





技术领域technical field
本申请涉及通信技术领域,特别是涉及一种5G网络下的授时方法、装置、用户设备及通信系统。The present application relates to the field of communication technologies, and in particular, to a timing method, device, user equipment and communication system under a 5G network.
背景技术Background technique
授时一般是指将协调世界时(Coordinated Universal Time,UTC)的信息传送给用户设备,以使该用户设备的本地时间与UTC保持一致。相关技术中,通常是由基站向用户设备发送携带有时间信息的信号,来实现对用户设备的授时,但由于信号从基站发送至用户设备的过程中存在路径时延,因此,在用户设备接收到该信号携带的时间信息时,当前UTC可能已发生变化,导致用户设备的本地时间与UTC之间存在时间差。Timing generally refers to transmitting coordinated universal time (Coordinated Universal Time, UTC) information to a user equipment, so that the local time of the user equipment is consistent with UTC. In the related art, the base station usually sends a signal carrying time information to the user equipment to realize the timing of the user equipment. When the time information carried by the signal is reached, the current UTC may have changed, resulting in a time difference between the local time of the user equipment and the UTC.
随着移动通信网络的发展,各项网络服务对于网络中的用户设备的时间精度的要求越来越高,例如,现阶段的相关研究对于5G网络下的授时时间精度的期望为:基站端与用户设备端之间的时间差在±130ns之间。因此,如何提高5G网络下的授时时间精度是本领域亟需解决的技术问题。With the development of mobile communication networks, various network services have higher and higher requirements on the time accuracy of user equipment in the network. For example, the current research on the timing accuracy of 5G networks is expected to be: the base station and the The time difference between user equipment ends is between ±130ns. Therefore, how to improve the timing accuracy under the 5G network is a technical problem that needs to be solved urgently in this field.
发明内容SUMMARY OF THE INVENTION
本申请实施例的目的在于提供一种5G网络下的授时方法、装置、用户设备及通信系统,以实现提高5G网络下的授时时间精度。具体技术方案如下:The purpose of the embodiments of the present application is to provide a timing method, device, user equipment, and communication system under a 5G network, so as to improve the timing accuracy under a 5G network. The specific technical solutions are as follows:
本申请实施例的第一方面提供了一种5G网络下的授时方法,应用于用户设备,所述方法包括:A first aspect of the embodiments of the present application provides a timing method under a 5G network, which is applied to user equipment, and the method includes:
接收多个基站分别发送的到达时间差定位信号、以及所述多个基站中指定基站发送的时间信息和地理位置信息,并利用预设的路径时延测量技术,测量与所述指定基站之间的第一传输路径时延;Receive time difference of arrival positioning signals sent by multiple base stations respectively, and time information and geographic location information sent by a designated base station among the multiple base stations, and use a preset path delay measurement technology to measure the distance between the designated base station and the base station. the first transmission path delay;
根据所述多个基站中任两个基站的到达时间差定位信号,计算所述任两个基站的到达时间差;Calculate the time difference of arrival of any two base stations according to the positioning signal of the time difference of arrival of any two base stations in the plurality of base stations;
根据所述多个基站中两两基站的到达时间差,确定所述用户设备的地理位置信息;Determine the geographic location information of the user equipment according to the arrival time difference between two base stations in the plurality of base stations;
根据所述用户设备的地理位置信息及所述指定基站的地理位置信息,计算所述用户设备与所述指定基站间的距离,并根据所述距离,计算与所述指定基站之间的第二传输路径时延;Calculate the distance between the user equipment and the designated base station according to the geographical position information of the user equipment and the geographical position information of the designated base station, and calculate the second distance between the user equipment and the designated base station according to the distance transmission path delay;
根据所述第一传输路径时延及所述第二传输路径时延,计算与所述指定基站之间的实际传输路径时延;Calculate the actual transmission path delay with the designated base station according to the first transmission path delay and the second transmission path delay;
根据所述时间信息及所述实际传输路径时延,计算授时时间。The timing time is calculated according to the time information and the actual transmission path delay.
在本申请的一些实施例中,在所述根据所述多个基站中两两基站的到达时间差,确定所述用户设备的地理位置信息的步骤之前,所述方法还包括:In some embodiments of the present application, before the step of determining the geographic location information of the user equipment according to the arrival time difference between two base stations in the plurality of base stations, the method further includes:
将所述多个基站中两两基站的到达时间差依次输入预设的滤波器,得到滤波后的两两基站的到达时间差。The arrival time difference of each pair of base stations among the plurality of base stations is sequentially input into a preset filter, and the filtered arrival time difference of each pair of base stations is obtained.
在本申请的一些实施例中,在所述根据所述用户设备的地理位置信息及所述指定基站的地理位置信息,计算所述用户设备与所述指定基站间的距离,并根据所述距离,计算与所述指定基站之间的第二传输路径时延的步骤之前,所述方法还包括:In some embodiments of the present application, when the distance between the user equipment and the designated base station is calculated according to the geographic location information of the user equipment and the geographic location information of the designated base station, and the distance is calculated according to the distance , before the step of calculating the second transmission path delay with the designated base station, the method further includes:
获取传感器测量得到的所述用户设备的运动信息;acquiring the motion information of the user equipment measured by the sensor;
将所述用户设备的地理位置信息和运动信息输入预设的滤波器,得到滤波后的所述用户设备的地理位置信息。The geographic location information and motion information of the user equipment are input into a preset filter to obtain the filtered geographic location information of the user equipment.
在本申请的一些实施例中,所述根据所述第一传输路径时延及所述第二传输路径时延,计算与所述指定基站之间的实际传输路径时延的步骤,包括:In some embodiments of the present application, the step of calculating the actual transmission path delay with the designated base station according to the first transmission path delay and the second transmission path delay includes:
计算所述第一传输路径时延和所述第二传输路径时延之间的差值;calculating the difference between the first transmission path delay and the second transmission path delay;
若所述差值的绝对值不大于预设阈值,则计算所述第一传输路径时延与所述第二传输路径时延的平均值作为与所述指定基站之间的实际传输路径时延,并设置所述用户设备的状态为第一状态;If the absolute value of the difference is not greater than a preset threshold, calculate the average value of the first transmission path delay and the second transmission path delay as the actual transmission path delay with the designated base station , and set the state of the user equipment to the first state;
若所述差值的绝对值大于所述预设阈值,且所述用户设备的状态为所述第一状态,则确定所述第二传输路径时延作为与所述指定基站之间的实际传输路径时延,并设置所述用户设备的状态为第二状态;If the absolute value of the difference is greater than the preset threshold, and the state of the user equipment is the first state, the second transmission path delay is determined as the actual transmission with the designated base station Path delay, and set the state of the user equipment to the second state;
若所述差值的绝对值大于所述预设阈值,且所述用户设备的状态为所述第二状态,则计算所述第一传输路径时延与所述第二传输路径时延的平均值作为与所述指定基站之间的实际传输路径时延,并设置所述用户设备的状态为第三状态;If the absolute value of the difference is greater than the preset threshold, and the state of the user equipment is the second state, calculate the average of the first transmission path delay and the second transmission path delay The value is used as the actual transmission path delay with the designated base station, and the state of the user equipment is set to the third state;
若所述差值的绝对值大于所述预设阈值,且所述用户设备的状态为所述第三状态,则确定所述第一传输路径时延作为与所述指定基站之间的实际传输路径时延。If the absolute value of the difference is greater than the preset threshold, and the state of the user equipment is the third state, the first transmission path delay is determined as the actual transmission with the designated base station path delay.
在本申请的一些实施例中,所述根据所述多个基站中两两基站的到达时间差,确定所述用户设备的地理位置信息的步骤,包括:In some embodiments of the present application, the step of determining the geographic location information of the user equipment according to the arrival time difference between two base stations in the plurality of base stations includes:
接收所述多个基站分别发送的各基站的地理位置信息;receiving the geographic location information of each base station sent by the multiple base stations respectively;
根据所述多个基站中两两基站的到达时间差,计算所述两两基站与所述用户设备之间的距离差;Calculate the distance difference between the two base stations and the user equipment according to the arrival time difference between the two base stations in the plurality of base stations;
根据所述两两基站与所述用户设备之间的距离差以及所述各基站的地理位置信息,构建距离方程组;According to the distance difference between the two base stations and the user equipment and the geographic location information of each base station, construct a distance equation group;
利用所述距离方程组,计算得到多个位置点的位置信息;Using the distance equation system, the position information of a plurality of position points is obtained by calculation;
根据所述多个位置点的位置信息,计算所述多个位置点构成图形的中心点的位置信息,将所述中心点的位置信息作为所述用户设备的地理位置信息。According to the location information of the multiple location points, the location information of the center point of the graph formed by the multiple location points is calculated, and the location information of the center point is used as the geographic location information of the user equipment.
