Movatterモバイル変換


[0]ホーム

URL:


CN113243918B - Risk detection method and device based on multi-mode hidden information test - Google Patents

Risk detection method and device based on multi-mode hidden information test
Download PDF

Info

Publication number
CN113243918B
CN113243918BCN202110653116.5ACN202110653116ACN113243918BCN 113243918 BCN113243918 BCN 113243918BCN 202110653116 ACN202110653116 ACN 202110653116ACN 113243918 BCN113243918 BCN 113243918B
Authority
CN
China
Prior art keywords
question
model
matrix
scene
risk detection
Prior art date
Legal status (The legal status is an assumption and is not a legal conclusion. Google has not performed a legal analysis and makes no representation as to the accuracy of the status listed.)
Active
Application number
CN202110653116.5A
Other languages
Chinese (zh)
Other versions
CN113243918A (en
Inventor
喻炜
张文珺
Current Assignee (The listed assignees may be inaccurate. Google has not performed a legal analysis and makes no representation or warranty as to the accuracy of the list.)
Shenzhen Prajnasys Computer Systems Co ltd
Original Assignee
Shenzhen Prajnasys Computer Systems Co ltd
Priority date (The priority date is an assumption and is not a legal conclusion. Google has not performed a legal analysis and makes no representation as to the accuracy of the date listed.)
Filing date
Publication date
Application filed by Shenzhen Prajnasys Computer Systems Co ltdfiledCriticalShenzhen Prajnasys Computer Systems Co ltd
Priority to CN202110653116.5ApriorityCriticalpatent/CN113243918B/en
Publication of CN113243918ApublicationCriticalpatent/CN113243918A/en
Application grantedgrantedCritical
Publication of CN113243918BpublicationCriticalpatent/CN113243918B/en
Priority to PCT/CN2022/089328prioritypatent/WO2022257630A1/en
Activelegal-statusCriticalCurrent
Anticipated expirationlegal-statusCritical

Links

Images

Classifications

Landscapes

Abstract

The application discloses a risk detection method and a device based on multi-mode hidden information test, wherein the risk detection method comprises the following steps: constructing a structured questionnaire and a scene questionnaire feedback matrix; sequentially playing an initial scene question, a question bank question and a smooth scene question in the question questionnaire; acquiring physiological characteristic data and a normalized time sequence thereof based on audio and video data, and constructing a session stimulation matrix by utilizing the normalized time sequence; constructing a first model and a second model according to the normalized time sequence of the physiological characteristic data and the session stimulation matrix to obtain a result matrix; and respectively carrying out environmental scene pressure detection, question pressure detection of global physiological characteristics, answer pressure detection of global physiological characteristics and/or individual characteristic sensitivity detection by using the result matrix to obtain a multi-dimensional risk detection result. The method and the device can automatically detect and identify the pressure abnormity of the testee when answering the specific question.

