Movatterモバイル変換


[0]ホーム

URL:


CN113253229A - Radar target identification method and system - Google Patents

Radar target identification method and system
Download PDF

Info

Publication number
CN113253229A
CN113253229ACN202110516590.3ACN202110516590ACN113253229ACN 113253229 ACN113253229 ACN 113253229ACN 202110516590 ACN202110516590 ACN 202110516590ACN 113253229 ACN113253229 ACN 113253229A
Authority
CN
China
Prior art keywords
cost
target
feature
training
optimization
Prior art date
Legal status (The legal status is an assumption and is not a legal conclusion. Google has not performed a legal analysis and makes no representation as to the accuracy of the status listed.)
Granted
Application number
CN202110516590.3A
Other languages
Chinese (zh)
Other versions
CN113253229B (en
Inventor
王晓丹
赵振冲
Current Assignee (The listed assignees may be inaccurate. Google has not performed a legal analysis and makes no representation or warranty as to the accuracy of the list.)
Air Force Engineering University of PLA
Original Assignee
Air Force Engineering University of PLA
Priority date (The priority date is an assumption and is not a legal conclusion. Google has not performed a legal analysis and makes no representation as to the accuracy of the date listed.)
Filing date
Publication date
Application filed by Air Force Engineering University of PLAfiledCriticalAir Force Engineering University of PLA
Priority to CN202110516590.3ApriorityCriticalpatent/CN113253229B/en
Publication of CN113253229ApublicationCriticalpatent/CN113253229A/en
Application grantedgrantedCritical
Publication of CN113253229BpublicationCriticalpatent/CN113253229B/en
Activelegal-statusCriticalCurrent
Anticipated expirationlegal-statusCritical

Links

Images

Classifications

Landscapes

Abstract

Translated fromChinese

本发明提供了一种雷达目标识别方法及系统,涉及目标识别技术领域。方法包括:将不同传感器采集的雷达目标特征信息预处理后进行融合,得到用于特征分类的特征向量;确定用于特征选择的目标函数;目标函数同时考虑了误分类代价和测试代价;利用HO优化方法最小化所述目标函数,根据优化结果得到最优特征子集;根据最优特征子集生成目标数据集;利用目标数据集对分类器进行训练;若训练误差在预设范围内,则得到训练好的分类器;直接利用训练好的分类器对未知类别的待识别目标进行识别。本发明可解决现有雷达目标类型识别精度和效率低的问题,能够有效实现未知雷达目标的高效准确识别。

Figure 202110516590

The invention provides a radar target recognition method and system, and relates to the technical field of target recognition. The method includes: preprocessing radar target feature information collected by different sensors and then fusing it to obtain a feature vector for feature classification; determining an objective function for feature selection; the objective function considers both the misclassification cost and the test cost; using HO The optimization method minimizes the objective function, and obtains an optimal feature subset according to the optimization result; generates a target data set according to the optimal feature subset; uses the target data set to train the classifier; if the training error is within a preset range, then Obtain the trained classifier; directly use the trained classifier to identify the unknown category of the target to be identified. The invention can solve the problems of low recognition accuracy and efficiency of existing radar target types, and can effectively realize efficient and accurate recognition of unknown radar targets.

