
技术领域technical field
本发明涉及一种基于用电数据的污染源企业违规生产监控方法,属于能源监测预警技术领域。The invention relates to a method for monitoring illegal production of pollution source enterprises based on electricity consumption data, and belongs to the technical field of energy monitoring and early warning.
背景技术Background technique
随着社会的发展,改善环境质量越来越受到人们的重视,并且相关的规定中对于污染物排放的控制非常严格,但是只有少数有组织排放的规模化大企业纳入了自动监控,对绝大多数中小型企业缺乏监管手段。With the development of society, people pay more and more attention to the improvement of environmental quality, and the relevant regulations control the discharge of pollutants very strictly. However, only a few large-scale enterprises with organized discharge have been included in automatic monitoring. Most SMEs lack regulatory tools.
由于企业数量多,行业类别多,工艺错综复杂,传统判断不同类型污染源的方式会耗费大量人力物力财力,而污染源企业的生产行为可以由其用电数据直观反应。目前,用电信息采集技术已经可以实现对电压、电流、电压不平衡度、谐波总畸变率等信息的采集与存储,这为监控污染源企业的生产行为提供了数据基础,为相关部门的环保督查工作提供了有力支撑。对于企业环保监管,基于用电数据的环保监管平台可对排污和治污设备进行不间断用电监控,判断启停时间点,能够进行排污治污联动监控,实现无死角监控,弥补了人工检测污染物排放的痛点。Due to the large number of enterprises, various types of industries, and intricate processes, the traditional method of judging different types of pollution sources will consume a lot of manpower, material and financial resources, while the production behavior of pollution source enterprises can be intuitively reflected by their electricity consumption data. At present, the electricity consumption information collection technology can realize the collection and storage of information such as voltage, current, voltage unbalance, and total harmonic distortion rate. Supervision work provides strong support. For enterprise environmental protection supervision, the environmental protection supervision platform based on electricity consumption data can continuously monitor the power consumption of sewage discharge and pollution control equipment, judge the start and stop time points, and can carry out linkage monitoring of pollution discharge and pollution control, realizing monitoring without dead ends, making up for manual inspection The pain point of pollutant discharge.
但是,目前的基于用电数据分析的环保监测方案都需要在治污设备上安装监测设备,通过直接监测治污设备的启停,结合生产设备启停情况进而判断污染源企业是否存在违规生产行为,这种方式的弊端是环保监测成本会随着需要监测的治污设备数量的增多而增多。However, the current environmental protection monitoring schemes based on the analysis of electricity consumption data all need to install monitoring equipment on the pollution control equipment. By directly monitoring the start and stop of the pollution control equipment, combined with the start and stop of the production equipment, it is possible to determine whether the pollution source enterprises have illegal production behaviors. The disadvantage of this method is that the cost of environmental protection monitoring will increase with the increase in the number of pollution control equipment that needs to be monitored.
公开号为CN110849421A的中国发明专利中公开的一种区域性工业气态污染物监控方法及系统,包括监控中心、至少一个电参数检测模块、通信模块、污染物检测模块;监控中心与通信模块、污染物检测模块实现通信,电参数检测模块与通信模块电连接。其方法包括对生产设备的运行电参数的监测、污染物排放量的监测,将检测数据上传到监控中心,监控中心对接收到的数据进行处理,得知区域性工业气态污染物的分布情况。A regional industrial gaseous pollutant monitoring method and system disclosed in the Chinese invention patent with the publication number CN110849421A, including a monitoring center, at least one electrical parameter detection module, a communication module, and a pollutant detection module; the monitoring center and communication module, pollution The object detection module realizes communication, and the electric parameter detection module is electrically connected with the communication module. The method includes monitoring the operating electrical parameters of the production equipment, monitoring the discharge of pollutants, uploading the detection data to the monitoring center, and the monitoring center processes the received data to know the distribution of regional industrial gaseous pollutants.
上述参考例需要对生产车间所有的生产线设备和环保设备进行用电量的监测,如果生产设备或环保设备数量较多,不仅成本高,而且布置麻烦,且只能够得知区域性工业气态污染物的分布情况,无法对违规企业进行报警,因此急需进行改进。The above reference example needs to monitor the power consumption of all production line equipment and environmental protection equipment in the production workshop. If there are a large number of production equipment or environmental protection equipment, not only the cost is high, but also the layout is troublesome, and only regional industrial gaseous pollutants can be obtained. According to the distribution situation, it is impossible to alarm the violating enterprises, so it is urgent to improve.
