









技术领域technical field
本发明涉及睡眠监测技术领域,尤其涉及一种基于压电陶瓷传感器的睡姿识别方法及装置。The invention relates to the technical field of sleep monitoring, in particular to a method and device for recognizing sleeping posture based on piezoelectric ceramic sensors.
背景技术Background technique
随着生活水平的提升,越来越多的人群开始关注自己的睡眠状况。With the improvement of living standards, more and more people begin to pay attention to their sleep status.
针对睡眠监测,目前监测用户睡姿与相关数据状态的常用方式有睡眠多导图(Poly Somno Graphy;PSG)与睡眠中的循环交替模式(Cyclic Alternating Pattern;CAP),其通过陀螺仪辅助视频监控系统判别用户整晚的睡姿情况。该方法是通过接触式测量获取用户生理参数,用户需要整晚佩戴十几枚电极并穿戴张力传感器进行测试才能得到一次完整的报告。整个测试过程繁琐,且易造成用户产生“首夜效应”。同时,此种侵入式测试也给用户带来了生理和心理的负担,直接影响了用户正常的睡姿数据状态。For sleep monitoring, currently the commonly used methods to monitor the user's sleeping posture and related data states include Poly Somno Graph (PSG) and Cyclic Alternating Pattern (CAP) in sleep, which use gyroscopes to assist video monitoring. The system determines the user's sleeping position throughout the night. This method obtains the user's physiological parameters through contact measurement. The user needs to wear more than a dozen electrodes and a tension sensor all night for testing to get a complete report. The whole testing process is cumbersome, and it is easy to cause the "first night effect" for users. At the same time, such an intrusive test also brings physical and psychological burdens to the user, which directly affects the user's normal sleeping posture data state.
因此,如何更好地实现睡姿识别,已成为业界关注的研究重点。Therefore, how to better realize sleep posture recognition has become the focus of research in the industry.
发明内容SUMMARY OF THE INVENTION
本发明提供一种基于压电陶瓷传感器的睡姿识别方法及装置,用以更好地实现睡姿识别。The present invention provides a method and device for recognizing a sleeping posture based on a piezoelectric ceramic sensor, so as to better realize the sleeping posture recognition.
本发明提供一种基于压电陶瓷传感器的睡姿识别方法,包括:The present invention provides a sleeping posture recognition method based on a piezoelectric ceramic sensor, comprising:
在用户处于睡眠平稳状态的情况下,基于压电陶瓷传感器系统,获取用户胸腹区域的混合心冲击信号,其中,所述压电陶瓷传感器系统中包含多个压电陶瓷传感器;When the user is in a stable sleep state, the hybrid cardiac shock signal of the thoracic and abdominal region of the user is obtained based on the piezoelectric ceramic sensor system, wherein the piezoelectric ceramic sensor system includes a plurality of piezoelectric ceramic sensors;
基于所述混合心冲击信号,确定用户的心肺活动分布特征;determining the distribution characteristics of the user's cardiopulmonary activity based on the mixed cardiac shock signal;
将所述心肺活动分布特征与预设环境矢量特征输入训练好的睡姿识别分类网络模型,得到用户的睡姿识别结果;Inputting the cardiopulmonary activity distribution feature and the preset environment vector feature into the trained sleeping posture recognition classification network model to obtain the user's sleeping posture recognition result;
其中,所述训练好的睡姿识别分类网络模型是根据携带有睡姿标签的心肺活动分布特征与环境矢量特征样本进行训练得到的。Wherein, the trained sleeping posture recognition and classification network model is obtained by training according to the cardiopulmonary activity distribution features and the environmental vector feature samples carrying the sleeping posture labels.
根据本发明提供的一种基于压电陶瓷传感器的睡姿识别方法,所述在用户处于睡眠平稳状态的情况下,基于压电陶瓷传感器系统,获取用户胸腹区域的混合心冲击信号,具体为:According to a method for identifying a sleeping posture based on a piezoelectric ceramic sensor provided by the present invention, when the user is in a stable sleep state, the hybrid cardiac shock signal of the user's chest and abdomen area is obtained based on the piezoelectric ceramic sensor system, specifically: :
获取用户胸腹区域对所述压电陶瓷传感器系统施加的第一压力信息;acquiring first pressure information applied to the piezoelectric ceramic sensor system by the user's thoracic and abdominal region;
根据压力与输出电压映射关系,确定所述第一压力信息对应的第一电压信息;determining the first voltage information corresponding to the first pressure information according to the mapping relationship between the pressure and the output voltage;
根据所述第一电压信息的变化量,对用户的睡眠状态进行判断,确定用户处于睡眠平稳状态下的第二电压信息;Judging the sleep state of the user according to the variation of the first voltage information, and determining the second voltage information of the user in a stable sleep state;
根据所述第二电压信息的变化量,确定所述用户处于睡眠平稳状态下的混合心冲击信号。According to the variation of the second voltage information, the mixed cardiac shock signal of the user in a stable sleep state is determined.
根据本发明提供的一种基于压电陶瓷传感器的睡姿识别方法,基于所述混合心冲击信号,确定用户的心肺活动分布特征,具体为:According to a sleeping posture recognition method based on a piezoelectric ceramic sensor provided by the present invention, based on the mixed cardiac shock signal, the distribution characteristics of the cardiopulmonary activity of the user are determined, specifically:
基于所述混合心冲击信号,计算用户的心肺活动强度特征;Based on the mixed cardiac shock signal, calculate the cardiopulmonary activity intensity feature of the user;
根据所述用户的心肺活动强度特征和所述压电陶瓷传感器系统中的消参处理参数,确定所述用户的心肺活动分布特征。According to the characteristics of the cardiopulmonary activity intensity of the user and the parameter elimination processing parameters in the piezoelectric ceramic sensor system, the distribution characteristics of the cardiopulmonary activity of the user are determined.
根据本发明提供的一种基于压电陶瓷传感器的睡姿识别方法,基于所述混合心冲击信号,计算用户的心肺活动强度特征,具体为:According to a method for recognizing a sleeping posture based on a piezoelectric ceramic sensor provided by the present invention, based on the mixed cardiac shock signal, the characteristics of the cardiopulmonary activity intensity of the user are calculated, specifically:
对所述混合心冲击信号进行信息提取,得到所述用户的心肺活动信号电压信息;extracting information from the mixed cardiac shock signal to obtain the cardiopulmonary activity signal voltage information of the user;
根据所述用户的心肺活动信号电压信息,基于信号微分和麦克劳林公式近似估计,计算所述用户的心肺活动应力幅度信息;Calculate the cardiopulmonary activity stress amplitude information of the user according to the user's cardiorespiratory activity signal voltage information and approximate estimation based on signal differentiation and McLaughlin's formula;
对所述用户的心肺活动应力幅度信息,进行预设信号长度的特征提取,得到用户的心肺活动强度特征。The feature extraction of the preset signal length is performed on the cardiopulmonary activity stress amplitude information of the user to obtain the cardiopulmonary activity intensity feature of the user.
根据本发明提供的一种基于压电陶瓷传感器的睡姿识别方法,根据所述用户的心肺活动强度特征和所述压电陶瓷传感器系统中的消参处理参数,确定所述用户的心肺活动分布特征,具体为:According to a sleeping posture recognition method based on a piezoelectric ceramic sensor provided by the present invention, the cardiopulmonary activity distribution of the user is determined according to the cardiopulmonary activity intensity feature of the user and the parameter elimination processing parameters in the piezoelectric ceramic sensor system. Features, specifically:
根据所述用户的心肺活动强度特征和所述压电陶瓷传感器系统中的消参处理参数,计算各路传感器采集的心肺活动幅度信息;Calculate the cardiopulmonary activity amplitude information collected by each sensor according to the user's cardiorespiratory activity intensity feature and the parameter elimination processing parameters in the piezoelectric ceramic sensor system;
其中,所述消参处理参数是通过计算其余传感器的参数与基准参数的比值得到的;Wherein, the parameter elimination processing parameters are obtained by calculating the ratio of the parameters of the remaining sensors to the reference parameters;
其中,所述基准参数是通过选择所述压电陶瓷传感器系统中参数最小且工作正常的传感器参数进行设定的;Wherein, the reference parameter is set by selecting the sensor parameter with the smallest parameter and working normally in the piezoelectric ceramic sensor system;
根据所述各路传感器采集的心肺活动幅度信息,确定所述用户的心肺活动分布特征。According to the cardiopulmonary activity amplitude information collected by the various sensors, the cardiorespiratory activity distribution characteristics of the user are determined.
根据本发明提供的一种基于压电陶瓷传感器的睡姿识别方法,在将所述心肺活动分布特征与预设环境矢量特征输入训练好的睡姿识别分类网络模型之前,所述方法还包括:According to a sleeping posture recognition method based on a piezoelectric ceramic sensor provided by the present invention, before inputting the cardiopulmonary activity distribution feature and the preset environment vector feature into the trained sleeping posture recognition classification network model, the method further includes:
获取多个携带有睡姿标签的心肺活动分布特征与环境矢量特征样本;将每个携带有睡姿标签的心肺活动分布特征和环境矢量特征样本作为一组训练样本,获得多组训练样本,利用多组训练样本对睡姿识别分类网络模型进行训练。Obtain multiple samples of cardiorespiratory activity distribution features and environmental vector features carrying sleeping posture labels; take each cardiopulmonary activity distribution feature and environmental vector feature samples carrying sleeping posture labels as a set of training samples to obtain multiple sets of training samples, and use Multiple sets of training samples are used to train the network model of sleeping posture recognition and classification.
根据本发明提供的一种基于压电陶瓷传感器的睡姿识别方法,所述利用多组训练样本对睡姿识别分类网络模型进行训练,具体为:According to a sleeping posture recognition method based on a piezoelectric ceramic sensor provided by the present invention, the sleep posture recognition classification network model is trained by using multiple sets of training samples, specifically:
对于任意一组训练样本,将所述训练样本输入所述睡姿识别分类网络模型,输出所述训练样本对应的预测概率;For any set of training samples, input the training samples into the sleeping posture recognition and classification network model, and output the prediction probability corresponding to the training samples;
利用预设损失函数,根据所述训练样本对应的预测概率和所述训练样本中的睡姿标签,计算损失值;Using a preset loss function, calculate the loss value according to the predicted probability corresponding to the training sample and the sleeping position label in the training sample;
若所述损失值小于预设阈值,则所述睡姿识别分类网络模型训练完成。If the loss value is less than the preset threshold, the training of the sleeping posture recognition and classification network model is completed.
本发明还提供一种基于压电陶瓷传感器的睡姿识别装置,包括:The present invention also provides a sleeping posture recognition device based on the piezoelectric ceramic sensor, comprising:
混合心冲击信号采集模块,用于在用户处于睡眠平稳状态的情况下,基于压电陶瓷传感器系统,获取用户胸腹区域的混合心冲击信号,其中,所述压电陶瓷传感器系统中包含多个压电陶瓷传感器;The hybrid cardiac shock signal acquisition module is used to obtain the hybrid cardiac shock signal of the user's chest and abdomen area based on the piezoelectric ceramic sensor system when the user is in a stable sleep state, wherein the piezoelectric ceramic sensor system includes a plurality of Piezoelectric ceramic sensor;
心肺活动分布特征生成模块,用于基于所述混合心冲击信号,确定用户的心肺活动分布特征;a cardiopulmonary activity distribution feature generation module, configured to determine the user's cardiopulmonary activity distribution feature based on the mixed cardiac shock signal;
睡姿识别结果生成模块,用于将所述心肺活动分布特征与预设环境矢量特征输入训练好的睡姿识别分类网络模型,得到用户的睡姿识别结果;A sleeping posture recognition result generation module, used for inputting the cardiopulmonary activity distribution feature and the preset environment vector feature into the trained sleeping posture recognition classification network model to obtain the user's sleeping posture recognition result;
其中,所述训练好的睡姿识别分类网络模型是根据携带有睡姿标签的心肺活动分布特征与环境矢量特征样本进行训练得到的。Wherein, the trained sleeping posture recognition and classification network model is obtained by training according to the cardiopulmonary activity distribution features and the environmental vector feature samples carrying the sleeping posture labels.
本发明还提供一种电子设备,包括存储器、处理器及存储在存储器上并可在处理器上运行的计算机程序,所述处理器执行所述程序时实现如上述任一种所述基于压电陶瓷传感器的睡姿识别方法的步骤。The present invention also provides an electronic device, comprising a memory, a processor, and a computer program stored in the memory and running on the processor, when the processor executes the program, the piezoelectric-based system as described in any of the above-mentioned methods is implemented when the processor executes the program. The steps of the method of sleeping posture recognition of ceramic sensor.
本发明还提供一种非暂态计算机可读存储介质,其上存储有计算机程序,该计算机程序被处理器执行时实现如上述任一种所述基于压电陶瓷传感器的睡姿识别方法的步骤。The present invention also provides a non-transitory computer-readable storage medium on which a computer program is stored, and when the computer program is executed by a processor, implements the steps of any of the above-mentioned methods for recognizing sleeping posture based on piezoelectric ceramic sensors .
本发明提供的基于压电陶瓷传感器的睡姿识别方法及装置,在用户处于睡眠平稳状态的情况下,通过多路压电陶瓷传感器采集用户胸腹区域的混合心冲击信号,经过信息处理,得到用户的心肺活动分布特征,以将用户的心肺活动分布特征和预设环境矢量特征输入训练好的睡姿识别分类网络模型,得到用户的睡姿识别结果,实现非侵入式实时用户睡姿监测,具有较强的普适性和环境抗干扰能力。The method and device for recognizing the sleeping posture based on the piezoelectric ceramic sensor provided by the present invention, when the user is in a stable sleep state, collects the mixed cardiac shock signal of the user's chest and abdomen area through the multi-channel piezoelectric ceramic sensor, and after information processing, obtains The user's cardiorespiratory activity distribution characteristics, in order to input the user's cardiorespiratory activity distribution characteristics and preset environment vector characteristics into the trained sleeping posture recognition classification network model, obtain the user's sleeping posture recognition results, and realize non-invasive real-time user sleeping posture monitoring, It has strong universality and environmental anti-interference ability.
附图说明Description of drawings
为了更清楚地说明本发明或现有技术中的技术方案,下面将对实施例或现有技术描述中所需要使用的附图作一简单地介绍,显而易见地,下面描述中的附图是本发明的一些实施例,对于本领域普通技术人员来讲,在不付出创造性劳动的前提下,还可以根据这些附图获得其他的附图。In order to explain the present invention or the technical solutions in the prior art more clearly, the following will briefly introduce the accompanying drawings that need to be used in the description of the embodiments or the prior art. Obviously, the accompanying drawings in the following description are the For some embodiments of the invention, for those of ordinary skill in the art, other drawings can also be obtained according to these drawings without any creative effort.