本申请实施例的第二方面提供了一种5G网络下的授时装置,应用于用户设备,所述装置包括:A second aspect of the embodiments of the present application provides a timing device under a 5G network, which is applied to user equipment, and the device includes:
接收模块,用于接收多个基站分别发送的到达时间差定位信号、以及所述多个基站中指定基站发送的时间信息和地理位置信息,并利用预设的路径时延测量技术,测量与所述指定基站之间的第一传输路径时延;The receiving module is configured to receive time difference of arrival positioning signals sent by multiple base stations respectively, and time information and geographic location information sent by a designated base station among the multiple base stations, and use a preset path delay measurement technology to measure and the said multiple base station. specifying the first transmission path delay between base stations;
第一计算模块,用于根据所述多个基站中任两个基站的到达时间差定位信号,计算所述任两个基站的到达时间差;a first calculation module, configured to calculate the time difference of arrival of any two base stations according to the positioning signal of the time difference of arrival of any two base stations in the plurality of base stations;
定位模块,用于根据所述多个基站中两两基站的到达时间差,确定所述用户设备的地理位置信息;a positioning module, configured to determine the geographic location information of the user equipment according to the arrival time difference between two base stations in the plurality of base stations;
第二计算模块,用于根据所述用户设备的地理位置信息及所述指定基站的地理位置信息,计算所述用户设备与所述指定基站间的距离,并根据所述距离,计算与所述指定基站之间的第二传输路径时延;The second calculation module is configured to calculate the distance between the user equipment and the designated base station according to the geographical position information of the user equipment and the geographical position information of the designated base station, and calculate the distance between the user equipment and the designated base station according to the distance. specifying the second transmission path delay between base stations;
第三计算模块,用于根据所述第一传输路径时延及所述第二传输路径时延,计算与所述指定基站之间的实际传输路径时延;a third calculation module, configured to calculate the actual transmission path delay with the designated base station according to the first transmission path delay and the second transmission path delay;
第四计算模块,用于根据所述时间信息及所述实际传输路径时延,计算授时时间。The fourth calculation module is configured to calculate the timing time according to the time information and the actual transmission path delay.
在本申请的一些实施例中,所述装置还包括:In some embodiments of the present application, the apparatus further includes:
第一滤波模块,用于将所述多个基站中两两基站的到达时间差依次输入预设的滤波器,得到滤波后的两两基站的到达时间差;a first filtering module, configured to sequentially input the arrival time difference between the base stations in the plurality of base stations into a preset filter to obtain the filtered arrival time difference between the base stations;
第二滤波模块,用于获取传感器测量得到的所述用户设备的运动信息;将所述用户设备的地理位置信息和运动信息输入预设的滤波器,得到滤波后的所述用户设备的地理位置信息。The second filtering module is configured to obtain the motion information of the user equipment measured by the sensor; input the geographic location information and motion information of the user equipment into a preset filter to obtain the filtered geographic location of the user equipment information.
本申请实施例的第三方面提供了一种用户设备,包括处理器、通信接口、存储器和通信总线,其中,处理器,通信接口,存储器通过通信总线完成相互间的通信;A third aspect of the embodiments of the present application provides a user equipment, including a processor, a communication interface, a memory, and a communication bus, wherein the processor, the communication interface, and the memory communicate with each other through the communication bus;
存储器,用于存放计算机程序;memory for storing computer programs;
处理器,用于执行存储器上所存放的程序时,实现本申请实施例的第一方面所述的方法步骤。The processor is configured to implement the method steps described in the first aspect of the embodiments of the present application when executing the program stored in the memory.
本申请实施例的第四方面提供了一种计算机可读存储介质,所述计算机可读存储介质内存储有计算机程序,所述计算机程序被处理器执行时实现本申请实施例的第一方面所述的方法步骤。A fourth aspect of the embodiments of the present application provides a computer-readable storage medium, where a computer program is stored in the computer-readable storage medium, and when the computer program is executed by a processor, the computer program is executed to realize the results of the first aspect of the embodiments of the present application. described method steps.
本申请实施例的第五方面提供了一种通信系统,包括多个基站和用户设备,其中,A fifth aspect of the embodiments of the present application provides a communication system, including multiple base stations and user equipment, wherein,
所述多个基站中的每个基站,用于发送到达时间差定位信号;Each base station in the plurality of base stations is used to send a time difference of arrival positioning signal;
所述多个基站中的指定基站,用于发送时间信号和地理位置信息;a designated base station in the plurality of base stations for sending time signals and geographic location information;
所述用户设备,用于接收所述多个基站分别发送的到达时间差定位信号、以及所述多个基站中指定基站发送的时间信息和地理位置信息,并利用预设的路径时延测量技术,测量与所述指定基站之间的第一传输路径时延;根据所述多个基站中任两个基站的到达时间差定位信号,计算所述任两个基站的到达时间差;根据所述多个基站中两两基站的到达时间差,确定所述用户设备的地理位置信息;根据所述用户设备的地理位置信息及所述指定基站的地理位置信息,计算所述用户设备与所述指定基站间的距离,并根据所述距离,计算与所述指定基站之间的第二传输路径时延;根据所述第一传输路径时延及所述第二传输路径时延,计算与所述指定基站之间的实际传输路径时延;根据所述时间信息及所述实际传输路径时延,计算授时时间。The user equipment is configured to receive time difference of arrival positioning signals respectively sent by the multiple base stations, and time information and geographic location information sent by a designated base station among the multiple base stations, and use a preset path delay measurement technology, Measure the delay of the first transmission path with the designated base station; calculate the arrival time difference of any two base stations according to the positioning signal of the arrival time difference of any two base stations in the multiple base stations; according to the multiple base stations The arrival time difference between the two base stations is determined, and the geographic location information of the user equipment is determined; according to the geographic location information of the user equipment and the geographic location information of the designated base station, the distance between the user equipment and the designated base station is calculated. , and according to the distance, calculate the second transmission path delay with the designated base station; according to the first transmission path delay and the second transmission path delay, calculate the distance between the designated base station and the The actual transmission path delay; according to the time information and the actual transmission path delay, the timing time is calculated.
本申请实施例提供的一种5G网络下的授时方法,应用于用户设备,通过接收多个基站分别发送的到达时间差定位信号、以及多个基站中指定基站发送的时间信息和地理位置信息,并利用预设的路径时延测量技术,测量与指定基站之间的第一传输路径时延;根据多个基站中任两个基站的到达时间差定位信号,计算任两个基站的到达时间差;根据多个基站中两两基站的到达时间差,确定用户设备的地理位置信息;根据用户设备的地理位置信息及指定基站的地理位置信息,计算用户设备与指定基站间的距离,并根据该距离,计算与指定基站之间的第二传输路径时延;根据第一传输路径时延及第二传输路径时延,计算与指定基站之间的实际传输路径时延;根据时间信息及实际传输路径时延,计算授时时间。本方案中,把通过定位计算得到的第二传输路径时延与利用预设的路径时延测量技术测量得到的第一传输路径时延结合起来,使最终得到的用户设备与指定基站之间的实际传输路径时延更准确,从而提高对指定基站发送的时间信息进行路径时延补偿的效果,以此实现提高5G网络下的授时时间精度。A timing method under a 5G network provided by an embodiment of the present application is applied to a user equipment, and receives time difference of arrival positioning signals respectively sent by multiple base stations, and time information and geographic location information sent by a designated base station in the multiple base stations. Use the preset path delay measurement technology to measure the first transmission path delay with the designated base station; calculate the arrival time difference of any two base stations according to the arrival time difference positioning signal of any two base stations among the multiple base stations; The difference between the arrival times of two base stations in each base station determines the geographic location information of the user equipment; according to the geographic location information of the user equipment and the geographic location information of the designated base station, the distance between the user equipment and the designated base station is calculated, and according to the distance, the distance between the user equipment and the designated base station is calculated. Specify the second transmission path delay between base stations; calculate the actual transmission path delay with the designated base station according to the first transmission path delay and the second transmission path delay; according to the time information and the actual transmission path delay, Calculate timing. In this solution, the second transmission path delay obtained through positioning calculation is combined with the first transmission path delay measured by using the preset path delay measurement technology, so that the finally obtained delay between the user equipment and the designated base station is achieved. The actual transmission path delay is more accurate, thereby improving the effect of path delay compensation for the time information sent by the designated base station, so as to improve the timing accuracy under the 5G network.
当然,实施本申请的任一产品或方法并不一定需要同时达到以上所述的所有优点。Of course, implementing any product or method of the present application does not necessarily require achieving all of the advantages described above at the same time.
附图说明Description of drawings
为了更清楚地说明本申请实施例或现有技术中的技术方案,下面将对实施例或现有技术描述中所需要使用的附图作简单地介绍,显而易见地,下面描述中的附图仅仅是本申请的一些实施例,对于本领域普通技术人员来讲,在不付出创造性劳动的前提下,还可以根据这些附图获得其他的实施例。In order to more clearly illustrate the embodiments of the present application or the technical solutions in the prior art, the following briefly introduces the accompanying drawings required for the description of the embodiments or the prior art. Obviously, the drawings in the following description are only These are some embodiments of the present application. For those of ordinary skill in the art, other embodiments can also be obtained according to these drawings without creative efforts.
