Movatterモバイル変換


[0]ホーム

URL:


CN113221495A - Time sequence-based reliability modeling method and system for super-radiation light-emitting diode - Google Patents

Time sequence-based reliability modeling method and system for super-radiation light-emitting diode
Download PDF

Info

Publication number
CN113221495A
CN113221495ACN202110425369.7ACN202110425369ACN113221495ACN 113221495 ACN113221495 ACN 113221495ACN 202110425369 ACN202110425369 ACN 202110425369ACN 113221495 ACN113221495 ACN 113221495A
Authority
CN
China
Prior art keywords
super
emitting diode
radiation light
performance degradation
reliability
Prior art date
Legal status (The legal status is an assumption and is not a legal conclusion. Google has not performed a legal analysis and makes no representation as to the accuracy of the status listed.)
Pending
Application number
CN202110425369.7A
Other languages
Chinese (zh)
Inventor
何怡刚
张学勤
何鎏璐
王枭
曾昭瑢
Current Assignee (The listed assignees may be inaccurate. Google has not performed a legal analysis and makes no representation or warranty as to the accuracy of the list.)
Wuhan University WHU
Original Assignee
Wuhan University WHU
Priority date (The priority date is an assumption and is not a legal conclusion. Google has not performed a legal analysis and makes no representation as to the accuracy of the date listed.)
Filing date
Publication date
Application filed by Wuhan University WHUfiledCriticalWuhan University WHU
Priority to CN202110425369.7ApriorityCriticalpatent/CN113221495A/en
Publication of CN113221495ApublicationCriticalpatent/CN113221495A/en
Pendinglegal-statusCriticalCurrent

Links

Images

Classifications

Landscapes

Abstract

The invention discloses a super-radiation light-emitting diode reliability modeling method and a system based on time series, which comprises the following steps: collecting test data, and arranging the data according to the time sequence; observing the characteristics of the sequence, selecting a proper model for fitting, and inspecting and optimizing the model according to the fitting caliber of the data fitting model; judging other statistic attributes of the sequence by using the fitted model, predicting the later development, and calculating the pseudo-failure life of the super-radiation light-emitting diode; and modeling the super-radiation light-emitting diode by using a reliability model, calculating relevant reliability indexes and predicting. According to the method, a fitting model is selected according to the data degradation characteristics of the super-radiation light-emitting diode, multiple groups of parameter apertures are selected and compared according to related indexes to obtain an optimal model, the pseudo-failure life of the super-radiation light-emitting diode is calculated according to the model, reliability modeling is carried out, and the reliability modeling work of the super-radiation light-emitting diode is completed.