Figure 202110516590

Description

Radar target identification method and system
Technical Field
The invention relates to the technical field of target identification, in particular to a radar target identification method and a radar target identification system.
Background
In the radar target identification process, feature information from different radar sensors needs to be fused to form feature vectors for feature classification; and then classifying the feature vectors by using a classification technology in pattern recognition, thereby completing the recognition of the radar target.
With the continuous development of information acquisition means, the obtained feature dimension is continuously increased, so that the target feature information can be more accurately reflected; on the other hand, more and more data feature dimensions contain redundant or irrelevant features, thereby greatly influencing the classification effect of the classifier. Therefore, selecting features before classifying the target features and selecting features important for classification is an important step of target identification.
For cost-sensitive target identification, besides the mistaken scoring cost, the testing cost also needs to be considered, but the mistaken scoring cost and the testing cost cannot be considered at present, so that the radar target identification mistaken identification risk is higher. Based on this, how to simultaneously consider the misclassification cost and the test cost and realize the target identification with high performance, high precision and minimum misclassification cost is a problem which needs to be solved urgently at present.
Disclosure of Invention
In order to solve the above problems, the present invention provides a radar target identification method and system. The target type can be gradually and accurately determined by constructing a target function simultaneously containing the test cost and the misclassification cost and gradually optimizing the target function by using an HO (HO) optimization method. The method can realize the quick and accurate identification of the unknown type of target.
In order to achieve the purpose, the invention provides the following scheme:
a radar target identification method, comprising:
preprocessing radar target characteristic information collected by different sensors and then fusing to obtain characteristic vectors for characteristic classification;
determining an objective function for feature selection; the target function considers the misclassification cost and the testing cost at the same time;
minimizing the objective function by using an HO optimization method, and obtaining an optimal characteristic subset according to an optimization result;
generating a target data set according to the optimal feature subset;
training a classifier using the target data set; if the training error is within a preset range, obtaining a trained classifier;
and directly utilizing the trained classifier to identify the target to be identified of unknown class.
Specifically, radar target feature information acquired by different sensors is subjected to normalization processing and then fused to obtain feature vectors for feature classification.
Specifically, a cost sensitive feature selection method based on HO is adopted to select features, and the misclassification cost and the test cost are considered.
Specifically, the objective function composed of the test cost, the misclassification cost, and the balance factor determining the magnitude of the effect of the test cost and the misclassification cost is optimized by using the HO optimization method, so that the misclassification cost and the test cost are minimized.
Specifically, optimizing the objective function formed by the test cost, the misclassification cost, and the balance factor determining the magnitude of the effect of the test cost and the misclassification cost by using the HO optimization method includes:
optimizing the target function by using an HO optimization model consisting of initialization, elimination, recombination, search and following steps;
and converting the real codes of the optimization results into binary codes by utilizing a step function to obtain the optimal feature subset.
Specifically, the extreme learning machine is trained by using the target data set.
Specifically, training the classifier by using the target data set specifically includes:
and training the extreme learning machine by using the target data set, and if the training error is within a preset range, obtaining the trained extreme learning machine.
The invention also provides a radar target identification system, comprising:
the characteristic fusion module is used for preprocessing and fusing radar target characteristic information acquired by different sensors to obtain characteristic vectors for characteristic classification;
a cost sensitive feature selection module for determining a target function for feature selection; the target function considers the misclassification cost and the testing cost at the same time; minimizing the objective function by using an HO optimization method, and obtaining an optimal characteristic subset according to an optimization result;
the training and testing data generation module is used for generating a target data set according to the optimal feature subset;
the classifier training module is used for training a classifier by utilizing the target data set; if the training error is within a preset range, obtaining a trained classifier;
and the classification module is used for directly utilizing the trained classifier to identify the target to be identified in the unknown category.
According to the specific embodiment provided by the invention, the invention discloses the following technical effects:
according to the radar target identification method and system provided by the invention, the feature vectors for feature classification are obtained by fusing and preprocessing the radar target feature information collected by different sensors. Then, the invention simultaneously considers the misclassification cost and the test cost to construct a target function, optimizes the constructed target function by using an HO optimization method, and automatically selects optimal features according to the optimization result to form an optimal feature subset. And then, determining a feature vector for classification according to the optimal feature subset, and training a classifier by using the generated training data set to obtain a trained classifier for target recognition. And then, the trained classifier can be directly utilized to identify the target with unknown type.
In summary, the invention can select the features by using the HO method under the condition of simultaneously considering the test cost and the misclassification cost, thereby realizing the target identification with high performance, high precision and minimum misclassification cost.
Drawings
In order to more clearly illustrate the embodiments of the present invention or the technical solutions in the prior art, the drawings needed in the embodiments will be briefly described below, and it is obvious that the drawings in the following description are only some embodiments of the present invention, and it is obvious for those skilled in the art to obtain other drawings without creative efforts.
FIG. 1 is a flow chart of a radar target identification method of the present invention;
FIG. 2 is a conceptual diagram of the HO optimization algorithm of the present invention;
FIG. 3 is a schematic diagram of a network architecture of an extreme learning machine according to the present invention;
FIG. 4 is a flow chart of the present invention for identifying an unknown class of targets using a radar target identification method;
fig. 5 is a schematic structural diagram of a radar target recognition system according to the present invention.
Description of the symbols:
the system comprises a 1-feature fusion module, a 2-cost sensitive feature selection module, a 3-training and test data generation module, a 4-classifier training module and a 5-classification module.
Detailed Description
The technical solutions in the embodiments of the present invention will be clearly and completely described below with reference to the drawings in the embodiments of the present invention, and it is obvious that the described embodiments are only a part of the embodiments of the present invention, and not all of the embodiments. All other embodiments, which can be derived by a person skilled in the art from the embodiments given herein without making any creative effort, shall fall within the protection scope of the present invention.
