

技术领域technical field
本发明涉及汽车工程技术领域,具体涉及一种三轴车辆悬架系统运动模态位移和力计算方法。The invention relates to the technical field of automobile engineering, in particular to a method for calculating motion mode displacement and force of a three-axle vehicle suspension system.
背景技术Background technique
车辆在行驶过程中有七种耦合运动模式,即车身主导的垂向、俯仰和侧倾模式,以及车轮组主导的垂向、俯仰、侧倾和扭曲模式。车辆行驶时,各振动模态之间相互耦合,即汽车悬挂质量和非悬挂质量产生的耦合振动,这不仅降低了车辆行驶平顺性,还降低了驾乘者的舒适度,对于三轴车辆而言,这种情况更为严重。而对于车辆的悬架系统运动模态计算都停留在二轴车的范畴之内,如早期的MIT通过坐标变换的方法对乘用车的悬架系统进行运动模态计算。模态能量法也可用来估计车辆的运动模态,模态能量法需要对运动模态能量进行实时的测量,在进行模态能量法分析时需要知道车辆在各个状态下模态下运动的位移、速度等参数。然而我们在求解车辆各模态下的运动参数之前,首先要知道在三维坐标下车辆整体运动的参数以及模态阵型。模态能量法可以适用于二轴车辆悬架系统,但无法适用于三轴车辆的悬架系统,且计算过程相对繁琐,计算效率低。The vehicle has seven coupled motion modes during driving, namely vertical, pitch and roll modes dominated by the body, and vertical, pitch, roll and twist modes dominated by the wheel group. When the vehicle is running, the vibration modes are coupled with each other, that is, the coupled vibration generated by the suspension mass and the non-suspension mass of the vehicle, which not only reduces the ride comfort of the vehicle, but also reduces the comfort of the driver and passengers. That said, the situation is more serious. However, the motion modal calculation of the suspension system of the vehicle remains within the scope of the two-axle vehicle. For example, the early MIT used the coordinate transformation method to calculate the motion modal of the suspension system of the passenger car. The modal energy method can also be used to estimate the motion mode of the vehicle. The modal energy method needs to measure the motion modal energy in real time. When performing the modal energy method analysis, it is necessary to know the displacement of the vehicle in each state. , speed and other parameters. However, before we solve the motion parameters of the vehicle in each mode, we must first know the parameters and modal formation of the overall motion of the vehicle in three-dimensional coordinates. The modal energy method can be applied to the suspension system of the two-axle vehicle, but cannot be applied to the suspension system of the three-axle vehicle, and the calculation process is relatively cumbersome and the calculation efficiency is low.
发明内容SUMMARY OF THE INVENTION
本发明旨在提供一种适用于三轴车辆悬架系统运动模态的位移和力计算方法,在三轴车辆悬架系统的设计阶段,可以控制悬架系统垂向/俯仰、侧倾/翘曲的耦合程度,也可作为主动悬架解耦车体运动的控制策略,为三轴车辆悬架系统设计提供相应的指导。The invention aims to provide a displacement and force calculation method suitable for the motion mode of a three-axle vehicle suspension system. In the design stage of the three-axle vehicle suspension system, the vertical/pitch, roll/tilt of the suspension system can be controlled. The degree of coupling of the curve can also be used as a control strategy for the active suspension to decouple the body motion, providing corresponding guidance for the design of the three-axle vehicle suspension system.
为此,本发明所采用的技术方案为:一种三轴车辆悬架系统运动模态位移和力计算方法,包括以下步骤:To this end, the technical solution adopted in the present invention is: a method for calculating motion modal displacement and force of a three-axle vehicle suspension system, comprising the following steps:
1)获取车辆的构造数据和行车数据;1) Obtain the structural data and driving data of the vehicle;
2)根据构造数据和行车数据建立三轴车悬架安装方式及位置模型图;2) Establish a three-axle suspension installation method and position model diagram according to the structural data and driving data;
三轴车悬架安装方式及位置模型包括六个模块,分别为左前轮悬架系统、右前轮悬架系统、左中轮悬架系统、右中轮悬架系统、左后轮悬架系统、右后轮悬架系统,每个悬架系统都有属于自己的簧上质量弹簧刚度ks、簧下质量弹簧刚度kt、簧上质量阻尼Cs以及簧下质量阻尼Ct,其中:The three-axle suspension installation method and position model includes six modules, namely the left front wheel suspension system, the right front wheel suspension system, the left middle wheel suspension system, the right middle wheel suspension system, and the left rear wheel suspension system. system, right rear wheel suspension system, each suspension system has its own sprung mass spring stiffness ks , unsprung mass spring stiffness kt , sprung mass damping Cs and unsprung mass damping Ct , where :
ksfl、ktfl、Csfl、Ctfl分别是左前轮悬架系统的簧上质量弹簧刚度、簧下质量弹簧刚度、簧上质量阻尼、簧下质量阻尼;ksfr、ktfr、Csfr、Ctfr分别是右前轮悬架系统的簧上质量弹簧刚度、簧下质量弹簧刚度、簧上质量阻尼、簧下质量阻尼;ksfl , ktfl , Csfl , Ctfl are the sprung mass spring stiffness, unsprung mass spring stiffness, sprung mass damping, and unsprung mass damping of the left front wheel suspension system, respectively; ksfr , ktfr , Csfr , Ctfr are the sprung mass spring stiffness, unsprung mass spring stiffness, sprung mass damping, and unsprung mass damping of the right front wheel suspension system, respectively;
