q isijAre elements in the matrix Q. G in the above formulaiiAs a function of the amount of useful signal,
Figure BDA0002394104180000098
as the amount of interference noise, giiAnd
Figure BDA0002394104180000099
can be used as a correction parameter of the minimum mean square error detection signal.
In this embodiment, a singular value decomposition matrix is obtained by performing singular value decomposition on the channel matrix, and a diagonal matrix can be decomposed from the channel matrix; performing signal noise separation on the minimum mean square error detection signal according to the singular value decomposition matrix to obtain a separation matrix, and converting the detection signal into a form of adding a useful signal, an interference signal and noise; and obtaining a correction parameter according to the separation matrix, so that the correction parameter can be conveniently used for correcting the minimum mean square error detection signal subsequently, the detection performance is improved, and the bit error rate of a signal detection result is reduced.
In an embodiment, the step S230 may further specifically include: determining a useful semaphore corresponding to the minimum mean square error detection signal according to the useful signal matrix; determining the interference noise amount corresponding to the minimum mean square error detection signal according to the useful signal matrix and the noise matrix; and obtaining a correction parameter according to the useful signal quantity and the interference noise quantity.
Wherein the useful signal matrix is G in formula (5)ΛThe useful signal quantity is the useful signal amplitude g in the formula (6)iiThe noise matrix is Q in formula (5), and the interference noise amount is the interference plus in formula (6)Noise energy
Figure BDA0002394104180000101
In particular, the conversion formula of the signal is detected according to the minimum mean square error
Figure BDA0002394104180000102
Slave matrix GΛExtracting diagonal element giiAnd obtaining a useful semaphore. All elements G of the matrix GijCan be formulated as
Figure BDA0002394104180000103
Wherein,
Figure BDA0002394104180000104
is the diagonal element of Λ. According to the useful semaphore giiThe interference signal energy can be formulated as
Figure BDA0002394104180000105
From the noise matrix Q, the noise energy can be formulated as
Figure BDA0002394104180000106
Thus, the interference plus noise energy may be formulated as
Figure BDA0002394104180000107
G in the above formulaiiAs a function of the amount of useful signal,
Figure BDA0002394104180000108
as the amount of interference noise, giiAnd
Figure BDA0002394104180000109
can be used as a correction parameter of the minimum mean square error detection signal.
In this embodiment, according to the useful signal matrix, a useful semaphore corresponding to the minimum mean square error detection signal is determined, and the useful semaphore can be extracted from the minimum mean square error detection signal; determining the interference noise amount corresponding to the minimum mean square error detection signal according to the useful signal matrix and the noise matrix, and obtaining the interference noise amount in the minimum mean square error detection signal; and obtaining a correction parameter according to the useful semaphore and the interference noise amount, so that the minimum mean square error detection signal can be corrected conveniently by using the correction parameter subsequently, the detection performance is improved, and the bit error rate of a signal detection result is reduced.
In an embodiment, the step S230 may further specifically include: decomposing the matrix according to the singular value to obtain signal energy; obtaining interference signal energy according to the signal energy and the useful signal matrix; and obtaining the interference noise amount according to the interference signal energy and the noise matrix.
Wherein, the signal energy is the sum of the useful signal energy and the interference signal energy.
In a specific implementation, the signal energy may be all elements G of the matrix GijIs formulated as
Figure BDA00023941041800001010
Wherein G is obtained by calculation according to a singular value decomposition matrix,
Figure BDA0002394104180000111
is the diagonal element of Λ. Obtaining useful signal matrix G according to GΛAnd g isiiIs GΛThe diagonal element in, and therefore the useful signal energy is
Figure BDA0002394104180000112
Based on the signal energy and the desired signal energy, the interference signal energy is
Figure BDA0002394104180000113
From the noise matrix Q, the noise energy can be formulated as
Figure BDA0002394104180000114
Thus, the interference plus noise energy may be formulated as
Figure BDA0002394104180000115
In the above formula
Figure BDA0002394104180000116
Is the amount of interference noise.
In the embodiment, signal energy is obtained according to the singular value decomposition matrix, and the sum of the energy of the signals to be detected can be obtained; obtaining interference signal energy according to the signal energy and the useful signal matrix, and separating the interference signal energy from the sum of the energy of the signals to be detected; according to the interference signal energy and the noise matrix, the interference noise quantity is obtained, a useful signal item can be separated from an interference and noise item, and correction parameters can be obtained conveniently in the follow-up process.
In an embodiment, the step S230 may further specifically include: obtaining a diagonal matrix after transformation by carrying out diagonal element transformation on the diagonal matrix; extracting diagonal elements of the transformed diagonal matrix; from the diagonal elements, the signal energy is calculated.