图1是本发明提供的基于压电陶瓷传感器的睡姿识别方法的流程示意图;1 is a schematic flowchart of a method for recognizing a sleeping posture based on a piezoelectric ceramic sensor provided by the present invention;
图2是本发明实施例提供的基于压电陶瓷传感器的睡姿识别方法的步骤流程示意图;2 is a schematic flowchart of steps of a method for recognizing a sleeping posture based on a piezoelectric ceramic sensor provided by an embodiment of the present invention;
图3是本发明的实施例中用户与等重物体在压电陶瓷传感器系统上的输出电压曲线对比示意图;3 is a schematic diagram showing the comparison of output voltage curves of a user and an equal weight object on a piezoelectric ceramic sensor system in an embodiment of the present invention;
图4是本发明的实施例提供的混合心冲击信号中的呼吸频段信号及原始混合信号示意图;4 is a schematic diagram of a respiratory frequency band signal and an original mixed signal in a mixed cardiac shock signal provided by an embodiment of the present invention;
图5是本发明的实施例提供的混合心冲击信号中的心冲击信号及其心跳周期的包络示意图;FIG. 5 is a schematic diagram of the envelope of the shock signal and its heartbeat cycle in the mixed shock signal provided by an embodiment of the present invention;
图6是本发明的实施例提供的压电陶瓷传感器电压放大电路的示意图;6 is a schematic diagram of a piezoelectric ceramic sensor voltage amplifying circuit provided by an embodiment of the present invention;
图7是本发明的实施例提供的压电陶瓷传感器电压放大电路的等效输入电路的示意图;7 is a schematic diagram of an equivalent input circuit of a piezoelectric ceramic sensor voltage amplifier circuit provided by an embodiment of the present invention;
图8是本发明提供的基于压电陶瓷传感器的睡姿识别方法的系统框架示意图;8 is a schematic diagram of a system framework of a method for sleeping posture recognition based on a piezoelectric ceramic sensor provided by the present invention;
图9是本发明提供的基于压电陶瓷传感器的睡姿识别装置的结构示意图;9 is a schematic structural diagram of a sleeping posture recognition device based on a piezoelectric ceramic sensor provided by the present invention;
图10是本发明提供的电子设备的结构示意图。FIG. 10 is a schematic structural diagram of an electronic device provided by the present invention.
具体实施方式Detailed ways
为使本发明的目的、技术方案和优点更加清楚,下面将结合本发明中的附图,对本发明中的技术方案进行清楚、完整地描述,显然,所描述的实施例是本发明一部分实施例,而不是全部的实施例。基于本发明中的实施例,本领域普通技术人员在没有作出创造性劳动前提下所获得的所有其他实施例,都属于本发明保护的范围。In order to make the objectives, technical solutions and advantages of the present invention clearer, the technical solutions in the present invention will be clearly and completely described below with reference to the accompanying drawings. Obviously, the described embodiments are part of the embodiments of the present invention. , not all examples. Based on the embodiments of the present invention, all other embodiments obtained by those of ordinary skill in the art without creative efforts shall fall within the protection scope of the present invention.
图1是本发明提供的基于压电陶瓷传感器的睡姿识别方法的流程示意图,如图1所示,包括:FIG. 1 is a schematic flowchart of a method for recognizing a sleeping posture based on a piezoelectric ceramic sensor provided by the present invention, as shown in FIG. 1 , including:
步骤S1,在用户处于睡眠平稳状态的情况下,基于压电陶瓷传感器系统,获取用户胸腹区域的混合心冲击信号,其中,所述压电陶瓷传感器系统中包含多个压电陶瓷传感器。Step S1, when the user is in a stable sleep state, based on a piezoelectric ceramic sensor system, obtain a mixed cardiac shock signal of the user's chest and abdomen area, wherein the piezoelectric ceramic sensor system includes a plurality of piezoelectric ceramic sensors.
可选地,本发明所描述的睡眠平稳状态指的是用户没有明显的肢体动作,整个身体处于平复稳定的状态。Optionally, the stable sleep state described in the present invention refers to a state in which the user has no obvious limb movements, and the entire body is in a stable and stable state.
本发明所描述的胸腹区域的混合心冲击(Ballistocardiogram;BCG)信号是在用户处于睡眠平稳状态时,通过用户胸腹区域下方的压电陶瓷传感器系统进行信号采集得到的。其中,混合心冲击信号主要为心肺活动产生的电压变化,其中包含了大量生理信息,包括呼吸信号、心冲击信号、脉搏信号等。The mixed cardiac impact (Ballistocardiogram; BCG) signal of the chest-abdominal region described in the present invention is obtained through signal acquisition by the piezoelectric ceramic sensor system under the chest-abdominal region of the user when the user is in a stable sleep state. Among them, the mixed cardiac shock signal is mainly the voltage change generated by cardiopulmonary activity, which contains a large amount of physiological information, including respiratory signal, cardiac shock signal, pulse signal and so on.
需要说明的是,传统监测方法是使用密集传感器矩阵采集全身的绝对压力,该方法使用的传感器众多,以致成本花费较高,同时多路传感器也大大增加了数据处理的成本和算法的响应时间。此外,绝对压力极易受外界力的干扰,不同人的体型、身体结构乃至睡姿习惯上的不同,也会对床垫的压力分布产生影响。若通过绝对压力分布进行睡姿识别,则需要针对多种人群的复杂场景进行大量的训练与测试,这将进一步增加实验成本,且难以保证训练后的模型具有较好的适应性与准确性。其次,绝对压力数据在睡眠监测系统中使用率低,对人体睡眠分期、心率、呼吸速率等其余数据状态的监测需要其他模态的数据。It should be noted that the traditional monitoring method uses a dense sensor matrix to collect the absolute pressure of the whole body. This method uses a large number of sensors, so the cost is high. At the same time, multiple sensors also greatly increase the cost of data processing and the response time of the algorithm. In addition, absolute pressure is easily disturbed by external forces. Different people's body shapes, body structures, and even their sleeping habits will also affect the pressure distribution of the mattress. If sleeping position recognition is performed by absolute pressure distribution, a large amount of training and testing needs to be performed for complex scenes of various groups of people, which will further increase the experimental cost, and it is difficult to ensure that the trained model has good adaptability and accuracy. Secondly, the use rate of absolute pressure data in sleep monitoring systems is low, and the monitoring of other data states such as human sleep stages, heart rate, and breathing rate requires data from other modalities.
在本发明的实施例中,压电陶瓷传感器系统不是密集传感器矩阵系统,其包含多个压电陶瓷传感器,其中,在压电陶瓷传感器系统中,当压电陶瓷传感器采集通道的路数为10~30路时,均可达到较好的技术效果。In the embodiment of the present invention, the piezoelectric ceramic sensor system is not a dense sensor matrix system, but includes a plurality of piezoelectric ceramic sensors, wherein, in the piezoelectric ceramic sensor system, when the number of acquisition channels of the piezoelectric ceramic sensor is 10 When the number of routes is ~30, better technical effects can be achieved.
步骤S2,基于所述混合心冲击信号,确定用户的心肺活动分布特征。Step S2, based on the mixed cardiac shock signal, determine the distribution characteristics of the cardiopulmonary activity of the user.
可选地,本发明所描述的用户的心肺活动分布特征指的是用户的心跳运动幅度的分布特征和呼吸运动幅度的分布特征。Optionally, the distribution feature of the cardiopulmonary activity of the user described in the present invention refers to the distribution feature of the user's heartbeat motion amplitude and the distribution feature of the respiratory motion amplitude.
进一步地,对获取的混合心冲击信号进行信息提取和处理,可以得到呼吸运动幅度的分布特征和心跳运动幅度的分布特征,从而可以确定出用户的心肺活动分布特征。Further, by performing information extraction and processing on the obtained mixed cardiac shock signal, the distribution characteristics of the breathing motion amplitude and the distribution characteristics of the heartbeat motion amplitude can be obtained, so that the user's cardiopulmonary activity distribution characteristics can be determined.
步骤S3,将所述心肺活动分布特征与预设环境矢量特征输入训练好的睡姿识别分类网络模型,得到用户的睡姿识别结果。Step S3, inputting the cardiopulmonary activity distribution feature and the preset environment vector feature into the trained sleep posture recognition classification network model to obtain the user's sleeping posture recognition result.
可选地,本发明所描述的训练好的睡姿识别分类网络模型是根据模型训练样本进行训练得到的,用于对输入的心肺活动分布特征进行用户睡姿识别,并输出识别结果。Optionally, the trained sleeping posture recognition and classification network model described in the present invention is obtained by training according to the model training samples, and is used to perform the user's sleeping posture recognition on the input cardiopulmonary activity distribution characteristics, and output the recognition result.
其中,模型训练样本是由多组携带有睡姿标签的心肺活动分布特征与环境矢量特征样本组成的,用于提高各种睡姿识别的精确度以及模型的环境适应能力。Among them, the model training samples are composed of multiple sets of cardiopulmonary activity distribution features and environmental vector feature samples carrying sleeping posture labels, which are used to improve the accuracy of various sleeping posture recognition and the environmental adaptability of the model.
在本申请的实施例中,为了能适应环境影响以及考虑更丰富的场景特性,还添加了个性化的环境矢量特征,包括心跳运动幅度与呼吸运动幅度强度比值、用户标准平躺时所占传感器的总路数、用户侧卧下所占传感器的总路数、当前数据状态判别和前一时刻的数据状态判别。In the embodiments of the present application, in order to adapt to the influence of the environment and consider more abundant scene characteristics, personalized environment vector features are also added, including the ratio of the amplitude of the heartbeat movement to the amplitude of the breathing movement, and the sensor occupied when the user is lying flat. The total number of channels, the total number of sensors occupied by the user while lying on the side, the current data state discrimination and the data state discrimination at the previous moment.
本发明所描述的睡姿标签为仰卧、左侧卧、右侧卧和俯卧,是根据心肺活动分布特征样本预先确定的,并与心肺活动分布特征样本是一一对应的。也就是说,训练样本中的每一个心肺活动分布特征与环境矢量特征样本,都预先设定好携带一个与之对应的睡姿标签。The sleeping position labels described in the present invention are supine, left, right and prone, which are predetermined according to the characteristic samples of cardiopulmonary activity distribution, and are in one-to-one correspondence with the characteristic samples of cardiopulmonary activity distribution. That is to say, each cardiopulmonary activity distribution feature and environment vector feature sample in the training sample is preset to carry a corresponding sleeping position label.
本发明实施例的方法,在用户处于睡眠平稳状态的情况下,基于压电陶瓷传感器系统,通过多路压电陶瓷传感器采集用户胸腹区域的混合心冲击信号,经过信号处理,得到用户的心肺活动分布特征,以将用户的心肺活动分布特征与预设环境矢量特征输入训练好的睡姿识别分类网络模型,得到用户的睡姿识别结果,实现非侵入式实时用户睡姿监测,具有较强的普适性和环境抗干扰能力。According to the method of the embodiment of the present invention, when the user is in a stable sleep state, based on the piezoelectric ceramic sensor system, the mixed cardiac shock signal of the user's chest and abdomen area is collected through the multi-channel piezoelectric ceramic sensor, and after signal processing, the user's heart and lungs are obtained. Activity distribution characteristics, in order to input the user's cardiopulmonary activity distribution characteristics and preset environment vector characteristics into the trained sleeping posture recognition classification network model, obtain the user's sleeping posture recognition results, and realize non-invasive real-time user sleeping posture monitoring, with strong performance. universality and environmental anti-interference ability.
可选地,所述在用户处于睡眠平稳状态的情况下,基于压电陶瓷传感器系统,获取用户胸腹区域的混合心冲击信号,具体为:Optionally, when the user is in a stable sleep state, based on the piezoelectric ceramic sensor system, the mixed cardiac shock signal of the thoracic and abdominal region of the user is obtained, specifically:
获取用户胸腹区域对所述压电陶瓷传感器系统施加的第一压力信息;acquiring first pressure information applied to the piezoelectric ceramic sensor system by the user's thoracic and abdominal region;
根据压力与输出电压映射关系,确定所述第一压力信息对应的第一电压信息;determining the first voltage information corresponding to the first pressure information according to the mapping relationship between the pressure and the output voltage;
根据所述第一电压信息的变化量,对用户的睡眠状态进行判断,确定用户处于睡眠平稳状态下的第二电压信息;Judging the sleep state of the user according to the variation of the first voltage information, and determining the second voltage information of the user in a stable sleep state;
根据所述第二电压信息的变化量,确定所述用户处于睡眠平稳状态下的混合心冲击信号。According to the variation of the second voltage information, the mixed cardiac shock signal of the user in a stable sleep state is determined.
可选地,本发明所描述的第一压力信息指的是用户在进入睡眠前,胸腹区域对压电陶瓷传感器系统产生的压力信息,这里,压力信息主要来源于用户自身的重力、用户呼吸运动产生的作用力以及用户心跳运动产生的作用力。Optionally, the first pressure information described in the present invention refers to the pressure information generated by the thoracic and abdominal area on the piezoelectric ceramic sensor system before the user goes to sleep. Here, the pressure information mainly comes from the user's own gravity and the user's breathing. The force produced by the movement and the force produced by the movement of the user's heartbeat.
本发明所描述的压力与输出电压映射关系指的是通过本发明的压电陶瓷传感器系统的信号采集模块采集外界压力信息,经过数字电路处理,获得对应的输出数字电压信息,从而得到外界压力与系统输出数字电压上的映射关系。The mapping relationship between pressure and output voltage described in the present invention refers to the acquisition of external pressure information by the signal acquisition module of the piezoelectric ceramic sensor system of the present invention, and the digital circuit processing to obtain the corresponding output digital voltage information, thereby obtaining the external pressure and the output voltage. The mapping relationship on the system output digital voltage.
本发明所描述的第一电压信息指的是第一压力信息中的用户自身重力产生的压力、用户呼吸运动产生的压力以及用户心跳运动产生的压力,基于压力与输出电压映射关系,得到的用户自身重力对应的电压、用户呼吸运动信号电压以及用户心跳运动信号电压。The first voltage information described in the present invention refers to the pressure generated by the user's own gravity, the pressure generated by the user's breathing movement, and the pressure generated by the user's heartbeat movement in the first pressure information. Based on the mapping relationship between the pressure and the output voltage, the obtained user The voltage corresponding to self-gravity, the voltage of the user's breathing motion signal, and the voltage of the user's heartbeat motion signal.
