Movatterモバイル変換


[0]ホーム

URL:


CN113205601A - 漫游路径生成方法、装置、存储介质及电子设备 - Google Patents

漫游路径生成方法、装置、存储介质及电子设备
Download PDF

Info

Publication number
CN113205601A
CN113205601ACN202110587665.7ACN202110587665ACN113205601ACN 113205601 ACN113205601 ACN 113205601ACN 202110587665 ACN202110587665 ACN 202110587665ACN 113205601 ACN113205601 ACN 113205601A
Authority
CN
China
Prior art keywords
target
point
room
scene
roaming
Prior art date
Legal status (The legal status is an assumption and is not a legal conclusion. Google has not performed a legal analysis and makes no representation as to the accuracy of the status listed.)
Granted
Application number
CN202110587665.7A
Other languages
English (en)
Other versions
CN113205601B (zh
Inventor
金泽
杨淼
刘明荣
Current Assignee (The listed assignees may be inaccurate. Google has not performed a legal analysis and makes no representation or warranty as to the accuracy of the list.)
Beijing Youzhuju Network Technology Co Ltd
Original Assignee
Beijing Youzhuju Network Technology Co Ltd
Priority date (The priority date is an assumption and is not a legal conclusion. Google has not performed a legal analysis and makes no representation as to the accuracy of the date listed.)
Filing date
Publication date
Application filed by Beijing Youzhuju Network Technology Co LtdfiledCriticalBeijing Youzhuju Network Technology Co Ltd
Priority to CN202110587665.7ApriorityCriticalpatent/CN113205601B/zh
Publication of CN113205601ApublicationCriticalpatent/CN113205601A/zh
Application grantedgrantedCritical
Publication of CN113205601BpublicationCriticalpatent/CN113205601B/zh
Activelegal-statusCriticalCurrent
Anticipated expirationlegal-statusCritical

Links

Images

Classifications

Landscapes

Abstract

本公开涉及一种漫游路径生成方法、装置、存储介质及电子设备,以解决相机点位不连续的问题,使得场景漫游路径连续,提升用户对场景设计效果的浏览体验。该方法包括:确定室内场景对应的目标场景俯视图;在所述目标场景俯视图中,确定所述室内场景中不存在物品遮挡的可达像素点,并根据所述可达像素点,确定所述室内场景中每一房间内的漫游路径;确定所述室内场景对应的树结构,并根据所述树结构,确定所述室内场景中各房间之间的漫游路径;在所述每一房间内的漫游路径和各房间之间的漫游路径中选择目标相机点位,并根据所述目标相机点位生成用户漫游路径。