Wherein the diagonal matrix is a matrix V in formula (3), and diagonal elements are transformed into operation
Figure BDA0002394104180000117
The diagonal matrix is lambda and the diagonal elements are gamma after transformationi
In a specific implementation, SVD is performed on a channel matrix H to obtain H ═ SVDHWhere V is a diagonal matrix and the diagonal elements of V are λi(1≤i≤Nt),
Figure BDA0002394104180000118
The diagonal matrix V is subjected to diagonal element transformation and can be expressed as
Figure BDA0002394104180000119
And Λ is a diagonal matrix after transformation. Order to
Figure BDA00023941041800001110
Substituting into formula for diagonal element of Λ
Figure BDA0002394104180000121
Signal energy can be obtained.
In this embodiment, the diagonal matrix is subjected to diagonal element transformation to obtain a transformed diagonal matrix, diagonal elements of the transformed diagonal matrix are extracted, and signal energy is calculated according to the diagonal elements, so that a calculation process of the signal energy can be simplified, and algorithm complexity is reduced.
In an embodiment, the step S210 may specifically include: acquiring a receiving signal of a layered space-time code system; carrying out synchronous processing on the received signals according to a preset local synchronous signal; when synchronization is realized, orthogonal frequency division multiplexing demodulation is carried out on the received signal to obtain a signal to be detected.
The received signal is a signal received by the wireless receiving device, and the synchronization process is to synchronize frame signals communicated between the wireless transmitting device and the receiving device.
In a specific implementation, the wireless transmitting device performs Turbo coding on the transmitted data, and the coded data can be divided into NtEach layer is sent to an OFDM module after being independently modulated, wherein the number of OFDM subcarriers can be M, the OFDM module carries out IFFT and CP adding processing on data, the processed data is sent out through a sending antenna, and the number of the sending antennas of the wireless sending equipment can be Nt. The number of receiving antennas of the wireless receiving equipment can be NrUpon receiving a wireless transmissionAfter the device sends a signal, the device carries out synchronization processing on the received signal according to a preset local synchronization signal, and carries out CP removal and FFT processing on each layer of data after synchronization is realized, wherein the processed data is a signal to be detected.
In this embodiment, after the received signal of the layered space-time code system is obtained, the received signal is synchronized according to a preset local synchronization signal, so that the wireless transmitting device and the wireless receiving device can be synchronized, and when synchronization is achieved, orthogonal frequency division multiplexing demodulation is performed on the received signal to obtain a signal to be detected, thereby facilitating subsequent signal detection.
In an embodiment, the step S220 may specifically include: obtaining detection parameters of minimum mean square error detection; the detection parameters comprise a channel matrix and a noise variance; and according to the detection parameters, carrying out minimum mean square error detection on the signal to be detected.
Wherein the detection parameters include a channel matrix H and a noise variance σ2
In a specific implementation, the j (j) th of the wireless receiving device is 1, 2, … …, Nr) The received signal of the M (M-1, 2, … …, M) th subcarrier of the root antenna can be formulated as
Figure BDA0002394104180000131
Wherein x isi(m) is the actual transmitted signal, Hij(m) is the channel frequency domain response, nj(m) is noise, mean 0 and variance σ2. Writing the above formula into a matrix form, having
Figure BDA0002394104180000132
Namely, it is
y(m)=H(m)x(m)+n(m),
Wherein y (m) e CNr×1,H(m)∈CNr×Nt,x(m)∈CNt×1,n(m)∈CNt×1. Since the processing is the same for each subcarrier, it is less expensiveThe received signal may be expressed as y ═ Hx + n, without subcarrier indices.
The variance σ of H and n in the above equation may be obtained in advance2And substituting the signal y to be detected of the layered space-time code system into the minimum mean square error detection formula
Figure BDA0002394104180000133
Obtaining a minimum mean square error detection signal
Figure BDA0002394104180000134
In the embodiment, the minimum mean square error detection is performed on the signal to be detected by obtaining the detection parameters of the minimum mean square error detection and according to the detection parameters, so that the minimum mean square error detection signal can be obtained by direct calculation, the algorithm flow is simplified, and the algorithm complexity is reduced.
In order to facilitate a thorough understanding of the embodiments of the present application by those skilled in the art, the following description will be made with reference to specific examples of fig. 3 to 6.
