


技术领域technical field
本发明涉及稀土萃取设备故障诊断领域,具体包括一种基于SSA-SVM的稀土萃取搅拌轴故障诊断方法及系统。The invention relates to the field of fault diagnosis of rare earth extraction equipment, and specifically includes a method and system for fault diagnosis of rare earth extraction stirring shaft based on SSA-SVM.
背景技术Background technique
稀土行业的发展,受到工业设备发展的极大限制,工业生产设备的发展程度,显示了我国工业发展整体上并不先进,这也是稀土行业发展的关键。对于矿产资源开发生产企业来说,粉体材料行业的萃取生产过程自动化程度仍然比较落后,大量工作依靠人工操作来完成,离线分析,组分检测,手动控制,生产效率较低。在稀土生产工艺过程中,关键工艺就是萃取剂与被萃取元素的溶解充分与否,不充分溶解的结果就是造成质量事故,浪费资源。造成不完全溶解的因素有很多,比如传动带的打滑;搅拌电机的不正常运转,甚至停止生产。当传动带发生打滑,以及搅拌电机进行二次提取,影响生产效率,严重的会导致停工。因此,对生产过程有效的故障监测是生产质量、安全生产的保障。The development of the rare earth industry is greatly restricted by the development of industrial equipment. The degree of development of industrial production equipment shows that my country's industrial development is not advanced as a whole, which is also the key to the development of the rare earth industry. For mineral resource development and production enterprises, the degree of automation of the extraction production process in the powder material industry is still relatively backward, and a lot of work is done by manual operations, offline analysis, component detection, manual control, and low production efficiency. In the rare earth production process, the key process is whether the dissolution of the extractant and the extracted element is sufficient or not. The result of insufficient dissolution is to cause quality accidents and waste of resources. There are many factors that cause incomplete dissolution, such as the slippage of the transmission belt; the abnormal operation of the stirring motor, or even stop the production. When the transmission belt slips and the stirring motor performs secondary extraction, the production efficiency will be affected, and it will cause a serious shutdown. Therefore, effective fault monitoring in the production process is the guarantee of production quality and safe production.
SVM是有监督学习方法,对均衡数据的检测效果最为理想。目前,稀土故障检测最常用的方法是神经网络方法,但是神经网络方法容易出现维数灾难、局部极值等问题,检测效果往往不是很理想。相对于神经网络方法,SVM能够较好地解决维数灾难、小样本学习、非线性和局部极值等问题,特别是SVM在小样本学习方面展现的良好的泛化性能,使得SVM在故障检测领域中具有广泛的应用。但是SVM的核函数与惩罚参数的选取对诊断结果有很大影响,且存在模型参数选择的随机性和盲目性。SVM is a supervised learning method, which is ideal for detecting balanced data. At present, the most commonly used method for rare earth fault detection is the neural network method, but the neural network method is prone to problems such as dimension disaster and local extreme values, and the detection effect is often not very satisfactory. Compared with the neural network method, SVM can better solve the problems of dimensionality disaster, small sample learning, nonlinearity and local extremum, especially the good generalization performance of SVM in small sample learning, which makes SVM useful in fault detection. It has a wide range of applications in the field. However, the selection of kernel function and penalty parameters of SVM has a great influence on the diagnosis results, and there is randomness and blindness in the selection of model parameters.
发明内容SUMMARY OF THE INVENTION
针对现有技术中达不到稀土萃取搅拌轴故障诊断的技术局限性,本发明提供了一种基于SSA-SVM的稀土萃取搅拌轴故障诊断方法及系统。In view of the technical limitation that the fault diagnosis of the rare earth extraction stirring shaft cannot be achieved in the prior art, the present invention provides a rare earth extraction stirring shaft fault diagnosis method and system based on SSA-SVM.
本发明提供的技术方案是:The technical scheme provided by the present invention is:
一种基于SSA-SVM的稀土萃取搅拌轴故障诊断方法,所述故障诊断方法,包括:A method for fault diagnosis of a stirring shaft for rare earth extraction based on SSA-SVM, the method for fault diagnosis includes:
获取搅拌轴末端加速度信号,通过奇异值分解并进行归一化处理,得到优化加速度信号;Acquire the acceleration signal of the end of the stirring shaft, and obtain the optimized acceleration signal through singular value decomposition and normalization;
基于所述优化加速度信号设置初始SSA模型的上下限阈值,得到更新SSA模型;通过所述更新SSA模型对初始SVM模型中的核函数和惩罚参数进行优化,得到核函数最优值和惩罚参数最优值;The upper and lower thresholds of the initial SSA model are set based on the optimized acceleration signal, and the updated SSA model is obtained; the kernel function and the penalty parameter in the initial SVM model are optimized by the updated SSA model, and the optimal value of the kernel function and the maximum penalty parameter are obtained. figure of merit;
基于所述优化核函数和所述优化惩罚参数,构建更新SVM模型,并基于所述优化加速度信号,得到故障类型。Based on the optimized kernel function and the optimized penalty parameter, an updated SVM model is constructed, and based on the optimized acceleration signal, a fault type is obtained.
优选的,所述通过所述更新SSA模型对初始SVM模型中的核函数和惩罚参数进行优化,得到核函数最优值和惩罚参数最优值,包括:Preferably, the kernel function and the penalty parameter in the initial SVM model are optimized by the updated SSA model to obtain the optimal value of the kernel function and the optimal value of the penalty parameter, including:
基于初始SVM模型中的核函数范围和惩罚参数范围,构建实数向量;Based on the kernel function range and penalty parameter range in the initial SVM model, construct a real vector;
将所述实数向量带入所述更新SSA模型,得到核函数最优值和惩罚参数最优值。The real number vector is brought into the updated SSA model to obtain the optimal value of the kernel function and the optimal value of the penalty parameter.