As described in the background art, most of the existing radar target identification methods belong to conventional target identification methods, and targets to be identified are treated equally, that is, the importance of the targets is considered to be the same. In this case, it is an object to improve the correct recognition rate. However, the conventional target identification method has a problem that the different importance (different threat degrees) of the target and the possible risks of misclassification of the target are not considered.
The invention adopts a cost-sensitive target identification method, and because the importance (namely threat degree) of each target to be identified is different, the loss possibly brought by the error classification of different targets is also different, so the cost-sensitive target identification method is more consistent with the actual situation. Cost sensitive target identification seeks to reduce the overall target misidentification cost such that the risk or loss due to misidentification is minimized.
The method simultaneously considers the test cost and the misclassification cost to select and determine the optimal feature subset for classification, constructs the feature vector of the sample to be classified, trains the extreme learning machine, and realizes the radar target identification with high performance and minimum misclassification cost by utilizing the trained extreme learning machine.
In order to make the aforementioned objects, features and advantages of the present invention comprehensible, embodiments accompanied with figures are described in further detail below.
Example 1:
as shown in fig. 1, the present invention provides a radar target identification method inembodiment 1, where S1-S6 correspond to the steps in the method, and the method includes:
s1, preprocessing radar target characteristic information collected by different sensors and then fusing to obtain characteristic vectors for characteristic classification;
s2, determining an objective function for feature selection; the target function considers the misclassification cost and the testing cost at the same time;
s3, minimizing the objective function by using an HO optimization method, and obtaining an optimal feature subset according to an optimization result;
s4, generating a target data set according to the optimal feature subset;
s5, training the classifier by using the target data set; if the training error is within a preset range, obtaining a trained classifier;
and S6, directly utilizing the trained classifier to identify the target to be identified in the unknown category.
The following is a detailed description of the above steps:
object recognition and cost-sensitive classification
The target identification of the invention belongs to cost-sensitive target identification, namely the costs generated by error classification are different, and the essential problem is cost-sensitive classification.
In the invention, in order to realize optimization in the process of feature selection, a newly proposed optimization method, namely hunting optimization, is adopted; considering that the cost sensitive target identification has test cost and misclassification cost, a new feature selection target function is constructed by considering two types of cost simultaneously during feature selection, so that a new cost sensitive feature selection method is provided; and (4) using the preferred features to form feature vectors, and using an extreme learning machine as a classifier to realize the classification of the cost-sensitive target feature data.
HO optimization algorithm
The HO optimization algorithm stems from human heuristics for hunting activities. In human hunting activities, a hunter and several hunting dogs form a group, and they work in concert to search for and catch game prey. An extension based on such a single group is that several groups cooperate together to capture the most valuable (or as many as possible) game within a certain hunting horizon, similar to finding a globally optimal solution defined by a specific objective function in an optimization problem. Based on the analysis of the hunting activities, a new optimization model called Hunting Optimization (HO) was proposed.
First, assuming that a single hunting group consists of one hunter and a certain number of hunting dogs, the visual field distance of the hunter determines the hunting range (hunting field) of the group, a conceptual diagram of a hunting group with three hunting dogs is shown in fig. 2.
Each panel mainly contained the following behaviors:
(1) and (6) searching. Each hunter randomly releases the dog to which he belongs to his hunting field for searching, as shown in figure 2. If one of the game dogs found a location with more game parts, the game player moves to the location where the game dog is located and begins searching again around the new location. Also, as the game dog becomes more fatigued, the hunter will reduce his field of view to shrink the game. When the hunting dogs were exhausted, the hunting field became small and the group fell into local optima, at which time the exhausted hunting dogs were replaced with new ones to revive the group.
(2) Follow and gather. In addition to searching its local hunting field, each team always exchanges information with other teams in the population to follow and search the locations where the whole population finds the most animals. That is, each team moves not only toward its local optimum point, but also a distance toward the globally optimum (most game). By this following action, the entire population is gradually gathered together, which enables the entire population to converge to the same location in the end.
(3) Competition. In the hunting process, the group with the fewest prey has a high probability of being in the wrong hunting direction. Thus, this group would be eliminated and its game dogs would be assigned to other game players. This strategy can balance global and local searches. At the beginning of the search, there were more hunters and fewer dogs per hunter, thus a better global search; in the later stages of the search, fewer hunters remain, and each hunter has more hunters and therefore has better local search.
(4) And (4) recombining. When two subgroups are close together, they may repeatedly search the same area, which is very inefficient. Thus, their hunting grounds will be redistributed. This strategy ensures that each team resource is fully utilized as much as possible.
Through the above behaviors, each group searches the hunting ground of the group and simultaneously cooperates with other groups to search the area with the most prey. The above process is also an optimization process, and the search space represents a feasible solution for hunting field, hunter and hounds, and the fitness value of a specific objective function represents the number or value of the prey.
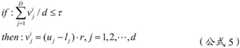
For a d-dimensional minimization optimization problem that only considers boundary constraints, it can be expressed as:
Figure BDA0003061724620000061
where f (x) is an objective function, x ═ x1,x2,…xd]Is an arbitrary feasible solution, S ═ xi|li≤xi≤uiI-1, 2, … d is a non-empty finite set, li,uiIs ithThe upper and lower bounds of the dimension. The objective of solving equation (1) is to find a global optimal solution x*So that f (x)*)≤f(x),
Figure BDA0003061724620000062
First, the definition parameters are defined as follows: n is a radical ofmax,NminMaximum minimum number of hunters, Qmax,QminMaximum minimum number of hunting dogs; r ismax,rminA maximum minimum field-of-view attenuation factor; x is the number ofiHunters or hunting dogs; psi0An original search space; psii xiThe search space of (2); a τ congestion factor; d*A local optimal solution; n is a radical ofiteNumber of hunters at the second iteration; qiteNumber of hounds at the ite iteration; v. ofi-hunter's visual field; v. ofrThe elimination rate; gBest global optimal solution.
The hunting optimization HO algorithm process is as follows:
andStep 1, initializing.
Initializing Nmax,Nmin,Qmax,Qmin,rmax,rmin∈(0,1),ψ0={ψi|li≤ψi≤uiI ═ 1,2, … d } and τ. Initializing all hunters
Figure BDA0003061724620000071
i=1,2,…,N0Wherein
Figure BDA0003061724620000072
j-1, 2, …, d, rand is a uniformly distributed random number with a value between 0 and 1, and N0=Nmax. For all xiInitializing search field of view with original search range
Figure BDA0003061724620000073
Namely, it is
Figure BDA0003061724620000074
j is 1,2, …, d. And calculating the fitness of all hunters, and recording the optimal solution gBest.
AndStep 2, eliminating.