进一步地,根据压力与输出电压映射关系,可以确定第一压力信息对应的第一电压信息。Further, according to the mapping relationship between the pressure and the output voltage, the first voltage information corresponding to the first pressure information can be determined.
本发明所描述的第二电压信息指的是用户处于睡眠平稳状态时,由于用户自身重力应力几乎不变或存在缓慢的变化,几乎不影响系统的输出电压,因此系统输出为呼吸应力与心跳应力产生的电压变化信息。The second voltage information described in the present invention refers to that when the user is in a stable sleep state, since the user's own gravitational stress is almost unchanged or has a slow change, the output voltage of the system is hardly affected, so the output of the system is respiratory stress and heartbeat stress. Generated voltage change information.
本发明所描述的用户处于睡眠平稳状态下的混合心冲击信号指的是,用户没有明显肢体运动时,采集到心肺运动为主的混合心冲击信号。根据平稳状态下系统输出的电压变化、能量熵、近似熵等信息,可以判别信号是否为平稳状态下的混合心冲击信号。The mixed cardiac shock signal when the user is in a stable sleep state described in the present invention refers to the collection of the mixed cardiac shock signal dominated by cardiopulmonary motion when the user has no obvious limb movement. According to the voltage change, energy entropy, approximate entropy and other information output by the system in the steady state, it can be judged whether the signal is a mixed cardiac shock signal in the steady state.
本发明实施例的方法,通过采集用户胸腹区域对压电陶瓷传感器系统施加的压力信息,基于压力与输出电压映射关系,得到对应的电压信息,以根据该电压信息的变化量,确定用户是否处于睡眠平稳状态,进而根据平稳状态下的电压信息变化量,确定出用户处于睡眠平稳状态下的混合心冲击信号。The method of the embodiment of the present invention obtains corresponding voltage information based on the mapping relationship between the pressure and the output voltage by collecting the pressure information applied to the piezoelectric ceramic sensor system by the user's chest and abdomen area, so as to determine whether the user is not based on the change of the voltage information. The user is in a stable sleep state, and then according to the variation of the voltage information in the stable state, the mixed cardiac shock signal of the user in the stable sleep state is determined.
可选地,基于所述混合心冲击信号,确定用户的心肺活动分布特征,具体为:Optionally, based on the mixed cardiac shock signal, determine the distribution characteristics of the cardiopulmonary activity of the user, specifically:
基于所述混合心冲击信号,计算用户的心肺活动强度特征;Based on the mixed cardiac shock signal, calculate the cardiopulmonary activity intensity feature of the user;
根据所述用户的心肺活动强度特征和所述压电陶瓷传感器系统中的消参处理参数,确定所述用户的心肺活动分布特征。According to the characteristics of the cardiopulmonary activity intensity of the user and the parameter elimination processing parameters in the piezoelectric ceramic sensor system, the distribution characteristics of the cardiopulmonary activity of the user are determined.
可选地,本发明所描述的用户的心肺活动强度特征包括用户的呼吸运动的强度特征和用户心跳运动的强度特征。Optionally, the cardiopulmonary activity intensity feature of the user described in the present invention includes the intensity feature of the user's breathing motion and the intensity feature of the user's heartbeat motion.
本发明所描述的消参处理参数指的是为了消除各路传感器固有参数之间的差异性,通过计算确定出的处理参数。通过该处理方式,可以解决由于各路传感器之间存在的差异性,导致系统的输出电压不具有一致性的技术问题。The parameter elimination processing parameter described in the present invention refers to the processing parameter determined by calculation in order to eliminate the difference between the inherent parameters of various sensors. Through this processing method, the technical problem that the output voltage of the system is inconsistent due to the differences between the various sensors can be solved.
进一步地,根据用户处于睡眠平稳状态下的混合心冲击信号,经过信号分析与处理,并进行心肺活动特征提取,得到用户的心肺活动强度特征。Further, according to the mixed cardiac shock signal when the user is in a stable sleep state, after signal analysis and processing, cardiopulmonary activity feature extraction is performed to obtain the cardiopulmonary activity intensity feature of the user.
根据用户的心肺活动强度特征和压电陶瓷传感器系统中的消参处理参数,对用户的心肺活动强度特征进行优化计算,确定出用户的心肺活动分布特征。According to the user's cardiorespiratory activity intensity characteristics and the parameter elimination processing parameters in the piezoelectric ceramic sensor system, the user's cardiorespiratory activity intensity characteristics are optimized and calculated, and the user's cardiorespiratory activity distribution characteristics are determined.
本发明实施例的方法,通过对用户处于睡眠平稳状态下的混合心冲击信号进行信号分析与特征提取,得到用户的心肺活动强度特征,进而在消除传感器之间参数差异性的基础上,准确计算出用户的心肺活动分布特征。The method of the embodiment of the present invention obtains the user's cardiopulmonary activity intensity characteristics by performing signal analysis and feature extraction on the mixed cardiac shock signal when the user is in a stable sleep state, and then accurately calculates on the basis of eliminating the parameter difference between the sensors. The user's cardiopulmonary activity distribution characteristics.
可选地,基于所述混合心冲击信号,计算用户的心肺活动强度特征,具体为:Optionally, based on the mixed cardiac shock signal, calculate the cardiopulmonary activity intensity feature of the user, specifically:
对所述混合心冲击信号进行信息提取,得到所述用户的心肺活动信号电压信息;extracting information from the mixed cardiac shock signal to obtain the cardiopulmonary activity signal voltage information of the user;
根据所述用户的心肺活动信号电压信息,基于信号微分和麦克劳林公式近似估计,计算所述用户的心肺活动应力幅度信息;Calculate the cardiopulmonary activity stress amplitude information of the user according to the user's cardiorespiratory activity signal voltage information and approximate estimation based on signal differentiation and McLaughlin's formula;
对所述用户的心肺活动应力幅度信息,进行预设信号长度的特征提取,得到用户的心肺活动强度特征。The feature extraction of the preset signal length is performed on the cardiopulmonary activity stress amplitude information of the user to obtain the cardiopulmonary activity intensity feature of the user.
可选地,本发明所描述的信息提取指的是从混合心冲击信号中分离提取出呼吸频段的信号和心跳频段的信号。Optionally, the information extraction described in the present invention refers to separating and extracting the signal of the respiratory frequency band and the signal of the heartbeat frequency band from the mixed shock cardiac signal.
本发明所描述的用户的心肺活动信号电压信息指的是呼吸频段的信号和心跳频段的信号,基于压力与输出电压映射关系,得到呼吸运动信号电压与呼吸运动应力幅度、频率之间的关系,以及心跳运动信号电压与心跳运动应力幅度、频率之间的关系。The user's cardiopulmonary activity signal voltage information described in the present invention refers to the signal in the breathing frequency band and the signal in the heartbeat frequency band. Based on the mapping relationship between pressure and output voltage, the relationship between the voltage of the breathing movement signal and the amplitude and frequency of the breathing movement stress is obtained. And the relationship between the heartbeat motion signal voltage and the heartbeat motion stress amplitude and frequency.
本发明所描述的用户的心肺活动应力幅度信息包括用户的呼吸运动应力幅度和用户的心跳运动应力幅度。The cardiopulmonary activity stress magnitude information of the user described in the present invention includes the user's breathing motion stress magnitude and the user's heartbeat motion stress magnitude.
在本发明的实施例中,预设信号长度的特征提取指的是由于不同用户个体在不同场景下的呼吸与心跳周期存在较大差异,针对此差异,对用户的心肺活动应力幅度信息进行固定信号长度的特征提取。In the embodiment of the present invention, the feature extraction of the preset signal length refers to that due to the large difference between the breathing and heartbeat cycles of different users in different scenarios, the user's cardiopulmonary activity stress amplitude information is fixed according to this difference. Feature extraction of signal length.
进一步地,针对用户的心肺活动应力幅度信息,利用信号实时性心率与呼吸率,对固定信号长度的特征提取公式进行优化,可以得到用户的心肺活动强度特征。Further, according to the stress amplitude information of the user's cardiopulmonary activity, the feature extraction formula of the fixed signal length is optimized by using the real-time heart rate and respiration rate of the signal, and the feature of the cardiopulmonary activity intensity of the user can be obtained.
在本发明的实施例中,用户的心肺活动强度特征包括用户的呼吸运动强度特征和用户的心跳运动强度特征。In the embodiment of the present invention, the user's cardiopulmonary activity intensity feature includes the user's breathing exercise intensity feature and the user's heartbeat exercise intensity feature.
本发明实施例的方法,通过对混合心冲击信号进行分离,提取出呼吸频段的信号和心跳频段的信号,利用信号实时性心率与呼吸率对预设信号长度的特征提取公式优化,从而得到更精确的心肺活动强度特征。In the method of the embodiment of the present invention, by separating the mixed cardiac shock signal, the signal in the breathing frequency band and the signal in the heartbeat frequency band are extracted, and the feature extraction formula of the preset signal length is optimized by using the real-time heart rate and breathing rate of the signal, so as to obtain a more accurate signal. Accurate cardiorespiratory activity intensity profile.
可选地,根据所述用户的心肺活动强度特征和所述压电陶瓷传感器系统中的消参处理参数,确定所述用户的心肺活动分布特征,具体为:Optionally, according to the cardiorespiratory activity intensity feature of the user and the parameter elimination processing parameters in the piezoelectric ceramic sensor system, determine the cardiorespiratory activity distribution feature of the user, specifically:
根据所述用户的心肺活动强度特征和所述压电陶瓷传感器系统中的消参处理参数,计算各路传感器采集的心肺活动幅度信息;Calculate the cardiopulmonary activity amplitude information collected by each sensor according to the user's cardiorespiratory activity intensity feature and the parameter elimination processing parameters in the piezoelectric ceramic sensor system;
其中,所述消参处理参数是通过计算其余传感器的参数与基准参数的比值得到的;Wherein, the parameter elimination processing parameters are obtained by calculating the ratio of the parameters of the remaining sensors to the reference parameters;
其中,所述基准参数是通过选择所述压电陶瓷传感器系统中参数最小且工作正常的传感器进行设定的;Wherein, the reference parameter is set by selecting the sensor with the smallest parameter and working normally in the piezoelectric ceramic sensor system;
根据所述各路传感器采集的心肺活动幅度信息,确定所述用户的心肺活动分布特征。According to the cardiopulmonary activity amplitude information collected by the various sensors, the cardiorespiratory activity distribution characteristics of the user are determined.
可选地,本发明所描述的心肺活动幅度信息包括呼吸运动的幅度和心跳运动的幅度。Optionally, the cardiopulmonary activity amplitude information described in the present invention includes the breathing motion amplitude and the heartbeat motion amplitude.
本发明所描述的用户的心肺活动分布特征指的是通过各路传感器监测得到的用户心肺运动幅度的实时分布特征,包括用户呼吸运动的幅度分布特征和用户心跳运动的幅度分布特征。The user's cardiopulmonary activity distribution feature described in the present invention refers to the real-time distribution feature of the user's cardiopulmonary motion amplitude monitored by various sensors, including the amplitude distribution feature of the user's breathing motion and the amplitude distribution feature of the user's heartbeat motion.
在本发明的实施例中,通过选择压电陶瓷传感器系统中参数最小且工作正常的传感器参数作为基准参数,计算其余传感器的参数与该基准参数的比值,即消参处理参数,从而可以得到同一时刻下不同传感器通道采集到的呼吸运动的幅度和心跳运动的幅度,进而确定出用户呼吸运动的幅度分布特征和用户心跳运动的幅度分布特征。In the embodiment of the present invention, by selecting the sensor parameter with the smallest parameter and working normally in the piezoelectric ceramic sensor system as the reference parameter, and calculating the ratio of the parameters of the remaining sensors to the reference parameter, that is, the parameter elimination processing parameter, the same parameter can be obtained. The amplitude of the breathing movement and the amplitude of the heartbeat movement collected by different sensor channels at the moment are used to determine the amplitude distribution characteristics of the user's breathing movement and the amplitude distribution characteristics of the user's heartbeat movement.
本发明实施例的方法,通过不同传感器的震动测试对比消除各传感器参数之间差异的影响,进而根据用户的心肺活动强度特征,更加精确地确定出用户的心肺活动分布特征。The method of the embodiment of the present invention eliminates the influence of the difference between the sensor parameters by comparing the vibration test of different sensors, and then more accurately determines the user's cardiorespiratory activity distribution characteristics according to the user's cardiorespiratory activity intensity characteristics.
可选地,在将所述心肺活动分布特征与预设环境矢量特征输入训练好的睡姿识别分类网络模型之前,所述方法还包括:Optionally, before inputting the cardiopulmonary activity distribution feature and the preset environment vector feature into the trained sleep posture recognition and classification network model, the method further includes:
获取多个携带有睡姿标签的心肺活动分布特征与环境矢量特征样本;Obtain multiple samples of cardiopulmonary activity distribution characteristics and environmental vector characteristics carrying sleeping position labels;
将每个携带有睡姿标签的心肺活动分布特征样本作为一组训练样本,获得多组训练样本,利用多组训练样本对睡姿识别分类网络模型进行训练。Taking each cardiorespiratory activity distribution feature sample carrying the sleeping posture label as a set of training samples, multiple sets of training samples are obtained, and the sleeping posture recognition and classification network model is trained by using the multiple sets of training samples.
可选地,在将心肺活动分布特征与预设环境矢量特征输入睡姿识别分类网络模型之前,还需对睡姿识别分类网络模型进行训练,具体训练过程如下:Optionally, before inputting the cardiopulmonary activity distribution feature and the preset environment vector feature into the sleeping posture recognition and classification network model, the sleeping posture recognition and classification network model needs to be trained, and the specific training process is as follows:
将心肺活动分布特征与环境矢量特征样本和心肺活动分布特征样本携带的睡姿标签作为一组训练样本,即将每个带有睡姿标签的心肺活动分布特征与环境矢量特征样本作为一组训练样本,由此即可获得多组训练样本。Take the cardiorespiratory activity distribution feature and environmental vector feature sample and the sleeping posture label carried by the cardiorespiratory activity distribution feature sample as a set of training samples, that is, each cardiorespiratory activity distribution feature and environmental vector feature sample with a sleeping posture label as a set of training samples , so that multiple sets of training samples can be obtained.
在本发明的实施例中,心肺活动分布特征与环境矢量特征样本与心肺活动分布特征样本携带的睡姿标签是一一对应的。In the embodiment of the present invention, the cardiopulmonary activity distribution features and the environmental vector feature samples are in a one-to-one correspondence with the sleeping posture labels carried by the cardiopulmonary activity distribution feature samples.
