



技术领域technical field
本发明属于电力市场优化领域,尤其涉及一种考虑新能源参与的电力备用市场出清方法及系统。The invention belongs to the field of power market optimization, and in particular relates to a method and system for clearing the power reserve market considering the participation of new energy sources.
背景技术Background technique
科学合理安排电力系统备用是保障电力供应的基础,对高占比新能源电力系统而言,备用的留取对新能源消纳也有着重要影响,较小的备用能够降低常规能源机组开机方式,提升新能源消纳空间,但是由于新能源的波动性,在新能源出力较小时,可能造成平衡紧张,甚至出现不得不采取有序用电措施的极端情况。Scientific and reasonable arrangement of power system backup is the basis for ensuring power supply. For high-proportion new energy power systems, the reserve reserve also has an important impact on new energy consumption. Smaller backup can reduce the startup mode of conventional energy units. Improve the consumption space of new energy, but due to the volatility of new energy, when the output of new energy is small, it may cause balance tension, and even extreme situations that have to take measures for orderly electricity consumption.
因此在高占比新能源电力系统中,如何兼顾电力供应和新能源消纳,科学地安排电力系统备用,成为一个值得研究的问题。Therefore, in a high proportion of new energy power system, how to take into account the power supply and new energy consumption, and scientifically arrange the backup of the power system has become a problem worthy of study.
发明内容SUMMARY OF THE INVENTION
本发明的主要目的在于克服现有技术的缺点与不足,提供一种考虑新能源参与的电力备用市场出清方法及系统,将实时市场的平衡费用和备用购买费用同时纳入优化目标,以达到减少实时市场平衡压力的效果;同时引入备用约束和弃风量、切负荷量约束,并进行N-k安全校核,保障新能源资源的充分利用和系统的安全稳定运行,有效降低日前市场电能生产成本,并减少弃风量,降低切负荷风险。The main purpose of the present invention is to overcome the shortcomings and deficiencies of the prior art, to provide a method and system for clearing the power reserve market considering the participation of new energy sources, and to incorporate the balance cost of the real-time market and the reserve purchase cost into the optimization goal, so as to reduce the The effect of real-time market balancing pressure; at the same time, it introduces reserve constraints, abandoned air volume and load shedding volume constraints, and conducts N-k safety checks to ensure the full utilization of new energy resources and the safe and stable operation of the system, effectively reducing the cost of electricity production in the day-ahead market, and Reduce the amount of abandoned air and reduce the risk of load shedding.
为了实现上述目的,本发明采用如下技术方案:In order to achieve the above object, the present invention adopts the following technical solutions:
根据本发明的一个方面,本发明提供了一种考虑新能源参与的电力备用市场出清方法,所述方法包括以下步骤:According to one aspect of the present invention, the present invention provides a method for clearing the power reserve market considering the participation of new energy sources, the method comprising the following steps:
基于实时市场平衡费用和弃风失负荷惩罚建立日前市场出清模型;Establish a day-ahead market clearing model based on real-time market balance fees and wind curtailment loss-of-load penalties;
接收电力备用市场出清请求,请求进行电力备用市场出清;Receive the power reserve market clearing request, and request the power reserve market clearing;
调用并基于所述日前市场出清模型的约束条件求解所述日前市场出清模型,得出电力备用市场出清结果;Invoking and solving the day-ahead market-clearing model based on the constraints of the day-ahead market-clearing model, and obtaining a power reserve market-clearing result;
输出所述电力备用市场出清结果。The power reserve market clearing result is output.
优选地,所述基于实时市场平衡费用和弃风失负荷惩罚建立日前市场出清模型,包括:Preferably, the establishment of a day-ahead market clearing model based on the real-time market balance fee and the penalty for wind curtailment and loss of load includes:
将市场交易成本C最小作为目标函数,所述市场交易成本包括日前市场的成本C1、实时市场的平衡成本期望值C2以及失负荷和弃风惩罚期望值C3:Taking the minimum market transaction cost C as the objective function, the market transaction cost includes the cost C1 of the day-ahead market, the equilibrium cost expectation value C2 of the real-time market, and the load loss and wind abandonment penalty expectation value C3 :
minC=C1+C2+C3minC=C1 +C2 +C3
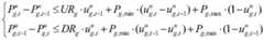
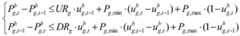
其中,分别代表常规机组、常规机组上备用以及常规机组下备用的启停状态,为0-1变量,其中0代表未启用,1代表启用;分别为常规机组和新能源机组的出力;分别为上、下备用容量;OFg,t、OFg,t、分别代表常规机组电能报价、新能源机组电能报价、常规机组上备用报价、常规机组下备用报价;分别为上、下备用实际调用量;分别为上、下备用调用价格;为新能源出力调整量;为系统弃风量;为系统失负荷量;FDisW和FDisL分别为弃风惩罚费用、失负荷惩罚费用。in, Represents the start-stop status of the conventional unit, the standby on the conventional unit and the standby under the conventional unit, which is a 0-1 variable, where 0 means not enabled, 1 means enabled; are the output of conventional units and new energy units, respectively; are the upper and lower reserve capacities, respectively; OFg,t , OFg,t , Represents the electric energy quotation of conventional units, the electric energy quotation of new energy units, the standby quotation of conventional units, and the standby quotation of conventional units; are the actual call volume of the upper and lower standby respectively; The upper and lower reserve call prices are respectively; Adjustment for new energy output; Abandoned air volume for the system; is the system load loss; FDisW and FDisL are the wind abandonment penalty fee and the load loss penalty fee, respectively.
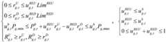
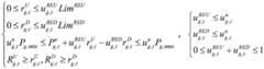
优选地,所述日前市场出清模型的约束条件包括系统节点功率平衡约束、火电机组和新能源机组出力上下限约束、火电机组爬坡约束、备用约束、上下调备用状态约束、火电机组开停机时间约束、弃风量约束、切负荷量约束、实时市场机组调整量平衡约束和输电线路潮流约束:Preferably, the constraints of the day-ahead market clearing model include power balance constraints of system nodes, upper and lower output limits of thermal power units and new energy units, thermal power unit ramping constraints, standby constraints, up and down standby state constraints, thermal power units on and off Time constraints, curtailment air volume constraints, load shedding volume constraints, real-time market unit adjustment volume balance constraints and transmission line power flow constraints:
式中,为t时段的系统负荷;Pg,max和Pg,min分别为常规机组出力的上、下限;Pw,max和Pw,min分别为新能源机组出力的上、下限;LimREU和LimRED分别为上、下备用的限值;为新能源实际功率;xmn为线路mn的电抗值;表示机组已经连续开机和停机的时间;Ton,g、Toff,g表示机组开机和停机时间限制;URi和DRi为上下爬坡限制;为输电线路的传输功率;为输电线路的最大有功传输容量;为节点m的相角;以b为上标的参数代表基本场景下的参数。In the formula, is the system load in period t; Pg,max and Pg,min are the upper and lower limits of the output of conventional units, respectively; Pw,max and Pw,min are the upper and lower limits of the output of new energy units, respectively; LimREU and LimRED is the upper and lower reserve limits, respectively; is the actual power of the new energy; xmn is the reactance value of the line mn; Represents the time that the unit has been started and stopped continuously; Ton,g , Toff,g represent the time limit for start-up and shutdown of the unit; URi and DRi are the up and down ramp limits; is the transmission power of the transmission line; is the maximum active power transmission capacity of the transmission line; is the phase angle of node m; the parameters with b as the superscript represent the parameters in the basic scene.
