




技术领域technical field
本发明涉及智能交通技术领域,具体涉及一种混行条件下快速路匝道智能网联车辆合流变道控制方法。The invention relates to the technical field of intelligent transportation, in particular to a control method for lane change of intelligent network-connected vehicles on expressway ramps under mixed traffic conditions.
背景技术Background technique
智能网联汽车借助车载系统及路测系统对行驶车辆的周围环境进行感知与识别,对获取的车辆位置、交通信号、道路以及障碍物等信息经分析处理,控制汽车的速度和转向来实现车辆智能驾驶。智能网联汽车技术的实现主要依靠多个辅助驾驶技术的融合,单一的辅助驾驶技术仅能够对驾驶员进行驾驶辅助,多个辅助驾驶技术的融合则能够适应更多场景,乃至适应全场景下的无人驾驶。根据智能驾驶自动化程度,可将汽车分为四个类型,即初级辅助驾驶汽车、高级辅助驾驶汽车、自动驾驶汽车和无人驾驶汽车。智能网联汽车的发展路径主要从两方面着手,即智能化和网联化。智能化是指依赖于先进的驾驶辅助技术,如高级驾驶辅助系统(Advanced Driving Assistance System,ADAS),采用车载传感器与汽车自动控制系统结合的方法实现汽车的智能驾驶功能。网联化主要是依靠车联网系统,如V2X系统(vehicle to everything,车对外界的信息交换)来实现车-人、车-车、车-路、车-平台的信息交换,提高汽车行驶的安全性,提高道路通过效率。The intelligent networked vehicle uses the on-board system and the road test system to perceive and recognize the surrounding environment of the driving vehicle, analyze and process the acquired information such as vehicle position, traffic signal, road and obstacles, and control the speed and steering of the vehicle to realize the vehicle. Smart driving. The realization of intelligent and connected vehicle technology mainly relies on the integration of multiple assisted driving technologies. A single assisted driving technology can only assist the driver in driving, and the integration of multiple assisted driving technologies can adapt to more scenarios and even all scenarios. of unmanned driving. According to the degree of intelligent driving automation, cars can be divided into four types, namely primary assisted driving cars, advanced assisted driving cars, self-driving cars and driverless cars. The development path of intelligent networked vehicles mainly starts from two aspects, namely intelligence and network connection. Intelligence refers to relying on advanced driver assistance technologies, such as Advanced Driving Assistance System (ADAS), to realize the intelligent driving function of the car by combining on-board sensors with the car's automatic control system. Networking mainly relies on the Internet of Vehicles system, such as the V2X system (vehicle to everything, vehicle-to-everything information exchange) to realize vehicle-person, vehicle-vehicle, vehicle-road, vehicle-platform information exchange, and improve the driving efficiency of vehicles. safety and improve road passing efficiency.
车辆换道行为是描述驾驶员由于自身驾驶特性,根据车辆周边交通环境刺激调整自己的行驶状态并完成目标策略的一个过程。根据追求利益的动机不同,车辆换道一般情况下分为自由性换道和强制性换道两种模式。强制性换道指具有确定的目标车道、并在一定区间内必须实施换道的行为,如匝道的分流、合流车辆,交织区车辆等,此类行为的关键是存在一个最迟换道点。自由性换道指车辆在遇到前方较慢的车辆时,为了追求更快的车速,更自由的驾驶空间而发生的变换车道行为。Vehicle lane-changing behavior is a process that describes the driver's own driving characteristics, adjusting his driving state according to the surrounding traffic environment stimulus and completing the target strategy. According to the different motives of pursuing interests, vehicle lane changing is generally divided into two modes: free lane changing and compulsory lane changing. Mandatory lane change refers to the behavior that has a definite target lane and must be changed within a certain interval, such as ramp diversion, merging vehicles, vehicles in the weaving area, etc. The key to such behavior is to have a latest lane change point. Free lane changing refers to the behavior of changing lanes in pursuit of faster speed and more free driving space when a vehicle encounters a slower vehicle ahead.
车辆离不开动态交通信息信息采集,交通信息收集系统的基础是交通信息数据的采集,常规环境下信息采集方式包括微波雷达、视频、红外、环形感应线圈和浮动车交通信息采集等。环形感应线圈通常由环型线圈、传输馈线、检测处理单元部分组成,环形线圈铺设在道路上,并在其附近形成一个磁场,当车辆进入这个磁场时,检测处理单元就检测到一个车辆,并输出信号;不仅可以计数、检测交通流量,还可以测速。微波检测器是一种雷达探测器,利用多普勒效应检测车辆,不仅可以检测交通量,还可以测速,从而达到检测道路交通信息的目的。视频监控系统主要由前端、传输和终端三大部分组成,前端部分主要包括摄像机、镜头、云台、解码器等,传输部分常用的有光缆、视频电缆、电话线等,终端部分通常为监视器,可以显示前端传来的图像,还可对前端设备进行控制;电视监控系统有图像监视和交通数据采集双重功能;安装简单,检测率高,寿命长,维护费用低。浮动车交通信息采集是通过安装有全球卫星定位系统和无线通信装置的车辆(如出租车、公交车等)与交通数据中心进行实时信息交换,特点是采集范围广、投资少,能够反映路网运行状态的变化,为疏堵提供参考。Vehicles are inseparable from the collection of dynamic traffic information. The basis of the traffic information collection system is the collection of traffic information data. The information collection methods in the conventional environment include microwave radar, video, infrared, ring induction coil and floating vehicle traffic information collection. The toroidal induction coil is usually composed of a toroidal coil, a transmission feeder, and a detection processing unit. The toroidal coil is laid on the road and forms a magnetic field near it. When the vehicle enters this magnetic field, the detection processing unit detects a vehicle and generates a Output signal; not only can count and detect traffic flow, but also can measure speed. Microwave detector is a kind of radar detector, which uses Doppler effect to detect vehicles, not only can detect traffic volume, but also can measure speed, so as to achieve the purpose of detecting road traffic information. The video surveillance system is mainly composed of three parts: front-end, transmission and terminal. The front-end part mainly includes cameras, lenses, pan-tilts, decoders, etc. , it can display the image from the front end, and can also control the front end equipment; the TV monitoring system has dual functions of image monitoring and traffic data collection; simple installation, high detection rate, long life and low maintenance cost. Floating car traffic information collection is to exchange real-time information with the traffic data center through vehicles (such as taxis, buses, etc.) installed with global satellite positioning systems and wireless communication devices. The change of the operating state provides a reference for dredging.
为保证在预期的空间和时间条件下顺利安全地完成车道变换行为,常见的换道模型分为基于动态重复博弈的换道模型、基于效用选择需求的换车道模型和基于模糊逻辑方法的换道模型三种情况。基于动态重复博弈的换道模型把车辆的换道行为比做一个动态的重复博弈的过程,比较需要换道的车辆和目标车道上的后车,他们之间为寻求高速度和满意的行驶空间而进行博弈;考虑速度因素和安全因素,通过分析影响车辆期望速度的各种因素,得出车辆换道的模型。基于效用选择需求的换车道模型下,驾驶员在不同车道行驶时对不同车道的满意程度是不同的,可以用效用来表示,并服从效用最大化设置,即车辆所在车道一定是满意程度最高的,一旦在其他车道行驶的满意程度更高,则换道需求产生。基于模糊逻辑方法的换道模型考虑换道本身是一种思维决策过程,而模糊逻辑方法采用的是语言变量进行近似的推理,十分适合刻画换道这一基于驾驶员本身的主观判断过程;综合考虑目标车与临近车之间速度与距离的关系因素建立基于模糊逻辑的车道变化算法从而建立换道模型。In order to ensure the smooth and safe completion of lane changing behavior under the expected spatial and temporal conditions, common lane changing models are divided into the lane changing model based on dynamic repeated game, the lane changing model based on utility selection requirements, and the lane changing model based on fuzzy logic method. Model in three cases. The lane-changing model based on dynamic repeated game compares the lane-changing behavior of vehicles to a process of dynamic repeated game, and compares the vehicles that need to change lanes and the vehicles behind in the target lane. The game is carried out; considering the speed factor and safety factor, by analyzing various factors that affect the expected speed of the vehicle, the vehicle lane changing model is obtained. Under the lane change model based on the utility selection requirement, the driver's satisfaction with different lanes is different when driving in different lanes, which can be expressed by utility and obey the utility maximization setting, that is, the lane where the vehicle is located must have the highest degree of satisfaction. , once the satisfaction level of driving in other lanes is higher, the demand for lane change occurs. The lane-changing model based on fuzzy logic method considers that lane-changing itself is a kind of thinking and decision-making process, while the fuzzy logic method uses language variables to approximate the reasoning, which is very suitable for describing the subjective judgment process based on the driver itself. Considering the relationship between the speed and the distance between the target vehicle and the adjacent vehicle, a lane change algorithm based on fuzzy logic is established to establish a lane change model.
目前随着车联网技术的不断发展,尤其是在自动驾驶领域上取得了巨大的革新。道路上由传统交通流逐渐变为自动驾驶车辆与人工驾驶车辆混合形成的交通流。而复杂的交通环境存在众多随机、不可确定的影响因素,导致混合交通行驶模式下车辆变道状态也是复杂化、多样化。考虑车辆换道对道路的通行能力和交通稳定性有着直接影响,尤其匝道车辆汇入主线车道时,不当的换道行为容易导致合流区路段拥堵,甚至引发交通安全问题。这不仅影响人们对自动驾驶技术的信心,也无形之中对自动驾驶技术的发展带来了挑战。因此,针对匝道合流区异质交通流的车辆变道问题,研究自动驾驶车辆在匝道合流的控制方法,对于改善合流区的交通通行能力和车辆运行效率是非常有意义的。At present, with the continuous development of the Internet of Vehicles technology, tremendous innovation has been achieved, especially in the field of autonomous driving. The traditional traffic flow on the road is gradually changing to a traffic flow formed by a mixture of autonomous vehicles and human-driven vehicles. In the complex traffic environment, there are many random and undeterminable influencing factors, which lead to the complicated and diversified vehicle lane changing state in the mixed traffic driving mode. Considering that vehicle lane changing has a direct impact on the traffic capacity and traffic stability of the road, especially when the ramp vehicles merge into the main lane, improper lane changing behavior can easily lead to congestion in the merging area and even cause traffic safety problems. This not only affects people's confidence in autonomous driving technology, but also poses challenges to the development of autonomous driving technology. Therefore, in view of the vehicle lane change problem of heterogeneous traffic flow in the merging area of the ramp, it is very meaningful to study the control method of autonomous vehicles merging on the ramp to improve the traffic capacity and vehicle operation efficiency of the merging area.
但是,现阶段道路路侧设施不全面,智能网联车辆还未得到普及。在此情况下路面人工车辆只能判断行驶状态,不能得到具体的动态行驶数据。并且常规换道所需要的换道时间较长,快速路匝道易发生交通拥堵,特别是在混行交通行驶状态下,现有的车辆变道方法无法判断目标车道的人工车辆车主的驾驶行为,无法在不同驾驶形态下判断出混行车辆对车辆变道的影响,容易造成车辆换道的决策失误。However, at this stage, roadside facilities are not comprehensive, and intelligent networked vehicles have not yet been popularized. In this case, the artificial vehicle on the road can only judge the driving state, and cannot obtain the specific dynamic driving data. In addition, the conventional lane change requires a long time, and the expressway ramp is prone to traffic congestion. Especially in the mixed traffic state, the existing vehicle lane change method cannot judge the driving behavior of the manual vehicle owner in the target lane. It is impossible to judge the influence of mixed vehicles on vehicle lane changing under different driving modes, which may easily lead to wrong decision-making of vehicle lane changing.
发明内容SUMMARY OF THE INVENTION
为此,本发明所要解决的技术问题在于克服现有技术中的不足,提供一种考虑合流区混行车辆不同驾驶形态对智能网联车辆变道的影响、降低智能网联车辆换道决策失误的混行条件下快速路匝道智能网联车辆合流变道控制方法。Therefore, the technical problem to be solved by the present invention is to overcome the deficiencies in the prior art, and to provide a method that considers the influence of different driving modes of mixed vehicles in the merging area on the lane change of the intelligent networked vehicle, and reduces the mistakes in the decision of the intelligent networked vehicle to change lanes. The control method of intelligent network-connected vehicles merging and changing lanes on expressway ramps under mixed traffic conditions.