发明内容Contents of the invention
为了克服现有的基于用电数据分析的环保检测方案需要安装的监测设备设备多、安装成本高的缺点,本发明设计了一种基于用电数据的污染源企业违规生产监控方法,该方法只需在企业用电总线处装设用电信息采集装置,即可实现对污染源企业的生产行为的监控,大大减少了用电监测设备的数量和安装成本。In order to overcome the shortcomings of the existing environmental protection detection scheme based on the analysis of electricity consumption data that need to install a large number of monitoring equipment and high installation costs, the present invention designs a method for monitoring illegal production of pollution source enterprises based on electricity consumption data. Installing an electricity consumption information collection device at the enterprise's electricity bus can realize the monitoring of the production behavior of the pollution source enterprises, greatly reducing the number of electricity monitoring equipment and installation costs.
为了实现上述目的,本发明采用如下技术方案:In order to achieve the above object, the present invention adopts the following technical solutions:
一种基于用电数据的污染源企业违规生产监控方法,其特征在于:包括如下步骤:A method for monitoring illegal production of pollution source enterprises based on electricity consumption data, characterized in that it includes the following steps:
A1:在企业用电总线处安装用于采集企业用电信息的智能监测终端;A1: Install an intelligent monitoring terminal for collecting enterprise electricity consumption information at the enterprise electricity bus;
A2:智能监测终端获取一段时间内的企业用电数据作为负荷特征并获取对应时间内环保设备的启停状态数据;A2: The intelligent monitoring terminal obtains the electricity consumption data of the enterprise within a certain period of time as the load characteristics and obtains the start-stop status data of the environmental protection equipment within the corresponding time;
A3:设定三相视在功率阈值,通过负荷特征获取对应时间内企业总负荷三相视在功率,根据企业总负荷三相视在功率是否超过阈值判断生产设备的启停状态;A3: Set the three-phase apparent power threshold, obtain the three-phase apparent power of the total load of the enterprise within the corresponding time through the load characteristics, and judge the start-stop status of the production equipment according to whether the three-phase apparent power of the total load of the enterprise exceeds the threshold;
A4:根据环保设备的启停状态数据以及生产设备的启停状态得到对应时间内企业是否发生违规生产行为;以该负荷特征作为一样本,对应时间内企业是否发生违规生产行为作为该样本的属性标签,收集若干样本作为初始样本集,以决策树算法和初始样本集进行初步训练,得到一简化的分类器模型,并从该简化的分类器模型的决策树中筛选靠近根节点的若干负荷特征作为二次训练样本;A4: According to the start-stop status data of environmental protection equipment and the start-stop status of production equipment, whether the enterprise has illegal production behaviors in the corresponding time period; take the load characteristics as a sample, and whether the enterprise has illegal production behaviors in the corresponding time period as the attribute of the sample Label, collect several samples as the initial sample set, conduct preliminary training with the decision tree algorithm and the initial sample set, obtain a simplified classifier model, and filter several load features near the root node from the decision tree of the simplified classifier model as a secondary training sample;
A5:利用二次训练样本及对应的属性标签,重新对简化的分类器模型进行训练,得到训练好的分离器;A5: Use the secondary training samples and corresponding attribute labels to retrain the simplified classifier model to obtain the trained separator;
A6:将智能监测终端采集到的实时企业用电数据输入至训练好的分类器,判断对应时段企业是否存在违规生产行为。A6: Input the real-time enterprise electricity consumption data collected by the intelligent monitoring terminal into the trained classifier to determine whether the enterprise has illegal production behavior in the corresponding time period.
进一步地,步骤A1中智能监测终端采集的企业用电信息包括:各相电压、各相电流、各相功率、各次谐波电压、各次谐波电流、谐波电压总畸变率、谐波电流总畸变率、电压偏差、电压不平衡和功率因素,各相功率包括各相有功功率、各相无功功率和各相视在功率。Further, the enterprise power consumption information collected by the intelligent monitoring terminal in step A1 includes: voltage of each phase, current of each phase, power of each phase, harmonic voltage of each order, harmonic current of each order, total distortion rate of harmonic voltage, harmonic Total current distortion rate, voltage deviation, voltage unbalance and power factor, each phase power includes each phase active power, each phase reactive power and each phase apparent power.
进一步地,步骤A3中,通过企业总负荷三相视在功率是否超过阈值判断生产设备的启停状态具体包括,企业总负荷三相视在功率超过设定的阈值时,判定生产设备为启动状态,否则判定生产设备为停机状态。Further, in step A3, judging whether the three-phase apparent power of the total load of the enterprise exceeds the threshold to determine the start-stop state of the production equipment specifically includes, when the three-phase apparent power of the total load of the enterprise exceeds the set threshold, it is determined that the production equipment is in the start-up state , otherwise it is judged that the production equipment is in shutdown state.