Description

Risk detection method and device based on multi-mode hidden information test
Technical Field
The present application relates to the field of risk management technologies, and in particular, to a risk detection method and apparatus based on a multi-modal hidden information test, and a computer-readable storage medium.
Background
The financial wind control process of bank credit, insurance claim settlement and the like generally comprises three steps: (1) and (5) identity authentication. Used for judging whether the operation is the personal operation; (2) and checking basic information. The system is used for checking the completeness and accuracy of basic information provided by a user; (3) covert information detection (true intent recognition). Whether the client has subjective information concealing behaviors, such as whether the loan application is actual or not, whether an accident actually occurs or not, is detected. True intent recognition typically relies on empirical judgment or the provision of relevant documentation. Also, for example, resume history also has a problem of fraud, and focusing on job duties and personal performances of job seekers, it generally exaggerates their contribution to a certain project. Psychological stress testing techniques can be incorporated into the relevant links to identify subjective information that hides behaviors or intentions from view.
The psychological test technology is that under a specific scene, a psychological tester generates continuous 'stimulation-response' action on a tested person, and extracts a series of physiological characteristics of the tested person, such as language, action, expression, emotion and the like, so as to judge whether the language expression of the tested person is consistent with the mental thinking and the real objective fact or not and whether the probability condition of emotional abnormality exists or not.
In the practical application process, the testee produces psychological abnormal reaction, which is not necessarily caused by lie-scattering, but also possibly caused by the influence of some external environmental factors: (1) the pressure stimuli differ from scene to scene. For example, in a recruitment interview scene, the stress stimulation brought by the environment to the tested person is obviously different; (2) stress stimulation of the psychological tester itself. Different psychological testers or interviewers, or some expression languages and body behaviors which are irrelevant to evaluation or random can bring different external pressure stimulation to the testee, even when the testees face a plurality of psychological testers or interviewers at the same time.
However, the influence of external environmental factors is rarely considered in the prior art, so that the pressure abnormality of the testee in answering the questionnaire cannot be accurately detected.
Disclosure of Invention
The application provides a risk detection method and device based on multi-mode hidden information test and a computer readable storage medium.
In order to solve the above technical problem, a first technical solution provided by the present application is: the risk detection method based on the multi-mode hidden information test comprises the following steps: constructing a structured questionnaire and a scene questionnaire feedback matrix; sequentially playing an initial scene question, a question bank question and a smooth scene question in the question questionnaire, and acquiring audio and video data of a tested person in an interactive process; acquiring physiological characteristic data and a normalized time sequence thereof based on the audio and video data, and constructing a session stimulation matrix by using the normalized time sequence; constructing a first model and a second model according to the normalized time sequence of the physiological characteristic data and the session stimulation matrix, and optimizing model parameters of the first model according to the second model to obtain a result matrix; and respectively carrying out environmental scene pressure detection, question pressure detection of global physiological characteristics, answer pressure detection of global physiological characteristics and/or individual characteristic sensitivity detection by using the result matrix to obtain a multi-dimensional risk detection result.
In order to solve the above technical problem, a second technical solution provided by the present application is: the risk detection device comprises a questionnaire processing module, a time sequence processing module, a model parameter estimation model and a risk detection model, wherein the questionnaire processing module is used for acquiring a preset questionnaire; the time sequence processing module is used for playing an initial scene question, a question bank question and a smooth scene question in the question questionnaire in sequence and acquiring audio and video data of a tested person in an interactive process; the device is also used for acquiring physiological characteristic data and a normalized time sequence thereof based on the audio and video data, and constructing a session stimulation matrix by utilizing the normalized time sequence; the model parameter estimation model is used for constructing a first model and a second model according to the normalized time sequence of the physiological characteristic data and the session stimulation matrix, and optimizing the model parameters of the first model according to the second model to obtain a result matrix; the risk detection model is used for respectively carrying out environmental scene pressure detection, question pressure detection of global physiological characteristics, answer pressure detection of global physiological characteristics and/or individual characteristic sensitivity detection by utilizing the result matrix to obtain multi-aspect risk detection results.
In order to solve the above technical problem, a third technical solution provided by the present application is: providing another risk detection device based on a multi-mode hidden information test, wherein the risk detection device comprises a processor and a memory connected with the processor, and the memory stores program instructions; the processor is configured to execute the program instructions stored in the memory to implement the risk detection method described above.
In order to solve the above technical problem, a fourth technical solution provided by the present application is: there is provided a computer readable storage medium storing program instructions that, when executed, implement the risk detection method described above.
According to the risk detection method, a structured question questionnaire is constructed; sequentially playing an initial scene question, a question bank question and a smooth scene question in the question questionnaire; acquiring physiological characteristic data and a normalized time sequence thereof based on audio and video data, and constructing a session stimulation matrix by utilizing the normalized time sequence; constructing a first model and a second model according to the normalized time sequence of the physiological characteristic data and the session stimulation matrix, and optimizing and obtaining model parameters of the first model according to the second model to obtain a result matrix; and respectively carrying out environmental scene pressure detection, question pressure detection of global physiological characteristics, answer pressure detection of global physiological characteristics and/or individual characteristic sensitivity detection by using the result matrix to obtain a multi-dimensional risk detection result. The method and the device can automatically detect and identify the pressure abnormity of the testee when answering the questionnaire.
Drawings
In order to more clearly illustrate the embodiments of the present application or the technical solutions in the prior art, the drawings needed to be used in the embodiments will be briefly described below, and it is obvious that the drawings in the following description are only some embodiments of the present application, and it is obvious for those skilled in the art to obtain other drawings without creative efforts.
Fig. 1 is a schematic flowchart of an embodiment of a risk detection method based on a multi-modal hidden information test provided in the present application;
FIG. 2 is a flow diagram of sub-steps of step S11 of the risk detection method of FIG. 1
FIG. 3 is a schematic sequence diagram of one embodiment of a questionnaire provided herein;
FIG. 4 is a timing diagram illustrating an embodiment of a conversational stimulus matrix provided herein;
FIG. 5 is a flow diagram of sub-steps of step S14 of the risk detection method of FIG. 1;
fig. 6 is a schematic structural diagram of an embodiment of the risk detection apparatus based on a multi-modal hidden information test provided in the present application;
fig. 7 is a schematic structural diagram of another embodiment of the risk detection apparatus based on the multi-modal hidden information test provided in the present application;
fig. 8 is a schematic structural diagram of a computer-readable storage medium of the present application.
Detailed Description
The technical solutions in the embodiments of the present application will be clearly and completely described below with reference to the drawings in the embodiments of the present application, and it is obvious that the described embodiments are only a part of the embodiments of the present application, and not all of the embodiments. All other embodiments, which can be derived by a person skilled in the art from the embodiments given herein without making any creative effort, shall fall within the protection scope of the present application.