为解决上述技术问题,本发明提供了一种混行条件下快速路匝道智能网联车辆合流变道控制方法,包括以下步骤:In order to solve the above-mentioned technical problems, the present invention provides a method for controlling the merging and changing lanes of intelligent network-connected vehicles on expressway ramps under mixed traffic conditions, comprising the following steps:
S1:智能网联车辆作为主车M驶入快速路合流区,主车M基于智能车路系统及智能车载系统在通信区域内获取周边道路环境信息;S1: The intelligent networked vehicle enters the expressway merging area as the main vehicle M, and the main vehicle M obtains the surrounding road environment information in the communication area based on the intelligent vehicle-road system and the intelligent vehicle-mounted system;
S2:根据周边道路环境信息计算主车M距离所处车道周围车辆A的最小安全距离的触发时间ti+c,根据最小安全距离的触发时间ti+c计算最小安全间隙SMSD(MA),最小安全间隙SMSD(MA)可以保证主车M在换道时与周围的车A不发生碰撞;S2: Calculate the trigger time ti+c of the minimum safe distance between the host vehicle M and the surrounding vehicle A in the lane according to the surrounding road environment information, and calculate the minimum safety gap SMSD (MA) according to the trigger time ti +c of the minimum safe distance , the minimum safety gap SMSD (MA) can ensure that the host vehicle M does not collide with the surrounding vehicles A when changing lanes;
S3:获取主车M与周围车辆A的实时距离Sreal(MA),将主车M与周围车辆A的实时距离Sreal(MA)与最小安全间隙SMSD(MA)比较,若Sreal(MA)<SMSD(MA),主车M不产生变道动机,执行S4;若Sreal(MA)≥SMSD(MA),主车M产生变道动机,执行S5;S3: Obtain the real-time distance Sreal (MA) between the host vehicle M and the surrounding vehicles A, and compare the real-time distance S real( MA) between the host vehicle M and the surrounding vehicles A with the minimum safety clearance SMSD (MA). If Sreal ( MA) < SMSD (MA), the host vehicle M does not generate a lane change motive, and execute S4; if Sreal (MA) ≥ SMSD (MA), the host vehicle M generates a lane change motive, and execute S5;
S4:主车M在车道内继续行驶或停车等待变道时机,跳转执行S3直到Sreal(MA)≥SMSD(MA)时主车M产生变道动机,执行S5;S4: The host vehicle M continues to drive in the lane or stops to wait for the opportunity to change lanes, and executes S3 until Sreal (MA)≥SMSD (MA) when the host vehicle M generates a lane change motive, and executes S5;
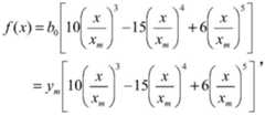
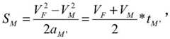
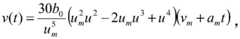
S5:建立主车M的行驶换道轨迹f(x)和目标车道线g(x),根据行驶换道轨迹和目标车道线计算以时间为参数变量的期望路径函数g(t),由期望路径函数g(t)得到速度变化函数v(t)和加速度变化函数a(t);S5: Establish the driving lane-changing trajectory f(x) and the target lane line g(x) of the host vehicle M, and calculate the expected path function g(t) with time as a parameter variable according to the driving lane-changing trajectory and the target lane line. The path function g(t) obtains the velocity change function v(t) and the acceleration change function a(t);
S6:主车M再次获取周边道路环境信息并判断换道入的目标车道中是否有前方车辆车N和后方车辆车F,在只有前方车辆车N、只有后方车辆车F和前方车辆车N和后方车辆车F都有的三种情况下分别计算出主车M换道时所需的加速度achange,主车M以加速度achange换道入目标车道内,更新智能车辆网联车辆的状态信息。S6: The host vehicle M obtains the surrounding road environment information again and judges whether there are the preceding vehicle N and the following vehicle F in the target lane to be changed into, if only the preceding vehicle N, only the rear vehicle F and the preceding vehicle N and The acceleration achange required by the host vehicle M tochange lanes is calculated respectively in the three cases that the rear vehicle F has the following three conditions. .
进一步地,所述S2中根据周边道路环境信息计算主车M距离所处车道周围车辆A的最小安全距离的触发时间ti+c,具体为:Further, in the S2, the trigger time ti+c of the minimum safe distance between the host vehicle M and the vehicle A around the lane where the host vehicle M is calculated according to the surrounding road environment information is specifically:
最小安全距离的触发时间ti+c=ti+tc,其中ti为主车M从初始位置到换道前需要经过的调整时间,tc为从换道开始到距离周围车辆A达到最小安全距离的时间;最小安全距离Smin(MA)为跟驰状态下主车M不与周围车辆A发生碰撞时的最小间距,根据车辆的行驶速度设置。The trigger time of the minimum safety distance ti+c =ti +tc , where ti is the adjustment time that the main vehicle M needs to pass from the initial position to the lane change, and tc is the time from the start of lane change to the distance from the surrounding vehicle A. The time of the minimum safety distance; the minimum safety distance Smin (MA) is the minimum distance when the host vehicle M does not collide with the surrounding vehicle A in the car-following state, and is set according to the driving speed of the vehicle.
进一步地,所述S2中根据最小安全距离的触发时间ti+c计算最小安全间隙SMSD(MA),具体为:Further, according to the trigger time ti+c of the minimum safety distance in described S2, calculate the minimum safety gap SMSD (MA), specifically:
计算主车M的车头与A车的车位之间的纵向距离其中SMA(0)为主车M与车A在换道零时刻初始距离,α为主车M换道偏航角度,aM为主车M的加速度,aA为车A的加速度,vM(0)为主车M的初速度,vA(0)为车A的初速度,WM为主车M车宽;Calculate the longitudinal distance between the front of the host car M and the parking space of car A where SMA (0) is the initial distance between the main vehicle M and the vehicle A at the zero time of lane changing, α is the yaw angle of the main vehicle M changing lanes, aM is the acceleration of the main vehicle M, aA is the acceleration of the vehicle A, and vM (0) is the initial speed of the main vehicle M, vA (0) is the initial speed of the vehicle A, and WM is the width of the main vehicle M;
由主车M车头与A车的车位之间的纵向距离、最小安全距离和最小安全距离的触发时间得到主车M与A车之间的最小安全间隙为:From the longitudinal distance between the head of the host car M and the parking space of the car A, the minimum safety distance and the trigger time of the minimum safety distance, the minimum safety gap between the host car M and the car A can be obtained as:
SMSD(MA)=max{SMA(ti+c),Smin(MA)}。SMSD (MA)=max{SMA (ti+c ),Smin (MA)}.
进一步地,所述步骤S4中主车M在车道内继续行驶或停车等待变道时机的过程中,若vM-vA是值大于预设的速度阈值,vM为车M当前的速度,vA为车A当前的速度,车M则适当减速并预警提示周围额车A加快驶离加速道,或减速至停车等待换道时机使加速车道前方车辆优先换道;若vM-vA的值小于等于预设的速度阈值,车M在保证加速车道前方车辆优先换道的前提下以匀速或适当匀加速进行换道决策。Further, in the step S4, when the host vehicle M continues to drive in the lane or stops and waits for the opportunity to change lanes, if vM -vA is a value greater than a preset speed threshold, vM is the current speed of the vehicle M, vA is the current speed of car A, and car M will appropriately decelerate and warn the surrounding cars A to speed up and leave the acceleration lane, or decelerate to stop and wait for the opportunity to change lanes so that the vehicle in front of the acceleration lane will change lanes first; if vM -vA The value of is less than or equal to the preset speed threshold, and the vehicle M makes a lane-changing decision at a uniform speed or an appropriate uniform acceleration on the premise that the vehicle in front of the acceleration lane is given priority to change lanes.
进一步地,所述S5中建立主车M的行驶换道轨迹f(x)和目标车道线g(x),具体为:Further, the driving lane change trajectory f(x) and the target lane line g(x) of the host vehicle M are established in the S5, specifically:
主车M的行驶换道轨迹f(x)由5次多项式函数拟合得到:The lane change trajectory f(x) of the host vehicle M is obtained by fitting a 5th degree polynomial function:
f(x)=a0+a1x1+a2x2+a3x3+a4x4+a5x5;f(x)=a0 +a1 x1 +a2 x2 +a3 x3 +a4 x4 +a5 x5 ;
目标车道线g(x)通过4次多项式函数拟合得到:The target lane line g(x) is obtained by fitting a 4th degree polynomial function:
g(x)=b0x0+b1x1+b2x2+b3x3+b4x4。g(x)=b0 x0 +b1 x1 +b2 x2 +b3 x3 +b4 x4 .
进一步地,所述S5中根据行驶换道轨迹和目标车道线计算以时间为参数变量的期望路径函数g(t),所述以时间为参数变量的期望路径函数g(t)为:Further, in the S5, the expected path function g(t) with time as the parameter variable is calculated according to the driving lane change trajectory and the target lane line, and the expected path function g(t) with time as the parameter variable is:
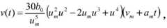
进一步地,所述S5中由期望路径函数g(t)得到速度变化函数v(t)和加速度变化函数a(t),所述速度变化函数所述加速度变化函数Further, in S5, the speed change function v(t) and the acceleration change function a(t) are obtained from the desired path function g(t), and the speed change function The acceleration variation function
其中,vm表示换道初始速度,am表示换道初始加速度,t表示换道经过的时间,b0是坐标系上目标车道的位置。in, vm represents the initial speed of the lane change, am represents the initial acceleration of the lane change, t represents the elapsed time of the lane change, and b0 is the position of the target lane on the coordinate system.
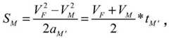
进一步地,所述S6中只有前方车辆车N时,具体过程为:Further, when there is only the preceding vehicle N in the S6, the specific process is:
设置换道时主车M与车N的最小安全距离Smin(MN),根据最小安全距离Smin(MN)计算主车M与车N的最小安全间隙SMSD(MN)=max{SMN(tm),Smin(MN)};其中tm为主车M从换道开始到距离周围车辆N达到最小安全间隙的时间,SMN(tm)为主车M距离周围车辆N的最小安全间隙,t∈[0,tm1],SMN(0)为主车M与车N在换道零时刻初始距离,aN为车N的加速度,aM为车M的加速度,vN(0)为车N的初速度,vM(0)为车M的初速度,tm1为主车M换道经过的时间;Set the minimum safety distance Smin (MN) between the host vehicle M and the vehicle N when changing lanes, and calculate the minimum safety gap SMSD (MN) between the host vehicle M and the vehicle N according to the minimum safety distance Smin (MN) = max{SMN (tm ), Smin (MN)}; where tm is the time from when the host vehicle M starts changing lanes to when it reaches the minimum safety gap from the surrounding vehicles N, SMN (tm ) is the distance between the host vehicle M and the surrounding vehicles N minimum safety clearance, t∈[0,tm1 ], SMN (0) is the initial distance between the main vehicle M and the vehicle N at the zero time of lane change, aN is the acceleration of the vehicle N, aM is the acceleration of the vehicle M, vN (0) is the initial speed of the vehicle N, vM (0) is the initial speed of the vehicle M, and tm1 is the time elapsed for the main vehicle M to change lanes;
计算主车M的车头与N车的车位之间的纵向距离:其中,SN为目标车道上车N行驶的距离,SN=VN*tM,SM为主车M行驶的距离,LN为车N的车长,WM为主车M的车宽,θ是主车M在换道过程中产生的换道偏航角度;Calculate the longitudinal distance between the head of the host car M and the parking space of car N: Among them, SN is the distance traveled by vehicle N on the target lane, SN =VN *tM , SM is the distance traveled by the main vehicle M, LN is the vehicle length of the vehicle N, WM is the vehicle width of the host vehicle M, and θ is the lane-changing yaw angle generated by the host vehicle M during the lane-changing process;
计算主车M与车N的实时距离:Calculate the real-time distance between the host car M and the car N:
判断Sreal(MN)≥SMSD(MN)是否成立,若不成立,车M在当前车道内继续行驶或停车等待直到Sreal(MN)≥SMSD(MN)成立;Determine whether Sreal (MN)≥SMSD (MN) is established, if not, vehicle M continues to drive in the current lane or stops and waits until Sreal (MN)≥SMSD (MN) is established;
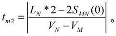
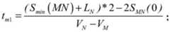
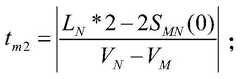
当Sreal(MN)≥SMSD(MN)成立,设置主车M换道完成后与车N间的距离为最小安全距离Smin(MN),此时tm1满足求解得到设置主车M换道完成后与车N间的距离为临界距离0,此时主车M换道经过的时间为tm2,此时tm2满足求解得到When Sreal (MN)≥SMSD (MN) is established, set the distance between the host vehicle M and the vehicle N after the lane change is completed as the minimum safe distance Smin (MN), at this time tm1 satisfies Solve to get Set the distance between the host vehicle M and the vehicle N after the lane change is completed as the
将tm1代入加速度变化函数a(t)中得到am1,将tm2代入加速度变化函数a(t)中得到am2,得到achange=(am1,am2];基于achange=(am1,am2],需要在tm2时间内调整主车M的加速度变换以满足achange的要求,同时确保在(tm2,tm1]时段内主车M的车速vm与前车N的车速VN相等,使主车M换道完成时刻与前方车辆车N保持匀速行驶。Substitute tm1 into the acceleration change function a(t) to obtain am1 , substitute tm2 into the acceleration change function a(t) to obtain am2 , and obtain achange =(am1 ,am2 ]; based on achange =(am1 , am2 ], it is necessary to adjust the acceleration transformation of the host vehicle M within the time tm2 to meet the requirements of achange , and at the same time ensure that the speed vm of the host vehicle M and the preceding vehicle N within the period of (tm2 , tm1 ] are The vehicle speed VN is equal, so that the host vehicle M keeps a constant speed with the preceding vehicle N at the time when the lane change is completed.