进一步地,步骤A4具体包括,设定一个数据合集为S,S中包含每个样本的负荷特征X和样本属性标签,其中负荷特征X即步骤A2中智能监测终端采集到的企业用电数据,其中样本属性标签设为三个不同的值Fi(i=1,2,3),F1、F2和F3分别代表生产过程中没有启用环保设备、生产过程中有启用环保设备和生产停止三种不同的生产场景;Further, step A4 specifically includes, setting a data collection as S, S contains the load characteristic X and sample attribute label of each sample, wherein the load characteristic X is the enterprise electricity consumption data collected by the intelligent monitoring terminal in step A2, Among them, the sample attribute label is set to three different values Fi (i=1, 2, 3), F1, F2, and F3 represent three different types: no environmental protection equipment is used in the production process, environmental protection equipment is used in the production process, and production is stopped. production scene;
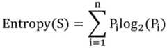
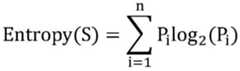
设定类别Fi的个数是|Fi|,S中的样本个数为|S|,则S的熵定义为:Set the number of categories Fi to be |Fi|, and the number of samples in S to be |S|, then the entropy of S is defined as:
其中,Pi是任意样本属于Fi的概率,记为:Among them, Pi is the probability that any sample belongs to Fi, which is recorded as:
S中的数据依照负荷特征X划分,负荷特征X有m个不同的类,则将S划分为m个子集{S1,S2,…,Sm},用该负荷特征X对样本集S进行划分后,再对S的子集Si的熵进行加权计算,公式如下:The data in S is divided according to the load feature X, and the load feature X has m different classes, then S is divided into m subsets {S1, S2,...,Sm}, and the sample set S is divided by the load feature X , and then perform a weighted calculation on the entropy of the subset Si of S, the formula is as follows:
在负荷特征X下所获得的信息增益为:The information gain obtained under the load characteristic X is:
Gain(S,X)=Entropy(S)-EntropyX(S)Gain(S,X)=Entropy(S)-EntropyX (S)
最后根据需要,从决策树自上而下筛选出若干个节点的特征X’,供下一步简化模型使用。Finally, according to the needs, the characteristics X' of several nodes are screened from the decision tree from top to bottom for the next step to simplify the model.
进一步地,步骤A5具体包括,利用步骤A4中筛选出的负荷特征X’,作为决策树算法的输入量,并将历史时段的企业的生产设备和企业的环保设备的启停状态的组合,作为算法的属性标签,重新训练简化的决策树分类器。Further, step A5 specifically includes, using the load characteristic X' screened out in step A4 as the input quantity of the decision tree algorithm, and combining the start-stop status of the enterprise's production equipment and the enterprise's environmental protection equipment in the historical period as Attribute labels for algorithms to retrain a simplified decision tree classifier.
进一步地,步骤A6具体包括,将智能监测终端采集到的实时企业用电信息输入至步骤A5中训练好的决策树分类器,若判断结果为“生产过程中没有启用环保设备”的生产行为状态,则进行环保异常报警,由管理人员进行现场核实与管理。Further, step A6 specifically includes inputting the real-time enterprise power consumption information collected by the intelligent monitoring terminal into the decision tree classifier trained in step A5, if the judgment result is the production behavior state of "no environmental protection equipment is enabled in the production process" , the environmental protection abnormal alarm will be issued, and the management personnel will conduct on-site verification and management.
与现有技术相比本发明有以下特点和有益效果:Compared with the prior art, the present invention has the following characteristics and beneficial effects:
1、本发明通过在企业用电总线处安装智能检测终端采集企业企业用电信息和环保设备启停状态数据,再利用决策树算法构件决策树,对分类器模型进行训练,再将智能监测终端后续监测到的企业用电信息输入训练好的分类器,即可判断企业是否违规,整个监控过程只需要在用电总线处安装电信息采集设备,与现有的在各个治污设备、环保设备上安装监测设备的环保监测方案相比,大大减少了用电监测设备安装成本,同时也使安装工作量减少,更利于环保监控工作的推行。1. The present invention collects the power consumption information of the enterprise and the start-stop status data of the environmental protection equipment by installing the intelligent detection terminal at the power bus of the enterprise, and then uses the decision tree algorithm component decision tree to train the classifier model, and then the intelligent monitoring terminal Subsequent monitoring of enterprise electricity consumption information can be input into the trained classifier to determine whether the enterprise violates regulations. The entire monitoring process only needs to install electricity information collection equipment at the electricity bus, which is compatible with existing pollution control equipment and environmental protection equipment. Compared with the environmental protection monitoring scheme of installing monitoring equipment on the Internet, it greatly reduces the installation cost of electricity monitoring equipment, and also reduces the installation workload, which is more conducive to the implementation of environmental monitoring work.