To balance global and local searches, the number of hunters is gradually reduced and the number of hunting dogs is gradually increased during the search. That is, in each cycle, a portion of hunters with the worst fitness values will be eliminated and their dogs will be assigned to hunters with better fitness values. To ensure that there are enough hunters in the beginning search phase to ensure a global search and enough dogs in the end phase to ensure a local search, a cosine function is used to control the culling ratio:
vr0.5 cos (ite pi/maxIte) +0.5 (formula 2)
Adjusting N based on (equation 2)iteAnd Qite
Figure BDA0003061724620000075
I.e., in the second ite cycle, Nite-Nite-1The hunters are eliminated and the number of hunting dogs of each hunter is from Qite-1Is changed into Qite
Step3. recombination.
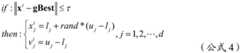
If a hunter xiVery close to other hunters or xiBecomes very small, xiShould be recombined. Since all hunters are randomly distributed throughout the search space, the probability that two hunters are in the same position is small; on the other hand, x is continuously deeper as the search progresses, since all subgroups dynamically move towards gBest, which attenuates the field of view while keeping the position unchanged until a new optimal solution is found (see Step 4-5)iAnd gBest gradually overlap. In order to simplify the HO,checking only xiAnd gBest, i.e. if xiAnd gBest is less than a predetermined congestion factor, xiWill be re-randomized to a new position with its field of view initialized to the original search range:
Figure BDA0003061724620000081
furthermore, if viVery small, xiWill fall into local optima and cannot jump out, at this point, v will beiResetting as the product of the original search range and the attenuation factor of the current search stage:
Figure BDA0003061724620000082
recombination is highly necessary in the search process, which ensures that the search potential of each subgroup is exploited as much as possible, reducing invalid or inefficient searches.
And Step 4, searching.
Each hunter x remainingiAttenuating its field distance by:
vi=vi*r,i=1,2,…Nite(formula 6)
Then each hunter passes viAnd current position xiUpdating the hunting field:
Figure BDA0003061724620000083
as can be seen from (equation 7), xiIs xiA central hypercube. Since r < 1, the distance of the field of view becomes smaller and smaller in each cycle according to (equation 6). This results in the search space in (equation 7) becoming more and more compact. This allows each hunter to focus on searching for local areas around it.
After updating the search space, xiRandom use of QiteIndividual hunting dog search psiiQ in (1)iteA position di,i=1,2,…,QiteThen find out the one with the best fitness, and mark as d*. If f (d)*) < f (gBest), gBest and xiQuilt d*And (6) replacing, directly turning to Step6. If f (d)*) F (gBest) and f (d)*)<f(xi) Hunter will move to d*I.e. xiQuilt d*And (6) replacing. Otherwise, xiRemain unchanged.
Step 5, follow.
After the search process is complete, each hunter moves a small step distance toward gBest by:
xi=xi+(gBest-xi) (1-r) (equation 8)
Through this process, each hunter perceives and learns the search results of the other hunters. This process can be considered as the process of information exchange between different hunters. In the current cycle, each hunter always moves from the local optimal solution of the hunter to the global optimal solution while searching, so that the whole population is guaranteed to be always converged to an optimal solution, which is important for the global convergence.
The above search and follow-up process can be summarized as:
xi=xi+(d*-xi)+(gBest-d*) (1-r) (equation 9)
From (equation 6) and (equation 9), it can be seen that r is used to control the decay rate of the field of view and the speed of movement towards the optimal solution. To balance the global and local search, the variation of r is controlled by a nonlinear decay function:
rite=rmax-(rmax-rmin)*(ite/maxite)2(formula 10)
For viA larger r is advantageous for finding more promising regions by global search; a smaller r will cause the panel to focus on searching the local search space around the hunter. For the step size of the move in (equation 9), a larger r favors the subgroupSearching a local search space where the local search space is located; conversely, a smaller r allows the population to converge quickly to the globally optimal solution. Thus, (equation 10) can balance not only the global and local searches, but also the convergence speed and premature convergence.
And (5) terminating.
If the termination condition is met, the algorithm is ended, and the global optimal solution is used as final output; otherwise, go toStep 2.
HO-based cost sensitive feature selection method
In the target identification, the test cost and the misclassification cost are simultaneously considered, namely the total cost comprises two parts: test costs and misclassification costs. The misclassification cost refers to the loss of samples due to misclassification. The cost of testing refers to how much time, money, etc., is spent obtaining the characteristics of a certain sample.
In the invention, cost sensitive feature selection is carried out, and the aim is to obtain a feature subset with the minimum total cost by balancing test cost and misclassification cost. I.e. to determine a subset of features that have a smaller average test cost and that achieve better classification performance.
In the present invention, it is assumed that all test costs are independent of each other. For a classification problem with d-dimensional features, if Fe is the original feature set, the test cost can be expressed as a d-dimensional vector tc ═ tc1,tc2,…tcD]Wherein tckIs the cost of the kth feature. For arbitrary feature subsets
Figure BDA0003061724620000101
The total test cost equals the sum of all individual feature test costs in B:
Figure BDA0003061724620000102
for an m-class classification problem, the misclassification cost information is usually represented by a cost matrix:
Figure BDA0003061724620000103
wherein c isijIndicating the cost of identifying class i as class j. The cost matrix should satisfy the following conditions:
(1) the cost of misclassification should always be greater than the cost of correct classification. Namely to
Figure BDA0003061724620000104
Is provided with cij>cii. Only under this condition is cost sensitive learning meaningful.
(2) To pair
Figure BDA0003061724620000105
Cannot always have cij≥cikI is 1, …, m. If this condition is violated, class j is dominant and the sample cannot be classified into that class. In this case the presence of class j is meaningless.
For a data set I { (x) containing N samplesi,yi)|xi∈Rd,yiE {1,2, …, m }, i ═ 1,2, …, N }, the total misclassification cost equals the sum of the classification costs of all samples on feature set B:
Figure BDA0003061724620000106
wherein
Figure BDA0003061724620000107
Is a sample xiThe prediction category of (a) is determined,
Figure BDA0003061724620000108
denotes a number yiClass is identified as
Figure BDA0003061724620000109
The cost of the class.
The process of selecting the cost sensitive features is an optimization problem, the method simultaneously considers the misclassification cost Tc (B) and the test cost Fc (B) to construct an optimized objective function, adopts a newly proposed optimization method HO to carry out optimization, and determines the selected features according to the HO optimization result.
The HO-based cost sensitive feature selection method comprises the following process steps:
step 1. define the objective function.
An objective function that considers both the misclassification cost and the testing cost is defined as follows:
f (b) ═ fc (b) + λ tc (b) (formula 15)
Where λ is the balance factor. When λ is small, the size of f (b) is determined by fc (b), and the algorithm is primarily focused on reducing the overall test cost. When λ is large, the size of f (b) is determined by tc (b), and the algorithm is mainly focused on reducing the total misclassification cost.
AndStep 2, optimizing the constructed objective function by using HO, and minimizing the value of the objective function.
Step3. real code of HO is converted into binary code using a step function.
Since HO uses a real number encoding method for an individual, it cannot be directly applied to feature selection (binary optimization problem). To take advantage of HO's advantages in real number optimization problems, the original search space is limited to [ -1,1], while each real coded individual is converted to a binary vector using a step function:
Figure BDA0003061724620000111
in the binary vector, a 1 indicates that the corresponding feature is selected, otherwise the corresponding feature is not selected.
For example, before feature selection, the feature dimension is 5, and after HO algorithm optimization, one individual is obtained as x ═ 0.2, -0.3,0.4,0.1, -0.5, and after step function processing, a corresponding binary vector is obtained as sf ═ 1,0,1,1,0, and this vector represents that the 1 st, 3 rd, and 4 th features are selected to constitute a feature subset.