Description

Time sequence-based reliability modeling method and system for super-radiation light-emitting diode
Technical Field
The invention belongs to the field of reliability modeling, and particularly relates to a method and a system for modeling the reliability of a super-radiation light-emitting diode based on a time sequence.
Background
A super luminescent diode is a semiconductor electronic component with Optical performance between a laser and a light emitting diode, and due to its excellent Optical characteristics, it has been widely used as a light source in many important electronic devices, such as an Interferometric Fiber Optic Gyroscope (IFOG), an Optical Coherence tomography (OTC), an Optical Time Domain Reflectometer (OTDR), a Wavelength Division Multiplexing (WDM), an Optical Fiber Sensor (FOS), and so on. Therefore, it is necessary to research the reliability of the superluminescent diode, and how to analyze the reliability of the superluminescent diode with respect to time variation during operation is a technical problem to be solved.
Disclosure of Invention
Aiming at the defects or improvement requirements of the prior art, the invention provides a method and a system for modeling the reliability of a super-radiation light-emitting diode based on time sequence, and mainly solves the problem that the reliability of the super-radiation light-emitting diode is not modeled from the time aspect in the existing reliability assessment.
To achieve the above object, according to one aspect of the present invention, there is provided a method for modeling reliability of a super-luminescent diode based on time series, comprising:
s1: researching the development rule of the performance degradation data of the super-radiation light-emitting diode on time to establish a super-radiation light-emitting diode performance degradation quantity fitting model;
s2: determining the optimal caliber parameter of the super-radiation light-emitting diode performance degradation quantity fitting model, fitting the super-radiation light-emitting diode performance degradation data through the determined optimal caliber parameter, and optimizing the super-radiation light-emitting diode performance degradation quantity fitting model;
s3: predicting the subsequent trend of each sample by using the optimized performance degradation quantity fitting model of the super-radiation light-emitting diode, and calculating the pseudo-failure life of the super-radiation light-emitting diode;
s4: and establishing a reliability model of the super-radiation light-emitting diode, calculating related reliability indexes according to the pseudo-failure life of the super-radiation light-emitting diode, and evaluating the reliability of the super-radiation light-emitting diode.
In some alternative embodiments, step S1 includes:
s1.1: performing a performance degradation test on the m super-radiation light-emitting diode samples, and measuring the performance degradation quantity of each super-radiation light-emitting diode sample at intervals of delta t time to obtain performance degradation data of each super-radiation light-emitting diode sample corresponding to each measurement time;
s1.2: and (4) observing the development rule of the performance degradation of each super-radiation light-emitting diode sample in the time aspect to establish a super-radiation light-emitting diode performance degradation fitting model.
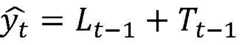
In some optional embodiments, the super-luminescent diode performance degradation quantity fitting model is as follows: l ist=αyt+(1-α)[Lt-1+Tt-1],Tt=γ[Lt-Lt-1]+(1-γ)Tt-1
Figure BDA0003029286520000021
Wherein L istIs a horizontal component at time t, Lt-1Is a horizontal component at time T, TtIs a trend component at time T, Tt-1Is the trend component at time t-1, α is the horizontal weight, γ is the trend weight, ytThe amount of performance degradation at time t,
Figure BDA0003029286520000022
is the amount of degradation of the fit performance at time t.
In some alternative embodiments, step S2 includes:
s2.1: setting a plurality of groups of caliber parameter horizontal weights alpha and trend weights gamma, comparing the average absolute percentage error MAPE, the average absolute error MAD and the average deviation square sum MSD corresponding to each group of caliber parameters to select the optimal caliber parameters, wherein the smaller the numerical value is, the more the selected caliber parameters are fitted, and taking the average deviation square sum MSD as the optimal consideration parameter;