2、本发明通过决策树方法训练分类器,从根结点开始,对结点计算所有可能的特征的信息增益,选择信息增益最大的特征作为结点的特征,由该特征的不同取值建立于子节点,即训练的是多分类的分类器,可以直接挑选出重点关注的“生产过程中没有启用环保设备”的生产行为状态,高效快捷。2. The present invention trains the classifier by the decision tree method, starts from the root node, calculates the information gain of all possible features for the node, selects the feature with the largest information gain as the feature of the node, and establishes it by different values of the feature As for the sub-nodes, that is, the multi-category classifier is trained, which can directly select the production behavior state that focuses on "the production process does not use environmental protection equipment", which is efficient and fast.
3、本发明简化了采用决策树算法训练模型过程中用到的指标数量,在训练过程中选择节点特征时,从决策树自上而下地筛选,由于离根节点越近,重要性程度越高,故在训练过程中即仅采用了重要性程度较高的负荷特征,排除了低相关性指标对模型预测准确度的干扰,使得到的结果更加准确可靠。3. The present invention simplifies the number of indicators used in the model training process using the decision tree algorithm. When selecting node features in the training process, the decision tree is screened from top to bottom. Since the closer to the root node, the higher the degree of importance , so in the training process, only the load features with high importance are used, and the interference of low correlation indicators on the prediction accuracy of the model is eliminated, so that the obtained results are more accurate and reliable.
附图说明Description of drawings
图1是本发明方法的流程图。Figure 1 is a flow chart of the method of the present invention.
具体实施方式Detailed ways
下面结合实施例对本发明进行更详细的描述。The present invention will be described in more detail below in conjunction with examples.
如图1所示,本实施例的基于用电数据的污染源企业违规生产监控方法,包括如下步骤:As shown in Figure 1, the method for monitoring illegal production of pollution source enterprises based on electricity consumption data in this embodiment includes the following steps:
A1:在企业用电总线处安装用于采集企业用电信息的智能监测终端;A1: Install an intelligent monitoring terminal for collecting enterprise electricity consumption information at the enterprise electricity bus;
A2:智能监测终端获取一段时间内的企业用电数据作为负荷特征并获取对应时间内环保设备的启停状态数据,智能用电监测终端采集的数据时间尺度在分钟级,常用的有1min、3min和5min,采集数据的频率相较现有监测方案中的用电信息采集的采集频率15min更高;A2: The intelligent monitoring terminal obtains the enterprise's power consumption data within a period of time as the load characteristics and obtains the start-stop status data of the environmental protection equipment within the corresponding time period. The time scale of the data collected by the intelligent power consumption monitoring terminal is at the minute level, and the commonly used ones are 1min and 3min. and 5min, the frequency of data collection is higher than the collection frequency of 15min for electricity consumption information collection in existing monitoring schemes;
A3:设定三相视在功率阈值,通过负荷特征获取对应时间内企业总负荷三相视在功率,根据企业总负荷三相视在功率是否超过阈值判断生产设备的启停状态;A3: Set the three-phase apparent power threshold, obtain the three-phase apparent power of the total load of the enterprise within the corresponding time through the load characteristics, and judge the start-stop status of the production equipment according to whether the three-phase apparent power of the total load of the enterprise exceeds the threshold;
A4:根据环保设备的启停状态数据以及生产设备的启停状态得到对应时间内企业是否发生违规生产行为;以该负荷特征作为一样本,对应时间内企业是否发生违规生产行为作为该样本的属性标签,收集若干样本作为初始样本集,以决策树算法和初始样本集进行初步训练,得到一简化的分类器模型,并从该简化的分类器模型的决策树中筛选靠近根节点的若干负荷特征作为二次训练样本;A4: According to the start-stop status data of environmental protection equipment and the start-stop status of production equipment, whether the enterprise has illegal production behaviors in the corresponding time period; take the load characteristics as a sample, and whether the enterprise has illegal production behaviors in the corresponding time period as the attribute of the sample Label, collect several samples as the initial sample set, conduct preliminary training with the decision tree algorithm and the initial sample set, obtain a simplified classifier model, and filter several load features near the root node from the decision tree of the simplified classifier model as a secondary training sample;
决策树是机器学习中一种基本算法,决策树算法的核心是在决策树各个结点上应用信息增益准则选择特征,递归地构建决策树,具体方法是:从根结点开始,对结点计算所有可能的特征的信息增益,选择信息增益最大的特征作为结点的特征,由该特征的不同取值建立于子节点;再对于结点递归地调用以上方法,构建决策树;直到所有特征的信息增益均很小或没有特征可以选择时停止,得到最终的决策树;Decision tree is a basic algorithm in machine learning. The core of the decision tree algorithm is to apply the information gain criterion to select features on each node of the decision tree, and recursively build the decision tree. The specific method is: starting from the root node, pairing the nodes Calculate the information gain of all possible features, select the feature with the largest information gain as the feature of the node, and build the child nodes from the different values of the feature; then call the above method recursively for the node to build a decision tree; until all the features Stop when the information gain is small or there is no feature to choose, and get the final decision tree;
A5:利用二次训练样本及对应的属性标签,重新对简化的分类器模型进行训练,得到训练好的分离器;A5: Use the secondary training samples and corresponding attribute labels to retrain the simplified classifier model to obtain the trained separator;
A6:将智能监测终端采集到的实时企业用电数据输入至训练好的分类器,判断对应时段企业是否存在违规生产行为。A6: Input the real-time enterprise electricity consumption data collected by the intelligent monitoring terminal into the trained classifier to determine whether the enterprise has illegal production behavior in the corresponding time period.
