






技术领域technical field
本发明属于电力系统控制领域,更具体地,涉及一种风机转速恢复控制方法、控制器及风电场。The invention belongs to the field of power system control, and more particularly, relates to a fan speed recovery control method, a controller and a wind farm.
背景技术Background technique
近年来,风电场,尤其是大型海上风电场正成为清洁能源的发展热点,由于风电场通常离受端交流系统较远,需要进行远距离、大容量电力传输,从技术和经济角度来看,多端柔性直流(voltage source converter-based multi-terminal direct current,VSC-MTDC)输电系统是风电场并网的理想方式。由于多端柔性直流机电系统之间的解耦控制,风电场不能直接响应受端交流系统频率偏差,系统频率变化率(RoCoF)可能随着风电场渗透率的增加而迅速增大。因此,随着风电渗透率的不断增加,以及风电场工程建设,为保证系统的稳定运行,风电场需具备参与受端交流系统频率调节的能力。In recent years, wind farms, especially large-scale offshore wind farms, are becoming a hot spot in the development of clean energy. Since wind farms are usually far away from the AC system at the receiving end, long-distance and large-capacity power transmission is required. From a technical and economic point of view, The voltage source converter-based multi-terminal direct current (VSC-MTDC) transmission system is an ideal way to connect wind farms to the grid. Due to the decoupling control between the multi-terminal flexible DC electromechanical systems, the wind farm cannot directly respond to the frequency deviation of the receiving-side AC system, and the rate of change of system frequency (RoCoF) may increase rapidly with the increase of wind farm penetration. Therefore, with the continuous increase of wind power penetration and the construction of wind farm projects, in order to ensure the stable operation of the system, the wind farm needs to have the ability to participate in the frequency regulation of the AC system at the receiving end.
现有的风电场参与交流系统频率调节技术,主要通过附加调频控制器来实现,采用转子转速控制,使风电机通过释放转子动能或备用功率进行一次调频。当风电场各风机进入转子转速恢复阶段,不能向交流系统提供稳定状态时的电能,可能导致陆上交流系统频率发生二次跌落,如图1所示,风机正常工作时,风机的P-ω曲线和最大功率点跟踪曲线相交于PMPPT点处,此为风机正常工作状态下的工作点。当风机参与系统频率调节后,通过降低转子转速,释放转子动能,风机工作点下降到Pop1点处。此时采用现有方法对风机进行转速恢复,风机的工作点将会先变化到Pop2点处,随后沿着最大功率点跟踪曲线返回PMPPT点。在由Pop1点下降到Pop2点这一过程中,导致风机发出的功率产生ΔP的阶跃变化,最终导致系统出现二次频率跌落;若ΔP的过大,将会导致二次频率跌落的值比初次频率跌落还严重。现有的风机转速恢复策略主要分为两种:1、不加入任何附加控制,由于风电场工作在最大功率点跟踪曲线处,当频率扰动时会增加发出的功率进行响应,当风电场结束频率调节时,风电增发功率归0,在最大功率点跟踪(Maximum Power Point Tracking,MPPT)曲线的约束下,风机转子转速会自动恢复到参与调频前的值。2、加入PI控制器,在风电场恢复的时候启动,把风机转速拉回到频率扰动前的值。The existing wind farm participates in the frequency regulation technology of the AC system, which is mainly realized by adding a frequency regulation controller. The rotor speed control is adopted, so that the wind turbine can perform primary frequency regulation by releasing the rotor kinetic energy or standby power. When each wind turbine in the wind farm enters the rotor speed recovery stage and cannot provide the AC system with electrical energy in a stable state, it may cause a secondary drop in the frequency of the onshore AC system. As shown in Figure 1, when the wind turbine is working normally, the P-ω The curve and the maximum power point tracking curve intersect at the PMPPT point, which is the working point under the normal working state of the fan. When the fan participates in the system frequency adjustment, by reducing the rotor speed and releasing the rotor kinetic energy, the fan operating point drops to the Pop1 point. At this time, using the existing method to restore the speed of the fan, the operating point of the fan will first change to the Pop2 point, and then return to the PMPPT point along the maximum power point tracking curve. In the process of dropping from Pop1 point to Pop2 point, the power generated by the fan produces a step change of ΔP, which eventually leads to a secondary frequency drop in the system; if ΔP is too large, it will cause the secondary frequency to drop. The value is more severe than the initial frequency drop. The existing wind turbine speed recovery strategies are mainly divided into two types: 1. No additional control is added. Since the wind farm works at the maximum power point tracking curve, when the frequency is disturbed, the output power will be increased to respond. When the wind farm ends the frequency During adjustment, the additional wind power generation power returns to 0, and under the constraint of the Maximum Power Point Tracking (MPPT) curve, the rotor speed of the fan will automatically return to the value before participating in the frequency regulation. 2. Add a PI controller, start it when the wind farm recovers, and pull the fan speed back to the value before the frequency disturbance.
由于现有的控制策略仅利用最大功率点曲线对风机的功率和转速进行约束,有可能无法实现转子转速恢复,还可能导致受端交流系统频率发生的二次频率跌落比一次频率跌落更为严重,影响整个受端交流系统的稳定性。Since the existing control strategy only uses the maximum power point curve to constrain the power and speed of the fan, it is possible that the rotor speed cannot be recovered, and the secondary frequency drop of the AC system frequency at the receiving end may be more serious than the primary frequency drop. , which affects the stability of the entire receiving-end AC system.