In one embodiment, as shown in fig. 3, a block diagram of a hierarchical space-time code system wireless transmitting device is provided. As one of the key technologies of the fourth generation mobile communication system, the MIMO technology utilizes multiple antennas for transmission and reception, divides user data information into multiple parallel signals at a transmitting end and introduces a coding relationship, and then transmits the signals in the same frequency band by the multiple antennas, and a receiving end recovers the transmitted information by using a related signal processing algorithm. The MIMO technology converts a channel into a plurality of parallel sub-channels, can realize the reuse of frequency spectrum resources under the condition of not needing extra bandwidth, and a plurality of sending antennas transmit at the same frequency, so that the frequency band utilization rate can be greatly expanded theoretically, the transmission rate is improved, and meanwhile, the anti-interference and anti-fading performance of the system can be enhanced. The OFDM technology can convert a frequency selective fading channel into an equivalent flat fading channel by splitting a broadband signal into a plurality of narrowband signals for transmission, thereby effectively resisting the influence of multipath fading on the signals. OFDM can be combined with MIMO, and on one hand, OFDM converts a channel into a flat fading channel, so that a MIMO channel model is convertedIs a simplest channel model; on the other hand, MIMO can improve the capacity of the system or improve the reliability of the link, so that OFDM can improve the transmission rate without increasing the number of subcarriers. The Turbo coding enables the decoding complexity to reach the performance close to the Shannon limit within an acceptable range. In a MIMO-OFDM system, to approach the channel capacity as close as possible, a Turbo codec and interleaver are required to provide redundancy against burst fading, interference, and noise. The Turbo-MIMO-OFDM system adopts a plurality of antennas to introduce space resources in a transmission system, and simultaneously utilizes time, frequency, space and coding processing modes to greatly increase the tolerance of the wireless communication system to noise, interference and multipath, thereby effectively improving the transmission rate of a wireless link and the reliability of the system. Because interference exists among different antennas in the Turbo-MIMO-OFDM system, how to eliminate the interference among the antennas and detect a transmitted signal becomes a difficult problem of the system. According to the technical scheme in the embodiment, aiming at received data, a receiving end converts the data among different antennas into a useful signal and interference form, soft information after MMSE detection is adjusted by calculating useful signal energy and interference energy, and finally detection decoding is completed. The structure block diagram of the transmitting end of the Turbo-MIMO-OFDM system is shown in FIG. 3. the transmitted data is first Turbo encoded, and the encoded data is divided into NtAnd each layer is sent to an OFDM module after being modulated independently, and then is sent out through a sending antenna after IFFT operation and CP addition. Suppose the number of antennas to transmit is NtThe number of receiving antennas is NrAnd the number of OFDM subcarriers is M.
In one embodiment, as shown in fig. 4, a block diagram of a layered space-time code system wireless receiving device is provided. The technical scheme in the embodiment mainly comprises the following steps:
1) and preparing a receiving end signal. After the receiving end is synchronized, each layer of data is processed by CP and FFT operation, the receiving signal of the m sub-carrier of the j antenna is
Figure BDA0002394104180000151
Wherein Hij(m) is the channel frequency domain response, nj(m) is noise, mean 0 and variance σ2. Writing the above formula into a matrix form, having
Figure BDA0002394104180000152
Namely, it is
y(m)=H(m)x(m)+n(m),
Wherein y (m) e CNr×1,H(m)∈CNr×Nt,x(m)∈CNt×1,n(m)∈CNt×1. Since the same processing is performed for each subcarrier, the subcarrier number is omitted, and the received signal is y — Hx + n.
2) And separating signal interference. MMSE detection can be expressed as
Figure BDA0002394104180000153
It is assumed that the channel matrix H can be decomposed into H ═ SVD by SVDHWhere S, D is the cacique matrix and V is the diagonal matrix with diagonal elements of λi(1≤i≤Nt),
Figure BDA0002394104180000154
Then the above detection can be converted into
Figure BDA0002394104180000155
Note the book
Figure BDA0002394104180000156
Wherein
Figure BDA0002394104180000157
Note the book
Figure BDA0002394104180000158
Then the above formula can be converted into
Figure BDA0002394104180000159
Wherein, mu is SHn is a noise term, GΛA diagonal matrix formed of diagonal elements of G, GΓThe matrix with the diagonal elements in G zeroed out. For the above formula, GΛx is a useful signal term, GΓx + M mu is interference and noise.
3) MMSE detection based on Unbiased estimation (Unbiased MMSE). For all elements G of the matrix GijHas an energy value of
Figure BDA00023941041800001510
Wherein,
Figure BDA00023941041800001511
is the diagonal element of Λ. The energy values of the off-diagonal elements of matrix G are
Figure BDA00023941041800001512
At each symbol, the signal-to-noise ratio is
Figure BDA0002394104180000161
Wherein
Figure BDA0002394104180000162
In order to be the energy of the signal,
Figure BDA0002394104180000163
in order to interfere with the energy of the waves,
Figure BDA0002394104180000164
the unbiased estimation of the ith antenna transmitted symbol is
Figure BDA0002394104180000165
Wherein epsiloniIs white gaussian noise with energy of 1. Then
Figure BDA0002394104180000166
Is the best soft information to bring into the decoder. I.e. multiplying the soft information adjustment amount on the basis of MMSE detection
Figure BDA0002394104180000167
The technical scheme in the embodiment provides a Turbo-MIMO-OFDM detection method based on unbiased estimation, and the Euclidean distance of the traditional MMSE detection is
Figure BDA0002394104180000168
The Euclidean distance of MMSE detection based on unbiased estimation is
Figure BDA0002394104180000169
Because of the fact that
Figure BDA00023941041800001610