特别的,结合步骤A2中的环保设备的启停状态数据和步骤A3中的生产设备的启停状态,将企业生产行为状态划分为:生产过程中没有启用环保设备、生产过程中有启用环保设备和生产停止。In particular, combining the start-stop status data of environmental protection equipment in step A2 and the start-stop status of production equipment in step A3, the production behavior status of the enterprise is divided into: no environmental protection equipment is activated during the production process, and environmental protection equipment is activated during the production process and production ceased.
进一步地,步骤A1中智能监测终端采集的企业用电信息包括:各相电压、各相电流、各相功率、各次谐波电压、各次谐波电流、谐波电压总畸变率、谐波电流总畸变率、电压偏差、电压不平衡和功率因素,各相功率包括各相有功功率、各相无功功率和各相视在功率,各相视在功率即步骤A3中用于判断生产设备的启停状态的监测数据。Further, the enterprise power consumption information collected by the intelligent monitoring terminal in step A1 includes: voltage of each phase, current of each phase, power of each phase, harmonic voltage of each order, harmonic current of each order, total distortion rate of harmonic voltage, harmonic Total current distortion rate, voltage deviation, voltage unbalance and power factor, and the power of each phase includes the active power of each phase, the reactive power of each phase and the apparent power of each phase. The apparent power of each phase is used to judge the production equipment in step A3 Monitoring data of start-stop status.
进一步地,步骤A3中,通过企业总负荷三相视在功率是否超过阈值判断生产设备的启停状态具体包括,企业总负荷三相视在功率超过设定的阈值时,判定生产设备为启动状态,否则判定生产设备为停机状态。Further, in step A3, judging whether the three-phase apparent power of the total load of the enterprise exceeds the threshold to determine the start-stop state of the production equipment specifically includes, when the three-phase apparent power of the total load of the enterprise exceeds the set threshold, it is determined that the production equipment is in the start-up state , otherwise it is judged that the production equipment is in shutdown state.
进一步地,步骤A4具体包括,设定一个数据合集为S,S中包含每个样本的负荷特征X和样本属性标签,其中负荷特征X即步骤A2中智能监测终端采集到的企业用电数据,其中样本属性标签设为三个不同的值Fi(i=1,2,3),F1、F2和F3分别代表生产过程中没有启用环保设备、生产过程中有启用环保设备和生产停止三种不同的生产场景;Further, step A4 specifically includes, setting a data collection as S, S contains the load characteristic X and sample attribute label of each sample, wherein the load characteristic X is the enterprise electricity consumption data collected by the intelligent monitoring terminal in step A2, Among them, the sample attribute label is set to three different values Fi (i=1, 2, 3), F1 , F2 and F3 respectively represent that environmental protection equipment is not used in the production process, environmental protection equipment is used in the production process, and production Stop three different production scenarios;
设定类别Fi的个数是|Fi|,S中的样本个数为|S|,则S的熵定义为:Set the number of categories Fi is |Fi |, the number of samples in S is |S|, then the entropy of S is defined as:
其中,Pi是任意样本属于Fi的概率,记为:Among them, Pi is the probability that any sample belongs to Fi , recorded as:
S中的数据依照负荷特征X划分,负荷特征X有m个不同的类,则将S划分为m个子集{S1,S2,…,Sm},用该负荷特征X对样本集S进行划分后,再对S的子集Si的熵进行加权计算,公式如下:The data in S is divided according to the load feature X, and the load feature X has m different classes, then S is divided into m subsets {S1 , S2 ,…,Sm }, and the load feature X is used to compare the sample set S After the division, the entropy of the subset Si of S is weighted and calculated, the formula is as follows:
在信息论中,熵(Entropy)是随机变量不确定性的度量,也就是熵越大,则随机变量的不确定性越大;In information theory, entropy is a measure of the uncertainty of a random variable, that is, the greater the entropy, the greater the uncertainty of the random variable;
在负荷特征X下所获得的信息增益为:The information gain obtained under the load characteristic X is:
Gain(S,X)=Entropy(S)-EntropyX(S)Gain(S,X)=Entropy(S)-EntropyX (S)
信息增益指的是样本集S划分前后信息熵的变化,是样本集S的分裂度量标准,得到的信息增益越大,对样本集S的分类能力也越强;决策树的ID3算法相当于用极大似然法进行概率模型的选择;Information gain refers to the change of information entropy before and after the division of the sample set S, which is the splitting metric of the sample set S. The greater the information gain obtained, the stronger the classification ability of the sample set S; the ID3 algorithm of the decision tree is equivalent to using The maximum likelihood method is used to select the probability model;
最后根据需要,从决策树自上而下筛选出若干个节点的特征X’,供下一步简化模型使用;Finally, according to the needs, the characteristics X' of several nodes are screened from the decision tree from top to bottom for the next step to simplify the model;
步骤A4得到的决策树中,离根结点越近的结点的特征,其重要性程度越高,根据需要从决策树自上而下选出一定数量的结点的特征X’,供下一步练简化模型使用。In the decision tree obtained in step A4, the characteristics of the nodes closer to the root node are more important, and the characteristics X' of a certain number of nodes are selected from the decision tree from top to bottom according to the needs, for the following One-step training to simplify the use of models.