ksml、ktml、Csml、Ctml分别是左中轮悬架系统的簧上质量弹簧刚度、簧下质量弹簧刚度、簧上质量阻尼、簧下质量阻尼,ksmr、ktmr、Csmr、Ctmr分别是右中轮悬架系统的簧上质量弹簧刚度、簧下质量弹簧刚度、簧上质量阻尼、簧下质量阻尼;ksml , ktml , Csml , Ctml are the sprung mass spring stiffness, unsprung mass spring stiffness, sprung mass damping, and unsprung mass damping of the left middle wheel suspension system, respectively, ksmr , ktmr , Csmr , Ctmr are the sprung mass spring stiffness, unsprung mass spring stiffness, sprung mass damping, and unsprung mass damping of the right middle wheel suspension system, respectively;
ksrl、ktrl、Csrl、Ctrl分别是左后轮悬架系统的簧上质量弹簧刚度、簧下质量弹簧刚度、簧上质量阻尼、簧下质量阻尼,ksrr、ktrr、Csrr、Ctrr分别是右后轮悬架系统的簧上质量弹簧刚度、簧下质量弹簧刚度、簧上质量阻尼、簧下质量阻尼;ksrl , ktrl , Csrl , Ctrl are the sprung mass spring stiffness, unsprung mass spring stiffness, sprung mass damping, and unsprung mass damping of the left rear wheel suspension system, respectively, ksrr , ktrr , Csrr , Ctrr are the sprung mass spring stiffness, unsprung mass spring stiffness, sprung mass damping, and unsprung mass damping of the right rear wheel suspension system, respectively;
3)根据悬架系统同向跳动、俯仰运动、侧倾运动和翘曲运动定义,计算出三轴车辆悬架系统运动模态位移;3) Calculate the motion modal displacement of the three-axle vehicle suspension system according to the definitions of the same-direction jumping, pitching motion, roll motion and warping motion of the suspension system;
将三轴前后悬架系统,按照力和力矩平衡在质心前部或后部进行等效,形成虚拟等效前后悬架系统,原悬架系统运动特性,由虚拟悬架主运动和原前后悬架相对虚拟前后悬架的从运动共同表达,从而构建三轴车悬架系统运动模态位移计算原理图。在具体等效时,既可以是将中轴与后轴等效成虚拟后悬架,也可以是中轴与前轴等效成虚拟前悬架。Equivalent the three-axis front and rear suspension system at the front or rear of the center of mass according to the force and moment balance to form a virtual equivalent front and rear suspension system. The slave motion of the frame relative to the virtual front and rear suspensions is jointly expressed, so as to construct the motion mode displacement calculation diagram of the three-axle vehicle suspension system. In the case of specific equivalence, either the central axle and the rear axle can be equivalent to a virtual rear suspension, or the central axle and the front axle can be equivalent to a virtual front suspension.
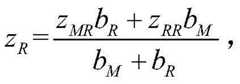
在三轴车悬架系统运动模态位移计算原理图中,lFL、lFR、lL、lR分别为质心到前轴左侧、前轴右侧、等效后轴左侧和等效后轴右侧的距离,a为质心到前轴的距离,b为质心到等效后轴的距离,bM为等效后轴到原中轴的距离,bR为等效后轴到原后轴的距离,FL、FR、ML、MR、RL、RR、L、R分别代表左前轮、右前轮、左中轮、右中轮、左后轮、右后轮、等效后轴左轮和等效后轴右轮,ZFL、ZFR、ZML、ZMR、ZRL、ZRR分别表示左前轮的悬架位移、右前轮的悬架位移、左中轮的悬架位移、右中轮的悬架位移、左后轮的悬架位移、右后轮的悬架位移,ZL、ZR分别表示等效后轴左轮的悬架位移和等效后轴后轮的悬架位移;In the motion mode displacement calculation diagram of the three-axle suspension system, lFL , lFR , lL , and lR are the center of mass to the left side of the front axle, the right side of the front axle, the left side of the equivalent rear axle and the equivalent The distance from the right side of the rear axle, a is the distance from the center of mass to the front axle, b is the distance from the center of mass to the equivalent rear axle, bM is the distance from the equivalent rear axle to the original central axle, and bR is the distance from the equivalent rear axle to the original The distance of the rear axle, FL, FR, ML, MR, RL, RR, L, R represent the left front wheel, the right front wheel, the left middle wheel, the right middle wheel, the left rear wheel, the right rear wheel, and the equivalent rear axle respectively Left wheel and equivalent rear axle right wheel, ZFL , ZFR , ZML , ZMR , ZRL , ZRR represent the suspension displacement of the left front wheel, the suspension displacement of the right front wheel, and the suspension of the left middle wheel, respectively Displacement, suspension displacement of the right middle wheel, suspension displacement of the left rear wheel, suspension displacement of the right rear wheel, ZL and ZR respectively represent the suspension displacement of the left wheel of the equivalent rear axle and the displacement of the rear wheel of the equivalent rear axle. suspension displacement;
由悬架位移可以得到车辆前轴位移和等效后轴的位移然后可分别计算相应的位移;The displacement of the front axle of the vehicle can be obtained from the displacement of the suspension and the displacement of the equivalent rear axle The corresponding displacements can then be calculated separately;