In the process of selecting the characteristics, the innovation point of the method is mainly embodied in two stages ofStep 1 andStep 2.
In thestage 1, the misclassification cost and the test cost are simultaneously considered when the objective function of the optimization problem is constructed, the problems that only the misclassification cost or only the test cost is considered in the traditional method are solved, the characteristics of the problems are better met, and a better result can be obtained.
In the 2 nd stage, a newly proposed optimization model HO is adopted for optimization, so that a better result can be obtained more quickly.
Data classification method based on cost sensitive feature selection
And meanwhile, constructing a target function of the feature selection optimization problem by considering the misclassification cost and the test cost, optimizing by adopting HO, and obtaining the selected features according to the optimization result.
On the basis of an original data set, a target data set can be generated according to an optimization result of feature selection, namely the selected features, and the data set is divided into a training data set and a testing data set for training a classifier and evaluating the performance of the classifier.
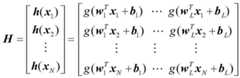
In the present invention, an Extreme Learning Machine (ELM) is used as a classifier for target recognition. The basic network structure of the ELM is a 3-layer structure as shown in fig. 3, and is composed of an input layer, a hidden layer, and an output layer, and nodes between the two layers are all connected.
The basic idea of ELM is to initialize and fix the parameters of the hidden layer randomly without iterative adjustment, then transform the input data from the input space to the high-dimensional hidden space by ELM feature mapping, and solve the output parameters by ELM learning algorithm.
Supposing that N training samples are arranged, and classifying the training samples into m categories;
the training sample set is
Figure BDA0003061724620000121
Wherein xi=[xi1,xi2,...,xid]TIs the ith training sample, d is the dimensionality of the data, ti=[ti1,ti2,...,tim]TTarget output for the ith sample. The ELM network outputs are:
Figure BDA0003061724620000122
wherein (w)i,bi) The ith implicit node parameter, W ═ W1,w2,...,wL) Is weighted from the hidden layer, b ═ b1,b2,…,bL) Is the hidden layer bias. g (-) is an activation function, such as Sigmoid, Tanh, etc.
As shown in fig. 4, to implement cost-sensitive classification and target identification, the steps of the present invention are as follows:
A. training phase
Step 1, acquiring characteristic information of a target, fusing the characteristic information from different sensors, and carrying out normalization preprocessing on characteristic values of all dimensions to form a characteristic vector for characteristic classification.
And 2, determining the testing cost, the misclassification cost and the balance factor.
And 3, selecting cost sensitive features, and determining an optimal feature subset for classification. The specific process is divided into the following three stages:
3.1. and constructing an objective function according to the specific cost sensitive characteristic selection problem. The objective function considers both misclassification costs and testing costs.
3.2. The constructed objective function is optimized by using a Hunting Optimization (HO) method.
3.3. The selected features are determined based on the results of the HO optimization. The real code of HO needs to be converted into binary code using a step function to determine the features.
And 4, generating a target data set according to the selected characteristics, wherein the target data set comprises a training data set and a testing data set, the training data set is used for training the classifier, and the testing data set is used for evaluating the performance of the classifier.
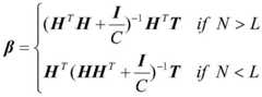
And 5, training a target recognition classifier. An extreme learning machine is used as a classifier, and the classifier is trained by using a training data set. The training algorithm of the extreme learning machine is as follows:
inputting: training sample
Figure BDA0003061724620000131
Number of hidden layer nodes L, activation function g (·).
And (3) outputting: the hidden layer outputs weights β.
5.1 randomly generating hidden layer weight values and bias (W, b);
5.2 calculating hidden layer output H according to the following formula;
Figure BDA0003061724620000132
5.3 calculating the hidden layer output weight beta according to the following formula.
Figure BDA0003061724620000133
B. Identification phase
Step 1, acquiring characteristic information of a target, fusing the characteristic information from different sensors, and carrying out normalization preprocessing on characteristic values of all dimensions to form a characteristic vector for characteristic classification.
And 2, according to the result of the cost sensitive feature selection, forming a feature vector by the selected features.
And 3, identifying the unknown class target by using the trained ELM, namely calculating the output of the network by using the formula 17, thereby obtaining the class of the unknown target.
By means of the feature selection considering the misclassification cost and the test cost at the same time, the problem that only the misclassification cost or only the test cost is considered in the traditional method is solved, the characteristics of the problem are better met, and a better result can be obtained; in the optimization of feature selection, the optimization is carried out by adopting the provided optimization method HO, so that a better result can be obtained more quickly.
In conclusion, for cost-sensitive classification and target identification, the technical method can realize classification and target identification with high performance and minimum misclassification cost. Example 2:
as shown in fig. 5, the present invention further provides, inembodiment 2, a radar target recognition system implemented based on the radar target recognition method described inembodiment 1, where the system includes:
the system comprises afeature fusion module 1, a cost sensitivefeature selection module 2, a training and testdata generation module 3, a classifier training module 4 and aclassification module 5.
Thefeature fusion module 1 is used for preprocessing radar target feature information collected by different sensors and then fusing the preprocessed radar target feature information to obtain feature vectors for feature classification;
the cost sensitivefeature selection module 2 is used for determining an objective function for feature selection; the target function considers the misclassification cost and the testing cost at the same time; minimizing a target function by using an HO optimization method, and obtaining an optimal characteristic subset according to an optimization result;
the training and testingdata generation module 3 is used for generating a target data set according to the optimal feature subset;
the classifier training module 4 is used for training a classifier by using a target data set; if the training error is within a preset range, obtaining a trained classifier;
theclassification module 5 is used for directly utilizing the trained classifier to identify the target to be identified in the unknown class.
Because the system utilizes the radar target identification method as described inembodiment 1 of the present invention, after the system modules in the embodiment construct and train classifiers meeting the requirements, the trained classifiers can be directly utilized to identify targets of unknown types.
In summary, the radar target identification method and the radar target identification system provided by the invention can effectively solve the problem of high risk of radar target identification error in the background art, and can realize target identification with high performance, high precision and minimum error cost on the basis of simultaneously considering test cost and error cost.
The principle and the implementation of the present invention are explained in the present text by applying specific examples, and the above description of the examples is only used to help understanding the method and the core idea of the present invention; meanwhile, for a person skilled in the art, according to the idea of the present invention, the specific embodiments and the application range may be changed. In view of the above, the present disclosure should not be construed as limiting the invention.