s2.2: and establishing a super-radiation light-emitting diode performance degradation quantity fitting model through the determined optimal caliber parameters, respectively fitting the performance degradation quantity corresponding to each time of each sample, observing the fitting effect of the fitting values on actual values, and optimizing the fitting values by adjusting the caliber parameters.
In some alternative embodiments, step S3 includes:
s3.1: predicting the subsequent trend of each sample by using the optimized performance degradation quantity fitting model of the super-radiation light-emitting diode, and then determining the failure threshold value of the super-radiation light-emitting diode, wherein the failure threshold value is as follows:
Figure BDA0003029286520000031
eta is failure percentage, Pi0Represents t0The initial output light power value of each sample at the moment;
s3.2: after the failure threshold D is determined, the failure threshold is brought in
Figure BDA0003029286520000032
In (D) is brought into
Figure BDA0003029286520000033
And calculating to obtain t, namely the pseudo-failure service life of the superluminescent light-emitting diode.
In some alternative embodiments, step S4 includes:
s4.1: selecting normal distribution as a reliability model of the super-radiation light-emitting diode, wherein the mean value mu in the reliability model of the super-radiation light-emitting diode represents the mean value of the pseudo-failure service life of the super-radiation light-emitting diode, the standard deviation sigma represents the dispersion degree of the pseudo-failure service life of the super-radiation light-emitting diode, and parameters mu and sigma of the normal distribution are deduced by utilizing maximum likelihood estimation;
s4.2: calculating a reliability index reliability function R (t) and the working life mu' of the super-radiation light-emitting diode after reliability modeling, wherein the reliability function R (t) is as follows:
Figure BDA0003029286520000034
Figure BDA0003029286520000035
f (t) is a probability density model of the reliability model of the super-luminescent diode with respect to time t;
s4.3: and evaluating the reliability model of the super-radiation light-emitting diode according to the reliability function and the related performance indexes, and analyzing the performance degradation by combining the failure mechanism of the super-radiation light-emitting diode.
According to another aspect of the present invention, there is provided a time series-based reliability modeling system for a superluminescent light emitting diode, including:
the fitting model building module is used for researching the development rule of the performance degradation data of the super-radiation light-emitting diode on time to build a super-radiation light-emitting diode performance degradation quantity fitting model;
the fitting model optimization module is used for determining the optimal caliber parameter of the super-radiation light-emitting diode performance degradation quantity fitting model, fitting the super-radiation light-emitting diode performance degradation data through the determined optimal caliber parameter and optimizing the super-radiation light-emitting diode performance degradation quantity fitting model;
the pseudo-failure life calculation module is used for predicting the subsequent trend of each sample by using the optimized super-radiation light-emitting diode performance degradation quantity fitting model and calculating the pseudo-failure life of the super-radiation light-emitting diode;
and the reliability evaluation module is used for establishing a reliability model of the super-radiation light-emitting diode, calculating related reliability indexes according to the pseudo-failure service life of the super-radiation light-emitting diode and evaluating the reliability of the super-radiation light-emitting diode.
According to another aspect of the invention, a computer-readable storage medium is provided, on which a computer program is stored which, when being executed by a processor, carries out the steps of the method of any of the above.
In general, compared with the prior art, the above technical solution contemplated by the present invention can achieve the following beneficial effects:
(1) the time sequence is adopted as the performance degradation fitting model of the super-radiation light-emitting diode, the method is more visual, the follow-up trend can be well predicted, and the method has extremely high application value for reliability evaluation.