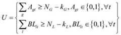
优选地,基于机组和线路的故障概率,对所述日前市场出清模型进行N-k安全校核,其中,输电线路和机组故障概率的不确定集合为:Preferably, an N-k safety check is performed on the day-a-day market clearing model based on the failure probabilities of units and lines, wherein the uncertain sets of failure probabilities of transmission lines and units are:
式中,Agt表示不确定情况下机组g的运行状态,0表示故障,1表示正常运行;NG表示机组数,kG表示故障机组数;BLlt表示不确定情况下线路l的运行状态,0表示故障,1表示正常运行;NL表示线路数,kL表示故障线路数。In the formula, Agt represents the operating state of unit g under uncertainty, 0 represents fault, 1 represents normal operation;NG represents the number of units, k G represents the number of faulty units; BL ltrepresentsthe operating state of line l under uncertainty , 0 means fault, 1 means normal operation;NL means the number of lines, k Lmeans the number of faulty lines.
优选地,根据所述电力备用市场出清结果在不同场景下进行安全校验,以电力系统的切负荷量最小为目标设定目标函数,约束条件包括:系统节点功率平衡约束、火电机组和新能源机组出力上下限约束、火电机组爬坡约束、备用约束、上下调备用状态约束、弃风量约束、切负荷量约束、实时市场机组调整量平衡约束、输电线路潮流约束和机组再调度约束,Preferably, the safety verification is performed in different scenarios according to the power reserve market clearing result, and the objective function is set with the minimum load shedding amount of the power system as the goal, and the constraints include: system node power balance constraints, thermal power units and new Energy unit output upper and lower limit constraints, thermal power unit climbing constraints, standby constraints, up and down standby state constraints, curtailment air volume constraints, load shedding constraints, real-time market unit adjustment volume balance constraints, transmission line power flow constraints and unit rescheduling constraints,
其中,目标函数为:Among them, the objective function is:
约束条件包括:Constraints include:
式中,为t时段的系统负荷;Pg,max和Pg,min分别为常规机组出力的上、下限;Pw,max和Pw,min分别为新能源机组出力的上、下限;LimREU和LimRED分别为上、下备用的限值;为新能源实际功率;xmn为线路mn的电抗值;URi和DRi为上下爬坡限制;为输电线路的传输功率;为输电线路的最大有功传输容量;为节点m的相角;以u为上标的参数代表不确定场景下的参数。In the formula, is the system load in period t; Pg,max and Pg,min are the upper and lower limits of the output of conventional units, respectively; Pw,max and Pw,min are the upper and lower limits of the output of new energy units, respectively; LimREU and LimRED is the upper and lower reserve limits, respectively; is the actual power of the new energy; xmn is the reactance value of the line mn; URi and DRi are the up and down climbing limits; is the transmission power of the transmission line; is the maximum active power transmission capacity of the transmission line; is the phase angle of node m; the parameters with u as the superscript represent the parameters in the uncertain scene.
另一方面,本发明还提供了一种电力备用市场出清系统,所述系统包括:In another aspect, the present invention also provides a power reserve market clearing system, the system comprising:
创建模块,用于基于实时市场平衡费用和弃风失负荷惩罚建立日前市场出清模型;Create a module for building a day-ahead market clearing model based on real-time market balance fees and wind curtailment loss penalty;
接收模块,用于接收电力备用市场出清请求,请求进行电力备用市场出清;The receiving module is used to receive the power reserve market clearing request, and request to clear the power reserve market;
调用模块,用于调用并基于所述日前市场出清模型的约束条件求解所述日前市场出清模型,得出电力备用市场出清结果;a calling module for calling and solving the day-ahead market clearing model based on the constraints of the day-ahead market clearing model, and obtaining a power reserve market clearing result;
输出模块,用于输出所述电力备用市场出清结果。The output module is used for outputting the power reserve market clearing result.
优选地,所述基于实时市场平衡费用和弃风失负荷惩罚建立日前市场出清模型,包括:Preferably, the establishment of a day-ahead market clearing model based on the real-time market balance fee and the penalty for wind curtailment and loss of load includes:
将市场交易成本C最小作为目标函数,所述市场交易成本包括日前市场的成本C1、实时市场的平衡成本期望值C2以及失负荷和弃风惩罚期望值C3:Taking the minimum market transaction cost C as the objective function, the market transaction cost includes the cost C1 of the day-ahead market, the equilibrium cost expectation value C2 of the real-time market, and the load loss and wind abandonment penalty expectation value C3 :
minC=C1+C2+C3minC=C1 +C2 +C3
其中,分别代表常规机组、常规机组上备用以及常规机组下备用的启停状态,为0-1变量,其中0代表未启用,1代表启用;分别为常规机组和新能源机组的出力;分别为上、下备用容量;OFg,t、OFg,t、分别代表常规机组电能报价、新能源机组电能报价、常规机组上备用报价、常规机组下备用报价;分别为上、下备用实际调用量;分别为上、下备用调用价格;为新能源出力调整量;为系统弃风量;为系统失负荷量;FDisW和FDisL分别为弃风惩罚费用、失负荷惩罚费用。in, Represents the start-stop status of the conventional unit, the standby on the conventional unit and the standby under the conventional unit, which is a 0-1 variable, where 0 means not enabled, 1 means enabled; are the output of conventional units and new energy units, respectively; are the upper and lower reserve capacities, respectively; OFg,t , OFg,t , Represents the electric energy quotation of conventional units, the electric energy quotation of new energy units, the standby quotation of conventional units, and the standby quotation of conventional units; are the actual call volume of the upper and lower standby respectively; The upper and lower reserve call prices are respectively; Adjustment for new energy output; Abandoned air volume for the system; is the system load loss; FDisW and FDisL are the wind abandonment penalty fee and the load loss penalty fee, respectively.
优选地,所述日前市场出清模型的约束条件包括系统节点功率平衡约束、火电机组和新能源机组出力上下限约束、火电机组爬坡约束、备用约束、上下调备用状态约束、火电机组开停机时间约束、弃风量约束、切负荷量约束、实时市场机组调整量平衡约束和输电线路潮流约束:Preferably, the constraints of the day-ahead market clearing model include power balance constraints of system nodes, upper and lower output limits of thermal power units and new energy units, thermal power unit ramping constraints, standby constraints, up and down standby state constraints, thermal power units on and off Time constraints, curtailment air volume constraints, load shedding volume constraints, real-time market unit adjustment volume balance constraints and transmission line power flow constraints:
式中,为t时段的系统负荷;Pg,max和Pg,min分别为常规机组出力的上、下限;Pw,max和Pw,min分别为新能源机组出力的上、下限;LimREU和LimRED分别为上、下备用的限值;为新能源实际功率;xmn为线路mn的电抗值;表示机组已经连续开机和停机的时间;Ton,g、Toff,g表示机组开机和停机时间限制;URi和DRi为上下爬坡限制;为输电线路的传输功率;为输电线路的最大有功传输容量;为节点m的相角;以b为上标的参数代表基本场景下的参数。In the formula, is the system load in period t; Pg,max and Pg,min are the upper and lower limits of the output of conventional units, respectively; Pw,max and Pw,min are the upper and lower limits of the output of new energy units, respectively; LimREU and LimRED is the upper and lower reserve limits, respectively; is the actual power of the new energy; xmn is the reactance value of the line mn; Represents the time that the unit has been started and stopped continuously; Ton,g , Toff,g represent the time limit for start-up and shutdown of the unit; URi and DRi are the up and down ramp limits; is the transmission power of the transmission line; is the maximum active power transmission capacity of the transmission line; is the phase angle of node m; the parameters with b as the superscript represent the parameters in the basic scene.