然后,在获得多组训练样本之后,再将多组训练样本依次输入睡姿识别分类网络模型,即将每组训练样本中的心肺活动分布特征与环境矢量特征样本及对应的睡姿标签,同时输入睡姿识别分类网络模型,根据睡姿识别分类网络模型的每一次输出结果,通过计算损失函数值,对睡姿识别分类网络模型参数进行调整,最终完成睡姿识别分类网络模型的训练过程。Then, after obtaining multiple sets of training samples, the multiple sets of training samples are input into the sleep posture recognition and classification network model in turn, that is, the cardiopulmonary activity distribution characteristics and the environmental vector feature samples and the corresponding sleep posture labels in each set of training samples are input at the same time. The sleeping posture recognition and classification network model adjusts the parameters of the sleeping posture recognition and classification network model by calculating the loss function value according to each output result of the sleeping posture recognition and classification network model, and finally completes the training process of the sleeping posture recognition and classification network model.
通过本发明实施例的方法,将心肺活动分布特征与环境矢量特征样本和心肺活动分布特征样本携带的睡姿标签作为一组训练样本,利用多组训练样本对睡姿识别分类网络模型进行模型训练。With the method of the embodiment of the present invention, the cardiopulmonary activity distribution feature, the environmental vector feature sample and the sleeping posture label carried by the cardiopulmonary activity distribution feature sample are taken as a group of training samples, and the sleeping posture recognition and classification network model is trained by using multiple groups of training samples. .
可选地,所述利用多组训练样本对睡姿识别分类网络模型进行训练,具体为:Optionally, the use of multiple sets of training samples to train the sleeping posture recognition and classification network model is specifically:
对于任意一组训练样本,将所述训练样本输入所述睡姿识别分类网络模型,输出所述训练样本对应的预测概率;For any set of training samples, input the training samples into the sleeping posture recognition and classification network model, and output the predicted probability corresponding to the training samples;
利用预设损失函数,根据所述训练样本对应的预测概率和所述训练样本中的睡姿标签,计算损失值;Using a preset loss function, calculate the loss value according to the predicted probability corresponding to the training sample and the sleeping position label in the training sample;
若所述损失值小于预设阈值,则所述睡姿识别分类网络模型训练完成。If the loss value is less than the preset threshold, the training of the sleeping posture recognition and classification network model is completed.
可选地,在本发明的实施例中,预设损失函数指的是预先设置在睡姿识别分类网络模型里的损失函数,用于模型评估;预设阈值指的是模型预先设置的阈值,用于获得最小损失值,完成模型训练Optionally, in the embodiment of the present invention, the preset loss function refers to a loss function preset in the sleeping posture recognition and classification network model, which is used for model evaluation; the preset threshold refers to the threshold preset by the model, Used to obtain the minimum loss value to complete the model training
在获得多组训练样本之后,对于任意一组训练样本,将该训练样本中的心肺活动分布特征与环境矢量特征样本及对应携带的睡姿标签,同时输入睡姿识别分类网络模型,输出该训练样本对应的预测概率,其中预测概率指的是该训练样本针对不同睡姿识别结果对应的预测概率。After obtaining multiple sets of training samples, for any set of training samples, the cardiopulmonary activity distribution features and environmental vector feature samples in the training samples and the corresponding sleeping posture labels are input into the sleeping posture recognition and classification network model, and the training samples are output. The predicted probability corresponding to the sample, where the predicted probability refers to the predicted probability corresponding to the training sample for different sleeping posture recognition results.
在此基础上,利用预设损失函数根据训练样本对应的预测概率和训练样本中的睡姿标签计算损失值。其中,预设损失函数可以为交叉熵损失函数。在其他实施例中,睡姿标签的表示方式和预设损失函数可以根据实际需求进行设置,此处不做具体限定。On this basis, a preset loss function is used to calculate the loss value according to the prediction probability corresponding to the training sample and the sleeping position label in the training sample. The preset loss function may be a cross-entropy loss function. In other embodiments, the representation of the sleeping posture label and the preset loss function may be set according to actual requirements, which are not specifically limited here.
进一步地,在计算获得损失值之后,本次训练过程结束,可以利用误差反向传播算法来更新预设睡姿识别分类网络模型参数,之后再进行下一次训练。在训练的过程中,若针对某组训练样本计算获得的损失值小于预设阈值,则睡姿识别分类网络模型训练完成。Further, after calculating and obtaining the loss value, the training process ends, and the error back-propagation algorithm can be used to update the parameters of the preset sleeping posture recognition and classification network model, and then the next training can be performed. During the training process, if the loss value calculated for a certain group of training samples is less than the preset threshold, the training of the network model for sleeping posture recognition and classification is completed.
本发明实施例的方法,通过对睡姿识别分类网络模型进行训练,将睡姿识别分类网络模型的损失值控制在预设的范围内,从而有利于提高睡姿识别分类网络模型输出的睡姿识别结果的准确性。The method of the embodiment of the present invention controls the loss value of the sleeping posture recognition and classification network model within a preset range by training the sleeping posture recognition and classification network model, thereby helping to improve the sleeping posture output by the sleeping posture recognition and classification network model. Accuracy of recognition results.
图2是本发明实施例提供的基于压电陶瓷传感器的睡姿识别方法的步骤流程示意图,如图2所示,所述方法包括如下步骤:传感器受力与工作状态分析、等效输出电路计算、输出电压与应力映射公式、睡眠稳定状态判别、平稳状态下心肺活动强度特征、优化心肺活动特征提取环境特征、消除传感器间超参影响、心肺运动的实时分布特征及稳定状态下睡姿的识别。FIG. 2 is a schematic flowchart of steps of a method for recognizing a sleeping posture based on a piezoelectric ceramic sensor provided by an embodiment of the present invention. As shown in FIG. 2 , the method includes the following steps: analyzing the force and working state of the sensor, and calculating an equivalent output circuit , output voltage and stress mapping formula, sleep stable state discrimination, cardiopulmonary activity intensity characteristics in steady state, optimization of cardiopulmonary activity feature extraction environmental features, elimination of the influence of hyperparameters between sensors, real-time distribution characteristics of cardiopulmonary exercise and recognition of sleeping posture in steady state .
可选地,在本发明的实施例中,传感器受力与工作状态分析的步骤具体如下:Optionally, in the embodiment of the present invention, the steps of analyzing the force and working state of the sensor are as follows:
在本发明的压电陶瓷传感器系统中,压电陶瓷传感器具有压电效应,本发明主要利用其正压电效应,即在沿一定方向的外力作用形变时,内部发生电极化现象的同时,传感器会在表面上会产生符号相反的电荷。当外力去掉后便恢复到不带电的状态,并且在一定范围内,压电陶瓷传感器产生的电荷量与外力大小成正比。In the piezoelectric ceramic sensor system of the present invention, the piezoelectric ceramic sensor has a piezoelectric effect, and the present invention mainly utilizes its positive piezoelectric effect, that is, when an external force acts and deforms along a certain direction, the internal electric polarization phenomenon occurs, and the sensor Charges of opposite sign will be generated on the surface. When the external force is removed, it will return to an uncharged state, and within a certain range, the amount of charge generated by the piezoelectric ceramic sensor is proportional to the magnitude of the external force.
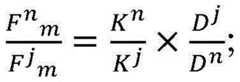
压电陶瓷传感器受到的外力在立体空间的3个维度方向上都会发生形变,并且产生应力。根据各项同体性的胡克定律,即内应力与应变量成正比。由于三个位面上柔顺系数与劲度系数不同,所以需要将3个位面分开讨论。The external force on the piezoelectric ceramic sensor will deform in the three-dimensional directions of the three-dimensional space, and generate stress. According to Hooke's law of isomorphism, the internal stress is proportional to the amount of strain. Since the compliance coefficient and stiffness coefficient are different on the three planes, the three planes need to be discussed separately.
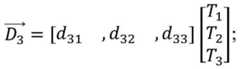
对于任意一点的应力状态要分解为3个位面,每个位面的力又可以分解为x轴、y轴、z轴的3系坐标,所以对于任意一点的应力状态由9个应力分量Txx,Txy,Txz,Tyx,Tyy,Tyz,Tzx,Tzy,Tzz决定。根据切应力互易定律可知,Tyz=Tzy,Txy=Tyx,Tzx=Txz,所以9个应力分量简化为6个。其中,Txx,Tyy,Tzz分别表示正应力,用T1,T2,T3表示;Tyz,Tzx,Txy分别表示切应力,用T4,T5,T6表示。The stress state at any point should be decomposed into 3 planes, and the force of each plane can be decomposed into 3 coordinate systems of x-axis, y-axis, and z-axis, so the stress state at any point is composed of 9 stress components Txx , Txy , Txz , Tyx , Tyy , Tyz , Tzx , Tzy , Tzz are decided. According to the shear stress reciprocity law, Tyz =Tzy , Txy =Tyx , Tzx =Txz , so the nine stress components are simplified to six. Among them, Txx , Tyy , Tzz represent normal stress respectively, represented by T1 , T2 , T3 ; Tyz , Tzx , Txy represent shear stress respectively, represented by T4 , T5 , T6 .
压电陶瓷传感器的电位移的公式为Electrical Displacement of Piezoelectric Ceramic Sensors The formula is
其中,ε0是在真空中的介电常数,在真空中压电陶瓷不会发生极化作用极化强度为各个方向的电场强度。Among them, ε0 is the dielectric constant in vacuum, and the piezoelectric ceramic does not have polarization in vacuum. is the electric field strength in all directions.
压电系数是极化强度与外应力的比值:Piezoelectric coefficient is polarization strength with external stress The ratio of:
其中,表示极化强度,其在3个面的分量为P1、P2、P3;[d]表示压电系数,表示外应力。in, represents the polarization intensity, and its components on the three surfaces are P1 , P2 , and P3 ; [d] represents the piezoelectric coefficient, represents the external stress.
由于为6个应力分量,所以,压电系数[d]是一个3*6的系数矩阵,压电系数第一个下标表示极化方向,也即电场方向,第二个下标是分解力的方向。because is 6 stress components, so the piezoelectric coefficient [d] is a 3*6 coefficient matrix, the first subscript of the piezoelectric coefficient represents the polarization direction, that is, the electric field direction, and the second subscript is the decomposition force direction.
压电陶瓷传感器系统Z轴的垂直方向短路分析:Vertical short-circuit analysis of the Z-axis of the piezoelectric ceramic sensor system:
设定压电陶瓷传感器在Z轴垂直方向上的下标为3,沿垂直方向上极化电极间短路时,电场强度为0,即:The subscript of the piezoelectric ceramic sensor in the vertical direction of the Z axis is set to 3, and the electric field intensity is 0 when the polarized electrodes are short-circuited in the vertical direction, that is:
E3=0;E3 = 0;
只考虑极化电场方向,即Only the direction of the polarized electric field is considered, i.e.
根据压电系数公式,此时方向的极化强度由正应力压电效应产生,即According to the piezoelectric coefficient formula, at this time The polarization in the direction is produced by the normal stress piezoelectric effect, namely
压电系数矩阵中,d31=d33,In the piezoelectric coefficient matrix, d31 =d33 ,
压电陶瓷传感器垂直方向断路分析:Piezoelectric ceramic sensor vertical open circuit analysis:
沿垂直方向极化电极间断路时,极板间电荷无法位移,即When the polarized electrodes are interrupted in the vertical direction, the charge between the plates cannot be displaced, that is,
D3=0;D3 = 0;
只考虑极化电场方向,即Only the direction of the polarized electric field is considered, i.e.
根据压电系数公式,此时,方向的极化强度由正应力压电效应产生。According to the piezoelectric coefficient formula, at this time, The directional polarization is produced by the normal stress piezoelectric effect.
设同样也为压电系数,此时的电场强度与应力的关系为Assume It is also the piezoelectric coefficient, and the relationship between the electric field strength and the stress at this time is
图3是本发明的实施例中用户与等重物体在压电陶瓷传感器系统上的输出电压曲线对比示意图,如图3所示,横坐标表示采样点个数,每个采样点为10ms,即横坐标也表示采样时间;纵坐标表示模数转化电路输出的数字电压。需要说明的是,在本申请中,纵坐标类似示波器输出电压值,理论上,模数转化器的工作电压为-3.3V~3.3V,纵坐标上数字刻度为4096时,对应的工作电压为3.3V,纵坐标上数字刻度为2048时,对应的工作电压为0V;无电压输出时,输出2048。Fig. 3 is a schematic diagram comparing the output voltage curves of the user and the equal weight object on the piezoelectric ceramic sensor system in the embodiment of the present invention. As shown in Fig. 3, the abscissa represents the number of sampling points, and each sampling point is 10ms, that is, The abscissa also represents the sampling time; the ordinate represents the digital voltage output by the analog-to-digital conversion circuit. It should be noted that in this application, the ordinate is similar to the output voltage value of the oscilloscope. In theory, the working voltage of the analog-to-digital converter is -3.3V to 3.3V, and when the digital scale on the ordinate is 4096, the corresponding working voltage is 3.3V, when the digital scale on the ordinate is 2048, the corresponding working voltage is 0V; when there is no voltage output, 2048 is output.
如图3中的(a)所示,为等重物体放置过程的输出电压变化曲线。在压电陶瓷中传感器泄露电阻与放大器输入电阻很大,工作状态下电位移微弱,在理想情况下压力改变瞬间可以视为电路断路,此时压电陶瓷传感器表面电场强度接近当应力增加时,电压快速抬升。但实际等效电阻并非是理想无穷大,实际电路并非断路一直存在电位移,所以一段时间后压电陶瓷两极平衡,电场与电压归零。As shown in (a) of Figure 3, it is the output voltage change curve of the process of placing equal weight objects. In piezoelectric ceramics, the leakage resistance of the sensor and the input resistance of the amplifier are large, and the electric displacement is weak in the working state. Under ideal conditions, the moment of pressure change can be regarded as a circuit breakage. At this time, the surface electric field strength of the piezoelectric ceramic sensor is close to When the stress increases, the voltage rises rapidly. However, the actual equivalent resistance is not ideal and infinite, and the actual circuit is not open circuit and there is always electrical displacement, so after a period of time, the two poles of the piezoelectric ceramic are balanced, and the electric field and voltage return to zero.
如图3中的(b)所示,为等重物体拿起过程的输出电压变化曲线。物体离开时,传感器应力减小,电压快速降落,一段时间后电场与电压也归于平衡。As shown in (b) in Figure 3, it is the output voltage change curve of the process of picking up an equal weight object. When the object leaves, the sensor stress decreases, the voltage drops rapidly, and the electric field and voltage also return to equilibrium after a period of time.
如图3中的(c)所示,为用户躺下过程的输出电压变化曲线。As shown in (c) of FIG. 3 , it is the output voltage change curve of the user lying down process.