(2) The performance degradation of the super-radiation light-emitting diode is sequenced according to a time sequence, and the performance degradation is more intuitive after being mapped by MATLAB.
(3) Through the investigation of observed performance degradation data sequence characteristics, a time sequence conforming to the characteristics is selected for fitting, a plurality of parameter apertures can be compared, and a proper model aperture is selected through error parameters and optimized.
(4) The method has the advantages of simple modeling, easy realization, capability of observing subsequent trends, easy calculation of the pseudo-failure life of the super-radiation light-emitting diode and completion of subsequent reliability evaluation work.
Drawings
FIG. 1 is a schematic flow chart of a modeling method for reliability of a super-luminescent diode based on time series according to an embodiment of the present invention;
FIG. 2 is a sample degradation amount fitting graph provided by an embodiment of the present invention;
fig. 3 is a schematic flow chart of a method for modeling reliability of a superluminescent light emitting diode based on time series according to an embodiment of the present invention.
Detailed Description
In order to make the objects, technical solutions and advantages of the present invention more apparent, the present invention is described in further detail below with reference to the accompanying drawings and embodiments. It should be understood that the specific embodiments described herein are merely illustrative of the invention and are not intended to limit the invention. In addition, the technical features involved in the embodiments of the present invention described below may be combined with each other as long as they do not conflict with each other.
Fig. 1 is a schematic flow chart of a method for modeling reliability of a superluminescent light emitting diode based on time series according to an embodiment of the present invention, including the following steps:
s1: researching the development rule of the performance degradation data of the super-radiation light-emitting diode on time to establish a super-radiation light-emitting diode performance degradation quantity fitting model;
in the embodiment of the present invention, step S1 may be implemented as follows:
s1.1: performing performance degradation test on m super-radiation light-emitting diode samples, and measuring the performance degradation amount of each super-radiation light-emitting diode sample at intervals of delta t to obtain tj=xjPerformance degradation data (t) of each super-radiation light-emitting diode sample corresponding to delta t (j is more than or equal to 0 and less than or equal to n) timej,Pij) (i ═ 1,2, …, m; j ═ 1,2, …, n), where n denotes the number of measurements, tjDenotes the measurement time, xjDenotes the j measurement, P, of each sampleijRepresents the amount of performance degradation of the ith sample at the jth measurement, as shown in table 1 below;
TABLE 1 Performance degradation data record Table
Figure BDA0003029286520000051
The degradation amount may be the optical power output by the superluminescent light emitting diode in μ W.
S1.2: and (4) observing the development rule of the performance degradation of each super-radiation light-emitting diode sample in the time aspect to establish a super-radiation light-emitting diode performance degradation fitting model.
The performance degradation fitting model of the super-radiation light-emitting diode can be constructed according to the descending trend of the optical power degradation of the super-radiation light-emitting diode and the seasonal effect, and the model equation is as follows:
Lt=αyt+(1-α)[Lt-1+Tt-1] (1)
Tt=γ[Lt-Lt-1]+(1-γ)Tt-1 (2)
Figure BDA0003029286520000061
wherein L istIs a horizontal component at time T, TtIs the trend component at time t, α is the horizontal weight, and γ is the trend weight (0)<α,γ<1),ytThe amount of performance degradation at time t,
Figure BDA0003029286520000062
is the amount of degradation of the fit performance at time t.
S2: determining the optimal caliber parameter of the super-radiation light-emitting diode performance degradation quantity fitting model, fitting the super-radiation light-emitting diode performance degradation data through the determined optimal caliber parameter, and optimizing the super-radiation light-emitting diode performance degradation quantity fitting model;
in the embodiment of the present invention, step S2 may be implemented as follows:
s2.1: setting a plurality of groups of caliber parameters, and comparing the average absolute percentage error MAPE, the average absolute error MAD and the average deviation square sum MSD corresponding to each group of caliber parameters to select the optimal caliber parameters, wherein the smaller the numerical value is, the more the selected caliber parameters are fitted, and the average deviation square sum MSD is the most important of the three values;
wherein, the caliber parameters comprise a horizontal weight alpha and a trend weight gamma;
Figure BDA0003029286520000063
Figure BDA0003029286520000064
Figure BDA0003029286520000065
wherein, ytIs the amount of performance degradation at time t,
Figure BDA0003029286520000066
the fitting performance degradation amount at time t is n, and the number of observed values is n, namely the collected number of the performance degradation amounts of each sample.
S2.2: and establishing a super-radiation light-emitting diode performance degradation quantity fitting model through the determined optimal caliber parameters, respectively fitting the performance degradation quantity corresponding to each time of each sample, observing the fitting effect of the fitting values on actual values, drawing a performance degradation fitting graph, and optimizing the fitting values by adjusting the caliber parameters.
The degradation amount fitting graph is a graph obtained by comparing the fitting value of each sample in each time period with the actual value and predicting the subsequent trend, and is shown in fig. 2.
S3: predicting the subsequent trend of each sample by using the optimized performance degradation quantity fitting model of the super-radiation light-emitting diode, and calculating the pseudo-failure life of the super-radiation light-emitting diode;
in the embodiment of the present invention, step S3 may be implemented as follows:
s3.1: predicting the subsequent trend of each sample by using the optimized performance degradation quantity fitting model of the super-radiation light-emitting diode, and then determining the failure threshold value of the super-radiation light-emitting diode, wherein the failure threshold value is as follows:
Figure BDA0003029286520000071
eta is failure percentage, and can be selected according to related manual or national regulation, Pi0Represents t0The initial output light power value of each sample at the moment;
s3.2: and calculating the pseudo-failure life of the super-radiation light-emitting diode by combining the optimized performance degradation quantity fitting model of the super-radiation light-emitting diode and the failure threshold value.
Wherein, after determining the failure threshold D, the failure threshold is substituted in
Figure BDA0003029286520000072
In (D) is brought into
Figure BDA0003029286520000073
And (4) calculating by using matlab, wherein t at the moment is the pseudo failure life of the superluminescent light-emitting diode.
S4: and establishing a reliability model of the super-radiation light-emitting diode, calculating related reliability indexes according to the pseudo-failure life of the super-radiation light-emitting diode, and evaluating the reliability of the super-radiation light-emitting diode.
In the embodiment of the present invention, step S4 may be implemented as follows:
s4.1: selecting normal distribution as a reliability model of the super-radiation light-emitting diode;
the probability density model f (t) of the reliability model of the super-radiation light-emitting diode with respect to time t is as follows:
Figure BDA0003029286520000074
the distribution function is:
Figure BDA0003029286520000075
the parameter mu represents the mean value of the pseudo-failure life of the super-radiation light-emitting diode, the parameter sigma represents the dispersion degree of the pseudo-failure life of the super-radiation light-emitting diode, and the parameters mu and sigma of normal distribution can be deduced by utilizing maximum likelihood estimation.
Figure BDA0003029286520000081
Figure BDA0003029286520000082
Wherein x iskRepresenting the false failure life of the kth sample.
S4.2: calculating a reliability index reliability function R (t), the working life mu' of the super-radiation light-emitting diode after reliability modeling, and the like;
wherein, the reliability function R (t) is:
Figure BDA0003029286520000083
Figure BDA0003029286520000084
s4.3: and evaluating the reliability model of the super-radiation light-emitting diode according to the reliability function and the related performance indexes, and analyzing the performance degradation by combining the failure mechanism of the super-radiation light-emitting diode to propose an opinion.