优选地,基于机组和线路的故障概率,对所述日前市场出清模型进行N-k安全校核,其中,输电线路和机组故障概率的不确定集合为:Preferably, an N-k safety check is performed on the day-a-day market clearing model based on the failure probabilities of units and lines, wherein the uncertain sets of failure probabilities of transmission lines and units are:
式中,Agt表示不确定情况下机组g的运行状态,0表示故障,1表示正常运行;NG表示机组数,kG表示故障机组数;BLlt表示不确定情况下线路l的运行状态,0表示故障,1表示正常运行;NL表示线路数,kL表示故障线路数。In the formula, Agt represents the operating state of unit g under uncertainty, 0 represents fault, 1 represents normal operation;NG represents the number of units, k G represents the number of faulty units; BL ltrepresentsthe operating state of line l under uncertainty , 0 means fault, 1 means normal operation;NL means the number of lines, k Lmeans the number of faulty lines.
优选地,根据所述电力备用市场出清结果在不同场景下进行安全校验,以电力系统的切负荷量最小为目标设定目标函数,约束条件包括:系统节点功率平衡约束、火电机组和新能源机组出力上下限约束、火电机组爬坡约束、备用约束、上下调备用状态约束、弃风量约束、切负荷量约束、实时市场机组调整量平衡约束、输电线路潮流约束和机组再调度约束,Preferably, the safety verification is performed in different scenarios according to the power reserve market clearing result, and the objective function is set with the minimum load shedding amount of the power system as the goal, and the constraints include: system node power balance constraints, thermal power units and new Energy unit output upper and lower limit constraints, thermal power unit climbing constraints, standby constraints, up and down standby state constraints, curtailment air volume constraints, load shedding constraints, real-time market unit adjustment volume balance constraints, transmission line power flow constraints and unit rescheduling constraints,
其中,目标函数为:Among them, the objective function is:
约束条件包括:Constraints include:
式中,为t时段的系统负荷;Pg,max和Pg,min分别为常规机组出力的上、下限;Pw,max和Pw,min分别为新能源机组出力的上、下限;LimREU和LimRED分别为上、下备用的限值;为新能源实际功率;xmn为线路mn的电抗值;URi和DRi为上下爬坡限制;为输电线路的传输功率;为输电线路的最大有功传输容量;为节点m的相角;以u为上标的参数代表不确定场景下的参数。In the formula, is the system load in period t; Pg,max and Pg,min are the upper and lower limits of the output of conventional units, respectively; Pw,max and Pw,min are the upper and lower limits of the output of new energy units, respectively; LimREU and LimRED is the upper and lower reserve limits, respectively; is the actual power of the new energy; xmn is the reactance value of the line mn; URi and DRi are the up and down climbing limits; is the transmission power of the transmission line; is the maximum active power transmission capacity of the transmission line; is the phase angle of node m; the parameters with u as the superscript represent the parameters in the uncertain scene.
相对于现有技术,本发明具有以下有益效果:Compared with the prior art, the present invention has the following beneficial effects:
本发明能够保障新能源资源的充分利用和系统的安全稳定运行,有效降低日前市场电能生产成本,并减少弃风量,降低切负荷风险。The invention can ensure the full utilization of new energy resources and the safe and stable operation of the system, effectively reduce the electricity production cost in the day-ahead market, reduce the amount of abandoned wind, and reduce the risk of load shedding.
本发明所提模型将实时市场的平衡费用和备用购买费用同时纳入优化目标,以达到减少实时市场平衡压力的效果;同时引入备用约束和弃风量、切负荷量约束,并进行N-k安全校核,保障新能源资源的充分利用和系统的安全稳定运行。所提出的模型可充分利用新能源资源,有效降低日前市场电能生产成本,并减少弃风量,降低切负荷风险。The model proposed by the invention incorporates the balance cost of the real-time market and the reserve purchase cost into the optimization objective at the same time, so as to achieve the effect of reducing the balance pressure of the real-time market; at the same time, it introduces the reserve constraint, the air abandonment volume and the load shedding volume constraint, and performs N-k safety check, Ensure the full utilization of new energy resources and the safe and stable operation of the system. The proposed model can make full use of new energy resources, effectively reduce the cost of electricity production in the day-ahead market, reduce the amount of abandoned air, and reduce the risk of load shedding.
通过参照以下附图及对本发明的具体实施方式的详细描述,本发明的特征及优点将会变得清楚。The features and advantages of the present invention will become apparent by reference to the following drawings and detailed description of specific embodiments of the present invention.
附图说明Description of drawings
构成本发明的一部分的说明书附图用来提供对本发明的进一步理解,本发明的示意性实施例及其说明用于解释本发明,并不构成对本发明的不当限定。在附图中:The accompanying drawings forming a part of the present invention are used to provide further understanding of the present invention, and the exemplary embodiments of the present invention and their descriptions are used to explain the present invention, and do not constitute an improper limitation of the present invention. In the attached image:
图1是本发明的电力备用市场出清方法流程图;Fig. 1 is the flow chart of the method for clearing the power reserve market of the present invention;
图2是本发明的电力备用市场出清系统示意图;2 is a schematic diagram of the power reserve market clearing system of the present invention;
图3是本发明的提供的IEEE-30节点系统图;Fig. 3 is the IEEE-30 node system diagram provided by the present invention;
图4是本发明的新能源出力、负荷预测数据图。FIG. 4 is a graph of the output and load prediction data of the new energy source of the present invention.
具体实施方式Detailed ways
下面结合本发明实施例中的附图,对本发明实施例中的技术方案进行清楚、完整地描述,显然,所描述的实施例仅仅是本发明一部分实施例,而不是全部的实施例。基于本发明中的实施例,本领域普通技术人员在没有做出创造性劳动前提下所获得的所有其他实施例,都属于本发明保护的范围。The technical solutions in the embodiments of the present invention will be clearly and completely described below with reference to the drawings in the embodiments of the present invention. Obviously, the described embodiments are only a part of the embodiments of the present invention, rather than all the embodiments. Based on the embodiments of the present invention, all other embodiments obtained by those of ordinary skill in the art without creative efforts shall fall within the protection scope of the present invention.