Description

漫游路径生成方法、装置、存储介质及电子设备
技术领域
本公开涉及计算机技术领域,具体地,涉及一种漫游路径生成方法、装置、存储介质及电子设备。
背景技术
随着虚拟现实技术的快速发展,场景设计领域也开始将该技术应用到场景漫游的任务中,比如室内场景设计领域中通过虚拟现实技术进行场景漫游。具体地,当用户通过电子设备在虚拟空间中设计好场景后,可以选择相机点位,渲染场景并且快速浏览当前场景的设计效果。
但是,相关技术通常是人工选择相机点位,存在相机点位不连续的问题,从而无法形成连续的用户漫游路径,影响用户对场景设计效果的浏览体验。
发明内容
提供该发明内容部分以便以简要的形式介绍构思,这些构思将在后面的具体实施方式部分被详细描述。该发明内容部分并不旨在标识要求保护的技术方案的关键特征或必要特征,也不旨在用于限制所要求的保护的技术方案的范围。
第一方面,本公开提供一种漫游路径生成方法,所述方法包括:
确定室内场景对应的目标场景俯视图;
在所述目标场景俯视图中,确定所述室内场景中不存在物品遮挡的可达像素点,并根据所述可达像素点,确定所述室内场景中每一房间内的漫游路径;
确定所述室内场景对应的树结构,并根据所述树结构,确定所述室内场景中各房间之间的漫游路径,其中所述树结构中的节点表征所述室内场景中的房间,所述节点间的关系用于表征所述室内场景中各房间的连通关系;
在所述每一房间内的漫游路径和各房间之间的漫游路径中选择目标相机点位,并根据所述目标相机点位生成用户漫游路径。
第二方面,本公开提供一种漫游路径生成装置,所述装置包括:
第一确定模块,用于确定室内场景对应的目标场景俯视图;
第二确定模块,用于在所述目标场景俯视图中,确定所述室内场景中不存在物品遮挡的可达像素点,并根据所述可达像素点,确定所述室内场景中每一房间内的漫游路径;
第三确定模块,用于确定所述室内场景对应的树结构,并根据所述树结构,确定所述室内场景中各房间之间的漫游路径,其中所述树结构中的节点表征所述室内场景中的房间,所述节点间的关系用于表征所述室内场景中各房间的连通关系;
生成模块,用于在所述每一房间内的漫游路径和各房间之间的漫游路径中选择目标相机点位,并根据所述目标相机点位生成用户漫游路径。
第三方面,本公开提供一种计算机可读介质,其上存储有计算机程序,该程序被处理装置执行时实现第一方面中所述方法的步骤。
第四方面,本公开提供一种电子设备,包括:
存储装置,其上存储有计算机程序;
处理装置,用于执行所述存储装置中的所述计算机程序,以实现第一方面中所述方法的步骤。
通过上述技术方案,可以先确定室内场景中每一房间的漫游路径以及各房间之间的漫游路径,然后在每一房间的漫游路径以及各房间之间的漫游路径选择目标相机点位。由于目标相机点位是从连续的房间漫游路径上选择得到的,因此可以避免相机点位不连续的问题,使得根据该目标相机点位生成的用户漫游路径连续,从而提升用户对场景设计效果的浏览体验。
本公开的其他特征和优点将在随后的具体实施方式部分予以详细说明。
附图说明
结合附图并参考以下具体实施方式,本公开各实施例的上述和其他特征、优点及方面将变得更加明显。贯穿附图中,相同或相似的附图标记表示相同或相似的元素。应当理解附图是示意性的,原件和元素不一定按照比例绘制。在附图中:
图1是根据本公开一示例性实施例示出的一种漫游路径生成方法的流程图;
图2是根据本公开一示例性实施例示出的一种漫游路径生成装置的框图;
图3是根据本公开一示例性实施例示出的一种电子设备的框图。
具体实施方式
下面将参照附图更详细地描述本公开的实施例。虽然附图中显示了本公开的某些实施例,然而应当理解的是,本公开可以通过各种形式来实现,而且不应该被解释为限于这里阐述的实施例,相反提供这些实施例是为了更加透彻和完整地理解本公开。应当理解的是,本公开的附图及实施例仅用于示例性作用,并非用于限制本公开的保护范围。
应当理解,本公开的方法实施方式中记载的各个步骤可以按照不同的顺序执行,和/或并行执行。此外,方法实施方式可以包括附加的步骤和/或省略执行示出的步骤。本公开的范围在此方面不受限制。
本文使用的术语“包括”及其变形是开放性包括,即“包括但不限于”。术语“基于”是“至少部分地基于”。术语“一个实施例”表示“至少一个实施例”;术语“另一实施例”表示“至少一个另外的实施例”;术语“一些实施例”表示“至少一些实施例”。其他术语的相关定义将在下文描述中给出。
需要注意,本公开中提及的“第一”、“第二”等概念仅用于对不同的装置、模块或单元进行区分,并非用于限定这些装置、模块或单元所执行的功能的顺序或者相互依存关系。另外需要注意,本公开中提及的“一个”、“多个”的修饰是示意性而非限制性的,本领域技术人员应当理解,除非在上下文另有明确指出,否则应该理解为“一个或多个”。
本公开实施方式中的多个装置之间所交互的消息或者信息的名称仅用于说明性的目的,而并不是用于对这些消息或信息的范围进行限制。
正如背景技术所言,相关技术通常是人工选择相机点位,存在相机点位不连续的问题,从而无法形成连续的用户漫游路径,影响用户对场景设计效果的浏览。有鉴于此,本公开实施例提供一种漫游路径生成方法,以解决相机点位不连续的问题,使得用户漫游路径连续,提升用户对场景设计效果的浏览体验。
图1是根据本公开一示例性实施例示出的一种漫游路径生成方法的流程图。参照图1,该漫游路径生成方法包括:
步骤101,确定室内场景对应的目标场景俯视图;
步骤102,在目标场景俯视图中,确定室内场景中不存在物品遮挡的可达像素点,并根据可达像素点,确定室内场景中每一房间内的漫游路径。
步骤103,确定室内场景对应的树结构,并根据树结构,确定室内场景中各房间之间的漫游路径。其中树结构中的节点表征室内场景中的房间,节点间的关系用于表征室内场景中各房间的连通关系;
步骤104,在每一房间内的漫游路径和各房间之间的漫游路径中选择目标相机点位,并根据目标相机点位生成用户漫游路径。
通过上述方式,可以先确定室内场景中每一房间的漫游路径以及各房间之间的漫游路径,然后在每一房间的漫游路径以及各房间之间的漫游路径选择目标相机点位。由于目标相机点位是从连续的房间漫游路径上选择得到的,因此可以避免相机点位不连续的问题,使得根据该目标相机点位生成的用户漫游路径连续,从而提升用户对场景设计效果的浏览体验。
为了使得本领域技术人员更加理解本公开提供的漫游路径生成方法,下面对上述各步骤进行详细举例说明。
示例地,可以从三维场景图中读取室内场景的房间结构信息和该室内场景中各物品的布局信息,比如可以读取室内场景中墙、窗等房间结构信息,并读取室内场景中物品的朝向、大小及位置信息。同时可以创建空白的二维图像,然后根据房间结构信息在该二维图像中添加对应的线段,该线段的像素值可以设定为1,从而与该二维图像中空白区域像素值为0的像素点进行区分。当然,在本公开具体实施时,也可以对该线段设定其他非0像素值,本公开实施例对此不作限定。另外应当理解的是,为了后续漫游路径的生成,室内场景中门的位置可以留空,即门的位置处像素点的像素值可以为0。
同时,还可以根据布局信息,在该二维图像中添加对应的遮挡像素点,从而得到室内场景对应的场景俯视图。其中,遮挡像素点比如可以是像素值为1的像素点,从而与空白区域像素值为0的像素点进行区分。当然,在本公开具体实施时,也可以对遮挡像素点设定其他非0像素值,本公开实施例对此不作限定。
通过上述方式得到目标场景俯视图后,可以将室内场景的矢量表达(即三维表达)转化为二维像素表达,并且通过像素值的设定,可以区分室内场景中有物品遮挡和没有物品遮挡的区域,从而确定该室内场景中的可通行区域,便于后续漫游路径的生成。
应当理解的是,目标场景俯视图的分辨率越高,则代表可放置的相机点位越多,计算的时间复杂度越高。所以为了减少时间复杂度需要降低分辨率。也即是说,在可能的方式中,确定室内场景对应的目标场景俯视图可以是:先确定目标场景对应的初始场景俯视图,然后降低初始场景俯视图的分辨率,以得到室内场景对应的目标场景俯视图。
本公开实施例中,后续需要确定漫游路径,从而确定相机点位的过程中需要考虑用户的行走路径。在初始场景俯视图中,由于分辨率较高,因此用户的行走路径宽度可能对应较多的像素点。在本公开实施例中,为了降低分辨率,可以降低初始场景俯视图中用户的行走路径对应的像素点数量。示例地,可以先根据用户的实际行走路径宽度和预设的行走路径像素宽度,确定分辨率比例,然后根据初始场景俯视图的长度、宽度和分辨率比例,降低初始场景俯视图的分辨率。
示例地,预设的行走路径像素宽度可以表征降低分辨率的程度,该行走路径像素宽度越大,则分辨率降低程度越小,反之该行走路径像素宽度越小,则分辨率降低程度越大。例如,用户的实际行走路径宽度为30厘米,预设的行走路径像素宽度为1个像素点,则可以得到一具体的分辨率比例。然后,在初始场景俯视图的长度为X(单位为米),宽度为Y(单位为米)的情况下,根据该分辨率比例,可以确定一像素长度和像素宽度,该像素长度和像素宽度即为降低分辨率后目标场景俯视图的分辨率。因此,通过此种方式,可以实现降低初始场景俯视图的分辨率,得到目标场景俯视图的目的。
在可能的方式中,还可以先把初始场景俯视图划分为多个网格,每一网格的宽度可以通过分辨率比例和初始场景俯视图的像素长度和像素宽度得到。之后,可以将每一网格中最大像素值作为该网格中所有像素点的像素值。由此可以实现降低初始场景俯视图分辨率的目的,从而减少后续计算的时间复杂度,提高漫游路径的生成效率。