质心处垂向位移:Vertical displacement at the centroid:
俯仰角位移:Pitch displacement:
侧倾角位移:Roll angle displacement:
扭曲角位移:Twist angular displacement:
左后俯仰角位移:Left rear pitch angle displacement:
右后俯仰角位移:Right rear pitch angle displacement:
4)根据三轴车悬架安装方式及位置模型的平衡力以及步骤3)中的主从模态位移建立模态方程;4) Establish a modal equation according to the three-axle vehicle suspension installation method and the balance force of the position model and the master-slave modal displacement in step 3);
将后两轴做等效处理,可以得到各方向上的力和力矩平衡方程:By doing the equivalent processing of the latter two axes, the force and moment balance equations in all directions can be obtained:
垂向:Vertical:
俯仰:Pitch:
FP=(FFL+FFR)a-(FL+FR)b=(FFL+FFR)a-(FML+FMR+FRL+FRR)bFP =(FFL +FFR )a-(FL +FR )b=(FFL +FFR )a-(FML +FMR +FRL +FRR )b
侧倾:Roll:
FR=(FFLlFL+FLlL)-(FFRlFR+FRlR)=FFLlFL+(FML+FRL)lL-FFRlFR-(FMR+FRR)lRFR =(FFL lFL +FL lL )-(FFR lFR +FR lR )=FFL lFL +(FML +FRL )lL -FFR lFR -(FMR +FRR )lR
扭曲:distortion:
FW=(FFLlFL-FFRlFR)a-(FLlL-FRlR)b=(FFLlFL-FFRlFR)a-[(FML+FRL)lL-(FMR+FRR)lR]bFW =(FFL lFL -FFR lFR )a-(FL lL -FR lR )b =(FFL lFL -FFR lFR )a-[(FML +FRL ) lL -(FMR +FRR )lR ]b
由于后面两轴的连接关系需要添加以下约束:Due to the connection between the latter two axes, the following constraints need to be added:
FPL=FMLbM-FRLbRFPL =FML bM -FRL bR
FPR=FMRbM-FRRbRFPR =FMR bM -FRR bR
其中FFL、FFR、FML、FMR、FRL、FRR分别为车辆前轴左侧、前轴右侧、中轴左侧、中轴右侧、后轴左侧和后轴右侧的悬架力,a为质心到前轴的距离,b为质心到等效后轴的距离,lFL、lFR、lL、lR分别为质心到前轴左侧、前轴右侧、等效后轴左侧和等效后轴右侧的距离,FB、FP、FR、FW分别为垂向、俯仰、侧倾和扭曲方向的等效合力;Among them, FFL , FFR , FML , FMR , FRL , and FRR are the left side of the front axle, the right side of the front axle, the left side of the center axle, the right side of the center axle, the left side of the rear axle and the right side of the rear axle, respectively the suspension force, a is the distance from the center of mass to the front axle, b is the distance from the center of mass to the equivalent rear axle, lFL , lFR , lL , and lR are the center of mass to the left side of the front axle, the right side of the front axle, The distance between the left side of the equivalent rear axle and the right side of the equivalent rear axle, FB , FP , FR , and FW are the equivalent resultant forces in the vertical, pitch, roll and twist directions, respectively;
根据力平衡方程可以将模态轮胎力表示为:According to the force balance equation, the modal tire force can be expressed as:
其中Ffl、Ffr、Fml、Fmr、Frl、Frr分别为车辆前轴左侧、前轴右侧、中轴左侧、中轴右侧、后轴左侧和后轴右侧的轮胎力,lf、lm、lr分别为前中后轴长度的二分之一,af、bm、br分别为质心到前中后轴的距离;Wherein Ffl , Ffr , Fml , Fmr , Frl , Frr are the left side of the front axle, the right side of the front axle, the left side of the center axle, the right side of the center axle, the left side of the rear axle and the right side of the rear axle, respectively The tire force, lf , lm , and lr are respectively one-half of the length of the front, middle and rear axles, and af , bm , andbr are the distances from the center of mass to the front, middle and rear axles respectively;
进一步将轮胎力表达具体化:To further concretize the tire force expression:
其中ktfl、ktfr、ktml、ktmr、ktrl、ktrr分别为前轮左侧悬架、前轮右侧悬架、中轮左侧悬架、中轮右侧悬架、后轮左侧悬架和后轮右侧悬架的弹簧刚度,同样zfl、zfr、zml、zmr、zrl、zrr分别为各个轮上的悬架位移,wfl、wfr、wml、wmr、wrl、wrr分别为各个轮的道路干扰位移输入,z为质心处的垂向位移,为侧倾角,θ为俯仰角,θtl和θtr分别为左右平衡悬架的俯仰角;where ktfl , ktfr , ktml , ktmr , ktrl , ktrr are the left suspension of the front wheel, the right suspension of the front wheel, the left suspension of the middle wheel, the right suspension of the middle wheel, and the rear wheel, respectively The spring stiffness of the left suspension and the right suspension of the rear wheel, also zfl , zfr , zml , zmr , zrl , and zrr are the suspension displacements on each wheel, wfl , wfr , wml , wmr , wrl , and wrr are the road disturbance displacement inputs of each wheel respectively, z is the vertical displacement at the center of mass, is the roll angle, θ is the pitch angle, θtl and θtr are the pitch angles of the left and right balance suspensions respectively;
由此可得模态方程:This leads to the modal equation:
作为上述方案的优选,在步骤1)中的,车辆的构造数据由生产厂家提供,在车辆的行驶过程中对汽车进行时时监控,以此来获得车辆的行车数据。As a preference of the above solution, in step 1), the structural data of the vehicle is provided by the manufacturer, and the vehicle is constantly monitored during the driving process of the vehicle to obtain the driving data of the vehicle.