实施例1Example 1
图1是本发明的电力备用市场出清方法流程图。如图1所示,本发明提供了一种电力备用市场出清方法,所述方法包括以下步骤:FIG. 1 is a flow chart of the method for clearing the power reserve market according to the present invention. As shown in FIG. 1 , the present invention provides a method for clearing the power reserve market, the method comprising the following steps:
S1:基于实时市场平衡费用和弃风失负荷惩罚建立日前市场出清模型;S1: Establish a day-ahead market clearing model based on the real-time market balance fee and the penalty for wind curtailment and loss of load;
具体地,将市场交易成本C最小作为目标函数,所述市场交易成本包括日前市场的成本 C1、实时市场的平衡成本期望值C2以及失负荷和弃风惩罚期望值C3。其中日前市场成本包括电能生产成本、备用成本、机组启停成本;实时市场的平衡成本期望值包括备用调用成本期望值和新能源实际多发(少发)获得的收益(损失)期望值。Specifically, taking the minimum market transaction cost C as the objective function, the market transaction cost includes the cost C1 of the day-ahead market, the equilibrium cost expectation value C2 of the real-time market, and the load loss and wind abandonment penalty expectation value C3 . The day-ahead market cost includes power production cost, backup cost, and unit start-stop cost; the expected value of the balance cost in the real-time market includes the expected value of the backup call cost and the expected value of the gain (loss) obtained by the actual more (less) generation of new energy.
minC=C1+C2+C3minC=C1 +C2 +C3
式中:C为总成本;C1为日前市场的成本;C2为实时市场的平衡费用期望值;C3为弃风和失负荷惩罚期望值。In the formula: C is the total cost; C1 is the cost of the day-ahead market; C2 is the expected value of the balance cost in the real-time market; C3 is the expected value of wind curtailment and loss of load penalty.
式中:分别代表常规机组、常规机组上备用以及常规机组下备用的启停状态,为0-1变量,其中0代表未启用,1代表启用;分别为常规机组和新能源机组的出力;分别为上、下备用容量;OFg,t、OFw,t、分别代表常规机组电能报价、能源机组电能报价、常规机组上备用报价、常规机组下备用报价。where: Represents the start-stop status of the conventional unit, the standby on the conventional unit and the standby under the conventional unit, which is a 0-1 variable, where 0 means not enabled, 1 means enabled; are the output of conventional units and new energy units, respectively; are the upper and lower reserve capacities, respectively; OFg,t , OFw,t , Respectively represent the electric energy quotation of conventional units, the electric energy quotation of energy units, the standby quotation of conventional generators, and the standby quotation of conventional generators.
式中:分别为上、下备用实际调用量;分别为上、下备用调用价格;为新能源出力调整量。where: are the actual call volume of the upper and lower standby respectively; The upper and lower reserve call prices are respectively; Adjustment amount for new energy output.
式中:为系统弃风量;为系统失负荷量;FDisW和FDisL分别为弃风惩罚费用、失负荷惩罚费用。where: Abandoned air volume for the system; is the system load loss; FDisW and FDisL are the wind abandonment penalty fee and the load loss penalty fee, respectively.
所述日前市场出清模型的约束条件包括:系统节点功率平衡约束、火电机组和新能源机组出力上下限约束、火电机组爬坡约束、备用约束、上下调备用状态约束、火电机组开停机时间约束、弃风量约束、切负荷量约束、实时市场机组调整量平衡约束和输电线路潮流约束:The constraints of the day-ahead market clearing model include: power balance constraints of system nodes, upper and lower output limits of thermal power units and new energy units, thermal power unit climbing constraints, backup constraints, up and down standby state constraints, and thermal power unit startup and shutdown time constraints , curtailment air volume constraint, load shedding volume constraint, real-time market unit adjustment volume balance constraint and transmission line power flow constraint:
式中,为t时段的系统负荷;Pg,max和Pg,min分别为常规机组出力的上、下限;Pw,max和 Pw,min分别为新能源机组出力的上、下限;LimREU和LimRED分别为上、下备用的限值;为新能源实际功率;xmn为线路mn的电抗值;表示机组已经连续开机和停机的时间;Ton,g、Toff,g表示机组开机和停机时间限制;URi和DRi为上下爬坡限制;为输电线路的传输功率;为输电线路的最大有功传输容量;为节点m的相角。以 b为上标的参数代表基本场景下的参数。In the formula, is the system load in period t; Pg,max and Pg,min are the upper and lower limits of the output of conventional units, respectively; Pw,max and Pw,min are the upper and lower limits of the output of new energy units, respectively; LimREU and LimRED is the upper and lower reserve limits, respectively; is the actual power of the new energy; xmn is the reactance value of the line mn; Represents the time that the unit has been started and stopped continuously; Ton,g , Toff,g represent the time limit for start-up and shutdown of the unit; URi and DRi are the up and down ramp limits; is the transmission power of the transmission line; is the maximum active power transmission capacity of the transmission line; is the phase angle of node m. The parameters with b as the superscript represent the parameters in the basic scene.
优选地,基于机组和线路的故障概率,对所述日前市场出清模型进行N-k安全校核,其中,输电线路和机组故障概率的不确定集合为:Preferably, an N-k safety check is performed on the day-a-day market clearing model based on the failure probabilities of units and lines, wherein the uncertain sets of failure probabilities of transmission lines and units are:
式中,Agt表示不确定情况下机组g的运行状态,0表示故障,1表示正常运行;NG表示机组数,kG表示故障机组数;BLlt表示不确定情况下线路l的运行状态,0表示故障,1表示正常运行;NL表示线路数,kL表示故障线路数。In the formula, Agt represents the operating state of unit g under uncertainty, 0 represents fault, 1 represents normal operation;NG represents the number of units, k G represents the number of faulty units; BL ltrepresentsthe operating state of line l under uncertainty , 0 means fault, 1 means normal operation;NL means the number of lines, k Lmeans the number of faulty lines.
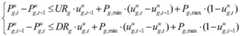
将步骤S1求解出的市场出清结果带入到不确定场景下进行安全校验,以最坏场景下电力系统的切负荷量最小为目标设定目标函数,约束条件包括:系统节点功率平衡约束、火电机组和新能源机组出力上下限约束、火电机组爬坡约束、备用约束、上下调备用状态约束、弃风量约束、切负荷量约束、实时市场机组调整量平衡约束、输电线路潮流约束和机组再调度约束。The market clearing result obtained in step S1 is brought into the uncertain scenario for safety verification, and the objective function is set with the minimum load shedding amount of the power system in the worst scenario as the goal, and the constraints include: system node power balance constraints , output upper and lower limit constraints of thermal power units and new energy units, thermal power unit climbing constraints, standby constraints, up and down standby state constraints, abandoned air volume constraints, load shedding constraints, real-time market unit adjustment volume balance constraints, transmission line power flow constraints and units Reschedule constraints.
其中,目标函数为:Among them, the objective function is:
约束条件包括:Constraints include:
式中,为t时段的系统负荷;Pg,max和Pg,min分别为常规机组出力的上、下限;Pw,max和Pw,min分别为新能源机组出力的上、下限;LimREU和LimRED分别为上、下备用的限值;为新能源实际功率;xmn为线路mn的电抗值;URi和DRi为上下爬坡限制;为输电线路的传输功率;为输电线路的最大有功传输容量;为节点m的相角。以u为上标的参数代表不确定场景下的参数。In the formula, is the system load in period t; Pg,max and Pg,min are the upper and lower limits of the output of conventional units, respectively; Pw,max and Pw,min are the upper and lower limits of the output of new energy units, respectively; LimREU and LimRED is the upper and lower reserve limits, respectively; is the actual power of the new energy; xmn is the reactance value of the line mn; URi and DRi are the up and down climbing limits; is the transmission power of the transmission line; is the maximum active power transmission capacity of the transmission line; is the phase angle of node m. Parameters with u as superscript represent parameters in uncertain scenarios.