在确定室内场景对应的目标场景俯视图后,可以在目标场景俯视图中,确定室内场景中不存在物品遮挡的可达像素点,然后根据该可达像素点,确定室内场景中每一房间内的漫游路径。
示例地,在前文已有说明,目标场景俯视图中空白区域的像素点的像素值为0,因此可以将目标场景俯视图中像素值为0的像素点确定为室内场景中不存在物品遮挡的可达像素点。
在可能的方式中,根据可达像素点,确定室内场景中每一房间内的漫游路径可以是:将室内场景中每一房间内的所有可达像素点作为节点,并在相邻的可达像素点表征的节点之间建立边,得到每一房间对应的图结构。然后针对每一房间,在该房间的入口所覆盖的像素点中选取目标像素点,并将目标像素点表征的节点作为起始点,将房间内所有可达像素点表征的节点分别作为终点,根据图结构确定起始点到所有终点之间的最短路径,在所有最短路径中选择最长的路径作为该房间的漫游路径。
示例地,房间的入口所覆盖的像素点可以是房间的进入门所覆盖的像素点,则目标像素点可以是房间进入门的中心点所在的像素点。也即是说,可以将房间进入门的中心点所在的像素点为路径起始点,房间内所有可达像素作为路径终点。然后,可以利用最短路径算法找到路径起始点和所有路径终点的最短路径。由于房间内的可达像素点为多个,则可以对应得到多条最短路径。最后,可以从该多条最短路径中选择最长的路径作为该房间的漫游路径,以确保漫游路径对该房间的覆盖程度。
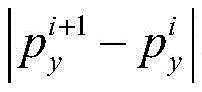
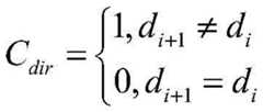
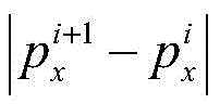
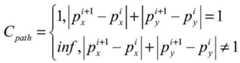
另外,在具体实施时,期望的是漫游路径最短且漫游路径有尽可能少的拐点,因此在通过最短路径算法确定最短路径的过程中,可以在代价函数中增加路径变化方向的代价。比如,可以按照如下公式计算代价函数:
C=Cpath+Cdir
Figure BDA0003088286910000071
Figure BDA0003088286910000081
其中,
Figure BDA0003088286910000082
表示漫游路径中第i个像素点的位置坐标x,
Figure BDA0003088286910000083
表示漫游路径中第i个像素点的位置坐标y,
Figure BDA0003088286910000084
表示漫游路径中第i+1个像素点的位置坐标x,
Figure BDA0003088286910000085
表示漫游路径中第i+1个像素点的位置坐标y,
Figure BDA0003088286910000086
表示
Figure BDA0003088286910000087
减去
Figure BDA0003088286910000088
的差的绝对值,
Figure BDA0003088286910000089
表示
Figure BDA00030882869100000810
减去
Figure BDA00030882869100000811
的差的绝对值,inf表示无穷大的数值,di表示漫游路径中第i个像素点的方向,di+1表示漫游路径中第i+1个像素点的方向。由此,根据代价函数结果最小的漫游路径,既可以得到最短漫游路径,还可以使得该最短漫游路径中拐点较少。
通过上述方式,可以将室内场景中每一房间内的所有可达像素点作为节点,建立每一房间对应的图结构,从而根据该图结构和最短路径算法确定室内场景中每一房间的漫游路径,进而可以在每一房间的漫游路径上选择相机点位,保证相机点位的连续性。
在确定室内场景中每一房间的漫游路径之后,可以确定室内场景对应的树结构,并根据该树结构,确定室内场景中各房间之间的漫游路径。
在可能的方式中,可以从树结构的最底层节点开始进行层次遍历,在每次遍历过程中,在节点对应的房间入口所覆盖的像素点中选取目标像素点,将目标像素点作为起始点,并确定节点的父节点,将父节点对应的房间的漫游路径所占用的像素点作为终点,确定起始点和所有终点之间的最短路径,然后在所有最短路径中确定最短的路径作为该节点对应的房间和父节点对应的房间之间的漫游路径。
示例地,可以将室内场景中的每个房间作为节点,并且在有连接的两个房间所对应的节点之间建立边,比如在有门连通的两个房间所对应的节点之间建立边,得到室内场景对应的图结构。然后,可以将室内场景中入户门所在房间对应的节点为起始点,进行广度优先遍历,直到遍历完所有节点,得到室内场景对应的树结构。应当理解的是,该树结构中,每个子节点与其父节点联通的门作为该子节点表征的房间的进入门,根节点表征的房间的进入门为入户门。
在得到室内场景对应的树结构后,可以从该树结构的最底层节点开始进行层次遍历。在每次遍历过程中,以每个节点所表征房间进入门的中心点所在像素为路径起始点,父节点房间内已经确定的漫游路径所占用的像素点作为路径终点。由于漫游路径具有一定长度和宽度,因此可以得到多个路径终点。然后,可以计算路径起始点和该多个路径终点的最短路径,得到多个最短路径。最后从该多个最短路径中选择最短的作为连通该节点表征的房间和父节点表征的房间之间的漫游路径,从而使得室内场景中房间之间的漫游路径最短,减少房间之间的漫游切换时间,提升场景漫游效率。
在确定每一房间内的漫游路径和各房间之间的漫游路径后,可以从这些漫游路径中选择目标相机点位,避免相机点位不连续的问题,使得根据该目标相机点位生成的漫游路径连续,提升用户对场景设计效果的浏览体验。
在可能的方式中,可以在每一房间内的漫游路径和各房间之间的漫游路径上选择以下至少一种类型的位置点作为目标相机点位:漫游路径上的拐点、起始点、终点、漫游路径之间的交叉点。其中,拐点表示漫游路径上方向发生变化的位置点。
应当理解的是,若在每一房间内的漫游路径和各房间之间的漫游路径上选择上述所有类型的位置点,则可以保证室内场景中所有目标相机点位之间是可达的,从而使得根据该目标相机点位生成的漫游路径连续。但是,相机点位的数量越多,会增加场景浏览过程中的渲染时间,因此还可以对上述各类型的位置点进行筛选。
在可能的方式中,还可以针对室内场景中的每一房间,对该房间内的所有可达像素点进行聚类,并将聚类的中心点确定为关键位置点。相应地,在每一房间内的漫游路径和各房间之间的漫游路径中选择目标相机点位可以是:在每一房间内的漫游路径和各房间之间的漫游路径上选择以下至少一种类型的候选位置点:漫游路径上的拐点、起始点、终点、漫游路径之间的交叉点,然后在候选位置点中确定使得关键位置点之间能够连通的目标位置点,并将目标位置点和关键位置点确定为目标相机点位。
为了更好的展示场景设计效果,期望的是在尽量空旷的区域内选择相机点,而空旷的区域往往是可达像素点比较聚集的位置。因此,本公开实施例中可以先对每一房间内的所有可达像素点进行聚类,然后将聚类的中心确定为关键位置点,后续则可以根据该关键位置点确定相机点位。由此,相机点位的密集程度适中,可以减少相机点位过于密集而导致场景浏览过程中耗费大量资源进行场景渲染的问题。
示例地,可以根据每一房间内的所有可达像素点的坐标位置构成一个点集,然后通过K-Means算法等聚类算法对该点集做聚类,并找到聚类的中心点。其中,对于面积较大的房间可以选择2个聚类中心点,而对面积较小的房间可以选择1个聚类中心点,本公开实施例对此不作限定。然后,则可以把每一房间的聚类中心点作为关键位置点。
在确定关键位置点后,可以确定候选位置点。应当理解的是,关键位置点是可以较好展示设计效果的相机点位,候选位置点是为了满足相机之间可达性而选取的相机点位。此外,为了减少场景渲染时间,相机点位的个数越少越好。因此,在得到关键位置点和候选位置点后,优选的是在尽可能少的选择候选位置点的情况下保证所有关键位置点之间可达。
在本公开实施例中,可以在候选位置点中确定使得关键位置点之间能够连通的目标位置点,并将目标位置点和关键位置点确定为目标相机点位。由此,既可以保证目标相机点位间可达,又可以保证目标相机点位的密集程度适中,减少场景浏览过程中的场景渲染时间。
在可能的方式中,在候选位置点中确定使得关键位置点之间能够连通的目标位置点,并将目标位置点和关键位置点确定为目标相机点位可以是:将所有关键位置点和候选位置点作为候选相机点位,并将每一候选相机点位作为节点,在可连通的候选相机点位所表征的节点之间建立边,得到目标图结构,根据目标图结构,在允许增加额外节点的情况下,确定包含目标节点的最小生成树,其中目标节点是关键位置点对应的节点,额外节点是候选位置点中目标位置点对应的节点,然后根据最小生成树中每一节点表征的位置点确定目标相机点位。
示例地,可连通的候选相机点位可以理解为在目标场景俯视图中没有家具、墙遮挡的候选相机点位。在可连通的候选相机点位所表征的节点之间建立边,该边的长度可以是候选相机点位间的欧式距离。在得到目标图结构后,可以先给目标图结构中的每个节点设置单独的节点ID,并且记录关键位置点对应的节点ID,从而通过节点ID可以确定最终得到的最小生成树是否包含关键位置点对应的节点。