The psychological test technique comprises three elements: (1) test scenarios (e.g., inquiries, recruiting interviews, bank face-signs, etc.); (2) psychological testers and test questionnaires; (3) the tested person.
The compilation of the psychological test questionnaire is the core content of the test, and the quasi-rope Question test method CQT (control Question test) and the secret Information test method CIT (confidential Information test) are the two most commonly used test methods. The CQT test question consists of three types of related questions, unrelated questions and quasi-rope questions; the CIT test question consists of a key question (related question) and a companionship question (background question). Different from CQT, the question of CIT is in unit of group, a complete set of CIT test questions is composed of a plurality of groups, and each group is composed of a plurality of questions. Theoretically, the CIT can be used as long as the hidden information known only by the testee exists, namely the testee trying to hide the information can easily distinguish the key problem and the companioning problem, and if the physiological responses of the testee to the key problem and the companioning problem are not different, the possibility that the testee has smaller hidden possibility to the key problem can be inferred; if the physiological response of the key question is significantly stronger than that of the companionship question, it is inferred that the tested person has a greater possibility of hiding the key question. The test structure of the two types of test methods contains related and contrast two types of stimulation, and the core mechanism of the test methods adopts different problems to arouse the physiological characteristic abnormity of a tested person. Two types of testing methods are widely applied to the lie detection field, and the lie detection technology does not identify the lie itself, but detects the abnormality of psychological stress through physiological index variation under certain external pressure.
Based on the principle, the risk detection method based on the multi-mode hidden information test can be applied to the related fields of financial risk management, human resource interview and the like, and can automatically detect and identify the psychological or emotional stress abnormality of the testee when answering the specific key question.
The present application will be described in detail with reference to the accompanying drawings and examples.
Referring to fig. 1, fig. 1 is a schematic flowchart illustrating a risk detection method based on a multi-modal hidden information test according to an embodiment of the present application.
The risk detection method is applied to the terminal equipment, wherein the terminal equipment can be a server, can also be mobile equipment, and can also be a system formed by the cooperation of the server and the mobile equipment. Accordingly, each part, such as each unit, sub-unit, module, and sub-module, included in the terminal device may be all disposed in the server, may be all disposed in the mobile device, and may be disposed in the server and the mobile device, respectively.
Further, the server may be hardware or software. When the server is hardware, it may be implemented as a distributed server cluster formed by multiple servers, or may be implemented as a single server. When the server is software, it may be implemented as a plurality of software or software modules, for example, software or software modules for providing distributed servers, or as a single software or software module, and is not limited herein.
The risk detection method based on the multi-mode hidden information test comprises the following specific steps:
step S11: and constructing a structured question questionnaire and a scene questionnaire feedback matrix.
The risk detection device of the embodiment of the present application normalizes and structures the heart test question text of the CQT or CIT first, and the processing method includes, but is not limited to: removal of stop words, spelling correction, rewriting of abbreviations, etc. Further, the staff can also set the maximum word length of the centering question sentence text asLOn the one hand for a number of words greater than LThe question text is cut off, and on the other hand, the number of corresponding words is less than LThe question text is filled, so that the effect of measuring the length of the question text at a unified level is achieved.
The risk detection device may obtain the preset questionnaire in this embodiment based on the CQT or CIT heart-measuring questionnaire text in combination with the above processing method, or may introduce a scene questionnaire without actual semantics, recombine and define the CQT or CIT heart-measuring questionnaire text, and generate a questionnaire that can be directed to different scenes, specifically please refer to fig. 2 continuously, and fig. 2 is a sub-step flowchart of step S11 of the risk detection method shown in fig. 1.
Step S11 in the embodiment of the present application may specifically include the following sub-steps:
step S21: defining a dictionary matrix, traversing words in the dictionary matrix, and defining a corresponding dictionary matrix.
Wherein the risk detection means defines a dictionary matrix
Figure 550411DEST_PATH_IMAGE001
Total number of words in the dictionary matrix isN
Figure 936393DEST_PATH_IMAGE002
Is an identity matrix
Figure 707341DEST_PATH_IMAGE003
To (1) akThe columns of the image data are,
Figure 446759DEST_PATH_IMAGE004
get the first in the dictionary matrixiThe word is
Figure 933235DEST_PATH_IMAGE005
Wherein
Figure 693380DEST_PATH_IMAGE006
Definition dictionary matrix abbreviation
Figure 757151DEST_PATH_IMAGE007
Setting the first word of the dictionary matrix to be an empty character, i.e.
Figure 362576DEST_PATH_IMAGE008
Representing a null character.
Step S22: question and answer libraries are defined.
The risk detection device utilizes a dictionary matrix to define a question bank and an answer bank, wherein a plurality of questions are defined in the question bank
Figure 703559DEST_PATH_IMAGE009
The answer library has several defined answer sentences
Figure 493660DEST_PATH_IMAGE010
The number of question lines in the question bank is
Figure 923023DEST_PATH_IMAGE011
Number of answers in answer library
Figure 66560DEST_PATH_IMAGE012
. Wherein, the firstiThe dictionary structure of the heart-shaped question sentence is expressed as
Figure 386682DEST_PATH_IMAGE013
Of 1 atiThe dictionary structure of the answer of the testee of the heart-shaped question sentence is expressed as
Figure 488631DEST_PATH_IMAGE014
Step S23: the dictionary matrix is used to define an initial scene question and a smooth scene question.
Wherein the risk detection means further defines two types of special questions, namely an initial scene question
Figure 74464DEST_PATH_IMAGE015
And smooth scene question
Figure 146325DEST_PATH_IMAGE016
Wherein
Figure 461900DEST_PATH_IMAGE017
. Therefore, only the scene question in the current scene needs to be marked for distinguishing from other questions, and actual text content is not needed. Smooth scene question
Figure 469170DEST_PATH_IMAGE018
May be provided as a plurality of different sentences (corresponding to each question-evaluating answer). To simplify the illustration, embodiments of the present application smooth scene question after each evaluation question answer
Figure 729250DEST_PATH_IMAGE019
The simplified process is set to be the same statement, and the generality and the universality of the whole algorithm and process are not lost.
Note that the initial scene question sentence
Figure 480169DEST_PATH_IMAGE020
Only one question is used in a complete interactive process, and a smooth scene question is used once after the answer of the testee is completed, specifically referring to fig. 3, where fig. 3 is a sequence diagram of an embodiment of a question questionnaire provided in the present application. At the beginning of the interactive process, the risk detection device collects the scene pressure of the testee through an initial scene question sentence, and then the scene pressure of the testee is collected through a smooth scene question sentence after a question stage, a thinking stage and an answer stage in sequenceAnd collecting, and so on.
According to the risk detection method, two types of scene question sentences without actual semantics are introduced, and the psychological pressure brought to a tested person by a current scene or a current environment can be analyzed and extracted by combining stimulation-response model parameter estimation, so that the risk detection method can be directly suitable for different scenes.
Step S24: a scene questionnaire feedback matrix is defined using a question bank, an answer bank, an initial scene question, and a smooth scene question.
Wherein the risk detection means define
Figure 647320DEST_PATH_IMAGE021
Scene questionnaire feedback matrix
Figure 91071DEST_PATH_IMAGE022
Of 1 atjThe column vector is
Figure 838447DEST_PATH_IMAGE023
Figure 127477DEST_PATH_IMAGE024
. Wherein,lconstructing a scene questionnaire from a questionnaire library
Figure 152065DEST_PATH_IMAGE025
Extracting the number of a plurality of question sentences, i.e. arranging to form a question sub-sentence library
Figure 891351DEST_PATH_IMAGE026
. Corresponding sub-answer sentence library
Figure 1389DEST_PATH_IMAGE027
From a library of answers by interaction
Figure 828531DEST_PATH_IMAGE028
And dynamic extraction, wherein a plurality of answers correspond to a question sentence.
Specific correspondence may be referred to as follows:
Figure 97838DEST_PATH_IMAGE029
corresponding initial scene question sentence
Figure 883392DEST_PATH_IMAGE030
j=1;
Figure 480726DEST_PATH_IMAGE031
Corresponding evaluation question sentence