进一步地,步骤A5具体包括,利用步骤A4中筛选出的负荷特征X’,作为决策树算法的输入量,并将历史时段的企业的生产设备和企业的环保设备的启停状态的组合(即生产过程中没有启用环保设备/生产过程中有启用环保设备/生产停止),作为算法的属性标签,重新训练简化的决策树分类器。Further, step A5 specifically includes, using the load characteristic X' screened out in step A4 as the input quantity of the decision tree algorithm, and combining the starting and stopping states of the enterprise's production equipment and the enterprise's environmental protection equipment in the historical period (ie Environmental protection equipment is not enabled in the production process/environmental protection equipment is enabled in the production process/production is stopped), as the attribute label of the algorithm, and the simplified decision tree classifier is retrained.
特别的,通过逻辑回归分类器预测判断的生产行为状态可能与实际存在些许误差,其效果评估主要采用准确率(Accuracy)作为评价指标,将分类器预测的类别与真实类别相符的样本记为True,不符的记为False;In particular, there may be some errors between the state of production behavior predicted and judged by the logistic regression classifier and the actual state, and its effect evaluation mainly uses Accuracy as the evaluation index, and the class predicted by the classifier matches the real class as True. , record as False if it does not match;
准确率表示模型正确分类数与样本总数之比,计算方法如下式所示:The accuracy rate indicates the ratio of the number of correct classifications of the model to the total number of samples, and the calculation method is as follows:
进一步地,步骤A6具体包括,将智能监测终端采集到的实时企业用电信息输入至步骤A5中训练好的决策树分类器,若判断结果为“生产过程中没有启用环保设备”的生产行为状态,则进行环保异常报警,由管理人员进行现场核实与管理。Further, step A6 specifically includes inputting the real-time enterprise power consumption information collected by the intelligent monitoring terminal into the decision tree classifier trained in step A5, if the judgment result is the production behavior state of "no environmental protection equipment is enabled in the production process" , the environmental protection abnormal alarm will be issued, and the management personnel will conduct on-site verification and management.
显然,所描述的实施例仅仅是本发明一部分实施例,而不是全部的实施例。基于本发明中的实施例,本领域普通技术人员在没有做出创造性劳动前提下所获得的所有其他实施例,都属于本发明保护的范围。Apparently, the described embodiments are only some of the embodiments of the present invention, but not all of them. Based on the embodiments of the present invention, all other embodiments obtained by persons of ordinary skill in the art without making creative efforts belong to the protection scope of the present invention.
