Movatterモバイル変換


[0]ホーム

URL:


CN113314209A - Human body intention identification method based on weighted KNN - Google Patents

Human body intention identification method based on weighted KNN
Download PDF

Info

Publication number
CN113314209A
CN113314209ACN202110652510.7ACN202110652510ACN113314209ACN 113314209 ACN113314209 ACN 113314209ACN 202110652510 ACN202110652510 ACN 202110652510ACN 113314209 ACN113314209 ACN 113314209A
Authority
CN
China
Prior art keywords
data
value
pool
human body
test
Prior art date
Legal status (The legal status is an assumption and is not a legal conclusion. Google has not performed a legal analysis and makes no representation as to the accuracy of the status listed.)
Granted
Application number
CN202110652510.7A
Other languages
Chinese (zh)
Other versions
CN113314209B (en
Inventor
任雷
张尧
修豪华
阎凌云
韩阳
王旭
钱志辉
任露泉
Current Assignee (The listed assignees may be inaccurate. Google has not performed a legal analysis and makes no representation or warranty as to the accuracy of the list.)
Jilin University
Original Assignee
Jilin University
Priority date (The priority date is an assumption and is not a legal conclusion. Google has not performed a legal analysis and makes no representation as to the accuracy of the date listed.)
Filing date
Publication date
Application filed by Jilin UniversityfiledCriticalJilin University
Priority to CN202110652510.7ApriorityCriticalpatent/CN113314209B/en
Publication of CN113314209ApublicationCriticalpatent/CN113314209A/en
Application grantedgrantedCritical
Publication of CN113314209BpublicationCriticalpatent/CN113314209B/en
Activelegal-statusCriticalCurrent
Anticipated expirationlegal-statusCritical

Links

Images

Classifications

Landscapes

Abstract

Translated fromChinese

本发明公开了一种基于加权KNN的人体意图识别方法,包括如下步骤:获取膝关节假肢动作数据;利用不同尺寸时间窗采样数据,提取相关时域特征,组成样本集;利用三个改进的加权KNN模型(选取不同邻居值)建立多分类步态识别系统;利用多分类步态识别系统对下肢假肢步态进行识别,并更替人体测试数据池;本发明利用KNN算法处理多分类问题的优越性,提出更替数据的思想,从而减少数据处理量,节约运算时间,显著提高分类准确率和降低稳态误差。

Figure 202110652510

The invention discloses a method for recognizing human intention based on weighted KNN, which includes the following steps: acquiring action data of knee joint prosthesis; using sampling data of time windows of different sizes to extract relevant time domain features to form a sample set; using three improved weightings The KNN model (selecting different neighbor values) establishes a multi-classification gait recognition system; the multi-classification gait recognition system is used to recognize the lower limb prosthetic gait, and replace the human test data pool; the present invention uses the KNN algorithm to deal with the advantages of multi-classification problems , proposed the idea of replacing data, thereby reducing the amount of data processing, saving computing time, significantly improving the classification accuracy and reducing the steady-state error.