Therefore, the MMSE detection method based on unbiased estimation can improve the detection performance on the basis of MMSE detection, and meanwhile, the complexity and the number of antennas are only in a linear relation.
In one embodiment, as shown in fig. 5, a graph of performance results of a signal detection method for a layered space-time code system is provided. The signal detection algorithm in this embodiment may use a Matlab software platform to perform a simulation experiment. The main simulation conditions are as follows: number of transmitting antennas NtNumber of receiveantennas N4r4, the number of the subcarriers M is 1024, the signal modulation is QPSK and 16QAM, the Turbo code rate k is 1/3, 1/2 and 3/4, the MIMO multipath fading channel of 3GPP LTE standard EVA is simulated, and the receiving end is assumed to be ideal synchronization and channel estimation. FIG. 5The performance comparison of different detection methods of a receiving end in the Turbo-MIMO-OFDM system under different Turbo code rates is given, and the modulation mode is QPSK modulation. It can be seen from the simulation diagram that the performance of the detection method based on unbiased estimation provided by the present scheme is superior to that of the traditional MMSE detection, and the higher the Turbo code rate is, the more obvious the advantage of unbiased estimation detection is, because the detection method based on unbiased estimation can suppress the influence of partial interference, and the high code rate coding and decoding has small interference tolerance, the greater the performance advantage of the detection method based on unbiased estimation is in the high code rate coding and decoding.
In one embodiment, as shown in fig. 6, another signal detection method for a layered space-time code system is provided to detect a performance result graph. The performance comparison of different detection methods of the receiving end in the Turbo-MIMO-OFDM system with the 16QAM modulation as the modulation mode is shown in fig. 6. Similarly, compared with the traditional MMSE detection, the detection method based on unbiased estimation has greater performance advantage; with the increase of the Turbo code rate, the performance advantage of the unbiased estimation detection method is more obvious. Compared with the QPSK modulation in fig. 5, the performance advantage of the unbiased estimation detection method in 16QAM modulation is greater because 16QAM modulation is more sensitive to interference, and the unbiased estimation detection method suppresses the influence of partial interference.
It should be understood that although the various steps in the flow charts of fig. 2-4 are shown in order as indicated by the arrows, the steps are not necessarily performed in order as indicated by the arrows. The steps are not performed in the exact order shown and described, and may be performed in other orders, unless explicitly stated otherwise. Moreover, at least some of the steps in fig. 2-4 may include multiple steps or multiple stages, which are not necessarily performed at the same time, but may be performed at different times, which are not necessarily performed in sequence, but may be performed in turn or alternately with other steps or at least some of the other steps.
In one embodiment, as shown in fig. 7, there is provided asignal detection apparatus 700 of a layered space-time code system, comprising: an obtainingmodule 702, a minimum mean squareerror detecting module 704, a correctionparameter calculating module 706, and a correctingmodule 708, wherein:
an obtainingmodule 702, configured to obtain a signal to be detected of a layered space-time code system;
a minimum mean squareerror detection module 704, configured to perform minimum mean square error detection on a signal to be detected to obtain a minimum mean square error detection signal;
a correctionparameter calculation module 706, configured to perform singular value decomposition on a channel matrix of the hierarchical space-time code system to obtain a correction parameter corresponding to the minimum mean square error detection signal;
and a correctingmodule 708, configured to correct the minimum mean square error detection signal according to the correction parameter, to obtain a detection signal of the layered space-time code system.
In an embodiment, the modifiedparameter calculating module 706 is further configured to perform singular value decomposition on the channel matrix to obtain a singular value decomposition matrix; performing signal noise separation on the minimum mean square error detection signal according to the singular value decomposition matrix to obtain a separation matrix; and obtaining correction parameters according to the separation matrix.
In one embodiment, the modificationparameter calculation module 706 is further configured to determine a useful signal amount corresponding to the minimum mean square error detection signal according to the useful signal matrix; determining the interference noise amount corresponding to the minimum mean square error detection signal according to the useful signal matrix and the noise matrix; and obtaining a correction parameter according to the useful signal quantity and the interference noise quantity.
In an embodiment, the modifiedparameter calculating module 706 is further configured to decompose the matrix according to the singular value to obtain signal energy; obtaining interference signal energy according to the signal energy and the useful signal matrix; and obtaining the interference noise amount according to the interference signal energy and the noise matrix.
In an embodiment, the modificationparameter calculation module 706 is further configured to perform diagonal element transformation on the diagonal matrix to obtain a transformed diagonal matrix; extracting diagonal elements of the transformed diagonal matrix; from the diagonal elements, the signal energy is calculated.