本发明的有益效果:Beneficial effects of the present invention:
1、以往对于车辆的悬架系统运动模态估计都是在二轴的基础上,本发明通过三轴前后悬架系统,按照力和力矩平衡在质心前后部进行等效,从而将三轴车辆悬架系统等效成虚拟的二轴悬架系统的建模方法,建立整车耦合运动模型;再根据悬架系统的运动特性以及连接点的位移计算出主从模态位移和主从模态力。这种计算方法,可在悬架系统设计阶段控制悬架系统垂向/俯仰、侧倾/翘曲的耦合程度,也可作为主动悬架解耦车体运动的控制策略,为三轴车辆悬架系统设计提供相应的指导。1. In the past, the motion mode estimation of the suspension system of the vehicle was based on the two-axle. The present invention uses the three-axle front and rear suspension system to perform equivalence at the front and rear parts of the center of mass according to the force and moment balance, so that the three-axle vehicle is equivalent. The suspension system is equivalent to the modeling method of a virtual two-axle suspension system, and the coupled motion model of the whole vehicle is established; then the master-slave modal displacement and the master-slave modal displacement are calculated according to the kinematic characteristics of the suspension system and the displacement of the connection point. force. This calculation method can control the coupling degree of vertical/pitch, roll/warp of the suspension system in the design stage of the suspension system, and can also be used as a control strategy for the active suspension to decouple the body motion. Shelf system design provides corresponding guidance.
2、本发明相对于常用的模态能量法而言,计算效率更高。模态能量法需要对运动模态能量进行实时的测量,在进行模态能量法分析时需要知道车辆在各个状态下模态下运动的位移、速度等参数,而本发明可以直接通过位移计算就能获得模态位移和模态力。2. Compared with the commonly used modal energy method, the present invention has higher calculation efficiency. The modal energy method needs to measure the motion modal energy in real time. When analyzing the modal energy method, it is necessary to know the displacement, speed and other parameters of the modal movement of the vehicle in each state, and the present invention can directly calculate the displacement. Modal displacements and modal forces can be obtained.
附图说明Description of drawings
图1为三轴车悬架安装方式及位置模型图。Figure 1 is a model diagram of the installation method and position of the three-axle vehicle suspension.
图2为三轴车悬架系统运动模态位移计算原理图。Figure 2 is a schematic diagram of the motion modal displacement calculation of the suspension system of the three-axle vehicle.
具体实施方式Detailed ways
下面通过实施例并结合附图,对本发明作进一步说明:Below by embodiment and in conjunction with accompanying drawing, the present invention is further described:
一种三轴车辆悬架系统运动模态位移和力计算方法,包括以下步骤:A method for calculating motion mode displacement and force of a three-axis vehicle suspension system, comprising the following steps:
1)获取车辆的构造数据和行车数据。1) Obtain the construction data and driving data of the vehicle.
在步骤1)中的,车辆的构造数据可以由生产厂家提供;在车辆的行驶过程中对汽车进行时时监控,以此来获得车辆的行车数据;但不限于此。In step 1), the structural data of the vehicle can be provided by the manufacturer; the vehicle is constantly monitored during the driving process of the vehicle to obtain the driving data of the vehicle; but not limited to this.
2)根据构造数据和行车数据建立三轴车悬架安装方式及位置模型图。2) According to the structural data and driving data, the three-axle suspension installation method and position model diagram are established.