发明内容SUMMARY OF THE INVENTION
针对现有技术的缺陷和改进需求,本发明提供了一种风机转速恢复控制方法、控制器及风电场,其目的在于,使风机在提供频率支撑后进行平滑的转速恢复,以缓解受端交流系统的二次频率跌落的问题。In view of the defects and improvement needs of the prior art, the present invention provides a fan speed recovery control method, controller and wind farm, the purpose of which is to enable the fan to perform smooth speed recovery after providing frequency support, so as to alleviate the AC at the receiving end The problem of the secondary frequency drop of the system.
为实现上述目的,按照本发明的一个方面,提供了一种风机转速恢复控制方法,包括:In order to achieve the above object, according to one aspect of the present invention, a method for controlling the speed recovery of a fan is provided, comprising:
在风机转速恢复的开始时刻tb,对于风电场中的每一台风机fi,获取其瞬时功率Pmes,i和转速ωmes,i;i表示风机编号;At the start time tb of the wind turbine speed recovery, for each wind turbine fi in the wind farm, obtain its instantaneous power Pmes,i and rotational speed ωmes,i ; i represents the number of the wind turbine;
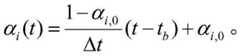
按照获取风机fi的渐进系数αi在时刻tb的初始值αi,0,并确定渐进系数αi在时间段tb~tb+Δt内随时间变化的关系式αi(t),使渐进系数αi在时间段tb~tb+Δt内从αi,0变化到1;ki表示风机fi的最大功率点跟踪曲线方程中的跟踪系数,Δt为预设的转速恢复时间;according to Obtain the initial value αi,0 of the asymptotic coefficient αi of the fan fi at the time tb , and determine the relational expression αi (t) of the asymptotic coefficient αi changing with time in the time period tb ~ tb +Δt, Make the progressive coefficient αi change from αi,0 to 1 within the time period tb ~ tb +Δt;ki represents the tracking coefficient in the maximum power point tracking curve equation of the fan fi , and Δt is the preset speed recovery time;
对风机fi进行转矩控制,使其瞬时功率P和转速ω在时间段tb~tb+Δt内满足P=αi(t)kiω3,从而在时刻tb+Δt完成转速恢复。Torque control is performed on the fan fi so that its instantaneous power P and rotational speed ω satisfy P=αi (t)ki ω3 within the time period tb ~ tb +Δt, so that the rotational speed is completed at time tb +Δt recover.
进一步地,在时间段tb~tb+Δt内,Further, within the time period tb ~ tb +Δt,
进一步地,7s≤Δt≤15s。Further, 7s≤Δt≤15s.
进一步地,本发明提供的风机转速恢复控制方法,还包括:在风机转恢复开始前,以及在风机转速恢复结束后,对风机fi进行转矩控制,使其瞬时功率P和转速ω满足P=kiω3。Further, the fan speed recovery control method provided by the present invention further includes: before the fan speed recovery starts and after the fan speed recovery ends, performing torque control on the fan fi so that the instantaneous power P and the speed ω satisfy P. =ki ω3 .
按照本发明的另一个方面,提供了一种风机转速恢复控制器,包括:数据采集模块、数据处理模块和控制模块;According to another aspect of the present invention, a fan speed recovery controller is provided, comprising: a data acquisition module, a data processing module and a control module;
数据采集模块,用于在风机转速恢复的开始时刻tb,获取风机的瞬时功率Pmes,i和转速ωmes,i,并触发数据处理模块;The data acquisition module is used to obtain the instantaneous power Pmes,i and the rotational speed ωmes,i of the fan at the start time tb of the fan speed recovery, and trigger the data processing module;
数据处理模块,用于按照获取风机fi的渐进系数αi在时刻tb的初始值αi,0,并确定渐进系数αi在时间段tb~tb+Δt内随时间变化的关系式αi(t),使渐进系数αi在时间段tb~tb+Δt内从αi,0变化到1,之后触发控制模块;ki表示风机的最大功率点跟踪曲线方程中的跟踪系数,Δt为预设的转速恢复时间;data processing module for Obtain the initial value αi,0 of the asymptotic coefficient αi of the fan fi at the time tb , and determine the relational expression αi (t) of the asymptotic coefficient αi changing with time in the time period tb ~ tb +Δt, Make the progressive coefficient αi change from αi,0 to 1 within the time period tb ~ tb +Δt, and then trigger the control module;ki represents the tracking coefficient in the maximum power point tracking curve equation of the fan, and Δt is the preset speed recovery time;
控制模块,用于对风机进行转矩控制,使其瞬时功率P和转速ω在时间段tb~tb+Δt内满足P=αi(t)kiω3,从而在时刻tb+Δt完成转速恢复。The control module is used to perform torque control on the fan so that its instantaneous power P and rotational speed ω satisfy P=αi (t)ki ω3 within the time period tb ~ tb +Δt, so that at time tb + Δt completes the speed recovery.