如图3中的(d)所示,为用户起身过程的输出电压变化曲线。As shown in (d) in Figure 3, it is the output voltage change curve of the user getting up.
用户在躺下与起身瞬间,虽然与等重物体放置与拿起采集电压变化一致,但在一段时间后,采集的电压变化是周期性的类正弦信号,也即是医学中的混合心冲击信号。根据混合心冲击信号的医学含义,该信号是心肺活动产生的电压变化,根据正常的呼吸运动幅度远大于心跳产生的运动幅度,且断路状态下,应力与电场强度也即是表面电压成正比。由此可以推出用户处于睡眠平稳状态下,除了具有相对稳定的重力外,还具有呼吸运动产生的类正弦作用力。并且,呼吸运动产生的应力变化应远小于用户的自身重力,所以在用户起身与躺下瞬间压力与等重物体拿起放置一致。经过一段时间后,由重力引起的电荷位移完成,也即是回归短路状态时,此时呼吸运动的压力变化主导输出电压变化在压电陶瓷传感器表面产生类正弦压电变化。When the user is lying down and getting up, although the voltage change is consistent with placing and picking up an equal weight object, after a period of time, the collected voltage change is a periodic sinusoidal signal, which is a mixed cardiac shock signal in medicine. . According to the medical meaning of the mixed cardiac shock signal, the signal is the voltage change generated by the cardiopulmonary activity. According to the normal breathing motion amplitude is much larger than the motion amplitude generated by the heartbeat, and in the open circuit state, the stress is proportional to the electric field strength, that is, the surface voltage. From this, it can be inferred that when the user is in a stable sleep state, in addition to relatively stable gravity, it also has a sine-like force generated by the breathing movement. Moreover, the stress change caused by the breathing movement should be much smaller than the user's own gravity, so the pressure at the moment when the user gets up and lies down is consistent with picking up and placing an equal-weight object. After a period of time, the charge displacement caused by gravity is completed, that is, when it returns to the short-circuit state, the pressure change of the breathing movement at this time leads the output voltage change to produce a sinusoidal piezoelectric change on the surface of the piezoelectric ceramic sensor.
在本申请的额实施例中,混合心冲击信号中除了呼吸信号外还含有心冲击信号。In the embodiment of the present application, the mixed cardioplegia signal also contains a shockcardiogram in addition to the respiration signal.
图4是本发明的实施例提供的混合心冲击信号中的呼吸频段信号及原始混合信号示意图,如图4所示,粗实线为呼吸频段信号,细实线为混合心冲击信号,其中,横坐标表示采样点个数,每个采样点为10ms,即横坐标也表示采样时间;纵坐标表示模数转化电路输出的数字电压。FIG. 4 is a schematic diagram of the respiratory frequency band signal and the original mixed signal in the mixed cardiac shock signal provided by an embodiment of the present invention. As shown in FIG. 4 , the thick solid line is the respiratory frequency band signal, and the thin solid line is the mixed cardiac shock signal, wherein, The abscissa represents the number of sampling points, and each sampling point is 10ms, that is, the abscissa also represents the sampling time; the ordinate represents the digital voltage output by the analog-to-digital conversion circuit.
图5是本发明的实施例提供的混合心冲击信号中的心冲击信号及其心跳周期的包络示意图,如图5所示,细实线表示心冲击信号,粗实线表示心冲击信号心跳周期的包络,其中,横坐标表示采样点个数,每个采样点为10ms,即横坐标也表示采样时间;纵坐标表示模数转化电路输出的数字电压。FIG. 5 is a schematic diagram of the envelope of the shock cardiac signal and its heartbeat cycle in the mixed shock cardiac signal provided by an embodiment of the present invention. As shown in FIG. 5 , the thin solid line represents the shock cardiac signal, and the thick solid line represents the heartbeat of the shock cardiac signal. The envelope of the cycle, where the abscissa represents the number of sampling points, and each sampling point is 10ms, that is, the abscissa also represents the sampling time; the ordinate represents the digital voltage output by the analog-to-digital conversion circuit.
根据呼吸波的频率(0.1-0.5Hz)以及心冲击信号频率(5-20Hz)之间的差异,可以将心冲击信号与呼吸信号分离。与呼吸信号一样,心冲击信号是由心跳过程中压力变化产生,其信号虽然不是正弦信号却也是周期信号,在医学定义中一个周期为一次完整的心跳过程。According to the difference between the frequency of the respiratory wave (0.1-0.5 Hz) and the frequency of the cardiac shock signal (5-20 Hz), the cardiac shock signal can be separated from the respiratory signal. Like the respiration signal, the cardiac shock signal is generated by the pressure change during the heartbeat. Although its signal is not a sinusoidal signal, it is also a periodic signal. In the medical definition, a cycle is a complete heartbeat process.
进一步地,建立压电陶瓷传感器表面的受力模型:Further, the force model on the surface of the piezoelectric ceramic sensor is established:
其中,表示压电陶瓷传感器表面受到的总应力,表示用户重力产生的应力,表示用户呼吸运动产生的应力,表示用户心跳运动产生的应力。in, represents the total stress on the surface of the piezoelectric ceramic sensor, represents the stress caused by the user's gravity, represents the stress generated by the user's breathing movement, Indicates the stress caused by the user's heartbeat movement.
三种作用力虽然时域混叠在一起影响输出电压大小,但是各自的频率和电压变化周期互不干涉。Although the three acting forces are aliased together in the time domain to affect the output voltage, their respective frequencies and voltage change periods do not interfere with each other.
进一步地,在本发明的实施例中,等效输出电路计算的步骤具体如下:Further, in the embodiment of the present invention, the steps of calculating the equivalent output circuit are as follows:
在电路中,压电陶瓷等效于一个电压源串联自身电容C1,并联传感器泄露电阻R1,因为传感器本身产生的电压很微弱,所以设备中需要将传感器的表面电压通过运算放大器进行放大。In the circuit, the piezoelectric ceramic is equivalent to a voltage source with its own capacitance C1 in series, and the sensor leakage resistance R1 in parallel. Because the voltage generated by the sensor itself is very weak, the surface voltage of the sensor needs to be amplified by an operational amplifier.
图6是本发明的实施例提供的压电陶瓷传感器电压放大电路的示意图,如图6所示,C2表示运算放大器的输入电容,C3表示线路的等效电容,R1表示压电陶瓷传感器的泄露电阻,R2表示运算放大器的输入电阻。FIG. 6 is a schematic diagram of a piezoelectric ceramic sensor voltage amplifying circuit provided by an embodiment of the present invention. As shown in FIG. 6 , C2 represents the input capacitance of the operational amplifier, C3 represents the equivalent capacitance of the line, and R1 represents the piezoelectric ceramicThe leakage resistance of the sensor, R2 represents the input resistance of the op amp.
图7是本发明的实施例提供的压电陶瓷传感器电压放大电路的等效输入电路的示意图,如图7所示,等效输入电阻为FIG. 7 is a schematic diagram of an equivalent input circuit of a piezoelectric ceramic sensor voltage amplifier circuit provided by an embodiment of the present invention. As shown in FIG. 7 , the equivalent input resistance is
等效输入电容为The equivalent input capacitance is
C=C1+C2;C=C1 +C2 ;
进一步地,在本发明的实施例中,输出电压与应力映射公式的步骤具体如下:Further, in the embodiment of the present invention, the steps of outputting the voltage and stress mapping formula are as follows:
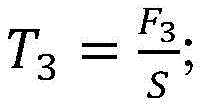
用户躺在压力传感器对传感器垂直方向的应力T3>>T1,T2,The stress T3 >>T1 , T2 of the user lying on the pressure sensor in the vertical direction of the sensor,
根据U=Ed,d是等势面距离即压电陶瓷厚度,T3是单位面积垂直方向力,即According to U=Ed, d is the equipotential surface distance, that is, the thicknessof the piezoelectric ceramic, and T3 is the vertical force per unit area, that is,
其中,F3为Z轴垂直方向力,S为压电陶瓷表面积,ε为介电常数。Among them, F3 is the vertical direction forceof the Z axis, S is the surface area of the piezoelectric ceramic, and ε is the dielectric constant.
假设当前用户处于睡眠平稳状态,即有Assuming that the current user is in a stable sleep state, that is,
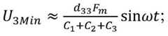
F3≈FN3+FM3+FH3;F3 ≈FN3 +FM3 +FH3 ;
其中,FN3重力应力是恒力,稳定状态下FN3分量等效短路电路,产生的电压为0。FM3呼吸应力可以等效为幅度为Fm的正弦信号,fm为呼吸速率。Among them, the FN3 gravitational stress is a constant force, and the FN3 component is equivalent to a short-circuit circuit in a steady state, and the resulting voltage is 0. FM3 respiratory stress can be equivalent to a sinusoidal signal with an amplitude of Fm , where fm is the respiratory rate.
FM3≈Fmsinωt;FM3 ≈Fm sinωt;
ω=2πfm;ω=2πfm ;
传感器表面电压U3的呼吸运动分量Respiratory motion component of sensor surface voltageU3
运算放大器的输入电压The input voltage of the op amp
运算放大器的输入电压幅度值The input voltage amplitude value of the operational amplifier
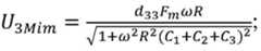
等效输入电阻R中的泄露电阻R1,放大器输入电阻R2较大,即ωR(C1+C2+C3)>>1;The leakage resistance R1 in the equivalent input resistance R, the amplifier input resistance R2 is relatively large, that is, ωR(C1 +C2 +C3 )>>1;
运算放大器电压U3Min经过放大后,依次经过低通滤波、电压抬升、数模转化,最后采集的数字电压U′3Mout只是模拟电压U3Mout的数字化,即U′3Mout≈U3Mout。低通滤波主要滤除50Hz以上的硬件噪声,滤波后几乎不影响采集电压的幅度值。After the operational amplifier voltage U3Min is amplified, it undergoes low-pass filtering, voltage boosting, and digital-to-analog conversion in sequence. The finally collected digital voltage U3Mout is just the digitization of the analog voltage U3Mout , that is, U′3Mout ≈ U3Mout . The low-pass filter mainly filters out the hardware noise above 50Hz, which hardly affects the amplitude value of the collected voltage after filtering.
设定电压放大倍数B,电压抬升为A,此时,对呼吸运动采集的数字电压U′3Mout为Set the voltage amplification factor B, and the voltage rise is A. At this time, the digital voltage U′3Mout collected by the breathing motion is
心冲击信号是周期信号,如图5中所示的细实线信号,根据医学性质,心冲击信号的包络是类chirp信号,频率由当前心率决定。根据短时间(30秒)内心率变化,一般小于0.3Hz可以将短时间内心冲击信号心跳频段的包络信号,等效于正弦信号,如图5中所示的粗实线信号。该等效正弦信号含有原始心冲击信号的峰值幅度与周期特性,根据传感器表面输出电压与产生电压的应力成正比,可以用等效周期运动生成图5的包络信号,β为当前心跳角速度。所以,等效心跳是心跳运动应力Fh的周期包络,与心跳应力的幅值Fh具有一致性。The shock cardiac signal is a periodic signal, such as a thin solid line signal as shown in Fig. 5. According to the medical properties, the envelope of the shock cardiac signal is a chirp-like signal, and the frequency is determined by the current heart rate. According to the change of heart rate in a short time (30 seconds), generally less than 0.3 Hz, the envelope signal of the heartbeat frequency band of the short-term shock signal can be equivalent to a sinusoidal signal, such as the thick solid line signal shown in Figure 5. The equivalent sinusoidal signal contains the peak amplitude and periodic characteristics of the original cardiac shock signal. According to the sensor surface output voltage is proportional to the stress that generates the voltage, the equivalent periodic motion can be used. The envelope signal of Fig. 5 is generated, and β is the current heartbeat angular velocity. So, the equivalent heartbeat is the periodic envelope of the heartbeat motion stress Fh , It is consistent with the amplitude Fh of the heartbeat stress.
与呼吸运动一样,同理可得心冲击包络电压信号与等效心跳应力关系为Similar to the breathing exercise, the relationship between the cardiac impulse envelope voltage signal and the equivalent heartbeat stress can be obtained as follows:
进一步地,在本发明实施例中,睡眠稳定状态判别的步骤如下:Further, in the embodiment of the present invention, the steps of determining the sleep stable state are as follows:
根据前面的计算过程,采集数据是外界应力在数字电压上的映射,但本发明考虑的只是理想平稳状态下的,力的结构的不同会导致数据的状态发生改变。在排除数据异常的段落后,可以将正常的数据分为非平稳状态和平稳状态,其中非平稳态包括起床、躺下、体动这些具有明显肢体动作的状态,还包括离床空载状态According to the previous calculation process, the collected data is the mapping of the external stress on the digital voltage, but the present invention only considers the ideal stationary state, and the different force structure will cause the state of the data to change. After excluding paragraphs with abnormal data, normal data can be divided into non-stationary state and stationary state, where non-stationary state includes states with obvious body movements such as getting up, lying down, and body movement, and also including getting out of bed and no-load state
针对上述状态进行受力的分析,Z轴的垂直方向力可分为重力应力,呼吸运动应力和心跳运动应力,其中,重力应力远大于呼吸运动应力,呼吸运动应力远大于心跳运动应力。According to the force analysis of the above state, the vertical force of the Z axis can be divided into gravitational stress, respiratory motion stress and heartbeat motion stress, among which, the gravitational stress is much greater than the respiratory motion stress, and the respiratory motion stress is much greater than the heartbeat motion stress.
起床过程是从平稳在床状态到离床的转变,起床期间重力应力迅速减少,变化速度远大于心跳呼吸运动应力,此时输出电压急速下降。The process of getting up is a transition from a steady state of being in bed to getting out of bed. During getting up, the gravitational stress decreases rapidly, and the change speed is much greater than the stress of the heartbeat, respiration, and movement. At this time, the output voltage drops rapidly.
离床状态,即床垫空载状态,此时,没有应力作用,输出为0。The state of leaving the bed, that is, the state of the mattress without load, at this time, there is no stress, and the output is 0.
躺下过程是从离床状态到平稳在床状态的转变,躺下期间,重力应力迅速增加,变化速度远大于心跳呼吸运动应力,此时输出电压急速上升。The process of lying down is the transition from the state of getting out of bed to the state of being stable in bed. During the period of lying down, the gravitational stress increases rapidly, and the change speed is much greater than the stress of the heartbeat, respiration, and movement. At this time, the output voltage rises rapidly.
