Movatterモバイル変換


[0]ホーム

URL:


CN113295991A - Fault analysis method and device based on high-voltage circuit breaker control loop impedance - Google Patents

Fault analysis method and device based on high-voltage circuit breaker control loop impedance
Download PDF

Info

Publication number
CN113295991A
CN113295991ACN202110377581.0ACN202110377581ACN113295991ACN 113295991 ACN113295991 ACN 113295991ACN 202110377581 ACN202110377581 ACN 202110377581ACN 113295991 ACN113295991 ACN 113295991A
Authority
CN
China
Prior art keywords
control loop
voltage
cable
relative error
impedance
Prior art date
Legal status (The legal status is an assumption and is not a legal conclusion. Google has not performed a legal analysis and makes no representation as to the accuracy of the status listed.)
Pending
Application number
CN202110377581.0A
Other languages
Chinese (zh)
Inventor
常俊晓
吴坚
王家琪
赵文东
蔡富裕
卢姬
朱逸芝
林鹏
马秀林
黄镇
叶仁杰
应宇鹏
杨林
施怀远
张�浩
Current Assignee (The listed assignees may be inaccurate. Google has not performed a legal analysis and makes no representation or warranty as to the accuracy of the list.)
Taizhou Power Supply Co of State Grid Zhejiang Electric Power Co Ltd
Original Assignee
Taizhou Power Supply Co of State Grid Zhejiang Electric Power Co Ltd
Priority date (The priority date is an assumption and is not a legal conclusion. Google has not performed a legal analysis and makes no representation as to the accuracy of the date listed.)
Filing date
Publication date
Application filed by Taizhou Power Supply Co of State Grid Zhejiang Electric Power Co LtdfiledCriticalTaizhou Power Supply Co of State Grid Zhejiang Electric Power Co Ltd
Priority to CN202110377581.0ApriorityCriticalpatent/CN113295991A/en
Publication of CN113295991ApublicationCriticalpatent/CN113295991A/en
Pendinglegal-statusCriticalCurrent

Links

Images

Classifications

Landscapes

Abstract

The invention provides a fault analysis method and a device based on high-voltage circuit breaker control loop impedance, which comprises the following steps: a cable between the operation box and a high-voltage circuit breaker coil penetrates through the Hall current sensor at the outlet of the operation box to generate a voltage sampling signal; judging whether the control loop is connected or not, and if so, sending a trigger signal to the singlechip through the starting module; when the single chip receives the trigger signal, acquiring a voltage sampling signal based on a preset interval, calculating the current of the cable according to the voltage sampling signal, and calculating the measured value of the impedance of the control loop by combining the voltage difference of two ends of the control loop; and calculating relative errors, and judging whether the control loop has the faults of poor contact and loose cable connection by comparing the relative errors with a preset threshold value and comparing the relative errors of two adjacent samplings. The function of judging whether the control loop has poor cable contact or not in the running state is realized, and the difficulty that whether the circuit breaker fails to operate or not due to poor cable contact is difficult to determine is solved.