Figure 202110652510

Description

Human body intention identification method based on weighted KNN
Technical Field
The invention belongs to the field of pattern recognition, relates to a gait recognition method for a lower limb prosthesis, and particularly relates to a human body intention recognition method based on weighted KNN.
Background
Lower limb amputees, due to trauma, disease, etc., have serious effects both in life and in work. Unlike upper prostheses, the control of lower prostheses involves body balance problems, which are critical to the performance of everyday walking and other activities.
Wearing the artificial limb can effectively help the amputee to recover the basic daily exercise capacity, but most amputees wear passive artificial limbs, so that the energy consumption cannot be reduced, and the amputee feels tired when wearing the artificial limb daily.
The C-Leg and Genium series artificial limbs of Otto Bock company in Germany, the Rheo Knee artificial limbs of Ossur company in Iceland and the like are mature, and the identification of motion patterns is also a hot problem in the research field of intelligent artificial limbs. However, all commercial intelligent knee prostheses in the world currently use rule-based heuristic methods for pattern recognition. Therefore, it is also important to develop an intelligent knee prosthesis that uses a machine learning method for human intent recognition.
Compared with the acquisition of electromyographic signals, the acquisition of biomechanical signals of human bodies by using mechanical sensors is easier to implement, and in recent years, the characteristics and the application of some scholars at home and abroad are deeply researched. Han and the like acquire acceleration and angular velocity data of x, y and z axes by using a single inertial measurement unit, and after feature processing, the model recognition is carried out on 9 kinds of daily movement gaits such as normal walking and uphill, and the accuracy rate reaches 96.71%. At present, domestic and foreign researches mainly focus on the combined use of various mechanical sensors and pattern recognition of fusion processing with electromyographic signals.
Since the last 90 s, machine learning algorithms began to be applied to the classification of movement patterns. The method of Linear Discriminant Analysis (LDA), neural network and the like is used for carrying out the motion mode identification experiment on the research type intelligent knee joint prosthesis in sequence. Due to the unique neuron connection mechanism, the BP neural network can fit any nonlinear function when the number of neurons is enough, is widely applied to the field of pattern recognition, has a better recognition effect than other simple algorithms SVM, QDA and LDA, and has the defects of excessive weight parameters, tedious setting, low training speed and the like.
The KNN (K-Nearest Neighbor) Nearest Neighbor classification algorithm is one of the simplest algorithms in the data mining classification technology, and the guiding idea is that the 'red of the jujubes and black of the jujubes' is inferred according to the neighbors of the target data. In order to judge the category of the unknown sample, the samples of all known categories are used as reference, the distances between the unknown sample and all known samples are calculated, K known samples closest to the unknown sample are selected, and the categories, which are more in the unknown sample and the K nearest samples, are classified into one category according to a voting rule that a minority obeys majority. The KNN algorithm has a drawback that when the samples are unbalanced, for example, the sample size of one class is large, and the sample sizes of other classes are small, it may cause that when a new sample is input, the samples of the large class in the K neighbors of the sample account for a majority, which may affect the operation result. Another drawback is that the computation is large, and for each data to be classified, the distance between it and all known samples is calculated to find its K nearest neighbors.
The K-Fold cross validation is to divide the original data into K groups (K-Fold), make each subset data a validation set respectively, and use the rest K-1 groups of subset data as a training set, thus obtaining K models. The K models evaluate the results in a verification set respectively, and the final error MSE (mean Squared error) is added and averaged to obtain the cross-verification error. The cross validation effectively utilizes limited data, and the evaluation result can be as close as possible to the performance of the model on the test set, and can be used as an index for model optimization.
The soft voting classifier is used for aggregating the classes predicted by a plurality of different classifiers, weighting the prediction precision of a plurality of results and taking the highest value as the final prediction result
Disclosure of Invention