Claims (8)

1. A radar target identification method is characterized by comprising the following steps:
preprocessing radar target characteristic information collected by different sensors and then fusing to obtain characteristic vectors for characteristic classification;
determining an objective function for feature selection; the target function considers the misclassification cost and the testing cost at the same time;
minimizing the objective function by using an HO optimization method, and obtaining an optimal characteristic subset according to an optimization result;
generating a target data set according to the optimal feature subset;
training a classifier using the target data set; if the training error is within a preset range, obtaining a trained classifier;
and directly utilizing the trained classifier to identify the target to be identified of unknown class.
2. The radar target identification method according to claim 1, wherein the radar target feature information collected by different sensors is normalized and then fused to obtain feature vectors for feature classification.
3. The radar target identification method of claim 1, wherein feature selection is performed using a cost sensitive feature selection method based on HO, while taking into account the misclassification cost and the testing cost.
4. The radar target recognition method of claim 3, wherein the HO optimization method is used to optimize the objective function consisting of the test cost, the misclassification cost, and a balance factor determining the magnitude of the effect of the test cost and the misclassification cost to minimize the misclassification cost and the test cost.
5. The radar target recognition method of claim 4, wherein optimizing the objective function consisting of the test cost, the misclassification cost, and a balance factor determining a magnitude at which the test cost and the misclassification cost act by using the HO optimization method comprises:
optimizing the target function by using an HO optimization model consisting of initialization, elimination, recombination, search and following steps;
and converting the real codes of the optimization results into binary codes by utilizing a step function to obtain the optimal feature subset.
6. The radar target recognition method of claim 1, wherein an extreme learning machine is trained using the target data set.
7. The radar target recognition method of claim 6, wherein training a classifier using the target data set specifically comprises:
and training the extreme learning machine by using the target data set, and if the training error is within a preset range, obtaining the trained extreme learning machine.
8. A radar target recognition system, comprising:
the characteristic fusion module is used for preprocessing and fusing radar target characteristic information acquired by different sensors to obtain characteristic vectors for characteristic classification;
a cost sensitive feature selection module for determining a target function for feature selection; the target function considers the misclassification cost and the testing cost at the same time; minimizing the objective function by using an HO optimization method, and obtaining an optimal characteristic subset according to an optimization result;
the training and testing data generation module is used for generating a target data set according to the optimal feature subset;
the classifier training module is used for training a classifier by utilizing the target data set; if the training error is within a preset range, obtaining a trained classifier;
and the classification module is used for directly utilizing the trained classifier to identify the target to be identified in the unknown category.
CN202110516590.3A2021-05-122021-05-12Radar target recognition method and systemActiveCN113253229B (en)