Figure 391787DEST_PATH_IMAGE032
i=1,j=2;
Figure 390967DEST_PATH_IMAGE033
Answers corresponding to evaluation question sentences
Figure 472055DEST_PATH_IMAGE034
i=1,j=3;
Figure 556686DEST_PATH_IMAGE035
Corresponding to a smooth scene question
Figure 256788DEST_PATH_IMAGE036
j=4;
Figure 110475DEST_PATH_IMAGE037
Corresponding evaluation question sentence
Figure 831306DEST_PATH_IMAGE038
i=2,j=5;
Figure 403233DEST_PATH_IMAGE039
Answers corresponding to evaluation question sentences
Figure 641448DEST_PATH_IMAGE040
i=2,j=6;
Figure 739854DEST_PATH_IMAGE041
Corresponding evaluation smooth scene question sentence
Figure 506952DEST_PATH_IMAGE036
j=7;
……
Figure 766508DEST_PATH_IMAGE042
Corresponding to a smooth scene question
Figure 808413DEST_PATH_IMAGE036
j=3l+1。
Step S25: and defining the attribute of the heart measuring question-answer matrix by using the attribute classification of the question library.
Wherein the risk detection means definem×lCardiac survey question-answer matrix attributeBmAnd classifying the attributes of various question sentences. Library of presentation questions
Figure 230167DEST_PATH_IMAGE043
To middlejWhether the question is of the firstiAnd if the attribute is positive, the value is 1, and if the attribute is negative, the value is 0.
For example, the test question of CQT consists of three categories, related questions, unrelated questions, and quasi-rope questions; the CIT test question consists of a key question (related question) and a companionship question (background question). One question sentence can belong to both CQT related questions and CIT key questions, and in the risk control field, the CQT related questions or the CIT key questions are key wind control points.
Step S12: and sequentially playing an initial scene question, a question bank question and a smooth scene question in the question questionnaire, and acquiring audio and video data of the tested person in the interactive process.
After the structured processing of the questionnaire is completed, a background evaluation system carried on the risk detection device establishes network communication with a foreground user terminal, and a testee receives the information of the questionnaire through the foreground user terminal and acquires the audio and video data of the testee through the foreground user terminal. The foreground user terminal of the embodiment of the application includes, but is not limited to, various personal computers, notebook computers, smart phones, tablet computers, portable wearable devices and the like.
After the testee enters the conversation, the foreground user terminal can start to collect audio and video stream and record the start time
Figure 699326DEST_PATH_IMAGE044
Independently collectzThe physiological characteristics of the tested person, whereinjThe time sequence of the physiological characteristic is
Figure 980266DEST_PATH_IMAGE045
At a frequency of
Figure 950496DEST_PATH_IMAGE046
In the real-time interactive process, the foreground user terminal obtains the 0 th question in the question questionnaire, namely the initial scene question, and carries out random delay operation. As shown in fig. 3, (1) a question phase. Foreground user terminal obtaining first in questionnaireiA question sentence, using TTS (text to speech ) to perform speech synthesis broadcast, simultaneously displaying the question sentence and optional answer at the foreground user terminal, recording the start time of broadcast display
Figure 898860DEST_PATH_IMAGE047
And broadcast end time
Figure 273341DEST_PATH_IMAGE048
. (2) A thought phase and an answer phase. Respectively recording the initial response time of the testee
Figure 41577DEST_PATH_IMAGE049
And completion of the response time
Figure 549918DEST_PATH_IMAGE050
The foreground user terminal continuously collects audio and video stream and converts the collected answer sentence voice data into text answer
Figure 824561DEST_PATH_IMAGE051
And updating the scene questionnaire feedback matrixQ
Figure 635522DEST_PATH_IMAGE052
The time is the feedback of the testee's thought. (3) A mood smoothing phase. Delay waiting, structure
Figure 15688DEST_PATH_IMAGE045
Corresponding block session stimulus matrix
Figure 937507DEST_PATH_IMAGE053
To accomplish the followingjTime series processing of heterogeneous non-uniform frequency signals of individual physiological characteristics. Order counteri=i+1, wheniLess than the total number of question sentences evaluated this time 3lAnd +1, circularly executing the interactive process.
Step S13: and acquiring physiological characteristic data and a normalized time sequence thereof based on the audio and video data, and constructing a session stimulation matrix by utilizing the normalized time sequence.
The acquisition of the physiological characteristic data based on the audio and video data in the embodiment of the application can be specifically based on the acquisition of non-contact or contact physiological characteristic data such as audio and video, electroencephalogram and the like through human-computer automatic interaction.
Because the identification error of the single-dimension physiological signal and the derived characteristic index thereof is large, physiological characteristic data with different dimensions, such as a dynamically increased blood volume pulse BVP signal, a Mel frequency cepstrum MFCC coefficient and the like, can be dynamically introduced in the practical application process, and currently, the related technology lacks general processing on the physiological characteristic data with different frequencies, so that the dynamic increase or decrease of the physiological characteristic dimension cannot be dynamically self-adapted.
Therefore, the non-contact or contact physiological characteristic signals such as audio/video signals, electroencephalogram signals and the like acquired in the embodiment of the application are various original coefficients or parameters, including but not limited to audio/video signals, electroencephalogram signals and other signals which can be time-sequenced, for example, an average optical flow direction histogram of a two-dimensional face ROI area, a one-dimensional blood volume pulse BVP signal and the like; speech signals, e.g., one-dimensional volume, multi-dimensional mel-frequency cepstrum MFCC coefficients, etc.; user behavior information, such as one-dimensional time information of a handwritten signature, and the like.
The embodiment of the application can directly use derived characteristics or parameters of non-contact or contact physiological characteristic signals, such as micro expressions, eye movements, heart rate and the like, and also can directly use original coefficients or parameters thereof, such as MHOOF of a corresponding region ROI can extract micro expression characteristics and eye movement characteristics, and a BVP signal can extract heart rate. The latter is recommended because: (1) in the process of extracting or training the derived features or parameters, loss and classification errors exist in the information of the original coefficients or parameters, so that the accuracy of stress emotion evaluation is influenced; (2) some derived features or parameters are inherently less stable.
Wherein the risk detection means defines individual physiological characteristics of the subjectjNormalized time series of
Figure 594885DEST_PATH_IMAGE045
At a frequency of
Figure 576747DEST_PATH_IMAGE054
. Further, a normalized time series is constructed
Figure 178630DEST_PATH_IMAGE045
Corresponding to
Figure 904140DEST_PATH_IMAGE055
Conversational stimulus matrix
Figure 416024DEST_PATH_IMAGE056
In particular for different frequencies
Figure 693422DEST_PATH_IMAGE046
Time series vector of
Figure 657967DEST_PATH_IMAGE045
All have corresponding conversational stimulus matrix
Figure 184238DEST_PATH_IMAGE057
Wherein the total time length
Figure 409683DEST_PATH_IMAGE058
Figure 733348DEST_PATH_IMAGE059
To evaluate the total length of time. The tested person enters the conversation with the time
Figure 450769DEST_PATH_IMAGE044
Of 1 atiThe starting time of the question report and display is
Figure 518082DEST_PATH_IMAGE047
The broadcast end time is
Figure 598033DEST_PATH_IMAGE048
(ii) a The subject answers the firstiThe starting time of a question is
Figure 358179DEST_PATH_IMAGE049
Completion of the answer time
Figure 297316DEST_PATH_IMAGE060
Wherein
Figure 292954DEST_PATH_IMAGE061
including a questioning phase and a thinking phase.
Therefore, the conversational stimulus matrix of the embodiment of the present application can be expressed as:
Figure 102778DEST_PATH_IMAGE062
wherein,
Figure 33825DEST_PATH_IMAGE063
in total 3l+1 block matrix
Figure 584892DEST_PATH_IMAGE064
Each block matrix
Figure 985219DEST_PATH_IMAGE065
A size of
Figure 180708DEST_PATH_IMAGE066
Figure 141711DEST_PATH_IMAGE067
Column values are all
Figure 789861DEST_PATH_IMAGE068
Column vectors, i.e.
Figure 2667DEST_PATH_IMAGE069
Figure 177297DEST_PATH_IMAGE070
Is the product of the Kronecker reaction,
Figure 184567DEST_PATH_IMAGE071
is element 1, length
Figure 585593DEST_PATH_IMAGE072
Referring to fig. 4, fig. 4 is a timing diagram of an embodiment of a conversational stimulation matrix provided in the present application.
Wherein,
Figure 336511DEST_PATH_IMAGE073
Figure 365647DEST_PATH_IMAGE074
Figure 543818DEST_PATH_IMAGE075
Figure 429210DEST_PATH_IMAGE076
Figure 108453DEST_PATH_IMAGE077
in addition, the corresponding time sequence of the physiological characteristic signal of the discontinuous type
Figure 133041DEST_PATH_IMAGE078
Need to be aligned with
Figure 482114DEST_PATH_IMAGE057
And (5) carrying out structure adjustment. For example, speech signals mainly occur only in the answer phase, other phases not
Figure 716786DEST_PATH_IMAGE078
Then will be
Figure 809507DEST_PATH_IMAGE079
The corresponding block matrixes of other non-initial scene stages are all set to 0, i.e.