The invention aims to solve the problems in the background technology and provides a human body intention identification method based on weighted KNN, and the problems that a KNN algorithm has sample unbalance in the classification process, the operation result is influenced, the distance between each data to be classified and all known samples needs to be calculated, and the calculation amount is large are considered. The method is improved by a weighting mode, so that points close to each other can obtain larger weights, and the operation error caused by the unbalanced quantity is solved. The data in the test set are calculated again using the selected K1(K2, K3) values, the first K1(K2, K3) data closest to the training set are obtained, weighted votes are applied to the votes whose distances are closer, and only the first K1(K2, K3) votes are assigned to reduce the amount of calculation. The same operation is performed while continuing the operation on the other test set data. The vote value for each data in the training set is accumulated. And when the operation of all the test sets is finished, K1(K2, K3) training set data with the highest voting value in each classification in the labels are selected to respectively form a human bodytest data pool 1, a human body test data pool 2 and a human bodytest data pool 3, and the self-help developed knee joint lower limb artificial limb is used for carrying out experimental test.
A human body intention recognition method based on weighted KNN comprises the following steps:
step 1: the amputee wears the artificial limb to carry out five gait adaptation training of walking, ascending, descending, ascending and descending, and carries out preparation work before formal data acquisition;
the tester wears the artificial limb to perform five gait motions of walking, ascending, descending, ascending stairs and descending stairs, and uses the IMU, the knee joint encoder and the pressure sensor to perform data acquisition;
respectively comparing the accuracy of the KNN algorithm under different time windows for five gait classifications; respectively testing the total length of 100ms, 200ms, 300ms, 400ms before Heel strike (Heel strike) and 100ms, 200ms, 300ms, 400ms after Heel strike and from 50ms before Heel strike to 50ms after Heel strike, the total length of 200ms from 100ms before Heel strike to 100ms after Heel strike, the total length of 300ms from 150ms before Heel strike to 150ms after Heel strike and the total length of 400ms from 200ms before Heel strike to 200ms after Heel strike; through comparison, a time window with the length of 200ms is set from 100ms before heel landing to 100ms after heel landing, and original data sampling of the test is carried out;
sampling the original data by adopting a 200ms time window, carrying out time domain analysis, selecting a maximum value, a minimum value, a mean value and a standard deviation as characteristic values, and carrying out data normalization processing on the selected characteristic values; the time of 200ms is from 100ms before the heel is grounded to 100ms after the heel is grounded;
step 2: segmenting the training set and the test set using K-Fold cross validation, K ═ 5; and testing the test set data by using a weighted KNN algorithm, giving higher weight to neighbors which are closer to the test point, and finally judging which type of motion state the test point belongs to.
Setting the K value to be 1 to 15, selecting the K value with the highest accuracy rate as a K1 value in a KNN algorithm in the artificial limb test by calculating the success rate comparison of all data of the test set, selecting the next highest K2 value and the next highest K3 value according to the same standard, and when the accuracy rate values are the same or similar, the closer the value to the median K is to 8, the higher the priority is;
and step 3: training the test set again by using the selected K1 value, performing weighted voting on K1 neighbors selected by each data, giving a larger weight voting value to the nearest neighbor, counting the first K1 values with the largest accumulated voting value under each type of label after all the data are tested, and jointly forming a human bodytest data pool 1; respectively carrying out the same training operation on K2 and K3 values to respectively form a human body test data pool 2 and a human bodytest data pool 3;
the human body test data pool is divided into a fixed pool and an alternative pool. The data in the fixed pool is fixed and unchangeable, the point farthest from the newly acquired data in the replacement pool is removed, and the newly acquired data is supplemented by the human body test;
and 4, step 4: the amputation patient who has finished the adaptation preparation work carries out the human body test again, the newly generated data in the movement uses the weighted KNN algorithm to calculate the distance with the existing data in the human body test data pool, the weighted values of all classifications are accumulated and compared according to K2 and K3 in the first K1 neighbors, the highest value is taken as the final prediction result after the prediction precision of the classification results of the three KNN classifiers is weighted; human intention recognition in motion is realized; newly judged data and the classified labels are supplemented into thereplacement pools 1, 2 and 3, and the point farthest from the newly acquired data in the replacement pools is removed;
for a KNN1 classifier using K1 values, its prediction results are given a high weight ω1For a KNN2 classifier using a K2 value, a normal weight ω is given to its prediction result2For a KNN3 classifier using a K3 value, a lower weight ω is given to its prediction result3=0.99;