| Application Number | Priority Date | Filing Date | Title |
|---|---|---|---|
| CN202110668541.1ACN113298422B (en) | 2021-06-16 | 2021-06-16 | Pollution source enterprise illegal production monitoring method based on electricity consumption data |
| Application Number | Priority Date | Filing Date | Title |
|---|---|---|---|
| CN202110668541.1ACN113298422B (en) | 2021-06-16 | 2021-06-16 | Pollution source enterprise illegal production monitoring method based on electricity consumption data |
| Publication Number | Publication Date |
|---|---|
| CN113298422A CN113298422A (en) | 2021-08-24 |
| CN113298422Btrue CN113298422B (en) | 2023-01-31 |
| Application Number | Title | Priority Date | Filing Date |
|---|---|---|---|
| CN202110668541.1AActiveCN113298422B (en) | 2021-06-16 | 2021-06-16 | Pollution source enterprise illegal production monitoring method based on electricity consumption data |
| Country | Link |
|---|---|
| CN (1) | CN113298422B (en) |
| Publication number | Priority date | Publication date | Assignee | Title |
|---|---|---|---|---|
| CN113762619B (en)* | 2021-09-08 | 2023-07-28 | 国家电网有限公司 | User load identification method, system, equipment and storage medium of power distribution internet of things |
| CN113988711B (en)* | 2021-11-22 | 2024-07-02 | 国网江苏省电力有限公司连云港供电分公司 | Pollution discharge enterprise stop or limit production monitoring method based on electricity consumption data in control state |
| CN114118580B (en)* | 2021-11-29 | 2023-04-07 | 国网山东省电力公司东营供电公司 | Yellow river basin pollution source monitoring and early warning method based on electric power-environmental protection data fusion analysis |
| CN114155038B (en)* | 2021-12-09 | 2024-05-31 | 国网河北省电力有限公司营销服务中心 | Epidemic situation affected user identification method |
| CN114742667A (en)* | 2022-04-15 | 2022-07-12 | 绍兴建元电力集团有限公司 | Alarm method and device based on abnormal electricity consumption of environmental protection facilities |
| CN115291006B (en)* | 2022-07-21 | 2024-11-29 | 福州大学 | Abnormal identification method of environmental protection conditions of polluting enterprises based on electricity consumption data |
| CN115456478A (en)* | 2022-10-20 | 2022-12-09 | 北京华志信科技股份有限公司 | Power utilization data management method, system, terminal and storage medium |
| CN116088436B (en)* | 2022-12-07 | 2024-11-05 | 中用科技(南通)有限公司 | Industrial production field data acquisition method based on LPWAN technology |
| CN115908082A (en)* | 2023-01-06 | 2023-04-04 | 佰聆数据股份有限公司 | Enterprise pollution discharge monitoring method and device based on electricity utilization characteristic indexes |
| CN117455124B (en)* | 2023-12-25 | 2024-03-08 | 杭州烛微智能科技有限责任公司 | Enterprise environmental protection equipment monitoring methods, systems, media and electronic equipment |
| CN117649061B (en)* | 2024-01-30 | 2024-04-26 | 山东达斯特信息技术有限公司 | Multi-node networking electricity analysis method and system for environmental protection monitoring |
| CN119047688B (en)* | 2024-08-02 | 2025-03-21 | 广州远石科技有限公司 | A method for monitoring spray painting operations based on visual recognition |
| CN119323309B (en)* | 2024-12-17 | 2025-03-18 | 南京长距科技有限公司 | Household garbage incineration emission monitoring method based on atmospheric ecological control |
| Publication number | Priority date | Publication date | Assignee | Title |
|---|---|---|---|---|
| US7233931B2 (en)* | 2003-12-26 | 2007-06-19 | Lee Shih-Jong J | Feature regulation for hierarchical decision learning |
| CN105260628B (en)* | 2014-06-03 | 2019-01-11 | 腾讯科技(深圳)有限公司 | Classifier training method and apparatus, auth method and system |
| CN104766158A (en)* | 2015-03-18 | 2015-07-08 | 福建望诚电子有限公司 | Environment protection full-process monitoring system |
| US20170083920A1 (en)* | 2015-09-21 | 2017-03-23 | Fair Isaac Corporation | Hybrid method of decision tree and clustering technology |
| CN107704070B (en)* | 2017-09-30 | 2020-01-14 | Oppo广东移动通信有限公司 | Application cleaning method and device, storage medium and electronic equipment |
| CN108011367B (en)* | 2017-12-04 | 2020-12-18 | 贵州电网有限责任公司电力科学研究院 | Power load characteristic mining method based on depth decision tree algorithm |
| CN108960586B (en)* | 2018-06-14 | 2021-06-11 | 华中科技大学 | Non-invasive load identification method adaptive to scene change |
| CN109492667A (en)* | 2018-10-08 | 2019-03-19 | 国网天津市电力公司电力科学研究院 | A kind of feature selecting discrimination method for non-intrusive electrical load monitoring |
| CN209150722U (en)* | 2018-11-28 | 2019-07-23 | 李�瑞 | A kind of control system of environmental protection equipment power supply ability production equipment power supply |
| CN109684295B (en)* | 2018-12-04 | 2021-10-22 | 河北申科电力股份有限公司 | Environment-friendly equipment running state analysis method, device and system |
| CN111077865B (en)* | 2019-12-25 | 2021-05-25 | 江苏三希科技股份有限公司 | Pollution source enterprise environment-friendly production load monitoring system and method |