图1为本申请实施例提供的一种5G网络下的授时方法的流程示意图;FIG. 1 is a schematic flowchart of a timing method under a 5G network provided by an embodiment of the present application;
图2为本申请实施例提供的5G网络下的授时方法的一种具体流程示意图;FIG. 2 is a specific schematic flowchart of a timing method under a 5G network provided by an embodiment of the present application;
图3为本申请实施例提供的一种5G网络下的授时方法的应用场景示意图;3 is a schematic diagram of an application scenario of a timing method under a 5G network provided by an embodiment of the present application;
图4为本申请实施例提供的一种5G网络下的授时装置的结构示意图;FIG. 4 is a schematic structural diagram of a timing device under a 5G network provided by an embodiment of the present application;
图5为本申请实施例提供的一种用户设备的结构示意图;FIG. 5 is a schematic structural diagram of a user equipment according to an embodiment of the present application;
图6为本申请实施例提供的一种通信系统的结构示意图。FIG. 6 is a schematic structural diagram of a communication system provided by an embodiment of the present application.
具体实施方式Detailed ways
下面将结合本申请实施例中的附图,对本申请实施例中的技术方案进行清楚、完整地描述,显然,所描述的实施例仅仅是本申请一部分实施例,而不是全部的实施例。基于本申请中的实施例,本领域普通技术人员基于本申请所获得的所有其他实施例,都属于本申请保护的范围。The technical solutions in the embodiments of the present application will be clearly and completely described below with reference to the drawings in the embodiments of the present application. Obviously, the described embodiments are only a part of the embodiments of the present application, but not all of the embodiments. Based on the embodiments in the present application, all other embodiments obtained by those of ordinary skill in the art based on the present application fall within the protection scope of the present application.
随着5G网络的发展,与之相伴崛起的物联网(Internet of Things,IoT)对其网络中的用户设备的时间精度的要求越来越高,然而,5G网络下的授时技术目前尚未成熟,如何应用现有的授时技术,结合5G网络本身的特点,对5G网络下的授时技术进行优化,成为本领域的研究重点。With the development of the 5G network, the Internet of Things (IoT), which rises along with it, has higher and higher requirements on the time accuracy of the user equipment in the network. However, the timing technology under the 5G network is not yet mature. How to apply the existing timing technology and combine the characteristics of the 5G network to optimize the timing technology under the 5G network has become the focus of research in this field.
5G网络中存在一些携带有时间信息的信号量,比如系统时间块(SystemInformation Block,SIB)以及时间提前量(Timing Advance,TA)等信号量,这些信号量存在于基站以下接入网(Radio Access Network,RAN)中的新无线电(New Radio,NR)当中。一些相关研究中,例如,在文献“Over-the-Air Time Synchronization for URLLC:Requirements,Challenges and Possible Enablers”中,提出过利用5G网络中的TA及SIB16进行授时的方案,并对TA路径时延测量技术的具体测量方法进行了阐述:在用户设备刚接入至基站时,向基站发送一个请求,基站收到该请求后随即向用户设备发送一个TA值,此时TA∈{0,1,···,1282},比如随机赋一个11比特的值,作为用户设备刚接入至基站时的TA值;用户设备返回TA*16T_s的上行帧,其中,T_s表示采样周期;基站可以根据用户设备返回的TA*16T_s的上行帧,测算出用户设备与基站之间的传输路径时延;在用户设备稳定接入至基站后,基站再向用户设备发送一个TA值,此时TA∈{0,1,···,63},比如此时的TA值为一个6比特的值,即用户设备与基站稳定连接后的TA值为一个6比特的值。由于采样周期T_s是LTE(Long Term Evolution,长期演进)中的基础单元,为32.55ns,因此,取标准值,即16T_s的一半,为260ns,也就是TA路径时延测量技术测量得到的路径时延误差可能为260ns。而现阶段的相关研究对于5G网络下的授时时间精度的期望为:基站端与用户设备端之间的时间差在±130ns之间。因此,如何提高5G网络下的授时时间精度是本领域亟需解决的技术问题。There are some semaphores carrying time information in the 5G network, such as System Information Block (SIB) and Timing Advance (TA) and other semaphores. These semaphores exist in the access network (Radio Access) below the base station. Network, RAN) in the New Radio (New Radio, NR). In some related studies, for example, in the document "Over-the-Air Time Synchronization for URLLC: Requirements, Challenges and Possible Enablers", a scheme using TA and SIB16 in 5G network for timing is proposed, and the TA path delay is calculated. The specific measurement method of the measurement technology is explained: when the user equipment just accesses the base station, it sends a request to the base station, and the base station sends a TA value to the user equipment immediately after receiving the request. At this time, TA ∈ {0, 1, , 1282}, for example, randomly assign a 11-bit value as the TA value when the user equipment just accesses the base station; the user equipment returns an uplink frame of TA*16T_s, where T_s represents the sampling period; the base station can The uplink frame of TA*16T_s returned by the device is used to measure the transmission path delay between the user equipment and the base station; after the user equipment is stably connected to the base station, the base station sends a TA value to the user equipment. At this time, TA∈{0 , 1, . . . , 63}, for example, the TA value at this time is a 6-bit value, that is, the TA value after the user equipment is stably connected to the base station is a 6-bit value. Since the sampling period T_s is the basic unit in LTE (Long Term Evolution), it is 32.55ns, therefore, the standard value, that is, half of 16T_s, is 260ns, which is the path delay measured by the TA path delay measurement technology. The delay error may be 260ns. The expectation of the current research on the timing accuracy of the 5G network is that the time difference between the base station and the user equipment is within ±130ns. Therefore, how to improve the timing accuracy under the 5G network is a technical problem that needs to be solved urgently in this field.
为了提高5G网络下的授时时间精度,本申请实施例提供了一种5G网络下的授时方法、装置、用户设备及通信系统。下面首先对其中的5G网络下的授时方法进行详细介绍。以下方法实施例中的各个步骤按照合乎逻辑的顺序执行即可,步骤标号或者对各步骤进行介绍的先后顺序,并不对各步骤的执行顺序构成限定。In order to improve the timing accuracy under the 5G network, the embodiments of the present application provide a timing method, device, user equipment and communication system under the 5G network. First, the timing method under the 5G network will be introduced in detail. The steps in the following method embodiments may be executed in a logical order, and the step numbers or the sequence in which the steps are introduced do not limit the execution sequence of the steps.
参考图1所示,图1为本申请实施例提供的一种5G网络下的授时方法的流程示意图,该方法应用于用户设备,包括:Referring to FIG. 1, FIG. 1 is a schematic flowchart of a timing method under a 5G network provided by an embodiment of the present application. The method is applied to user equipment, including:
S110:接收多个基站分别发送的到达时间差定位信号、以及多个基站中指定基站发送的时间信息和地理位置信息,并利用预设的路径时延测量技术,测量与指定基站之间的第一传输路径时延。S110: Receive time difference of arrival positioning signals respectively sent by multiple base stations, and time information and geographic location information sent by a designated base station in the multiple base stations, and use a preset path delay measurement technology to measure the first time between the designated base station and the base station. Transmission path delay.
举例来说,基站分别发送的到达时间差定位信号可以为OTDOA(ObservedTimeDifference of Arrival,观察到达时间差)信号。For example, the time difference of arrival positioning signals respectively sent by the base stations may be OTDOA (Observed Time Difference of Arrival, observed time difference of arrival) signals.
一种情况下,指定基站可以被定为多个基站中已知地理位置信息的基站、且该基站的时间被设置为协调世界时(Coordinated Universal Time,UTC),相应的,该指定基站发送的时间信息即为UTC;另一种情况下,指定基站也可以被设定为多个基站中已知地理位置信息的基站、且该基站的基站时间与UTC之间的时间差为已知量,相应的,该指定基站发送的时间信息可以包括基站时间及该基站时间与UTC之间的时间差。In one case, the designated base station may be determined as a base station with known geographic location information among multiple base stations, and the time of the base station is set to Coordinated Universal Time (UTC). The time information is UTC; in another case, the designated base station can also be set as a base station with known geographic location information among multiple base stations, and the time difference between the base station time of the base station and UTC is a known quantity, and the corresponding Yes, the time information sent by the designated base station may include the base station time and the time difference between the base station time and UTC.
举例来说,预设的路径时延测量技术可以为TA(Timing Advancing,定时提前)测量技术,利用其测量得到的用户设备与指定基站之间的第一传输路径时延可以表示tTA。For example, the preset path delay measurement technology may be a TA (Timing Advancing, timing advance) measurement technology, and the first transmission path delay between the user equipment and the designated base station obtained by using the measurement technology may represent tTA .
S120:根据多个基站中任两个基站的到达时间差定位信号,计算任两个基站的到达时间差。S120: Calculate the time difference of arrival of any two base stations according to the positioning signal of the time difference of arrival of any two base stations in the plurality of base stations.