Description

Fault analysis method and device based on high-voltage circuit breaker control loop impedance
Technical Field
The invention belongs to the field of fault analysis of high-voltage circuit breakers, and particularly relates to a fault analysis method and device based on impedance of a control loop of a high-voltage circuit breaker.
Background
The high-voltage circuit breaker has a perfect arc extinguishing structure and enough current breaking capacity, and can be used for cutting off or switching on no-load current and load current in a high-voltage circuit on one hand, and can be used for cutting off fault current by using the circuit breaker when a power system has a fault on the other hand. Generally, an opening coil and a closing coil of a high-voltage circuit breaker are connected into a control loop with a certain logic function, the control loop is generally formed by sequentially connecting a positive power supply, a protection device, an operation box, a switch terminal box, the opening/closing coil and a negative power supply through a cable, opening and closing operation of the high-voltage circuit breaker is controlled, when the cable in the control loop is in poor contact or loose, the total impedance of the control loop can be increased, the opening coil or the closing coil in the control loop is not enough in power to be excited normally, and the opening or closing function cannot be normally realized, namely, the high-voltage circuit breaker fails to operate, so that the cable contact condition of the control loop has important significance for maintaining the normal operation of the high-voltage circuit breaker.
However, the control loop has hidden property of poor cable contact or looseness, and the control loop has a positive and negative direct current power supply in the running state of the high-voltage circuit breaker, so that the resistance value between conducting nodes cannot be directly measured, the resistance value is difficult to be found in daily fault detection, and in addition, high-voltage electrician operators cannot really restore the cable wiring contact condition scene when the high-voltage circuit breaker fails to operate in the running state, and cannot exactly know whether the reason of failure of the high-voltage circuit breaker is caused by poor cable contact or looseness, so that the fault detection and analysis of the control loop are difficult.
Disclosure of Invention
In order to solve the defects in the prior art, the invention provides a fault analysis method based on the impedance of a control loop of a high-voltage circuit breaker, which comprises the following steps:
a cable between the operation box and a high-voltage circuit breaker coil penetrates through the Hall current sensor at the outlet of the operation box to generate a voltage sampling signal;
judging whether the control loop is connected or not, and if so, sending a trigger signal to the singlechip through the starting module;
when the single chip receives the trigger signal, acquiring a voltage sampling signal based on a preset interval, calculating the current of the cable according to the voltage sampling signal, and calculating the measured value of the impedance of the control loop by combining the voltage difference of two ends of the control loop;
and calculating the relative error between the measured value and the preset standard impedance, and judging whether the control loop has poor contact and the cable connection loose fault by comparing the relative error with a preset threshold value and comparing the relative errors of two adjacent samplings.
Optionally, the cable between the operation box and the high-voltage circuit breaker coil passes through the hall current sensor at the operation box outlet to generate a voltage sampling signal, including:
inducing a changing magnetic field generated by current flowing through the cable through a Hall current sensor;
and generating Hall electromotive force according to the variable magnetic field, amplifying the Hall electromotive force, and sending the amplified Hall electromotive force as a voltage sampling signal to the singlechip.
Optionally, whether the control loop is connected is judged, if so, a trigger signal is sent to the single chip microcomputer through the starting module, and the method includes the following steps:
the method comprises the steps that a current value flowing through a cable between a protection device and an operation box is obtained through a starting module, and when the current value exceeds a preset threshold value, a control loop is judged to be connected.
Optionally, when the single chip microcomputer receives the trigger signal, obtain the voltage sampling signal based on the preset interval, calculate the cable current according to the voltage sampling signal, calculate the measured value of the control loop impedance in combination with the voltage difference at the two ends of the control loop, include:
setting a voltage difference at two ends of the control loop through the dial switch;
acquiring voltage sampling signals based on a preset interval, and calculating the average value of the voltage sampling signals when the number of the acquired voltage sampling signals reaches a preset value;
calculating the current flowing through the cable by combining the average value of the voltage sampling signals and the corresponding relation between the output voltage sampling signals of the Hall current sensor and the current;
and dividing the voltage difference between the two ends of the control loop by the current of the cable to obtain the measured value of the impedance of the control loop.
Optionally, the calculating a relative error between the measured value and a preset standard impedance, and determining whether the control loop has a fault of poor contact and loose cable connection by comparing the relative error with a preset threshold and comparing the relative errors of two adjacent samplings includes:
and calculating the relative error between the measured value and the preset standard impedance, and judging that the control loop has poor contact phenomenon if the relative error exceeds a preset threshold value.
Optionally, calculating a relative error between the measured value and a preset standard impedance, and determining whether the control loop has a fault of poor contact and loose cable connection by comparing the relative error with a preset threshold and comparing the relative errors of two adjacent samplings, further includes:
and comparing the relative errors calculated in two adjacent times, and if the relative error in the next time is larger than the relative error in the previous time and the ratio of the difference value of the two relative errors to the relative error in the previous time exceeds a preset ratio, judging that the cable connection in the control loop is loose.
The invention also provides a fault analysis device based on the impedance of the control loop of the high-voltage circuit breaker based on the same idea, which comprises the following components:
a collecting unit: the device is used for enabling a cable between the operation box and a high-voltage circuit breaker coil to penetrate through the Hall current sensor at the outlet of the operation box to generate a voltage sampling signal;
a trigger unit: the control circuit is used for judging whether the control circuit is connected or not, and if the control circuit is connected, a trigger signal is sent to the single chip microcomputer through the starting module;
a calculation unit: the single chip microcomputer is used for acquiring a voltage sampling signal based on a preset interval when receiving a trigger signal, calculating the current of the cable according to the voltage sampling signal, and calculating the measured value of the impedance of the control loop by combining the voltage difference of two ends of the control loop;
an analysis unit: the device is used for calculating the relative error between the measured value and the preset standard impedance, and judging whether the control loop has the faults of poor contact and loose cable connection or not by comparing the relative error with the preset threshold value and comparing the relative errors of two adjacent samplings.
Optionally, the computing unit is specifically configured to:
setting a voltage difference at two ends of the control loop through the dial switch;
acquiring voltage sampling signals based on a preset interval, and calculating the average value of the voltage sampling signals when the number of the acquired voltage sampling signals reaches a preset value;
calculating the cable current by combining the average value of the voltage sampling signals and the corresponding relation between the output voltage sampling signals of the Hall current sensor and the current;
and dividing the voltage difference between the two ends of the control loop by the current of the cable to obtain the measured value of the impedance of the control loop.
Optionally, the analysis unit is specifically configured to:
and calculating the relative error between the measured value and the preset standard impedance, and judging that the control loop has poor contact phenomenon if the relative error exceeds a preset threshold value.
Optionally, the analysis unit is further specifically configured to:
and comparing the relative errors calculated in two adjacent times, and if the relative error in the next time is larger than the relative error in the previous time and the ratio of the difference value of the two relative errors to the relative error in the previous time exceeds a preset ratio, judging that the cable connection in the control loop is loose.
The technical scheme provided by the invention has the beneficial effects that:
the fault analysis method provided by the invention is used for collecting the current flowing in the control loop, indirectly calculating the impedance of the control loop according to the collected current, realizing the function of judging whether the control loop has the cable connection condition or not according to the impedance in the running state, and further analyzing the reason of poor cable contact by using the judgment results of two adjacent times, thereby being capable of finding out the cable connection looseness in time, solving the problem that whether the circuit breaker fails to operate due to poor cable contact or not is difficult to determine in the running state, and maintaining the stable running of the high-voltage circuit breaker.
Drawings
In order to more clearly illustrate the technical solution of the present invention, the drawings needed to be used in the description of the embodiments will be briefly introduced below, and it is obvious that the drawings in the following description are only some embodiments of the present invention, and it is obvious for those skilled in the art to obtain other drawings based on the drawings without creative efforts.