在得到目标图结构后,可以基于斯坦纳树(Steiner Tree)算法,在允许增加额外节点的情况下,确定包含目标节点的最小生成树。其中,额外节点是候选位置点中目标位置点对应的节点,即额外节点是从候选位置点中筛选出的节点,并且额外节点可以使得目标节点之间可以连通。目标节点是指关键位置点对应的节点。在可能的情况下,若某些关键位置点对应的节点无法连接其它候选位置点对应的节点和其他关键位置点对应的节点,则可以删除该关键位置点对应的节点,即最小生成树中可以不包括该关键位置点对应的节点。
应当理解的是,最小生成树的性质能够保证树中的节点之间都是相互可达的,并且由于最小生成树包括关键位置点对应的节点,因此根据最小生成树中每一节点表征的位置点确定目标相机点位,既可以保证目标相机点位间可达,又可以保证目标相机点位的密集程度适中,减少场景浏览过程中的场景渲染时间。
在确定目标相机点位后,则可以根据该目标相机点位生成用户漫游路径。应当理解的是,该用户漫游路径是在用户浏览室内场景过程中生成的,区别于前文的每一房间内的漫游路径和各房间之间的漫游路径。在本公开实施例中,由于目标相机点位是从连续的房间漫游路径上选择得到的,因此可以避免相机点位不连续的问题,使得根据该目标相机点位生成的用户漫游路径连续,从而提升用户对场景设计效果的浏览体验。
基于同一发明构思,本公开实施例还提供一种漫游路径生成装置,该装置可以通过软件、硬件或者两者结合的方式成为电子设备的部分或全部。参照图2,该漫游路径生成装置200可以包括:
第一确定模块201,用于确定室内场景对应的目标场景俯视图;
第二确定模块202,用于在所述目标场景俯视图中,确定所述室内场景中不存在物品遮挡的可达像素点,并根据所述可达像素点,确定所述室内场景中每一房间内的漫游路径;
第三确定模块203,用于确定所述室内场景对应的树结构,并根据所述树结构,确定所述室内场景中各房间之间的漫游路径,其中所述树结构中的节点表征所述室内场景中的房间,所述节点间的关系用于表征所述室内场景中各房间的连通关系;
生成模块204,用于在所述每一房间内的漫游路径和各房间之间的漫游路径中选择目标相机点位,并根据所述目标相机点位生成用户漫游路径。
可选地,所述第一确定模块201用于:
确定所述目标场景对应的初始场景俯视图;
降低所述初始场景俯视图的分辨率,以得到所述室内场景对应的目标场景俯视图。
可选地,所述第二确定模块202用于:
将所述室内场景中每一房间内的所有可达像素点作为节点,并在相邻的所述可达像素点表征的节点之间建立边,得到所述每一房间对应的图结构;
针对每一房间,在所述房间的入口所覆盖的像素点中选取目标像素点,并将所述目标像素点表征的节点作为起始点,将所述房间内所有可达像素点表征的节点分别作为终点,根据所述图结构确定所述起始点到所有终点之间的最短路径,在所有最短路径中选择最长的路径作为所述房间的漫游路径。
可选地,第三确定模块203用于:
从所述树结构的最底层节点开始进行层次遍历;
在每次遍历过程中,在节点对应的房间入口所覆盖的像素点中选取目标像素点,将所述目标像素点作为起始点,并确定所述节点的父节点,将所述父节点对应的房间的漫游路径所占用的像素点作为终点,确定所述起始点和所有终点之间的最短路径,在所有最短路径中确定最短的路径作为所述节点对应的房间和所述父节点对应的房间之间的漫游路径。
可选地,所述生成模块204用于:
在所述每一房间内的漫游路径和各房间之间的漫游路径上选择以下至少一种类型的位置点作为目标相机点位:所述漫游路径上的拐点、起始点、终点、所述漫游路径之间的交叉点。
可选地,所述装置200还包括:
聚类模块,用于针对所述室内场景中的每一房间,对所述房间内的所有可达像素点进行聚类,并将聚类的中心点确定为关键位置点;
所述生成模块204用于:
在所述每一房间内的漫游路径和各房间之间的漫游路径上选择以下至少一种类型的候选位置点:所述漫游路径上的拐点、起始点、终点、所述漫游路径之间的交叉点;
在所述候选位置点中确定使得所述关键位置点之间能够连通的目标位置点,并将所述目标位置点和所述关键位置点确定为目标相机点位。
可选地,所述生成模块204用于:
将所有关键位置点和候选位置点作为候选相机点位,并将每一候选相机点位作为节点,在可连通的候选相机点位所表征的节点之间建立边,得到目标图结构,根据所述目标图结构,在允许增加额外节点的情况下,确定包含目标节点的最小生成树,其中所述目标节点是所述关键位置点对应的节点,所述额外节点是所述候选位置点中目标位置点对应的节点;
根据所述最小生成树中每一节点表征的位置点确定目标相机点位。
关于上述实施例中的装置,其中各个模块执行操作的具体方式已经在有关该方法的实施例中进行了详细描述,此处将不做详细阐述说明。
基于同一发明构思,本公开实施例还提供一种计算机可读介质,其上存储有计算机程序,该程序被处理装置执行时实现上述任一漫游路径生成方法的步骤。
基于同一发明构思,本公开实施例还提供一种电子设备,包括:
存储装置,其上存储有计算机程序;
处理装置,用于执行所述存储装置中的所述计算机程序,以实现上述任一漫游路径生成方法的步骤。
下面参考图3,其示出了适于用来实现本公开实施例的电子设备300的结构示意图。本公开实施例中的终端设备可以包括但不限于诸如移动电话、笔记本电脑、数字广播接收器、PDA(个人数字助理)、PAD(平板电脑)、PMP(便携式多媒体播放器)、车载终端(例如车载导航终端)等等的移动终端以及诸如数字TV、台式计算机等等的固定终端。图3示出的电子设备仅仅是一个示例,不应对本公开实施例的功能和使用范围带来任何限制。
如图3所示,电子设备300可以包括处理装置(例如中央处理器、图形处理器等)301,其可以根据存储在只读存储器(ROM)302中的程序或者从存储装置308加载到随机访问存储器(RAM)303中的程序而执行各种适当的动作和处理。在RAM 303中,还存储有电子设备300操作所需的各种程序和数据。处理装置301、ROM 302以及RAM 303通过总线304彼此相连。输入/输出(I/O)接口305也连接至总线304。
通常,以下装置可以连接至I/O接口305:包括例如触摸屏、触摸板、键盘、鼠标、摄像头、麦克风、加速度计、陀螺仪等的输入装置306;包括例如液晶显示器(LCD)、扬声器、振动器等的输出装置307;包括例如磁带、硬盘等的存储装置308;以及通信装置309。通信装置309可以允许电子设备300与其他设备进行无线或有线通信以交换数据。虽然图3示出了具有各种装置的电子设备300,但是应理解的是,并不要求实施或具备所有示出的装置。可以替代地实施或具备更多或更少的装置。
特别地,根据本公开的实施例,上文参考流程图描述的过程可以被实现为计算机软件程序。例如,本公开的实施例包括一种计算机程序产品,其包括承载在非暂态计算机可读介质上的计算机程序,该计算机程序包含用于执行流程图所示的方法的程序代码。在这样的实施例中,该计算机程序可以通过通信装置309从网络上被下载和安装,或者从存储装置308被安装,或者从ROM 302被安装。在该计算机程序被处理装置301执行时,执行本公开实施例的方法中限定的上述功能。
需要说明的是,本公开上述的计算机可读介质可以是计算机可读信号介质或者计算机可读存储介质或者是上述两者的任意组合。计算机可读存储介质例如可以是——但不限于——电、磁、光、电磁、红外线、或半导体的系统、装置或器件,或者任意以上的组合。计算机可读存储介质的更具体的例子可以包括但不限于:具有一个或多个导线的电连接、便携式计算机磁盘、硬盘、随机访问存储器(RAM)、只读存储器(ROM)、可擦式可编程只读存储器(EPROM或闪存)、光纤、便携式紧凑磁盘只读存储器(CD-ROM)、光存储器件、磁存储器件、或者上述的任意合适的组合。在本公开中,计算机可读存储介质可以是任何包含或存储程序的有形介质,该程序可以被指令执行系统、装置或者器件使用或者与其结合使用。而在本公开中,计算机可读信号介质可以包括在基带中或者作为载波一部分传播的数据信号,其中承载了计算机可读的程序代码。这种传播的数据信号可以采用多种形式,包括但不限于电磁信号、光信号或上述的任意合适的组合。计算机可读信号介质还可以是计算机可读存储介质以外的任何计算机可读介质,该计算机可读信号介质可以发送、传播或者传输用于由指令执行系统、装置或者器件使用或者与其结合使用的程序。计算机可读介质上包含的程序代码可以用任何适当的介质传输,包括但不限于:电线、光缆、RF(射频)等等,或者上述的任意合适的组合。
在一些实施方式中,可以利用诸如HTTP(HyperText Transfer Protocol,超文本传输协议)之类的任何当前已知或未来研发的网络协议进行通信,并且可以与任意形式或介质的数字数据通信(例如,通信网络)互连。通信网络的示例包括局域网(“LAN”),广域网(“WAN”),网际网(例如,互联网)以及端对端网络(例如,ad hoc端对端网络),以及任何当前已知或未来研发的网络。
上述计算机可读介质可以是上述电子设备中所包含的;也可以是单独存在,而未装配入该电子设备中。