进一步地,所述S6中只有后方车辆车F时,具体过程为:Further, when there is only the rear vehicle F in the S6, the specific process is:
设置换道时主车M与车F的最小安全距离Smin(MF),根据最小安全距离Smin(MF)计算主车M与车N的最小安全间隙SMSD(MF)=max{SMF(tm'),Smin(MF)};其中tm'为主车M从换道开始到距离周围车辆F达到最小安全间隙的时间,SMF(tm')为主车M距离周围车辆F的最小安全间隙,t∈[0,tm1'],SMF(0)为主车M与车F在换道零时刻初始距离,aF为车F的加速度,aM为车M的加速度,vF(0)为车F的初速度vM(0)为车M的初速度,tm1'为主车M换道经过的时间;Set the minimum safety distance Smin (MF) between the host vehicle M and the vehicle F when changing lanes, and calculate the minimum safety gap between the host vehicle M and the vehicle N according to the minimum safety distance Smin (MF) SMSD (MF)=max{SMF (tm' ), Smin (MF)}; where tm' is the time from the time when the main vehicle M starts changing lanes to the time when it reaches the minimum safety clearance from the surrounding vehicles F, SMF (tm' ) is the distance from the main vehicle M around Minimum safety clearance for vehicle F, t∈[0,tm1' ], SMF (0) is the initial distance between the main vehicle M and the vehicle F at the zero time of lane change, aF is the acceleration of the vehicle F, aM is the acceleration of the vehicle M, vF (0 ) is the initial speed vM of the vehicle F (0) is the initial speed of the vehicle M, tm1' is the time elapsed for the main vehicle M to change lanes;
计算主车M的车头与F车的车位之间的纵向距离:其中,SF为目标车道上车F行驶的距离,SF=VF*tM',SM为主车M行驶的距离,LM为车M的车长,WM为主车M的车宽,θ是主车M在换道过程中产生的换道偏航角度;Calculate the longitudinal distance between the front of the host car M and the parking space of car F: Among them, SF is the distance traveled by vehicleF on the target lane,SF =VF *tM' , SM is the distance traveled by the main vehicleM , LM is the vehicle length of the vehicle M, WM is the vehicle width of the main vehicle M, and θ is the lane-changing yaw angle generated by the main vehicle M during the lane-changing process;
计算主车M与车F的实时距离Sreal(MF):Calculate the real-time distance Sreal (MF) between the host vehicle M and the vehicle F:
判断Sreal(MF)≥SMSD(MF)是否成立,若不成立,车M在当前车道内继续行驶或停车等待直到Sreal(MF)≥SMSD(MF)成立;Determine whether Sreal (MF)≥SMSD (MF) is established, if not, vehicle M continues to drive in the current lane or stops and waits until Sreal (MF)≥SMSD (MF) is established;
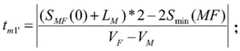
当Sreal(MF)≥SMSD(MF)成立,设置主车M换道完成后与车F间的距离为最小安全距离Smin(MF),此时tm1'满足求解得到设置主车M换道完成后与车F间的距离为临界距离0,此时主车M换道经过的时间为tm2',此时tm2'满足求解得到When Sreal (MF)≥SMSD (MF) is established, set the distance between the main vehicle M and vehicle F after the lane change is completed as the minimum safe distance Smin (MF), at this time tm1' satisfies Solve to get Set the distance between the host vehicle M and the vehicle F after the lane change is completed as the
将tm1'代入加速度变化函数a(t)中得到am1',将tm2'代入加速度变化函数a(t)中得到am2',得到achange=(am1',am2'];基于achange=(am1',am2'],需要在tm2’内调整主车M的加速度变化以满足achange的要求,但要同时确保在(tm2,tm1]时段内主车M的车速vm相等或大于前车F的车速VF。Substitute tm1' into the acceleration change function a(t) to obtain am1 ', substitute tm2' into the acceleration change function a(t) to obtain am2 ', and obtain achange =(am1 ', am2 ']; Based on achange =(am1 ', am2 '], it is necessary to adjust the acceleration change of the host vehicle M within tm2' to meet the requirements of achange , but at the same time ensure that the host vehicle is within the period of (tm2 , tm1 ]. The vehicle speed vm of M is equal to or greater than the vehicle speed VF of the preceding vehicle F .
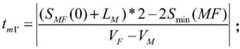
进一步地,所述S6中前方车辆车N和后方车辆车F都有时,具体过程为:Further, in the S6, both the front vehicle N and the rear vehicle F are sometimes, and the specific process is:
设置换道时主车M与车N的最小安全距离Smin(MN),根据最小安全距离Smin(MN)计算主车M与车N的最小安全间隙SMSD(MN)=max{SMN(tm),Smin(MN)};其中tm为主车M从换道开始到距离周围车辆N达到最小安全间隙的时间,SMN(tm)为主车M距离周围车辆N的最小安全间隙,t∈[0,tm1],SMN(0)为主车M与车N在换道零时刻初始距离,aN为车N的加速度,aM为车M的加速度,vN(0)为车N的初速度,vM(0)为车M的初速度,tm1为主车M换道经过的时间;Set the minimum safety distance Smin (MN) between the host vehicle M and the vehicle N when changing lanes, and calculate the minimum safety gap SMSD (MN) between the host vehicle M and the vehicle N according to the minimum safety distance Smin (MN) = max{SMN (tm ), Smin (MN)}; where tm is the time from when the host vehicle M starts changing lanes to when it reaches the minimum safety gap from the surrounding vehicles N, SMN (tm ) is the distance between the host vehicle M and the surrounding vehicles N minimum safety clearance, t∈[0,tm1 ], SMN (0) is the initial distance between the main vehicle M and the vehicle N at the zero time of lane change, aN is the acceleration of the vehicle N, aM is the acceleration of the vehicle M, vN (0) is the initial speed of the vehicle N, vM (0) is the initial speed of the vehicle M, and tm1 is the time elapsed for the main vehicle M to change lanes;
计算主车M的车头与N车的车位之间的纵向距离:其中,SN为目标车道上车N行驶的距离,SN=VN*tM,SM为主车M行驶的距离,LN为车N的车长,WM为主车M的车宽,θ是主车M在换道过程中产生的换道偏航角度;Calculate the longitudinal distance between the head of the host car M and the parking space of car N: Among them, SN is the distance traveled by vehicle N on the target lane, SN =VN *tM , SM is the distance traveled by the main vehicle M, LN is the vehicle length of the vehicle N, WM is the vehicle width of the host vehicle M, and θ is the lane-changing yaw angle generated by the host vehicle M during the lane-changing process;
计算主车M与车N的实时距离:Calculate the real-time distance between the host car M and the car N:
设置换道时主车M与车F的最小安全距离Smin(MF),根据最小安全距离Smin(MF)计算主车M与车N的最小安全间隙SMSD(MF)=max{SMF(tm'),Smin(MF)};其中tm'为主车M从换道开始到距离周围车辆F达到最小安全间隙的时间,SMF(tm')为主车M距离周围车辆F的最小安全间隙,t∈[0,tm1'],SMF(0)为主车M与车F在换道零时刻初始距离,aF为车F的加速度,aM为车M的加速度,vF(0)为车F的初速度vM(0)为车M的初速度,tm1'为主车M换道经过的时间;Set the minimum safety distance Smin (MF) between the host vehicle M and the vehicle F when changing lanes, and calculate the minimum safety gap between the host vehicle M and the vehicle N according to the minimum safety distance Smin (MF) SMSD (MF)=max{SMF (tm' ), Smin (MF)}; where tm' is the time from the time when the main vehicle M starts changing lanes to the time when it reaches the minimum safety clearance from the surrounding vehicles F, SMF (tm' ) is the distance from the main vehicle M around Minimum safety clearance for vehicle F, t∈[0,tm1' ], SMF (0) is the initial distance between the main vehicle M and the vehicle F at the zero time of lane change, aF is the acceleration of the vehicle F, aM is the acceleration of the vehicle M, vF (0 ) is the initial speed vM of the vehicle F (0) is the initial speed of the vehicle M, tm1' is the time elapsed for the main vehicle M to change lanes;
计算主车M的车头与F车的车位之间的纵向距离:其中,SF为目标车道上车F行驶的距离,SF=VF*tM',SM为主车M行驶的距离,LM为车M的车长,WM为主车M的车宽,θ是主车M在换道过程中产生的换道偏航角度;Calculate the longitudinal distance between the front of the host car M and the parking space of car F: Among them, SF is the distance traveled by vehicleF on the target lane,SF =VF *tM' , SM is the distance traveled by the main vehicleM , LM is the vehicle length of the vehicle M, WM is the vehicle width of the main vehicle M, and θ is the lane-changing yaw angle generated by the main vehicle M during the lane-changing process;
计算主车M与车F的实时距离Sreal(MF):Calculate the real-time distance Sreal (MF) between the host vehicle M and the vehicle F:
判断Sreal(MN)≥SMSD(MN)和Sreal(MF)≥SMSD(MF)是否同时成立,若不成立,车M在当前车道内继续行驶或停车等待直到Sreal(MN)≥SMSD(MN)和Sreal(MF)≥SMSD(MF)同时成立;Determine whether Sreal (MN)≥SMSD (MN) and Sreal (MF)≥SMSD (MF) are established at the same time, if not, vehicle M continues to drive in the current lane or stop and wait until Sreal (MN)≥SMSD (MN) and Sreal (MF)≥SMSD (MF) are established simultaneously;
当Sreal(MN)≥SMSD(MN)和Sreal(MF)≥SMSD(MF)同时成立,设置目标车道上车N与车F之间的最小安全距离Smin(NF),根据最小安全距离Smin(NF)计算车N与车F的最小安全间隙SMSD(NF)=max{SNF(t),Smin(NF)},其中SNF(t)=SMN(t)+SMF(t)=SN+SMN(0)+SMF(0)-SF-2L-2WM*sinθ;When Sreal (MN)≥SMSD (MN) and Sreal (MF)≥SMSD (MF) are established at the same time, set the minimum safety distance Smin (NF) between vehicle N and vehicle F on the target lane, according to the minimum Safety distance Smin (NF) calculates the minimum safety gap between vehicle N and vehicle F SMSD (NF)=max{SNF (t), Smin (NF)}, where SNF (t)=SMN (t)+ SMF (t)=SN +SMN (0)+SMF (0)-SF -2L-2WM *sinθ;
计算车N与车F的实时距离Sreal(NF):其中SNF(0)为主车N与车F在换道零时刻初始距离;Calculate the real-time distance Sreal (NF) between car N and car F: Among them, SNF (0) is the initial distance between the main vehicle N and the vehicle F at the zero time of lane change;
判断Sreal(NF)≥SMSD(NF)是否成立,若不成立,车M在当前车道内继续行驶或停车等待直到Sreal(NF)≥SMSD(NF)成立;Determine whether Sreal (NF)≥SMSD (NF) is established, if not, vehicle M continues to drive in the current lane or stops and waits until Sreal (NF)≥SMSD (NF) is established;
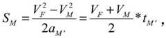
当Sreal(NF)≥SMSD(NF)成立,保持车N与车F匀速行驶,设置主车M换道完成后与车N间的距离为最小安全距离Smin(MN),此时tm1满足求解得到设置主车M换道完成后与车N间的距离为临界距离0,此时主车M换道经过的时间为tm2,此时tm2满足求解得到将tm1代入加速度变化函数a(t)中得到am1,将tm2代入加速度变化函数a(t)中得到am2;When Sreal (NF) ≥ SMSD (NF) is established, keep car N and car F running at a constant speed, and set the distance between main car M and car N after changing lanes as the minimum safe distance Smin (MN), at this time tm1 is satisfied Solve to get Set the distance between the host vehicle M and the vehicle N after the lane change is completed as the
设置主车M换道完成后与车F间的距离为最小安全距离Smin(MF),此时tm1'满足求解得到设置主车M换道完成后与车F间的距离为临界距离0,此时主车M换道经过的时间为tm2',此时tm2'满足求解得到将tm1'代入加速度变化函数a(t)中得到am1',将tm2'代入加速度变化函数a(t)中得到am2';Set the distance between the main vehicle M and vehicle F after the lane change is completed as the minimum safe distance Smin (MF), at this time tm1' satisfies Solve to get Set the distance between the host vehicle M and the vehicle F after the lane change is completed as the
得到此时的achange=(am1’,am2’]∪(am1,am2],结合换道时间一般在5s内,车M需要在t=min{tm1,tm2’,5s}内调整主车M的加速度变换以满足achange的要求,同时确保在换道完成时刻使得主车M的车速vm与前车F、后车N的车速保持匀速。Achange = (am1' , am2' ]∪(am1 , am2 ] at this time, combined with the lane change time is generally within 5s, the car M needs to be in t=min{tm1 , tm2' , 5s } } The acceleration transformation of the host vehicle M is adjusted to meet the requirements of achange , and at the same time, it is ensured that the vehicle speed vm of the host vehicle M and the speed of the preceding vehicle F and the rear vehicle N remain uniform at the time when the lane change is completed.