Fig. 1 is a schematic flow chart of a fault analysis method based on the impedance of a control loop of a high-voltage circuit breaker according to the present invention;
fig. 2 is a schematic structural diagram of a control circuit of the high-voltage circuit breaker;
FIG. 3 is a schematic circuit diagram of a current sampling module;
fig. 4 is a block diagram of a fault analysis apparatus based on the impedance of the control loop of the high-voltage circuit breaker according to the present invention.
Detailed Description
To make the structure and advantages of the present invention clearer, the structure of the present invention will be further described with reference to the accompanying drawings.
Example one
As shown in fig. 1, the present embodiment provides a fault analysis method based on impedance of a control loop of a high-voltage circuit breaker, including:
s1: a cable between the operation box and a high-voltage circuit breaker coil penetrates through the Hall current sensor at the outlet of the operation box to generate a voltage sampling signal;
s2: judging whether the control loop is connected or not, and if so, sending a trigger signal to the singlechip through the starting module;
s3: when the single chip receives the trigger signal, acquiring a voltage sampling signal based on a preset interval, calculating the current of the cable according to the voltage sampling signal, and calculating the measured value of the impedance of the control loop by combining the voltage difference of two ends of the control loop;
s4: and calculating the relative error between the measured value and the preset standard impedance, and judging whether the control loop has poor contact and the cable connection loose fault by comparing the relative error with a preset threshold value and comparing the relative errors of two adjacent samplings.
The fault analysis method provided by the embodiment collects the current flowing in the control loop, and indirectly calculates the impedance of the control loop according to the collected current, so that the function of judging whether the control loop has the cable connection condition or not through the impedance in the running state is realized, and the difficulty that whether the circuit breaker fails to operate or not due to poor cable contact in the running state is solved.
As shown in fig. 2, a positive power supply (+ KM + HM), a protection device, an operation box, a switch terminal box, an opening coil, a closing coil, a breaker auxiliary node, and a negative power supply (-KM-HM) in a control loop of a high-voltage breaker are sequentially connected through a cable, wherein the protection device includes a closing node and an opening node. Under normal conditions, the resistance of a cable connection contact point is small and can be approximately equal to 0; if the cable is not firmly contacted with the connection point, the resistance value of the contact point is a value far larger than 0. Therefore, the contact condition of the cable in the control loop can be analyzed through the resistance value between the conducting nodes in the whole control loop. Since the control loop in the operating state has the positive and negative dc power supplies, the resistance between the conduction nodes cannot be directly measured, and this embodiment provides a fault analysis method based on the impedance of the control loop of the high-voltage circuit breaker, so as to indirectly calculate the resistance in the control loop.
In the present embodiment, the cable current is obtained through the circuit structure shown in fig. 3, and the cable between the operation box and the high-voltage circuit breaker coil passes through the hall current sensor, which is the model of OPCT10 AL. When current flows in the cable, a variable magnetic field is generated, and the variable magnetic field generated by the current flowing through the cable is induced by the Hall current sensor; and generating Hall electromotive force according to the variable magnetic field, amplifying the Hall electromotive force, and sending the amplified Hall electromotive force as a voltage signal to the singlechip.
In the embodiment, the Hall current sensor amplifies and filters the Hall electromotive force in the chip, and then outputs a voltage signal according to a certain proportion, and the voltage signal reflects the value of current flowing through the cable. The linear relation between the voltage signal output by the Hall current sensor and the current is (V-2.5) ÷ 0.12, wherein I is the current flowing between the operation box and the switch terminal box through the cable, and V is the value of the voltage signal output by the Hall current sensor. The Hall current sensor is adopted to generate a voltage signal, and the Hall current sensor has the advantages of high precision, good linearity and strong anti-interference capability.
The voltage signal generated by the Hall current sensor needs to be adjusted to a proper range through a peripheral amplifying circuit and then is converted into a data signal through an AD conversion module, so that the voltage signal can be analyzed by the single chip microcomputer. Therefore, in the circuit configuration shown in fig. 3, the input terminal of the hall current sensor is connected to the cable between the operation box and the switch terminal box to obtain the externally sampled current, and the output terminal of the hall current sensor is connected to the switch terminal box via the resistor R1The inverting input end of the first amplifying unit UA is connected, the zero setting circuit is connected with the non-inverting input end of the first amplifying unit UA, and the resistor Rf1The first amplifying unit UA is connected between the inverting input end and the output end of the first amplifying unit UA; the output of the first amplifying unit UA is connected via a resistor R2Is connected to the inverting input terminal of the second amplifying unit UC, the non-inverting input terminal of the second amplifying unit UC is grounded, and the resistor Rf2The inverting input end and the output end of the second amplifying unit UC are connected; the output end of the second amplification unit UC is connected with the non-inverting input end of the third amplification unit UD, the inverting input end of the third amplification unit UD is grounded, the non-inverting input end of the third amplification unit UD is in short circuit with the output end, and the output end of the third amplification unit UD is connected to the AD conversion module. The model of the first operational amplifier in this embodiment is LM 324. The first amplifying unit UA is an inverting amplifying circuit, the second amplifying unit UC is an inverting amplifying circuit and used for weakening common mode interference, and the third amplifying unit UD is used as a voltage follower and used for amplifying a voltage signal to a 0-5V range. The voltage sampling signal and the zero setting signal are subjected to inverse amplification of the first amplification voltage UA, then input into the second amplification unit UC, and output into a digital signal with the measuring range of 0-5V after being followed by the voltage of the third amplification unit UD.
In practical applications, when the voltage difference between the two input terminals of the operational amplifier is zero, the output terminal still has an offset voltage of +/- (0.2-10) mV, so that the offset voltage is usually required to be corrected in a zeroing circuit, which is a conventional circuit design in this embodiment and is not described herein again.
In this embodiment, the AD conversion module is a 16-bit single-channel analog-to-digital conversion chip, the analog-to-digital conversion chip is AD7663, and the analog-to-digital conversion chip is a single-channel, low-power-consumption, successive approximation type analog-to-digital converter, and has the advantages of high resolution, high sampling rate, and low power consumption, the resolution of the analog-to-digital conversion chip after conversion is 0.0000763V, and the analog-to-digital conversion chip converts the received voltage signal into a data signal and inputs the data signal into the single chip.
Compare in high voltage circuit breaker's live time, the time that its control circuit switched on accounts for than the utmost point short, consequently, this embodiment judges whether control circuit switches on, if switch on then sends trigger signal to the singlechip through the start module, include: the current value of a cable between the protection device and the operation box is obtained through the starting module, and when the current value exceeds a preset threshold value, the control loop is judged to be switched on. Only when the control circuit of the high-voltage circuit breaker is switched on, namely current flows in the control circuit, the starting module sends a triggering signal to start the single chip microcomputer, so that the single chip microcomputer is enabled to be in a dormant state more, and the service life of the single chip microcomputer is prolonged. In this embodiment, the starting module is similar to a circuit structure for obtaining a cable current, a linear current sensor with a model number of PH-T4I is installed at a position C and a position D in a control loop shown in fig. 2, and is capable of outputting a voltage analog quantity in proportion to a detected current, and is connected to a single chip microcomputer after passing through a differential proportional operational amplifier OP1177, when a current flowing in a control loop of a high-voltage circuit breaker is greater than 0.4A, the starting module linearly outputs a voltage analog quantity in proportion to the current, and after passing through the operational amplifier, a voltage value of about 5V is compared and output, and the voltage value is regarded as a high level, that is, a trigger signal; otherwise, it indicates that the control loop is not turned on and is considered as low.
When the singlechip receives trigger signal, based on predetermineeing the interval and acquireing voltage sampling signal, calculate the cable current according to voltage sampling signal, combine the voltage difference at control circuit both ends to calculate the measured value of control circuit impedance, include:
the voltage difference between two ends of the control loop is set through the dial switch, and when the dial switch is selected to be 0, the voltage difference V between two ends of the control loop is shownDIs 110V; when the dial switch is selected to be 1, the voltage difference V between two ends of the control loop is shownDIs 220V.
Acquiring voltage signals based on a preset interval, and calculating the average value of the voltage sampling signals when the number of the acquired voltage sampling signals reaches a preset value, wherein the preset interval for acquiring the voltage sampling signals by the singlechip in the embodiment is shown in table 1;
TABLE 1
Number of samplings1 st time2 nd time3 rd time4th time5 th time6 th time
Sampling time012468