如图1所示,三轴车悬架安装方式及位置模型图包括六个模块,分别为左前轮悬架系统、右前轮悬架系统、左中轮悬架系统、右中轮悬架系统、左后轮悬架系统、右后轮悬架系统,每个悬架系统都有属于自己的簧上质量弹簧刚度ks、簧下质量弹簧刚度kt、簧上质量阻尼Cs以及簧下质量阻尼Ct,其中:As shown in Figure 1, the three-axle suspension installation method and position model diagram includes six modules, namely the left front wheel suspension system, the right front wheel suspension system, the left middle wheel suspension system, and the right middle wheel suspension system. system, left rear wheel suspension system, right rear wheel suspension system, each suspension system has its own sprung mass spring stiffness ks , unsprung mass spring stiffness kt , sprung mass damping Cs and spring mass lower mass damping Ct , where:
ksfl、ktfl、Csfl、Ctfl分别是左前轮悬架系统的簧上质量弹簧刚度、簧下质量弹簧刚度、簧上质量阻尼、簧下质量阻尼;ksfr、ktfr、Csfr、Ctfr分别是右前轮悬架系统的簧上质量弹簧刚度、簧下质量弹簧刚度、簧上质量阻尼、簧下质量阻尼;ksfl , ktfl , Csfl , Ctfl are the sprung mass spring stiffness, unsprung mass spring stiffness, sprung mass damping, and unsprung mass damping of the left front wheel suspension system, respectively; ksfr , ktfr , Csfr , Ctfr are the sprung mass spring stiffness, unsprung mass spring stiffness, sprung mass damping, and unsprung mass damping of the right front wheel suspension system, respectively;
ksml、ktml、Csml、Ctml分别是左中轮悬架系统的簧上质量弹簧刚度、簧下质量弹簧刚度、簧上质量阻尼、簧下质量阻尼,ksmr、ktmr、Csmr、Ctmr分别是右中轮悬架系统的簧上质量弹簧刚度、簧下质量弹簧刚度、簧上质量阻尼、簧下质量阻尼;ksml , ktml , Csml , Ctml are the sprung mass spring stiffness, unsprung mass spring stiffness, sprung mass damping, and unsprung mass damping of the left middle wheel suspension system, respectively, ksmr , ktmr , Csmr , Ctmr are the sprung mass spring stiffness, unsprung mass spring stiffness, sprung mass damping, and unsprung mass damping of the right middle wheel suspension system, respectively;
ksrl、ktrl、Csrl、Ctrl分别是左后轮悬架系统的簧上质量弹簧刚度、簧下质量弹簧刚度、簧上质量阻尼、簧下质量阻尼,ksrr、ktrr、Csrr、Ctrr分别是右后轮悬架系统的簧上质量弹簧刚度、簧下质量弹簧刚度、簧上质量阻尼、簧下质量阻尼。ksrl , ktrl , Csrl , Ctrl are the sprung mass spring stiffness, unsprung mass spring stiffness, sprung mass damping, and unsprung mass damping of the left rear wheel suspension system, respectively, ksrr , ktrr , Csrr , Ctrr are the sprung mass spring stiffness, unsprung mass spring stiffness, sprung mass damping, and unsprung mass damping of the right rear wheel suspension system, respectively.
3)根据悬架系统同向跳动、俯仰运动、侧倾运动和翘曲运动定义,计算出三轴车辆悬架系统运动模态位移。3) According to the definition of the same-direction jumping, pitching motion, rolling motion and warping motion of the suspension system, the motion modal displacement of the three-axis vehicle suspension system is calculated.
将三轴前后悬架系统,按照力和力矩平衡在质心前部或后部进行等效,形成虚拟等效前后悬架系统,原悬架系统运动特性,由虚拟悬架主运动和原前后悬架相对虚拟前后悬架的从运动共同表达,从而构建三轴车悬架系统运动模态位移计算原理图。在具体等效时,既可以是将中轴与后轴等效成虚拟后悬架,也可以是中轴与前轴等效成虚拟前悬架。Equivalent the three-axis front and rear suspension system at the front or rear of the center of mass according to the force and moment balance to form a virtual equivalent front and rear suspension system. The slave motion of the frame relative to the virtual front and rear suspensions is jointly expressed, so as to construct the motion mode displacement calculation diagram of the three-axle vehicle suspension system. In the case of specific equivalence, either the central axle and the rear axle can be equivalent to a virtual rear suspension, or the central axle and the front axle can be equivalent to a virtual front suspension.
如图2所示,在三轴车悬架系统运动模态位移计算原理图中,lFL、lFR、lL、lR分别为质心到前轴左侧、前轴右侧、等效后轴左侧和等效后轴右侧的距离,a为质心到前轴的距离,b为质心到等效后轴的距离,bM为等效后轴到原中轴的距离,bR为等效后轴到原后轴的距离,FL、FR、ML、MR、RL、RR、L、R分别代表左前轮、右前轮、左中轮、右中轮、左后轮、右后轮、等效后轴左轮和等效后轴右轮,ZFL、ZFR、ZML、ZMR、ZRL、ZRR分别表示左前轮的悬架位移、右前轮的悬架位移、左中轮的悬架位移、右中轮的悬架位移、左后轮的悬架位移、右后轮的悬架位移,ZL、ZR分别表示等效后轴左轮的悬架位移和等效后轴后轮的悬架位移。As shown in Figure 2, in the motion modal displacement calculation diagram of the three-axle suspension system, lFL , lFR , lL , and lR are the center of mass to the left side of the front axle, the right side of the front axle, and the equivalent rear The distance between the left side of the axle and the right side of the equivalent rear axle, a is the distance from the center of mass to the front axle, b is the distance from the center of mass to the equivalent rear axle, bM is the distance from the equivalent rear axle to the original central axle, and bR is the The distance from the equivalent rear axle to the original rear axle, FL, FR, ML, MR, RL, RR, L, and R stand for left front wheel, right front wheel, left middle wheel, right middle wheel, left rear wheel, right rear respectively wheel, equivalent rear axle left wheel and equivalent rear axle right wheel, ZFL , ZFR , ZML , ZMR , ZRL , ZRR represent the suspension displacement of the left front wheel, the suspension displacement of the right front wheel, The suspension displacement of the left middle wheel, the suspension displacement of the right middle wheel, the suspension displacement of the left rear wheel, the suspension displacement of the right rear wheel, ZL and ZR respectively represent the suspension displacement of the left wheel of the equivalent rear axle and etc. The suspension displacement of the rear wheel of the effective rear axle.