体动状态是用户在平稳状态下肢体发生运动的状态,体动发生前后都是睡眠平稳状态,体动期间重力应力可能增加也可能减少,变化速度远大于心跳呼吸运动应力,此时输出电压会发生急速变化,但体动发生前后均为睡眠平稳状态。The body movement state is the state in which the user's limbs move in a stable state. Before and after the body movement is in a stable sleep state, the gravitational stress may increase or decrease during the body movement, and the change speed is much greater than that of the heartbeat and breathing movement. At this time, the output voltage will increase. Rapid changes occur, but sleep is stable before and after body movement occurs.
在平稳状态过程中,重力应力几乎不变或者缓慢的变化,几乎不影响输出电压,只影响输出的趋势波,又因呼吸周期应力远大于心跳周期应力,所以平稳状态下的输出主要是呼吸应力产生的电压变化U′3Mout。In the steady state process, the gravitational stress hardly changes or changes slowly, hardly affects the output voltage, but only affects the output trend wave, and because the respiratory cycle stress is much larger than the heartbeat cycle stress, the output in the steady state is mainly the respiratory stress. The resulting voltage change U'3Mout .
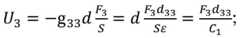
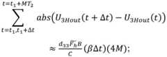
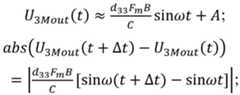
进一步地,在本发明实施例中,平稳状态下心肺活动强度特征的步骤具体如下:Further, in the embodiment of the present invention, the steps of the cardiopulmonary activity intensity feature in a steady state are as follows:
正常的睡眠期间,稳定状态占绝大部分时间,稳定状态下可以很好的观察混合心冲击信号,并分别提取其中的呼吸运动变化信号与心跳运动变化信号,本发明着重对稳定状态下的信号进行心肺活动的分布进行处理。而对于离床、起身、躺下与体动状态,均是不稳定或无数据状态,本发明只对其进行判别用于睡眠状态的监控而不做进一步处理。During normal sleep, the stable state accounts for most of the time. In the stable state, the mixed cardiac shock signal can be well observed, and the breathing motion change signal and the heartbeat motion change signal are extracted respectively. The present invention focuses on the signal in the stable state. The distribution of cardiorespiratory activity was processed. For the states of getting out of bed, getting up, lying down and body movement, all are unstable or data-free states, and the present invention only determines them for monitoring the sleep state without further processing.
通过对采集的混合心冲击信号提取与处理,可以得到呼吸运动频率信号U′3Mout与心跳运动频率的包络信号U′3Hout,根据压力与输出电压之间的映射关系,可得到实时信号与抬升电压,当前信号与相位ωt、抬升电压A有关部分通过信号微分可以消除,即By extracting and processing the collected mixed cardiac shock signals, the respiratory motion frequency signal U'3Mout and the envelope signal U'3Hout of the heartbeat motion frequency can be obtained. According to the mapping relationship between the pressure and the output voltage, the real-time signal and lift can be obtained. Voltage, the current signal related to the phase ωt and the boosted voltage A can be eliminated through signal differentiation, that is,
其中,Δt为一个极小的时间间隔,在实现过程中最小的时间间隔为一次采样时间差;ω表示呼吸角速度;f表示呼吸速率,其在0.1Hz-0.5Hz,Δtω<<2π趋近于0。Among them, Δt is a very small time interval, and the smallest time interval in the implementation process is a sampling time difference; ω represents the respiration angular velocity; f represents the respiration rate, which is 0.1Hz-0.5Hz, Δtω<<2π tends to 0 .
由此可知:From this it can be seen that:
sinω(t+Δt)-sinωt=sinωt cosωΔt+sinωΔt cosωt-sinωt;sinω(t+Δt)-sinωt=sinωt cosωΔt+sinωΔt cosωt-sinωt;
根据麦克劳林公式:According to McLaughlin's formula:
可知:It is known that:
sinω(t+Δt)-sinωt≈sinωt(1)+(ωΔt)cosωt-sinωtsinω(t+Δt)-sinωt≈sinωt(1)+(ωΔt)cosωt-sinωt
=(ωΔt)cosωt;=(ωΔt)cosωt;
其中,U3Mout(t)表示采集的数字信号,Δt表示选取信号的采样间隔,d33表示压电系数,B表示运放放大系数,C表示等效输入内部电容,ω表示呼吸运动角速度,Fm表示呼吸运动应力幅度。Among them, U3Mout (t) represents the digital signal collected, Δt represents the sampling interval of the selected signal, d33 represents the piezoelectric coefficient, B represents the operational amplifier amplification factor, C represents the equivalent input internal capacitance, ω represents the angular velocity of breathing motion, Fm represents the magnitude of respiratory exercise stress.
采集数据U3Mout(t)是周期信号,所以其与当前时间,也即瞬时相位ωt相关,通过正弦信号完整周期下积分值为常数的特点,削减相位干扰。设一次呼吸的周期为选取N次周期NT>>Δt,电压输出的采样间隔为Δt,则The collected data U3Mout (t) is a periodic signal, so it is related to the current time, that is, the instantaneous phase ωt, and the phase interference is reduced by the characteristic that the integral value is constant under the complete cycle of the sinusoidal signal. Let the period of one breath be Select N cycles NT >> Δt, and the sampling interval of voltage output is Δt, then
其中,d33、C、B分别表示压电陶瓷传感器的超参,N表示预设信号的周期数。Wherein, d33 , C, and B respectively represent the hyperparameters of the piezoelectric ceramic sensor, and N represents the number of cycles of the preset signal.
由此,建立了采集呼吸运动电压U3Mout(t)与呼吸运动的应力幅度Fm的关系。Thus, the relationship between the collected respiratory motion voltage U3Mout (t) and the respiratory motion stress amplitude Fm is established.
同理,可以得到心跳运动电压的包络信号U3Hout(t)与心跳运动的应力幅度的关系,如下:Similarly, the envelope signal U3Hout (t) of the heartbeat motion voltage and the stress amplitude of the heartbeat motion can be obtained relationship, as follows:
其中,d33、C、B分别表示压电陶瓷传感器的超参,β表示当前的心跳加速度,表示一次呼吸的周期,M表示预设的心跳处理周期数。Among them, d33 , C and B respectively represent the hyperparameters of the piezoelectric ceramic sensor, β represents the current heartbeat acceleration, Represents the cycle of one breath, and M represents the preset number of heartbeat processing cycles.
进一步地,在本发明实施例中,优化心肺活动特征提取环境特征的步骤具体如下:Further, in the embodiment of the present invention, the steps of optimizing the cardiopulmonary activity feature to extract the environmental feature are as follows:
通过混合心冲击信号的分频与信号处理,可以得到呼吸运动电压信号U3Mout(t)和心跳运动电压信号U3Hout(t)信号。Through frequency division and signal processing of the mixed cardiac impulse signal, the respiratory motion voltage signal U3Mout (t) and the heartbeat motion voltage signal U3Hout (t) can be obtained.
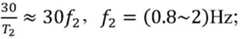
根据上述步骤得到的特征公式中,呼吸运动对应的公式中积分的长度是NT1,心跳运动对应的公式中积分的长度是MT2,两者长度不等,而且不同个体在不同场景下的心跳周期T1与呼吸周期T2具有较大差异。所以,本发明预设一个固定信号长度的特征提取公式,选择处理心率与呼吸的信号长度每帧在30秒到3分钟为最佳。信号处理时间越长,每帧信号中N与M越大,特征越平稳,对相位造成的影响越小,但单位时间内心率与呼吸率变化程度的可能性越大。所以,综合考虑每帧信号在30秒~1分钟进行呼吸运动强度特征与心跳运动强度特征等处理,以30秒为例:In the characteristic formula obtained according to the above steps, the length of the integral in the formula corresponding to the breathing motion is NT1 , and the length of the integral in the formula corresponding to the heartbeat motion is MT2 .The periodT1 is quite different from the breathing period T2. Therefore, the present invention presets a feature extraction formula with a fixed signal length, and selects the best signal length for processing heart rate and respiration to be 30 seconds to 3 minutes per frame. The longer the signal processing time, the larger the N and M in each frame of signal, the more stable the feature, and the smaller the impact on the phase, but the greater the possibility of changes in the heart rate and respiration rate per unit time. Therefore, taking 30 seconds as an example:
30秒内拥有呼吸周期数Number of breathing cycles in 30 seconds
30秒内拥有心跳周期数Number of heartbeat cycles within 30 seconds
正弦信号绝对值的积分,每的相位的积分都为1,所以对120f1、120f2取整,即The integral of the absolute value of the sinusoidal signal, each The integrals of the phases are all 1, so 120f1 and 120f2 are rounded, that is
此时,可以对具有不完整周期的信号进行估计,精度为0.25个周期,误差较小,即:At this point, signals with incomplete cycles can be estimated with an accuracy of 0.25 cycles and a small error, namely:
进一步地,在本发明实施例中,消除传感器间超参影响的步骤具体如下:Further, in the embodiment of the present invention, the steps of eliminating the influence of hyperparameters between sensors are as follows:
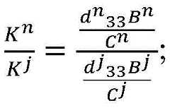
根据上述步骤,可以得到单一传感器下特征值与输出电压之间的关系,d33、C、B是传感器的超参,即表示传感器固有的参数。虽然同一传感器的超参是恒定的,但是计算多路传感器的运动力分布时,不同传感器之间具有差异性,即使采用同一批次的元件,也不能保证输出电路具有一致性,因此,需要消除传感器之间的超参。According to the above steps, the relationship between the eigenvalue and the output voltage under a single sensor can be obtained, d33 , C, and B are the hyperparameters of the sensor, that is, the inherent parameters of the sensor. Although the hyperparameter of the same sensor is constant, when calculating the motion force distribution of multiple sensors, there are differences between different sensors. Even if the same batch of components is used, the consistency of the output circuit cannot be guaranteed. Therefore, it is necessary to eliminate the Hyperparameters between sensors.
在本发明的实施例中,假设di33,Ci,Bi的上标为传感器的编号,输出呼吸运动强度特征Ki,即In the embodiment of the present invention, it is assumed that the superscripts of di33 , Ci , Bi are the numbers of the sensors, and the output breathing exercise intensity feature Ki , that is,
采用恒定震动源放置在各个传感器之上,多次测试输出电压,Fim、ωi恒定保持不变。将第n个传感器的特征值与第j个传感器的特征值作比值,可以得到传感器超参间的比值,即A constant vibration source is placed on each sensor, and the output voltage is tested for many times, and F im and ω iremainconstant . The ratio between the eigenvalues of the nth sensor and the eigenvalues of the jth sensor can be obtained, that is, the ratio between the hyperparameters of the sensors can be obtained.
将参数最小且工作正常的传感器设为单位基准其余传感器得出与其超参的比值Di,则同一时刻下不同传感器采集到呼吸运动强度特征Ki与呼吸运动压力幅度Fim之间的关系:Set the sensor with the smallest parameters and working properly as the unit base The other sensors obtain the ratio Di to their hyper-parameters, then the relationship between the breathing exercise intensity feature Ki and the breathing exercise pressure amplitude Fim collected by different sensors at the same time:
其中,ω表示呼吸频率。不同传感器之间对于呼吸运动压力幅度Fim不同,呼吸频率是一致的。where ω is the breathing frequency. Different sensors have different breathing motion pressure amplitude Fim , and the breathing frequency is consistent.
对于呼吸运动强度的分布,即是通过特征Ki,求得不同传感器下呼吸运动幅度Fim之间的关系,即For the distribution of breathing motion intensity, that is, through the feature Ki , the relationship between the breathing motion amplitude Fim under different sensors is obtained, that is,
同理,可以计算不同传感器下心跳运动幅度之间的关系,在此不再赘述。In the same way, the heartbeat movement amplitude under different sensors can be calculated The relationship between them will not be repeated here.
进一步地,在本发明实施例中,心肺运动的实时分布特征的步骤具体如下:Further, in the embodiment of the present invention, the steps of the real-time distribution characteristics of cardiopulmonary exercise are as follows:
通过上述步骤,可以通过采集的电压特征Ki和测试的传感器特征Di,分别计算得到心跳运动与呼吸运动的强度分布同时也能得到此时的心率、呼吸、心率变异性(HeartRate Variability;HRV)等睡眠信息。Through the above steps, the intensity distribution of the heartbeat motion and the breathing motion can be calculated respectively through the collected voltage feature Ki and the tested sensor feature Di . At the same time, sleep information such as heart rate, respiration, and heart rate variability (HeartRate Variability; HRV) at this time can also be obtained.
进一步地,在本发明的实施例中,稳定状态下睡姿识别的步骤具体如下:Further, in the embodiment of the present invention, the steps of recognizing the sleeping posture in a stable state are as follows:
通过上述步骤对数据进行判别识别起床、离床、躺下、体动和平稳状态,进一步地,在用户睡眠平稳状态下,进行睡姿识别。Through the above steps, the data is discriminated to identify getting up, getting out of bed, lying down, body movement and steady state, and further, when the user sleeps in a steady state, the sleeping posture is identified.
为了能适应环境影响以及考虑更丰富的场景特性,本发明还添加了个性化的环境矢量特征,其包括心跳运动幅度与呼吸运动幅度强度比值、用户标准平躺时所占传感器的总路数、用户侧卧下所占传感器的总路数、当前数据状态判别和前一时刻的数据状态判别。In order to adapt to the influence of the environment and consider more abundant scene characteristics, the present invention also adds a personalized environment vector feature, which includes the ratio of the amplitude of the heartbeat movement to the amplitude of the breathing movement, the total number of sensors occupied when the user is lying flat, The total number of sensors occupied by the user lying on the side, the current data state discrimination and the data state discrimination at the previous moment.
在本发明的实施例中,采用的训练样本为4000case,其中,特征矩阵呼吸运动的幅度分布特征2*8,特征矩阵心跳运动的幅度分布特征2*8,环境矢量特征1*5,睡姿标签为平躺,左侧卧,右侧卧,俯卧。本发明采用压缩和激励网络(Squeeze-and-ExcitationNetworks;SENet)分类网络框架进行分类,对卷积后得到的特征映射(feature map)进行处理,得到一个和通道数一样的一维向量作为每个通道的评价分数,然后将改分数分别施加到对应的通道上,得到其结果。从而显式地建模通道之间的相互依赖关系,自适应地重新校准通道的特征响应,提高模型分类的精度。In the embodiment of the present invention, the training sample used is 4000case, wherein the characteristic matrix is the amplitude distribution characteristic of
图8是本发明提供的基于压电陶瓷传感器的睡姿识别方法的系统框架示意图,如图8所示,在用户处于睡眠平稳状态下,通过压电陶瓷传感器系统的信号采集模块,采集用户胸腹区域作用于压电陶瓷传感器系统的压力,得到对应的输出电压,经过运算放大器、电压抬升、低通滤波器和数模转化,得到用户胸腹区域的混合心冲击信号。FIG. 8 is a schematic diagram of the system framework of the sleep posture recognition method based on the piezoelectric ceramic sensor provided by the present invention. As shown in FIG. 8 , when the user is in a stable sleep state, the user’s chest is collected through the signal acquisition module of the piezoelectric ceramic sensor system. The abdominal area acts on the pressure of the piezoelectric ceramic sensor system to obtain the corresponding output voltage. After the operational amplifier, voltage boost, low-pass filter and digital-to-analog conversion, the mixed cardiac shock signal of the user's chest and abdomen area is obtained.