上述计算机可读介质承载有一个或者多个程序,当上述一个或者多个程序被该电子设备执行时,使得该电子设备:确定室内场景对应的目标场景俯视图;在所述目标场景俯视图中,确定所述室内场景中不存在物品遮挡的可达像素点,并根据所述可达像素点,确定所述室内场景中每一房间内的漫游路径;确定所述室内场景对应的树结构,并根据所述树结构,确定所述室内场景中各房间之间的漫游路径,其中所述树结构中的节点表征所述室内场景中的房间,所述节点间的关系用于表征所述室内场景中各房间的连通关系;在所述每一房间内的漫游路径和各房间之间的漫游路径中选择目标相机点位,并根据所述目标相机点位生成用户漫游路径。
可以以一种或多种程序设计语言或其组合来编写用于执行本公开的操作的计算机程序代码,上述程序设计语言包括但不限于面向对象的程序设计语言—诸如Java、Smalltalk、C++,还包括常规的过程式程序设计语言——诸如“C”语言或类似的程序设计语言。程序代码可以完全地在用户计算机上执行、部分地在用户计算机上执行、作为一个独立的软件包执行、部分在用户计算机上部分在远程计算机上执行、或者完全在远程计算机或服务器上执行。在涉及远程计算机的情形中,远程计算机可以通过任意种类的网络——包括局域网(LAN)或广域网(WAN)——连接到用户计算机,或者,可以连接到外部计算机(例如利用因特网服务提供商来通过因特网连接)。
附图中的流程图和框图,图示了按照本公开各种实施例的系统、方法和计算机程序产品的可能实现的体系架构、功能和操作。在这点上,流程图或框图中的每个方框可以代表一个模块、程序段、或代码的一部分,该模块、程序段、或代码的一部分包含一个或多个用于实现规定的逻辑功能的可执行指令。也应当注意,在有些作为替换的实现中,方框中所标注的功能也可以以不同于附图中所标注的顺序发生。例如,两个接连地表示的方框实际上可以基本并行地执行,它们有时也可以按相反的顺序执行,这依所涉及的功能而定。也要注意的是,框图和/或流程图中的每个方框、以及框图和/或流程图中的方框的组合,可以用执行规定的功能或操作的专用的基于硬件的系统来实现,或者可以用专用硬件与计算机指令的组合来实现。
描述于本公开实施例中所涉及到的模块可以通过软件的方式实现,也可以通过硬件的方式来实现。其中,模块的名称在某种情况下并不构成对该模块本身的限定。
本文中以上描述的功能可以至少部分地由一个或多个硬件逻辑部件来执行。例如,非限制性地,可以使用的示范类型的硬件逻辑部件包括:现场可编程门阵列(FPGA)、专用集成电路(ASIC)、专用标准产品(ASSP)、片上系统(SOC)、复杂可编程逻辑设备(CPLD)等等。
在本公开的上下文中,机器可读介质可以是有形的介质,其可以包含或存储以供指令执行系统、装置或设备使用或与指令执行系统、装置或设备结合地使用的程序。机器可读介质可以是机器可读信号介质或机器可读储存介质。机器可读介质可以包括但不限于电子的、磁性的、光学的、电磁的、红外的、或半导体系统、装置或设备,或者上述内容的任何合适组合。机器可读存储介质的更具体示例会包括基于一个或多个线的电气连接、便携式计算机盘、硬盘、随机存取存储器(RAM)、只读存储器(ROM)、可擦除可编程只读存储器(EPROM或快闪存储器)、光纤、便捷式紧凑盘只读存储器(CD-ROM)、光学储存设备、磁储存设备、或上述内容的任何合适组合。
根据本公开的一个或多个实施例,示例1提供了一种漫游路径生成方法,包括:
确定室内场景对应的目标场景俯视图;
在所述目标场景俯视图中,确定所述室内场景中不存在物品遮挡的可达像素点,并根据所述可达像素点,确定所述室内场景中每一房间内的漫游路径;
确定所述室内场景对应的树结构,并根据所述树结构,确定所述室内场景中各房间之间的漫游路径,其中所述树结构中的节点表征所述室内场景中的房间,所述节点间的关系用于表征所述室内场景中各房间的连通关系;
在所述每一房间内的漫游路径和各房间之间的漫游路径中选择目标相机点位,并根据所述目标相机点位生成用户漫游路径。
根据本公开的一个或多个实施例,示例2提供了示例1的方法,所述确定室内场景对应的目标场景俯视图,包括:
确定所述目标场景对应的初始场景俯视图;
降低所述初始场景俯视图的分辨率,以得到所述室内场景对应的目标场景俯视图。
根据本公开的一个或多个实施例,示例3提供了示例1的方法,所述根据所述可达像素点,确定所述室内场景中每一房间内的漫游路径,包括:
将所述室内场景中每一房间内的所有可达像素点作为节点,并在相邻的所述可达像素点表征的节点之间建立边,得到所述每一房间对应的图结构;
针对每一房间,在所述房间的入口所覆盖的像素点中选取目标像素点,并将所述目标像素点表征的节点作为起始点,将所述房间内所有可达像素点表征的节点分别作为终点,根据所述图结构确定所述起始点到所有终点之间的最短路径,在所有最短路径中选择最长的路径作为所述房间的漫游路径。
根据本公开的一个或多个实施例,示例4提供了示例1-3任一项的方法,所述根据所述树结构,确定所述室内场景中各房间之间的漫游路径,包括:
从所述树结构的最底层节点开始进行层次遍历;
在每次遍历过程中,在节点对应的房间入口所覆盖的像素点中选取目标像素点,将所述目标像素点作为起始点,并确定所述节点的父节点,将所述父节点对应的房间的漫游路径所占用的像素点作为终点,确定所述起始点和所有终点之间的最短路径,在所有最短路径中确定最短的路径作为所述节点对应的房间和所述父节点对应的房间之间的漫游路径。
根据本公开的一个或多个实施例,示例5提供了示例1-3任一项的方法,所述在所述每一房间内的漫游路径和各房间之间的漫游路径中选择目标相机点位,包括:
在所述每一房间内的漫游路径和各房间之间的漫游路径上选择以下至少一种类型的位置点作为目标相机点位:所述漫游路径上的拐点、起始点、终点、所述漫游路径之间的交叉点。
根据本公开的一个或多个实施例,示例6提供了示例1-3任一项的方法,所述方法还包括:
针对所述室内场景中的每一房间,对所述房间内的所有可达像素点进行聚类,并将聚类的中心点确定为关键位置点;
所述在所述每一房间内的漫游路径和各房间之间的漫游路径中选择目标相机点位,包括:
在所述每一房间内的漫游路径和各房间之间的漫游路径上选择以下至少一种类型的候选位置点:所述漫游路径上的拐点、起始点、终点、所述漫游路径之间的交叉点;
在所述候选位置点中确定使得所述关键位置点之间能够连通的目标位置点,并将所述目标位置点和所述关键位置点确定为目标相机点位。
根据本公开的一个或多个实施例,示例7提供了示例6的方法,所述在所述候选位置点中确定使得所述关键位置点之间能够连通的目标位置点,并将所述目标位置点和所述关键位置点确定为目标相机点位,包括:
将所有关键位置点和候选位置点作为候选相机点位,并将每一候选相机点位作为节点,在可连通的候选相机点位所表征的节点之间建立边,得到目标图结构,根据所述目标图结构,在允许增加额外节点的情况下,确定包含目标节点的最小生成树,其中所述目标节点是所述关键位置点对应的节点,所述额外节点是所述候选位置点中目标位置点对应的节点;
根据所述最小生成树中每一节点表征的位置点确定目标相机点位。
根据本公开的一个或多个实施例,示例8提供了一种漫游路径生成装置,所述装置包括:
第一确定模块,用于确定室内场景对应的目标场景俯视图;
第二确定模块,用于在所述目标场景俯视图中,确定所述室内场景中不存在物品遮挡的可达像素点,并根据所述可达像素点,确定所述室内场景中每一房间内的漫游路径;
第三确定模块,用于确定所述室内场景对应的树结构,并根据所述树结构,确定所述室内场景中各房间之间的漫游路径,其中所述树结构中的节点表征所述室内场景中的房间,所述节点间的关系用于表征所述室内场景中各房间的连通关系;
生成模块,用于在所述每一房间内的漫游路径和各房间之间的漫游路径中选择目标相机点位,并根据所述目标相机点位生成用户漫游路径。
根据本公开的一个或多个实施例,示例9提供了一种计算机可读介质,其上存储有计算机程序,该程序被处理装置执行时实现示例1-7中任一项所述方法的步骤。
根据本公开的一个或多个实施例,示例10提供了一种电子设备,包括:
存储装置,其上存储有计算机程序;
处理装置,用于执行所述存储装置中的所述计算机程序,以实现示例1-7中任一项所述方法的步骤。
以上描述仅为本公开的较佳实施例以及对所运用技术原理的说明。本领域技术人员应当理解,本公开中所涉及的公开范围,并不限于上述技术特征的特定组合而成的技术方案,同时也应涵盖在不脱离上述公开构思的情况下,由上述技术特征或其等同特征进行任意组合而形成的其它技术方案。例如上述特征与本公开中公开的(但不限于)具有类似功能的技术特征进行互相替换而形成的技术方案。
此外,虽然采用特定次序描绘了各操作,但是这不应当理解为要求这些操作以所示出的特定次序或以顺序次序执行来执行。在一定环境下,多任务和并行处理可能是有利的。同样地,虽然在上面论述中包含了若干具体实现细节,但是这些不应当被解释为对本公开的范围的限制。在单独的实施例的上下文中描述的某些特征还可以组合地实现在单个实施例中。相反地,在单个实施例的上下文中描述的各种特征也可以单独地或以任何合适的子组合的方式实现在多个实施例中。
尽管已经采用特定于结构特征和/或方法逻辑动作的语言描述了本主题,但是应当理解所附权利要求书中所限定的主题未必局限于上面描述的特定特征或动作。相反,上面所描述的特定特征和动作仅仅是实现权利要求书的示例形式。关于上述实施例中的装置,其中各个模块执行操作的具体方式已经在有关该方法的实施例中进行了详细描述,此处将不做详细阐述说明。