优选的,所述将所述实数向量带入所述更新SSA模型,得到核函数最优值和惩罚参数最优值,包括:Preferably, the real number vector is brought into the updated SSA model to obtain the optimal value of the kernel function and the optimal value of the penalty parameter, including:
将所述实数向量带入到目标函数,得到适应值;Bring the real number vector into the objective function to obtain the fitness value;
将所述适应值与所述更新SSA模型的上下限阈值内进行对比,得到核函数最优值和惩罚参数最优值;Comparing the fitness value with the upper and lower thresholds of the updated SSA model to obtain the optimal value of the kernel function and the optimal value of the penalty parameter;
所述适应值为包括设定数量元素的单列矩阵。The fitness value is a single-column matrix comprising a set number of elements.
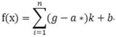
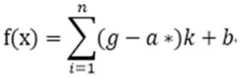
优选的,所述目标函数如下式所示:Preferably, the objective function is shown in the following formula:
其中:g为所述惩罚参数范围,k为所述核函数范围,b为常数,a*为拉格朗日乘子。Where: g is the range of the penalty parameter, k is the range of the kernel function, b is a constant, and a* is the Lagrange multiplier.
优选的,所述将所述适应值与所述更新SSA模型的上下限阈值内进行对比,得到核函数最优值和惩罚参数最优值,包括:Preferably, the adaptive value is compared with the upper and lower thresholds of the updated SSA model to obtain the optimal value of the kernel function and the optimal value of the penalty parameter, including:
判断所述适应值是否在所述更新SSA模型的上下限阈值范围,若所述适应值在所述更新SSA模型的上下限阈值范围,则得到所述核函数最优值和所述惩罚参数最优值;Judging whether the fitness value is within the upper and lower thresholds of the updated SSA model, if the fitness value is within the upper and lower thresholds of the updated SSA model, the optimal value of the kernel function and the maximum penalty parameter are obtained. figure of merit;
否则,将所述适应值的所有元素重置为预设的初始值,并设置所述更新SSA的最大迭代次数,将所述适应值中的元素同时进行迭代寻优,得到所述核函数最优值和所述惩罚参数最优值。Otherwise, reset all elements of the fitness value to the preset initial values, set the maximum number of iterations for updating the SSA, perform iterative optimization on the elements in the fitness value at the same time, and obtain the kernel function with the maximum number of iterations. figure of merit and the optimal value of the penalty parameter.
优选的,所述将所述适应值中的元素同时进行迭代寻优,得到所述核函数最优值和所述惩罚参数最优值,包括:Preferably, the elements in the fitness value are simultaneously iteratively optimized to obtain the optimal value of the kernel function and the optimal value of the penalty parameter, including:
将所述适应值中的所有元素通过所述更新SSA模型同时进行迭代运算,当元素在所述最大迭代次数前得到最优值,则将当前元素在所述适应值中更新替代为最优值;All elements in the fitness value are iteratively operated through the updated SSA model at the same time, and when the element obtains the optimal value before the maximum number of iterations, the current element is updated and replaced with the optimal value in the fitness value ;
若元素未在最大迭代次数前得到最优值,则将当前元素保持预设的初始值不变。If the element does not get the optimal value before the maximum number of iterations, the current element will remain unchanged at the preset initial value.
优选的,所述基于所述优化加速度信号,得到故障类型,包括:Preferably, the fault type is obtained based on the optimized acceleration signal, including:
抽取设定比例的所述优化加速度作为训练集,并将剩余的所述优化加速度信号作为数据集;Extracting a set proportion of the optimized acceleration as a training set, and using the remaining optimized acceleration signals as a data set;
将所述训练集,通过所述更新SVM进行训练,得到故障种类类型;The training set is trained by the updated SVM to obtain the type of fault;
将所述数据集与所述故障种类类型进行比对,得到故障类型。The data set is compared with the fault type to obtain the fault type.
一种基于SSA-SVM的稀土萃取搅拌轴故障诊断系统,所述诊断系统,包括:A rare earth extraction stirring shaft fault diagnosis system based on SSA-SVM, the diagnosis system includes:
信号获取模块:获取搅拌轴末端加速度信号,通过奇异值分解并进行归一化处理,得到优化加速度信号;Signal acquisition module: acquire the acceleration signal of the end of the stirring shaft, and obtain the optimized acceleration signal through singular value decomposition and normalization;
最优值运算模块:基于所述优化加速度信号设置初始SSA模型的上下限阈值,得到更新SSA模型;通过所述更新SSA模型对初始SVM模型中的核函数和惩罚参数进行优化,得到核函数最优值和惩罚参数最优值;Optimal value calculation module: set the upper and lower thresholds of the initial SSA model based on the optimized acceleration signal, and obtain the updated SSA model; optimize the kernel function and the penalty parameter in the initial SVM model through the updated SSA model, and obtain the maximum kernel function. figure of merit and optimal value of penalty parameter;
判断模块:基于所述优化核函数和所述优化惩罚参数,构建更新SVM模型,并基于所述优化加速度信号,得到故障类型。Judgment module: based on the optimized kernel function and the optimized penalty parameter, construct an updated SVM model, and obtain the fault type based on the optimized acceleration signal.