Figure 688601DEST_PATH_IMAGE080
Then according to the question vector pairs of the preceding and following paragraphs
Figure 333209DEST_PATH_IMAGE081
Structural adjustment is carried out according to the ratio of 2:3:1, namely
Figure 930544DEST_PATH_IMAGE082
I.e. by
Figure 826956DEST_PATH_IMAGE083
Figure 826136DEST_PATH_IMAGE084
And
Figure 907224DEST_PATH_IMAGE085
. Wherein,
Figure 994785DEST_PATH_IMAGE086
is element 1, length
Figure 163729DEST_PATH_IMAGE087
The row vector of (2).
Generating conversational stimulus matrices for improved performance
Figure 142049DEST_PATH_IMAGE063
The risk detection means may also use ADF root-of-unit testing for each feature time series
Figure 3826DEST_PATH_IMAGE078
Performing a stationarity check if
Figure 575753DEST_PATH_IMAGE045
If it is a non-stationary time sequence, then it is determined for the non-stationary time sequence
Figure 938601DEST_PATH_IMAGE045
Performing difference processing to
Figure 646794DEST_PATH_IMAGE088
Is converted into and
Figure 679472DEST_PATH_IMAGE045
stationary sequence of equal time length
Figure 863329DEST_PATH_IMAGE089
Will be sequenced
Figure 639655DEST_PATH_IMAGE044
The front of the site is filled with 0.
According to the embodiment of the application, through heterogeneous non-same-frequency signal time sequence processing, the calculation processing of the dimension-variable physiological characteristic data can be self-adapted. As long as different frequencies are determined
Figure 202354DEST_PATH_IMAGE046
Time series vector of
Figure 796147DEST_PATH_IMAGE045
Can generate corresponding conversational stimulus matrix
Figure 74157DEST_PATH_IMAGE057
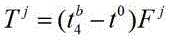
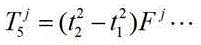
Step S14: and constructing a first model and a second model according to the normalized time sequence of the physiological characteristic data and the session stimulation matrix, and optimizing the model parameters of the first model according to the second model to obtain a result matrix.
In which the risk detection device needs to further perform "stimulus-response" model parameter estimation, please refer to fig. 5, and fig. 5 is a flowchart of the sub-steps of step S14 of the risk detection method shown in fig. 1.
Step S14 in the embodiment of the present application may specifically include the following sub-steps:
step S31: the model parameters of the first model comprise model residuals and parameters to be estimated.
Wherein the risk detection device is based on physiological characteristics of single testeejTime series of
Figure 654174DEST_PATH_IMAGE045
And session stimulus matrix
Figure 461593DEST_PATH_IMAGE057
The following first model was constructed:
Figure 101653DEST_PATH_IMAGE090
wherein,
Figure 135468DEST_PATH_IMAGE091
and
Figure 253597DEST_PATH_IMAGE092
are all time lag variable parameters; residual error
Figure 56467DEST_PATH_IMAGE093
Is a stationary white noise with a mean of 0 and a constant variance;
Figure 992062DEST_PATH_IMAGE094
is the session stimulation matrixtTime
Figure 982015DEST_PATH_IMAGE063
Column vector components representing different question and answer sentences, in commonb=2l+2, their corresponding parameters to be estimated
Figure 856166DEST_PATH_IMAGE095
Namely, scene environment and different question-pair physiological characteristics at different stages
Figure 638178DEST_PATH_IMAGE089
Influence of fluctuations, e.g.
Figure 620040DEST_PATH_IMAGE096
And
Figure 362868DEST_PATH_IMAGE097
is the current initial scene question
Figure 88379DEST_PATH_IMAGE098
And smooth scene question
Figure 724896DEST_PATH_IMAGE099
To pair
Figure 612081DEST_PATH_IMAGE078
The influence of the wave motion is such that,
Figure 842205DEST_PATH_IMAGE100
and
Figure 230461DEST_PATH_IMAGE101
is to ask questions and ask sentences
Figure 596852DEST_PATH_IMAGE102
And answer sentences
Figure 920517DEST_PATH_IMAGE103
To pair
Figure 635007DEST_PATH_IMAGE089
The effect of the fluctuations. Through the model, a psycho-physiological dynamic mechanism model under a stimulation-response paradigm is introduced, and an individual can be directly evaluated.
Then, the risk detection device determines the optimal model order for the first model according to an AIC (Akaike information criterion) criterion and a BIC (Bayesian information criterion) criterion
Figure 561375DEST_PATH_IMAGE104
And performing least square estimation on the model parameters. Can be initially selected
Figure 782272DEST_PATH_IMAGE105
Determining an optimal model order for the first model based on the AIC criterion and the BIC criterion
Figure 542417DEST_PATH_IMAGE106
. The BIC criterion under the condition that the time series observed values are enough, the selected orders of the BIC can converge to the actual orders, namely, the consistency exists. The AIC criterion does not have consistency and the AIC is usually chosen to be of a larger order than BIC, so the model scaling can be done using the BIC criterion only.
Step S32: and carrying out autocorrelation and heteroscedasticity test on the model residual.
Step S33: and if the residual sequence corresponding to the model residual has heteroscedasticity, establishing a second model based on the residual sequence of the model residual.
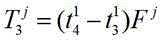
Further, the risk detection device performs Ljung-Box Q test and Eagle ARCH test on the standardized residual error of the first model, performs autocorrelation and heteroscedasticity test on the model residual error, and if the residual error sequence is not a white noise sequence and has heteroscedasticity, the following second model needs to be established:
Figure 606188DEST_PATH_IMAGE107
wherein,
Figure 211613DEST_PATH_IMAGE108
and
Figure 490279DEST_PATH_IMAGE109
are all time lag variable parameters. Higher order second models increase model instability, and thus the initial selection
Figure 421326DEST_PATH_IMAGE110
Determining the optimal model order for the second model according to the AIC criterion and the BIC criterion
Figure 706814DEST_PATH_IMAGE111
Step S34: and obtaining the optimal model order of the second model.
Step S35: and recalculating the model parameters by combining the optimal model order of the second model and the first model.
Wherein the risk detection means incorporates the optimal model order of the second model
Figure 381509DEST_PATH_IMAGE111
Re-estimating model parameters of a first model
Figure 579927DEST_PATH_IMAGE095
And checking whether the model residual error item conforms to the white noise process again. If not, the residual error item is judged to have the related information which is not extracted, and the selection is carried out
Figure 416296DEST_PATH_IMAGE112
Figure 454660DEST_PATH_IMAGE113
Sequentially determining the optimal model order for the second model according to the AIC criterion and the BIC criterion
Figure 667466DEST_PATH_IMAGE114
Further, the risk detection device calculates the next physiological characteristic of the tested person in sequence
Figure 451883DEST_PATH_IMAGE115
Time series of
Figure 849366DEST_PATH_IMAGE116
And session stimulus matrix
Figure 984812DEST_PATH_IMAGE117
To obtain corresponding model parameters
Figure 735730DEST_PATH_IMAGE118
Step S36: the result matrix is defined using the recalculated model parameters.
Wherein the risk detection means defineb×zResult matrixRzDetermining statistical significance level for the number of all physiological characteristics of the tested person, for example, selecting significance level of 1%, 5%, 10%
Figure 30446DEST_PATH_IMAGE119
Is at a significance level ofiQuestion or answer pairjInfluence coefficient of physiological characteristic change
Figure 208617DEST_PATH_IMAGE120
If the significance level is not satisfied
Figure 96939DEST_PATH_IMAGE119
Is set to 0.
Step S15: and respectively carrying out environmental scene pressure detection, question pressure detection of global physiological characteristics, answer pressure detection of global physiological characteristics and/or individual characteristic sensitivity detection by using the result matrix to obtain a multi-dimensional risk detection result.
And the risk detection device performs evaluation scale analysis based on the result matrix, namely completes environmental scene pressure detection, question pressure detection of global physiological characteristics, answer pressure detection of global physiological characteristics, individual characteristic sensitivity detection and multi-sample detection.
Specifically, the first step, ambient scene pressure detection. Based on the result matrix of the individual testeesRCalculating a matrixRLine mean of
Figure 510602DEST_PATH_IMAGE121
If, if
Figure 532261DEST_PATH_IMAGE122
And
Figure 881333DEST_PATH_IMAGE123
the maximum value indicates that the pressure of the tested person is too large in the current scene, and the tested person has great influence on other evaluation results.
And secondly, detecting question pressure of the global physiological characteristics. For result matrixRIs prepared by extractinglQuestion and calculate the mean value of each line
Figure 850426DEST_PATH_IMAGE124
Figure 208727DEST_PATH_IMAGE125
By measuring question-answer attribute matrix through heartBFind firstiThe attribute of each question is related to CQT or key problem of CIT, if
Figure 87821DEST_PATH_IMAGE126
The fact that the tested person has psychological stress abnormity when the question is reported shows that the tested person meets the statistical significance level; get
Figure 404533DEST_PATH_IMAGE127
The maximum question is the related or key question with the maximum pressure of the tested person
Figure 1867DEST_PATH_IMAGE128
The third stepAnd detecting the answer pressure of the global physiological characteristic. For result matrixRIs prepared by extractinglAnswers and calculates the mean value of each line
Figure 898279DEST_PATH_IMAGE124