Claims (10)

1.一种漫游路径生成方法,其特征在于,所述方法包括:
确定室内场景对应的目标场景俯视图;
在所述目标场景俯视图中,确定所述室内场景中不存在物品遮挡的可达像素点,并根据所述可达像素点,确定所述室内场景中每一房间内的漫游路径;
确定所述室内场景对应的树结构,并根据所述树结构,确定所述室内场景中各房间之间的漫游路径,其中所述树结构中的节点表征所述室内场景中的房间,所述节点间的关系用于表征所述室内场景中各房间的连通关系;
在所述每一房间内的漫游路径和各房间之间的漫游路径中选择目标相机点位,并根据所述目标相机点位生成用户漫游路径。
2.根据权利要求1所述的方法,其特征在于,所述确定室内场景对应的目标场景俯视图,包括:
确定所述目标场景对应的初始场景俯视图;
降低所述初始场景俯视图的分辨率,以得到所述室内场景对应的目标场景俯视图。
3.根据权利要求1所述的方法,其特征在于,所述根据所述可达像素点,确定所述室内场景中每一房间内的漫游路径,包括:
将所述室内场景中每一房间内的所有可达像素点作为节点,并在相邻的所述可达像素点表征的节点之间建立边,得到所述每一房间对应的图结构;
针对每一房间,在所述房间的入口所覆盖的像素点中选取目标像素点,并将所述目标像素点表征的节点作为起始点,将所述房间内所有可达像素点表征的节点分别作为终点,根据所述图结构确定所述起始点到所有终点之间的最短路径,在所有最短路径中选择最长的路径作为所述房间的漫游路径。
4.根据权利要求1-3任一项所述的方法,其特征在于,所述根据所述树结构,确定所述室内场景中各房间之间的漫游路径,包括:
从所述树结构的最底层节点开始进行层次遍历;
在每次遍历过程中,在节点对应的房间入口所覆盖的像素点中选取目标像素点,将所述目标像素点作为起始点,并确定所述节点的父节点,将所述父节点对应的房间的漫游路径所占用的像素点作为终点,确定所述起始点和所有终点之间的最短路径,在所有最短路径中确定最短的路径作为所述节点对应的房间和所述父节点对应的房间之间的漫游路径。
5.根据权利要求1-3任一项所述的方法,其特征在于,所述在所述每一房间内的漫游路径和各房间之间的漫游路径中选择目标相机点位,包括:
在所述每一房间内的漫游路径和各房间之间的漫游路径上选择以下至少一种类型的位置点作为目标相机点位:所述漫游路径上的拐点、起始点、终点、所述漫游路径之间的交叉点。
6.根据权利要求1-3任一项所述的方法,其特征在于,所述方法还包括:
针对所述室内场景中的每一房间,对所述房间内的所有可达像素点进行聚类,并将聚类的中心点确定为关键位置点;
所述在所述每一房间内的漫游路径和各房间之间的漫游路径中选择目标相机点位,包括:
在所述每一房间内的漫游路径和各房间之间的漫游路径上选择以下至少一种类型的候选位置点:所述漫游路径上的拐点、起始点、终点、所述漫游路径之间的交叉点;
在所述候选位置点中确定使得所述关键位置点之间能够连通的目标位置点,并将所述目标位置点和所述关键位置点确定为目标相机点位。
7.根据权利要求6所述的方法,其特征在于,所述在所述候选位置点中确定使得所述关键位置点之间能够连通的目标位置点,并将所述目标位置点和所述关键位置点确定为目标相机点位,包括:
将所有关键位置点和候选位置点作为候选相机点位,并将每一候选相机点位作为节点,在可连通的候选相机点位所表征的节点之间建立边,得到目标图结构,根据所述目标图结构,在允许增加额外节点的情况下,确定包含目标节点的最小生成树,其中所述目标节点是所述关键位置点对应的节点,所述额外节点是所述候选位置点中目标位置点对应的节点;
根据所述最小生成树中每一节点表征的位置点确定目标相机点位。
8.一种漫游路径生成装置,其特征在于,所述装置包括:
第一确定模块,用于确定室内场景对应的目标场景俯视图;
第二确定模块,用于在所述目标场景俯视图中,确定所述室内场景中不存在物品遮挡的可达像素点,并根据所述可达像素点,确定所述室内场景中每一房间内的漫游路径;
第三确定模块,用于确定所述室内场景对应的树结构,并根据所述树结构,确定所述室内场景中各房间之间的漫游路径,其中所述树结构中的节点表征所述室内场景中的房间,所述节点间的关系用于表征所述室内场景中各房间的连通关系;
生成模块,用于在所述每一房间内的漫游路径和各房间之间的漫游路径中选择目标相机点位,并根据所述目标相机点位生成用户漫游路径。
9.一种计算机可读介质,其上存储有计算机程序,其特征在于,该程序被处理装置执行时实现权利要求1-7中任一项所述方法的步骤。
10.一种电子设备,其特征在于,包括:
存储装置,其上存储有计算机程序;
处理装置,用于执行所述存储装置中的所述计算机程序,以实现权利要求1-7中任一项所述方法的步骤。
CN202110587665.7A2021-05-272021-05-27漫游路径生成方法、装置、存储介质及电子设备ActiveCN113205601B (zh)