优选的,所述最优值运算模块中包括:Preferably, the optimal value calculation module includes:
实数向量构建子模块:基于初始SVM模型中的核函数范围和惩罚参数范围,构建实数向量;Real number vector construction sub-module: Based on the kernel function range and penalty parameter range in the initial SVM model, a real number vector is constructed;
最优值运算子模块:将所述实数向量带入所述更新SSA模型,得到核函数最优值和惩罚参数最优值。Optimal value operation sub-module: bring the real number vector into the updated SSA model to obtain the optimal value of the kernel function and the optimal value of the penalty parameter.
与现有技术相比,本发明的有益效果为:本发明中基于所述优化加速度信号设置初始SSA模型的上下限阈值,得到更新SSA模型;通过所述更新SSA模型对初始SVM模型中的核函数和惩罚参数进行优化,得到核函数最优值和惩罚参数最优值;本发明通过将SVM模型中的线性表示通过SSA进行了线性优化,将惩罚参数和核函数寻找出最优的线性表示,提高了故障分类判断的准确率;此外,本发明仅通过对原始的振动加速度信号进行采样,便可构建了更新SSA模型和更新SVM模型,输入量单一简单的情况下,能够达到故障类型判断精确的效果。Compared with the prior art, the beneficial effects of the present invention are: in the present invention, the upper and lower thresholds of the initial SSA model are set based on the optimized acceleration signal to obtain the updated SSA model; The function and the penalty parameter are optimized to obtain the optimal value of the kernel function and the optimal value of the penalty parameter; the present invention performs linear optimization on the linear representation in the SVM model through SSA, and finds the optimal linear representation of the penalty parameter and the kernel function. , which improves the accuracy of fault classification and judgment; in addition, the present invention can construct the updated SSA model and the updated SVM model only by sampling the original vibration acceleration signal, and the fault type judgment can be achieved with a single and simple input. Precise effect.
附图说明Description of drawings
图1是本发明提供的稀土萃取搅拌轴故障诊断的方法流程图;Fig. 1 is the method flow chart of the rare earth extraction stirring shaft fault diagnosis provided by the present invention;
图2为本发明中搅拌轴末端加速度信号的处理流程图;Fig. 2 is the processing flow chart of the acceleration signal at the end of the stirring shaft in the present invention;
图3是麻雀搜索算法优化SVM的流程图。Figure 3 is a flow chart of the sparrow search algorithm to optimize SVM.
具体实施方式Detailed ways
为了加深对本发明的理解,下面将结合附图和实施例对本发明做进一步详细描述,该实施例仅用于解释本发明,并不对本发明的保护范围构成限定。In order to deepen the understanding of the present invention, the present invention will be further described in detail below with reference to the accompanying drawings and embodiments. The embodiments are only used to explain the present invention and do not limit the protection scope of the present invention.
实施例一:Example 1:
本实施例提供了一种基于SSA-SVM的稀土萃取搅拌轴故障诊断方法,方法流程图如图1所示。This embodiment provides a method for diagnosing the fault of a stirring shaft for rare earth extraction based on SSA-SVM, and the flowchart of the method is shown in FIG. 1 .
步骤一:获取搅拌轴末端加速度信号,通过奇异值分解并进行归一化处理,得到优化加速度信号,具体包括:Step 1: Acquire the acceleration signal of the end of the stirring shaft, and obtain the optimized acceleration signal through singular value decomposition and normalization, including:
将测得的振动信号进行奇异值分解(SVD)降噪处理,首先将测得的原始数据进行矩阵化,按照每行信号循环排列,行向量上的元素完全重复上一行元素的方法构造n*n矩阵,定义该矩阵为B,则有:Perform Singular Value Decomposition (SVD) noise reduction processing on the measured vibration signal. First, the measured raw data is matrixed and arranged in a circular manner according to each row of signals. The elements on the row vector completely repeat the elements of the previous row to construct n* n matrix, define the matrix as B, then there are:
其中x(i)代表着所采集到的信号。where x(i) represents the acquired signal.
SVD构建的信号矩阵的有效阶次大小会影响消噪效果,因此确定信号矩阵B的有效阶次就显得十分必要。The effective order of the signal matrix constructed by SVD will affect the denoising effect, so it is very necessary to determine the effective order of the signal matrix B.
采用基于MMRR的奇异值比方法确定信号矩阵的有效阶次,首先选取较大的p(p≥n),设为信号矩阵B的阶数,递减p值并构造相应的特殊矩阵,以特征值比作为有效阶次估计的目标函数。定义矩阵B最大特征值与最小特征值比值参数为:Using the singular value ratio method based on MMRR to determine the effective order of the signal matrix, first select a larger p (p≥n), set it as the order of the signal matrix B, decrease the p value and construct a corresponding special matrix, with eigenvalues Ratio as the objective function for efficient order estimation. The parameter defining the ratio of the largest eigenvalue to the smallest eigenvalue of matrix B is:
公式中分子为矩阵B在阶数l下的最大特征值,分母为为矩阵B在阶数l下的最小特征值。设信号矩阵B的有效阶次为L,由于采集到的信号矩阵是含有噪声的有限长度序列,其重构信号矩阵B与其本身之间存在一定的误差,使矩阵B在p≥L时最小特征值不等于0,而是趋近于0。减小了MMR值在p=L处的突变程度。为增强MMR的突变效果,定义MMR相邻数据比值MMRR为:In the formula, the numerator is the largest eigenvalue of matrix B under order l, and the denominator is the smallest eigenvalue of matrix B under order l. Let the effective order of the signal matrix B be L. Since the collected signal matrix is a finite-length sequence containing noise, there is a certain error between the reconstructed signal matrix B and itself, so that the minimum characteristic of the matrix B is when p≥L The value is not equal to 0, but approaches 0. The degree of mutation of the MMR value at p=L was reduced. In order to enhance the mutation effect of MMR, the MMR adjacent data ratio MMRR is defined as:
目标函数为:The objective function is:
上式子中L为信号矩阵B和对角矩阵Σ的有效阶次。根据有效阶次Z,保留对角矩阵中的中前Z个奇异值并将其他奇异值置0,得到新的对角矩阵;利用新的对角矩阵还原得到原始信号的Frobenious范数逼近,并恢复出消噪信号,即消噪矩阵。从而完成SVD降噪的过程。In the above formula, L is the effective order of the signal matrix B and the diagonal matrix Σ. According to the effective order Z, keep the first Z singular values in the diagonal matrix and set other singular values to 0 to obtain a new diagonal matrix; use the new diagonal matrix to restore the Frobenious norm approximation of the original signal, and The de-noising signal is recovered, that is, the de-noising matrix. Thus, the process of SVD noise reduction is completed.