进一步地,经过传感器状态分析、传感器应力分析和输出等效电路计算,得到输出电压与应力的映射关系。Further, through sensor state analysis, sensor stress analysis and output equivalent circuit calculation, the mapping relationship between output voltage and stress is obtained.
进一步地,用户胸腹区域的混合心冲击信号,经过信号分析与处理,可以得到心肺运动信号,通过消除各路传感器之间超参的测试,利用信号实时性心率、呼吸率,对心肺运动信号进行特征提取,可以确定出心肺活动分布特征。Further, the mixed cardiac shock signal of the user's chest and abdomen area can be obtained through signal analysis and processing to obtain the cardiopulmonary exercise signal. By feature extraction, the distribution features of cardiopulmonary activity can be determined.
进一步地,根据用户的心肺活动分布特征与状态环境矢量特征,基于压缩和激励网络(Squeeze-and-Excitation Networks;SENet)结构模型,对用户进行睡姿识别。Further, according to the user's cardiorespiratory activity distribution characteristics and state environment vector characteristics, based on the Squeeze-and-Excitation Networks (SENet) structural model, the sleeping posture of the user is recognized.
本发明的实施例的方法,提供一种多路传感器设备识别睡眠中用户心肺联合活动的分布方法。本发明首先采用压电陶瓷传感器和MSP430芯片设计一个16路压力采集床垫,获取用户睡眠时胸腹部位的混合心冲击信号。根据等效电路原理,可以将压电陶瓷传感器等效为一个电压源以及一个电容,外部压力的变化会改变电压源的电压值,之后电压信号通过运放电路、滤波电路、抬升电路和模数转化电路,最后将数字信号上传至服务器。本发明采集到的数据也即是压电陶瓷表面电压的函数变化,通过压电陶瓷与运放的等效电路可以计算压电陶瓷表面电压与输出电压的运算关系。理想情况下,压电传感器的泄露电阻R1和运算放大器输入电阻R2远大于电路等效电容C,等效电阻R可以视为电阻无穷大的开路。因此,在压电陶瓷受力瞬间几乎不发生电位移,只改变两极的电压。但在实际情况下,等效电路并非真正开路,受力瞬间有少量的电位移。随着时间推移如保持受力不变,长时间压电陶瓷两极电荷最终平衡,内部电场强度与电压归零。The method of the embodiment of the present invention provides a distribution method for a multi-channel sensor device to identify the combined cardiopulmonary activity of a user during sleep. The present invention firstly uses piezoelectric ceramic sensor and MSP430 chip to design a 16-channel pressure acquisition mattress, and acquires the mixed cardiac shock signal of the user's chest and abdomen during sleep. According to the equivalent circuit principle, the piezoelectric ceramic sensor can be equivalent to a voltage source and a capacitor. The change of external pressure will change the voltage value of the voltage source, and then the voltage signal will pass through the op amp circuit, filter circuit, boost circuit and analog-digital Convert the circuit, and finally upload the digital signal to the server. The data collected by the invention is also the function change of the piezoelectric ceramic surface voltage, and the operation relationship between the piezoelectric ceramic surface voltage and the output voltage can be calculated through the equivalent circuit of the piezoelectric ceramic and the operational amplifier. Ideally, the leakage resistance R1of the piezoelectric sensor and the input resistance R2 of the operational amplifier are much largerthan the equivalent capacitance C of the circuit, and the equivalent resistance R can be regarded as an open circuit with infinite resistance. Therefore, almost no electrical displacement occurs at the moment when the piezoelectric ceramic is stressed, and only the voltage of the two poles is changed. But in practice, the equivalent circuit is not really open, and there is a small amount of electrical displacement at the moment of force. With the passage of time, if the force remains unchanged, the charges on the two electrodes of the piezoelectric ceramic will eventually balance for a long time, and the internal electric field strength and voltage will return to zero.
本发明通过对比用户躺下、起身和平稳状态和等重物体的放置、拿起和稳定状态的输出数字电压,将电压变化分为电压快速变化部分与电压平稳部分。对于电压快速变化部分,用户与等重物体的电压变化情况基本一致,此时输出电路等效开路,传感器受力的快速增加或减少产生的电荷几乎不发生电位移,传感器上下产生较大电压改变。对于电压平稳部分,此时等重物体的支持力保持恒定,平稳状态的电压与空载状态几乎一致。因为实际输出等效电阻并非无穷大,电路存在着微弱的电位移,一段时间后位移达到平衡,输出电路等效短路电路电压归零。而用户平稳状态仍然具有周期性压力变化,根据混合心冲击信号的医学意义,用户在平稳状态时采集的混合心冲击信号是以呼吸运动为主,同时包含心跳、脉搏震动的心肺周期产生。平稳状态时采集混合心冲击信号呈类正弦周期变化,通过计算放大电压与瞬时受力成正比,可以得到心肺活动的压力在一段时间内是幅度大小为Fm的类正弦变化,变化周期与呼吸的频率一致。于是识别心肺活动分布,也即是分析各路传感器监测得到的心肺运动幅度的实时分布,运动幅度Fm,越大,则该路传感器监测到的呼吸、心跳运动强度越大。The invention divides the voltage change into a voltage fast changing part and a voltage stable part by comparing the output digital voltage in the user's lying down, getting up and stable state and the placing, picking up and stable state of an equal weight object. For the part where the voltage changes rapidly, the voltage changes of the user and the object of equal weight are basically the same. At this time, the output circuit is equivalent to an open circuit, and the charge generated by the rapid increase or decrease of the force on the sensor has almost no electrical displacement, and a large voltage change occurs up and down the sensor. . For the stable part of the voltage, the supporting force of the equal weight object remains constant at this time, and the voltage in the stable state is almost the same as that in the no-load state. Because the actual output equivalent resistance is not infinite, there is a weak electrical displacement in the circuit. After a period of time, the displacement reaches a balance, and the equivalent short-circuit circuit voltage of the output circuit returns to zero. However, the steady state of the user still has periodic pressure changes. According to the medical significance of the mixed cardiac shock signal, the mixed cardiac shock signal collected by the user in the steady state is mainly generated by the breathing motion, and also includes the cardiopulmonary cycle of the heartbeat and pulse vibration. When the mixed cardiac shock signal is collected in a steady state, it changes in a quasi-sinusoidal period. By calculating that the amplified voltage is proportional to the instantaneous force, it can be obtained that the pressure of the cardiopulmonary activity is a quasi-sinusoidal change with an amplitude of Fm in a period of time. The change period is related to the respiration. the same frequency. Therefore, the distribution of cardiopulmonary activity is identified, that is, the real-time distribution of cardiopulmonary motion amplitudes monitored by various sensors is analyzed, and the motion amplitudes Fm , The larger the value, the greater the breathing and heartbeat movement intensity monitored by the sensor.
本发明结合微积分和麦克劳林公式,设计了一种呼吸频率自适应的特征提取方法,该方法首先利用采集到的一段电压数据判别当前的数据状态处于起身、离床、体动、躺下还是平稳状态。当此时为平稳状态时,符合模型工作条件,利用该路传感器输出的电压、呼吸频率,建立与呼吸幅度Fm线性相关的特征映射,根据该段信号的呼吸频率调整采样长度和相位差,得到该路压电陶瓷传感器更精确的呼吸幅度特征。通过稳定震动源在不同传感器的震动测试对比,消除各传感器之间超参的影响,得到睡眠期间呼吸运动幅度的实时分布。同理可以通过心跳频段的电压信号,计算与心跳平均幅度线性相关的特征映射,心跳信号虽然具有周期性,但不是标准的正弦信号,结合心率的变化能得到心跳平均幅度特征从而得到睡眠期间心跳运动均幅的实时分布。The invention combines calculus and McLaughlin formula to design a feature extraction method for adaptive breathing frequency. The method first uses the collected voltage data to determine whether the current data state is getting up, getting out of bed, moving or lying down. Still stable. When it is in a steady state at this time, it conforms to the working conditions of the model. Using the voltage and breathing frequency output by the sensor, a feature map linearly related to the breathing amplitude Fm is established, and the sampling length and phase difference are adjusted according to the breathing frequency of the signal. A more accurate respiration amplitude characteristic of the piezoelectric ceramic sensor is obtained. By comparing the vibration test of the stable vibration source in different sensors, the influence of the hyperparameters between the sensors is eliminated, and the real-time distribution of the breathing motion amplitude during sleep is obtained. Similarly, the average amplitude of the heartbeat can be calculated from the voltage signal in the heartbeat frequency band. Linear correlation feature mapping. Although the heartbeat signal is periodic, it is not a standard sinusoidal signal. Combined with the change of heart rate, the average amplitude of the heartbeat can be obtained. Thereby, the real-time distribution of the average amplitude of heartbeat motion during sleep is obtained.
本发明结合压电效应、等效电路、混合心冲击信号的医学特性与麦克劳林极限思想,将呼吸运动的幅值和心跳运动的均值幅值与输出电压信号之间建立映射关系。本发明提取的信号特征抗干扰性强,易于数据状态的区分,解决了不同测试场景以及不同测试群体绝对压力的差异性问题,克服了常规判别模型对传感器的大量需求,降低了数据采集量,并利用呼吸信号、心跳信号的多模态融合,基于心率、呼吸率调整周期与相位的方法,优化了分布特征,并规范了分布特征对应的信号长度,得到心跳与呼吸两种关键生理活动的联合特征。与传统的绝对压力分布特征相比,本发明的分布特征具有更好的延展性,在睡姿识别以及数据状态的联合监测中具有巨大的优势。The invention combines the piezoelectric effect, the equivalent circuit, the medical characteristics of the mixed cardiac shock signal and the McLaughlin limit idea, and establishes a mapping relationship between the amplitude of the breathing movement and the mean amplitude of the heartbeat movement and the output voltage signal. The signal features extracted by the present invention have strong anti-interference ability, are easy to distinguish data states, solve the problem of differences in absolute pressure of different test scenarios and different test groups, overcome the large demand for sensors by conventional discriminant models, and reduce the amount of data collection. And using the multimodal fusion of breathing signal and heartbeat signal, based on the method of adjusting the period and phase of heart rate and breathing rate, the distribution characteristics are optimized, and the signal length corresponding to the distribution characteristics is standardized, and the two key physiological activities of heartbeat and breathing are obtained. joint features. Compared with the traditional absolute pressure distribution feature, the distribution feature of the present invention has better ductility, and has great advantages in sleeping posture recognition and joint monitoring of data status.
图9是本发明提供的基于压电陶瓷传感器的睡姿识别装置的结构示意图,如图9所示,包括:FIG. 9 is a schematic structural diagram of a sleeping posture recognition device based on a piezoelectric ceramic sensor provided by the present invention, as shown in FIG. 9 , including:
混合心冲击信号采集模块910,用于在用户处于睡眠平稳状态的情况下,基于压电陶瓷传感器系统,获取用户胸腹区域的混合心冲击信号,其中,所述压电陶瓷传感器系统中包含多个压电陶瓷传感器;The hybrid cardiac shock
心肺活动分布特征生成模块920,用于基于所述混合心冲击信号,确定用户的心肺活动分布特征;a cardiopulmonary activity distribution
睡姿识别结果生成模块930,用于将所述心肺活动分布特征与预设环境矢量特征输入训练好的睡姿识别分类网络模型,得到用户的睡姿识别结果;The sleeping posture recognition result
其中,所述训练好的睡姿识别分类网络模型是根据携带有睡姿标签的心肺活动分布特征与环境矢量特征样本进行训练得到的。Wherein, the trained sleeping posture recognition and classification network model is obtained by training according to the cardiopulmonary activity distribution features and the environmental vector feature samples carrying the sleeping posture labels.
本发明实施例提供的基于压电陶瓷传感器的睡姿识别装置,通过在用户处于睡眠平稳状态的情况下,基于压电陶瓷传感器系统,获取用户胸腹区域的混合心冲击信号;基于对混合心冲击信号的提取与处理,获取用户的心肺活动分布特征,以将用户的心肺活动分布特征与预设环境矢量特征输入训练好的睡姿识别分类网络模型,得到用户的睡姿识别结果,实现非侵入式实时用户睡姿监测,具有较强的普适性和环境抗干扰能力。The sleeping posture recognition device based on the piezoelectric ceramic sensor provided by the embodiment of the present invention obtains the mixed cardiac shock signal of the user's chest and abdomen area based on the piezoelectric ceramic sensor system when the user is in a stable sleep state; The extraction and processing of the impact signal, to obtain the user's cardiorespiratory activity distribution characteristics, so as to input the user's cardiorespiratory activity distribution characteristics and the preset environment vector characteristics into the trained sleeping posture recognition classification network model, and obtain the user's sleeping posture recognition results. The intrusive real-time monitoring of user sleeping posture has strong universality and environmental anti-interference ability.
本实施例所述的基于压电陶瓷传感器的睡姿识别装置可以用于执行上述方法实施例,其原理和技术效果类似,此处不再赘述。The sleeping posture recognition device based on the piezoelectric ceramic sensor described in this embodiment can be used to execute the above method embodiments, and its principles and technical effects are similar, and details are not described herein again.