Figure 756514DEST_PATH_IMAGE129
Which is
Figure 712968DEST_PATH_IMAGE130
The tested person has abnormal psychological pressure when answering the current question and meets the statistical significance level; get
Figure 523231DEST_PATH_IMAGE131
Maximum answer, i.e. answer of maximum pressure of tested person
Figure 347967DEST_PATH_IMAGE132
Their corresponding question sentence
Figure 936075DEST_PATH_IMAGE133
If the question pressure detection of the global physiological characteristics also satisfies the significance level in the second step, the question and the answer have larger risk points.
And fourthly, detecting individual feature sensitivity. Based on the result matrix of the individual testeesRCalculating the column mean of the matrix
Figure 63431DEST_PATH_IMAGE134
Figure 759991DEST_PATH_IMAGE135
If, if
Figure 998206DEST_PATH_IMAGE136
Or close to 0, indicating that the tested person is the first to be tested in the current scenejThe physiological characteristics are not sensitive to the question of each question in statistical sense, i.e. the first person to be testedjThe individual physiological characteristic indicators were not valid in this evaluation.
And fifthly, detecting multiple samples. In the same scene, calculating the result matrix of each tested person
Figure 440819DEST_PATH_IMAGE137
And repeating the first step to the fourth step.
The risk detection device of the embodiment of the application carries out classification and vectorization processing on the CQT or CIT test question, introduces scene and scene pressure variables, and constructs related questionnaires according to different scenes; secondly, constructing a time sequence based on a session state for physiological characteristic signals which directly use a bottom layer continuous type and have different frequencies, then constructing a time sequence model, estimating model parameters, and calculating the variation intensity of physiological characteristics with different dimensions when the testee answers each question; and finally, obtaining an evaluation scale matrix, and effectively and automatically detecting and identifying the abnormal psychological or emotional pressure of the testee when answering the specific key questions.
The above embodiments are only one of the common cases of the present application and do not limit the technical scope of the present application, so that any minor modifications, equivalent changes or modifications made to the above contents according to the essence of the present application still fall within the technical scope of the present application.
With continuing reference to fig. 6, fig. 6 is a schematic structural diagram of an embodiment of the risk detection apparatus based on multi-modal hidden information test provided in the present application. Therisk detection device 600 includes a questionquestionnaire processing module 61, a timeseries processing module 62, a modelparameter estimation model 63, and arisk detection model 64, wherein:
thequestionnaire processing module 61 is used for constructing a structured questionnaire and a scene questionnaire feedback matrix.
The timesequence processing module 62 is configured to sequentially play an initial scene question, a question bank question and a smooth scene question in the question questionnaire, and acquire audio and video data of a tested person in an interaction process; and the method is also used for acquiring physiological characteristic data and a normalized time sequence thereof based on the audio and video data, and constructing a session stimulation matrix by utilizing the normalized time sequence.
The modelparameter estimation model 63 is configured to construct a first model and a second model according to the normalized time sequence of the physiological characteristic data and the session stimulation matrix, and optimize model parameters of the first model according to the second model to obtain a result matrix.
Therisk detection model 64 is configured to perform environmental scene pressure detection, question pressure detection of global physiological characteristics, answer pressure detection of global physiological characteristics, and/or individual characteristic sensitivity detection by using the result matrix, respectively, to obtain a multi-dimensional risk detection result.
Please refer to fig. 7, which is a schematic structural diagram of another embodiment of the risk detection apparatus based on the multi-modal hidden information test according to the present application. The risk detection means comprises amemory 72 and aprocessor 71 connected to each other.
Thememory 72 is for storing program instructions for implementing the risk detection method of any of the above.
Processor 71 is operative to execute program instructions stored inmemory 72.
Theprocessor 71 may also be referred to as a CPU (Central Processing Unit). Theprocessor 71 may be an integrated circuit chip having signal processing capabilities. Theprocessor 71 may also be a general purpose processor, a Digital Signal Processor (DSP), an Application Specific Integrated Circuit (ASIC), a Field Programmable Gate Array (FPGA) or other programmable logic device, discrete gate or transistor logic, discrete hardware components. A general purpose processor may be a microprocessor or the processor may be any conventional processor or the like.
Thestorage 72 may be a memory bank, a TF card, etc. and may store all the information in the string matching prediction apparatus, including the input raw data, the computer program, the intermediate operation results, and the final operation results. It stores and retrieves information based on the location specified by the controller. With the memory, the string matching prediction device has a memory function, and normal operation can be guaranteed. The memory of the string matching prediction device can be classified into a main memory (internal memory) and an auxiliary memory (external memory) according to the use, and also into an external memory and an internal memory. The external memory is usually a magnetic medium, an optical disk, or the like, and can store information for a long period of time. The memory refers to a storage component on the main board, which is used for storing data and programs currently being executed, but is only used for temporarily storing the programs and the data, and the data is lost when the power is turned off or the power is cut off.
In the several embodiments provided in the present application, it should be understood that the disclosed method and apparatus may be implemented in other ways. For example, the above-described apparatus embodiments are merely illustrative, and for example, a division of a module or a unit is merely a logical division, and an actual implementation may have another division, for example, a plurality of units or components may be combined or integrated into another system, or some features may be omitted, or not executed. In addition, the shown or discussed mutual coupling or direct coupling or communication connection may be an indirect coupling or communication connection through some interfaces, devices or units, and may be in an electrical, mechanical or other form.
Units described as separate parts may or may not be physically separate, and parts displayed as units may or may not be physical units, may be located in one place, or may be distributed on a plurality of network units. Some or all of the units can be selected according to actual needs to achieve the purpose of the embodiment.
In addition, functional units in the embodiments of the present application may be integrated into one processing unit, or each unit may exist alone physically, or two or more units are integrated into one unit. The integrated unit can be realized in a form of hardware, and can also be realized in a form of a software functional unit.
The integrated unit, if implemented in the form of a software functional unit and sold or used as a stand-alone product, may be stored in a computer readable storage medium. Based on such understanding, the technical solution of the present application may be substantially implemented or contributed to by the prior art, or all or part of the technical solution may be embodied in a software product, which is stored in a storage medium and includes instructions for causing a computer device (which may be a personal computer, a system server, a network device, or the like) or a processor (processor) to execute all or part of the steps of the method of the embodiments of the present application.
Please refer to fig. 8, which is a schematic structural diagram of a computer-readable storage medium according to the present application. The storage medium of the present application stores aprogram file 81 capable of implementing all the above risk detection methods, where theprogram file 81 may be stored in the storage medium in the form of a software product, and includes several instructions to enable a computer device (which may be a personal computer, a server, or a network device) or a processor (processor) to execute all or part of the steps of the methods according to the embodiments of the present application. The aforementioned storage device includes: various media capable of storing program codes, such as a usb disk, a mobile hard disk, a Read-Only Memory (ROM), a Random Access Memory (RAM), a magnetic disk or an optical disk, or terminal devices, such as a computer, a server, a mobile phone, and a tablet.
The above embodiments are merely examples and are not intended to limit the scope of the present disclosure, and all modifications, equivalents, and flow charts using the contents of the specification and drawings of the present disclosure or those directly or indirectly applied to other related technical fields are intended to be included in the scope of the present disclosure.