In one embodiment, the obtainingmodule 702 is further configured to obtain a received signal of a layered space-time code system; carrying out synchronous processing on the received signals according to a preset local synchronous signal; and when the synchronization is realized, carrying out orthogonal frequency division multiplexing demodulation on the received signal to obtain a signal to be detected.
In one embodiment, the minimum mean squareerror detection module 704 is further configured to obtain detection parameters for minimum mean square error detection; the detection parameters comprise a channel matrix and a noise variance; and according to the detection parameters, carrying out minimum mean square error detection on the signal to be detected.
For the specific definition of the signal detection apparatus of the layered space-time code system, reference may be made to the above definition of the signal detection method of the layered space-time code system, and details are not described herein again. The modules in the signal detection device of the hierarchical space-time code system can be wholly or partially realized by software, hardware and a combination thereof. The modules can be embedded in a hardware form or independent from a processor in the computer device, and can also be stored in a memory in the computer device in a software form, so that the processor can call and execute operations corresponding to the modules.
In one embodiment, a computer device is provided, which may be a terminal, and its internal structure diagram may be as shown in fig. 8. The computer device includes a processor, a memory, a communication interface, a display screen, and an input device connected by a system bus. Wherein the processor of the computer device is configured to provide computing and control capabilities. The memory of the computer device comprises a nonvolatile storage medium and an internal memory. The non-volatile storage medium stores an operating system and a computer program. The internal memory provides an environment for the operating system and the computer program to run on the non-volatile storage medium. The communication interface of the computer device is used for carrying out wired or wireless communication with an external terminal, and the wireless communication can be realized through WIFI, an operator network, NFC (near field communication) or other technologies. The computer program is executed by a processor to implement a method of signal detection for a layered space-time code system. The display screen of the computer equipment can be a liquid crystal display screen or an electronic ink display screen, and the input device of the computer equipment can be a touch layer covered on the display screen, a key, a track ball or a touch pad arranged on the shell of the computer equipment, an external keyboard, a touch pad or a mouse and the like.
Those skilled in the art will appreciate that the architecture shown in fig. 8 is merely a block diagram of some of the structures associated with the disclosed aspects and is not intended to limit the computing devices to which the disclosed aspects apply, as particular computing devices may include more or less components than those shown, or may combine certain components, or have a different arrangement of components.
In one embodiment, a computer device is provided, comprising a memory and a processor, the memory having a computer program stored therein, the processor implementing the following steps when executing the computer program: acquiring a signal to be detected of a layered space-time code system; carrying out minimum mean square error detection on a signal to be detected to obtain a minimum mean square error detection signal; performing singular value decomposition on a channel matrix of a layered space-time code system to obtain a correction parameter of a minimum mean square error detection signal; and correcting the minimum mean square error detection signal according to the correction parameters to obtain a detection signal of the layered space-time code system.
In one embodiment, the processor, when executing the computer program, further performs the steps of: performing singular value decomposition on the channel matrix to obtain a singular value decomposition matrix; performing signal noise separation on the minimum mean square error detection signal according to the singular value decomposition matrix to obtain a separation matrix; and obtaining correction parameters according to the separation matrix.
In one embodiment, the processor, when executing the computer program, further performs the steps of: determining a useful semaphore corresponding to the minimum mean square error detection signal according to the useful signal matrix; determining the interference noise amount corresponding to the minimum mean square error detection signal according to the useful signal matrix and the noise matrix; and obtaining a correction parameter according to the useful signal quantity and the interference noise quantity.
In one embodiment, the processor, when executing the computer program, further performs the steps of: decomposing the matrix according to the singular value to obtain signal energy; obtaining interference signal energy according to the signal energy and the useful signal matrix; and obtaining the interference noise amount according to the interference signal energy and the noise matrix.
In one embodiment, the processor, when executing the computer program, further performs the steps of: obtaining a diagonal matrix after transformation by carrying out diagonal element transformation on the diagonal matrix; extracting diagonal elements of the transformed diagonal matrix; from the diagonal elements, the signal energy is calculated.