Priority Applications (1)

Application NumberPriority DateFiling DateTitle
CN202110516590.3ACN113253229B (en)2021-05-122021-05-12Radar target recognition method and system

Applications Claiming Priority (1)

Application NumberPriority DateFiling DateTitle
CN202110516590.3ACN113253229B (en)2021-05-122021-05-12Radar target recognition method and system

Publications (2)

Publication NumberPublication Date
CN113253229Atrue CN113253229A (en)2021-08-13
CN113253229B CN113253229B (en)2023-09-26

Family

ID=77223152

Family Applications (1)

Application NumberTitlePriority DateFiling Date
CN202110516590.3AActiveCN113253229B (en)2021-05-122021-05-12Radar target recognition method and system

Country Status (1)

CountryLink
CN (1)CN113253229B (en)

Citations (11)

* Cited by examiner, † Cited by third party
Publication numberPriority datePublication dateAssigneeTitle
US8788258B1 (en)*2007-03-152014-07-22At&T Intellectual Property Ii, L.P.Machine translation using global lexical selection and sentence reconstruction
US20140283432A1 (en)*2013-03-212014-09-25Harry BonfillFloating Platform Duck Blind Including Relocation Means
CN106611181A (en)*2016-05-302017-05-03四川用联信息技术有限公司Method for constructing cost-sensitive two-dimensional decision tree
CN107657243A (en)*2017-10-112018-02-02电子科技大学Neutral net Radar range profile's target identification method based on genetic algorithm optimization
CN109816000A (en)*2019-01-092019-05-28浙江工业大学 A New Feature Selection and Parameter Optimization Method
CN110020711A (en)*2019-03-252019-07-16湖北工业大学A kind of big data analysis method using grey wolf optimization algorithm
CN110430556A (en)*2019-07-312019-11-08河海大学常州校区A kind of multirobot collaboration battue object space method based on self-organized mapping network
US20190361919A1 (en)*2018-05-232019-11-28Tata Consultancy Services LimitedMethod and system for joint selection of a feature subset-classifier pair for a classification task
US20200285896A1 (en)*2019-03-092020-09-10Tongji UniversityMethod for person re-identification based on deep model with multi-loss fusion training strategy
US20210027206A1 (en)*2019-07-262021-01-28Optum Services (Ireland) LimitedClassification in hierarchical prediction domains
CN112648887A (en)*2020-12-162021-04-13航天科工微电子系统研究院有限公司Photoelectric tracking and control method based on common-frame radar composite detection

Patent Citations (11)