Because the data in the human body test data pool is extracted by the tested person at the pre-test stage, 3 KNN classifiers are used for classification respectively, and the highest value is taken as the final prediction result after the prediction precision of the classification results of the three KNN classifiers is weighted; therefore, although the data quantity is greatly reduced, the accuracy rate is not influenced, and the defect of large calculation amount of the original KNN algorithm is overcome; when the walking robot continuously moves in the same movement state, a large amount of data of the same classification can be supplemented into the replacement pool, so that the steady-state error of walking with the same gait is reduced, and the classification accuracy is improved. Due to the existence of the fixed pool, normal classification under gait conversion can be ensured.
The invention has the following beneficial effects:
1. the weighted KNN algorithm is simple in structure, is more suitable for identifying human intentions in lower limb artificial limbs, and avoids classification errors caused by unbalanced samples.
2. Using a weighted voting method, i.e. the neighbors closer to the target are given a high voting score, only the top K1 data are given a vote value at a time in order to reduce the computational load. After the value of K1 is determined, test set operation is carried out, and after the operation is finished, the first K1 data with the largest voting value under each classification are counted. When the classification value is M, the capacity of the human bodytest data pool 1 is M K1, and the human body test data pool is divided into a fixed pool and a replacement pool; the data in the fixed pool is fixed and unchangeable, the point farthest from the newly acquired data in the replacement pool is removed, and the newly acquired data is supplemented; therefore, steady-state errors under walking with the same gait are reduced, and the classification accuracy is improved; due to the existence of the fixed pool, normal classification under gait conversion can be ensured; after the gait is successfully switched, the human body test data pool is initialized to be the initial data composition; and still dividing the pool into a fixed pool and a replacement pool, and continuing to replace.
3. Respectively training by using the optimal neighbor number K1, the suboptimal neighbor number K2 and the second-time optimal neighbor number K3 selected in the pre-experiment, and respectively selecting data to form a human bodytest data pool 1, a human body test data pool 2 and a human bodytest data pool 3; in a formal human body experiment, weighting the three KNN classification prediction precisions, taking the highest value as a final prediction result, and judging the current gait state; for a KNN1 classifier using K1 values, its prediction results are given a high weight ω1For a KNN2 classifier using a K2 value, a normal weight ω is given to its prediction result2For a KNN3 classifier using a K3 value, a lower weight ω is given to its prediction result3=0.99。
4. Because the data in the human body test data pool and the data acquired in real time by the final test are from the same tested patient, the data volume in the human body test data pool is greatly reduced, thereby greatly reducing the calculated amount of the algorithm.
Drawings
FIG. 1 is a schematic view of the structure of the present invention.
FIG. 2 is a schematic diagram of a sampling time window structure according to the present invention.
Fig. 3 is a schematic diagram of a conventional KNN algorithm in the present invention.
FIG. 4 is a schematic diagram of constructing a human body test data pool according to the present invention.
FIG. 5 is a diagram illustrating data replacement in a replacement pool according to the present invention.
Detailed Description
As shown in fig. 1, a method for recognizing human body intention based on weighted KNN includes data acquisition, preprocessing a time window, determining values of K1, K2, and K3, constructing human bodytest data pools 1, 2, and 3, training by using 3 KNN classifiers, determining a prediction result by using a majority voting method, and determining whether to initialize a data pool or replace data according to a judgment condition of a motion state.
The multi-path data values under five motion states of walking, ascending, descending, ascending and descending are obtained by using the knee joint lower limb artificial limb provided with the Inertial Measurement Unit (IMU), the knee joint encoder and the pressure sensor.
Each set of data relates to 8 parameters of x-axis acceleration, y-axis acceleration, z-axis acceleration, x-axis angular velocity, y-axis angular velocity, z-axis angular velocity, knee joint angle, interaction force between the stump and the prosthesis.
In order to facilitate data acquisition, data are transmitted to a visualization platform of a computer terminal by using wireless socket communication of a raspberry group.
The inertial measurement unit is placed in a position parallel to the lower limb, the x-axis direction is parallel to the lower limb and perpendicular to the ground, the z-axis direction is parallel to the ground and the same as the face direction, and the y-axis direction is perpendicular to the x-axis and the z-axis.
Before data acquisition, a tester wearing the artificial limb is allowed to adapt to the movement, and after the tester finishes the adaptation, data acquisition is started. Each set of motion patterns lasted 120s with a sampling frequency of 100 hz.