一种实施方式中,可以参考如下所示的公式(1),计算得到任两个基站的到达时间差:In one embodiment, the time difference of arrival of any two base stations can be calculated by referring to the following formula (1):
T_diff=d_diff+β (1)T_diff=d_diff+β(1)
其中,d_diff表示固定的路径传播时间差,β表示因两个基站的基站时间不同步而引入的时间误差。Among them, d_diff represents the fixed path propagation time difference, and β represents the time error caused by the time synchronization of the base stations of the two base stations.
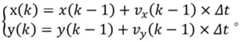
一种情况下,可以参考如下所示的公式(2)、(3)、(4),将连续时间模型化为离散的时间节点:In one case, the continuous time can be modeled into discrete time nodes by referring to formulas (2), (3), and (4) as shown below:
Tcom(k)=Tcom(k-1)+Δt*(1+αcom(k-1)) (2)Tcom (k)=Tcom (k-1)+Δt*(1+αcom (k-1)) (2)
βcom(k)=βcom(k-1)+Δt*αcom(k-1) (3)βcom (k)=βcom (k-1)+Δt*αcom (k-1) (3)
αcom(k)=γ*αcom(k-1)+ωα (4)αcom (k)=γ*αcom (k-1)+ωα (4)
其中,Tcom表示任两个基站的到达时间差;βcom表示任两个基站的到达时间相位误差;αcom表示任两个基站的到达时间频率误差;γ<1表示一个常数;Δt表示k-1时刻与k时刻之间的单位时间间隔;ωα表示一个误差值,且服从高斯分布ωα(k)~N(0,σ2)。Among them, Tcom represents the arrival time difference of any two base stations; βcom represents the arrival time phase error of any two base stations; αcom represents the arrival time frequency error of any two base stations; γ<1 represents a constant; Δt represents k- The unit time interval between time 1 and time k; ωα represents an error value, and obeys the Gaussian distribution ωα (k)~N(0,σ2 ).
将任两个基站的到达时间差简单化为线性,参考如下所示的公式(5),引入一般的卡尔曼滤波器,作为预设的滤波器:Simplify the arrival time difference of any two base stations as linear, refer to the formula (5) shown below, and introduce a general Kalman filter as the preset filter:
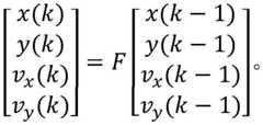
其中,s(k)表示在k时刻,用户设备以及基站l1、l2的状态量(时钟频率及时钟相位)。sue(k)、可以参考如下所示的公式(6)、(7)计算得到:Among them, s(k) represents the state quantities (clock frequency and clock phase) of the user equipment and base stations l1 and l2 at time k.sue (k), It can be calculated by referring to formulas (6) and (7) as shown below:
sue(k)=[α(k),β(k)] (6)sue (k)=[α(k), β(k)] (6)
其中,α(k)表示用户设备的时钟频率;β(k)表示用户设备的时钟相位;表示基站li的时钟频率;表示基站li的时钟相位。Among them, α(k) represents the clock frequency of the user equipment; β(k) represents the clock phase of the user equipment; represents the clock frequency of base stationli ; represents the clock phase of base stationli .
根据时钟模型,可以将状态转移方程F表示为如下公式(8)所示:According to the clock model, the state transition equation F can be expressed as the following formula (8):
其中,in,
另外,噪声方差可以近似表示为如下公式(9)所示:In addition, the noise variance can be approximately expressed as the following formula (9):
其中,表示任两个基站的到达时间差的频率方差;表示任两个基站的到达时间差的相位方差;表示基站li的时钟频率方差;表示基站li的时钟相位方差。in, represents the frequency variance of the arrival time difference of any two base stations; represents the phase variance of the arrival time difference of any two base stations; represents the clock frequency variance of base stationli ; represents the clock phase variance of base stationli .
这种情况下,可以将参考公式(1)计算得到的多个基站中两两基站的到达时间差依次输入预设的滤波器,得到滤波后的两两基站的到达时间差。以此提高对两两基站的到达时间差的测量精度。In this case, the time difference of arrival of each pair of base stations among the multiple base stations calculated with reference to formula (1) can be input into a preset filter in turn to obtain the filtered time difference of arrival of each pair of base stations. In this way, the measurement accuracy of the arrival time difference between two base stations is improved.
S130:根据多个基站中两两基站的到达时间差,确定用户设备的地理位置信息。S130: Determine the geographic location information of the user equipment according to the arrival time difference between two base stations in the plurality of base stations.
一种实施方式中,可以通过接收多个基站分别发送的各基站的地理位置信息;根据多个基站中两两基站的到达时间差,计算两两基站与用户设备之间的距离差;根据两两基站与用户设备之间的距离差以及各基站的地理位置信息,构建距离方程组;利用该距离方程组,计算得到多个位置点的位置信息;根据多个位置点的位置信息,计算多个位置点构成图形的中心点的位置信息,将该中心点的位置信息作为用户设备的地理位置信息。In one embodiment, the geographic location information of each base station sent by multiple base stations can be received; the distance difference between the base stations and the user equipment can be calculated according to the arrival time difference between the two base stations in the multiple base stations; The distance difference between the base station and the user equipment and the geographic location information of each base station, construct a distance equation group; use the distance equation group to calculate the location information of multiple location points; The location point constitutes the location information of the center point of the graph, and the location information of the center point is used as the geographic location information of the user equipment.
举例来说,假设用户设备的地理位置坐标为(x0,y0),已知基站1的地理位置坐标(x1,y1)、基站2的地理位置坐标(x2,y2)、以及指定基站的地理位置坐标(x3,y3),根据这三个基站中两两基站的到达时间差Δt,利用如下所示的公式(10),可以计算得到两两基站与用户设备之间的距离差a:For example, assuming that the geographic location coordinates of the user equipment are (x0 , y0 ), the geographic location coordinates of base station 1 (x1 , y1 ), the geographic location coordinates of base station 2 (x2 , y2 ), And the geographic location coordinates (x3 , y3 ) of the designated base station, according to the arrival time difference Δt of the two base stations in the three base stations, using the formula (10) shown below, the distance between the two base stations and the user equipment can be calculated. The distance difference a:
a=cΔt (10)a=cΔt (10)
其中,c表示光速。where c is the speed of light.
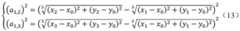
比如,将基站1、基站2与用户设备之间距离差表示为a1,2,将基站2、指定基站与用户设备之间距离差表示为a1,3,将基站1、指定基站与用户设备之间距离差表示为a1,3,则根据两两基站与用户设备之间的距离差以及各基站的地理位置信息,可以构建三组距离方程组如下公式(11)、(12)、(13)所示:For example, the distance difference between base station 1, base station 2 and the user equipment is expressed as a1,2 , the distance difference between base station 2, the designated base station and the user equipment is expressed as a1,3 , the base station 1, the designated base station and the user equipment are expressed as a 1,3 . The distance difference between devices is expressed as a1,3 , then according to the distance difference between two base stations and the user equipment and the geographic location information of each base station, three sets of distance equations can be constructed as follows: (11), (12), (13) shows:
一种情况下,可以分别求解以上三组距离方程组,得到三个位置点的位置坐标,计算这三个位置点构成的三角形的中心点的位置坐标,作为用户设备的地理位置信息。In one case, the above three sets of distance equations can be solved respectively to obtain the position coordinates of the three position points, and the position coordinates of the center point of the triangle formed by the three position points can be calculated as the geographic position information of the user equipment.
另一种情况下,也可以根据以上三组距离方程组,先分别作出三组双曲线,将这三组双曲线的三个交点分别作为三角形的顶点,然后计算该三角形的中心点的位置坐标,作为用户设备的地理位置信息。In another case, according to the above three sets of distance equations, three sets of hyperbolas can be made first, and the three intersection points of the three sets of hyperbolas are taken as the vertices of the triangle, and then the position coordinates of the center point of the triangle are calculated. , as the geographic location information of the user equipment.
一种实施方式中,在如上述方式计算得到用户设备的地理位置信息之后,还可以获取传感器测量得到的用户设备的运动信息;将用户设备的地理位置信息和运动信息输入预设的滤波器,得到滤波后的用户设备的地理位置信息。以此提高用户设备的地理位置信息的准确度。In one embodiment, after the geographic location information of the user equipment is calculated in the above manner, the motion information of the user equipment measured by the sensor can also be obtained; the geographic location information and the motion information of the user equipment are input into a preset filter, The filtered geographic location information of the user equipment is obtained. In this way, the accuracy of the geographic location information of the user equipment is improved.
