Movatterモバイル変換


[0]ホーム

URL:


CN113191097A - On-orbit application method of solid cold air micro-propulsion module - Google Patents

On-orbit application method of solid cold air micro-propulsion module
Download PDF

Info

Publication number
CN113191097A
CN113191097ACN202110448726.1ACN202110448726ACN113191097ACN 113191097 ACN113191097 ACN 113191097ACN 202110448726 ACN202110448726 ACN 202110448726ACN 113191097 ACN113191097 ACN 113191097A
Authority
CN
China
Prior art keywords
gas
thrust
orbit
solid cold
propulsion module
Prior art date
Legal status (The legal status is an assumption and is not a legal conclusion. Google has not performed a legal analysis and makes no representation as to the accuracy of the status listed.)
Granted
Application number
CN202110448726.1A
Other languages
Chinese (zh)
Other versions
CN113191097B (en
Inventor
刘旭辉
张伟
龙军
王平
蒋庆华
官长斌
高晨光
何英姿
付拓取
夏继霞
苏高世
赵春阳
苏龙斐
宋新河
张良
李恒建
赵立伟
张志伟
王焕春
Current Assignee (The listed assignees may be inaccurate. Google has not performed a legal analysis and makes no representation or warranty as to the accuracy of the list.)
Beijing Institute of Control Engineering
Original Assignee
Beijing Institute of Control Engineering
Priority date (The priority date is an assumption and is not a legal conclusion. Google has not performed a legal analysis and makes no representation as to the accuracy of the date listed.)
Filing date
Publication date
Application filed by Beijing Institute of Control EngineeringfiledCriticalBeijing Institute of Control Engineering
Priority to CN202110448726.1ApriorityCriticalpatent/CN113191097B/en
Publication of CN113191097ApublicationCriticalpatent/CN113191097A/en
Application grantedgrantedCritical
Publication of CN113191097BpublicationCriticalpatent/CN113191097B/en
Activelegal-statusCriticalCurrent
Anticipated expirationlegal-statusCritical

Links

Images

Classifications

Landscapes

Abstract

Translated fromChinese

一种固体冷气微推进模块在轨应用方法,属于空间推进技术领域。本发明常规采用线性化平均推力计算轨控时间的问题,通过在轨标定模型,确定模块的推力输出模型,通过非线性规划优化方法计算获得轨控所需要的精确时间;可广泛应用于固体冷气微推进模块高精度轨道机动控制、在轨标定。

Figure 202110448726

An on-orbit application method of a solid cold gas micro-propulsion module belongs to the technical field of space propulsion. The present invention conventionally uses the linearized average thrust to calculate the orbit control time. Through the on-orbit calibration model, the thrust output model of the module is determined, and the nonlinear programming optimization method is used to calculate and obtain the precise time required for orbit control; it can be widely used in solid cold gas The micro-propulsion module has high-precision orbital maneuvering control and on-orbit calibration.