As shown in fig. 2, in the preliminary experiments, 100ms, 200ms, 300ms, 400ms before Heel strike (Heel strike) and 100ms, 200ms, 300ms, 400ms after Heel strike and 50ms before to 50ms after Heel strike are respectively adopted, the total length of 100ms before to 100ms after Heel strike is 200ms, the total length of 300ms before to 150ms after Heel strike is 150ms, and the total length of 400ms before to 200ms after Heel strike is respectively adopted; the time window of (a) samples the data.
And (3) performing time domain analysis on data under different time windows, wherein the selected characteristic values are most representative and most common: maximum, minimum, mean, standard deviation.
The training and test sets were segmented using K-Fold cross validation. In the test, K is 5, the original data is divided into 5 groups, each subset data is respectively made into a primary verification set, and the rest 4 groups of subset data are used as training sets, so that 5 models can be obtained; the 5 models are respectively evaluated in a verification set, and the final error is added and averaged to obtain a cross-verification error.
Comparing the feature utilization rate, the classification accuracy rate and the like, and selecting the time window most suitable for the test as a time window with the length of 200ms from 100ms before the heel lands to 100ms after the heel lands.
Setting the K value of the neighbor number from 1 to 15, testing the segmented test set data by using a weighted KNN algorithm, giving higher weight to the neighbor which is closer to the test point, and finally judging which type of motion state the test point belongs to; and selecting the K1 value with the highest accuracy, the next highest K2 value and the next highest K3 value through success rate comparison.
If the value of the neighbor number K is too large, the model is simplified and loses significance, and if the value of the neighbor number K is too small, the model is complicated and an overfitting phenomenon is generated; when the accuracy values are the same or close, the closer to the median K is 8, the higher the priority.
As shown in fig. 3, the implementation principle of the conventional KNN nearest neighbor classification algorithm: in order to judge the category of the unknown sample, the samples of all known categories are used as reference, the distances between the unknown sample and all known samples are calculated, K known samples closest to the unknown sample are selected, and the categories, which are more in the unknown sample and the K nearest samples, are classified into one category according to a voting rule that a minority obeys majority.
The weighted KNN algorithm tests the test set data, and neighbors closer to the test point are given higher weights.
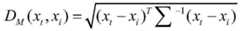
Mahalanobis distance is a distance measure, and corrects the problem that dimensions in euclidean distance are inconsistent and related. Target point xtAnd data point xiMahalanobis distance between:
Figure BDA0003111529300000081
FIG. 4 is a schematic diagram of a human body test data pool according to the present invention. And training the test set again by using the optimal K1 value, performing weighted voting on K1 neighbors selected by each data, giving a larger weight voting value to the nearest neighbors, counting the first K1 values with the maximum accumulated voting value under each type of labels after all the data are tested, and jointly forming a human bodytest data pool 1.
The same training operation is carried out on K2 and K3 values respectively, and a human body test data pool 2 and a human bodytest data pool 3 are formed respectively.
If the test classification value M is 5, the capacity of the human bodytest data pool 1 is M × K1, the capacity of the human body test data pool 2 is M × K2, and the capacity of the human bodytest data pool 3 is M × K3.
The human body test data pool is divided into a fixed pool and an alternative pool. When K1 is an odd number, fixedpool 1 consists of the first (K1+1)/2 data with the largest vote value under each classification, andsubstitution pool 1 consists of the (K1+1)/2 to K1 data with the largest vote value under each classification; when K1 is an even number, the fixedpool 1 is composed of the first K1/2+1 data with the largest voting value under each classification, and thereplacement pool 1 is composed of the K1/2+1 to K1 data with the largest voting value under each classification; the human body test data pool 2 and the human body test data pool 3 have the same composition.
And thirdly, the tester wearing the artificial limb performs human body test, performs a plurality of motion states and switching states according to the idea of the tester, uses three weighted KNN classifiers to predict samples, and determines a prediction result in a majority voting mode.
FIG. 5 is a schematic diagram illustrating the replacement of data in the replacement pool according to the present invention. Newly judged data and the classified labels are supplemented into the replacement pools 1, 2 and 3, the point farthest from the newly acquired data in the replacement pools is removed, and the data in the fixed pool is fixed and unchangeable.
After the gait switching is successful, the three human body test data pools are initialized to initial data composition. The test was continued with the separation into a fixed cell and an alternate cell.