由悬架位移可以得到车辆前轴位移和等效后轴的位移然后可分别计算相应的位移;The displacement of the front axle of the vehicle can be obtained from the displacement of the suspension and the displacement of the equivalent rear axle The corresponding displacements can then be calculated separately;
质心处垂向位移:Vertical displacement at the centroid:
俯仰角位移:Pitch displacement:
侧倾角位移:Roll angle displacement:
扭曲角位移:Twist angular displacement:
左后俯仰角位移:Left rear pitch angle displacement:
右后俯仰角位移:Right rear pitch angle displacement:
4)根据三轴车悬架安装方式及位置模型的平衡力以及步骤3)中的主从模态位移建立模态方程。4) Establish a modal equation according to the three-axle suspension installation method and the balance force of the position model and the master-slave modal displacement in step 3).
将后两轴做等效处理,可以得到各方向上的力和力矩平衡方程:By doing the equivalent processing of the latter two axes, the force and moment balance equations in all directions can be obtained:
垂向:Vertical:
俯仰:Pitch:
FP=(FFL+FFR)a-(FL+FR)b=(FFL+FFR)a-(FML+FMR+FRL+FRR)bFP =(FFL +FFR )a-(FL +FR )b=(FFL +FFR )a-(FML +FMR +FRL +FRR )b
侧倾:Roll:
FR=(FFLlFL+FLlL)-(FFRlFR+FRlR)=FFLlFL+(FML+FRL)lL-FFRlFR-(FMR+FRR)lRFR =(FFL lFL +FL lL )-(FFR lFR +FR lR )=FFL lFL +(FML +FRL )lL -FFR lFR -(FMR +FRR )lR
扭曲:distortion:
FW=(FFLlFL-FFRlFR)a-(FLlL-FRlR)b=(FFLlFL-FFRlFR)a-[(FML+FRL)lL-(FMR+FRR)lR]bFW =(FFL lFL -FFR lFR )a-(FL lL -FR lR )b =(FFL lFL -FFR lFR )a-[(FML +FRL ) lL -(FMR +FRR )lR ]b
由于后面两轴的连接关系需要添加以下约束:Due to the connection between the latter two axes, the following constraints need to be added:
FPL=FMLbM-FRLbRFPL =FML bM -FRL bR
FPR=FMRbM-FRRbRFPR =FMR bM -FRR bR
其中FFL、FFR、FML、FMR、FRL、FRR分别为车辆前轴左侧、前轴右侧、中轴左侧、中轴右侧、后轴左侧和后轴右侧的悬架力,a为质心到前轴的距离,b为质心到等效后轴的距离,lFL、lFR、lL、lR分别为质心到前轴左侧、前轴右侧、等效后轴左侧和等效后轴右侧的距离,FB、FP、FR、FW分别为垂向、俯仰、侧倾和扭曲方向的等效合力。Among them, FFL , FFR , FML , FMR , FRL , and FRR are the left side of the front axle, the right side of the front axle, the left side of the center axle, the right side of the center axle, the left side of the rear axle and the right side of the rear axle, respectively the suspension force, a is the distance from the center of mass to the front axle, b is the distance from the center of mass to the equivalent rear axle, lFL , lFR , lL , and lR are the center of mass to the left side of the front axle, the right side of the front axle, The distance between the left side of the equivalent rear axle and the right side of the equivalent rear axle, FB , FP , FR , and FW are the equivalent resultant forces in the vertical, pitch, roll, and twist directions, respectively.