In one embodiment, the processor, when executing the computer program, further performs the steps of: acquiring a receiving signal of a layered space-time code system; carrying out synchronous processing on the received signals according to a preset local synchronous signal; and when the synchronization is realized, carrying out orthogonal frequency division multiplexing demodulation on the received signal to obtain a signal to be detected.
In one embodiment, the processor, when executing the computer program, further performs the steps of: obtaining detection parameters of minimum mean square error detection; the detection parameters comprise a channel matrix and a noise variance; and according to the detection parameters, carrying out minimum mean square error detection on the signal to be detected.
In one embodiment, a computer-readable storage medium is provided, having a computer program stored thereon, which when executed by a processor, performs the steps of: acquiring a signal to be detected of a layered space-time code system; carrying out minimum mean square error detection on a signal to be detected to obtain a minimum mean square error detection signal; performing singular value decomposition on a channel matrix of a layered space-time code system to obtain a correction parameter of a minimum mean square error detection signal; and correcting the minimum mean square error detection signal according to the correction parameters to obtain a detection signal of the layered space-time code system.
In one embodiment, the computer program when executed by the processor further performs the steps of: performing singular value decomposition on the channel matrix to obtain a singular value decomposition matrix; performing signal noise separation on the minimum mean square error detection signal according to the singular value decomposition matrix to obtain a separation matrix; and obtaining correction parameters according to the separation matrix.
In one embodiment, the computer program when executed by the processor further performs the steps of: determining a useful semaphore corresponding to the minimum mean square error detection signal according to the useful signal matrix; determining the interference noise amount corresponding to the minimum mean square error detection signal according to the useful signal matrix and the noise matrix; and obtaining a correction parameter according to the useful signal quantity and the interference noise quantity.
In one embodiment, the computer program when executed by the processor further performs the steps of: decomposing the matrix according to the singular value to obtain signal energy; obtaining interference signal energy according to the signal energy and the useful signal matrix; and obtaining the interference noise amount according to the interference signal energy and the noise matrix.
In one embodiment, the computer program when executed by the processor further performs the steps of: obtaining a diagonal matrix after transformation by carrying out diagonal element transformation on the diagonal matrix; extracting diagonal elements of the transformed diagonal matrix; from the diagonal elements, the signal energy is calculated.
In one embodiment, the computer program when executed by the processor further performs the steps of: acquiring a receiving signal of a layered space-time code system; carrying out synchronous processing on the received signals according to a preset local synchronous signal; and when the synchronization is realized, carrying out orthogonal frequency division multiplexing demodulation on the received signal to obtain a signal to be detected.
In one embodiment, the computer program when executed by the processor further performs the steps of: obtaining detection parameters of minimum mean square error detection; the detection parameters comprise a channel matrix and a noise variance; and according to the detection parameters, carrying out minimum mean square error detection on the signal to be detected.
It will be understood by those skilled in the art that all or part of the processes of the methods of the embodiments described above can be implemented by hardware instructions of a computer program, which can be stored in a non-volatile computer-readable storage medium, and when executed, can include the processes of the embodiments of the methods described above. Any reference to memory, storage, database or other medium used in the embodiments provided herein can include at least one of non-volatile and volatile memory. Non-volatile Memory may include Read-Only Memory (ROM), magnetic tape, floppy disk, flash Memory, optical storage, or the like. Volatile Memory can include Random Access Memory (RAM) or external cache Memory. By way of illustration and not limitation, RAM can take many forms, such as Static Random Access Memory (SRAM) or Dynamic Random Access Memory (DRAM), among others.
The technical features of the above embodiments can be arbitrarily combined, and for the sake of brevity, all possible combinations of the technical features in the above embodiments are not described, but should be considered as the scope of the present specification as long as there is no contradiction between the combinations of the technical features.
The above-mentioned embodiments only express several embodiments of the present application, and the description thereof is more specific and detailed, but not construed as limiting the scope of the invention. It should be noted that, for a person skilled in the art, several variations and modifications can be made without departing from the concept of the present application, which falls within the scope of protection of the present application. Therefore, the protection scope of the present patent shall be subject to the appended claims.