进一步地,本发明提供的风机转速恢复控制器,还包括:最大功率跟踪模块;Further, the fan speed recovery controller provided by the present invention further includes: a maximum power tracking module;
最大功率跟踪模块,用于在风机转恢复开始前,以及在风机转速恢复结束后,对风机fi进行转矩控制,使其瞬时功率P和转速ω满足P=kiω3。The maximum power tracking module is used to perform torque control on the fan fi before the fan speed recovery starts and after the fan speed recovery ends, so that the instantaneous power P and the speed ω satisfy P=ki ω3 .
按照本发明的又一个方面,提供了一种风电场,包括多台风机,各风机中均安装有本发明提供的风机转速恢复控制器。According to yet another aspect of the present invention, a wind farm is provided, including a plurality of wind turbines, and each wind turbine is installed with the wind turbine rotational speed recovery controller provided by the present invention.
总体而言,通过本发明所构思的以上技术方案,能够取得以下有益效果:In general, through the above technical solutions conceived by the present invention, the following beneficial effects can be achieved:
(1)本发明通过延长风机转速的恢复时间,并使风机在转速恢复期间,其瞬时功率P和转速ω满足P=αi(t)kiω3,由于在风机转速恢复的开始时刻,渐进系数αi的初始值为而且在转速恢复期间,渐进系数αi会从αi,0变化到1,由此能够使各风机转速恢复曲线的参数(即渐进系数αi)进行渐进式变化,逐渐向最大功率点跟踪曲线拟合,最终和最大功率点跟踪曲线一致,避免了风机的瞬时功率在风机转速恢复期间发生突变,实现了风机转速的平滑恢复,有效缓解了受端交流系统的二次频率跌落。(1) The present invention prolongs the recovery time of the fan speed, and makes the fan's instantaneous power P and speed ω satisfy P=αi (t)ki ω3 during the speed recovery period of the fan, because at the start of the fan speed recovery, The initial value of the asymptotic coefficient αi is In addition, during the speed recovery period, the asymptotic coefficient αi will change from αi,0 to 1, so that the parameters of the speed recovery curve of each fan (ie, the asymptotic coefficient αi ) can be gradually changed, and gradually track the curve to the maximum power point The fitting is finally consistent with the maximum power point tracking curve, which avoids the sudden change of the instantaneous power of the fan during the recovery of the fan speed, realizes the smooth recovery of the fan speed, and effectively alleviates the secondary frequency drop of the AC system at the receiving end.
(2)本发明使各风机转速恢复曲线的参数(即渐进系数αi)在转速恢复期间线性变化,从αi,0逐渐降低为1,由此能够简化风机转速恢复期间的转矩控制,并使风机转速恢复更为平滑。(2) The present invention makes the parameters of each fan speed recovery curve (that is, the asymptotic coefficient αi ) change linearly during the speed recovery period, and gradually decrease from αi,0 to 1, thereby simplifying the torque control during the fan speed recovery period, And make the fan speed recovery smoother.
(3)本发明所设定的转速恢复时间为7s~15s,由此能够避免因转速恢复时间设置过短,而无法有效缓解受端交流系统的二次频率跌落问题,同时避免因转速恢复时间设置过长,而带来没有明显效益的额外控制成本。(3) The speed recovery time set by the present invention is 7s to 15s, which can avoid that the speed recovery time is too short to effectively alleviate the secondary frequency drop problem of the AC system at the receiving end, and at the same time avoid the speed recovery time. Setting too long brings additional control costs for no apparent benefit.
附图说明Description of drawings
图1为现有的风机转速恢复策略导致二次频率跌落的示意图;Figure 1 is a schematic diagram of the secondary frequency drop caused by the existing fan speed recovery strategy;
图2为本发明实施例提供的风机转速恢复控制方法示意图;FIG. 2 is a schematic diagram of a fan speed recovery control method provided by an embodiment of the present invention;
图3为本发明实施例提供的风机转速恢复控制方法原理图;3 is a schematic diagram of a fan speed recovery control method provided by an embodiment of the present invention;
图4为本发明实施例提供的风机渐进系数随时间变化的曲线图;FIG. 4 is a graph showing the variation of the asymptotic coefficient of the fan with time according to an embodiment of the present invention;
图5为本发明实施例缓解二次频率跌落的示意图;5 is a schematic diagram of alleviating secondary frequency drop according to an embodiment of the present invention;
图6为本发明实施例提供的海上风电场与陆上交流系统组成的电力系统示意图;6 is a schematic diagram of a power system composed of an offshore wind farm and an onshore AC system according to an embodiment of the present invention;
图7为本发明实施例提供的200MW负荷突增扰动情况下,采用不同的风机转速恢复控制策略时,陆上交流系统中两个换流器的频率随时间变化的曲线图;其中,(a)为换流器VSC1的频率随时间变化的曲线图,(b)为换流器VSC2的频率随时间变化的曲线图。7 is a graph of the frequency of two inverters in the onshore AC system changing with time when different fan speed recovery control strategies are adopted in the case of a sudden increase in the 200MW load provided by the embodiment of the present invention; wherein, (a ) is a graph of the frequency of the inverter VSC1 as a function of time, and (b) is a graph of the frequency of the inverter VSC2 as a function of time.