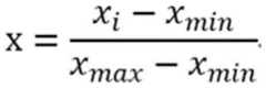
将去噪的信号数据进行归一化处理,得到优化加速度信号,归一化处理的公式为:The denoised signal data is normalized to obtain the optimized acceleration signal. The normalization formula is:
其中,xi代表测得的速度振动信号,xmax代表数据的最大值,xmin代表数据最小值。Among them, xi represents the measured velocity vibration signal, xmax represents the maximum value of the data, and xmin represents the minimum value of the data.
步骤二:基于所述优化加速度信号设置初始SSA模型的上下限阈值,得到更新SSA模型;通过所述更新SSA模型对初始SVM模型中的核函数和惩罚参数进行优化,得到核函数最优值和惩罚参数最优值,具体包括:Step 2: Set the upper and lower thresholds of the initial SSA model based on the optimized acceleration signal to obtain an updated SSA model; optimize the kernel function and penalty parameters in the initial SVM model through the updated SSA model to obtain the optimal value of the kernel function and The optimal value of the penalty parameter, including:
构建SSA初始模型,初始化上下限阈值与最大迭代次数,其中上下限由带入的优化加速度信号所确定,最大迭代次数由优化加速度信号的维度所确定,维度越高,迭代次数越多,得到更新SSA模型。Build the initial SSA model, initialize the upper and lower thresholds and the maximum number of iterations, where the upper and lower limits are determined by the optimized acceleration signal brought in, and the maximum number of iterations is determined by the dimension of the optimized acceleration signal. The higher the dimension, the more iterations, and the update is obtained SSA model.
将初始SVM模型中支持向量机的参数惩罚参数g与核函数k以实数向量的形式结合并带入更新SSA模型,带入模型时为了计算方便将所述实数向量以矩阵的形式带入,表达式为:The parameter penalty parameter g of the support vector machine in the initial SVM model and the kernel function k are combined in the form of a real number vector and brought into the updated SSA model. When the model is brought into the model, for the convenience of calculation, the real number vector is brought in in the form of a matrix, expressing The formula is:
其中,d表示维数,n表示矩阵的阶数。Among them, d represents the dimension, and n represents the order of the matrix.
带入后计算其适应值,其中适应值的计算为:After it is brought in, its fitness value is calculated, and the calculation of the fitness value is:
那么则构建一个n行1列的适应值矩阵,其表示方式为:Then a fitness value matrix with n rows and 1 column is constructed, which is represented as:
将适应值带入更新SSA模型进行迭代求解,更新SSA模型中的运算过程如图3所示。将每一次迭代求解的最优值作为发现者,其余的作为跟随者,每迭代一次后,其发现者的更新位置公式如下所示:The fitness value is brought into the updated SSA model for iterative solution, and the operation process in the updated SSA model is shown in Figure 3. The optimal value solved by each iteration is used as the finder, and the rest are used as followers. After each iteration, the update position formula of the finder is as follows:
其中,t代表当前迭代数,j代表一个常数,表示最大的迭代次数,j=1,2,3……itremax。代表着第i个麻雀在第j维中的位置信息。α属于(0,1],是一个随机数。R2和ST分别表示预警值和安全值,Q是服从正态分布的随机数,L代表着一个1×L的矩阵,其中该矩阵内每个元素全部为1。当R2<ST时,这该发现者将按正态分布随机移动到当前位置附近。反之则离当前位置越来越远。Among them, t represents the current number of iterations, j represents a constant, representing the maximum number of iterations, j=1, 2, 3...itremax. Represents the position information of the i-th sparrow in the j-th dimension. α belongs to (0,1] and is a random number. R2 and ST represent the warning value and the safety value, respectively, Q is a random number obeying a normal distribution, and L represents a 1×L matrix, in which each All elements are 1. When R2 <ST, the finder will move to the current position randomly according to the normal distribution. Otherwise, it will be farther and farther away from the current position.
发现者的位置更新后,追随者的位置也会相应的进行更新,其更新公式为:After the location of the finder is updated, the location of the follower will also be updated accordingly. The update formula is:
是目前发现者所占据的最优位置,Xworst代表着当前全局最差的位置,A表示一个1×d的矩阵,其中每个元素随机赋值为1或-1,当i>n/2时,这表明,该适应度不符合要求。 is the optimal position currently occupied by the finder, Xworst represents the current global worst position, A represents a 1×d matrix, in which each element is randomly assigned to 1 or -1, when i>n/2 , which indicates that the fitness does not meet the requirements.