Claims (10)

1. A method for signal detection in a layered space-time code system, comprising:
acquiring a signal to be detected of the layered space-time code system; the acquiring of the signal to be detected of the layered space-time code system includes: acquiring a receiving signal of the layered space-time code system, synchronizing the receiving signal according to a preset local synchronizing signal, and when synchronization is realized, performing orthogonal frequency division multiplexing demodulation on the receiving signal to obtain the signal to be detected;
carrying out minimum mean square error detection on the signal to be detected to obtain a minimum mean square error detection signal;
performing singular value decomposition on a channel matrix of the layered space-time code system to obtain a correction parameter of the minimum mean square error detection signal;
and correcting the minimum mean square error detection signal according to the correction parameters to obtain a detection signal of the layered space-time code system.
2. The method of claim 1, wherein obtaining the correction parameters of the minimum mean square error detection signal by performing singular value decomposition on a channel matrix of the hierarchical space-time code system comprises:
performing singular value decomposition on the channel matrix to obtain a singular value decomposition matrix;
performing signal noise separation on the minimum mean square error detection signal according to the singular value decomposition matrix to obtain a separation matrix;
and obtaining the correction parameters according to the separation matrix.
3. The method of claim 2, wherein the separation matrix comprises a signal matrix and a noise matrix; the signal matrix comprises a useful signal matrix; the obtaining the correction parameter according to the separation matrix includes:
determining a useful semaphore corresponding to the minimum mean square error detection signal according to the useful signal matrix;
determining an amount of interference noise corresponding to the minimum mean square error detection signal according to the useful signal matrix and the noise matrix;
and obtaining the correction parameter according to the useful signal quantity and the interference noise quantity.
4. The method of claim 3, wherein determining an amount of interference noise corresponding to the minimum mean square error detection signal based on the desired signal matrix and the noise matrix comprises:
obtaining signal energy according to the singular value decomposition matrix;
obtaining interference signal energy according to the signal energy and the useful signal matrix;
and obtaining the interference noise amount according to the interference signal energy and the noise matrix.
5. The method of claim 4, wherein the singular value decomposition matrix comprises a diagonal matrix; obtaining signal energy according to the singular value decomposition matrix, including:
obtaining a transformed diagonal matrix by performing diagonal element transformation on the diagonal matrix;
extracting diagonal elements of the transformed diagonal matrix;
and calculating the signal energy according to the diagonal elements.
6. The method of claim 1, wherein the minimum mean square error detection is signal detection for the layered space-time code system by minimizing a linear combination of a transmitted signal vector and a received signal vector.
7. The method according to claim 1, wherein the obtaining a minimum mean square error detection signal by performing minimum mean square error detection on the signal to be detected comprises:
acquiring detection parameters of the minimum mean square error detection; the detection parameters include the channel matrix and noise variance;
and carrying out minimum mean square error detection on the signal to be detected according to the detection parameters.
8. A signal detection apparatus for a layered space-time code system, comprising:
the acquisition module is used for acquiring a signal to be detected of the layered space-time code system;
the acquisition module is further configured to acquire a received signal of the layered space-time code system, perform synchronization processing on the received signal according to a preset local synchronization signal, and perform orthogonal frequency division multiplexing demodulation on the received signal when synchronization is achieved, so as to obtain the signal to be detected;
the minimum mean square error detection module is used for carrying out minimum mean square error detection on the signal to be detected to obtain a minimum mean square error detection signal;
a correction parameter calculation module for performing singular value decomposition on the channel matrix of the layered space-time code system to obtain a correction parameter corresponding to the minimum mean square error detection signal;
and the correcting module is used for correcting the minimum mean square error detection signal according to the correction parameters to obtain a detection signal of the layered space-time code system.
9. A computer device comprising a memory and a processor, the memory storing a computer program, characterized in that the processor, when executing the computer program, implements the steps of the method of any of claims 1 to 7.
10. A computer-readable storage medium, on which a computer program is stored, which, when being executed by a processor, carries out the steps of the method of any one of claims 1 to 7.
CN202010124857.XA2020-02-272020-02-27Signal detection method and device of layered space-time code system and computer equipmentActiveCN113315551B (en)