Claims (9)

1. A risk detection method based on a multi-mode hidden information test is characterized by comprising the following steps:
constructing a structured questionnaire and a scene questionnaire feedback matrix;
sequentially playing an initial scene question, a question bank question and a smooth scene question in the question questionnaire, and acquiring audio and video data of a tested person in an interactive process;
acquiring physiological characteristic data and a normalized time sequence thereof based on the audio and video data, and constructing a session stimulation matrix by using the normalized time sequence;
constructing a first model according to the normalized time sequence of the physiological characteristic data and the session stimulation matrix, wherein model parameters of the first model comprise model residual errors and parameters to be estimated;
carrying out autocorrelation and heteroscedasticity test on the model residual error, and if the heteroscedasticity exists in a residual error sequence corresponding to the model residual error, establishing a second model based on the residual error sequence of the model residual error;
obtaining the optimal model order of the second model, and recalculating model parameters by combining the optimal model order of the second model and the first model;
defining a result matrix by using the recalculated model parameters;
and respectively carrying out environmental scene pressure detection, question pressure detection of global physiological characteristics, answer pressure detection of global physiological characteristics and/or individual characteristic sensitivity detection by using the result matrix to obtain multi-aspect risk detection results.
2. The risk detection method of claim 1, further comprising:
defining a dictionary matrix, traversing words in the dictionary matrix, and defining a corresponding dictionary matrix;
defining a question library and an answer library by using the dictionary matrix, wherein a plurality of question libraries are defined in the question library, and a plurality of answer library questions are defined in the answer library;
defining the initial scene question and a plurality of smooth scene questions by using the dictionary matrix;
defining a scene questionnaire feedback matrix by using the sentence query library, the answer library, the initial scene question and the smooth scene question;
and defining the attribute of the heart measuring question-answer matrix by using the attribute classification of the question library.
3. The risk detection method according to claim 2,
the sequentially playing of the initial scene question, the question bank question and the smooth scene question in the question questionnaire includes:
when the interaction starts, the initial scene question sentence is played;
circularly executing the following steps: and sequentially acquiring and playing the question and question library question, the answer library question and the smooth scene question.
4. The risk detection method according to claim 2,
the structured question questionnaire comprises:
normalizing the question text of the question questionnaire, and increasing and deleting the number of words of the question text so as to fix the length of the preset text.
5. The risk detection method according to claim 1,
before the constructing a session stimulation matrix by using the normalized time series, the risk detection method further includes:
performing stationarity test on the normalized time sequence by using unit root test;
and if the normalized time sequence is a non-stationary time sequence, performing differential processing on the normalized time sequence to generate a stationary time sequence with the same time length as the normalized time sequence.
6. The risk detection method according to claim 1,
before the self-correlation and heteroscedasticity test is performed on the model residual, the risk detection method comprises the following steps:
obtaining an optimal model order of the first model;
and performing least square estimation on the model parameters based on the optimal model order of the first model.
7. A risk detection device based on a multi-mode hidden information test is characterized by comprising a question questionnaire processing module, a time sequence processing module, a model parameter estimation model and a risk detection model, wherein,
the questionnaire processing module is used for constructing a structured questionnaire;
the time sequence processing module is used for playing an initial scene question, a question bank question and a smooth scene question in the question questionnaire in sequence and acquiring audio and video data of a tested person in an interactive process; the device is also used for acquiring physiological characteristic data and a normalized time sequence thereof based on the audio and video data, and constructing a session stimulation matrix by utilizing the normalized time sequence;
the model parameter estimation model is used for constructing a first model according to the normalized time sequence of the physiological characteristic data and the session stimulation matrix, the model parameters of the first model comprise model residual errors and parameters to be estimated, the model residual errors are subjected to autocorrelation and heteroscedasticity test, if the residual error sequence corresponding to the model residual errors has heteroscedasticity, a second model is established based on the residual error sequence of the model residual errors, the optimal model order of the second model is obtained, the model parameters are recalculated by combining the optimal model order of the second model and the first model, and a result matrix is defined by the recalculated model parameters;
the risk detection model is used for respectively carrying out environmental scene pressure detection, question pressure detection of global physiological characteristics, answer pressure detection of global physiological characteristics and/or individual characteristic sensitivity detection by utilizing the result matrix to obtain multi-aspect risk detection results.
8. A risk detection device based on a multi-mode hidden information test is characterized by comprising a processor and a memory connected with the processor, wherein,
the memory stores program instructions;
the processor is configured to execute the program instructions stored in the memory to implement the risk detection method of any of claims 1-6.
9. A computer readable storage medium, characterized in that the storage medium stores program instructions that, when executed, implement the risk detection method of any of claims 1-6.
CN202110653116.5A2021-06-112021-06-11Risk detection method and device based on multi-mode hidden information testActiveCN113243918B (en)