Steps S1 through S3 may be performed in Minitab, and steps S3 and S4 may be performed in MATLAB.
As shown in FIG. 3, the method for modeling the reliability of the super-radiation light-emitting diode based on the time series comprises the following steps: data collection and preprocessing, presuming the large type of the model according to the data degradation track, identifying the model which can be tried, estimating test parameters, inspecting the model, generating a predicted value by using the model, selecting a reliability model and evaluating the model.
After the start, the data of the optical power degradation of the superluminescent light emitting diode with the time interval of 100 hours are collected and recorded in a tidy manner as shown in the following table 2.
TABLE 2 Performance degradation data record Table
Figure BDA0003029286520000085
Figure BDA0003029286520000091
Wherein n is 20 and m is 8.
And determining a performance degradation amount fitting model by drawing and combining the performance degradation trend of the super-radiation light-emitting diode.
And the parameter aperture is assigned, and respectively takes alpha as 0.6 and gamma as 0.3; α is 0.8 and γ is 0.3; α is 0.8 and γ is 0.1.
And respectively calculating inspection parameters such as the average absolute percentage error MAPE, the average absolute error MAD, the average deviation square sum MSD and the like under different parameter calibers, comparing the set calibers, and selecting the optimal caliber parameter.
And (4) calculating the pseudo-failure service life of the superluminescent light-emitting diode by combining the formula (3) and a failure threshold, selecting positive-phase distribution as a reliability model, and calculating parameters mu and sigma to obtain a reliability function.
And (3) using MATLAB to make a reliability degradation curve of the superluminescent diode, calculating corresponding reliability performance indexes, and completing the reliability modeling and evaluation work of the superluminescent diode.
The method has the characteristics of higher reliability and accuracy, and is suitable for evaluating the reliability of the device with the performance change of the time attribute.
The invention also provides a super-radiation light-emitting diode reliability modeling system based on the time sequence, which comprises the following components:
the fitting model building module is used for researching the development rule of the performance degradation data of the super-radiation light-emitting diode on time to build a super-radiation light-emitting diode performance degradation quantity fitting model;
the fitting model optimization module is used for determining the optimal caliber parameter of the super-radiation light-emitting diode performance degradation quantity fitting model, fitting the super-radiation light-emitting diode performance degradation data through the determined optimal caliber parameter and optimizing the super-radiation light-emitting diode performance degradation quantity fitting model;
the pseudo-failure life calculation module is used for predicting the subsequent trend of each sample by using the optimized super-radiation light-emitting diode performance degradation quantity fitting model and calculating the pseudo-failure life of the super-radiation light-emitting diode;
and the reliability evaluation module is used for establishing a reliability model of the super-radiation light-emitting diode, calculating related reliability indexes according to the pseudo-failure service life of the super-radiation light-emitting diode and evaluating the reliability of the super-radiation light-emitting diode.
The specific implementation of each module may refer to the description of the above method embodiment, and the embodiment of the present invention will not be repeated.
It should be noted that, according to the implementation requirement, each step/component described in the present application can be divided into more steps/components, and two or more steps/components or partial operations of the steps/components can be combined into new steps/components to achieve the purpose of the present invention.
It will be understood by those skilled in the art that the foregoing is only a preferred embodiment of the present invention, and is not intended to limit the invention, and that any modification, equivalent replacement, or improvement made within the spirit and principle of the present invention should be included in the scope of the present invention.