具体实施方式Detailed ways
为了使本发明的目的、技术方案及优点更加清楚明白,以下结合附图及实施例,对本发明进行进一步详细说明。应当理解,此处所描述的具体实施例仅仅用以解释本发明,并不用于限定本发明。此外,下面所描述的本发明各个实施方式中所涉及到的技术特征只要彼此之间未构成冲突就可以相互组合。In order to make the objectives, technical solutions and advantages of the present invention clearer, the present invention will be further described in detail below with reference to the accompanying drawings and embodiments. It should be understood that the specific embodiments described herein are only used to explain the present invention, but not to limit the present invention. In addition, the technical features involved in the various embodiments of the present invention described below can be combined with each other as long as there is no conflict with each other.
在本发明中,本发明及附图中的术语“第一”、“第二”等(如果存在)是用于区别类似的对象,而不必用于描述特定的顺序或先后次序。In the present invention, the terms "first", "second" and the like (if present) in the present invention and the accompanying drawings are used to distinguish similar objects and are not necessarily used to describe a specific order or sequence.
为了解决现有的风机转速恢复控制策略会导致受端交流系统的二次频率跌落情况恶化的技术问题,本发明提供了一种风机转速恢复控制方法、控制器及风电场,其整体思路在于:延长风机转速恢复时间,对风机设计类似于最大功率点跟踪曲线的转速恢复曲线P=αkω3,并使其中的渐进系数α在转速恢复时间内发生渐进式变化,从而使各风机的转速恢复曲线逐渐向最大功率点跟踪曲线拟合,最终和最大功率点跟踪曲线一致,实现风机转速平滑恢复,在此过程中,能够有效避免风机功率发生突变,有效缓解了受端交流系统二次频率跌落的问题。In order to solve the technical problem that the existing fan speed recovery control strategy will lead to the deterioration of the secondary frequency drop of the AC system at the receiving end, the present invention provides a fan speed recovery control method, a controller and a wind farm, the overall idea of which is as follows: Extend the speed recovery time of the fan, design a speed recovery curve P=αkω3 similar to the maximum power point tracking curve for the fan, and make the asymptotic coefficient α change gradually during the speed recovery time, so as to make the speed recovery curve of each fan It is gradually fitted to the maximum power point tracking curve, and finally it is consistent with the maximum power point tracking curve, so as to realize the smooth recovery of the fan speed. question.
本发明所提供的技术方案,可适用于任意一种形式的风电场,不失一般性地,在以下实施例中,若无特殊说明,所指的风电场均指海上风电场。The technical solutions provided by the present invention can be applied to any type of wind farms. Without loss of generality, in the following embodiments, unless otherwise specified, the wind farms referred to refer to offshore wind farms.
以下为实施例。The following are examples.
实施例1:Example 1:
一种风机转速恢复控制方法,如图2所示,包括:A fan speed recovery control method, as shown in Figure 2, includes:
在风机转速恢复的开始时刻tb,对于风电场中的每一台风机fi,获取其瞬时功率Pmes,i和转速ωmes,i;i表示风机编号;At the start time tb of the wind turbine speed recovery, for each wind turbine fi in the wind farm, obtain its instantaneous power Pmes,i and rotational speed ωmes,i ; i represents the number of the wind turbine;
按照获取风机fi的渐进系数αi在时刻tb的初始值αi,0,并确定渐进系数αi在时间段tb~tb+Δt内随时间变化的关系式αi(t),使渐进系数αi在时间段tb~tb+Δt内从αi,0变化到1;ki表示风机fi的最大功率点跟踪曲线方程(即P=kiω3)中的跟踪系数;对于给定风机,ki为已知参数;Δt为预设的转速恢复时间;according to Obtain the initial value αi,0 of the asymptotic coefficient αi of the fan fi at the time tb , and determine the relational expression αi (t) of the asymptotic coefficient αi changing with time in the time period tb ~ tb +Δt, Let the asymptotic coefficient αi change from αi,0 to 1 in the time period tb ~ tb +Δt;ki represents the tracking in the maximum power point tracking curve equation of the fan fi (ie P=ki ω3 ) coefficient; for a given fan, ki is a known parameter; Δt is the preset speed recovery time;
对风机fi进行转矩控制,使其瞬时功率P和转速ω在时间段tb~tb+Δt内满足P=αi(t)kiω3,从而在时刻tb+Δt完成转速恢复。Torque control is performed on the fan fi so that its instantaneous power P and rotational speed ω satisfy P=αi (t)ki ω3 within the time period tb ~ tb +Δt, so that the rotational speed is completed at time tb +Δt recover.