Number of samplings7 th time8 th time9 th time10 th time11 th time12 th time
Sampling time101214151618
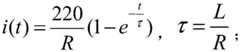
The time described in table 1 represents a time point along with the time lapse in the acquisition process, the unit is millisecond, the opening or closing node of the protection device is closed, and the time 1ms after the start module triggers the high level signal is taken as the 0 th time. Considering that the switching-on and switching-off circuit is a typical RL first-order circuit, when switching-on, the current passing through the switching-on and switching-off circuit does not suddenly change to a steady-state value, but follows the zero-state response rule of the RL first-order circuit, and is expressed as follows:
Figure BDA0003011415850000071
in the formula, R is the total resistance value of the control loop, and L is the inductance value of the opening and closing coil.
In consideration of the actual situation, if the control loop is in perfect contact, the minimum total resistance value of the control loop is not less than the resistance value of the opening and closing coil, the minimum total resistance value is not less than 100 omega in the engineering, and the inductance value of the opening and closing coil in the engineering is not more than 10 mH. Thus, the time constant τ of the first order loop can be estimated in terms of 0.1 ms. In general, when t is 3 τ, that is, 0.3ms, it can be considered that the current at this time has reached a steady-state value. And considering a certain margin, the current sampling is started from 1ms, so that the accurate calculation of the total resistance of the loop in a steady state is ensured.
In the embodiment, the analog value of the voltage signal output by the Hall current sensor is calculated as V according to the resolution of the AD conversion modulesX 0.0000763V, calculating the average of analog values after collecting 12 voltage signalsValue VA
Calculating the cable current by combining the average value of the voltage sampling signal and the corresponding relation between the output voltage and the current of the Hall current sensor, namely calculating the cable circuit I ═ V (V) according to the linear relation between the voltage sampling signal and the current output by the Hall current sensorA-2.5)÷0.12。
Dividing the voltage difference between the two ends of the control loop by the cable current to obtain the measured value of the control loop impedance, i.e. the measured value Z of the control loop impedancej=VD÷I。
In this embodiment, the model of the single chip microcomputer is Atmega 16.
In this embodiment, a relative error between the measured value Zj and the preset standard impedance Zt, that is, a relative error y ═ Zj-Zt | ÷ Zt, is calculated, and when the relative error exceeds a preset threshold, it is determined that the control circuit has a poor contact phenomenon. In this embodiment, a judgment result is obtained according to experience of the equipment operation and maintenance personnel, and when y is greater than 20%, it indicates that the loop resistance is too large, and the phenomenon of poor wire contact exists.
The preset standard impedance is obtained by inputting impedance values of a switching-off coil and a switching-on coil in an electric control loop of the high-voltage circuit breaker into an Atmega16 singlechip in advance by using a key keyboard triggering input mode as a reference for impedance comparison.
In this embodiment, the fault analysis method further includes: comparing the relative errors calculated in two adjacent times, if the relative error in the next time is larger than the relative error in the previous time, and the ratio of the difference between the two relative errors and the relative error in the previous time exceeds a preset ratio, determining that the cable connection in the control loop is loose, and the other relative errors are normal conditions, wherein the preset ratio is 5% in the embodiment. The reason of poor contact of the cable is further analyzed by utilizing the judgment results of two adjacent times, so that the loose connection of the cable can be found in time, and the operation and maintenance personnel can clearly determine the numerical analysis result of the poor contact.
In addition, in practical engineering, the closing time of an opening node or a closing node in the protection device is usually set to be more than 20ms, so that the control function can be reliably completed, and if the closing time is less than 20ms, the excitation process time of an opening (closing) coil may be too short, so that the fault hidden danger of control function failure is caused, therefore, if the 12 th time, namely the 20 th ms after the opening node or the closing node of the circuit breaker protection device is closed, if the detected current value is 0, the fault hidden danger that the total opening or closing time of the protection device is short is judged to exist in the control loop.
According to the embodiment, the voltage sampling signals are analyzed through the single chip microcomputer, the loop impedance is detected under the operation state of the control loop, the specific condition of faults caused by poor contact can be judged according to information carried by the voltage sampling signals at different acquisition moments, and the operation and maintenance personnel can maintain and repair the voltage sampling signals according to the specific condition.
Example two
As shown in fig. 4, the present embodiment provides afault analysis apparatus 5 based on the impedance of the control loop of the high-voltage circuit breaker, which includes:
the acquisition unit 51: the device is used for enabling a cable between the operation box and a high-voltage circuit breaker coil to penetrate through the Hall current sensor at the outlet of the operation box to generate a voltage sampling signal;
the trigger unit 52: the control circuit is used for judging whether the control circuit is connected or not, and if the control circuit is connected, a trigger signal is sent to the single chip microcomputer through the starting module;
the calculation unit 53: the single chip microcomputer is used for acquiring a voltage sampling signal based on a preset interval when receiving a trigger signal, calculating the current of the cable according to the voltage signal, and calculating the measured value of the impedance of the control loop by combining the voltage difference of two ends of the control loop;
the analyzing unit 54: the device is used for calculating the relative error between the measured value and the preset standard impedance, and judging whether the control loop has the faults of poor contact and loose cable connection or not by comparing the relative error with the preset threshold value and comparing the relative errors of two adjacent samplings.
The fault analysis method provided by the embodiment collects the current flowing in the control loop, and indirectly calculates the impedance of the control loop according to the collected current, so that the function of judging whether the control loop has the cable connection condition or not through the impedance in the running state is realized, and the difficulty that whether the circuit breaker fails to operate or not due to poor cable contact in the running state is solved.
As shown in fig. 2, a positive power supply (+ KM + HM), a protection device, an operation box, a switch terminal box, an opening coil, a closing coil, a breaker auxiliary node, and a negative power supply (-KM-HM) in a control loop of a high-voltage breaker are sequentially connected through a cable, wherein the protection device includes a closing node and an opening node. Under normal conditions, the resistance of a cable connection contact point is small and can be approximately equal to 0; if the cable is not firmly contacted with the connection point, the resistance value of the contact point is a value far larger than 0. Therefore, the contact condition of the cable in the control loop can be analyzed through the resistance value between the conducting nodes in the whole control loop. Since the control loop in the operating state has the positive and negative dc power supplies, the resistance between the conduction nodes cannot be directly measured, and this embodiment provides a fault analysis method based on the impedance of the control loop of the high-voltage circuit breaker, so as to indirectly calculate the resistance in the control loop.
As shown in fig. 3, theacquisition unit 51 acquires a cable current through the circuit structure shown in fig. 3, and a cable between the operation box and the high-voltage circuit breaker coil passes through a hall current sensor, wherein the hall current sensor is OPCT10 AL. When current flows in the cable, a variable magnetic field is generated, and the variable magnetic field generated by the current flowing through the cable is induced by the Hall current sensor; and generating Hall electromotive force according to the variable magnetic field, amplifying the Hall electromotive force, and sending the amplified Hall electromotive force as a voltage signal to the singlechip.
In the embodiment, the Hall current sensor amplifies and filters the Hall electromotive force in the chip, and then outputs a voltage signal according to a certain proportion, and the voltage signal reflects the value of current flowing through the cable. The linear relation between the voltage signal output by the Hall current sensor and the current is (V-2.5) ÷ 0.12, wherein I is the current flowing between the operation box and the switch terminal box through the cable, and V is the value of the voltage signal output by the Hall current sensor. The Hall current sensor is adopted to generate a voltage signal, and the Hall current sensor has the advantages of high precision, good linearity and strong anti-interference capability.