在更新SSA模型中为了防止出现虚假的最优解,即符合适应值最优但是上下限的范围超出,引入警戒值,其更新公示为:In order to prevent false optimal solutions from appearing in updating the SSA model, that is, in line with the optimal fitness value but exceeding the upper and lower limits, a warning value is introduced, and its update announcement is:
其中,是当前的全局最优位置,β作为步长控制参数,是服从均值为0,方差为1的正态分布的随机数。K是一个(-1,+1)之间的随机数,fi则是当前个体的适应度值,fg和fw分别是当前全局最佳和最差的适应度值。当fi>fg,表示此时的个体正处于上下界边缘。当fi=fg,这表明处于个体正在尽力缩小与上下界的距离,K表示步长控制参数。in, is the current global optimal position, and β is used as a step size control parameter, which is a random number that obeys a normal distribution with a mean of 0 and a variance of 1. K is a random number between (-1, +1), fi is the fitness value of the current individual, and fg and fw are the current global best and worst fitness values, respectively. When fi >fg , it means that the individual at this time is on the edge of the upper and lower bounds. When fi =fg , which indicates that the individual is trying his best to reduce the distance from the upper and lower bounds, K represents the step size control parameter.
判断适应值中的元素是否在所述更新SSA模型的上下限阈值范围,若适应值在所述更新SSA模型的上下限阈值范围,则得到核函数最优值和惩罚参数最优值;Judge whether the element in the fitness value is in the upper and lower threshold range of the described update SSA model, if the fitness value is in the upper and lower threshold range of the described update SSA model, then obtain the optimal value of the kernel function and the optimal value of the penalty parameter;
否则,将适应值的所有元素重置为预设的初始值,并设置更新SSA的最大迭代次数,将适应值中的元素同时进行迭代寻优,得到核函数最优值和惩罚参数最优值;Otherwise, reset all elements of the fitness value to the preset initial values, set the maximum number of iterations for updating SSA, and perform iterative optimization on the elements in the fitness value at the same time to obtain the optimal value of the kernel function and the optimal value of the penalty parameter ;
将适应值中的所有元素通过更新SSA模型同时进行迭代运算,当元素在最大迭代次数前得到最优值,则将当前元素在适应值中更新替代为最优值;All elements in the fitness value are iteratively operated by updating the SSA model at the same time, when the element obtains the optimal value before the maximum number of iterations, the current element in the fitness value is updated and replaced with the optimal value;
若元素未在最大迭代次数前得到最优值,则将当前元素保持预设的初始值不变,本实施例中,预设的初始值为1。If the element does not obtain the optimal value before the maximum number of iterations, the current element is kept unchanged from the preset initial value. In this embodiment, the preset initial value is 1.
输出群体的全局最优位置及全局最佳适应度值,其中的惩罚参数g与核函数k即为SVM的最优参数。再将最优参数带入到SVM中对数据进行分类识别。The global optimal position and global optimal fitness value of the output group are output, and the penalty parameter g and kernel function k are the optimal parameters of SVM. Then the optimal parameters are brought into the SVM to classify and identify the data.
在步骤一和步骤二中,对于采集到的原始加速度信号的处理过程如图2所示。In step 1 and step 2, the processing process for the collected raw acceleration signal is shown in FIG. 2 .
步骤三:基于所述优化核函数和所述优化惩罚参数,构建更新SVM模型,并基于所述优化加速度信号,得到故障类型,具体包括:Step 3: Build and update the SVM model based on the optimized kernel function and the optimized penalty parameter, and obtain the fault type based on the optimized acceleration signal, which specifically includes:
将预处理后的数据中的80%作为测试集,20%作为训练集输入到更新后的SVM模型之中,构建基于SSA-SVM的稀土萃取搅拌轴故障诊断模型。其中,将振动加速度信号构建成一个n*1的矩阵,随机抽取80%作为训练集,按照故障种类以编码的形式作为标签输入到更新后的SVM模型之中进行训练,相同标签通过聚类的方式的归为一类进行训练,输入为原始数据,输出为编码,构建一种基于SSA-SVM的稀土萃取搅拌轴故障诊断模型,将剩下20%的数据集作为测试集带入到故障诊断模型之中,同样的根据故障种类以编码的形式作好标签,验证其经过SVM分类出的结果与标签是否一致,得到故障诊断准确率。80% of the preprocessed data is used as the test set, and 20% is used as the training set to input into the updated SVM model, and the fault diagnosis model of rare earth extraction stirring shaft based on SSA-SVM is constructed. Among them, the vibration acceleration signal is constructed into a matrix of n*1, 80% of which are randomly selected as the training set, and are input into the updated SVM model in the form of coding according to the type of fault as a label for training. The method is classified into one category for training, the input is the original data, and the output is the code. A fault diagnosis model of rare earth extraction stirring shaft based on SSA-SVM is constructed, and the remaining 20% of the data set is used as the test set to be brought into the fault diagnosis. In the model, labels are also made in the form of codes according to the fault type, and it is verified whether the results classified by SVM are consistent with the labels, and the fault diagnosis accuracy rate is obtained.