Priority Applications (1)

Application NumberPriority DateFiling DateTitle
CN202010124857.XACN113315551B (en)2020-02-272020-02-27Signal detection method and device of layered space-time code system and computer equipment

Applications Claiming Priority (1)

Application NumberPriority DateFiling DateTitle
CN202010124857.XACN113315551B (en)2020-02-272020-02-27Signal detection method and device of layered space-time code system and computer equipment

Publications (2)

Publication NumberPublication Date
CN113315551A CN113315551A (en)2021-08-27
CN113315551Btrue CN113315551B (en)2022-05-10

Family

ID=77370245

Family Applications (1)

Application NumberTitlePriority DateFiling Date
CN202010124857.XAActiveCN113315551B (en)2020-02-272020-02-27Signal detection method and device of layered space-time code system and computer equipment

Country Status (1)

CountryLink
CN (1)CN113315551B (en)

Families Citing this family (1)

* Cited by examiner, † Cited by third party
Publication numberPriority datePublication dateAssigneeTitle
CN114579933B (en)*2022-05-052022-08-12威胜集团有限公司Error measurement optimization method and device, electronic equipment and readable storage medium

Citations (1)

* Cited by examiner, † Cited by third party
Publication numberPriority datePublication dateAssigneeTitle
CN101951678A (en)*2010-09-292011-01-19北京星河亮点通信软件有限责任公司Power allocation method and device in multi-user MIMO (Multiple Input Multiple Output) system

Family Cites Families (6)

* Cited by examiner, † Cited by third party
Publication numberPriority datePublication dateAssigneeTitle
US8134976B2 (en)*2002-10-252012-03-13Qualcomm IncorporatedChannel calibration for a time division duplexed communication system
CN100349387C (en)*2004-04-132007-11-14上海贝尔阿尔卡特股份有限公司Detecting method and device for vertical-bell laboratory layered space-time code
CN101207464B (en)*2006-12-182010-12-29中国科学院上海微系统与信息技术研究所Generalized grasman code book feedback method
KR20080073196A (en)*2007-02-052008-08-08엘지전자 주식회사 Efficient Channel Quality Information Transmission Method in MIO System
JP4459254B2 (en)*2007-05-312010-04-28株式会社東芝 Wireless communication device
US8798184B2 (en)*2012-04-262014-08-05Qualcomm IncorporatedTransmit beamforming with singular value decomposition and pre-minimum mean square error

Patent Citations (1)

* Cited by examiner, † Cited by third party
Publication numberPriority datePublication dateAssigneeTitle
CN101951678A (en)*2010-09-292011-01-19北京星河亮点通信软件有限责任公司Power allocation method and device in multi-user MIMO (Multiple Input Multiple Output) system

Also Published As

Publication numberPublication date
CN113315551A (en)2021-08-27

Similar Documents

PublicationPublication DateTitle
KR100918717B1 (en) Signal Sequence Estimation Method and Apparatus in Multi-input Orthogonal Frequency Division Multiplexed Mobile Communication System
US8811145B2 (en)Detection method and apparatus for multiple-input multiple-output single carrier block transmission system
RU2321949C1 (en)Device and method for transmitting data using selected own vector in mimo-system of closed contour mobile communications
US8451926B2 (en)Method and device for pre-coding in multiple input multiple output system
JP4604800B2 (en) Wireless communication apparatus and wireless communication method
JP4836186B2 (en) Transmitter
US8520610B2 (en)Method and apparatus for transmitting/receiving multiple codewords in SC-FDMA system
US20100246377A1 (en)Mimo beamforming-based single carrier frequency division multiple access system
CN107624235A (en) Apparatus and method for estimating downlink channel in wireless communication system
CN108781443A (en)Device and method for mixing multiple access wireless communication system
CN113315551B (en)Signal detection method and device of layered space-time code system and computer equipment
WO2008151518A1 (en)The method and device for detecting information in the ofdm system
US9209876B2 (en)Adaptive transmit beamforming
CN101719816A (en)Method for realizing low feedback velocity of self-adaptive MIMO-SCFDE system
JP5444353B2 (en) Wireless communication system, base station, and wireless communication method
CN101162975B (en)Feedback information detecting method and system in wireless communication system
KR101869661B1 (en)Power-frequency block coding method and system for non-orthogonal multiple access
CN101969417A (en)Low-return self-adaptive multimode transmission method of MIMO-SCFDE (Multiple Input Multiple Output Single Carrier Frequency Domain Equilibrium) system
KR100840618B1 (en) Closed loop transmission method and apparatus
WO2014027667A1 (en)Communication system, communication device, and communication method
US20140092950A1 (en)Rate control for a virtual diversity receiver
Belkacem et al.Frequency-Domain Equalization for GSVD based MIMO-NOMA Communications
KR101225649B1 (en)Apparatus and method for channel estimation in multiple antenna communication system
Jiang et al.Design of high performance MIMO receivers for LTE/LTE-A uplink
JP5334061B2 (en) Wireless communication method and wireless communication system

Legal Events

DateCodeTitleDescription
PB01Publication
PB01Publication
SE01Entry into force of request for substantive examination
SE01Entry into force of request for substantive examination
GR01Patent grant
GR01Patent grant

[8]ページ先頭

©2009-2025 Movatter.jp