作为一种优选的实施方式,本实施例中,在时间段tb~tb+Δt内,如此设定渐进系数在风机转速恢复时间内随时间变化的关系,能够简化风机转速恢复期间的转矩控制,并使风机转速恢复更为平滑;应当说明的是,此处仅为本发明实施例优选的实施方式,不应理解为对本发明唯一的限定,在本发明其他的一些实施例中,也可以使用正弦、余弦等其他的关系确定渐进系数的变化方式;As a preferred implementation manner, in this embodiment, within the time period tb ~ tb +Δt, Setting the relationship of the gradual coefficient changing with time during the fan speed recovery time can simplify the torque control during the fan speed recovery period and make the fan speed recovery smoother; it should be noted that this is only an embodiment of the present invention The preferred embodiment should not be construed as the only limitation of the present invention, and in some other embodiments of the present invention, other relationships such as sine, cosine, etc. may also be used to determine the variation mode of the asymptotic coefficient;
本实施例中,风电场具体为海上风电场,其受端交流系统即陆上交流控制系统;综合考虑对陆上交流系统二次频率跌落的缓解效果以及控制效益,本发明中,转速恢复时间的取值范围具体是7s≤Δt≤15s;可选地,本实施例中,Δt=7s。In this embodiment, the wind farm is specifically an offshore wind farm, and the AC system at the receiving end is the onshore AC control system; comprehensively considering the mitigation effect and control benefit of the secondary frequency drop of the onshore AC system, in the present invention, the speed recovery time The value range of is specifically 7s≤Δt≤15s; optionally, in this embodiment, Δt=7s.
在风机转恢复开始前,以及在风机转速恢复结束后,无需考虑陆上交流系统二次频率跌落的问题,因此,本实施例还包括:在风机转恢复开始前,以及在风机转速恢复结束后,对风机fi进行转矩控制,使其瞬时功率P和转速ω满足P=kiω3。Before the start of the fan speed recovery and after the fan speed recovery ends, there is no need to consider the problem of the secondary frequency drop of the onshore AC system. Therefore, this embodiment also includes: before the fan speed recovery starts, and after the fan speed recovery ends , and perform torque control on the fan fi so that its instantaneous power P and rotational speed ω satisfy P=ki ω3 .
因此,基于本实施例提供的风机状态恢复控制方法,海上风电场的的状态可划分为如图3所示的3个状态,最大功率点跟踪状态、频率支撑状态以及转速恢复状态,其中,转速恢复状态下,风机的瞬时功率P和转速ω满足P=αi(t)kiω3的约束关系,在其他状态下,风机的瞬时功率P和转速ω满足P=kiω3的约束关系。Therefore, based on the state recovery control method of the wind turbine provided in this embodiment, the state of the offshore wind farm can be divided into three states as shown in FIG. In the recovery state, the instantaneous power P and rotational speed ω of the fan satisfy the constraint of P=αi (t)ki ω3 , and in other states, the instantaneous power P and rotational speed ω of the fan satisfy the constraint of P=ki ω3 relation.
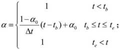
将风机的瞬时功率P和转速ω之间的约束关系统一表示为P=αkω3,则在不同状态下,α的取值具体为:The constraint relationship between the instantaneous power P of the fan and the rotational speed ω is expressed as P=αkω3 , then in different states, the value of α is specifically:
其中,te=tb+Δt,表示转速恢复的结束时间;α的取值随时间变化的曲线如图4所示。Among them, te =tb +Δt, represents the end time of the speed recovery; the curve of the value of α changing with time is shown in Fig. 4 .
总体而言,本实施例通过延长风机转速的恢复时间,并使风机在转速恢复期间,其转速恢复曲线的参数(即渐进系数αi)进行渐进式变化,逐渐向最大功率点跟踪曲线拟合,最终和最大功率点跟踪曲线一致,如图5所示,当风机参与频率响应增发功率,工作点从正常工作状态的最大功率跟踪点PMPPT下降到Pop1后,风机转子转速开始进行恢复。通过求取此时Pop1处的风机转速和功率,可以计算出拟合曲线P=αkω3中渐进系数α的初始值α0,随后α渐进式变化至1,这样风机工作点由Pop1较为平滑地变化到PMPPT点,避免了风机的瞬时功率在风机转速恢复期间发生突变,实现了风机转速的平滑恢复,有效缓解了受端交流系统的二次频率跌落。In general, in this embodiment, by extending the recovery time of the fan speed, and making the fan speed recovery period, the parameters of the speed recovery curve (ie, the asymptotic coefficient αi ) change gradually, and gradually track the curve fitting to the maximum power point. , which is finally consistent with the maximum power point tracking curve. As shown in Figure 5, when the fan participates in the frequency response additional power generation, and the operating point drops from the maximum power tracking point PMPPT in the normal working state to Pop1 , the fan rotor speed begins to recover. By calculating the speed and power of the fan at Pop1 at this time, the initial value α0 of the asymptotic coefficient α in the fitting curve P=αkω3 can be calculated, and then α gradually changes to 1, so that the operating point of the fan is compared from Pop1 . The smooth change to the PMPPT point avoids the sudden change of the instantaneous power of the fan during the recovery of the fan speed, realizes the smooth recovery of the fan speed, and effectively alleviates the secondary frequency drop of the AC system at the receiving end.
以下结合一个具体的应用场景,对本实施例所能取得的有益效果进行进一步的描述。The beneficial effects that can be achieved by this embodiment are further described below with reference to a specific application scenario.