根据力平衡方程可以将模态轮胎力表示为:According to the force balance equation, the modal tire force can be expressed as:
其中Ffl、Ffr、Fml、Fmr、Frl、Frr分别为车辆前轴左侧、前轴右侧、中轴左侧、中轴右侧、后轴左侧和后轴右侧的轮胎力,lf、lm、lr分别为前中后轴长度的二分之一,af、bm、br分别为质心到前中后轴的距离;Wherein Ffl , Ffr , Fml , Fmr , Frl , Frr are the left side of the front axle, the right side of the front axle, the left side of the center axle, the right side of the center axle, the left side of the rear axle and the right side of the rear axle, respectively The tire force, lf , lm , and lr are respectively one-half of the length of the front, middle and rear axles, and af , bm , andbr are the distances from the center of mass to the front, middle and rear axles respectively;
进一步将轮胎力表达具体化:To further concretize the tire force expression:
其中ktfl、ktfr、ktml、ktmr、ktrl、ktrr分别为前轮左侧悬架、前轮右侧悬架、中轮左侧悬架、中轮右侧悬架、后轮左侧悬架和后轮右侧悬架的弹簧刚度,同样zfl、zfr、zml、zmr、zrl、zrr分别为各个轮上的悬架位移,wfl、wfr、wml、wmr、wrl、wrr分别为各个轮的道路干扰位移输入,z为质心处的垂向位移,为侧倾角,θ为俯仰角,θtl和θtr分别为左右平衡悬架的俯仰角;where ktfl , ktfr , ktml , ktmr , ktrl , ktrr are the left suspension of the front wheel, the right suspension of the front wheel, the left suspension of the middle wheel, the right suspension of the middle wheel, and the rear wheel, respectively The spring stiffness of the left suspension and the right suspension of the rear wheel, also zfl , zfr , zml , zmr , zrl , and zrr are the suspension displacements on each wheel, wfl , wfr , wml , wmr , wrl , and wrr are the road disturbance displacement inputs of each wheel respectively, z is the vertical displacement at the center of mass, is the roll angle, θ is the pitch angle, θtl and θtr are the pitch angles of the left and right balance suspensions respectively;
由此可得模态方程:This leads to the modal equation:
本发明的方法思路为:首先,将三轴前后悬架系统,按照力和力矩平衡在质心前后部进行等效,形成虚拟等效前后悬架系统;原悬架系统运动特性,由虚拟悬架主运动和原前后悬架相对虚拟前后悬架的从运动共同表达。其次,根据悬架系统同向跳动、俯仰运动、侧倾运动和翘曲运动定义,结合原悬架上下连接点位移,计算虚拟悬架系统的主运动模态位移,以及原前后悬架相对虚拟前后悬架的从运动模态位移,由此获得连接点位移向主从模态运动表达的模态位移变换矩阵。最后,根据系统能量守恒定理,由模态位移变换矩阵获得模态力变换矩阵,并由此计算出悬架系统的主从模态力。The method idea of the present invention is as follows: first, the three-axle front and rear suspension systems are equivalent at the front and rear parts of the center of mass according to the force and moment balance to form a virtual equivalent front and rear suspension system; the kinematic characteristics of the original suspension system are determined by the virtual suspension system. The master motion and the slave motion of the original front and rear suspension relative to the virtual front and rear suspension are expressed together. Secondly, according to the definition of the same-direction jumping, pitching motion, rolling motion and warping motion of the suspension system, combined with the displacement of the upper and lower connection points of the original suspension, the main motion modal displacement of the virtual suspension system, and the relative virtual displacement of the original front and rear suspensions are calculated. The slave motion modal displacement of the front and rear suspensions, thereby obtaining the modal displacement transformation matrix expressed by the connection point displacement to the master-slave modal motion. Finally, according to the principle of system energy conservation, the modal force transformation matrix is obtained from the modal displacement transformation matrix, and the master-slave modal force of the suspension system is calculated from this.
| Application Number | Priority Date | Filing Date | Title |
|---|---|---|---|
| CN202110713521.1ACN113239471B (en) | 2021-06-25 | 2021-06-25 | Calculation method of motion modal displacement and force of three-axle vehicle suspension system |
| Application Number | Priority Date | Filing Date | Title |
|---|---|---|---|
| CN202110713521.1ACN113239471B (en) | 2021-06-25 | 2021-06-25 | Calculation method of motion modal displacement and force of three-axle vehicle suspension system |
| Publication Number | Publication Date |
|---|---|
| CN113239471A CN113239471A (en) | 2021-08-10 |
| CN113239471Btrue CN113239471B (en) | 2022-04-15 |
| Application Number | Title | Priority Date | Filing Date |
|---|---|---|---|
| CN202110713521.1AActiveCN113239471B (en) | 2021-06-25 | 2021-06-25 | Calculation method of motion modal displacement and force of three-axle vehicle suspension system |
| Country | Link |
|---|---|
| CN (1) | CN113239471B (en) |
| Publication number | Priority date | Publication date | Assignee | Title |
|---|---|---|---|---|
| CN109591537A (en)* | 2019-01-25 | 2019-04-09 | 成都西汽研车辆技术开发有限公司 | A kind of automotive semi-active suspension control system and method |
| CN109858156A (en)* | 2019-01-31 | 2019-06-07 | 东南大学 | Vehicle and structural information recognition methods simultaneously based on vehicle bridge coupling vibration |
| CN110712491A (en)* | 2019-10-16 | 2020-01-21 | 湖南大学 | A layered control method, system and medium for vehicle modal decoupling |