S2:接收电力备用市场出清请求,请求进行电力备用市场出清;S2: Receive the power reserve market clearing request, and request the power reserve market clearing;
具体地,系统可以通过用户界面接收管理人员输入的电力备用市场出清请求,以触发系统进行电力备用市场出清计算。Specifically, the system can receive the power reserve market clearing request input by the administrator through the user interface, so as to trigger the system to perform the power reserve market clearing calculation.
S3:调用并基于所述日前市场出清模型的约束条件求解所述日前市场出清模型,得出电力备用市场出清结果;S3: Invoke and solve the day-ahead market clearing model based on the constraints of the day-ahead market clearing model, and obtain a power reserve market clearing result;
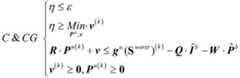
具体地,为了便于分析鲁棒优化方法的求解过程,采用紧凑的矩阵公式表示鲁棒CCUC模型。Specifically, in order to facilitate the analysis of the solution process of the robust optimization method, a compact matrix formula is used to represent the robust CCUC model.
上式是一个Max-Min优化问题,属于双层规划中的一种特殊形式,内外层优化相同,具有非线性难解的特点。因此采用对偶定理将上式的内层Min转化为Max形式可以得到如下式所示的Max型单层优化问题。The above equation is a Max-Min optimization problem, which belongs to a special form of two-layer programming. Therefore, using the duality theorem to convert the inner layer Min of the above formula into the Max form, the Max-type single-layer optimization problem as shown in the following formula can be obtained.
上式中,u表示上式内层优化问题的对偶变量。上式的决策变量为不确定变量S以及u。在上式的目标函数中存在非线形项uTgu(S)。本发明采用附加变量法将其转化为线性规划问题。以不确定变量BLlt为例说明。In the above formula, u represents the dual variable of the inner optimization problem of the above formula. The decision variables of the above formula are uncertain variables S and u. There is a nonlinear term uT gu (S) in the objective function of the above formula. The present invention uses the additional variable method to transform it into a linear programming problem. Take the uncertain variable BLlt as an example.
首先引入附加变量υlt=ult·BLlt。其次,用一组线性不等式组来代替原非线性项:An additional variable υlt = ult ·BLlt is first introduced. Second, replace the original nonlinear terms with a set of linear inequalities:
通过引入辅助变量将式中的非线性项线性化后,Max型单层优化问题转化为一个线性规划 (linear program,LP)问题,易于求解。After linearizing the nonlinear term in the formula by introducing auxiliary variables, the Max-type single-layer optimization problem is transformed into a linear program (LP) problem, which is easy to solve.
如果在最坏场景下的切负荷量高于预先设定的阈值,则生成C&CG最优割平面,安全阈值设定为10-3MWh。If the load shedding amount in the worst case is higher than the preset threshold, the C&CG optimal cut plane is generated, and the safety threshold is set to 10-3 MWh.
上式是一组线性约束,k表示迭代次数,通过迭代直到求解出可行解。The above formula is a set of linear constraints, k represents the number of iterations, and iterates until a feasible solution is solved.
S4:输出所述电力备用市场出清结果。S4: Outputting the power reserve market clearing result.
本步骤中,可通过人机交互界面输出电力备用市场出清结果,所述人机交互界面可以是显示器,或声音播放器等,以供管理人员能够直观获取电力备用市场出清结果,为决策提供参考。In this step, the power reserve market clearing result can be output through a human-computer interaction interface, and the human-computer interaction interface can be a display, or a sound player, etc., so that managers can intuitively obtain the power reserve market clearing result for decision-making. for reference.
本实施例能够保障新能源资源的充分利用和系统的安全稳定运行,有效降低日前市场电能生产成本,并减少弃风量,降低切负荷风险。This embodiment can ensure the full utilization of new energy resources and the safe and stable operation of the system, effectively reduce the electricity production cost in the day-ahead market, reduce the amount of abandoned wind, and reduce the risk of load shedding.
实施例2Example 2
图2是本发明的电力备用市场出清系统示意图。如图2所示,本发明还提供了一种电力备用市场出清系统,所述系统包括:FIG. 2 is a schematic diagram of the power reserve market clearing system of the present invention. As shown in FIG. 2, the present invention also provides a power reserve market clearing system, the system includes:
创建模块,用于基于实时市场平衡费用和弃风失负荷惩罚建立日前市场出清模型;Create a module for building a day-ahead market clearing model based on real-time market balance fees and wind curtailment loss penalty;
接收模块,用于接收电力备用市场出清请求,请求进行电力备用市场出清;The receiving module is used to receive the power reserve market clearing request, and request to clear the power reserve market;
调用模块,用于调用并基于所述日前市场出清模型的约束条件求解所述日前市场出清模型,得出电力备用市场出清结果;a calling module for calling and solving the day-ahead market clearing model based on the constraints of the day-ahead market clearing model, and obtaining a power reserve market clearing result;
输出模块,用于输出所述电力备用市场出清结果。The output module is used for outputting the power reserve market clearing result.
优选地,所述基于实时市场平衡费用和弃风失负荷惩罚建立日前市场出清模型,包括:Preferably, the establishment of a day-ahead market clearing model based on the real-time market balance fee and the penalty for wind curtailment and loss of load includes:
将市场交易成本C最小作为目标函数,所述市场交易成本包括日前市场的成本C1、实时市场的平衡成本期望值C2以及失负荷和弃风惩罚期望值C3:Taking the minimum market transaction cost C as the objective function, the market transaction cost includes the cost C1 of the day-ahead market, the equilibrium cost expectation value C2 of the real-time market, and the load loss and wind abandonment penalty expectation value C3 :
minC=C1+C2+C3minC=C1 +C2 +C3
其中,分别代表常规机组、常规机组上备用以及常规机组下备用的启停状态,为0-1变量,其中0代表未启用,1代表启用;分别为常规机组和新能源机组的出力;分别为上、下备用容量;OFg,t、OFw,t、分别代表常规机组电能报价、新能源机组电能报价、常规机组上备用报价、常规机组下备用报价;分别为上、下备用实际调用量;分别为上、下备用调用价格;为新能源出力调整量;为系统弃风量;为系统失负荷量;FDisW和FDisL分别为弃风惩罚费用、失负荷惩罚费用。in, Represents the start-stop status of the conventional unit, the standby on the conventional unit and the standby under the conventional unit, which is a 0-1 variable, where 0 means not enabled, 1 means enabled; are the output of conventional units and new energy units, respectively; are the upper and lower reserve capacities, respectively; OFg,t , OFw,t , Represents the electric energy quotation of conventional units, the electric energy quotation of new energy units, the standby quotation of conventional units, and the standby quotation of conventional units; are the actual call volume of the upper and lower standby respectively; The upper and lower reserve call prices are respectively; Adjustment for new energy output; Abandoned air volume for the system; is the system load loss; FDisW and FDisL are the wind abandonment penalty fee and the load loss penalty fee, respectively.