举例来说,可以通过用户设备上的速度传感器获取到的用户设备的速度值作为用户设备的运动信息,将用户设备的地理位置信息和运动信息输入卡尔曼滤波器,可以得到用户设备的状态量(地理位置坐标及速度)如下公式(14)所示:For example, the speed value of the user equipment obtained by the speed sensor on the user equipment can be used as the motion information of the user equipment, and the geographic location information and the motion information of the user equipment are input into the Kalman filter, and the state quantity of the user equipment can be obtained. (geolocation coordinates and speed) are shown in the following formula (14):
sue(k)=[x(k),y(k),vx(k),vy(k)] (14)sue (k)=[x(k), y(k),vx (k),vy (k)] (14)
其中,x(k)、y(k)分别表示k时刻下的用户设备的地理位置的横、纵坐标值,vx(k)、vy(k)分别表示k时刻下用户设备上的速度传感器获取到的横、纵坐标轴上的速度分量,其中Among them, x(k) and y(k) respectively represent the horizontal and vertical coordinate values of the geographic location of the user equipment at time k, and vx (k) andvy (k) respectively represent the speed on the user equipment at time k The velocity components on the horizontal and vertical axes obtained by the sensor, where
假定速度恒定不变,则有如下公式(15)所示的状态转移方程:Assuming that the speed is constant, there is a state transition equation as shown in the following formula (15):
其中,in,
则有噪声方差可以近似表示为如下公式(16)所示:Then the noisy variance can be approximately expressed as the following formula (16):
其中,分别表示横、纵坐标轴上的速度分量方差。in, represent the variance of the velocity components on the horizontal and vertical axes, respectively.
S140:根据用户设备的地理位置信息及指定基站的地理位置信息,计算用户设备与指定基站间的距离,并根据该距离,计算与指定基站之间的第二传输路径时延。S140: Calculate the distance between the user equipment and the designated base station according to the geographic location information of the user equipment and the geographic location information of the designated base station, and calculate the second transmission path delay with the designated base station according to the distance.
举例来说,用(xl,yl)表示指定基站的地理位置坐标,用(x0,y0)表示用户设备的地理位置坐标,用户设备测量的应为距离指定基站的距离角度以及径向速度因此,需要进行线性变换,即进行扩展卡尔曼滤波,根据如下公式(17)的雅可比公式可以估算出用户设备与指定基站间的距离d:For example, use (xl , yl ) to represent the geographic location coordinates of the designated base station, and use (x0 , y0 ) to represent the geographic location coordinates of the user equipment, and the user equipment should measure the distance from the designated base station angle and radial velocity Therefore, linear transformation is required, that is, extended Kalman filtering. According to the Jacobian formula of the following formula (17), the distance d between the user equipment and the designated base station can be estimated:
上述雅可比公式为偏导公式,比如第一行第一列为d对x求偏导。The above Jacobi formula is a partial derivative formula. For example, the first row and the first column d are the partial derivatives of x.
根据公式(17)的雅可比公式估算得到的用户设备与指定基站间的距离d,再利用如下公式(18),计算得到用户设备与指定基站之间的第二传输路径时延:Calculate the distance d between the user equipment and the designated base station according to the Jacobian formula of formula (17), and then use the following formula (18) to calculate the second transmission path delay between the user equipment and the designated base station:
其中,c表示光速。where c is the speed of light.
举例来说,实现S120-S140中介绍的实施方式的伪代码可以参考如下算法1所示:For example, the pseudo code for implementing the implementations introduced in S120-S140 can refer to the following Algorithm 1:
S150:根据第一传输路径时延及第二传输路径时延,计算与指定基站之间的实际传输路径时延。S150: Calculate the actual transmission path delay with the designated base station according to the first transmission path delay and the second transmission path delay.
一种实施方式中,可以先计算第一传输路径时延和第二传输路径时延之间的差值;若其差值的绝对值不大于预设阈值,则计算第一传输路径时延与第二传输路径时延的平均值作为与指定基站之间的实际传输路径时延,并设置用户设备的状态为第一状态;若其差值的绝对值大于预设阈值,且用户设备的状态为第一状态,则确定第二传输路径时延作为与指定基站之间的实际传输路径时延,并设置用户设备的状态为第二状态;若其差值的绝对值大于预设阈值,且用户设备的状态为第二状态,则计算第一传输路径时延与第二传输路径时延的平均值作为与指定基站之间的实际传输路径时延,并设置用户设备的状态为第三状态;若其差值的绝对值大于预设阈值,且用户设备的状态为第三状态,则确定第一传输路径时延作为与指定基站之间的实际传输路径时延。In one embodiment, the difference between the delay of the first transmission path and the delay of the second transmission path may be calculated first; if the absolute value of the difference is not greater than the preset threshold, the difference between the delay of the first transmission path and the delay of the second transmission path is calculated. The average value of the second transmission path delay is taken as the actual transmission path delay with the designated base station, and the state of the user equipment is set as the first state; if the absolute value of the difference is greater than the preset threshold, and the state of the user equipment In the first state, the second transmission path delay is determined as the actual transmission path delay with the designated base station, and the state of the user equipment is set as the second state; if the absolute value of the difference is greater than the preset threshold, and If the state of the user equipment is the second state, the average value of the delay of the first transmission path and the delay of the second transmission path is calculated as the actual transmission path delay between the user equipment and the designated base station, and the state of the user equipment is set to the third state ; if the absolute value of the difference is greater than the preset threshold, and the state of the user equipment is the third state, determine the first transmission path delay as the actual transmission path delay with the designated base station.
举例来说,实现本实施方式的伪代码可以参考如下算法2所示:For example, the pseudo code for implementing this embodiment may be shown in Algorithm 2 below:
其中,ueState表示为用户设备设置的状态量,设初始量为s0,初始化一个阈值tth,K表示时间同步的总次数,i表示已经同步的次数,可以理解的,当i小于K时,进行循环,若是已经同步的次数超过K时,则停止循环。Among them, ueState represents the state quantity set by the user equipment, the initial quantity is set to s0 , a threshold tth is initialized, K represents the total number of time synchronizations, and i represents the number of times that have been synchronized. It is understandable that when i is less than K, The loop is performed, and if the number of synchronizations exceeds K, the loop is stopped.
S160:根据时间信息及实际传输路径时延,计算授时时间。S160: Calculate the timing time according to the time information and the actual transmission path delay.
举例来说,S110中指定基站可以通过SIB16(System Information Block 16,系统时间块16)信号携带UTC作为时间信息发送至用户设备,相应的,可以将该时间信息表示为tSIB16,结合S150中得到的实际路径时延tdelay,可以根据如下所示的公式(19),计算得到授时时间:For example, the designated base station in S110 can send the UTC as time information to the user equipment through the SIB16 (System Information Block 16, system time block 16) signal. Correspondingly, the time information can be represented as tSIB16 , which is obtained in combination with S150 The actual path delay tdelay can be calculated according to the following formula (19) to obtain the timing time:
t=tSIB16+tdelay (19)t=tSIB16 +tdelay (19)
应用本方法实施例,把通过定位计算得到的第二传输路径时延与利用预设的路径时延测量技术测量得到的第一传输路径时延结合起来,使最终得到的用户设备与指定基站之间的实际传输路径时延更准确,从而提高对指定基站发送的时间信息进行路径时延补偿的效果,以此提高了5G网络下的授时时间精度。By applying the embodiment of this method, the second transmission path delay obtained by positioning calculation is combined with the first transmission path delay measured by using the preset path delay measurement technology, so that the finally obtained user equipment is compatible with the designated base station. The actual transmission path delay between the two is more accurate, thereby improving the effect of path delay compensation for the time information sent by the designated base station, thereby improving the timing accuracy under the 5G network.
下面,参考图2所示,介绍本申请实施例提供的5G网络下的授时方法的一种具体流程,该方法应用于用户设备:2, a specific process of the timing method under the 5G network provided by the embodiment of the present application is introduced, and the method is applied to the user equipment:
第一步:分别利用SIB16技术获取绝对时间tSIB16、利用TA测量技术测量与指定基站之间的第一传输路径时延tTA、利用OTDOA定位技术测量与指定基站之间的第二传输路径时延tOTDOA;Step 1: Use the SIB16 technology to obtain the absolute time tSIB16 , use the TA measurement technology to measure the time delay tTA of the first transmission path with the designated base station, and use the OTDOA positioning technology to measure the second transmission path time between the designated base station and the base station. delay tOTDOA ;
第二步:结合利用TA测量技术测量得到的tTA与利用OTDOA定位技术测量得到的tOTDOA,计算实际传输路径时延tdelay;Step 2: Calculate the actual transmission path delay tdelay by combining the tTA measured by the TA measurement technology and the tOTDOA measured by the OTDOA positioning technology;
第三步:根据利用SIB16技术获取的绝对时间tSIB16及实际传输路径时延tdelay,计算得到授时时间t。Step 3: Calculate the timing time t according to the absolute time tSIB16 obtained by using the SIB16 technology and the actual transmission path delay tdelay .
关于上述各个步骤的具体实现以及相关解释内容可以参考上面图1所示的方法实施例,在此不做赘述。For the specific implementation of the above steps and related explanation contents, reference may be made to the method embodiment shown in FIG. 1 above, which will not be repeated here.