| CN111832119A (en)* | 2020-06-23 | 2020-10-27 | 恒大新能源汽车投资控股集团有限公司 | Optimization method and device for vehicle suspension system |
| CN112744227A (en)* | 2021-01-21 | 2021-05-04 | 清华大学 | Multi-mode land-air amphibious vehicle take-off and landing control method and device and computer storage medium |
| Publication number | Priority date | Publication date | Assignee | Title |
|---|---|---|---|---|
| FR2890904B1 (en)* | 2005-09-22 | 2007-12-14 | Peugeot Citroen Automobiles Sa | SUSPENSION CONTROL DEVICE, VEHICLE PROVIDED WITH SAME, METHOD OF OBTAINING AND PROGRAM |
| US20170240017A1 (en)* | 2016-02-24 | 2017-08-24 | Tenneco Automotive Operating Company Inc. | System and method for controlling dampers of an active suspension system |
| Publication number | Priority date | Publication date | Assignee | Title |
|---|---|---|---|---|
| CN109591537A (en)* | 2019-01-25 | 2019-04-09 | 成都西汽研车辆技术开发有限公司 | A kind of automotive semi-active suspension control system and method |
| CN109858156A (en)* | 2019-01-31 | 2019-06-07 | 东南大学 | Vehicle and structural information recognition methods simultaneously based on vehicle bridge coupling vibration |
| CN110712491A (en)* | 2019-10-16 | 2020-01-21 | 湖南大学 | A layered control method, system and medium for vehicle modal decoupling |
| CN111832119A (en)* | 2020-06-23 | 2020-10-27 | 恒大新能源汽车投资控股集团有限公司 | Optimization method and device for vehicle suspension system |
| CN112744227A (en)* | 2021-01-21 | 2021-05-04 | 清华大学 | Multi-mode land-air amphibious vehicle take-off and landing control method and device and computer storage medium |
| Title |
|---|
| 装有动力调节悬架系统车辆的频域建模与仿真;张邦基等;《湖南大学学报(自然科学版)》;20161025(第10期);第8-15页* |
| Publication number | Publication date |
|---|---|
| CN113239471A (en) | 2021-08-10 |
| Publication | Publication Date | Title |
|---|---|---|
| CN110175428B (en) | Vehicle dynamic model-based vehicle motion characteristic simulation method and system | |
| CN111055837B (en) | A heuristic algorithm-based vehicle lateral stability control method | |
| CN107512262A (en) | A kind of vehicle stability control system tire force distribution method for performing during driving limited space | |
| CN110962626B (en) | Self-adaptive electronic differential control method for multi-shaft hub motor driven vehicle | |
| CN112009577B (en) | A control method for semi-active suspension of heavy truck cab | |
| IT202100015182A1 (en) | METHOD OF CONTROLLING THE ACTIVE SHOCK ABSORBERS OF A ROAD VEHICLE INVOLVING ADJUSTMENT OF THE ROLL ANGLE AND THE PITCH ANGLE | |
| IT202100015170A1 (en) | METHOD OF CHECKING THE ACTIVE SHOCK ABSORBERS OF A ROAD VEHICLE INVOLVING THE LOWERING OF THE CENTER OF GRAVITY | |
| Anbazhagan et al. | Mathematical modeling and simulation of modern cars in the role of stability analysis | |
| CN107662468B (en) | Vehicle roll motion safety H for active suspension2/H∞Controller design method | |
| CN111796522B (en) | Vehicle state estimation method | |
| CN113378408B (en) | Optimal control method for whole vehicle coupling of electric control suspension | |
| CN113449378A (en) | Transverse load transfer rate calculation method based on vehicle suspension deformation | |
| CN114953886A (en) | Manned lunar vehicle suspension state calculation method and system | |
| CN116756935A (en) | Braking performance control analysis method based on multi-axis heavy vehicle joint simulation model | |
| CN116278574B (en) | Vehicle state and road surface unevenness estimation method | |
| CN113935107B (en) | Vehicle model modeling method suitable for ice and snow road surface | |
| CN113239471B (en) | Calculation method of motion modal displacement and force of three-axle vehicle suspension system | |
| CN118358310B (en) | Heavy-duty vehicle composite attitude control method with electrohydraulic actuator active suspension | |
| CN108398949A (en) | A kind of soft surface intelligent agricultural machinery automatic Pilot method | |
| CN112784355A (en) | Fourteen-degree-of-freedom vehicle dynamics model modeling method based on multi-body dynamics | |
| CN114312199B (en) | Vehicle roll state determination method, device, equipment and medium | |
| CN112987574A (en) | Cloud control intelligent chassis system based on multiple intelligent agents and control method | |
| CN114781071B (en) | A modeling method for a fully floating cab of a commercial vehicle | |
| Minaker et al. | Design and analysis of an interconnected suspension for a small off-road vehicle | |
| CN114925447B (en) | Method for establishing dynamic model of multi-body system of two-axis electric drive vehicle |
| Date | Code | Title | Description |
|---|---|---|---|
| PB01 | Publication | ||
| PB01 | Publication | ||
| SE01 | Entry into force of request for substantive examination | ||
| SE01 | Entry into force of request for substantive examination | ||
| GR01 | Patent grant | ||
| GR01 | Patent grant |