本发明的上述技术方案相比现有技术具有以下优点:The above-mentioned technical scheme of the present invention has the following advantages compared with the prior art:
(1)考虑了混合交通流的情况,基于获取的实时交通流信息、周围车辆的行驶状况信息,计算最佳安全间隙距离触发时间及加速度,优化智能网联车辆换道过程的加减速度,提高匝道合流区的通行效率;(1) Considering the situation of mixed traffic flow, based on the obtained real-time traffic flow information and the driving condition information of surrounding vehicles, calculate the trigger time and acceleration of the optimal safety clearance distance, and optimize the acceleration and deceleration of the lane-changing process of intelligent networked vehicles. Improve the traffic efficiency in the merging area of the ramp;
(2)考虑了待换道前后来车的不同情况下的干扰车辆对智能网联车辆换道的影响,同时根据当前的交通环境,使用期望路径函数动态评估该方法的可行性,避免换道过程中车辆发生追尾碰撞事故,有效提高自动驾驶在换道过程的安全性及可靠性;(2) Considering the influence of interfering vehicles on ICVs in different situations before and after changing lanes, at the same time, according to the current traffic environment, use the desired path function to dynamically evaluate the feasibility of the method to avoid lane changing During the process, the vehicle has a rear-end collision accident, which effectively improves the safety and reliability of the automatic driving in the process of changing lanes;
(3)本发明基于智能网联车辆行驶换道轨迹期望函数,分析不同时刻车辆的加速度变化从而进行后期调优处理,在保证安全换道的同时,缩短智能车辆换道时间。(3) Based on the expected function of the lane-changing trajectory of the intelligent networked vehicle, the present invention analyzes the acceleration changes of the vehicle at different times to perform post-tuning processing, and shortens the lane-changing time of the intelligent vehicle while ensuring safe lane-changing.
附图说明Description of drawings
为了使本发明的内容更容易被清楚的理解,下面根据本发明的具体实施例并结合附图,对本发明作进一步详细的说明。In order to make the content of the present invention easier to understand clearly, the present invention will be described in further detail below according to specific embodiments of the present invention and in conjunction with the accompanying drawings.
图1是本发明提供的一个实施匝道合流区换道控制流程图。FIG. 1 is a flow chart of the lane change control in the implementation of the ramp merge area provided by the present invention.
图2是本发明中M车驶入目标车道行驶轨迹函数图。FIG. 2 is a function diagram of the driving trajectory of the M vehicle entering the target lane in the present invention.
图3是本发明中M车换道时与目标车道上的相邻车N和相邻车F的位置关系示意图图。3 is a schematic diagram of the positional relationship between the M vehicle and the adjacent vehicle N and the adjacent vehicle F on the target lane when the vehicle M changes lanes according to the present invention.
图4是本发明中车辆M向目标车道换道的轨迹示意图。FIG. 4 is a schematic diagram of the trajectory of the vehicle M changing lanes to the target lane in the present invention.
图5是本发明中快速路匝道合流区的通信区域信息感知图。FIG. 5 is a communication area information perception diagram of the expressway ramp confluence area in the present invention.
具体实施方式Detailed ways
下面结合附图和具体实施例对本发明作进一步说明,以使本领域的技术人员可以更好地理解本发明并能予以实施,但所举实施例不作为对本发明的限定。The present invention will be further described below with reference to the accompanying drawings and specific embodiments, so that those skilled in the art can better understand the present invention and implement it, but the embodiments are not intended to limit the present invention.
在本发明的描述中,需要理解的是,术语“包括”意图在于覆盖不排他的包含,例如包含了一系列S或单元的过程、方法、系统、产品或设备,没有限定于已列出的S或单元而是可选地还包括没有列出的S或单元,或可选地还包括对于这些过程、方法、产品或设备固有的其他S或单元。In the description of the present invention, it should be understood that the term "comprising" is intended to cover non-exclusive inclusion, such as a process, method, system, product or device comprising a series of S or units, not limited to those listed Instead, S or units optionally also include S or units not listed, or optionally other S or units inherent to these processes, methods, products, or devices.
参照图1流程图所示,本发明一种混行条件下快速路匝道智能网联车辆合流变道控制方法的实施例,包括以下步骤:Referring to the flowchart shown in FIG. 1 , an embodiment of the present invention, an embodiment of a control method for intelligent network-connected vehicles on an expressway ramp under mixed traffic conditions, includes the following steps:
S1:智能网联车辆作为主车M驶入快速路合流区,主车M基于智能车路系统及智能车载系统在通信区域内获取周边道路环境信息;获取的周边道路环境信息的范围如图5中的虚线范围所示,本实施例中感知区域范围预设为800m。周边道路环境信息包括车道信息、车辆信息(车辆类型、车辆运行位置和速度信息、车辆行驶状态)和障碍物信息;S1: The intelligent networked vehicle enters the expressway merging area as the main vehicle M, and the main vehicle M obtains the surrounding road environment information in the communication area based on the intelligent vehicle-road system and the intelligent vehicle-mounted system; the scope of the obtained surrounding road environment information is shown in Figure 5 As shown by the dotted line range in , the sensing area range is preset to 800m in this embodiment. The surrounding road environment information includes lane information, vehicle information (vehicle type, vehicle running position and speed information, vehicle driving state) and obstacle information;
S2:根据周边道路环境信息计算主车M距离所处车道周围车辆A的最小安全距离的触发时间ti+c,根据最小安全距离的触发时间ti+c进一步计算最小安全间隙SMSD(MA),最小安全间隙SMSD(MA)可以保证主车M在换道时与周围的车A不发生碰撞。S2: Calculate the trigger time ti+c of the minimum safe distance between the host vehicle M and the surrounding vehicle A in the lane according to the surrounding road environment information, and further calculate the minimum safety gap SMSD (MA according to the trigger time ti +c of the minimum safe distance) ), the minimum safety gap SMSD (MA) can ensure that the host vehicle M does not collide with the surrounding vehicles A when changing lanes.
S2.1:根据周边道路环境信息计算主车M距离所处车道周围车辆A的最小安全距离的触发时间根据主车M的最小安全距离得到,具体为:S2.1: The trigger time for calculating the minimum safe distance between the host vehicle M and the vehicle A around the lane where the host vehicle M is based on the surrounding road environment information is obtained according to the minimum safe distance of the host vehicle M, specifically:
最小安全距离Smin(MA)为跟驰状态下主车M不与周围车辆A发生碰撞时的最小间距,根据车辆的行驶速度设置;本实施例中在主车M车速为40km/h的情况下,设置最小安全距离Smin(MA)=30m。如果主车M的速度更快、车道内的车流量更大,最小安全距离相应地设置的更大。The minimum safe distance Smin (MA) is the minimum distance when the host vehicle M does not collide with the surrounding vehicle A in the car-following state, and is set according to the driving speed of the vehicle; in this embodiment, the host vehicle M is at a speed of 40km/h. , set the minimum safety distance Smin (MA) = 30m. If the speed of the host vehicle M is faster and the traffic flow in the lane is larger, the minimum safe distance is set to be larger accordingly.
最小安全距离的触发时间在其他因素忽略不计的情况下根据车辆动力学以及初始车速差值分析得到。即本发明中的交通环境仅为理想状态,并没有考虑天气、路面摩擦力、空气阻力等其他因素。The triggering time of the minimum safe distance is obtained by analyzing the vehicle dynamics and the initial vehicle speed difference under the condition that other factors are ignored. That is, the traffic environment in the present invention is only an ideal state, and other factors such as weather, road friction, air resistance, etc. are not considered.
最小安全距离的触发时间ti+c=ti+tc,其中ti为主车M从初始位置到换道前需要经过的调整时间,tc为从换道开始到距离周围车辆A达到最小安全距离的时间。The trigger time of the minimum safety distance ti+c =ti +tc , where ti is the adjustment time that the main vehicle M needs to pass from the initial position to the lane change, and tc is the time from the start of lane change to the distance from the surrounding vehicle A. Minimum safe distance time.
本实施例中ti为M车从初始位置换道前的调整时间,tc为从调整后开始时刻到车头间距为30m的时刻,即:In this embodiment, ti is the adjustment time before the M vehicle changes lanes from the initial position, and tc is the time from the start time after adjustment to the time when the distance between the heads of the vehicles is 30m, that is:
其中aM为主车M的加速度,aA为车A的加速度,vM(0)为主车M的初速度,vA(0)为车A的初速度。 Among them, aM is the acceleration of the main vehicle M, aA is the acceleration of the vehicle A, vM (0) is the initial speed of the main vehicle M, and vA (0) is the initial speed of the vehicle A.