图10是本发明提供的电子设备的结构示意图,如图10所示,该电子设备可以包括:处理器(processor)1010、通信接口(Communications Interface)1020、存储器(memory)1030和通信总线1040,其中,处理器1010,通信接口1020,存储器1030通过通信总线1040完成相互间的通信。处理器1010可以调用存储器1030中的逻辑指令,以执行所述基于压电陶瓷传感器的睡姿识别方法,该方法包括:在用户处于睡眠平稳状态的情况下,基于压电陶瓷传感器系统,获取用户胸腹区域的混合心冲击信号,其中,所述压电陶瓷传感器系统中包含多个压电陶瓷传感器;基于所述混合心冲击信号,确定用户的心肺活动分布特征;将所述心肺活动分布特征与预设环境矢量特征输入训练好的睡姿识别分类网络模型,得到用户的睡姿识别结果;其中,所述训练好的睡姿识别分类网络模型是根据携带有睡姿标签的心肺活动分布特征与环境矢量特征样本进行训练得到的。FIG. 10 is a schematic structural diagram of an electronic device provided by the present invention. As shown in FIG. 10 , the electronic device may include: a processor (processor) 1010, a communication interface (Communications Interface) 1020, a memory (memory) 1030 and a
此外,上述的存储器1030中的逻辑指令可以通过软件功能单元的形式实现并作为独立的产品销售或使用时,可以存储在一个计算机可读取存储介质中。基于这样的理解,本发明的技术方案本质上或者说对现有技术做出贡献的部分或者该技术方案的部分可以以软件产品的形式体现出来,该计算机软件产品存储在一个存储介质中,包括若干指令用以使得一台计算机设备(可以是个人计算机,服务器,或者网络设备等)执行本发明各个实施例所述方法的全部或部分步骤。而前述的存储介质包括:U盘、移动硬盘、只读存储器(ROM,Read-Only Memory)、随机存取存储器(RAM,Random Access Memory)、磁碟或者光盘等各种可以存储程序代码的介质。In addition, the above-mentioned logic instructions in the
另一方面,本发明还提供一种计算机程序产品,所述计算机程序产品包括存储在非暂态计算机可读存储介质上的计算机程序,所述计算机程序包括程序指令,当所述程序指令被计算机执行时,计算机能够执行上述各方法所提供的所述基于压电陶瓷传感器的睡姿识别方法,该方法包括:在用户处于睡眠平稳状态的情况下,基于压电陶瓷传感器系统,获取用户胸腹区域的混合心冲击信号,其中,所述压电陶瓷传感器系统中包含多个压电陶瓷传感器;基于所述混合心冲击信号,确定用户的心肺活动分布特征;将所述心肺活动分布特征与预设环境矢量特征输入训练好的睡姿识别分类网络模型,得到用户的睡姿识别结果;其中,所述训练好的睡姿识别分类网络模型是根据携带有睡姿标签的心肺活动分布特征与环境矢量特征样本进行训练得到的。In another aspect, the present invention also provides a computer program product, the computer program product comprising a computer program stored on a non-transitory computer-readable storage medium, the computer program comprising program instructions, when the program instructions are executed by a computer During execution, the computer can execute the piezoelectric ceramic sensor-based sleeping posture recognition method provided by the above methods, and the method includes: when the user is in a stable sleep state, based on the piezoelectric ceramic sensor system, obtain the user's chest and abdomen. The hybrid cardiac shock signal of the region, wherein the piezoelectric ceramic sensor system includes a plurality of piezoelectric ceramic sensors; based on the hybrid cardiac shock signal, determine the user's cardiopulmonary activity distribution characteristics; Suppose the environment vector feature is input into the trained sleeping posture recognition and classification network model, and the user's sleeping posture recognition result is obtained; wherein, the trained sleeping posture recognition and classification network model is based on the cardiopulmonary activity distribution characteristics and the environment carrying the sleeping posture label. The vector feature samples are obtained by training.
又一方面,本发明还提供一种非暂态计算机可读存储介质,其上存储有计算机程序,该计算机程序被处理器执行时实现以执行上述各方法提供的所述基于压电陶瓷传感器的睡姿识别方法,该方法包括:在用户处于睡眠平稳状态的情况下,基于压电陶瓷传感器系统,获取用户胸腹区域的混合心冲击信号,其中,所述压电陶瓷传感器系统中包含多个压电陶瓷传感器;基于所述混合心冲击信号,确定用户的心肺活动分布特征;将所述心肺活动分布特征与预设环境矢量特征输入训练好的睡姿识别分类网络模型,得到用户的睡姿识别结果;其中,所述训练好的睡姿识别分类网络模型是根据携带有睡姿标签的心肺活动分布特征与环境矢量特征样本进行训练得到的。In yet another aspect, the present invention also provides a non-transitory computer-readable storage medium on which a computer program is stored, the computer program being implemented by a processor to execute the piezoelectric ceramic sensor-based sensor provided by the above methods. A method for recognizing a sleeping posture, the method comprising: when a user is in a stable sleep state, based on a piezoelectric ceramic sensor system, acquiring a mixed cardiac shock signal in the thoracic and abdominal region of the user, wherein the piezoelectric ceramic sensor system includes a plurality of Piezoelectric ceramic sensor; based on the mixed cardiac shock signal, determine the user's cardiopulmonary activity distribution characteristics; input the cardiopulmonary activity distribution characteristics and the preset environment vector characteristics into the trained sleeping posture recognition and classification network model to obtain the user's sleeping posture Recognition results; wherein, the trained sleeping posture recognition and classification network model is obtained by training according to the cardiopulmonary activity distribution features and environmental vector feature samples carrying the sleeping posture labels.
以上所描述的装置实施例仅仅是示意性的,其中所述作为分离部件说明的单元可以是或者也可以不是物理上分开的,作为单元显示的部件可以是或者也可以不是物理单元,即可以位于一个地方,或者也可以分布到多个网络单元上。可以根据实际的需要选择其中的部分或者全部模块来实现本实施例方案的目的。本领域普通技术人员在不付出创造性的劳动的情况下,即可以理解并实施。The device embodiments described above are only illustrative, wherein the units described as separate components may or may not be physically separated, and the components displayed as units may or may not be physical units, that is, they may be located in One place, or it can be distributed over multiple network elements. Some or all of the modules may be selected according to actual needs to achieve the purpose of the solution in this embodiment. Those of ordinary skill in the art can understand and implement it without creative effort.
通过以上的实施方式的描述,本领域的技术人员可以清楚地了解到各实施方式可借助软件加必需的通用硬件平台的方式来实现,当然也可以通过硬件。基于这样的理解,上述技术方案本质上或者说对现有技术做出贡献的部分可以以软件产品的形式体现出来,该计算机软件产品可以存储在计算机可读存储介质中,如ROM/RAM、磁碟、光盘等,包括若干指令用以使得一台计算机设备(可以是个人计算机,服务器,或者网络设备等)执行各个实施例或者实施例的某些部分所述的方法。From the description of the above embodiments, those skilled in the art can clearly understand that each embodiment can be implemented by means of software plus a necessary general hardware platform, and certainly can also be implemented by hardware. Based on this understanding, the above-mentioned technical solutions can be embodied in the form of software products in essence or the parts that make contributions to the prior art, and the computer software products can be stored in computer-readable storage media, such as ROM/RAM, magnetic A disc, an optical disc, etc., includes several instructions for causing a computer device (which may be a personal computer, a server, or a network device, etc.) to perform the methods described in various embodiments or some parts of the embodiments.
最后应说明的是:以上实施例仅用以说明本发明的技术方案,而非对其限制;尽管参照前述实施例对本发明进行了详细的说明,本领域的普通技术人员应当理解:其依然可以对前述各实施例所记载的技术方案进行修改,或者对其中部分技术特征进行等同替换;而这些修改或者替换,并不使相应技术方案的本质脱离本发明各实施例技术方案的精神和范围。Finally, it should be noted that the above embodiments are only used to illustrate the technical solutions of the present invention, but not to limit them; although the present invention has been described in detail with reference to the foregoing embodiments, those of ordinary skill in the art should understand that it can still be Modifications are made to the technical solutions described in the foregoing embodiments, or some technical features thereof are equivalently replaced; and these modifications or replacements do not make the essence of the corresponding technical solutions depart from the spirit and scope of the technical solutions of the embodiments of the present invention.
| Application Number | Priority Date | Filing Date | Title |
|---|---|---|---|
| CN202110474897.1ACN113261951B (en) | 2021-04-29 | 2021-04-29 | Sleeping posture identification method and device based on piezoelectric ceramic sensor |
| Application Number | Priority Date | Filing Date | Title |
|---|---|---|---|
| CN202110474897.1ACN113261951B (en) | 2021-04-29 | 2021-04-29 | Sleeping posture identification method and device based on piezoelectric ceramic sensor |
| Publication Number | Publication Date |
|---|---|
| CN113261951A CN113261951A (en) | 2021-08-17 |
| CN113261951Btrue CN113261951B (en) | 2022-03-29 |
| Application Number | Title | Priority Date | Filing Date |
|---|---|---|---|
| CN202110474897.1AActiveCN113261951B (en) | 2021-04-29 | 2021-04-29 | Sleeping posture identification method and device based on piezoelectric ceramic sensor |
| Country | Link |
|---|---|
| CN (1) | CN113261951B (en) |
| Publication number | Priority date | Publication date | Assignee | Title |
|---|---|---|---|---|
| CN117547256A (en)* | 2023-12-07 | 2024-02-13 | 慕思健康睡眠股份有限公司 | Sleeping posture recognition method, device, electronic equipment and storage medium |
| CN117919033B (en)* | 2024-03-21 | 2024-06-14 | 北京大众益康科技有限公司 | Bedding and method for relieving sleep gastroesophageal reflux |
| Publication number | Priority date | Publication date | Assignee | Title |
|---|---|---|---|---|
| EP0778003A3 (en)* | 1990-03-09 | 1998-09-30 | Matsushita Electric Industrial Co., Ltd. | Presence detecting apparatus |
| FI116097B (en)* | 2002-08-21 | 2005-09-15 | Heikki Ruotoistenmaeki | Force or pressure sensor and method for its application |
| US20080077020A1 (en)* | 2006-09-22 | 2008-03-27 | Bam Labs, Inc. | Method and apparatus for monitoring vital signs remotely |
| CN102509117A (en)* | 2011-09-30 | 2012-06-20 | 成都君晟科技有限公司 | DTW (dynamic time warping) based method for automatically distinguishing abnormal measurements from plantar pressure measurement |
| CN102789672B (en)* | 2012-07-03 | 2017-10-10 | 深圳市瑞工科技有限公司 | A kind of baby's sleeping position intelligent identification Method and device |
| US10278638B2 (en)* | 2014-07-21 | 2019-05-07 | Withings | System and method to monitor and assist individual's sleep |
| JP2017535316A (en)* | 2014-09-30 | 2017-11-30 | 深▲せん▼市大耳馬科技有限公司Shenzhen Darma Technology Co.,Ltd. | Posture and vital signs monitoring system and method |
| US20170065792A1 (en)* | 2015-09-03 | 2017-03-09 | Withings | Method and System to Optimize Lights and Sounds For Sleep |
| US10416031B2 (en)* | 2015-09-25 | 2019-09-17 | MedicusTek, Inc. | Pressure sensing device |
| GB2563036A (en)* | 2017-05-30 | 2018-12-05 | Sultan & Knight Ltd | Systems and methods for monitoring and modulating circadian rhythms |
| EP3461403A1 (en)* | 2017-09-29 | 2019-04-03 | Koninklijke Philips N.V. | A method and apparatus for assessing the mobility of a subject |
| KR101959034B1 (en)* | 2017-11-28 | 2019-03-18 | 주식회사 아이오베드 | Method for operating smart mattress system controllable alarm |
| US10467679B1 (en)* | 2019-04-15 | 2019-11-05 | Dnanudge Limited | Product recommendation device and method |
| US11229369B2 (en)* | 2019-06-04 | 2022-01-25 | Fitbit Inc | Detecting and measuring snoring |
| CN110742585B (en)* | 2019-10-10 | 2020-12-01 | 北京邮电大学 | Sleep staging method based on BCG signal |
| CN111353425A (en)* | 2020-02-28 | 2020-06-30 | 河北工业大学 | Sleeping posture monitoring method based on feature fusion and artificial neural network |
| CN111481207A (en)* | 2020-03-24 | 2020-08-04 | 南京润楠医疗电子研究院有限公司 | Sleep posture recognition device and method based on cardiac shock signal |
| CN111568433A (en)* | 2020-05-18 | 2020-08-25 | 复旦大学附属中山医院 | A Physiological and Behavioral Monitoring Method Based on Triaxial Accelerometer |
| Publication number | Publication date |
|---|---|
| CN113261951A (en) | 2021-08-17 |
| Publication | Publication Date | Title |
|---|---|---|
| Lin et al. | A wearable sensor module with a neural-network-based activity classification algorithm for daily energy expenditure estimation | |
| CN107979986B (en) | Method and apparatus for generating information indicative of cardiac malfunction | |
| Junnila et al. | An electromechanical film sensor based wireless ballistocardiographic chair: Implementation and performance | |
| CN113261951B (en) | Sleeping posture identification method and device based on piezoelectric ceramic sensor | |
| CN114041786B (en) | Detecting method, device and equipment for pulse cardiogram signal | |
| CN106562761B (en) | Physiological signal acquisition device and method and sleep monitoring and improving device | |
| CN105769173B (en) | A kind of cardioelectric monitor system with electrocardiosignal noise removal function | |
| Zhang et al. | Ballistocardiogram based person identification and authentication using recurrent neural networks | |
| Alametsä et al. | The potential of EMFi sensors in heart activity monitoring | |
| CA2915965A1 (en) | Method and apparatus for determining information indicative of cardiac malfunctions | |
| Junnila et al. | A wireless ballistocardiographic chair | |
| CN114652288B (en) | A non-cuff type dynamic blood pressure measurement system | |
| Valipour et al. | A heartbeat and respiration rate sensor based on phonocardiogram for healthcare applications | |
| CN105796091B (en) | A kind of intelligent terminal for removing electrocardiosignal vehicle movement noise | |
| CN111772669A (en) | Estimation method of elbow joint contractile muscle strength based on adaptive long-term memory network | |
| CN116327181A (en) | A comprehensive evaluation method, device and electronic equipment for real-time cardiac non-inductive monitoring | |
| Xing et al. | Research on sleeping position recognition algorithm based on human body vibration signal | |
| Hui et al. | Wearable devices acquired ECG signals detection method using 1D convolutional neural network | |
| CN112971770A (en) | Method and system for controlling and processing quality of cardiac shock signal | |
| CN111657918A (en) | Falling detection method and system combining electrocardio and inertial sensing data | |
| CN117814744A (en) | Method, apparatus, device and medium for recognizing sleep of user | |
| AU2023200868A1 (en) | Energy harvesting for sensor systems | |
| CN116269413A (en) | Continuous ECG waveform reconstruction system and method using smart wristband motion sensor | |
| Qi et al. | Experimental analysis of artificial neural networks performance for physical activity recognition using belt and wristband devices | |
| CN105395191A (en) | Age group detection-based personnel physiological status detection device |
| Date | Code | Title | Description |
|---|---|---|---|
| PB01 | Publication | ||
| PB01 | Publication | ||
| SE01 | Entry into force of request for substantive examination | ||
| SE01 | Entry into force of request for substantive examination | ||
| GR01 | Patent grant | ||
| GR01 | Patent grant |