优选地,所述日前市场出清模型的约束条件包括系统节点功率平衡约束、火电机组和新能源机组出力上下限约束、火电机组爬坡约束、备用约束、上下调备用状态约束、火电机组开停机时间约束、弃风量约束、切负荷量约束、实时市场机组调整量平衡约束和输电线路潮流约束:Preferably, the constraints of the day-ahead market clearing model include power balance constraints of system nodes, upper and lower output limits of thermal power units and new energy units, thermal power unit ramping constraints, standby constraints, up and down standby state constraints, thermal power units on and off Time constraints, curtailment air volume constraints, load shedding volume constraints, real-time market unit adjustment volume balance constraints and transmission line power flow constraints:
式中,为t时段的系统负荷;Pg,max和Pg,min分别为常规机组出力的上、下限;Pw,max和Pw,min分别为新能源机组出力的上、下限;LimREU和LimRED分别为上、下备用的限值;为新能源实际功率;xmn为线路mn的电抗值;表示机组已经连续开机和停机的时间;Ton,g、Toff,g表示机组开机和停机时间限制;URi和DRi为上下爬坡限制;为输电线路的传输功率;为输电线路的最大有功传输容量;为节点m的相角。以b为上标的参数代表基本场景下的参数。In the formula, is the system load in period t; Pg,max and Pg,min are the upper and lower limits of the output of conventional units, respectively; Pw,max and Pw,min are the upper and lower limits of the output of new energy units, respectively; LimREU and LimRED is the upper and lower reserve limits, respectively; is the actual power of the new energy; xmn is the reactance value of the line mn; Represents the time that the unit has been started and stopped continuously; Ton,g , Toff,g represent the time limit for start-up and shutdown of the unit; URi and DRi are the up and down ramp limits; is the transmission power of the transmission line; is the maximum active power transmission capacity of the transmission line; is the phase angle of node m. The parameters with b as the superscript represent the parameters in the basic scene.
优选地,基于机组和线路的故障概率,对所述日前市场出清模型进行N-k安全校核,其中,输电线路和机组故障概率的不确定集合为:Preferably, an N-k safety check is performed on the day-a-day market clearing model based on the failure probabilities of units and lines, wherein the uncertain sets of failure probabilities of transmission lines and units are:
式中,Agt表示不确定情况下机组g的运行状态,0表示故障,1表示正常运行;NG表示机组数,kG表示故障机组数;BLlt表示不确定情况下线路l的运行状态,0表示故障,1表示正常运行;NL表示线路数,kL表示故障线路数。In the formula, Agt represents the operating state of unit g under uncertainty, 0 represents fault, 1 represents normal operation;NG represents the number of units, k G represents the number of faulty units; BL ltrepresentsthe operating state of line l under uncertainty , 0 means fault, 1 means normal operation;NL means the number of lines, k Lmeans the number of faulty lines.
优选地,根据所述电力备用市场出清结果在不同场景下进行安全校验,以电力系统的切负荷量最小为目标设定目标函数,约束条件包括:系统节点功率平衡约束、火电机组和新能源机组出力上下限约束、火电机组爬坡约束、备用约束、上下调备用状态约束、弃风量约束、切负荷量约束、实时市场机组调整量平衡约束、输电线路潮流约束和机组再调度约束,Preferably, the safety verification is performed in different scenarios according to the power reserve market clearing result, and the objective function is set with the minimum load shedding amount of the power system as the goal, and the constraints include: system node power balance constraints, thermal power units and new Energy unit output upper and lower limit constraints, thermal power unit climbing constraints, standby constraints, up and down standby state constraints, curtailment air volume constraints, load shedding constraints, real-time market unit adjustment volume balance constraints, transmission line power flow constraints and unit rescheduling constraints,
其中,目标函数为:Among them, the objective function is:
约束条件包括:Constraints include:
式中,为t时段的系统负荷;Pg,max和Pg,min分别为常规机组出力的上、下限;Pw,max和Pw,min分别为新能源机组出力的上、下限;LimREU和LimRED分别为上、下备用的限值;为新能源实际功率;xmn为线路mn的电抗值;URi和DRi为上下爬坡限制;为输电线路的传输功率;为输电线路的最大有功传输容量;为节点m的相角。以u为上标的参数代表不确定场景下的参数。In the formula, is the system load in period t; Pg,max and Pg,min are the upper and lower limits of the output of conventional units, respectively; Pw,max and Pw,min are the upper and lower limits of the output of new energy units, respectively; LimREU and LimRED is the upper and lower reserve limits, respectively; is the actual power of the new energy; xmn is the reactance value of the line mn; URi and DRi are the up and down climbing limits; is the transmission power of the transmission line; is the maximum active power transmission capacity of the transmission line; is the phase angle of node m. Parameters with u as superscript represent parameters in uncertain scenarios.
本发明实施例2中电力备用市场出清系统的各个模块的功能的具体实施过程与实施例1 中的各个步骤的实施过程相同,在此不再赘述。The specific implementation process of the functions of each module of the power reserve market clearing system in Embodiment 2 of the present invention is the same as the implementation process of each step in
实施例3Example 3
为使本领域技术人员更好地理解本发明以及了解本发明相对现有技术的优点,本实施例进行进一步的阐释。In order for those skilled in the art to better understand the present invention and the advantages of the present invention over the prior art, further explanations are provided in this embodiment.
如图3所示,为了验证本发明的日前出清模型的合理性,采用改进的IEEE 30系统作为算例。该系统有6台常规机组,电能报价设置为电能的一次函数。由于备用调用价格与发电商生产成本和备用容量报价有关,为了简化处理同时能够一定程度上反映备用调用的价格信号,常规机组的上下备用实际调用成本设置为在备用报价基础上加上电能报价的常数项。在20节点处接入一台容量为150MW的风电机组。由于风电几乎没有生产成本,将其报价按照最低来设置。系统弃风惩罚费用为500元/(MW·h),失负荷惩罚费用为2000元/(MW·h)。风电出力和负荷的预测数据如图4所示。所提出的模型在MATLAB 2016a上调用YALMIP和Gurobi-8.0.1 实现编程求解。As shown in FIG. 3 , in order to verify the rationality of the day-ahead clearing model of the present invention, an
将本发明的模型与另外2种模型进行对比以说明本发明模型的优越性。模型1为本发明所提模型;模型2为考虑弃风和失负荷惩罚但是不考虑实时市场平衡成本的模型;模型3为考虑失负荷成本和实时市场平衡成本但不加入弃风惩罚的模型。The model of the present invention is compared with two other models to illustrate the superiority of the model of the present invention.
表1展示了3种模型的生产成本、实时市场平衡成本、备用出清以及弃风情况。Table 1 shows the production cost, real-time market balance cost, reserve clearance, and wind curtailment for the three models.