| CN111523794B (en)* | 2020-04-21 | 2020-11-24 | 国网四川省电力公司电力科学研究院 | Research and judgment method of environmental protection management and control measures based on electricity consumption characteristics of polluting enterprises |
| CN111428821A (en)* | 2020-05-18 | 2020-07-17 | 江苏电力信息技术有限公司 | An asset classification method based on decision tree |
| CN111783827B (en)* | 2020-05-27 | 2024-07-19 | 中能瑞通(北京)科技有限公司 | Enterprise user classification method and device based on load data |
| CN112184090B (en)* | 2020-11-30 | 2021-03-16 | 广东浩迪创新科技有限公司 | Standard electricity utilization feature library establishing method, environment-friendly monitoring method, system and monitor |
| CN112787401B (en)* | 2021-01-15 | 2022-05-13 | 浙江容大电力工程有限公司 | Environment-friendly monitoring system and monitoring method based on electric power big data |
| CN112686473B (en)* | 2021-01-22 | 2023-12-08 | 国网江苏省电力有限公司营销服务中心 | Power consumption prediction method and prediction system based on classification algorithm |
| CN112907929A (en)* | 2021-01-29 | 2021-06-04 | 汇智道晟(舟山)科技有限公司 | Environment-friendly monitoring system and method based on electricity utilization information |
| Publication number | Publication date |
|---|---|
| CN113298422A (en) | 2021-08-24 |
| Publication | Publication Date | Title |
|---|---|---|
| CN113298422B (en) | Pollution source enterprise illegal production monitoring method based on electricity consumption data | |
| CN107179503B (en) | Wind turbine generator fault intelligent diagnosis and early warning method based on random forest | |
| CN118012848B (en) | Intelligent gas information government safety supervision method, internet of things system and medium | |
| CN110929918A (en) | A 10kV Feeder Fault Prediction Method Based on CNN and LightGBM | |
| CN110837866A (en) | Evaluation method of defect degree of power secondary equipment based on XGBoost | |
| CN106154209A (en) | Electrical energy meter fault Forecasting Methodology based on decision Tree algorithms | |
| CN113344346B (en) | Method and system for abnormal electricity consumption detection based on non-intrusive load decomposition | |
| CN117035513A (en) | Intelligent monitoring and management system and method for energy operation of intelligent industrial park | |
| CN109492790A (en) | Wind turbines health control method based on neural network and data mining | |
| CN110580492A (en) | Track circuit fault precursor discovery method based on small fluctuation detection | |
| CN113325308B (en) | Power supply fault detection method for data center | |
| CN114185760A (en) | System risk assessment method and device and charging equipment operation and maintenance detection method | |
| CN115291006B (en) | Abnormal identification method of environmental protection conditions of polluting enterprises based on electricity consumption data | |
| CN114626433A (en) | Fault prediction and classification method, device and system for intelligent electric energy meter | |
| Xue et al. | Adaptive ultra-short-term wind power prediction based on risk assessment | |
| CN119341901A (en) | Communication equipment monitoring method, device and medium | |
| CN119622608A (en) | A fault risk perception and early warning method for high and low voltage complete switchgear | |
| CN117852917A (en) | A distribution network reliability analysis method based on big data visualization technology | |
| CN114693175B (en) | Machine set state analysis method and system based on network source network-related test | |
| CN120177930A (en) | A method and system for sensing abnormal state of distribution network based on data processing | |
| CN113379005B (en) | Intelligent energy management system and method for power grid power equipment | |
| CN119729492A (en) | New energy station 5G network security risk assessment system | |
| CN117353315B (en) | Device for controlling power generation voltage based on transient fluctuation of photovoltaic and wind power generation voltage | |
| CN118270628A (en) | Escalator comprehensive detection system with automatic diagnosis function | |
| CN118487917A (en) | Internet of things alarm system based on autoregressive comprehensive moving average model |
| Date | Code | Title | Description |
|---|---|---|---|
| PB01 | Publication | ||
| PB01 | Publication | ||
| SE01 | Entry into force of request for substantive examination | ||
| SE01 | Entry into force of request for substantive examination | ||
| GR01 | Patent grant | ||
| GR01 | Patent grant | ||
| TR01 | Transfer of patent right | Effective date of registration:20250924 Address after:250022 Shandong Province, Jinan City, Huaiyin District, Nanxinzhuang Street, No. 70 Nanxinzhuang Street, Tongrun Business Building, 4th Floor, Room 410 Patentee after:Shandong Liyan Shuzhi Information Technology Co.,Ltd. Country or region after:China Address before:350108 Fujian Province, Fuzhou City, Minhou County, Shangjie Town, Xueyuan Road No. 2, Fuda Science and Technology Park, Building No. 2 (Zhongling Technology Building), 2nd Floor, Room 211A Patentee before:Fujian Yili Youneng Power Technology Co.,Ltd. Country or region before:China |