实施例二:Embodiment 2:
基于同种发明思想,本实施例提供了一种基于SSA-SVM的稀土萃取搅拌轴故障诊断系统,本系统包括:Based on the same inventive idea, this embodiment provides a rare earth extraction stirring shaft fault diagnosis system based on SSA-SVM. The system includes:
信号获取模块:用于获取搅拌轴末端加速度信号,通过奇异值分解并进行归一化处理,得到优化加速度信号;Signal acquisition module: used to acquire the acceleration signal at the end of the stirring shaft, and obtain the optimized acceleration signal through singular value decomposition and normalization;
最优值运算模块:用于基于所述优化加速度信号设置初始SSA模型的上下限阈值,得到更新SSA模型;通过所述更新SSA模型对初始SVM模型中的核函数和惩罚参数进行优化,得到核函数最优值和惩罚参数最优值;Optimal value calculation module: used to set the upper and lower thresholds of the initial SSA model based on the optimized acceleration signal, to obtain an updated SSA model; the kernel function and the penalty parameter in the initial SVM model are optimized by the updated SSA model to obtain a kernel function. The optimal value of the function and the optimal value of the penalty parameter;
判断模块:用于基于所述优化核函数和所述优化惩罚参数,构建更新SVM模型,并基于所述优化加速度信号,得到故障类型。Judgment module: for constructing and updating the SVM model based on the optimized kernel function and the optimized penalty parameter, and obtaining the fault type based on the optimized acceleration signal.
所述最优值运算模块,包括:The optimal value calculation module includes:
实数向量构建子模块:用于基于初始SVM模型中的核函数范围和惩罚参数范围,构建实数向量;Real vector construction sub-module: used to construct real vector based on the kernel function range and penalty parameter range in the initial SVM model;
最优值运算子模块:用于将所述实数向量带入所述更新SSA模型,得到核函数最优值和惩罚参数最优值。Optimal value operation sub-module: used to bring the real number vector into the updated SSA model to obtain the optimal value of the kernel function and the optimal value of the penalty parameter.
所述最优值运算子模块,包括:The optimal value operation submodule includes:
适应值构建单元:用于将所述实数向量带入到目标函数,得到适应值;Fitness value construction unit: used to bring the real number vector into the objective function to obtain the fitness value;
适应值对比单元:用于将所述适应值与所述更新SSA模型的上下限阈值内进行对比,得到核函数最优值和惩罚参数最优值。Fitness value comparison unit: used to compare the fitness value with the upper and lower thresholds of the updated SSA model to obtain the optimal value of the kernel function and the optimal value of the penalty parameter.
所述适应值构建单元中通过如下式进行适应值构建:In the fitness value construction unit, the fitness value is constructed by the following formula:
其中:g为所述惩罚参数范围,k为所述核函数范围,b为常数,a*为拉格朗日乘子。Where: g is the range of the penalty parameter, k is the range of the kernel function, b is a constant, and a* is the Lagrange multiplier.
所述适应值对比单元,包括:The fitness value comparison unit includes:
比较子单元:判断所述适应值是否在所述更新SSA模型的上下限阈值范围,若所述适应值在所述更新SSA模型的上下限阈值范围,则得到所述核函数最优值和所述惩罚参数最优值;Comparison subunit: determine whether the fitness value is within the upper and lower thresholds of the updated SSA model, if the fitness value is within the upper and lower thresholds of the updated SSA model, obtain the optimal value of the kernel function and the the optimal value of the penalty parameter;
否则,将所述适应值的所有元素重置为预设的初始值,并设置所述更新SSA的最大迭代次数;将所述适应值中的所有元素通过所述更新SSA模型同时进行迭代运算,当元素在所述最大迭代次数前得到最优值,则将当前元素在所述适应值中更新替代为最优值;若元素未在最大迭代次数前得到最优值,则通过复位子单元进行运算;Otherwise, reset all elements of the fitness value to the preset initial value, and set the maximum number of iterations of the updated SSA; all elements in the fitness value are subjected to the iterative operation simultaneously through the updated SSA model, When the element obtains the optimal value before the maximum number of iterations, the current element is updated and replaced with the optimal value in the fitness value; if the element does not obtain the optimal value before the maximum number of iterations, the reset subunit is used operation;
所述复位子单元:用于将当前元素保持预设的初始值不变。The reset subunit: used to keep the preset initial value of the current element unchanged.
所述判断模块,包括:The judging module includes:
资料集规划子模块:用于抽取设定比例的所述优化加速度作为训练集,并将剩余的所述优化加速度信号作为数据集;Data set planning sub-module: used to extract the optimized acceleration of a set ratio as a training set, and use the remaining optimized acceleration signals as a data set;
训练子模块:用于将所述训练集,通过所述更新SVM进行训练,得到故障种类类型;Training submodule: used to train the training set through the updated SVM to obtain the type of fault;
对比子模块:用于将所述数据集与所述故障种类类型进行比对,得到故障类型。Comparison sub-module: used to compare the data set with the fault type to obtain the fault type.
显然,所描述的实施例是本发明一部分实施例,而不是全部的实施例。基于本发明中的实施例,本领域普通技术人员在没有做出创造性劳动前提下所获得的所有其它实施例,都属于本发明保护的范围。Obviously, the described embodiments are some, but not all, embodiments of the present invention. Based on the embodiments of the present invention, all other embodiments obtained by those of ordinary skill in the art without creative efforts shall fall within the protection scope of the present invention.
本领域内的技术人员应明白,本申请的实施例可提供为方法、系统、或计算机程序产品。因此,本申请可采用完全硬件实施例、完全软件实施例、或结合软件和硬件方面的实施例的形式。而且,本申请可采用在一个或多个其中包含有计算机可用程序代码的计算机可用存储介质(包括但不限于磁盘存储器、CD-ROM、光学存储器等)上实施的计算机程序产品的形式。As will be appreciated by those skilled in the art, the embodiments of the present application may be provided as a method, a system, or a computer program product. Accordingly, the present application may take the form of an entirely hardware embodiment, an entirely software embodiment, or an embodiment combining software and hardware aspects. Furthermore, the present application may take the form of a computer program product embodied on one or more computer-usable storage media (including, but not limited to, disk storage, CD-ROM, optical storage, etc.) having computer-usable program code embodied therein.