Claims (8)

1. A super-radiation light-emitting diode reliability modeling method based on time series is characterized by comprising the following steps:
s1: researching the development rule of the performance degradation data of the super-radiation light-emitting diode on time to establish a super-radiation light-emitting diode performance degradation quantity fitting model;
s2: determining the optimal caliber parameter of the super-radiation light-emitting diode performance degradation quantity fitting model, fitting the super-radiation light-emitting diode performance degradation data through the determined optimal caliber parameter, and optimizing the super-radiation light-emitting diode performance degradation quantity fitting model;
s3: predicting the subsequent trend of each sample by using the optimized performance degradation quantity fitting model of the super-radiation light-emitting diode, and calculating the pseudo-failure life of the super-radiation light-emitting diode;
s4: and establishing a reliability model of the super-radiation light-emitting diode, calculating related reliability indexes according to the pseudo-failure life of the super-radiation light-emitting diode, and evaluating the reliability of the super-radiation light-emitting diode.
2. The method according to claim 1, wherein step S1 includes:
s1.1: performing a performance degradation test on the m super-radiation light-emitting diode samples, and measuring the performance degradation quantity of each super-radiation light-emitting diode sample at intervals of delta t time to obtain performance degradation data of each super-radiation light-emitting diode sample corresponding to each measurement time;
s1.2: and (4) observing the development rule of the performance degradation of each super-radiation light-emitting diode sample in the time aspect to establish a super-radiation light-emitting diode performance degradation fitting model.
3. The method of claim 2, wherein the fitted model of the degradation of the performance of the superluminescent light emitting diode is: l ist=αyt+(1-α)[Lt-1+Tt-1],Tt=γ[Lt-Lt-1]+(1-γ)Tt-1
Figure FDA0003029286510000011
Wherein L istIs a horizontal component at time t, Lt-1Is a horizontal component at time T, TtIs a trend component at time T, Tt-1Is the trend component at time t-1, α is the horizontal weight, γ is the trend weight, ytThe amount of performance degradation at time t,
Figure FDA0003029286510000012
is the amount of degradation of the fit performance at time t.
4. The method according to claim 3, wherein step S2 includes:
s2.1: setting a plurality of groups of caliber parameter horizontal weights alpha and trend weights gamma, comparing the average absolute percentage error MAPE, the average absolute error MAD and the average deviation square sum MSD corresponding to each group of caliber parameters to select the optimal caliber parameters, wherein the smaller the numerical value is, the more the selected caliber parameters are fitted, and taking the average deviation square sum MSD as the optimal consideration parameter;
s2.2: and establishing a super-radiation light-emitting diode performance degradation quantity fitting model through the determined optimal caliber parameters, respectively fitting the performance degradation quantity corresponding to each time of each sample, observing the fitting effect of the fitting values on actual values, and optimizing the fitting values by adjusting the caliber parameters.
5. The method according to claim 4, wherein step S3 includes:
s3.1: predicting the subsequent trend of each sample by using the optimized performance degradation quantity fitting model of the super-radiation light-emitting diode, and then determining the failure threshold value of the super-radiation light-emitting diode, wherein the failure threshold value is as follows:
Figure FDA0003029286510000021
eta is failure percentage, Pi0Represents t0The initial output light power value of each sample at the moment;
s3.2: after the failure threshold D is determined, the failure threshold is brought in
Figure FDA0003029286510000022
In (D) is brought into
Figure FDA0003029286510000023
And calculating to obtain t, namely the pseudo-failure service life of the superluminescent light-emitting diode.
6. The method according to claim 5, wherein step S4 includes:
s4.1: selecting normal distribution as a reliability model of the super-radiation light-emitting diode, wherein the mean value mu in the reliability model of the super-radiation light-emitting diode represents the mean value of the pseudo-failure service life of the super-radiation light-emitting diode, the standard deviation sigma represents the dispersion degree of the pseudo-failure service life of the super-radiation light-emitting diode, and parameters mu and sigma of the normal distribution are deduced by utilizing maximum likelihood estimation;
s4.2: calculating a reliability index reliability function R (t) and the working life mu' of the super-radiation light-emitting diode after reliability modeling, wherein the reliability function R (t) is as follows:
Figure FDA0003029286510000024
Figure FDA0003029286510000025
f (t) is a probability density model of the reliability model of the super-luminescent diode with respect to time t;
s4.3: and evaluating the reliability model of the super-radiation light-emitting diode according to the reliability function and the related performance indexes, and analyzing the performance degradation by combining the failure mechanism of the super-radiation light-emitting diode.
7. A time series based reliability modeling system for super-luminescent light emitting diodes, comprising:
the fitting model building module is used for researching the development rule of the performance degradation data of the super-radiation light-emitting diode on time to build a super-radiation light-emitting diode performance degradation quantity fitting model;
the fitting model optimization module is used for determining the optimal caliber parameter of the super-radiation light-emitting diode performance degradation quantity fitting model, fitting the super-radiation light-emitting diode performance degradation data through the determined optimal caliber parameter and optimizing the super-radiation light-emitting diode performance degradation quantity fitting model;
the pseudo-failure life calculation module is used for predicting the subsequent trend of each sample by using the optimized super-radiation light-emitting diode performance degradation quantity fitting model and calculating the pseudo-failure life of the super-radiation light-emitting diode;
and the reliability evaluation module is used for establishing a reliability model of the super-radiation light-emitting diode, calculating related reliability indexes according to the pseudo-failure service life of the super-radiation light-emitting diode and evaluating the reliability of the super-radiation light-emitting diode.
8. A computer-readable storage medium, on which a computer program is stored, which, when being executed by a processor, carries out the steps of the method of any one of claims 1 to 6.
CN202110425369.7A2021-04-202021-04-20Time sequence-based reliability modeling method and system for super-radiation light-emitting diodePendingCN113221495A (en)