S2.2:根据最小安全距离的触发时间计算最小安全间隙,具体为:S2.2: Calculate the minimum safety gap according to the trigger time of the minimum safety distance, specifically:
S2.2.1:计算主车M的车头与A车的车位之间的纵向距离S2.2.1: Calculate the longitudinal distance between the head of the host car M and the parking space of the car A
其中SMA(0)为主车M与车A在换道零时刻初始距离,α为主车M换道偏航角度,aM为主车M的加速度,aA为车A的加速度,vM(0)为主车M的初速度,vA(0)为车A的初速度,WM为主车M车宽;一般情况下,车辆的换道偏航角度在3°与5°之间,因此sinα的值趋于0、cosα的值趋于1,此时主车M的车头与A车的车位之间的纵向距离可以简化为:where SMA (0) is the initial distance between the main vehicle M and the vehicle A at the zero time of lane changing, α is the yaw angle of the main vehicle M changing lanes, aM is the acceleration of the main vehicle M, aA is the acceleration of the vehicle A, and vM (0) is the initial speed of the main vehicle M, vA (0) is the initial speed of the vehicle A, and WM is the width of the main vehicle M; under normal circumstances, the yaw angle of the vehicle is between 3° and 5°. Therefore, the value of sinα tends to 0 and the value of cosα tends to 1. At this time, the longitudinal distance between the head of the host vehicle M and the parking space of the vehicle A can be simplified as:
S2.2.2:由主车M车头与A车车位之间的纵向距离、最小安全距离和最小安全距离的触发时间得到主车M与A车之间的最小安全间隙为:S2.2.2: From the longitudinal distance between the front of the main car M and the parking space of the A car, the minimum safety distance and the trigger time of the minimum safety distance, the minimum safety gap between the main car M and the car A is obtained as follows:
SMSD(MA)=max{SMA(ti+c),Smin(MA)};SMSD (MA)=max{SMA (ti+c ),Smin (MA)};
S3:获取主车M与周围车辆A的实时距离Sreal(MA),将主车M与周围车辆A的实时距离Sreal(MA)与最小安全间隙SMSD(MA)比较,若Sreal(MA)<SMSD(MA),主车M不产生变道动机,执行S4;若Sreal(MA)≥SMSD(MA),主车M产生变道动机,执行S5;S3: Obtain the real-time distance Sreal (MA) between the host vehicle M and the surrounding vehicles A, and compare the real-time distance S real( MA) between the host vehicle M and the surrounding vehicles A with the minimum safety clearance SMSD (MA). If Sreal ( MA) < SMSD (MA), the host vehicle M does not generate a lane change motive, and execute S4; if Sreal (MA) ≥ SMSD (MA), the host vehicle M generates a lane change motive, and execute S5;
S4:主车M在车道内继续行驶或停车等待变道时机,跳转执行S3直到Sreal(MA)≥SMSD(MA)时主车M产生变道动机,执行S5;S4: The host vehicle M continues to drive in the lane or stops to wait for the opportunity to change lanes, and executes S3 until Sreal (MA)≥SMSD (MA) when the host vehicle M generates a lane change motive, and executes S5;
在主车M在车道内继续行驶或停车等待变道时机的过程中,若vM-vA是值大于预设的速度阈值,vM为车M当前的速度,vA为车A当前的速度,车M则适当减速并预警提示周围额车A加快驶离加速道,或减速至停车等待换道时机使加速车道前方车辆优先换道;若vM-vA的值小于等于预设的速度阈值,车M在保证加速车道前方车辆优先换道的前提下以匀速或适当匀加速进行换道决策,保证当前车道上的车辆安全有效驶离加速车道。本实施例中速度阈值为20km/h。During the process that the host vehicle M continues to drive in the lane or stops and waits for the opportunity to change lanes, if the value of vM - vA is greater than the preset speed threshold, vM is the current speed of the vehicle M, and vA is the current speed of the vehicle A. speed, the vehicle M will decelerate appropriately and warn the surrounding vehicles A to speed up and leave the acceleration lane, or decelerate to stop and wait for the opportunity to change lanes so that the vehicle in front of the acceleration lane will change lanes first; if the value of vM -vA is less than or equal to the preset value Speed threshold, vehicle M makes lane-changing decision at a uniform speed or appropriate uniform acceleration under the premise of ensuring that the vehicle in front of the acceleration lane is given priority to change lanes, so as to ensure that the vehicles in the current lane can safely and effectively leave the acceleration lane. In this embodiment, the speed threshold is 20 km/h.
S5:建立主车M的行驶换道轨迹f(x)和目标车道线g(x),并以行驶换道轨迹和目标车道线为基础计算以时间为参数变量的期望路径函数,由期望路径函数得到速度变化函数和加速度变化函数;S5: Establish the driving lane-changing trajectory f(x) and the target lane line g(x) of the host vehicle M, and calculate the desired path function with time as a parameter variable based on the driving lane-changing trajectory and the target lane line. The function obtains the velocity change function and the acceleration change function;
S5.1:建立主车M的行驶换道轨迹f(x)和目标车道线g(x),具体为:S5.1: Establish the lane change trajectory f(x) of the host vehicle M and the target lane line g(x), specifically:
主车M的行驶换道轨迹f(x)由5次多项式函数拟合得到:The lane change trajectory f(x) of the host vehicle M is obtained by fitting a 5th degree polynomial function:
f(x)=a0+a1x1+a2x2+a3x3+a4x4+a5x5;f(x)=a0 +a1 x1 +a2 x2 +a3 x3 +a4 x4 +a5 x5 ;
考虑目标车道线的弯曲性,目标车道线g(x)通过4次多项式函数拟合得到:Considering the curvature of the target lane line, the target lane line g(x) is obtained by fitting a 4th degree polynomial function:
g(x)=b0x0+b1x1+b2x2+b3x3+b4x4;g(x)=b0 x0 +b1 x1 +b2 x2 +b3 x3 +b4 x4 ;
S5.2:根据行驶换道轨迹和目标车道线计算以时间为参数变量的期望路径函数,具体为:S5.2: Calculate the expected path function with time as a parameter variable according to the driving lane change trajectory and the target lane line, specifically:
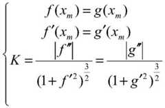
S5.2.1:如图2所示,主车M以恒定车速进行换道,换道结束时主车M的位置处于行驶换道轨迹和目标车道线的切点(xm,ym)上,此时主车M的行驶换道轨迹和目标车道线在切点处的曲率相同,即切点处多项式函数的曲率S5.2.1: As shown in Figure 2, the host vehicle M changes lanes at a constant speed. At the end of the lane change, the position of the host vehicle M is at the tangent point (xm , ym ) between the driving lane change trajectory and the target lane line, At this time, the lane change trajectory of the host vehicle M and the target lane line have the same curvature at the tangent point, that is, the curvature of the polynomial function at the tangent point.
其中,f’(xm)为主车M的行驶换道轨迹f(x)在点xm处的一次导数,g’(xm)为目标车道线g(x)在点xm处的一次导数。Among them, f'(xm ) is the first derivative of the lane change trajectory f(x) of the host vehicle M at the point xm , and g'(xm ) is the target lane line g(x) at the point xm . first derivative.
将曲率K进一步展开,可得:Expanding the curvature K further, we get:
S5.2.2:主车M换道时实际路段呈侧向直线性,可以在一定程度上忽略弯曲程度对路面造成的影响,即b1=b2=b3=b4=0,此时目标车道线g(x)可以简化为g(x)=b0x0=b0;S5.2.2: When the main vehicle M changes lanes, the actual road section is laterally linear, and the influence of the degree of curvature on the road surface can be ignored to a certain extent, that is, b1=b2=b3=b4=0, at this time the target lane line g( x) can be simplified as g(x)=b0 x0 =b0 ;
将g(x)=b0代入曲率K中,可得Substitute g(x)=b0 into the curvature K, we can get
解得最佳一元五次多项式方程,得到主车M的行驶换道轨迹为:After solving the best one-variable quintic polynomial equation, the lane-changing trajectory of the main vehicle M is obtained as:
S5.2.3:将主车M的行驶距离代入S5.2.2中的行驶换道轨迹f(x)中,得到以时间为参数变量的期望路径函数g(t)为:S5.2.3: Set the driving distance of the host vehicle M Substitute into the driving lane change trajectory f(x) in S5.2.2, and obtain the expected path function g(t) with time as the parameter variable:
S5.3:由期望路径函数得到速度变化函数和加速度变化函数,具体为:S5.3: Obtain the speed change function and acceleration change function from the desired path function, specifically:
对期望路径函数g(t)进行一次求导,得到速度变化函数Derive the desired path function g(t) once to get the velocity change function
对速度变化函数进行一次求导,得到加速度变化函数Take a derivative of the velocity change function to get the acceleration change function
其中,vm表示换道初始速度,am表示换道初始加速度,t表示换道经过的时间,b0是坐标系上目标车道的位置。in, vm represents the initial speed of the lane change, am represents the initial acceleration of the lane change, t represents the elapsed time of the lane change, and b0 is the position of the target lane on the coordinate system.
S6:主车M再次获取周边道路环境信息并判断换道入的目标车道中是否有前方车辆车N和后方车辆车F,在只有前方车辆车N、只有后方车辆车F和前方车辆车N和后方车辆车F都有的三种情况下,分别根据主车M换道入的目标车道的前方车辆车N和后方车辆车F的行驶信息计算出主车M换道时所需的加速度achange,主车M以加速度achange换道入目标车道内,更新智能车辆网联车辆的状态信息。车辆运行变换是一个动态的过程,因此周边道路的环境信息需要实时获取,主车M再次获取周边道路环境信息是为了确定目标车道上相邻近的前后车辆是否发生变道。S6: The host vehicle M obtains the surrounding road environment information again and judges whether there are the preceding vehicle N and the following vehicle F in the target lane to be changed into, if only the preceding vehicle N, only the rear vehicle F and the preceding vehicle N and In the three cases where the rear vehicle F has both, the acceleration achange required for the host vehicle M to change lanes is calculated according to the driving information of the preceding vehicle N and the rear vehicle F in the target lane into which the host vehicle M changes lanes. , the host vehicle M changes lanes into the target lane with the acceleration achange , and updates the state information of the intelligent vehicle network-connected vehicle. Vehicle operation transformation is a dynamic process, so the environmental information of the surrounding road needs to be acquired in real time. The host vehicle M acquires the environmental information of the surrounding road again to determine whether the adjacent front and rear vehicles on the target lane have changed lanes.
S6.1:主车M根据再次获取的周边道路环境信息判断换道入的目标车道中是否有前方车辆车N和后方车辆车F,若只有前方车辆车N,执行S6.2~S6.7;若只有后方车辆车F,执行S6.8~S6.13;若前方车辆车N和后方车辆车F都有,执行S6.14~S6.18;S6.1: The host vehicle M judges, according to the re-acquired surrounding road environment information, whether there are the preceding vehicle N and the following vehicle F in the target lane for lane change, and if there is only the preceding vehicle N, execute S6.2 to S6.7 ; If there is only vehicle F behind, execute S6.8~S6.13; if both vehicle N in front and vehicle F in the rear have both, execute S6.14~S6.18;
S6.2:设置换道时主车M与车N的最小安全距离Smin(MN),本实施例中以国内车辆行驶安全距离为参考设置Smin(MN)=30m。根据最小安全距离Smin(MN)计算主车M与车N的最小安全间隙SMSD(MN)=max{SMN(tm),Smin(MN)};S6.2: Set the minimum safe distance Smin (MN) between the host vehicle M and the vehicle N when changing lanes. In this embodiment, Smin (MN)=30m is set with reference to the safe distance of domestic vehicles. Calculate the minimum safety gap SMSD (MN) between the host vehicle M and the vehicle N according to the minimum safety distance Smin (MN)=max{SMN (tm ), Smin (MN)};
其中tm为主车M从换道开始到距离周围车辆N达到最小安全间隙的时间,SMN(tm)为主车M距离周围车辆N的最小安全间隙,此处的tm即为下述所求的tm1,t∈[0,tm1],SMN(0)为主车M与车N在换道零时刻初始距离,aN为车N的加速度,aM为车M的加速度,vN(0)为车N的初速度,vM(0)为车M的初速度,tm1为主车M换道经过的时间。Among them, tm is the time from the time when the main vehicle M starts changing lanes to the time when it reaches the minimum safety gap from the surrounding vehicles N, and SMN (tm ) is the minimum safety gap between the main vehicle M and the surrounding vehicles N, where tm is the lower the desired tm1 , t∈[0,tm1 ], SMN (0) is the initial distance between the main vehicle M and the vehicle N at the zero time of lane change, aN is the acceleration of the vehicle N, aM is the acceleration of the vehicle M, vN (0) is the initial speed of the vehicle N, vM (0) is the initial speed of the vehicle M, and tm1 is the time elapsed for the main vehicle M to change lanes.