本申请是参照根据本申请实施例的方法、设备(系统)、和计算机程序产品的流程图和/或方框图来描述的。应理解可由计算机程序指令实现流程图和/或方框图中的每一流程和/或方框、以及流程图和/或方框图中的流程和/或方框的结合。可提供这些计算机程序指令到通用计算机、专用计算机、嵌入式处理机或其他可编程数据处理设备的处理器以产生一个机器,使得通过计算机或其他可编程数据处理设备的处理器执行的指令产生用于实现在流程图一个流程或多个流程和/或方框图一个方框或多个方框中指定的功能的装置。The present application is described with reference to flowchart illustrations and/or block diagrams of methods, apparatus (systems), and computer program products according to embodiments of the present application. It will be understood that each flow and/or block in the flowchart illustrations and/or block diagrams, and combinations of flows and/or blocks in the flowchart illustrations and/or block diagrams, can be implemented by computer program instructions. These computer program instructions may be provided to the processor of a general purpose computer, special purpose computer, embedded processor or other programmable data processing device to produce a machine such that the instructions executed by the processor of the computer or other programmable data processing device produce Means for implementing the functions specified in a flow or flow of a flowchart and/or a block or blocks of a block diagram.
这些计算机程序指令也可存储在能引导计算机或其他可编程数据处理设备以特定方式工作的计算机可读存储器中,使得存储在该计算机可读存储器中的指令产生包括指令装置的制造品,该指令装置实现在流程图一个流程或多个流程和/或方框图一个方框或多个方框中指定的功能。These computer program instructions may also be stored in a computer-readable memory capable of directing a computer or other programmable data processing apparatus to function in a particular manner, such that the instructions stored in the computer-readable memory result in an article of manufacture comprising instruction means, the instructions The apparatus implements the functions specified in the flow or flow of the flowcharts and/or the block or blocks of the block diagrams.
这些计算机程序指令也可装载到计算机或其他可编程数据处理设备上,使得在计算机或其他可编程设备上执行一系列操作步骤以产生计算机实现的处理,从而在计算机或其他可编程设备上执行的指令提供用于实现在流程图一个流程或多个流程和/或方框图一个方框或多个方框中指定的功能的步骤。These computer program instructions can also be loaded on a computer or other programmable data processing device to cause a series of operational steps to be performed on the computer or other programmable device to produce a computer-implemented process such that The instructions provide steps for implementing the functions specified in the flow or blocks of the flowcharts and/or the block or blocks of the block diagrams.
以上仅为本发明的实施例而已,并不用于限制本发明,凡在本发明的精神和原则之内,所做的任何修改、等同替换、改进等,均包含在申请待批的本发明的权利要求范围之内。The above are only examples of the present invention, and are not intended to limit the present invention. Any modifications, equivalent replacements, improvements, etc. made within the spirit and principles of the present invention are included in the application for pending approval of the present invention. within the scope of the claims.
| Application Number | Priority Date | Filing Date | Title |
|---|---|---|---|
| CN202110491200.1ACN113221998A (en) | 2021-05-06 | 2021-05-06 | Rare earth extraction stirring shaft fault diagnosis method and system based on SSA-SVM |
| Application Number | Priority Date | Filing Date | Title |
|---|---|---|---|
| CN202110491200.1ACN113221998A (en) | 2021-05-06 | 2021-05-06 | Rare earth extraction stirring shaft fault diagnosis method and system based on SSA-SVM |
| Publication Number | Publication Date |
|---|---|
| CN113221998Atrue CN113221998A (en) | 2021-08-06 |
| Application Number | Title | Priority Date | Filing Date |
|---|---|---|---|
| CN202110491200.1APendingCN113221998A (en) | 2021-05-06 | 2021-05-06 | Rare earth extraction stirring shaft fault diagnosis method and system based on SSA-SVM |
| Country | Link |
|---|---|
| CN (1) | CN113221998A (en) |
| Publication number | Priority date | Publication date | Assignee | Title |
|---|---|---|---|---|
| CN115166626A (en)* | 2022-07-29 | 2022-10-11 | 国网湖南省电力有限公司 | A method and system for intelligent judgment and judgment of operating faults of gateway electric energy meters |
| Publication number | Priority date | Publication date | Assignee | Title |
|---|---|---|---|---|
| EP1850589A1 (en)* | 2006-03-29 | 2007-10-31 | Sony Deutschland Gmbh | Method for video mode detection |
| CN108414226A (en)* | 2017-12-25 | 2018-08-17 | 哈尔滨理工大学 | Fault Diagnosis of Roller Bearings under the variable working condition of feature based transfer learning |
| CN109871758A (en)* | 2019-01-14 | 2019-06-11 | 南京航空航天大学 | SVD noise reduction method for fault signal based on multi-scale morphological optimization |
| CN110153801A (en)* | 2019-07-04 | 2019-08-23 | 西南交通大学 | A tool wear state identification method based on multi-feature fusion |
| CN110487499A (en)* | 2019-09-03 | 2019-11-22 | 大连理工大学 | A kind of bolt pretightening discrimination method based on singular value decomposition and support vector machines |
| CN112016624A (en)* | 2020-08-28 | 2020-12-01 | 西北农林科技大学 | Spectrum data dimension reduction method for optimizing kernel independent components based on sparrow search algorithm |
| US20210125066A1 (en)* | 2019-10-28 | 2021-04-29 | Lightmatter, Inc. | Quantized architecture search for machine learning models |
| CN112733603A (en)* | 2020-12-11 | 2021-04-30 | 江苏大学 | Frequency conversion scroll compressor fault diagnosis method based on improved VMD and SVM |