图6所示为一个包含两个海上风电场和一个陆上交流系统的电力系统,其中,area1表示陆上交流系统,area2和area3表示两个海上风电场,海上风电场area2通过换流器VSC4、VSC1和VSC2将电能输送至陆上交流系统area1,海上风电场area3通过换流器VSC3和VSC2将电能输送至陆上交流系统area1。G1~G4表示陆上交流系统area1中的四台发电机,G5~G9表示海上风电场area2中的5台风机,G10~G14表示海上风电场area3中的5台风机。Figure 6 shows a power system including two offshore wind farms and one onshore AC system, where area1 represents the onshore AC system, area2 and area3 represent two offshore wind farms, and the offshore wind farm area2 passes through the inverter VSC4 , VSC1 and VSC2 transmit electrical energy to the onshore AC system area1, and the offshore wind farm area3 transmits the electrical energy to the onshore AC system area1 through the converters VSC3 and VSC2. G1-G4 represent the four generators in the onshore AC system area1, G5-G9 represent the five wind turbines in the offshore wind farm area2, and G10-G14 represent the five wind turbines in the offshore wind farm area3.
在200MW负荷突增扰动情况下,采用以本发明提出的转速恢复控制方法、现有的转速恢复控制方法(即PI控制方法)以及风机不参与调频的策略分别对海上风电场area2中的风机进行转速恢复控制,不同转速恢复控制策略下,换流器VSC1和VSC2的频率随时间变化的曲线图分别如图7中的(a)和(b)所示。从图7中的(a)和(b)可知,未采用本发明提出的控制方法时,换流站处测量到的频率将会出现明显的二次跌落现象;而采用本发明提供的风机转速恢复控制方法后,可以有效避免出现二次频率跌落的问题。In the case of sudden load disturbance of 200MW, the speed recovery control method proposed by the present invention, the existing speed recovery control method (ie PI control method) and the strategy that the wind turbine does not participate in the frequency regulation are used to conduct the wind turbines in the offshore wind farm area2 respectively. Speed recovery control, under different speed recovery control strategies, the graphs of the frequency change of inverters VSC1 and VSC2 with time are shown in (a) and (b) of Figure 7, respectively. It can be seen from (a) and (b) in FIG. 7 that when the control method proposed by the present invention is not adopted, the frequency measured at the converter station will have an obvious secondary drop phenomenon; After restoring the control method, the problem of secondary frequency drop can be effectively avoided.
实施例2:Example 2:
一种风机转速恢复控制器,包括:数据采集模块、数据处理模块和控制模块;A fan speed recovery controller, comprising: a data acquisition module, a data processing module and a control module;
数据采集模块,用于在风机转速恢复的开始时刻tb,获取风机的瞬时功率Pmes,i和转速ωmes,i,并触发数据处理模块;The data acquisition module is used to obtain the instantaneous power Pmes,i and the rotational speed ωmes,i of the fan at the start time tb of the fan speed recovery, and trigger the data processing module;
数据处理模块,用于按照获取风机fi的渐进系数αi在时刻tb的初始值αi,0,并确定渐进系数αi在时间段tb~tb+Δt内随时间变化的关系式αi(t),使渐进系数αi在时间段tb~tb+Δt内从αi,0变化到1,之后触发控制模块;ki表示风机的最大功率点跟踪曲线方程中的跟踪系数,Δt为预设的转速恢复时间;data processing module for Obtain the initial value αi,0 of the asymptotic coefficient αi of the fan fi at the time tb , and determine the relational expression αi (t) of the asymptotic coefficient αi changing with time in the time period tb ~ tb +Δt, Make the progressive coefficient αi change from αi,0 to 1 within the time period tb ~ tb +Δt, and then trigger the control module;ki represents the tracking coefficient in the maximum power point tracking curve equation of the fan, and Δt is the preset speed recovery time;
控制模块,用于对风机进行转矩控制,使其瞬时功率P和转速ω在时间段tb~tb+Δt内满足P=αi(t)kiω3,从而在时刻tb+Δt完成转速恢复;The control module is used to perform torque control on the fan so that its instantaneous power P and rotational speed ω satisfy P=αi (t)ki ω3 within the time period tb ~ tb +Δt, so that at time tb + Δt completes the speed recovery;
本实施例还包括:最大功率跟踪模块;This embodiment further includes: a maximum power tracking module;
最大功率跟踪模块,用于在风机转恢复开始前,以及在风机转速恢复结束后,对风机fi进行转矩控制,使其瞬时功率P和转速ω满足P=kiω3;The maximum power tracking module is used to perform torque control on the fan fi before the fan speed recovery starts and after the fan speed recovery ends, so that the instantaneous power P and the speed ω satisfy P=ki ω3 ;
本实施例中,各模块的具体实施方式可参考上述方法实施例中的描述,在此将不作复述。In this embodiment, for the specific implementation of each module, reference may be made to the descriptions in the foregoing method embodiments, which will not be repeated here.
实施例3:Example 3:
一种风电场,包括多台风机,各风机中均安装有上述实施例2提供的风机转速恢复控制器。A wind farm includes a plurality of fans, and each fan is installed with the fan speed recovery controller provided in the above-mentioned
本领域内的技术人员应明白,本发明的实施例可提供为方法、系统、或计算机程序产品。因此,本发明可采用完全硬件实施例、完全软件实施例、或结合软件和硬件方面的实施例的形式。而且,本发明可采用在一个或多个其中包含有计算机可用程序代码的计算机可用存储介质(包括但不限于磁盘存储器、CD-ROM、光学存储器等)上实施的计算机程序产品的形式。As will be appreciated by one skilled in the art, embodiments of the present invention may be provided as a method, system, or computer program product. Accordingly, the present invention may take the form of an entirely hardware embodiment, an entirely software embodiment, or an embodiment combining software and hardware aspects. Furthermore, the present invention may take the form of a computer program product embodied on one or more computer-usable storage media (including, but not limited to, disk storage, CD-ROM, optical storage, etc.) having computer-usable program code embodied therein.