The voltage signal generated by the Hall current sensor needs to be regulated by a peripheral amplifying circuitAnd adjusting to a proper range, and converting the range into a data signal through an AD conversion module so that the single chip microcomputer can analyze the voltage signal. Therefore, in the circuit configuration shown in fig. 3, the input terminal of the hall current sensor is connected to the cable between the operation box and the switch terminal box to obtain the externally sampled current, and the output terminal of the hall current sensor is connected to the switch terminal box via the resistor R1The inverting input end of the first amplifying unit UA is connected, the zero setting circuit is connected with the non-inverting input end of the first amplifying unit UA, and the resistor Rf1The first amplifying unit UA is connected between the inverting input end and the output end of the first amplifying unit UA; the output of the first amplifying unit UA is connected via a resistor R2Is connected to the inverting input terminal of the second amplifying unit UC, the non-inverting input terminal of the second amplifying unit UC is grounded, and the resistor Rf2The inverting input end and the output end of the second amplifying unit UC are connected; the output end of the second amplification unit UC is connected with the non-inverting input end of the third amplification unit UD, the inverting input end of the third amplification unit UD is grounded, the non-inverting input end of the third amplification unit UD is in short circuit with the output end, and the output end of the third amplification unit UD is connected to the AD conversion module. The model of the first operational amplifier in this embodiment is LM 324. The first amplifying unit UA is an inverting amplifying circuit, the second amplifying unit UC is an inverting amplifying circuit and used for weakening common mode interference, and the third amplifying unit UD is used as a voltage follower and used for amplifying a voltage signal to a 0-5V range. The voltage sampling signal and the zero setting signal are subjected to inverse amplification of the first amplification voltage UA, then input into the second amplification unit UC, and output into a digital signal with the measuring range of 0-5V after being followed by the voltage of the third amplification unit UD.
In practical applications, when the voltage difference between the two input terminals of the operational amplifier is zero, the output terminal still has an offset voltage of +/- (0.2-10) mV, so that the offset voltage is usually required to be corrected in a zeroing circuit, which is a conventional circuit design in this embodiment and is not described herein again.
In this embodiment, the AD conversion module is a 16-bit single-channel analog-to-digital conversion chip, the analog-to-digital conversion chip is AD7663, and the analog-to-digital conversion chip is a single-channel, low-power-consumption, successive approximation type analog-to-digital converter, and has the advantages of high resolution, high sampling rate, and low power consumption, the resolution of the analog-to-digital conversion chip after conversion is 0.0000763V, and the analog-to-digital conversion chip converts the received voltage signal into a data signal and inputs the data signal into the single chip.
Compare in high voltage circuit breaker's live time, the time that its control circuit switched on accounts for than the utmost point short, consequently, this embodiment judges whether control circuit switches on, if switch on then sends trigger signal to the singlechip through the start module, include: the current value of a cable between the protection device and the operation box is obtained through the starting module, and when the current value exceeds a preset threshold value, the control loop is judged to be switched on. Only when the control circuit of the high-voltage circuit breaker is switched on, namely current flows in the control circuit, the starting module sends a triggering signal to start the single chip microcomputer, so that the single chip microcomputer is enabled to be in a dormant state more, and the service life of the single chip microcomputer is prolonged. In this embodiment, the starting module is similar to a circuit structure for obtaining a cable current, a linear current sensor with a model number of PH-T4I is installed at a position C and a position D in a control loop shown in fig. 2, and is capable of outputting a voltage analog quantity in proportion to a detected current, and is connected to a single chip microcomputer after passing through a differential proportional operational amplifier OP1177, when a current flowing in a control loop of a high-voltage circuit breaker is greater than 0.4A, the starting module linearly outputs a voltage analog quantity in proportion to the current, and after passing through the operational amplifier, a voltage value of about 5V is compared and output, and the voltage value is regarded as a high level, that is, a trigger signal; otherwise, it indicates that the control loop is not turned on and is considered as low.
The calculatingunit 53 is specifically configured to:
when the singlechip receives trigger signal, based on predetermineeing the interval and acquireing voltage sampling signal, calculate the cable current according to voltage sampling signal, combine the voltage difference at control circuit both ends to calculate the measured value of control circuit impedance, include:
the voltage difference between two ends of the control loop is set through the dial switch, and when the dial switch is selected to be 0, the voltage difference V between two ends of the control loop is shownDIs 110V; when the dial switch is selected to be 1, the voltage difference V between two ends of the control loop is shownDIs 220V.
Acquiring voltage signals based on a preset interval, and calculating the average value of the voltage sampling signals when the number of the acquired voltage sampling signals reaches a preset value, wherein the preset interval for acquiring the voltage sampling signals by the singlechip in the embodiment is shown in table 2;
TABLE 2
Number of samplings1 st time2 nd time3 rd time4th time5 th time6 th time
Sampling time012468
Number of samplings7 th time8 th time9 th time10 th time11 th time12 th time
Sampling time101214151618
The time described in table 2 represents a time point along with the time lapse in the acquisition process, the unit is millisecond, the opening or closing node of the protection device is closed, and the time 1ms after the start module triggers the high level signal is taken as the 0 th time. Considering that the switching-on and switching-off circuit is a typical RL first-order circuit, when switching-on, the current passing through the switching-on and switching-off circuit does not suddenly change to a steady-state value, but follows the zero-state response rule of the RL first-order circuit, and is expressed as follows:
Figure BDA0003011415850000111
in the formula, R is the total resistance value of the control loop, and L is the inductance value of the opening and closing coil.
In consideration of the actual situation, if the control loop is in perfect contact, the minimum total resistance value of the control loop is not less than the resistance value of the opening and closing coil, the minimum total resistance value is not less than 100 omega in the engineering, and the inductance value of the opening and closing coil in the engineering is not more than 10 mH. Thus, the time constant τ of the first order loop can be estimated in terms of 0.1 ms. In general, when t is 3 τ, that is, 0.3ms, it can be considered that the current at this time has reached a steady-state value. And considering a certain margin, the current sampling is started from 1ms, so that the accurate calculation of the total resistance of the loop in a steady state is ensured.
In the embodiment, the analog value of the voltage signal output by the Hall current sensor is calculated as V according to the resolution of the AD conversion modulesX 0.0000763V, calculating the average value V of analog values after 12 voltage signals are collectedA
Calculating the cable current by combining the average value of the voltage sampling signal and the corresponding relation between the output voltage and the current of the Hall current sensor, namely calculating the cable circuit I ═ V (V) according to the linear relation between the voltage sampling signal and the current output by the Hall current sensorA-2.5)÷0.12。
Dividing the voltage difference between the two ends of the control loop by the cable current to obtain the measured value of the control loop impedance, i.e. the measured value Z of the control loop impedancej=VD÷I。
In this embodiment, the model of the single chip microcomputer is Atmega 16.
Theanalysis unit 54 is specifically configured to: and calculating the relative error between the measured value Zj and the preset standard impedance Zt, namely the relative error y is | Zj-Zt | ÷ Zt, and judging that the control loop has poor contact when the relative error exceeds a preset threshold value. In this embodiment, a judgment result is obtained according to experience of the equipment operation and maintenance personnel, and when y is greater than 20%, it indicates that the loop resistance is too large, and the phenomenon of poor wire contact exists.
The preset standard impedance is obtained by inputting impedance values of a switching-off coil and a switching-on coil in an electric control loop of the high-voltage circuit breaker into an Atmega16 singlechip in advance by using a key keyboard triggering input mode as a reference for impedance comparison.
In this embodiment, the fault analysis method further includes: comparing the relative errors calculated in two adjacent times, if the relative error in the next time is larger than the relative error in the previous time, and the ratio of the difference between the two relative errors and the relative error in the previous time exceeds a preset ratio, determining that the cable connection in the control loop is loose, and the other relative errors are normal conditions, wherein the preset ratio is 5% in the embodiment. The reason of poor contact of the cable is further analyzed by utilizing the judgment results of two adjacent times, so that the loose connection of the cable can be found in time, and the operation and maintenance personnel can clearly determine the numerical analysis result of the poor contact.
In addition, in practical engineering, the closing time of an opening node or a closing node in the protection device is usually set to be more than 20ms, so that the control function can be reliably completed, and if the closing time is less than 20ms, the excitation process time of an opening (closing) coil may be too short, so that the fault hidden danger of control function failure is caused, therefore, if the 12 th time, namely the 20 th ms after the opening node or the closing node of the circuit breaker protection device is closed, if the detected current value is 0, the fault hidden danger that the total opening or closing time of the protection device is short is judged to exist in the control loop.
According to the embodiment, the voltage sampling signals are analyzed through the single chip microcomputer, the loop impedance is detected under the operation state of the control loop, the specific condition of faults caused by poor contact can be judged according to information carried by the voltage sampling signals at different acquisition moments, and the operation and maintenance personnel can maintain and repair the voltage sampling signals according to the specific condition.
The sequence numbers in the above embodiments are merely for description, and do not represent the sequence of the assembly or the use of the components.
The above description is only exemplary of the present invention and should not be taken as limiting the invention, as any modification, equivalent replacement, or improvement made within the spirit and principle of the present invention should be included in the protection scope of the present invention.