Priority Applications (2)

Application NumberPriority DateFiling DateTitle
CN202110653116.5ACN113243918B (en)2021-06-112021-06-11Risk detection method and device based on multi-mode hidden information test
PCT/CN2022/089328WO2022257630A1 (en)2021-06-112022-04-26Risk detection method and apparatus based on multi-modal concealed information test

Applications Claiming Priority (1)

Application NumberPriority DateFiling DateTitle
CN202110653116.5ACN113243918B (en)2021-06-112021-06-11Risk detection method and device based on multi-mode hidden information test

Publications (2)

Publication NumberPublication Date
CN113243918A CN113243918A (en)2021-08-13
CN113243918Btrue CN113243918B (en)2021-11-30

Family

ID=77187611

Family Applications (1)

Application NumberTitlePriority DateFiling Date
CN202110653116.5AActiveCN113243918B (en)2021-06-112021-06-11Risk detection method and device based on multi-mode hidden information test

Country Status (2)

CountryLink
CN (1)CN113243918B (en)
WO (1)WO2022257630A1 (en)

Families Citing this family (3)

* Cited by examiner, † Cited by third party
Publication numberPriority datePublication dateAssigneeTitle
CN113243918B (en)*2021-06-112021-11-30深圳般若计算机系统股份有限公司Risk detection method and device based on multi-mode hidden information test
CN116058841B (en)*2023-01-042023-09-19北京火神永创科技有限公司Psychological test automatic scoring method based on skin electric wave
CN117792800B (en)*2024-02-282024-05-03四川合佳科技有限公司Information verification method and system based on Internet of things security evaluation system

Family Cites Families (17)

* Cited by examiner, † Cited by third party
Publication numberPriority datePublication dateAssigneeTitle
US20140019383A1 (en)*2012-07-162014-01-16Dennis F. MahoneyMeans by which to examine and clarify responsibilities between counter parties in a fiduciary relationship
EP2973282A4 (en)*2013-03-132016-11-16Guardian Analytics Inc DETECTION AND ANALYSIS OF FRAUD
CN105991593B (en)*2015-02-152019-08-30阿里巴巴集团控股有限公司A kind of method and device identifying consumer's risk
EP3292534B1 (en)*2015-05-042025-07-23Kontigo Care ABMethod and device for estimating a risk of relapse of addictive behaviour
CN108125686B (en)*2017-07-132021-02-12广东网金控股股份有限公司Anti-fraud method and system
US11033216B2 (en)*2017-10-122021-06-15International Business Machines CorporationAugmenting questionnaires
CN108537160A (en)*2018-03-302018-09-14平安科技(深圳)有限公司Risk Identification Method, device, equipment based on micro- expression and medium
CN109302338B (en)*2018-08-312022-04-19南昌努比亚技术有限公司Intelligent risk prompting method, mobile terminal and computer readable storage medium
CN109461073A (en)*2018-12-142019-03-12深圳壹账通智能科技有限公司Risk management method, device, computer equipment and the storage medium of intelligent recognition
CN109919426A (en)*2019-01-242019-06-21平安科技(深圳)有限公司 Audit interview polygraph detection method, server and computer-readable storage medium
CN110223158B (en)*2019-05-212023-08-18平安银行股份有限公司Risk user identification method and device, storage medium and server
CN110427803A (en)*2019-06-182019-11-08平安科技(深圳)有限公司Lie detecting method, device, electronic equipment and storage medium based on video analysis
CN110507334A (en)*2019-08-212019-11-29珠海学之渔心理咨询有限公司A kind of adult's psychological assessment method
CN112704499B (en)*2019-10-252023-11-07苏州心吧人工智能技术研发有限公司Intelligent psychological assessment and intervention system and method based on independent space
CN112022172B (en)*2020-09-032023-03-28北京中科心研科技有限公司Pressure detection method and device based on multi-modal physiological data
CN112331230B (en)*2020-11-172024-07-05平安科技(深圳)有限公司Fraud identification method, fraud identification device, computer equipment and storage medium
CN113243918B (en)*2021-06-112021-11-30深圳般若计算机系统股份有限公司Risk detection method and device based on multi-mode hidden information test

Also Published As

Publication numberPublication date
CN113243918A (en)2021-08-13
WO2022257630A1 (en)2022-12-15

Similar Documents

PublicationPublication DateTitle
Song et al.Spectral representation of behaviour primitives for depression analysis
CN110457432B (en)Interview scoring method, interview scoring device, interview scoring equipment and interview scoring storage medium
CN113243918B (en)Risk detection method and device based on multi-mode hidden information test
CN112015917A (en)Data processing method and device based on knowledge graph and computer equipment
CN112669820B (en)Examination cheating recognition method and device based on voice recognition and computer equipment
Zvarevashe et al.Recognition of speech emotion using custom 2D-convolution neural network deep learning algorithm
CN114202791B (en) Facial emotion recognition model training method, emotion recognition method and related equipment
CN115862868A (en)Psychological assessment system, psychological assessment platform, electronic device and storage medium
CN113593523B (en)Speech detection method and device based on artificial intelligence and electronic equipment
CN114138960A (en)User intention identification method, device, equipment and medium
Fontes et al.Classification system of pathological voices using correntropy
CN114372201A (en) Method and system for intelligent recommendation of medical examination information, storage medium, and computing device
CN113836273A (en)Legal consultation method based on complex context and related equipment
KR20220005232A (en)Method, apparatur, computer program and computer readable recording medium for providing telemedicine service based on speech recognition
CN113409771B (en)Detection method for forged audio frequency, detection system and storage medium thereof
CN117828355A (en)Emotion quantitative model training method and emotion quantitative method based on multi-modal information
CN117725547B (en) Emotion and cognitive evolution pattern recognition method based on cross-modal feature fusion network
Rao et al.Deep learning structure for emotion prediction using MFCC from native languages
US12430414B2 (en)System and method for generating synthetic profiles for training biometric verification systems
CN115670459B (en)Information processing device, method, terminal equipment and storage medium
KR102422844B1 (en)Method of managing language risk of video content based on artificial intelligence
CN117179767A (en)Method and equipment for assisting in assessing depression based on facial frequency domain features of patient
CN117690436A (en)Intelligent outbound method, device, equipment and storage medium based on emotion recognition
CN109389493A (en)Customized test question mesh input method, system and equipment based on speech recognition
CN116486789A (en)Speech recognition model generation method, speech recognition method, device and equipment

Legal Events

DateCodeTitleDescription
PB01Publication
PB01Publication
SE01Entry into force of request for substantive examination
SE01Entry into force of request for substantive examination
GR01Patent grant
GR01Patent grant

[8]ページ先頭

©2009-2025 Movatter.jp