本发明是参照根据本申请实施例的方法、设备(系统)、和计算机程序产品的流程图和/或方框图来描述的。应理解可由计算机程序指令实现流程图和/或方框图中的每一流程和/或方框、以及流程图和/或方框图中的流程和/或方框的结合。可提供这些计算机程序指令到通用计算机、专用计算机、嵌入式处理机或其他可编程数据处理设备的处理器以产生一个机器,使得通过计算机或其他可编程数据处理设备的处理器执行的指令产生用于实现在流程图一个流程或多个流程和/或方框图一个方框或多个方框中指定的功能的装置。The present invention is described with reference to flowchart illustrations and/or block diagrams of methods, apparatus (systems), and computer program products according to embodiments of the present application. It will be understood that each process and/or block in the flowchart illustrations and/or block diagrams, and combinations of processes and/or blocks in the flowchart illustrations and/or block diagrams, can be implemented by computer program instructions. These computer program instructions may be provided to the processor of a general purpose computer, special purpose computer, embedded processor or other programmable data processing device to produce a machine such that the instructions executed by the processor of the computer or other programmable data processing device produce Means for implementing the functions specified in a flow or flow of a flowchart and/or a block or blocks of a block diagram.
上述计算机程序指令也可存储在能引导计算机或其他可编程数据处理设备以特定方式工作的计算机可读存储器中,使得存储在该计算机可读存储器中的指令产生包括指令装置的制造品,该指令装置实现在流程图一个流程或多个流程和/或方框图一个方框或多个方框中指定的功能。The computer program instructions described above may also be stored in a computer-readable memory capable of directing a computer or other programmable data processing apparatus to operate in a particular manner, such that the instructions stored in the computer-readable memory result in an article of manufacture comprising instruction means, the instructions The apparatus implements the functions specified in the flow or flows of the flowcharts and/or the block or blocks of the block diagrams.
这些计算机程序指令也可装载到计算机或其他可编程数据处理设备上,使得在计算机或其他可编程设备上执行一系列操作步骤以产生计算机实现的处理,从而在计算机或其他可编程设备上执行的指令提供用于实现在流程图一个流程或多个流程和/或方框图一个方框或多个方框中指定的功能的步骤。These computer program instructions can also be loaded on a computer or other programmable data processing device to cause a series of operational steps to be performed on the computer or other programmable device to produce a computer-implemented process such that The instructions provide steps for implementing the functions specified in the flow or blocks of the flowcharts and/or the block or blocks of the block diagrams.
本领域的技术人员容易理解,以上所述仅为本发明的较佳实施例而已,并不用以限制本发明,凡在本发明的精神和原则之内所作的任何修改、等同替换和改进等,均应包含在本发明的保护范围之内。Those skilled in the art can easily understand that the above descriptions are only preferred embodiments of the present invention, and are not intended to limit the present invention. Any modifications, equivalent replacements and improvements made within the spirit and principles of the present invention, etc., All should be included within the protection scope of the present invention.
| Application Number | Priority Date | Filing Date | Title |
|---|---|---|---|
| CN202110483975.4ACN113193573B (en) | 2021-04-30 | 2021-04-30 | A kind of fan speed recovery control method, controller and wind farm |
| Application Number | Priority Date | Filing Date | Title |
|---|---|---|---|
| CN202110483975.4ACN113193573B (en) | 2021-04-30 | 2021-04-30 | A kind of fan speed recovery control method, controller and wind farm |
| Publication Number | Publication Date |
|---|---|
| CN113193573A CN113193573A (en) | 2021-07-30 |
| CN113193573Btrue CN113193573B (en) | 2022-05-20 |
| Application Number | Title | Priority Date | Filing Date |
|---|---|---|---|
| CN202110483975.4AActiveCN113193573B (en) | 2021-04-30 | 2021-04-30 | A kind of fan speed recovery control method, controller and wind farm |
| Country | Link |
|---|---|
| CN (1) | CN113193573B (en) |
| Publication number | Priority date | Publication date | Assignee | Title |
|---|---|---|---|---|
| CN113904360A (en)* | 2021-09-07 | 2022-01-07 | 华中科技大学 | A wind turbine speed recovery control method, system and offshore wind farm |
| CN120280954B (en)* | 2025-06-09 | 2025-09-30 | 内蒙古工业大学 | Segmented speed recovery control and multi-dimensional evaluation method for wind power frequency regulation |
| Publication number | Priority date | Publication date | Assignee | Title |
|---|---|---|---|---|
| CN108512251A (en)* | 2018-04-25 | 2018-09-07 | 华北电力科学研究院有限责任公司 | A kind of rotation speed of fan restoration methods and system |
| CN108631333A (en)* | 2018-04-27 | 2018-10-09 | 上海电力学院 | A kind of wind storage joint frequency modulation control method based on limit direct torque |
| CN109193778A (en)* | 2018-10-12 | 2019-01-11 | 浙江运达风电股份有限公司 | A kind of inertia response revolving speed recovery control method based on the estimation of wind power |
| CN110417032A (en)* | 2019-07-30 | 2019-11-05 | 华北电力大学 | A Multi-objective Optimal Control Method for Doubly-fed Fans Participating in System Frequency Modulation |
| CN111835023A (en)* | 2020-07-24 | 2020-10-27 | 国网电力科学研究院有限公司 | A method, device and storage medium for controlling a doubly-fed wind turbine |