Claims (10)

Translated fromChinese
1.基于高压断路器控制回路阻抗的故障分析方法,其特征在于,所述故障分析方法包括:1. The fault analysis method based on the control loop impedance of the high-voltage circuit breaker, is characterized in that, the fault analysis method comprises:在操作箱出口处将操作箱与高压断路器线圈之间的电缆穿过霍尔电流传感器,生成电压采样信号;Pass the cable between the operation box and the high-voltage circuit breaker coil through the Hall current sensor at the outlet of the operation box to generate a voltage sampling signal;判断控制回路是否接通,若接通则通过启动模块向单片机发送触发信号;Determine whether the control loop is connected, if it is connected, send a trigger signal to the single-chip microcomputer through the startup module;当单片机接收到触发信号时,基于预设间隔获取电压采样信号,根据电压采样信号计算电缆电流,结合控制回路两端的电压差计算控制回路阻抗的测量值;When the single-chip microcomputer receives the trigger signal, it obtains the voltage sampling signal based on the preset interval, calculates the cable current according to the voltage sampling signal, and calculates the measured value of the control loop impedance in combination with the voltage difference between the two ends of the control loop;计算测量值与预设标准阻抗的相对误差,通过比较相对误差与预设阈值以及比较相邻两次采样的相对误差,判断控制回路是否存在接触不良以及电缆连接松动的故障。Calculate the relative error between the measured value and the preset standard impedance. By comparing the relative error with the preset threshold and comparing the relative error of two adjacent samples, it is determined whether the control loop has poor contact and loose cable connections.2.根据权利要求1所述的基于高压断路器控制回路阻抗的故障分析方法,其特征在于,所述在操作箱出口处将操作箱与高压断路器线圈之间的电缆穿过霍尔电流传感器,生成电压采样信号,包括:2. The fault analysis method based on the control loop impedance of the high-voltage circuit breaker according to claim 1, wherein the cable between the operation box and the coil of the high-voltage circuit breaker is passed through the Hall current sensor at the outlet of the operation box , generate a voltage sampling signal, including:通过霍尔电流传感器感应流过电缆的电流所产生的变化磁场;The changing magnetic field generated by sensing the current flowing through the cable through the Hall current sensor;根据变化磁场产生霍尔电动势,将霍尔电动势经放大后作为电压采样信号发送至单片机。The Hall electromotive force is generated according to the changing magnetic field, and the Hall electromotive force is amplified and sent to the microcontroller as a voltage sampling signal.3.根据权利要求1所述的基于高压断路器控制回路阻抗的故障分析方法,其特征在于,所述判断控制回路是否接通,若接通则通过启动模块向单片机发送触发信号,包括:3. The fault analysis method based on high-voltage circuit breaker control loop impedance according to claim 1, wherein the judgment control loop is turned on, if turned on, a trigger signal is sent to the single-chip microcomputer through the startup module, comprising:通过启动模块获取保护装置与操作箱之间电缆流过的电流值,当所述电流值超过预设阈值时,判定控制回路接通。The current value flowing through the cable between the protection device and the operation box is obtained through the starting module, and when the current value exceeds the preset threshold, it is determined that the control loop is turned on.4.根据权利要求1所述的基于高压断路器控制回路阻抗的故障分析方法,其特征在于,所述当单片机接收到触发信号时,基于预设间隔获取电压采样信号,根据电压采样信号计算电缆电流,结合控制回路两端的电压差计算控制回路阻抗的测量值,包括:4 . The fault analysis method based on the control loop impedance of a high-voltage circuit breaker according to claim 1 , wherein when the single-chip microcomputer receives a trigger signal, it obtains a voltage sampling signal based on a preset interval, and calculates the cable according to the voltage sampling signal. 5 . current, combined with the voltage difference across the control loop to calculate a measure of the control loop impedance, including:通过拨码开关设置控制回路两端的电压差;Set the voltage difference across the control loop through the DIP switch;基于预设间隔获取电压采样信号,当获取的电压采样信号的数量达到预设值时,计算电压采样信号的平均值;Obtain the voltage sampling signals based on the preset interval, and calculate the average value of the voltage sampling signals when the number of the obtained voltage sampling signals reaches the preset value;结合电压采样信号的平均值以及霍尔电流传感器的输出电压采样信号与电流的对应关系,解算出流过电缆的电流;Combined with the average value of the voltage sampling signal and the corresponding relationship between the output voltage sampling signal of the Hall current sensor and the current, the current flowing through the cable is calculated;将控制回路两端的电压差与电缆电流相除,得到控制回路阻抗的测量值。Divide the voltage difference across the control loop by the cable current to obtain a measure of the control loop impedance.5.根据权利要求1所述的基于高压断路器控制回路阻抗的故障分析方法,其特征在于,所述计算测量值与预设标准阻抗的相对误差,通过比较相对误差与预设阈值以及比较相邻两次采样的相对误差,判断控制回路是否存在接触不良以及电缆连接松动的故障,包括:5 . The fault analysis method based on the control loop impedance of a high-voltage circuit breaker according to claim 1 , wherein the calculation of the relative error between the measured value and the preset standard impedance is performed by comparing the relative error with a preset threshold and comparing the relative error. 6 . The relative error of the adjacent two samplings is used to judge whether the control loop has poor contact and loose cable connections, including:计算测量值与预设标准阻抗的相对误差,若相对误差超过预设阈值时,判断控制回路存在接触不良现象。The relative error between the measured value and the preset standard impedance is calculated, and if the relative error exceeds the preset threshold, it is determined that the control loop has poor contact.6.根据权利要求1所述的基于高压断路器控制回路阻抗的故障分析方法,其特征在于,所述计算测量值与预设标准阻抗的相对误差,通过比较相对误差与预设阈值以及比较相邻两次采样的相对误差,判断控制回路是否存在接触不良以及电缆连接松动的故障,还包括:6 . The fault analysis method based on the control loop impedance of a high-voltage circuit breaker according to claim 1 , wherein the calculation of the relative error between the measured value and the preset standard impedance is performed by comparing the relative error with a preset threshold and comparing the relative error. 7 . The relative error of the adjacent two samplings is used to judge whether the control loop has poor contact and loose cable connections, including:比较相邻两次计算出的相对误差,若后一次相对误差比前一次相对误差大,且两个相对误差的差值与前一次相对误差的比例超过预设比例,判定控制回路中的电缆连接松动。Compare the relative errors calculated in two consecutive times. If the relative error of the latter time is larger than the relative error of the previous time, and the ratio of the difference between the two relative errors to the previous relative error exceeds the preset ratio, determine the cable connection in the control loop. loose.7.基于高压断路器控制回路阻抗的故障分析装置,其特征在于,所述故障分析装置,包括:7. The fault analysis device based on the control loop impedance of the high-voltage circuit breaker, wherein the fault analysis device comprises:采集单元:用于在操作箱出口处将操作箱与高压断路器线圈之间的电缆穿过霍尔电流传感器,生成电压采样信号;Acquisition unit: used to pass the cable between the operation box and the coil of the high-voltage circuit breaker through the Hall current sensor at the outlet of the operation box to generate a voltage sampling signal;触发单元:用于判断控制回路是否接通,若接通则通过启动模块向单片机发送触发信号;Trigger unit: used to judge whether the control loop is connected, if it is connected, it will send a trigger signal to the single-chip microcomputer through the startup module;计算单元:用于当单片机接收到触发信号时,基于预设间隔获取电压采样信号,根据电压采样信号计算电缆电流,结合控制回路两端的电压差计算控制回路阻抗的测量值;Calculation unit: used to obtain a voltage sampling signal based on a preset interval when the single-chip microcomputer receives a trigger signal, calculate the cable current according to the voltage sampling signal, and calculate the measured value of the control loop impedance in combination with the voltage difference between the two ends of the control loop;分析单元:用于计算测量值与预设标准阻抗的相对误差,通过比较相对误差与预设阈值以及比较相邻两次采样的相对误差,判断控制回路是否存在接触不良以及电缆连接松动的故障。Analysis unit: It is used to calculate the relative error between the measured value and the preset standard impedance. By comparing the relative error with the preset threshold and comparing the relative error of two adjacent samples, it is used to determine whether the control loop has poor contact and loose cable connections.8.根据权利要求7所述的基于高压断路器控制回路阻抗的故障分析装置,其特征在于,所述计算单元具体用于:8. The fault analysis device based on the control loop impedance of a high-voltage circuit breaker according to claim 7, wherein the calculation unit is specifically used for:通过拨码开关设置控制回路两端的电压差;Set the voltage difference across the control loop through the DIP switch;基于预设间隔获取电压采样信号,当获取的电压采样信号的数量达到预设值时,计算电压采样信号的平均值;Obtain the voltage sampling signals based on the preset interval, and calculate the average value of the voltage sampling signals when the number of the obtained voltage sampling signals reaches the preset value;结合电压采样信号的平均值以及霍尔电流传感器的输出电压采样信号与电流的对应关系,解算出电缆电流;Combined with the average value of the voltage sampling signal and the corresponding relationship between the output voltage sampling signal and the current of the Hall current sensor, the cable current is calculated;将控制回路两端的电压差与电缆电流相除,得到控制回路阻抗的测量值。Divide the voltage difference across the control loop by the cable current to obtain a measure of the control loop impedance.9.根据权利要求7所述的基于高压断路器控制回路阻抗的故障分析装置,其特征在于,所述分析单元具体用于:9. The fault analysis device based on the control loop impedance of a high-voltage circuit breaker according to claim 7, wherein the analysis unit is specifically used for:计算测量值与预设标准阻抗的相对误差,若相对误差超过预设阈值时,判断控制回路存在接触不良现象。The relative error between the measured value and the preset standard impedance is calculated, and if the relative error exceeds the preset threshold, it is determined that the control loop has poor contact.10.根据权利要求7所述的基于高压断路器控制回路阻抗的故障分析装置,其特征在于,所述分析单元还具体用于:10. The fault analysis device based on the control loop impedance of a high-voltage circuit breaker according to claim 7, wherein the analysis unit is further specifically used for:比较相邻两次计算出的相对误差,若后一次相对误差比前一次相对误差大,且两个相对误差的差值与前一次相对误差的比例超过预设比例,判定控制回路中的电缆连接松动。Compare the relative errors calculated in two consecutive times. If the relative error of the latter time is larger than the relative error of the previous time, and the ratio of the difference between the two relative errors to the previous relative error exceeds the preset ratio, determine the cable connection in the control loop. loose.
CN202110377581.0A2021-04-082021-04-08Fault analysis method and device based on high-voltage circuit breaker control loop impedancePendingCN113295991A (en)