Priority Applications (1)

Application NumberPriority DateFiling DateTitle
CN202110587665.7ACN113205601B (zh)2021-05-272021-05-27漫游路径生成方法、装置、存储介质及电子设备

Applications Claiming Priority (1)

Application NumberPriority DateFiling DateTitle
CN202110587665.7ACN113205601B (zh)2021-05-272021-05-27漫游路径生成方法、装置、存储介质及电子设备

Publications (2)

Publication NumberPublication Date
CN113205601Atrue CN113205601A (zh)2021-08-03
CN113205601B CN113205601B (zh)2024-06-21

Family

ID=77023329

Family Applications (1)

Application NumberTitlePriority DateFiling Date
CN202110587665.7AActiveCN113205601B (zh)2021-05-272021-05-27漫游路径生成方法、装置、存储介质及电子设备

Country Status (1)

CountryLink
CN (1)CN113205601B (zh)

Cited By (5)

* Cited by examiner, † Cited by third party
Publication numberPriority datePublication dateAssigneeTitle
CN113379838A (zh)*2021-08-162021-09-10贝壳技术有限公司虚拟现实场景的漫游路径的生成方法和存储介质
CN114842170A (zh)*2022-03-152022-08-02阿里巴巴(中国)有限公司确定三维空间浏览路径关键点位的方法、装置及电子设备
CN115421481A (zh)*2022-08-012022-12-02北京市建筑设计研究院有限公司一种路径规划方法、装置及计算机设备
CN116188702A (zh)*2023-04-282023-05-30北京德塔精要信息技术有限公司一种相机漫游路线的搭建方法、系统、设备及存储介质
CN118031969A (zh)*2024-03-062024-05-14福建(泉州)先进制造技术研究院一种基于图结构的自主导航路径规划方法

Citations (12)