* Cited by examiner, † Cited by third party
Publication numberPriority datePublication dateAssigneeTitle
US8788258B1 (en)*2007-03-152014-07-22At&T Intellectual Property Ii, L.P.Machine translation using global lexical selection and sentence reconstruction
US20140283432A1 (en)*2013-03-212014-09-25Harry BonfillFloating Platform Duck Blind Including Relocation Means
CN106611181A (en)*2016-05-302017-05-03四川用联信息技术有限公司Method for constructing cost-sensitive two-dimensional decision tree
CN107657243A (en)*2017-10-112018-02-02电子科技大学Neutral net Radar range profile's target identification method based on genetic algorithm optimization
US20190361919A1 (en)*2018-05-232019-11-28Tata Consultancy Services LimitedMethod and system for joint selection of a feature subset-classifier pair for a classification task
CN109816000A (en)*2019-01-092019-05-28浙江工业大学 A New Feature Selection and Parameter Optimization Method
US20200285896A1 (en)*2019-03-092020-09-10Tongji UniversityMethod for person re-identification based on deep model with multi-loss fusion training strategy
CN110020711A (en)*2019-03-252019-07-16湖北工业大学A kind of big data analysis method using grey wolf optimization algorithm
US20210027206A1 (en)*2019-07-262021-01-28Optum Services (Ireland) LimitedClassification in hierarchical prediction domains
CN110430556A (en)*2019-07-312019-11-08河海大学常州校区A kind of multirobot collaboration battue object space method based on self-organized mapping network
CN112648887A (en)*2020-12-162021-04-13航天科工微电子系统研究院有限公司Photoelectric tracking and control method based on common-frame radar composite detection

Non-Patent Citations (6)

* Cited by examiner, † Cited by third party
Title
SHUANG YU 等: "The OCS-SVM: An objective-cost-sensitive SVM with sample-based misclassification cost invariance", 《IEEE ACCESS》, pages 11893 - 118942*
XIAODAN WANG 等: "Hunting Optimization: An New Framework for Single Objective Optimization Problems", 《IEEE ACCESS》, pages 31305 - 31320*
周宇航;周志华;: "代价敏感大间隔分布学习机", 计算机研究与发展, no. 09, pages 1964 - 1970*
赵振冲 等: "引入拒识的最小风险弹道目标识别", 《西安交通大学学报》, vol. 52, no. 4, pages 132 - 138*
陆晓明: "基于神经网络的雷达杂波抑制", 《中国优秀硕士学位论文全文数据库 信息科技辑》, pages 136 - 1457*
顾竞豪;王晓丹;: "基于主成分分析法的代价敏感极限学习机", 火力与指挥控制, no. 01, pages 139 - 143*

Also Published As

Publication numberPublication date
CN113253229B (en)2023-09-26

Similar Documents

PublicationPublication DateTitle
CN105488528B (en)Neural network image classification method based on improving expert inquiry method
JP7393060B2 (en) Personalized search method and search system combining attention mechanism
Pham et al.Application of the bees algorithm to the training of learning vector quantisation networks for control chart pattern recognition
Strumberger et al.Convolutional neural network architecture design by the tree growth algorithm framework
CN112069397A (en) A rumor detection method combining self-attention mechanism and generative adversarial network
Abd-AlsabourA review on evolutionary feature selection
Prilianti et al.Performance comparison of the convolutional neural network optimizer for photosynthetic pigments prediction on plant digital image
Asadi et al.ACORI: A novel ACO algorithm for rule induction
Xue et al.A self-adaptive fireworks algorithm for classification problems
CN117077041B (en)Intelligent community management method and system based on Internet of things
CN116011691A (en) A Distributed Feedback Hybrid Attention Network Model for Optimal Path Planning
CN117081063A (en) A distributed charging load prediction method and system based on GCN-Crossformer model
Sahu et al.Dynamic routing using inter capsule routing protocol between capsules
CN112488149A (en)Network security data classification method based on 1D-CNN feature reconstruction
Chompookham et al.Robust Model Selection for Plant Leaf Image Recognition Based on Evolutionary Ant Colony Optimization With Learning Rate Schedule
Gupta et al.Optimization of stacking ensemble configuration based on various metahueristic algorithms
Zhu et al.GP-CNAS: Convolutional neural network architecture search with genetic programming
Luo et al.I4R: Promoting Deep Reinforcement Learning by the Indicator for Expressive Representations.
CN113253229A (en)Radar target identification method and system
CN116956160A (en)Data classification prediction method based on self-adaptive tree species algorithm
Maryam et al.Artificial neural network weights optimization based on imperialist competitive algorithm
US20210365794A1 (en)Discovering Novel Artificial Neural Network Architectures
Zhao et al.Particle swarm algorithm for classification rules generation
Chen et al.Intelligent Security Image Classification on Small Sample Learning
Rujan et al.A Data Augmentation Approach using WGAN with Grey Wolf Optimizer (GWO) to Improve Deep CNN Weak Supervised Classification of Hyperspectral Images

Legal Events

DateCodeTitleDescription
PB01Publication
PB01Publication
SE01Entry into force of request for substantive examination
SE01Entry into force of request for substantive examination
GR01Patent grant
GR01Patent grant

[8]ページ先頭

©2009-2025 Movatter.jp