应用本方法实施例,把通过定位计算得到的第二传输路径时延与利用预设的路径时延测量技术测量得到的第一传输路径时延结合起来,使最终得到的用户设备与指定基站之间的实际传输路径时延更准确,从而提高对指定基站发送的时间信息进行路径时延补偿的效果,以此提高了5G网络下的授时时间精度。By applying the embodiment of this method, the second transmission path delay obtained by positioning calculation is combined with the first transmission path delay measured by using the preset path delay measurement technology, so that the finally obtained user equipment is compatible with the designated base station. The actual transmission path delay between the two is more accurate, thereby improving the effect of path delay compensation for the time information sent by the designated base station, thereby improving the timing accuracy under the 5G network.
参考图3所示,为本申请实施例提供的一种5G网络下的授时方法的应用场景示意图:针对每一个用户设备(User Equipment,UE),至少有三个基站(Base Station,BS)向该用户设备发送OTDOA信号,且其中一个基站(指定基站)不仅会向该用户设备发送OTDOA信号,还会利用TA测量技术对该用户设备与指定基站之间的第一传输路径时延进行估测、并向该用户设备发送携带有时间信息的SIB16信号。Referring to FIG. 3, a schematic diagram of an application scenario of a timing method under a 5G network provided by an embodiment of the present application: for each user equipment (User Equipment, UE), at least three base stations (Base Station, BS) to the The user equipment sends an OTDOA signal, and one of the base stations (the designated base station) will not only send the OTDOA signal to the user equipment, but also use the TA measurement technology to estimate the first transmission path delay between the user equipment and the designated base station, And send the SIB16 signal carrying the time information to the user equipment.
举例来说,UE1可以根据BS1、BS2、BS3中任两个基站发送的OTDOA信号,测量出两两基站的到达时间差,并对两两基站的到达时间差进行一般性的卡尔曼滤波;根据滤波后的两两基站的到达时间差,计算UE1的地理位置信息;获取UE1自带的传感器测量得到的UE1的运动信息;将UE1的地理位置信息和运动信息代入扩展卡尔曼滤波,得到滤波后的UE1的地理位置信息;根据UE1的地理位置信息及BS1(指定基站)的地理位置信息,计算UE1与BS1间的距离,并根据该距离,计算UE1与BS1之间的第二传输路径时延;根据BS1利用TA测量技术估测的UE1与BS1之间的第一传输路径时延及该第二传输路径时延,计算UE1与BS1之间的实际传输路径时延;根据BS1向UE1发送的SIB16信号中携带的时间信息及该实际传输路径时延,计算授时时间。关于上述各个步骤的具体实现以及相关解释内容可以参考上面图1所示的方法实施例,在此不做赘述。For example, UE1 can measure the time-of-arrival difference between two base stations according to the OTDOA signal sent by any two base stations in BS1, BS2, and BS3, and perform general Kalman filtering on the time-of-arrival difference between two base stations; Calculate the geographic location information of UE1; obtain the motion information of UE1 measured by the sensor of UE1; substitute the geographic location information and motion information of UE1 into the extended Kalman filter to obtain the filtered UE1 Geographic location information; according to the geographic location information of UE1 and the geographic location information of BS1 (designated base station), calculate the distance between UE1 and BS1, and calculate the second transmission path delay between UE1 and BS1 according to the distance; According to BS1 The first transmission path delay and the second transmission path delay between UE1 and BS1 estimated by TA measurement technology are used to calculate the actual transmission path delay between UE1 and BS1; according to the SIB16 signal sent by BS1 to UE1 The time information carried and the actual transmission path delay are used to calculate the timing time. For the specific implementation of the above steps and related explanation contents, reference may be made to the method embodiment shown in FIG. 1 above, which will not be repeated here.
应用本方法实施例,把通过定位计算得到的第二传输路径时延与利用预设的路径时延测量技术测量得到的第一传输路径时延结合起来,使最终得到的用户设备与指定基站之间的实际传输路径时延更准确,从而提高对指定基站发送的时间信息进行路径时延补偿的效果,以此提高了5G网络下的授时时间精度。By applying this embodiment of the method, the second transmission path delay obtained by positioning calculation is combined with the first transmission path delay measured by using the preset path delay measurement technology, so that the finally obtained user equipment is compatible with the designated base station. The actual transmission path delay between the two is more accurate, thereby improving the effect of path delay compensation for the time information sent by the designated base station, thereby improving the timing accuracy under the 5G network.
与图1方法实施例相对应,参考图4所示,本申请实施例还提供了一种5G网络下的授时装置,应用于用户设备,该装置包括:Corresponding to the method embodiment in FIG. 1 , as shown in FIG. 4 , an embodiment of the present application further provides a timing device under a 5G network, which is applied to a user equipment, and the device includes:
接收模块410,用于接收多个基站分别发送的到达时间差定位信号、以及多个基站中指定基站发送的时间信息和地理位置信息,并利用预设的路径时延测量技术,测量与指定基站之间的第一传输路径时延;The receiving
第一计算模块420,用于根据多个基站中任两个基站的到达时间差定位信号,计算任两个基站的到达时间差;The
定位模块430,用于根据多个基站中两两基站的到达时间差,确定用户设备的地理位置信息;A
第二计算模块440,用于根据用户设备的地理位置信息及指定基站的地理位置信息,计算用户设备与指定基站间的距离,并根据该距离,计算与指定基站之间的第二传输路径时延;The
第三计算模块450,用于根据第一传输路径时延及第二传输路径时延,计算与指定基站之间的实际传输路径时延;The
第四计算模块460,用于根据时间信息及实际传输路径时延,计算授时时间。The
一种实施方式中,该装置还可以包括:第一滤波模块,用于将多个基站中两两基站的到达时间差依次输入预设的滤波器,得到滤波后的两两基站的到达时间差;第二滤波模块,用于获取传感器测量得到的用户设备的运动信息;将用户设备的地理位置信息和运动信息输入预设的滤波器,得到滤波后的用户设备的地理位置信息。以此提高对两两基站的到达时间差的测量精度、提高用户设备的地理位置信息的准确度。In an implementation manner, the device may further include: a first filtering module, configured to sequentially input the arrival time difference of each pair of base stations in a plurality of base stations into a preset filter to obtain the filtered arrival time difference of each pair of base stations; The second filtering module is used to obtain the motion information of the user equipment measured by the sensor; input the geographic location information and the motion information of the user equipment into a preset filter to obtain the filtered geographic location information of the user equipment. In this way, the measurement accuracy of the arrival time difference between two base stations is improved, and the accuracy of the geographic location information of the user equipment is improved.
关于上述各个步骤的具体实现以及相关解释内容可以参考上面图1所示的方法实施例,在此不做赘述。For the specific implementation of the above steps and related explanation contents, reference may be made to the method embodiment shown in FIG. 1 above, which will not be repeated here.
应用本装置实施例,把通过定位计算得到的第二传输路径时延与利用预设的路径时延测量技术测量得到的第一传输路径时延结合起来,使最终得到的用户设备与指定基站之间的实际传输路径时延更准确,从而提高对指定基站发送的时间信息进行路径时延补偿的效果,以此提高了5G网络下的授时时间精度。By applying the embodiment of the device, the second transmission path delay obtained by positioning calculation is combined with the first transmission path delay measured by using the preset path delay measurement technology, so that the final obtained user equipment is compatible with the designated base station. The actual transmission path delay between the two is more accurate, thereby improving the effect of path delay compensation for the time information sent by the designated base station, thereby improving the timing accuracy under the 5G network.
本申请实施例还提供了一种用户设备,如图5所示,包括处理器501、通信接口502、存储器503和通信总线504,其中,处理器501,通信接口502,存储器503通过通信总线504完成相互间的通信,An embodiment of the present application further provides a user equipment, as shown in FIG. 5 , including a
存储器503,用于存放计算机程序;a
处理器501,用于执行存储器503上所存放的程序时,实现如上述图1所示实施例中的5G网络下的授时方法。The
应用本申请实施例提供的用户设备,把通过定位计算得到的第二传输路径时延与利用预设的路径时延测量技术测量得到的第一传输路径时延结合起来,使最终得到的用户设备与指定基站之间的实际传输路径时延更准确,从而提高对指定基站发送的时间信息进行路径时延补偿的效果,以此提高了5G网络下的授时时间精度。By applying the user equipment provided by the embodiments of the present application, the second transmission path delay obtained through positioning calculation is combined with the first transmission path delay measured by using the preset path delay measurement technology, so that the user equipment finally obtained. The actual transmission path delay with the designated base station is more accurate, thereby improving the effect of path delay compensation for the time information sent by the designated base station, thereby improving the timing accuracy under the 5G network.