| CN112117781A (en)* | 2020-08-06 | 2020-12-22 | 南京理工大学 | Wind turbine generator power limiting control method for limiting power change rate in rotation speed recovery stage |
| Publication number | Priority date | Publication date | Assignee | Title |
|---|---|---|---|---|
| CN108512251A (en)* | 2018-04-25 | 2018-09-07 | 华北电力科学研究院有限责任公司 | A kind of rotation speed of fan restoration methods and system |
| CN108631333A (en)* | 2018-04-27 | 2018-10-09 | 上海电力学院 | A kind of wind storage joint frequency modulation control method based on limit direct torque |
| CN109193778A (en)* | 2018-10-12 | 2019-01-11 | 浙江运达风电股份有限公司 | A kind of inertia response revolving speed recovery control method based on the estimation of wind power |
| CN110417032A (en)* | 2019-07-30 | 2019-11-05 | 华北电力大学 | A Multi-objective Optimal Control Method for Doubly-fed Fans Participating in System Frequency Modulation |
| CN111835023A (en)* | 2020-07-24 | 2020-10-27 | 国网电力科学研究院有限公司 | A method, device and storage medium for controlling a doubly-fed wind turbine |
| CN112117781A (en)* | 2020-08-06 | 2020-12-22 | 南京理工大学 | Wind turbine generator power limiting control method for limiting power change rate in rotation speed recovery stage |
| Title |
|---|
| An adaptive frequency regulation method with grid-friendly restoration for VSC-HVDC integrated offshore wind farms;Zongxiang Lu等;《IEEE transactions on power systems》;20190930;第34卷(第5期);全文* |
| Publication number | Publication date |
|---|---|
| CN113193573A (en) | 2021-07-30 |
| Publication | Publication Date | Title |
|---|---|---|
| CN108599241B (en) | Primary frequency modulation control method and equipment for photovoltaic virtual synchronous machine | |
| Wang et al. | Modelling of a PMSG wind turbine with autonomous control | |
| Tank et al. | Renewable based DC microgrid with energy management system | |
| CN105470985B (en) | A kind of wind stores up the flexible self-start method of Isolated Network System | |
| CN110492531A (en) | Consider the electric power system dispatching operation method and system of synchronous rotary inertia level | |
| CN111509714B (en) | Discrimination method for grid-connected resonance stability of offshore wind turbines based on impedance modeling | |
| CN115800296B (en) | Voltage frequency collaborative supporting method for open sea wind power through VSC-MTDC grid-connected system | |
| CN111711203A (en) | A two-level coordinated control method and system for offshore wind farms to participate in frequency regulation | |
| CN113193573B (en) | A kind of fan speed recovery control method, controller and wind farm | |
| CN111594384B (en) | A control method and main control system for a voltage source wind turbine | |
| CN104716671A (en) | Black-start method for power grid | |
| CN110417032A (en) | A Multi-objective Optimal Control Method for Doubly-fed Fans Participating in System Frequency Modulation | |
| CN107834608A (en) | A kind of multiple-energy-source mutually helps the optimal coordinated control method and system of system | |
| CN105633998A (en) | Wind generating set high-voltage crossing control method and device | |
| CN115603308A (en) | Source network coordination planning method and system considering demand response substitution benefit | |
| Hemeyine et al. | Robust takagi sugeno fuzzy models control for a variable speed wind turbine based a DFI-generator | |
| CN116094035A (en) | New energy unit inertia simulation control method based on super capacitor energy storage | |
| CN108448653A (en) | A control method based on variable droop coefficient wind turbines participating in the primary frequency regulation of power grid | |
| CN105633999A (en) | High-voltage crossing control method and device under imbalanced sudden rise of power grid voltage | |
| CN114123244B (en) | Power grid frequency characteristic calculation method considering wind-storage-direct combined frequency modulation | |
| Zheng et al. | Low‐voltage ride‐through control strategy for flywheel energy storage system | |
| CN114447956A (en) | A method and system for primary frequency modulation control of a coupled system with coordination of multiple frequency modulation resources | |
| CN114221379A (en) | Reactive voltage control method and system for wind storage combined system in isolated network black start | |
| CN111509764A (en) | A control method, controller and system for wind farm inertia response | |
| CN117728447A (en) | Inverter grid-connected strategy and system based on improved virtual synchronous control |
| Date | Code | Title | Description |
|---|---|---|---|
| PB01 | Publication | ||
| PB01 | Publication | ||
| SE01 | Entry into force of request for substantive examination | ||
| SE01 | Entry into force of request for substantive examination | ||
| GR01 | Patent grant | ||
| GR01 | Patent grant |