Claims (1)

1. A human body intention recognition method based on weighted KNN is characterized in that: the method comprises the following steps:
step 1: the amputee wears the artificial limb to carry out five gait adaptation training of walking, ascending, descending, ascending and descending, and carries out preparation work before formal data acquisition;
the tester wears the artificial limb to perform five gait motions of walking, ascending, descending, ascending stairs and descending stairs, and uses the IMU, the knee joint encoder and the pressure sensor to perform data acquisition;
respectively comparing the accuracy of the KNN algorithm under different time windows for five gait classifications; respectively testing the total length of 100ms, 200ms, 300ms, 400ms before heel strike, 100ms, 200ms, 300ms, 400ms after heel strike, and 50ms to 50ms before heel strike, 200ms to 100ms before heel strike, 300ms to 150ms before heel strike, and 400ms to 200ms after heel strike; through comparison, a time window with the length of 200ms is set from 100ms before heel landing to 100ms after heel landing, and original data sampling of the test is carried out;
sampling the original data by adopting a 200ms time window, carrying out time domain analysis, selecting a maximum value, a minimum value, a mean value and a standard deviation as characteristic values, and carrying out data normalization processing on the selected characteristic values; the time of 200ms is from 100ms before the heel is grounded to 100ms after the heel is grounded;
step 2: segmenting the training set and the test set using K-Fold cross validation, K ═ 5; testing the test set data by using a weighted KNN algorithm, giving higher weight to neighbors which are closer to the test point, and finally judging which type of motion state the test point belongs to;
setting the K value to be 1 to 15, selecting the K value with the highest accuracy rate as a K1 value in a KNN algorithm in the artificial limb test by calculating the success rate comparison of all data of the test set, selecting the next highest K2 value and the next highest K3 value according to the same standard, and when the accuracy rate values are the same or similar, the closer the value to the median K is to 8, the higher the priority is;
and step 3: training the test set again by using the selected K1 value, performing weighted voting on K1 neighbors selected by each data, giving a larger weight voting value to the nearest neighbor, counting the first K1 values with the largest accumulated voting value under each type of label after all the data are tested, and jointly forming a human body test data pool 1; respectively carrying out the same training operation on K2 and K3 values to respectively form a human body test data pool 2 and a human body test data pool 3;
the human body test data pool is divided into a fixed pool and an alternate pool; the data in the fixed pool is fixed and unchangeable, the point farthest from the newly acquired data in the replacement pool is removed, and the newly acquired data is supplemented by the human body test;
and 4, step 4: the amputation patient who has finished the adaptation preparation work carries out the human body test again, the newly generated data in the movement uses the weighted KNN algorithm to calculate the distance with the existing data in the human body test data pool, the weighted values of all classifications are accumulated and compared according to K2 and K3 in the first K1 neighbors, the highest value is taken as the final prediction result after the prediction precision of the classification results of the three KNN classifiers is weighted; human intention recognition in motion is realized; newly judged data and the classified labels are supplemented into the replacement pools 1, 2 and 3, and the point farthest from the newly acquired data in the replacement pools is removed;
for a KNN1 classifier using K1 values, its prediction results are given a high weight ω1For a KNN2 classifier using a K2 value, a normal weight ω is given to its prediction result2For a KNN3 classifier using a K3 value, a lower weight ω is given to its prediction result3=0.99;
Because the data in the human body test data pool is extracted by the tested person at the pre-test stage, 3 KNN classifiers are used for classification respectively, and the highest value is taken as the final prediction result after the prediction precision of the classification results of the three KNN classifiers is weighted; therefore, although the data quantity is greatly reduced, the accuracy rate is not influenced, and the defect of large calculation amount of the original KNN algorithm is overcome; the device continuously moves in the same movement state, and a large amount of data with the same classification are supplemented into a replacement pool, so that steady errors in walking with the same gait are reduced, and the classification accuracy is improved; due to the existence of the fixed pool, normal classification under gait conversion can be ensured.
CN202110652510.7A2021-06-112021-06-11Human body intention identification method based on weighted KNNActiveCN113314209B (en)