Priority Applications (1)

Application NumberPriority DateFiling DateTitle
CN202110425369.7ACN113221495A (en)2021-04-202021-04-20Time sequence-based reliability modeling method and system for super-radiation light-emitting diode

Applications Claiming Priority (1)

Application NumberPriority DateFiling DateTitle
CN202110425369.7ACN113221495A (en)2021-04-202021-04-20Time sequence-based reliability modeling method and system for super-radiation light-emitting diode

Publications (1)

Publication NumberPublication Date
CN113221495Atrue CN113221495A (en)2021-08-06

Family

ID=77088360

Family Applications (1)

Application NumberTitlePriority DateFiling Date
CN202110425369.7APendingCN113221495A (en)2021-04-202021-04-20Time sequence-based reliability modeling method and system for super-radiation light-emitting diode

Country Status (1)

CountryLink
CN (1)CN113221495A (en)

Cited By (1)

* Cited by examiner, † Cited by third party
Publication numberPriority datePublication dateAssigneeTitle
CN118211482A (en)*2024-04-032024-06-18哈尔滨工业大学 A reliability prediction system for electronic components

Citations (3)

* Cited by examiner, † Cited by third party
Publication numberPriority datePublication dateAssigneeTitle
US20120303411A1 (en)*2011-05-252012-11-29International Business Machines CorporationDemand modeling and prediction in a retail category
CN108520152A (en)*2018-04-132018-09-11中国人民解放军火箭军工程大学 Method and system for determining life distribution of engineering equipment
CN111680398A (en)*2020-05-062020-09-18北京航空航天大学 A single-machine performance degradation prediction method based on Holt-Winters model

Patent Citations (3)

* Cited by examiner, † Cited by third party
Publication numberPriority datePublication dateAssigneeTitle
US20120303411A1 (en)*2011-05-252012-11-29International Business Machines CorporationDemand modeling and prediction in a retail category
CN108520152A (en)*2018-04-132018-09-11中国人民解放军火箭军工程大学 Method and system for determining life distribution of engineering equipment
CN111680398A (en)*2020-05-062020-09-18北京航空航天大学 A single-machine performance degradation prediction method based on Holt-Winters model

Non-Patent Citations (2)

* Cited by examiner, † Cited by third party
Title
何怡刚 等: "《基于图形法的超辐射发光二极管性能退化可靠性评估》", 《电子测量与仪器学报》*
赵利江: "《外啮合齿轮泵磨损加速寿命试验研究》", 《中国优秀博硕士学位论文全文数据库(硕士)工程科技Ⅱ辑》*

Cited By (2)

* Cited by examiner, † Cited by third party
Publication numberPriority datePublication dateAssigneeTitle
CN118211482A (en)*2024-04-032024-06-18哈尔滨工业大学 A reliability prediction system for electronic components
CN118211482B (en)*2024-04-032025-06-27哈尔滨工业大学Reliability prediction system for electronic components

Similar Documents

PublicationPublication DateTitle
CN109408359A (en)A kind of software test procedure quality metric method and system
KockCommon structural variation reduction in PLS-SEM: Replacement analytic composites and the one fourth rule
CN115630847B (en)Transceiving assembly detection method and system based on data prediction and storage medium
US8942838B2 (en)Measurement systems analysis system and method
CN117394337A (en)Power grid load early warning method and system thereof
CN114548494B (en)Visual cost data prediction intelligent analysis system
CN111192163B (en)Generator reliability medium-short term prediction method based on wind turbine generator operating data
CN112416774B (en)Software reliability testing method with added weight
CN103268273A (en) A Fault Criterion Determination Method Based on Function Analysis and Mechanism Analysis
CN113221495A (en)Time sequence-based reliability modeling method and system for super-radiation light-emitting diode
CN118966839A (en) Intelligent management method and system based on aquatic plant data indicators
CN119620950B (en) An intelligent management method for government data operation and maintenance
CN119538126A (en) A dam deformation prediction method embedded with feature selection
CN108241917A (en) Evaluation method and device for component reliability
Mäkinen et al.Propagating the errors of initial forest variables through stand-and tree-level growth simulators
CN116805119A (en) A storage reliability assessment method for power supply components based on Wiener model
CN114611865A (en)Instrument control platform-based health assessment method for industrial control station instrument
CN112001077A (en) A method for assessing the life of petrochemical safety-critical equipment based on incomplete data
CN117135037A (en)Method and device for defining network traffic performance abnormality
Pachauri et al.An improved SRGM considering uncertain operating environment
Ahmed et al.Forecasting GDP of Bangladesh using time series analysis
Yun et al.Metaheuristic-based inspection policy for a one-shot system with two types of units
CN118550234B (en)Aerial work platform safety control method and system based on luffing angle
CN119178453B (en) A performance status evaluation method for inertial navigation system considering non-periodic data
CN112445632A (en)HPC reliability evaluation method based on fault data modeling

Legal Events

DateCodeTitleDescription
PB01Publication
PB01Publication
SE01Entry into force of request for substantive examination
SE01Entry into force of request for substantive examination
RJ01Rejection of invention patent application after publication
RJ01Rejection of invention patent application after publication

Application publication date:20210806


[8]ページ先頭

©2009-2025 Movatter.jp