Priority Applications (1)

Application NumberPriority DateFiling DateTitle
CN202110377581.0ACN113295991A (en)2021-04-082021-04-08Fault analysis method and device based on high-voltage circuit breaker control loop impedance

Applications Claiming Priority (1)

Application NumberPriority DateFiling DateTitle
CN202110377581.0ACN113295991A (en)2021-04-082021-04-08Fault analysis method and device based on high-voltage circuit breaker control loop impedance

Publications (1)

Publication NumberPublication Date
CN113295991Atrue CN113295991A (en)2021-08-24

Family

ID=77319438

Family Applications (1)

Application NumberTitlePriority DateFiling Date
CN202110377581.0APendingCN113295991A (en)2021-04-082021-04-08Fault analysis method and device based on high-voltage circuit breaker control loop impedance

Country Status (1)

CountryLink
CN (1)CN113295991A (en)

Cited By (5)

* Cited by examiner, † Cited by third party
Publication numberPriority datePublication dateAssigneeTitle
CN113533855A (en)*2021-06-302021-10-22欣旺达电动汽车电池有限公司Analysis method and analysis system for power conversion cabinet, electronic device and storage medium
CN114063523A (en)*2021-11-172022-02-18广西电网有限责任公司崇左供电局Tripping and closing loop collector
CN115542008A (en)*2022-11-012022-12-30国网四川省电力公司电力科学研究院Method and system for monitoring abnormity of loop resistor of GIS (gas insulated switchgear)
DE102022214310A1 (en)2022-12-222024-06-27Robert Bosch Gesellschaft mit beschränkter Haftung Circuit arrangement, electrical energy storage device and device
CN119471267A (en)*2025-01-102025-02-18宁德时代新能源科技股份有限公司 Insulation withstand voltage detection circuit, insulation withstand voltage measurement system and measurement equipment