上述用户设备提到的通信总线可以是外设部件互连标准(Peripheral ComponentInterconnect,PCI)总线或扩展工业标准结构(Extended Industry StandardArchitecture,EISA)总线等。该通信总线可以分为地址总线、数据总线、控制总线等。为便于表示,图中仅用一条粗线表示,但并不表示仅有一根总线或一种类型的总线。The communication bus mentioned by the user equipment may be a peripheral component interconnect standard (Peripheral Component Interconnect, PCI) bus or an Extended Industry Standard Architecture (Extended Industry Standard Architecture, EISA) bus or the like. The communication bus can be divided into an address bus, a data bus, a control bus, and the like. For ease of presentation, only one thick line is used in the figure, but it does not mean that there is only one bus or one type of bus.
通信接口用于上述用户设备与其他设备之间的通信。The communication interface is used for communication between the above-mentioned user equipment and other equipment.
存储器可以包括随机存取存储器(Random Access Memory,RAM),也可以包括非易失性存储器(Non-Volatile Memory,NVM),例如至少一个磁盘存储器。可选的,存储器还可以是至少一个位于远离前述处理器的存储装置。The memory may include random access memory (Random Access Memory, RAM), and may also include non-volatile memory (Non-Volatile Memory, NVM), such as at least one disk memory. Optionally, the memory may also be at least one storage device located away from the aforementioned processor.
上述的处理器可以是通用处理器,包括中央处理器(Central Processing Unit,CPU)、网络处理器(Network Processor,NP)等;还可以是数字信号处理器(Digital SignalProcessor,DSP)、专用集成电路(Application Specific Integrated Circuit,ASIC)、现场可编程门阵列(Field-Programmable Gate Array,FPGA)或者其他可编程逻辑器件、分立门或者晶体管逻辑器件、分立硬件组件。The above-mentioned processor may be a general-purpose processor, including a central processing unit (CPU), a network processor (NP), etc.; it may also be a digital signal processor (Digital Signal Processor, DSP), an application-specific integrated circuit (Application Specific Integrated Circuit, ASIC), Field-Programmable Gate Array (Field-Programmable Gate Array, FPGA) or other programmable logic devices, discrete gate or transistor logic devices, discrete hardware components.
在本申请提供的又一实施例中,还提供了一种计算机可读存储介质,该计算机可读存储介质内存储有计算机程序,该计算机程序被处理器执行时实现如上述图1所示实施例中的5G网络下的授时方法。In yet another embodiment provided by the present application, a computer-readable storage medium is also provided, where a computer program is stored in the computer-readable storage medium, and when the computer program is executed by a processor, the implementation shown in FIG. 1 above is implemented The timing method under the 5G network in the example.
上述计算机可读存储介质存储有在运行时执行本申请实施例所提供的5G网络下的授时方法的应用程序,因此能够把通过定位计算得到的第二传输路径时延与利用预设的路径时延测量技术测量得到的第一传输路径时延结合起来,使最终得到的用户设备与指定基站之间的实际传输路径时延更准确,从而提高对指定基站发送的时间信息进行路径时延补偿的效果,以此实现提高5G网络下的授时时间精度。The above-mentioned computer-readable storage medium stores an application program that executes the timing method under the 5G network provided by the embodiment of the present application at runtime, so that the delay of the second transmission path obtained by the positioning calculation can be compared with the time delay using the preset path. The delay of the first transmission path measured by the delay measurement technology is combined to make the actual transmission path delay between the user equipment and the designated base station more accurate, thereby improving the path delay compensation for the time information sent by the designated base station. In this way, the timing accuracy of the 5G network can be improved.
参考图6所示,在本申请提供的又一实施例中,还提供了一种通信系统,包括多个基站610和用户设备620,其中,Referring to FIG. 6, in another embodiment provided by the present application, a communication system is also provided, including
多个基站610中的每个基站,用于发送到达时间差定位信号;Each base station in the plurality of
多个基站610中的指定基站,用于发送时间信号和地理位置信息;A designated base station among the plurality of
用户设备620,用于接收多个基站610分别发送的到达时间差定位信号、以及多个基站610中指定基站发送的时间信息和地理位置信息,并利用预设的路径时延测量技术,测量与指定基站之间的第一传输路径时延;根据多个基站610中任两个基站的到达时间差定位信号,计算任两个基站的到达时间差;根据多个基站中两两基站的到达时间差,确定用户设备的地理位置信息;根据用户设备的地理位置信息及指定基站的地理位置信息,计算用户设备与所述指定基站间的距离,并根据该距离,计算与指定基站之间的第二传输路径时延;根据第一传输路径时延及第二传输路径时延,计算与指定基站之间的实际传输路径时延;根据时间信息及实际传输路径时延,计算授时时间。The
关于上述各个步骤的具体实现以及相关解释内容可以参考上面图1所示的方法实施例,在此不做赘述。For the specific implementation of the above steps and related explanation contents, reference may be made to the method embodiment shown in FIG. 1 above, which will not be repeated here.
应用本申请实施例提供的通信设备,把通过定位计算得到的第二传输路径时延与利用预设的路径时延测量技术测量得到的第一传输路径时延结合起来,使最终得到的用户设备与指定基站之间的实际传输路径时延更准确,从而提高对指定基站发送的时间信息进行路径时延补偿的效果,以此提高了5G网络下的授时时间精度。By applying the communication device provided by the embodiment of the present application, the second transmission path delay obtained by positioning calculation is combined with the first transmission path delay measured by using the preset path delay measurement technology, so that the user equipment finally obtained. The actual transmission path delay with the designated base station is more accurate, thereby improving the effect of path delay compensation for the time information sent by the designated base station, thereby improving the timing accuracy under the 5G network.
在本申请提供的又一实施例中,还提供了一种包含指令的计算机程序产品,当其在计算机上运行时,使得计算机执行如上述图1所示实施例中的5G网络下的授时方法。In another embodiment provided by the present application, a computer program product including instructions is also provided, which, when running on a computer, enables the computer to execute the timing method under the 5G network in the embodiment shown in FIG. 1 above .
在上述实施例中,可以全部或部分地通过软件、硬件、固件或者其任意组合来实现。当使用软件实现时,可以全部或部分地以计算机程序产品的形式实现。所述计算机程序产品包括一个或多个计算机指令。在计算机上加载和执行所述计算机程序指令时,全部或部分地产生按照本申请实施例所述的流程或功能。所述计算机可以是通用计算机、专用计算机、计算机网络、或者其他可编程装置。所述计算机指令可以存储在计算机可读存储介质中,或者从一个计算机可读存储介质向另一个计算机可读存储介质传输,例如,所述计算机指令可以从一个网站站点、计算机、服务器或数据中心通过有线(例如同轴电缆、光纤、数字用户线(DSL))或无线(例如红外、无线、微波等)方式向另一个网站站点、计算机、服务器或数据中心进行传输。所述计算机可读存储介质可以是计算机能够存取的任何可用介质或者是包括一个或多个可用介质集成的服务器、数据中心等数据存储设备。所述可用介质可以是磁性介质,(例如,软盘、硬盘、磁带)、光介质(例如,DVD)、或者半导体介质(例如固态硬盘Solid State Disk(SSD))等。In the above-mentioned embodiments, it may be implemented in whole or in part by software, hardware, firmware or any combination thereof. When implemented in software, it can be implemented in whole or in part in the form of a computer program product. The computer program product includes one or more computer instructions. When the computer program instructions are loaded and executed on a computer, all or part of the processes or functions described in the embodiments of the present application are generated. The computer may be a general purpose computer, special purpose computer, computer network, or other programmable device. The computer instructions may be stored in or transmitted from one computer-readable storage medium to another computer-readable storage medium, for example, the computer instructions may be downloaded from a website site, computer, server, or data center Transmission to another website site, computer, server, or data center is by wire (eg, coaxial cable, fiber optic, digital subscriber line (DSL)) or wireless (eg, infrared, wireless, microwave, etc.). The computer-readable storage medium may be any available medium that a computer can access, or a data storage device such as a server, a data center, or the like that includes an integration of one or more available media. The usable media may be magnetic media (eg, floppy disks, hard disks, magnetic tapes), optical media (eg, DVD), or semiconductor media (eg, Solid State Disk (SSD)), among others.
需要说明的是,在本文中,诸如第一和第二等之类的关系术语仅仅用来将一个实体或者操作与另一个实体或操作区分开来,而不一定要求或者暗示这些实体或操作之间存在任何这种实际的关系或者顺序。而且,术语“包括”、“包含”或者其任何其他变体意在涵盖非排他性的包括,从而使得包括一系列要素的过程、方法、物品或者设备不仅包括那些要素,而且还包括没有明确列出的其他要素,或者是还包括为这种过程、方法、物品或者设备所固有的要素。在没有更多限制的情况下,由语句“包括一个……”限定的要素,并不排除在包括所述要素的过程、方法、物品或者设备中还存在另外的相同要素。It should be noted that, in this document, relational terms such as first and second are only used to distinguish one entity or operation from another entity or operation, and do not necessarily require or imply any relationship between these entities or operations. any such actual relationship or sequence exists. Moreover, the terms "comprising", "comprising" or any other variation thereof are intended to encompass a non-exclusive inclusion, such that a process, method, article or device that includes a list of elements includes not only those elements, but also includes not explicitly listed or other elements inherent to such a process, method, article or apparatus. Without further limitation, an element qualified by the phrase "comprising a..." does not preclude the presence of additional identical elements in a process, method, article or apparatus that includes the element.