| Publication number | Priority date | Publication date | Assignee | Title |
|---|---|---|---|---|
| EP1850589A1 (en)* | 2006-03-29 | 2007-10-31 | Sony Deutschland Gmbh | Method for video mode detection |
| CN108414226A (en)* | 2017-12-25 | 2018-08-17 | 哈尔滨理工大学 | Fault Diagnosis of Roller Bearings under the variable working condition of feature based transfer learning |
| CN109871758A (en)* | 2019-01-14 | 2019-06-11 | 南京航空航天大学 | SVD noise reduction method for fault signal based on multi-scale morphological optimization |
| CN110153801A (en)* | 2019-07-04 | 2019-08-23 | 西南交通大学 | A tool wear state identification method based on multi-feature fusion |
| CN110487499A (en)* | 2019-09-03 | 2019-11-22 | 大连理工大学 | A kind of bolt pretightening discrimination method based on singular value decomposition and support vector machines |
| US20210125066A1 (en)* | 2019-10-28 | 2021-04-29 | Lightmatter, Inc. | Quantized architecture search for machine learning models |
| CN112016624A (en)* | 2020-08-28 | 2020-12-01 | 西北农林科技大学 | Spectrum data dimension reduction method for optimizing kernel independent components based on sparrow search algorithm |
| CN112733603A (en)* | 2020-12-11 | 2021-04-30 | 江苏大学 | Frequency conversion scroll compressor fault diagnosis method based on improved VMD and SVM |
| Title |
|---|
| JIANKAI XUE等: "A novel swarm intelligence optimization approach: sparrow search algorithm", 《SYSTEMS SCIENCE & CONTROL ENGINEERING AN OPEN ACCESS JOURNAL》* |
| 罗奕等: "动态变权层次分析法在本科教学效果评估中的应用_罗奕", 《大众科技》* |
| 马晨佩等: "基于麻雀搜索算法优化支持向量机的滚动轴承故障诊断", 《科学技术与工程》* |
| Publication number | Priority date | Publication date | Assignee | Title |
|---|---|---|---|---|
| CN115166626A (en)* | 2022-07-29 | 2022-10-11 | 国网湖南省电力有限公司 | A method and system for intelligent judgment and judgment of operating faults of gateway electric energy meters |
| CN115166626B (en)* | 2022-07-29 | 2024-10-18 | 国网湖南省电力有限公司 | A method and system for intelligent analysis of gateway electric energy meter operation failure |
| Publication | Publication Date | Title |
|---|---|---|
| Harvey et al. | Automated feature design for numeric sequence classification by genetic programming | |
| CN102291392B (en) | Hybrid intrusion detection method based on Bagging algorithm | |
| CN117784710B (en) | Remote state monitoring system and method for numerical control machine tool | |
| CN113376516A (en) | Medium-voltage vacuum circuit breaker operation fault self-diagnosis and early-warning method based on deep learning | |
| CN118504585B (en) | Device control method based on data processing | |
| CN117574121A (en) | Intelligent unified detection method and system for sensitive information of enterprise multi-source heterogeneous data | |
| US20220164705A1 (en) | Method and apparatus for providing information based on machine learning | |
| CN119059386A (en) | Elevator traction machine fault diagnosis algorithm based on multi-source information fusion | |
| CN117670575A (en) | Intelligent workshop management system and method for furniture production | |
| CN118094330A (en) | Fault diagnosis model training method and device and electronic equipment | |
| CN115705413A (en) | Method and device for determining abnormal log | |
| CN116910559A (en) | Index anomaly detection method for intelligent operation and maintenance application of power grid supercomputer center | |
| CN118940168A (en) | Data intelligent governance system and method based on machine learning | |
| CN113221998A (en) | Rare earth extraction stirring shaft fault diagnosis method and system based on SSA-SVM | |
| CN118568478B (en) | A method for analyzing alarm data based on large models | |
| CN119088700A (en) | A method for automotive software defect prediction based on dynamic feature selection and supersampling | |
| CN112488202A (en) | Distributed process monitoring method based on mutual information and projection dictionary pair learning | |
| CN116910617B (en) | MCDLSTM-CNN-based chemical production process fault diagnosis method and system | |
| CN118193274A (en) | Exception handling method, device, equipment and readable medium for distributed system | |
| CN116883417B (en) | Workpiece quality inspection method and device based on machine vision | |
| CN118395223A (en) | Environment investigation data processing method for geological mineral exploration | |
| CN117331353A (en) | Intelligent manufacturing industrial workshop safety production monitoring system and method thereof | |
| CN116957310A (en) | Intelligent manufacturing data management system and method based on cloud computing technology | |
| CN116308756A (en) | Determination method, device, equipment, medium and product of target customer | |
| Beljadid et al. | Application of deep learning for the detection of default in fabric texture |
| Date | Code | Title | Description |
|---|---|---|---|
| PB01 | Publication | ||
| PB01 | Publication | ||
| SE01 | Entry into force of request for substantive examination | ||
| SE01 | Entry into force of request for substantive examination | ||
| RJ01 | Rejection of invention patent application after publication | Application publication date:20210806 | |
| RJ01 | Rejection of invention patent application after publication |