表1不同模型的成本、备用出清和弃风情况Table 1 Costs, backup clearance and wind curtailment for different models
模型1和模型2的对比表明,本发明模型可以降低实时市场的平衡成本。模型2则由于未考虑实时市场平衡费用,可能通过较多的备用调用来抵消风电出力不确定性,通过牺牲经济性来使弃风量达到最低,并未达到经济性和环保性的综合最优。模型3的结果则表明,不考虑弃风惩罚费用的情况下,弃风量较大,而且由于备用调用价格机制的存在,模型将会通过增加日前常规机组出清量来降低备用出清和日内调用,不利于目前提高新能源消纳的发展目标。The comparison of
上述结果证明了本节模型通过合理配置备用,有效减少弃风量,并且取得了降低电能生产成本,提高风电消纳率的良好效果。本发明所提出的模型考虑备用、实时市场的平衡费用以及弃风和失负荷惩罚,其本质是对风电出力波动性做“事后评估”,因此在最优效益前提下可以充分利用风电功率。The above results prove that the model in this section can effectively reduce the amount of abandoned wind by reasonably configuring the backup, and achieve good results in reducing the cost of electricity production and improving the wind power consumption rate. The model proposed in the present invention considers reserve, balance cost of real-time market, wind abandonment and load loss penalty, and its essence is to do "post-assessment" of wind power output volatility, so wind power can be fully utilized under the premise of optimal benefits.
本发明提出的考虑N-k安全校核的辅助服务市场出清模型在修改后的IEEE-30节点系统上进行测试。The auxiliary service market clearing model proposed by the present invention considering N-k security check is tested on the modified IEEE-30 node system.
表2模型优化结果对比Table 2 Comparison of model optimization results
随着故障数量的增大,系统的总交易成本也相应增大。当kG=2时,无论输电线路是否故障,都不存在可行解,表明系统最多允许一台机组故障;同样地,系统最多允许3条线路故障。从表中可以看出,输电线路故障对交易影响不大,不会引起额外的总交易成本。虽然电力系统中大于N-3的停电事故概率很小,但这些停电事故可能会产生难以评估的结果。从系统安全角度来看,最多能够承受多达N-4个故障条件,验证了模型的有效性和可靠性。As the number of failures increases, the total transaction cost of the system increases accordingly. when kGWhen = 2, no feasible solution exists regardless of whether the transmission line is faulty, indicating that the system allows at most one unit to fail; similarly, the system allows at most 3 line faults. As can be seen from the table, transmission line failures have little impact on transactions and do not cause additional total transaction costs. While the probability of outages greater than N-3 in the power system is small, these outages can have consequences that are difficult to assess. From a system safety point of view, up to N-4 fault conditions can be tolerated, validating the validity and reliability of the model.
本领域内的技术人员应明白,本申请的实施例可提供为方法、系统、或计算机程序产品。因此,本申请可采用完全硬件实施例、完全软件实施例、或结合软件和硬件方面的实施例的形式。而且,本申请可采用在一个或多个其中包含有计算机可用程序代码的计算机可用存储介质 (包括但不限于磁盘存储器、CD-ROM、光学存储器等)上实施的计算机程序产品的形式。As will be appreciated by those skilled in the art, the embodiments of the present application may be provided as a method, a system, or a computer program product. Accordingly, the present application may take the form of an entirely hardware embodiment, an entirely software embodiment, or an embodiment combining software and hardware aspects. Furthermore, the present application may take the form of a computer program product embodied on one or more computer-usable storage media (including, but not limited to, disk storage, CD-ROM, optical storage, etc.) having computer-usable program code embodied therein.
本领域内的技术人员应明白,本发明的实施例可提供为方法、系统、或计算机程序产品。因此,本发明可采用完全硬件实施例、完全软件实施例、或结合软件和硬件方面的实施例的形式。而且,本发明可采用在一个或多个其中包含有计算机可用程序代码的计算机可用存储介质 (包括但不限于磁盘存储器、CD-ROM、光学存储器等)上实施的计算机程序产品的形式。As will be appreciated by one skilled in the art, embodiments of the present invention may be provided as a method, system, or computer program product. Accordingly, the present invention may take the form of an entirely hardware embodiment, an entirely software embodiment, or an embodiment combining software and hardware aspects. Furthermore, the present invention may take the form of a computer program product embodied on one or more computer-usable storage media having computer-usable program code embodied therein, including but not limited to disk storage, CD-ROM, optical storage, and the like.
本发明是参照根据本发明实施例的方法、设备(系统)、和计算机程序产品的流程图和/ 或方框图来描述的。应理解可由计算机程序指令实现流程图和/或方框图中的每一流程和/或方框、以及流程图和/或方框图中的流程和/或方框的结合。可提供这些计算机程序指令到通用计算机、专用计算机、嵌入式处理机或其他可编程数据处理设备的处理器以产生一个机器,使得通过计算机或其他可编程数据处理设备的处理器执行的指令产生用于实现在流程图一个流程或多个流程和/或方框图一个方框或多个方框中指定的功能的装置。The present invention is described with reference to flowchart illustrations and/or block diagrams of methods, apparatus (systems), and computer program products according to embodiments of the invention. It will be understood that each flow and/or block in the flowchart illustrations and/or block diagrams, and combinations of flows and/or blocks in the flowchart illustrations and/or block diagrams, can be implemented by computer program instructions. These computer program instructions may be provided to the processor of a general purpose computer, special purpose computer, embedded processor or other programmable data processing device to produce a machine such that the instructions executed by the processor of the computer or other programmable data processing device produce Means for implementing the functions specified in a flow or flow of a flowchart and/or a block or blocks of a block diagram.
这些计算机程序指令也可存储在能引导计算机或其他可编程数据处理设备以特定方式工作的计算机可读存储器中,使得存储在该计算机可读存储器中的指令产生包括指令装置的制造品,该指令装置实现在流程图一个流程或多个流程和/或方框图一个方框或多个方框中指定的功能。These computer program instructions may also be stored in a computer-readable memory capable of directing a computer or other programmable data processing apparatus to function in a particular manner, such that the instructions stored in the computer-readable memory result in an article of manufacture comprising instruction means, the instructions The apparatus implements the functions specified in the flow or flow of the flowcharts and/or the block or blocks of the block diagrams.
这些计算机程序指令也可装载到计算机或其他可编程数据处理设备上,使得在计算机或其他可编程设备上执行一系列操作步骤以产生计算机实现的处理,从而在计算机或其他可编程设备上执行的指令提供用于实现在流程图一个流程或多个流程和/或方框图一个方框或多个方框中指定的功能的步骤。These computer program instructions can also be loaded on a computer or other programmable data processing device to cause a series of operational steps to be performed on the computer or other programmable device to produce a computer-implemented process such that The instructions provide steps for implementing the functions specified in the flow or blocks of the flowcharts and/or the block or blocks of the block diagrams.