S6.3:计算主车M的车头与N车的车位之间的纵向距离:SMN(t)=SN+SMN(0)-SM-LN-WM*sinθ;S6.3: Calculate the longitudinal distance between the head of the main vehicle M and the parking space of the N vehicle: SMN (t)=SN +SMN (0)-SM -LN -WM *sinθ;
其中,SMN(0)为主车M与车N在换道零时刻初始距离,SN为目标车道上车N行驶的距离,SM为主车M行驶的距离,LN为车N的车长,WM为主车M的车宽,θ是主车M在换道过程中产生的换道偏航角度;本实施例中车辆的长跟宽按照标准小型车分别取值车长为3.4m、车宽为1.8m。Among them, SMN (0) is the initial distance between the main vehicle M and the vehicle N at the zero time of lane change, SN is the distance traveled by the vehicle N on the target lane, SM is the distance traveled by the main vehicle M, and LN is the distance of the vehicle N. The vehicle length, WM is the width of the main vehicle M, and θ is the lane-changing yaw angle generated by the main vehicle M during the lane-changing process; 3.4m, the vehicle width is 1.8m.
根据车辆动力学以及物理学,求解SN、SM得出:According to vehicle dynamics and physics, solving SN , SM gives:
SN=VN*tMSN =VN *tM
一般情况下,车辆的换道偏航角度在3°~5°之间,因此sinα的值趋于0、cosα的值趋于1,则Under normal circumstances, the yaw angle of the vehicle is between 3° and 5°, so the value of sinα tends to 0 and the value of cosα tends to 1, then
S6.4:计算主车M与车N的实时距离Sreal(MN),应满足:S6.4: Calculate the real-time distance Sreal (MN) between the host vehicle M and the vehicle N, which should satisfy:
S6.5:判断Sreal(MN)≥SMSD(MN)是否成立,若成立,执行S6.6;若不成立,车M在当前车道内继续行驶或停车等待直到Sreal(MN)≥SMSD(MN)成立,执行S6.6;S6.5: Determine whether Sreal (MN)≥SMSD (MN) is established, if so, go to S6.6; if not, vehicle M continues to drive in the current lane or stop and wait until Sreal (MN)≥SMSD (MN) is established, execute S6.6;
S6.6:设置主车M换道完成后与车N间的距离为最小安全距离Smin(MN),此时tm1满足求解得到S6.6: Set the distance between the main vehicle M and the vehicle N after the lane change is completed as the minimum safe distance Smin (MN). At this time, tm1 satisfies Solve to get
设置主车M换道完成后与车N间的距离为临界距离0,此时主车M换道经过的时间为tm2,此时tm2满足求解得到Set the distance between the host vehicle M and the vehicle N after the lane change is completed as the
S6.7:将tm1代入加速度变化函数中得到am1,将tm2代入加速度变化函数中得到am2,得到achange=(am1,am2]。在换道时的加速度am1、am2和换道所需时间tm1、tm2是对应的。S6.7: Substitute tm1 into the acceleration change function get am1 in , and substitute tm2 into the acceleration change function Am2 is obtained in , and achange =(am1 , am2 ]. The accelerations am1 and am2 during the lane change are corresponding to the time tm1 and tm2 required for the lane change.
基于achange=(am1,am2],需要在tm2时间内调整主车M的加速度变换以满足achange的要求,同时确保在(tm2,tm1]时段内主车M的车速vm与前车N的车速VN相等,使主车M换道完成时刻与前方车辆车N保持匀速行驶,进一步保障行车安全性。Based on achange =(am1 , am2 ], it is necessary to adjust the acceleration transformation of the host vehicle M within the time tm2 to meet the requirements of achange , and at the same time ensure that the vehicle speed v of the host vehicle M within the period of (tm2 , tm1 ]m is equal to the speed VN of the preceding vehicle N, so that the host vehicle M keeps a constant speed with the preceding vehicle N at the time when the lane change is completed, so as to further ensure the driving safety.
S6.8:设置换道时主车M与车F的最小安全距离Smin(MF),本实施例中以国内车辆行驶安全距离为参考设置Smin(MF)=40m。根据最小安全距离Smin(MF)计算主车M与车N的最小安全间隙SMSD(MF)=max{SMF(tm'),Smin(MF)};S6.8: Set the minimum safe distance Smin (MF) between the host vehicle M and the vehicle F when changing lanes. In this embodiment, Smin (MF)=40m is set with reference to the safe driving distance of domestic vehicles. Calculate the minimum safety gap SMSD (MF) between the main vehicle M and the vehicle N according to the minimum safety distance Smin (MF)=max{SMF (tm' ), Smin (MF)};
其中tm'为主车M从换道开始到距离周围车辆F达到最小安全间隙的时间,SMF(tm')为主车M距离周围车辆F的最小安全间隙,此处的tm'即为下述所求的tm1',t∈[0,tm1'],SMF(0)为主车M与车F在换道零时刻初始距离,aF为车F的加速度,vF(0)为车F的初速度。where tm' is the time from the time when the host vehicle M starts changing lanes to the time when it reaches the minimum safety gap from the surrounding vehicles F, SMF (tm' ) is the minimum safety gap between the host vehicle M and the surrounding vehicles F, where tm' is the tm1' required by the following, t∈[0,tm1' ], SMF (0) is the initial distance between the main vehicle M and the vehicle F at the zero time of lane change, aF is the acceleration of the vehicle F, and vF (0) is the initial speed of the vehicle F.
S6.9:计算主车M的车头与F车的车位之间的纵向距离:SMF(t)=SM+SMF(0)-SF-LM-WM*sinθ。S6.9: Calculate the longitudinal distance between the head of the main vehicle M and the parking space of the F vehicle: SMF (t)=SM +SMF (0)-SF -LM -WM *sinθ.
其中,SF为目标车道上车F行驶的距离,SM为主车M行驶的距离,LM为车M的车长,WM为主车M的车宽,θ是主车M在换道过程中产生的换道偏航角度;Among them, SF is the distance traveled by vehicleF on the target lane, SM is the distance traveled by the host vehicle M, LM is the vehicle length of the vehicleM , WM is the vehicle width of the host vehicle M, and θ is the distance that the host vehicle M is changing. The lane change yaw angle generated during the lane change process;
根据车辆动力学以及物理学,求解SF、SM得出:According to vehicle dynamics and physics, solvingSF andSM results in:
SF=VF*tM'SF =VF *tM'
而一般情况下,车辆的换道偏航角度在3°与5°之间,因此sinα的值趋于0、cosα的值趋于1,则In general, the yaw angle of the vehicle is between 3° and 5°, so the value of sinα tends to 0 and the value of cosα tends to 1, then
S6.10:计算主车M与车F的实时距离Sreal(MF),应满足:S6.10: Calculate the real-time distance Sreal (MF) between the host vehicle M and the vehicle F, which should satisfy:
S6.11:判断Sreal(MF)≥SMSD(MF)是否成立,若成立,执行S6.12;若不成立,车M在当前车道内继续行驶或停车等待直到Sreal(MF)≥SMSD(MF)成立,执行S6.12;S6.11: Determine whether Sreal (MF)≥SMSD (MF) is established, if so, go to S6.12; if not, vehicle M continues to drive in the current lane or stop and wait until Sreal (MF)≥SMSD (MF) is established, execute S6.12;
S6.12:设置主车M换道完成后与车F间的距离为最小安全距离Smin(MF),此时主车M换道经过的时间为tm1',此时tm1'满足求解得到S6.12: Set the distance between the host vehicle M and the vehicle F after the lane change is completed as the minimum safe distance Smin (MF). At this time, the time elapsed for the host vehicle M to change lanes is tm1' , and at this time tm1' satisfies Solve to get
设置主车M换道完成后与车F间的距离为临界距离0,此时主车M换道经过的时间为tm2',此时tm2'满足求解得到Set the distance between the host vehicle M and the vehicle F after the lane change is completed as the
S6.13:将tm1'代入加速度变化函数中得到am1',将tm2'代入加速度变化函数中得到am2',得到achange=(am1',am2']。S6.13: Substitute tm1' into the acceleration change function get am1 ' in , and substitute tm2' into the acceleration change function get am2 ', get achange = (am1 ', am2 '].
基于achange=(am1',am2'],需要在tm2’内调整主车M的加速度变化以满足achange的要求,但要同时确保在(tm2,tm1]时段内主车M的车速vm相等或大于前车F的车速Vf,进一步保障行车安全性。Based on achange =(am1 ', am2 '], it is necessary to adjust the acceleration change of the host vehicle M within tm2' to meet the requirements of achange , but at the same time ensure that the host vehicle is within the period of (tm2 , tm1 ]. The vehicle speed vm of M is equal to or greater than the vehicle speed Vf of the preceding vehicle F, which further ensures driving safety.
S6.14:主车M前方有车N、后方有车F时,主车M需寻找可插入间隙进行换道;执行S6.2~S6.4得到SMSD(MN)和Sreal(MN),执行S6.8~S6.10得到SMSD(MF)和Sreal(MF);S6.14: When there is a car N in front of the main car M and a car F behind it, the main car M needs to find an insertable gap to change lanes; execute S6.2 to S6.4 to get SMSD (MN) and Sreal (MN) , execute S6.8~S6.10 to obtain SMSD (MF) and Sreal (MF);
判断Sreal(MN)≥SMSD(MN)和Sreal(MF)≥SMSD(MF)是否同时成立,若同时成立,执行S6.15;若不同时成立,车M在当前车道内继续行驶或停车等待直到Sreal(MN)≥SMSD(MN)和Sreal(MF)≥SMSD(MF)同时成立,执行S6.15;Determine whether Sreal (MN)≥SMSD (MN) and Sreal (MF)≥SMSD (MF) are established at the same time, if both are established, go to S6.15; if not, vehicle M continues to drive in the current lane Or stop and wait until Sreal (MN)≥SMSD (MN) and Sreal (MF)≥SMSD (MF) are established at the same time, and execute S6.15;
S6.15:为满足此状态下的主车M的换道,设置目标车道上车N与车F之间的最小安全距离Smin(NF),本实施例中以国内车辆行驶安全距离为参考设置Smin(NF)=Smin(MN)+Smin(MF)=70m。根据最小安全距离Smin(NF)计算车N与车F的最小安全间隙SMSD(NF)=max{SNF(t),Smin(NF)};S6.15: In order to meet the lane change of the host vehicle M in this state, set the minimum safe distance Smin (NF) between the vehicle N and the vehicle F on the target lane. In this embodiment, the safe distance of domestic vehicles is used as a reference SetSmin (NF)=Smin (MN)+Smin (MF)=70m. Calculate the minimum safety gap SMSD (NF) between vehicle N and vehicle F according to the minimum safety distance Smin (NF) = max{SNF (t), Smin (NF)};
其中SNF(t)=SMN(t)+SMF(t)=SN+SMN(0)+SMF(0)-SF-2L-2WM*sinθ。where SNF (t) = SMN (t) + SMF (t) = SN + SMN (0) + SMF (0) - SF -2L - 2WM *sinθ.
S6.16:计算车N与车F的实时距离Sreal(NF),应满足:S6.16: Calculate the real-time distance Sreal (NF) between car N and car F, which should satisfy:
其中,SNF(0)为主车N与车F在换道零时刻初始距离。Among them, SNF (0) is the initial distance between the main vehicle N and the vehicle F at the zero time of lane change.
S6.17:判断Sreal(NF)≥SMSD(NF)是否成立,若成立,保持车N与车F匀速行驶,并执行S6.18;若不成立,车M在当前车道内继续行驶或停车等待直到Sreal(NF)≥SMSD(NF)成立,执行S6.18;S6.17: Determine whether Sreal (NF) ≥ SMSD (NF) is established, if so, keep vehicle N and vehicle F driving at a constant speed, and execute S6.18; if not, vehicle M continues to drive or stop in the current lane Wait until Sreal (NF)≥SMSD (NF) is established, and execute S6.18;
S6.18:执行S6.6~S6.7得到tm1、tm2、am1和am2,执行S6.12~S6.13得到tm1'、tm2'、am1'和am2';S6.18: Execute S6.6 to S6.7 to obtain tm1 , tm2 , am1 and am2 , and execute S6.12 to S6.13 to obtain tm1' , tm2' , am1 ' and am2 ';
得到此时的achange=(am1’,am2’]∪(am1,am2],考虑换道时间一般在5s左右,因此设置主车M纵向加速度为0km/h,则基于行驶轨迹可得车辆不同换道时刻的速度及加速度,并基于传统车辆安全换道时间,车M需在t=min{tm1,tm2’,5s}完成换道,即需要在t=min{tm1,tm2’,5s}内调整主车M的加速度变换以满足achange的要求,同时确保在换道完成时刻使得主车M的车速vm与前车F、后车N的车速保持匀速,进一步保障行车安全性。Achange =(am1' , am2' ]∪(am1 , am2 ] is obtained at this time, considering that the lane change time is generally about 5s, so the longitudinal acceleration of the main vehicle M is set to 0km/h, based on the driving trajectory The speed and acceleration of the vehicle at different lane-changing moments can be obtained, and based on the safe lane-changing time of the traditional vehicle, the vehicle M needs to complete the lane-changing at t=min{tm1 , tm2' , 5s}, that is, it needs to be completed at t=min{tm1 , tm2' , 5s}, adjust the acceleration transformation of the host vehicle M to meet the requirements of achange , and at the same time ensure that the speed vm of the host vehicle M and the speed of the preceding vehicle F and the rear vehicle N maintain a uniform speed at the time when the lane change is completed. , to further ensure driving safety.