* Cited by examiner, † Cited by third party
Publication numberPriority datePublication dateAssigneeTitle
JP2001076181A (ja)*1999-09-082001-03-23Mixed Reality Systems Laboratory Inc視点位置設定方法、コンピュータ、三次元画像編集装置、およびプログラム記憶媒体
US20160012590A1 (en)*2014-07-102016-01-14Trimble Navigation LimitedCamera on a rover surveying system
US20170270711A1 (en)*2016-03-162017-09-21Michael John SchoenbergVirtual object pathing
CN108108835A (zh)*2017-12-152018-06-01佛山市晴天视觉数字科技有限公司一种虚拟展厅中视图路径的规划方法
CN108426579A (zh)*2018-02-142018-08-21安徽师范大学一种楼层内部路径网自动生成方法
CN110853150A (zh)*2019-11-182020-02-28山东师范大学适用于虚拟漫游系统的实际与虚拟空间的映射方法及系统
CN111599021A (zh)*2020-04-302020-08-28北京字节跳动网络技术有限公司一种虚拟空间漫游指引方法、装置和电子设备
CN111595340A (zh)*2020-04-202020-08-28广东博智林机器人有限公司路径确定方法、装置及电子设备
CN111652977A (zh)*2020-04-172020-09-11国网山西省电力公司晋中供电公司一种变电站三维场景智能漫游方法
US20200294311A1 (en)*2019-03-142020-09-17Microsoft Technology Licensing, LlcReality-guided roaming in virtual reality
CN112465971A (zh)*2020-12-032021-03-09贝壳技术有限公司模型中点位的引导方法和装置、存储介质、电子设备
CN112819969A (zh)*2021-02-082021-05-18广东三维家信息科技有限公司虚拟场景路径的生成方法、装置、电子设备及存储介质

Patent Citations (12)

* Cited by examiner, † Cited by third party
Publication numberPriority datePublication dateAssigneeTitle
JP2001076181A (ja)*1999-09-082001-03-23Mixed Reality Systems Laboratory Inc視点位置設定方法、コンピュータ、三次元画像編集装置、およびプログラム記憶媒体
US20160012590A1 (en)*2014-07-102016-01-14Trimble Navigation LimitedCamera on a rover surveying system
US20170270711A1 (en)*2016-03-162017-09-21Michael John SchoenbergVirtual object pathing
CN108108835A (zh)*2017-12-152018-06-01佛山市晴天视觉数字科技有限公司一种虚拟展厅中视图路径的规划方法
CN108426579A (zh)*2018-02-142018-08-21安徽师范大学一种楼层内部路径网自动生成方法
US20200294311A1 (en)*2019-03-142020-09-17Microsoft Technology Licensing, LlcReality-guided roaming in virtual reality
CN110853150A (zh)*2019-11-182020-02-28山东师范大学适用于虚拟漫游系统的实际与虚拟空间的映射方法及系统
CN111652977A (zh)*2020-04-172020-09-11国网山西省电力公司晋中供电公司一种变电站三维场景智能漫游方法
CN111595340A (zh)*2020-04-202020-08-28广东博智林机器人有限公司路径确定方法、装置及电子设备
CN111599021A (zh)*2020-04-302020-08-28北京字节跳动网络技术有限公司一种虚拟空间漫游指引方法、装置和电子设备
CN112465971A (zh)*2020-12-032021-03-09贝壳技术有限公司模型中点位的引导方法和装置、存储介质、电子设备
CN112819969A (zh)*2021-02-082021-05-18广东三维家信息科技有限公司虚拟场景路径的生成方法、装置、电子设备及存储介质

Non-Patent Citations (3)

* Cited by examiner, † Cited by third party
Title
XIAODAN YU等: "Design of Residential Area Roaming System and Information Management Based on Virtual Reality", 《2008 9TH INTERNATIONAL CONFERENCE ON COMPUTER-AIDED INDUSTRIAL DESIGN AND CONCEPTUAL DESIGN》, pages 363 - 367*
马林山;赵庆峰;: "虚拟图书馆漫游导航系统的设计与实现", 图书馆学研究, no. 13*
高亚峰;: "室内环境虚拟交互式设计系统的研发与实现", 现代电子技术, no. 08*

Cited By (5)

* Cited by examiner, † Cited by third party
Publication numberPriority datePublication dateAssigneeTitle
CN113379838A (zh)*2021-08-162021-09-10贝壳技术有限公司虚拟现实场景的漫游路径的生成方法和存储介质
CN114842170A (zh)*2022-03-152022-08-02阿里巴巴(中国)有限公司确定三维空间浏览路径关键点位的方法、装置及电子设备
CN115421481A (zh)*2022-08-012022-12-02北京市建筑设计研究院有限公司一种路径规划方法、装置及计算机设备
CN116188702A (zh)*2023-04-282023-05-30北京德塔精要信息技术有限公司一种相机漫游路线的搭建方法、系统、设备及存储介质
CN118031969A (zh)*2024-03-062024-05-14福建(泉州)先进制造技术研究院一种基于图结构的自主导航路径规划方法

Also Published As

Publication numberPublication date
CN113205601B (zh)2024-06-21

Similar Documents

PublicationPublication DateTitle
CN113205601B (zh)漫游路径生成方法、装置、存储介质及电子设备
CN114399589B (zh)三维车道线生成方法、装置、电子设备和计算机可读介质
US20250053413A1 (en)Image effect package generation method and apparatus, device, and storage medium
CN114419298A (zh)虚拟物体的生成方法、装置、设备及存储介质
CN114598824A (zh)特效视频的生成方法、装置、设备及存储介质
CN115423898B (zh)图像生成方法、装置、设备及存储介质
CN114092642B (zh)一种三维户型模型生成方法、装置及设备
CN115113861A (zh)一种流程处理方法、装置及设备
CN114419292A (zh)图像处理方法、装置、设备及存储介质
CN113778078B (zh)定位信息生成方法、装置、电子设备和计算机可读介质
CN114419299A (zh)虚拟物体的生成方法、装置、设备及存储介质
CN113804196B (zh)无人车路径规划方法及相关设备
CN114187169B (zh)视频特效包的生成方法、装置、设备及存储介质
CN112883757B (zh)生成跟踪姿态结果的方法
CN115272760A (zh)适用于森林火灾烟雾检测的小样本烟雾图像细分类方法
CN116775174A (zh)一种基于用户界面框架的处理方法、装置、设备及介质
CN115908143B (zh)车辆跨层泊车方法、装置、电子设备和计算机可读介质
CN113624249B (zh)锁点操作执行方法、装置、电子设备和计算机可读介质
CN112884787B (zh)图像剪裁方法、装置、可读介质及电子设备
CN113808050B (zh)3d点云的去噪方法、装置、设备及存储介质
CN115079891B (zh)文档内容展示方法、装置和电子设备
CN114359673B (zh)基于度量学习的小样本烟雾检测方法、装置和设备
CN120014101A (zh)室内区域识别方法、电子设备、存储介质和程序产品
CN118115654A (zh)三维包围框的生成方法、装置和电子设备
CN120783007A (zh)一种网格模型的减面方法、装置、电子设备及存储介质

Legal Events

DateCodeTitleDescription
PB01Publication
PB01Publication
SE01Entry into force of request for substantive examination
SE01Entry into force of request for substantive examination
GR01Patent grant
GR01Patent grant

[8]ページ先頭

©2009-2025 Movatter.jp