最后应当说明的是:以上实施例仅用以说明本发明的技术方案而非对其限制,尽管参照上述实施例对本发明进行了详细的说明,所属领域的普通技术人员应当理解:依然可以对本发明的具体实施方式进行修改或者等同替换,而未脱离本发明精神和范围的任何修改或者等同替换,其均应涵盖在本发明的权利要求保护范围之内。Finally, it should be noted that the above embodiments are only used to illustrate the technical solutions of the present invention rather than to limit them. Although the present invention has been described in detail with reference to the above embodiments, those of ordinary skill in the art should understand that: the present invention can still be Modifications or equivalent replacements are made to the specific embodiments of the present invention, and any modifications or equivalent replacements that do not depart from the spirit and scope of the present invention shall be included within the protection scope of the claims of the present invention.
| Application Number | Priority Date | Filing Date | Title |
|---|---|---|---|
| CN202110419580.8ACN113221330A (en) | 2021-04-19 | 2021-04-19 | Electric power standby market clearing method and system considering new energy participation |
| Application Number | Priority Date | Filing Date | Title |
|---|---|---|---|
| CN202110419580.8ACN113221330A (en) | 2021-04-19 | 2021-04-19 | Electric power standby market clearing method and system considering new energy participation |
| Publication Number | Publication Date |
|---|---|
| CN113221330Atrue CN113221330A (en) | 2021-08-06 |
| Application Number | Title | Priority Date | Filing Date |
|---|---|---|---|
| CN202110419580.8APendingCN113221330A (en) | 2021-04-19 | 2021-04-19 | Electric power standby market clearing method and system considering new energy participation |
| Country | Link |
|---|---|
| CN (1) | CN113221330A (en) |
| Publication number | Priority date | Publication date | Assignee | Title |
|---|---|---|---|---|
| CN117458441A (en)* | 2023-10-10 | 2024-01-26 | 河北电力交易中心有限公司 | A method for quantification and clearing of spare capacity considering new energy quality grading |
| CN119918311A (en)* | 2025-04-03 | 2025-05-02 | 浙江大学 | A power clearing assessment method considering aggregated resources and renewable energy output |
| Publication number | Priority date | Publication date | Assignee | Title |
|---|---|---|---|---|
| CN108183512A (en)* | 2018-02-23 | 2018-06-19 | 南方电网科学研究院有限责任公司 | Reliability assessment method for power system accessed with new energy |
| CN109787217A (en)* | 2018-11-20 | 2019-05-21 | 国网浙江省电力有限公司 | Based on the modified spare clearing method out of wind-powered electricity generation multistate model and opportunity cost |
| CN109932901A (en)* | 2019-01-22 | 2019-06-25 | 国网山西省电力公司电力科学研究院 | A Two-Stage Robust Unit Combination Method Considering Fault Constraints |
| CN110852535A (en)* | 2018-07-24 | 2020-02-28 | 华北电力大学 | Day-ahead market clearing model considering medium-long term trading and wind power uncertainty |
| CN112039127A (en)* | 2020-08-24 | 2020-12-04 | 国网山东省电力公司潍坊供电公司 | Day-ahead scheduling method and system considering wind power prediction error related characteristics |
| CN112668753A (en)* | 2020-12-01 | 2021-04-16 | 华电电力科学研究院有限公司 | Day-ahead safety constraint unit combination method for standby auxiliary service and electric energy coordinated optimization |
| Publication number | Priority date | Publication date | Assignee | Title |
|---|---|---|---|---|
| CN108183512A (en)* | 2018-02-23 | 2018-06-19 | 南方电网科学研究院有限责任公司 | Reliability assessment method for power system accessed with new energy |
| CN110852535A (en)* | 2018-07-24 | 2020-02-28 | 华北电力大学 | Day-ahead market clearing model considering medium-long term trading and wind power uncertainty |
| CN109787217A (en)* | 2018-11-20 | 2019-05-21 | 国网浙江省电力有限公司 | Based on the modified spare clearing method out of wind-powered electricity generation multistate model and opportunity cost |
| CN109932901A (en)* | 2019-01-22 | 2019-06-25 | 国网山西省电力公司电力科学研究院 | A Two-Stage Robust Unit Combination Method Considering Fault Constraints |
| CN112039127A (en)* | 2020-08-24 | 2020-12-04 | 国网山东省电力公司潍坊供电公司 | Day-ahead scheduling method and system considering wind power prediction error related characteristics |
| CN112668753A (en)* | 2020-12-01 | 2021-04-16 | 华电电力科学研究院有限公司 | Day-ahead safety constraint unit combination method for standby auxiliary service and electric energy coordinated optimization |
| Title |
|---|
| 王志成等: "考虑实时市场平衡费用的含风电日前市场电能-备用联合出清模型", 中国电力, vol. 53, no. 09, 30 September 2020 (2020-09-30), pages 19 - 27* |
| Publication number | Priority date | Publication date | Assignee | Title |
|---|---|---|---|---|
| CN117458441A (en)* | 2023-10-10 | 2024-01-26 | 河北电力交易中心有限公司 | A method for quantification and clearing of spare capacity considering new energy quality grading |
| CN119918311A (en)* | 2025-04-03 | 2025-05-02 | 浙江大学 | A power clearing assessment method considering aggregated resources and renewable energy output |
| CN119918311B (en)* | 2025-04-03 | 2025-09-30 | 浙江大学 | Power output assessment method considering aggregated resources and renewable energy output |
| Publication | Publication Date | Title |
|---|---|---|
| CN105846464B (en) | A kind of distributed generation resource is to the impact evaluation method and system of power distribution network | |
| CN105447775A (en) | Electric power day-ahead market match trade method with power grid safety constraint embedded therein | |
| CN114784882B (en) | Unit combination optimization processing method and device | |
| Hu et al. | Minimizing energy cost for green data center by exploring heterogeneous energy resource | |
| CN113221330A (en) | Electric power standby market clearing method and system considering new energy participation | |
| CN111523827A (en) | A method and system for selecting nodes in inter-provincial transaction agency mode | |
| CN115392699A (en) | Micro-grid distributed energy management method and system considering user privacy security | |
| CN114386236A (en) | Planning method and system for reasonable utilization rate of new energy consumption | |
| CN108429249A (en) | A kind of the economic results in society computational methods and system of electric system peak-frequency regulation | |
| CN118504815A (en) | Virtual power plant double optimization method considering source load uncertainty and electric carbon coupling | |
| CN117353310A (en) | A distribution network reliability assessment method and device | |
| CN116365585A (en) | Construction method, device and terminal equipment of new energy grid planning model | |
| CN110580538A (en) | A method and device for predicting backup demand of power system | |
| CN116131318A (en) | Two-stage robust optimization control method and device for toughness-oriented lifting active power distribution network | |
| CN110808614A (en) | New energy consumption capacity calculation method and system based on peak regulation of receiving-end power grid and main grid frame conveying capacity constraint and storage medium | |
| CN113919967A (en) | Evaluation Method and System for Dynamically Evaluating System Standby Requirements | |
| CN113762632A (en) | A collaborative optimization operation method and system for an electrical integrated energy system | |
| CN107622331A (en) | A kind of generating set and the optimization method and device of power consumer direct dealing mode | |
| CN115115133B (en) | Parallel operation control method and device of generator and computer program product | |
| CN118134572A (en) | A new energy distributed trading method and system for distribution network under energy sharing framework | |
| CN114188950B (en) | Resilience improvement method of power distribution system based on backup mobile energy storage emergency dispatch | |
| CN111952967B (en) | A method, system and equipment for power failure recovery in a multi-microgrid system | |
| CN115392709A (en) | Multi-energy park planning method, system, computer equipment and storage medium | |
| CN110707712B (en) | A Reliability Analysis Method of Microgrid Power Supply Considering Demand Response | |
| CN114759612A (en) | Interconnected power grid power generation and standby combined optimization method and system and storage medium |
| Date | Code | Title | Description |
|---|---|---|---|
| PB01 | Publication | ||
| PB01 | Publication | ||
| SE01 | Entry into force of request for substantive examination | ||
| SE01 | Entry into force of request for substantive examination |