Priority Applications (1)

Application NumberPriority DateFiling DateTitle
CN202110652510.7ACN113314209B (en)2021-06-112021-06-11Human body intention identification method based on weighted KNN

Applications Claiming Priority (1)

Application NumberPriority DateFiling DateTitle
CN202110652510.7ACN113314209B (en)2021-06-112021-06-11Human body intention identification method based on weighted KNN

Publications (2)

Publication NumberPublication Date
CN113314209Atrue CN113314209A (en)2021-08-27
CN113314209B CN113314209B (en)2023-04-18

Family

ID=77378254

Family Applications (1)

Application NumberTitlePriority DateFiling Date
CN202110652510.7AActiveCN113314209B (en)2021-06-112021-06-11Human body intention identification method based on weighted KNN

Country Status (1)

CountryLink
CN (1)CN113314209B (en)

Cited By (4)

* Cited by examiner, † Cited by third party
Publication numberPriority datePublication dateAssigneeTitle
CN114041783A (en)*2021-11-112022-02-15吉林大学 A lower limb movement intention recognition method based on empirical rules combined with machine learning
CN114360066A (en)*2022-01-282022-04-15吉林大学BPSOGWO-KNN-based lower limb prosthesis movement intention recognition algorithm
CN114831627A (en)*2022-03-172022-08-02吉林大学Lower limb prosthesis movement identification method based on three decision trees
CN117725521A (en)*2023-09-262024-03-19电子科技大学 Majority voting based classification method with adaptive voting window length

Citations (11)

* Cited by examiner, † Cited by third party
Publication numberPriority datePublication dateAssigneeTitle
US20050100209A1 (en)*2003-07-022005-05-12Lockheed Martin CorporationSelf-optimizing classifier
US20050234309A1 (en)*2004-01-072005-10-20David KlapperMethod and apparatus for classification of movement states in Parkinson's disease
CN101763466A (en)*2010-01-202010-06-30西安电子科技大学Biological information recognition method based on dynamic sample selection integration
CN107766881A (en)*2017-09-302018-03-06中国地质大学(武汉)A kind of method for searching based on fundamental classifier, equipment and storage device
CN107918492A (en)*2017-12-222018-04-17安庆师范大学A kind of human motion in face of Intelligent lower limb artificial limb is intended to precognition recognition methods
CN108371545A (en)*2018-02-022018-08-07西北工业大学 A Doppler Radar-Based Human Arm Motion Perception Method
CN108520205A (en)*2018-03-212018-09-11安徽大学 A Human Action Recognition Method Based on Citation-KNN
CN109919055A (en)*2019-02-262019-06-21中国地质大学(武汉) A dynamic facial emotion recognition method based on AdaBoost-KNN
US20190236240A1 (en)*2017-03-302019-08-01I-Shou UniversityDefect detection method for multilayer daisy chain structure and system using the same
WO2019205544A1 (en)*2018-04-252019-10-31苏州大学张家港工业技术研究院Fairness-balanced result prediction classifier for context perceptual learning
AU2020103811A4 (en)*2020-11-182021-02-11Shandong Kuaimai Electronic Technology Co., Ltd.Method for recognizing human knee motion postures based on extreme learning machine

Patent Citations (11)

* Cited by examiner, † Cited by third party
Publication numberPriority datePublication dateAssigneeTitle
US20050100209A1 (en)*2003-07-022005-05-12Lockheed Martin CorporationSelf-optimizing classifier
US20050234309A1 (en)*2004-01-072005-10-20David KlapperMethod and apparatus for classification of movement states in Parkinson's disease
CN101763466A (en)*2010-01-202010-06-30西安电子科技大学Biological information recognition method based on dynamic sample selection integration
US20190236240A1 (en)*2017-03-302019-08-01I-Shou UniversityDefect detection method for multilayer daisy chain structure and system using the same
CN107766881A (en)*2017-09-302018-03-06中国地质大学(武汉)A kind of method for searching based on fundamental classifier, equipment and storage device
CN107918492A (en)*2017-12-222018-04-17安庆师范大学A kind of human motion in face of Intelligent lower limb artificial limb is intended to precognition recognition methods
CN108371545A (en)*2018-02-022018-08-07西北工业大学 A Doppler Radar-Based Human Arm Motion Perception Method
CN108520205A (en)*2018-03-212018-09-11安徽大学 A Human Action Recognition Method Based on Citation-KNN
WO2019205544A1 (en)*2018-04-252019-10-31苏州大学张家港工业技术研究院Fairness-balanced result prediction classifier for context perceptual learning
CN109919055A (en)*2019-02-262019-06-21中国地质大学(武汉) A dynamic facial emotion recognition method based on AdaBoost-KNN
AU2020103811A4 (en)*2020-11-182021-02-11Shandong Kuaimai Electronic Technology Co., Ltd.Method for recognizing human knee motion postures based on extreme learning machine