本发明中主车M可以是在如图3所示的从匝道驶入主干道的情况下变道,也可以是在如图4所示的在主干道的不同车道上变道。In the present invention, the host vehicle M may change lanes when driving from the ramp to the main road as shown in FIG. 3 , or change lanes on different lanes of the main road as shown in FIG. 4 .
本发明的上述技术方案相比现有技术具有以下优点:The above-mentioned technical scheme of the present invention has the following advantages compared with the prior art:
(1)考虑了混合交通流的情况,基于获取的实时交通流信息、周围车辆的行驶状况信息,计算最佳安全间隙距离触发时间及加速度,优化智能网联车辆换道过程的加减速度,提高匝道合流区的通行效率;(1) Considering the situation of mixed traffic flow, based on the obtained real-time traffic flow information and the driving condition information of surrounding vehicles, calculate the trigger time and acceleration of the optimal safety clearance distance, and optimize the acceleration and deceleration of the lane-changing process of intelligent networked vehicles. Improve the traffic efficiency in the merging area of the ramp;
(2)考虑了待换道前后来车的不同情况下的干扰车辆对智能网联车辆换道的影响,同时根据当前的交通环境,使用期望路径函数动态评估该方法的可行性,避免换道过程中车辆发生追尾碰撞事故,使换道过程更加安全可靠;(2) Considering the influence of interfering vehicles on ICVs in different situations before and after changing lanes, at the same time, according to the current traffic environment, use the desired path function to dynamically evaluate the feasibility of the method to avoid lane changing During the process, the vehicle has a rear-end collision accident, making the lane changing process safer and more reliable;
(3)本发明基于智能网联车辆行驶换道轨迹期望函数,分析不同时刻车辆的加速度变化从而进行后期调优处理,在保证安全换道的同时,缩短智能车辆换道时间。(3) Based on the expected function of the lane-changing trajectory of the intelligent networked vehicle, the present invention analyzes the acceleration changes of the vehicle at different times to perform post-tuning processing, and shortens the lane-changing time of the intelligent vehicle while ensuring safe lane-changing.
本领域内的技术人员应明白,本申请的实施例可提供为方法、系统、或计算机程序产品。因此,本申请可采用完全硬件实施例、完全软件实施例、或结合软件和硬件方面的实施例的形式。而且,本申请可采用在一个或多个其中包含有计算机可用程序代码的计算机可用存储介质(包括但不限于磁盘存储器、CD-ROM、光学存储器等)上实施的计算机程序产品的形式。As will be appreciated by those skilled in the art, the embodiments of the present application may be provided as a method, a system, or a computer program product. Accordingly, the present application may take the form of an entirely hardware embodiment, an entirely software embodiment, or an embodiment combining software and hardware aspects. Furthermore, the present application may take the form of a computer program product embodied on one or more computer-usable storage media (including, but not limited to, disk storage, CD-ROM, optical storage, etc.) having computer-usable program code embodied therein.
本申请是参照根据本申请实施例的方法、设备(系统)、和计算机程序产品的流程图和/或方框图来描述的。应理解可由计算机程序指令实现流程图和/或方框图中的每一流程和/或方框、以及流程图和/或方框图中的流程和/或方框的结合。可提供这些计算机程序指令到通用计算机、专用计算机、嵌入式处理机或其他可编程数据处理设备的处理器以产生一个机器,使得通过计算机或其他可编程数据处理设备的处理器执行的指令产生用于实现在流程图一个流程或多个流程和/或方框图一个方框或多个方框中指定的功能的装置。The present application is described with reference to flowchart illustrations and/or block diagrams of methods, apparatus (systems), and computer program products according to embodiments of the present application. It will be understood that each flow and/or block in the flowchart illustrations and/or block diagrams, and combinations of flows and/or blocks in the flowchart illustrations and/or block diagrams, can be implemented by computer program instructions. These computer program instructions may be provided to the processor of a general purpose computer, special purpose computer, embedded processor or other programmable data processing device to produce a machine such that the instructions executed by the processor of the computer or other programmable data processing device produce Means for implementing the functions specified in a flow or flow of a flowchart and/or a block or blocks of a block diagram.
这些计算机程序指令也可存储在能引导计算机或其他可编程数据处理设备以特定方式工作的计算机可读存储器中,使得存储在该计算机可读存储器中的指令产生包括指令装置的制造品,该指令装置实现在流程图一个流程或多个流程和/或方框图一个方框或多个方框中指定的功能。These computer program instructions may also be stored in a computer-readable memory capable of directing a computer or other programmable data processing apparatus to function in a particular manner, such that the instructions stored in the computer-readable memory result in an article of manufacture comprising instruction means, the instructions The apparatus implements the functions specified in the flow or flow of the flowcharts and/or the block or blocks of the block diagrams.
这些计算机程序指令也可装载到计算机或其他可编程数据处理设备上,使得在计算机或其他可编程设备上执行一系列操作S以产生计算机实现的处理,从而在计算机或其他可编程设备上执行的指令提供用于实现在流程图一个流程或多个流程和/或方框图一个方框或多个方框中指定的功能的S。These computer program instructions can also be loaded onto a computer or other programmable data processing device such that a series of operations S are performed on the computer or other programmable device to produce a computer-implemented process such that The instructions provide S for implementing the functions specified in the flow or flows of the flowcharts and/or the blocks or blocks of the block diagrams.
显然,上述实施例仅仅是为清楚地说明所作的举例,并非对实施方式的限定。对于所属领域的普通技术人员来说,在上述说明的基础上还可以做出其它不同形式变化或变动。这里无需也无法对所有的实施方式予以穷举。而由此所引申出的显而易见的变化或变动仍处于本发明创造的保护范围之中。Obviously, the above-mentioned embodiments are only examples for clear description, and are not intended to limit the implementation manner. For those of ordinary skill in the art, other different forms of changes or modifications can also be made on the basis of the above description. There is no need and cannot be exhaustive of all implementations here. However, the obvious changes or changes derived from this are still within the protection scope of the present invention.
| Application Number | Priority Date | Filing Date | Title |
|---|---|---|---|
| CN202110687438.1ACN113246985B (en) | 2021-06-21 | 2021-06-21 | Intelligent network vehicle merging and changing control method for expressway ramps under mixed-traveling condition |
| Application Number | Priority Date | Filing Date | Title |
|---|---|---|---|
| CN202110687438.1ACN113246985B (en) | 2021-06-21 | 2021-06-21 | Intelligent network vehicle merging and changing control method for expressway ramps under mixed-traveling condition |
| Publication Number | Publication Date |
|---|---|
| CN113246985Atrue CN113246985A (en) | 2021-08-13 |
| CN113246985B CN113246985B (en) | 2022-08-09 |
| Application Number | Title | Priority Date | Filing Date |
|---|---|---|---|
| CN202110687438.1AActiveCN113246985B (en) | 2021-06-21 | 2021-06-21 | Intelligent network vehicle merging and changing control method for expressway ramps under mixed-traveling condition |
| Country | Link |
|---|---|
| CN (1) | CN113246985B (en) |
| Publication number | Priority date | Publication date | Assignee | Title |
|---|---|---|---|---|
| CN113327441A (en)* | 2021-02-04 | 2021-08-31 | 长沙理工大学 | Network-connection automatic vehicle speed control and track optimization method based on highway confluence area |
| CN113990085A (en)* | 2021-10-11 | 2022-01-28 | 南京航空航天大学 | Traffic grooming method and system for ramp afflux area |
| CN114202949A (en)* | 2021-12-13 | 2022-03-18 | 大连理工大学宁波研究院 | Discrimination of adjacent vehicles and reference path adjustment method for intelligent networked vehicles on expressways |
| CN114435405A (en)* | 2022-03-21 | 2022-05-06 | 北京主线科技有限公司 | Vehicle lane changing method, device, equipment and storage medium |
| CN114559940A (en)* | 2022-02-17 | 2022-05-31 | 北京经纬恒润科技股份有限公司 | Vehicle lane changing method, device and vehicle |
| CN114715156A (en)* | 2022-05-18 | 2022-07-08 | 北京小马智卡科技有限公司 | Method, apparatus, device and storage medium for controlling vehicle entry and exit ramp |
| CN114842644A (en)* | 2022-04-26 | 2022-08-02 | 河北工业大学 | Traffic capacity calculation method for mixed traffic flow intersection area |
| CN115032931A (en)* | 2022-06-15 | 2022-09-09 | 东南大学 | A Queue Convergence Control Method Based on Cluster Theory for Intelligent Networking |
| CN115042792A (en)* | 2022-08-17 | 2022-09-13 | 浙江吉利控股集团有限公司 | Vehicle control method and device |
| CN115063995A (en)* | 2022-04-15 | 2022-09-16 | 重庆大学 | A method and device for controlling a network-connected automatic vehicle in a sudden bottleneck area of an expressway |
| CN115206093A (en)* | 2022-06-21 | 2022-10-18 | 同济大学 | Traffic flow control method based on intelligent network connection vehicle |
| CN115376346A (en)* | 2022-08-11 | 2022-11-22 | 苏州大学 | Cooperative intersection method of multi-mode driving vehicles in the merge area of expressway under mixed traffic conditions |
| CN115497323A (en)* | 2022-09-29 | 2022-12-20 | 斯润天朗(北京)科技有限公司 | Vehicle cooperative lane changing method and device based on V2X |
| CN115547035A (en)* | 2022-08-31 | 2022-12-30 | 交通运输部公路科学研究所 | Beyond-visual-range collision avoidance driving control method and device and information physical system |
| CN115641717A (en)* | 2022-10-19 | 2023-01-24 | 长沙理工大学 | Method, device and storage medium for cooperative merging control of expressway mainline-ramp vehicles based on mixed traffic flow |
| CN115662131A (en)* | 2022-10-26 | 2023-01-31 | 合肥工业大学 | Multi-lane cooperative lane changing method for road accident section in networking environment |
| CN115817460A (en)* | 2022-11-07 | 2023-03-21 | 苏州大学 | An Active Coordinated Collision Avoidance Method for Intelligent Networked Vehicles under Mixed Flow Conditions |
| CN115830886A (en)* | 2023-02-09 | 2023-03-21 | 西南交通大学 | Method, device, equipment and medium for calculating time series of intelligent networked vehicle cooperative lane change |
| CN115830895A (en)* | 2022-10-31 | 2023-03-21 | 同济大学 | Control method and system for vehicle to enter intelligent internet motorcade |
| CN116363905A (en)* | 2023-05-19 | 2023-06-30 | 吉林大学 | A lane-changing timing discrimination and active safety control method in a heterogeneous traffic flow merge area |
| CN116469270A (en)* | 2023-04-10 | 2023-07-21 | 吉林大学 | Anti-collision auxiliary system for intelligent network-connected automobile converging into target lane |
| CN116469263A (en)* | 2023-04-26 | 2023-07-21 | 合肥工业大学 | Traffic flow control method considering bus stop under network environment |
| CN116543595A (en)* | 2023-05-24 | 2023-08-04 | 合肥工业大学 | A dynamic control method for lane-changing decision points of CAV lanes in diversion areas of expressways |
| CN116740939A (en)* | 2023-06-29 | 2023-09-12 | 西部科学城智能网联汽车创新中心(重庆)有限公司 | Intelligent network-connected vehicle running planning method and device |
| CN117681878A (en)* | 2024-02-04 | 2024-03-12 | 西南交通大学 | A collaborative lane changing method for intelligent connected vehicles with formation awareness |
| CN117764331A (en)* | 2023-12-18 | 2024-03-26 | 苏州大学 | Method for dispatching and optimizing mixed traveling of unmanned and unmanned tractor of airport aircraft |
| CN118273223A (en)* | 2024-04-10 | 2024-07-02 | 广州市沪江照明电器有限公司 | A lightweight bridge-side intelligent maintenance vehicle |
| Publication number | Priority date | Publication date | Assignee | Title |
|---|---|---|---|---|
| CN106218638A (en)* | 2016-08-17 | 2016-12-14 | 北方工业大学 | Intelligent network-connected automobile cooperative lane change control method |