本说明书中的各个实施例均采用相关的方式描述,各个实施例之间相同相似的部分互相参见即可,每个实施例重点说明的都是与其他实施例的不同之处。尤其,对于装置、用户设备及通信系统而言,由于其基本相似于方法实施例,所以描述的比较简单,相关之处参见方法实施例的部分说明即可。Each embodiment in this specification is described in a related manner, and the same and similar parts between the various embodiments may be referred to each other, and each embodiment focuses on the differences from other embodiments. In particular, for the apparatus, user equipment and communication system, since they are basically similar to the method embodiments, the description is relatively simple, and for related parts, please refer to the partial descriptions of the method embodiments.
以上所述仅为本申请的较佳实施例,并非用于限定本申请的保护范围。凡在本申请的精神和原则之内所作的任何修改、等同替换、改进等,均包括在本申请的保护范围内。The above descriptions are only preferred embodiments of the present application, and are not intended to limit the protection scope of the present application. Any modification, equivalent replacement, improvement, etc. made within the spirit and principle of this application are included in the protection scope of this application.
| Application Number | Priority Date | Filing Date | Title |
|---|---|---|---|
| CN202110550054.5ACN113271538B (en) | 2021-05-20 | 2021-05-20 | Time service method and device under 5G network, user equipment and communication system |
| Application Number | Priority Date | Filing Date | Title |
|---|---|---|---|
| CN202110550054.5ACN113271538B (en) | 2021-05-20 | 2021-05-20 | Time service method and device under 5G network, user equipment and communication system |
| Publication Number | Publication Date |
|---|---|
| CN113271538Atrue CN113271538A (en) | 2021-08-17 |
| CN113271538B CN113271538B (en) | 2022-08-05 |
| Application Number | Title | Priority Date | Filing Date |
|---|---|---|---|
| CN202110550054.5AExpired - Fee RelatedCN113271538B (en) | 2021-05-20 | 2021-05-20 | Time service method and device under 5G network, user equipment and communication system |
| Country | Link |
|---|---|
| CN (1) | CN113271538B (en) |
| Publication number | Priority date | Publication date | Assignee | Title |
|---|---|---|---|---|
| CN119277311A (en)* | 2024-10-12 | 2025-01-07 | 中电信智能网络科技有限公司 | Device location determination method and device |
| CN119277311B (en)* | 2024-10-12 | 2025-10-10 | 中电信智能网络科技有限公司 | Device location determination method and device |
| Publication number | Priority date | Publication date | Assignee | Title |
|---|---|---|---|---|
| CN101242638A (en)* | 2007-02-08 | 2008-08-13 | 展讯通信(上海)有限公司 | Wireless positioning method and system |
| CN101472334A (en)* | 2007-12-28 | 2009-07-01 | 三星电子株式会社 | Method and device for eliminating NLOS of wireless honeycomb network |
| CN101848414A (en)* | 2009-03-24 | 2010-09-29 | 大唐移动通信设备有限公司 | Method for determining signal transmission time delay and method for positioning mobile station |
| CN102395196A (en)* | 2011-11-01 | 2012-03-28 | 北京邮电大学 | Positioning method and device based on calibration point |
| US20140295881A1 (en)* | 2013-02-07 | 2014-10-02 | Qualcomm Incorporated | Determination of differential forward link calibration in lte networks for positioning |
| CN106162728A (en)* | 2015-04-01 | 2016-11-23 | 中兴通讯股份有限公司 | The measurement of data transmission delay and report method and terminal between a kind of access network |
| CN107682279A (en)* | 2017-11-03 | 2018-02-09 | 东软集团股份有限公司 | A kind of delay control method, device and storage medium, program product |
| CN111107580A (en)* | 2018-10-25 | 2020-05-05 | 电信科学技术研究院有限公司 | Information transmission method and network equipment |
| CN112422222A (en)* | 2020-11-04 | 2021-02-26 | 深圳市三七智联科技有限公司 | Interface method of time service module and base station, satellite navigation system and storage medium |
| Publication number | Priority date | Publication date | Assignee | Title |
|---|---|---|---|---|
| CN101242638A (en)* | 2007-02-08 | 2008-08-13 | 展讯通信(上海)有限公司 | Wireless positioning method and system |
| CN101472334A (en)* | 2007-12-28 | 2009-07-01 | 三星电子株式会社 | Method and device for eliminating NLOS of wireless honeycomb network |
| CN101848414A (en)* | 2009-03-24 | 2010-09-29 | 大唐移动通信设备有限公司 | Method for determining signal transmission time delay and method for positioning mobile station |
| CN102395196A (en)* | 2011-11-01 | 2012-03-28 | 北京邮电大学 | Positioning method and device based on calibration point |
| US20140295881A1 (en)* | 2013-02-07 | 2014-10-02 | Qualcomm Incorporated | Determination of differential forward link calibration in lte networks for positioning |
| CN106162728A (en)* | 2015-04-01 | 2016-11-23 | 中兴通讯股份有限公司 | The measurement of data transmission delay and report method and terminal between a kind of access network |
| CN107682279A (en)* | 2017-11-03 | 2018-02-09 | 东软集团股份有限公司 | A kind of delay control method, device and storage medium, program product |
| CN111107580A (en)* | 2018-10-25 | 2020-05-05 | 电信科学技术研究院有限公司 | Information transmission method and network equipment |
| CN112422222A (en)* | 2020-11-04 | 2021-02-26 | 深圳市三七智联科技有限公司 | Interface method of time service module and base station, satellite navigation system and storage medium |
| Title |
|---|
| 燕保荣: "一种基于差分的长波授时方法研究", 《天文学报》* |
| 燕保荣: "一种基于差分的长波授时方法研究", 《天文学报》, no. 06, 23 November 2018 (2018-11-23)* |
| Publication number | Priority date | Publication date | Assignee | Title |
|---|---|---|---|---|
| CN119277311A (en)* | 2024-10-12 | 2025-01-07 | 中电信智能网络科技有限公司 | Device location determination method and device |
| CN119277311B (en)* | 2024-10-12 | 2025-10-10 | 中电信智能网络科技有限公司 | Device location determination method and device |
| Publication number | Publication date |
|---|---|
| CN113271538B (en) | 2022-08-05 |
| Publication | Publication Date | Title |
|---|---|---|
| CN108112071B (en) | Positioning method, positioning base station, positioning server and positioning system | |
| JP6224135B2 (en) | Routine deviation notification | |
| US9439089B2 (en) | Device to device round-trip time (RTT) measurement via neighbor aware network | |
| CN114747264B (en) | Method for reporting user equipment positioning information, user equipment and network equipment | |
| US20120315919A1 (en) | Third party device location estimation in wireless communication networks | |
| CN110677818A (en) | Positioning method, device, system, computing equipment and medium | |
| CN115665660A (en) | A positioning method, device and medium based on UWB | |
| JP6246837B2 (en) | Pattern labeling | |
| WO2020207096A1 (en) | Method for performing positioning in 5g scenarios, positioning platform and user terminal | |
| US11231497B2 (en) | Positioning method and positioning apparatus | |
| JP6380874B2 (en) | Access point, terminal, and wireless fidelity WIFI indoor positioning method | |
| KR20160132045A (en) | Positioning method and device based on electronic equipment and application | |
| WO2022134933A1 (en) | Positioning method and apparatus, device, and readable storage medium | |
| WO2021128103A1 (en) | Location request processing method, device, and system | |
| EP3343959A1 (en) | Wireless network-based positioning method and positioning device | |
| CN108834053B (en) | Positioning method, device and equipment | |
| CN106211321B (en) | For the method and apparatus for the positional information for determining user equipment | |
| CN113271538B (en) | Time service method and device under 5G network, user equipment and communication system | |
| US9277527B2 (en) | Wireless access node calibration capability for improved mobile wireless device location accuracy | |
| Song et al. | Detecting positioning errors and estimating correct positions by moving window | |
| CN112313973B (en) | Method and device for positioning | |
| US10306585B2 (en) | Signal determining method and apparatus | |
| CN114076914A (en) | A positioning method, apparatus, device and readable storage medium | |
| WO2023116645A1 (en) | Mobile terminal positioning method and apparatus, device and storage medium | |
| CN114401482A (en) | Terminal equipment positioning method, device and storage medium |
| Date | Code | Title | Description |
|---|---|---|---|
| PB01 | Publication | ||
| PB01 | Publication | ||
| SE01 | Entry into force of request for substantive examination | ||
| SE01 | Entry into force of request for substantive examination | ||
| GR01 | Patent grant | ||
| GR01 | Patent grant | ||
| CF01 | Termination of patent right due to non-payment of annual fee | Granted publication date:20220805 | |
| CF01 | Termination of patent right due to non-payment of annual fee |