Citations (11)

* Cited by examiner, † Cited by third party
Publication numberPriority datePublication dateAssigneeTitle
KR19980043621U (en)*1996-12-261998-09-25김종진 Relaxation heat monitoring device for breaker and terminal connection
KR200314282Y1 (en)*2003-03-042003-05-23주식회사 대동기술단A Cable Connect Box For Electric Cabl
CN201335870Y (en)*2008-12-102009-10-28河南电力试验研究院DC circuit fault detection system
KR101037767B1 (en)*2011-04-212011-05-27대동전자(주) Image forming prediction device using change of contact resistance of breaker contact point in live state
CN206195330U (en)*2016-10-122017-05-24贵州电网有限责任公司贵阳供电局Protection of intelligence breaker control circuit and monitoring devices
CN109839539A (en)*2017-11-272019-06-04云南电网有限责任公司瑞丽供电局A kind of dynamic resistance of high-voltage circuit breaker measurement method
CN111157841A (en)*2019-12-252020-05-15国网浙江省电力有限公司台州供电公司Fault quick positioning device for secondary circuit of electric operation type isolating switch
CN111751622A (en)*2020-05-142020-10-09广西电网有限责任公司电力科学研究院 Method and system for measuring circuit resistance of circuit breaker
CN111880007A (en)*2020-05-142020-11-03广西电网有限责任公司电力科学研究院Method and system for judging circuit breaker loop resistance qualification
CN112485664A (en)*2020-11-272021-03-12国网宁夏电力有限公司电力科学研究院High-voltage circuit breaker diagnosis system and method, electronic terminal and storage medium
CN112611940A (en)*2020-12-102021-04-06国网辽宁省电力有限公司丹东供电公司Power distribution cabinet cable joint loosening early warning method based on real-time data acquisition

Patent Citations (11)

* Cited by examiner, † Cited by third party
Publication numberPriority datePublication dateAssigneeTitle
KR19980043621U (en)*1996-12-261998-09-25김종진 Relaxation heat monitoring device for breaker and terminal connection
KR200314282Y1 (en)*2003-03-042003-05-23주식회사 대동기술단A Cable Connect Box For Electric Cabl
CN201335870Y (en)*2008-12-102009-10-28河南电力试验研究院DC circuit fault detection system
KR101037767B1 (en)*2011-04-212011-05-27대동전자(주) Image forming prediction device using change of contact resistance of breaker contact point in live state
CN206195330U (en)*2016-10-122017-05-24贵州电网有限责任公司贵阳供电局Protection of intelligence breaker control circuit and monitoring devices
CN109839539A (en)*2017-11-272019-06-04云南电网有限责任公司瑞丽供电局A kind of dynamic resistance of high-voltage circuit breaker measurement method
CN111157841A (en)*2019-12-252020-05-15国网浙江省电力有限公司台州供电公司Fault quick positioning device for secondary circuit of electric operation type isolating switch
CN111751622A (en)*2020-05-142020-10-09广西电网有限责任公司电力科学研究院 Method and system for measuring circuit resistance of circuit breaker
CN111880007A (en)*2020-05-142020-11-03广西电网有限责任公司电力科学研究院Method and system for judging circuit breaker loop resistance qualification
CN112485664A (en)*2020-11-272021-03-12国网宁夏电力有限公司电力科学研究院High-voltage circuit breaker diagnosis system and method, electronic terminal and storage medium
CN112611940A (en)*2020-12-102021-04-06国网辽宁省电力有限公司丹东供电公司Power distribution cabinet cable joint loosening early warning method based on real-time data acquisition

Cited By (6)

* Cited by examiner, † Cited by third party
Publication numberPriority datePublication dateAssigneeTitle
CN113533855A (en)*2021-06-302021-10-22欣旺达电动汽车电池有限公司Analysis method and analysis system for power conversion cabinet, electronic device and storage medium
CN113533855B (en)*2021-06-302024-02-13欣旺达动力科技股份有限公司Analysis method and system for battery-changing cabinet, electronic equipment and storage medium
CN114063523A (en)*2021-11-172022-02-18广西电网有限责任公司崇左供电局Tripping and closing loop collector
CN115542008A (en)*2022-11-012022-12-30国网四川省电力公司电力科学研究院Method and system for monitoring abnormity of loop resistor of GIS (gas insulated switchgear)
DE102022214310A1 (en)2022-12-222024-06-27Robert Bosch Gesellschaft mit beschränkter Haftung Circuit arrangement, electrical energy storage device and device
CN119471267A (en)*2025-01-102025-02-18宁德时代新能源科技股份有限公司 Insulation withstand voltage detection circuit, insulation withstand voltage measurement system and measurement equipment

Similar Documents

PublicationPublication DateTitle
CN113295991A (en)Fault analysis method and device based on high-voltage circuit breaker control loop impedance
EP2827155B1 (en)Analytical gateway device for measurement devices
US4181842A (en)D.C. monitoring circuit
CN116500487B (en)Fault detection system and method for switching power supply, terminal equipment and medium
CN209132334U (en)A kind of vacuum circuit breaker divide-shut brake coil direct current resistance m easurem ent device
CN109307839B (en) Circuit for Testing Contact Voltage Drop During the Electrical Life Experiment of AC Appliances
CN211785953U (en)Low-voltage circuit breaker three-phase contact life detection system
KR20190027905A (en) Diagnostic system for vehicle electrical system with DC-DC voltage converter and voltage regulator
CN209088518U (en)A kind of hardware Over Current Protection System for bidirectional current output
KR20210125314A (en)Compact type fault recorder
CN110703117A (en) A portable battery performance testing device
CN215894853U (en)A contact failure analytical equipment for high voltage circuit breaker control circuit
CN108519571B (en)Method and device for offset correction of Hall current sensor of welding machine
CN109991563B (en)Current transformer disconnection detection method and measurement device
CN216485243U (en)Frequency detection device and electrical equipment
CN213275769U (en)Novel low-voltage loop resistance tester
CN213633620U (en)Loop resistance tester
JP4488888B2 (en) Measuring method, measuring device and circuit breaker
JP2003202357A (en) Insulation monitoring method and device
RU2313799C1 (en)Mode of controlling reduction of resistance of insulation in a line of feeding voltage to a load and an arrangement for its execution
CN212540524U (en)Current measurement circuit and equipment applying same
CN114325078A (en)Current detection method, system, device, solid-state circuit breaker and readable storage medium
CN109164338B (en)High-power medium-voltage direct-current dry-type load device with online monitoring function
JPH0387672A (en) Contact diagnostic device
CN214845641U (en)Online measuring device for contact voltage drop of low-voltage electrical appliance

Legal Events

DateCodeTitleDescription
PB01Publication
PB01Publication
SE01Entry into force of request for substantive examination
SE01Entry into force of request for substantive examination

[8]ページ先頭

©2009-2025 Movatter.jp