| CN107315411A (en)* | 2017-07-04 | 2017-11-03 | 合肥工业大学 | A kind of lane-change method for planning track based on automatic driving vehicle under collaborative truck |
| US20200180633A1 (en)* | 2018-12-07 | 2020-06-11 | Nio Usa, Inc. | Systems and methods of autonomously controlling vehicle lane change maneuver |
| CN111338351A (en)* | 2020-03-24 | 2020-06-26 | 东南大学 | Multi-intelligent-network-connection vehicle cooperative confluence control method for expressway ramp entrance |
| CN111422197A (en)* | 2020-05-18 | 2020-07-17 | 吉林大学 | An active lane changing system for intelligent driving vehicles considering the flow of intelligent vehicle groups |
| Publication number | Priority date | Publication date | Assignee | Title |
|---|---|---|---|---|
| CN106218638A (en)* | 2016-08-17 | 2016-12-14 | 北方工业大学 | Intelligent network-connected automobile cooperative lane change control method |
| CN107315411A (en)* | 2017-07-04 | 2017-11-03 | 合肥工业大学 | A kind of lane-change method for planning track based on automatic driving vehicle under collaborative truck |
| US20200180633A1 (en)* | 2018-12-07 | 2020-06-11 | Nio Usa, Inc. | Systems and methods of autonomously controlling vehicle lane change maneuver |
| CN111338351A (en)* | 2020-03-24 | 2020-06-26 | 东南大学 | Multi-intelligent-network-connection vehicle cooperative confluence control method for expressway ramp entrance |
| CN111422197A (en)* | 2020-05-18 | 2020-07-17 | 吉林大学 | An active lane changing system for intelligent driving vehicles considering the flow of intelligent vehicle groups |
| Publication number | Priority date | Publication date | Assignee | Title |
|---|---|---|---|---|
| CN113327441B (en)* | 2021-02-04 | 2022-03-08 | 长沙理工大学 | Network-connection automatic vehicle speed control and track optimization method based on highway confluence area |
| CN113327441A (en)* | 2021-02-04 | 2021-08-31 | 长沙理工大学 | Network-connection automatic vehicle speed control and track optimization method based on highway confluence area |
| CN113990085A (en)* | 2021-10-11 | 2022-01-28 | 南京航空航天大学 | Traffic grooming method and system for ramp afflux area |
| CN114202949A (en)* | 2021-12-13 | 2022-03-18 | 大连理工大学宁波研究院 | Discrimination of adjacent vehicles and reference path adjustment method for intelligent networked vehicles on expressways |
| CN114202949B (en)* | 2021-12-13 | 2024-04-12 | 大连理工大学宁波研究院 | Method for identifying adjacent vehicles and adjusting reference paths of expressway intelligent network-connected automobile |
| CN114559940A (en)* | 2022-02-17 | 2022-05-31 | 北京经纬恒润科技股份有限公司 | Vehicle lane changing method, device and vehicle |
| CN114435405A (en)* | 2022-03-21 | 2022-05-06 | 北京主线科技有限公司 | Vehicle lane changing method, device, equipment and storage medium |
| CN115063995A (en)* | 2022-04-15 | 2022-09-16 | 重庆大学 | A method and device for controlling a network-connected automatic vehicle in a sudden bottleneck area of an expressway |
| CN114842644A (en)* | 2022-04-26 | 2022-08-02 | 河北工业大学 | Traffic capacity calculation method for mixed traffic flow intersection area |
| CN114715156A (en)* | 2022-05-18 | 2022-07-08 | 北京小马智卡科技有限公司 | Method, apparatus, device and storage medium for controlling vehicle entry and exit ramp |
| CN115032931A (en)* | 2022-06-15 | 2022-09-09 | 东南大学 | A Queue Convergence Control Method Based on Cluster Theory for Intelligent Networking |
| CN115206093A (en)* | 2022-06-21 | 2022-10-18 | 同济大学 | Traffic flow control method based on intelligent network connection vehicle |
| CN115206093B (en)* | 2022-06-21 | 2023-08-29 | 同济大学 | Traffic flow control method based on intelligent network-connected vehicle |
| CN115376346A (en)* | 2022-08-11 | 2022-11-22 | 苏州大学 | Cooperative intersection method of multi-mode driving vehicles in the merge area of expressway under mixed traffic conditions |
| CN115042792B (en)* | 2022-08-17 | 2022-11-08 | 浙江吉利控股集团有限公司 | Vehicle control method and device |
| CN115042792A (en)* | 2022-08-17 | 2022-09-13 | 浙江吉利控股集团有限公司 | Vehicle control method and device |
| CN115547035A (en)* | 2022-08-31 | 2022-12-30 | 交通运输部公路科学研究所 | Beyond-visual-range collision avoidance driving control method and device and information physical system |
| CN115547035B (en)* | 2022-08-31 | 2023-08-29 | 交通运输部公路科学研究所 | Beyond-visual-distance collision avoidance running control method and device and information physical system |
| CN115497323A (en)* | 2022-09-29 | 2022-12-20 | 斯润天朗(北京)科技有限公司 | Vehicle cooperative lane changing method and device based on V2X |
| CN115641717B (en)* | 2022-10-19 | 2023-09-19 | 长沙理工大学 | Expressway mainline-ramp vehicle collaborative merging control method, equipment and storage medium based on mixed traffic flow |
| CN115641717A (en)* | 2022-10-19 | 2023-01-24 | 长沙理工大学 | Method, device and storage medium for cooperative merging control of expressway mainline-ramp vehicles based on mixed traffic flow |
| CN115662131A (en)* | 2022-10-26 | 2023-01-31 | 合肥工业大学 | Multi-lane cooperative lane changing method for road accident section in networking environment |
| CN115662131B (en)* | 2022-10-26 | 2023-07-25 | 合肥工业大学 | Multi-lane collaborative lane changing method for road accident section in network environment |
| CN115830895A (en)* | 2022-10-31 | 2023-03-21 | 同济大学 | Control method and system for vehicle to enter intelligent internet motorcade |
| CN115817460A (en)* | 2022-11-07 | 2023-03-21 | 苏州大学 | An Active Coordinated Collision Avoidance Method for Intelligent Networked Vehicles under Mixed Flow Conditions |
| CN115817460B (en)* | 2022-11-07 | 2024-04-05 | 苏州大学 | An active coordinated collision avoidance method for intelligent connected vehicles under mixed flow conditions |
| CN115830886A (en)* | 2023-02-09 | 2023-03-21 | 西南交通大学 | Method, device, equipment and medium for calculating time series of intelligent networked vehicle cooperative lane change |
| CN116469270A (en)* | 2023-04-10 | 2023-07-21 | 吉林大学 | Anti-collision auxiliary system for intelligent network-connected automobile converging into target lane |
| CN116469263B (en)* | 2023-04-26 | 2024-04-12 | 合肥工业大学 | Traffic flow control method considering bus stop under network environment |
| CN116469263A (en)* | 2023-04-26 | 2023-07-21 | 合肥工业大学 | Traffic flow control method considering bus stop under network environment |
| US12131632B1 (en) | 2023-04-26 | 2024-10-29 | Hefei University Of Technology | Methods for traffic flow control considering bus stops in connected environment |
| CN116363905B (en)* | 2023-05-19 | 2023-09-05 | 吉林大学 | A lane-changing timing discrimination and active safety control method in a heterogeneous traffic flow merge area |
| CN116363905A (en)* | 2023-05-19 | 2023-06-30 | 吉林大学 | A lane-changing timing discrimination and active safety control method in a heterogeneous traffic flow merge area |
| CN116543595B (en)* | 2023-05-24 | 2024-04-26 | 合肥工业大学 | A dynamic control method for lane-changing decision points in CAV dedicated lanes in expressway diverging areas |
| CN116543595A (en)* | 2023-05-24 | 2023-08-04 | 合肥工业大学 | A dynamic control method for lane-changing decision points of CAV lanes in diversion areas of expressways |
| US12260763B2 (en) | 2023-05-24 | 2025-03-25 | Hefei University Of Technology | Dynamic regulation methods for lane changing decision point of CAV dedicated lane in diverging area of expressway |
| CN116740939A (en)* | 2023-06-29 | 2023-09-12 | 西部科学城智能网联汽车创新中心(重庆)有限公司 | Intelligent network-connected vehicle running planning method and device |
| CN117764331A (en)* | 2023-12-18 | 2024-03-26 | 苏州大学 | Method for dispatching and optimizing mixed traveling of unmanned and unmanned tractor of airport aircraft |
| CN117764331B (en)* | 2023-12-18 | 2025-07-04 | 苏州大学 | Method for dispatching and optimizing mixed traveling of unmanned and unmanned tractor of airport aircraft |
| CN117681878A (en)* | 2024-02-04 | 2024-03-12 | 西南交通大学 | A collaborative lane changing method for intelligent connected vehicles with formation awareness |
| CN117681878B (en)* | 2024-02-04 | 2024-04-16 | 西南交通大学 | Intelligent network-connected automobile collaborative lane changing method based on formation perception |
| CN118273223A (en)* | 2024-04-10 | 2024-07-02 | 广州市沪江照明电器有限公司 | A lightweight bridge-side intelligent maintenance vehicle |
| Publication number | Publication date |
|---|---|
| CN113246985B (en) | 2022-08-09 |
| Publication | Publication Date | Title |
|---|---|---|
| CN113246985B (en) | Intelligent network vehicle merging and changing control method for expressway ramps under mixed-traveling condition | |
| JP7276130B2 (en) | In-vehicle control device, travel speed control method, and computer program | |
| CN107933551B (en) | A kind of intelligence fleet lane-change method | |
| US11458963B2 (en) | Driving control method and driving control apparatus | |
| CN104670233B (en) | Method for controlling cornering of vehicle and apparatus thereof | |
| EP3696789B1 (en) | Driving control method and driving control apparatus | |
| CN106218638B (en) | A Coordinated Lane Changing Control Method for Intelligent Networked Vehicles | |
| JP2021033614A (en) | Autonomous driving system | |
| CN110949387A (en) | Vehicle control device | |
| CN112224202B (en) | Multi-vehicle cooperative collision avoidance system and method under emergency working condition | |
| CN102947160A (en) | Vehicle queue control through traffic intersections | |
| CN112040392A (en) | Multi-vehicle cooperative lane change control system and method based on vehicle-to-vehicle communication | |
| CN110576849A (en) | Vehicle travel control device | |
| JP2019084924A (en) | Vehicle control device | |
| CN110816540A (en) | Traffic jam determining method, device and system and vehicle | |
| CN110341708B (en) | Automatic driving control method and system for blind area | |
| CN110884423B (en) | Automatic control system and method for steering lamp under automatic lane change of vehicle | |
| CN108528445A (en) | A kind of intelligent automobile sensor blind area active collision avoidance method | |
| JP7137332B2 (en) | Vehicle travel control device | |
| CN115547035B (en) | Beyond-visual-distance collision avoidance running control method and device and information physical system | |
| JP2015020503A (en) | Travel control device for vehicle and convoy travel control method | |
| CN110712644B (en) | Driving assistance system and method | |
| CN111103882A (en) | Autonomous following control method for unmanned electric vehicle | |
| CN119568144A (en) | Vehicle driving control method, vehicle platoon driving system and storage medium | |
| CN113525405B (en) | Auxiliary control method, in-vehicle device and system for autonomous vehicle |
| Date | Code | Title | Description |
|---|---|---|---|
| PB01 | Publication | ||
| PB01 | Publication | ||
| SE01 | Entry into force of request for substantive examination | ||
| SE01 | Entry into force of request for substantive examination | ||
| GR01 | Patent grant | ||
| GR01 | Patent grant |