Cited By (6)

* Cited by examiner, † Cited by third party
Publication numberPriority datePublication dateAssigneeTitle
CN114041783A (en)*2021-11-112022-02-15吉林大学 A lower limb movement intention recognition method based on empirical rules combined with machine learning
CN114041783B (en)*2021-11-112024-04-26吉林大学Lower limb movement intention recognition method based on combination of experience rules and machine learning
CN114360066A (en)*2022-01-282022-04-15吉林大学BPSOGWO-KNN-based lower limb prosthesis movement intention recognition algorithm
CN114831627A (en)*2022-03-172022-08-02吉林大学Lower limb prosthesis movement identification method based on three decision trees
CN117725521A (en)*2023-09-262024-03-19电子科技大学 Majority voting based classification method with adaptive voting window length
CN117725521B (en)*2023-09-262024-11-22电子科技大学 A gesture classification method based on majority voting with adaptive voting time window length

Also Published As

Publication numberPublication date
CN113314209B (en)2023-04-18

Similar Documents

PublicationPublication DateTitle
CN113314209A (en)Human body intention identification method based on weighted KNN
Su et al.A CNN-based method for intent recognition using inertial measurement units and intelligent lower limb prosthesis
CN108446733A (en)A kind of human body behavior monitoring and intelligent identification Method based on multi-sensor data
CN110363152B (en)Method for identifying road condition of lower limb prosthesis based on surface electromyographic signals
CN110232412B (en) A Human Gait Prediction Method Based on Multimodal Deep Learning
CN106308809A (en)Method for recognizing gait of thigh amputation subject
CN111611859B (en) A GRU-based Gait Recognition Method
CN107092894A (en)A kind of motor behavior recognition methods based on LSTM models
CN101564328A (en)Laptop artificial limb multi-movement-mode identifying method based on support vector data description
CN110977961A (en)Motion information acquisition system of self-adaptive power-assisted exoskeleton robot
CN109976526A (en)A kind of sign Language Recognition Method based on surface myoelectric sensor and nine axle sensors
CN109829414B (en) A Pedestrian Re-identification Method Based on Label Uncertainty and Human Component Model
CN111531537B (en) Control method of manipulator based on multi-sensor
CN114360066A (en)BPSOGWO-KNN-based lower limb prosthesis movement intention recognition algorithm
Hu et al.A novel fusion strategy for locomotion activity recognition based on multimodal signals
CN116842427A (en)Lower limb muscle fatigue detection method and system based on multisource sensor
CN114947825A (en)Lower limb prosthesis continuous motion recognition method based on PSOGWO-SVM
CN109800651B (en) A multi-class EEG classification method based on dual-rule active extreme learning machine
CN111639762A (en)Lower limb artificial limb gait recognition method based on self-organizing neural network
Zhu et al.IMoVR-Net: A robust interpretable network for multi-ocular lesion recognition from TAO facial images
CN111104902A (en) A classification method of hemiplegic gait based on graph convolutional network
CN109871817A (en) A walking state recognition method based on plantar pressure and adaptive ensemble learning
CN114997295B (en)LR-ELM-based lower limb artificial limb movement identification method
CN114041783B (en)Lower limb movement intention recognition method based on combination of experience rules and machine learning
CN116747495A (en)Action counting method and device, terminal equipment and readable storage medium

Legal Events

DateCodeTitleDescription
PB01Publication
PB01Publication
SE01Entry into force of request for substantive examination
SE01Entry into force of request for substantive examination
GR01Patent grant
GR01Patent grant

[8]ページ先頭

©2009-2025 Movatter.jp