Figure 202110448726

Description

On-orbit application method of solid cold air micro-propulsion module
Technical Field
The invention relates to an on-orbit application method of a solid cold air micro-propulsion module, belonging to the technical field of space propulsion.
Background
The solid cold air micro-propulsion module technology is an important direction for the development of the micro-propulsion module technology due to the advantages of safety, long-term storage, shelf type and the like. Three units, namely netheradns organization for Applied Scientific Research, TU (Delft University of technology), UTwente (University of literature) jointly initiate T3 μ PS (TNO, TU Delft, UTwente Micro progress System) Research, and related technologies such as cold air generators are successfully mastered. The solid cold air generator system can effectively save the volume and the mass of a propulsion system, does not need a high-pressure air storage structure and a pressure adjusting device, has long storage time, no leakage, does not need a high-pressure device, is modularized and easy to integrate, and can integrate different quantities of cold air generators according to different requirements. But the on-orbit application method is not inquired from the published documents at home and abroad. The high-precision orbit control task is completed only by a solid cold air micro-propulsion module adopted by Beijing control engineering research institute internationally.
The solid cold air micro-propulsion module is used as a power device, and when the track control is carried out, the calculation of the time required by the track control is an important parameter, and the track control precision is directly influenced. The thrust change of the single-element propulsion system at the present stage is small in a certain time, when the single-element micro-propulsion system performs orbit control, the current thrust is obtained through a fitting curve of pressure and thrust, the pressure after the orbit control is calculated according to the required propellant, the thrust after the orbit control is further obtained, and the required time is calculated through the average thrust before and after the orbit control. The existing on-orbit calibration method carries out prediction according to the average thrust, is not suitable for the characteristic that the transient change of the pressure in an air chamber of a solid cold air micro-propulsion module is large, the thrust is changed in real time, and the method can accurately obtain the thrust output time required by on-orbit.
The solid cold air micro-propulsion module works in a pressure drop mode on the rail, the transient characteristic of pressure change is high during working, the thrust is greatly changed in real time, the module can be reduced from 1.3-2 MPa to about 0.1MPa every time the generator works, the thrust is changed in real time during working of the thruster, the pressure change is nonlinear, and accurate rail control time cannot be effectively obtained by calculating the required time through the average thrust.
Disclosure of Invention
The technical problem solved by the invention is as follows: the method solves the problem of conventional on-orbit calculation of the orbit control time by adopting linearized average thrust, determines a thrust output model of the module through an on-orbit calibration model, and calculates and obtains the accurate time required by the orbit control through a nonlinear programming optimization method; the method can be widely applied to high-precision rail motor control and on-rail calibration of the solid cold air micro-propulsion module.
The technical solution of the invention is as follows: an on-orbit application method of a solid cold air micro-propulsion module comprises the following steps:
high-purity nitrogen is introduced through the ground to calibrate the thrust output characteristic, so that a thrust model of the thruster is obtained;
when the whole satellite is applied, the impulse required is calculated according to the current orbit control height;
determining the quality of gas in the gas chamber in the current state according to the telemetered pressure and temperature;
and solving the rail control working time according to the required impulse and the gas mass in the gas chamber in the current state as the input of the thrust model.
Further, the method for calibrating the thrust output characteristic by introducing high-purity nitrogen to the ground comprises the following steps:
determining the current gas quality in the gas chamber according to the telemetering pressure and temperature;
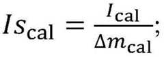
according to the requirement of track change, the speed increment required to be provided is determined, and the impulse I is determinedcal
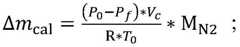
Measuring the calibrated pressure PfTemperature TfDetermining the mass of the gas left in the current gas chamber, thereby determining the mass of the consumed gas;
according to impulse IcalDetermining the calibrated average specific impulse by using the mass of the consumed gas;
determining characteristic speed according to the telemetering average temperature, solving a thrust integral model by adopting a nonlinear programming optimization algorithm according to the average specific impulse and working time and impulse, and correcting the thrust model;
determining a thrust model correction coefficient;
and solving the correction coefficient by adopting a nonlinear programming minimization function to determine a thrust model.
Further, the thrust model is
Figure BDA0003037951220000031
Wherein, FtIn order to provide the thrust force,
Figure BDA0003037951220000032
is a thrust model correction coefficient, Cf is a thrust coefficient, AtIs the throat area of the thruster, PcThe working pressure of the solid cold air micro-propulsion module is adopted.
Further, the method for determining the current gas quality in the gas chamber according to the telemetered pressure and temperature comprises the following steps: from PcVc=nRTcCalculating the mass n of the gas in the current gas chamber; wherein, VcThe volume of the solid cold air micro-propulsion module is taken as R is a gas constant, and T is 8.31cThe temperature of the gas in the solid cold gas micro-propulsion module is obtained.
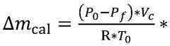
Further, the mass of the gas consumed is
Figure BDA0003037951220000033
Wherein, P0For the pressure, P, in the solid cold air micro-propulsion module before orbital transferfIs the pressure in the solid cold air micro-propulsion module after orbit change, T0For solid cold air micro-propulsion module temperature, MN2Is the molar mass of nitrogen, 28 g/mol.
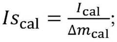
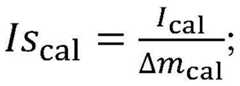
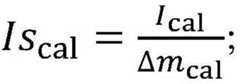
Further, the calibrated average specific impulse is
Figure BDA0003037951220000034
Wherein, Δ mcalThe gas quality consumed is controlled in an orbit.
Further, the nonlinear programming minimization function is
Figure BDA0003037951220000035
Figure BDA0003037951220000036
Wherein tf is the track control end time, PtThe pressure in the solid cold air micro-propulsion module.
An in-orbit application system of a solid cold gas micro-propulsion module, comprising:
the first module is used for calibrating the thrust output characteristic by introducing high-purity nitrogen to the ground so as to obtain a thrust model of the thruster;
the second module is used for calculating the required impulse according to the orbit control height when the whole satellite is applied;
the third module is used for determining the gas quality in the gas chamber in the current state according to the telemetered pressure and temperature;
and the fourth module is used for solving the orbit control working time according to the required impulse and the gas mass in the gas chamber in the current state as the input of the thrust model.
Further, the method for calibrating the thrust output characteristic by introducing high-purity nitrogen to the ground comprises the following steps:
determining the current gas quality in the gas chamber according to the telemetering pressure and temperature;
according to the requirement of track change, the speed increment required to be provided is determined, and the impulse I is determinedcal
Measuring the calibrated pressure PfTemperature TfDetermining the mass of the gas left in the current gas chamber, thereby determining the mass of the consumed gas;
according to impulse IcalDetermining the calibrated average specific impulse by using the mass of the consumed gas;
determining characteristic speed according to the telemetering average temperature, solving a thrust integral model by adopting a nonlinear programming optimization algorithm according to the average specific impulse and working time and impulse, and correcting the thrust model;
determining a thrust model correction coefficient;
solving the correction coefficient by adopting a nonlinear programming minimization function, and determining a thrust model;
the thrust model is
Figure BDA0003037951220000041
Wherein, FtIn order to provide the thrust force,
Figure BDA0003037951220000042
is a thrust model correction coefficient, Cf is a thrust coefficient, AtIs the throat area of the thruster, PcThe working pressure of the solid cold air micro-propulsion module is set;
the method for determining the current gas quality in the gas chamber according to the telemetering pressure and temperature comprises the following steps: from PcVc=nRTcCalculating the mass n of the gas in the current gas chamber; wherein, VcThe volume of the solid cold air micro-propulsion module is taken as R is a gas constant, and T is 8.31cThe temperature of the gas in the solid cold gas micro-propulsion module is measured;
the mass of the gas consumed is
Figure BDA0003037951220000043
Wherein, P0For the pressure, P, in the solid cold air micro-propulsion module before orbital transferfIs the pressure in the solid cold air micro-propulsion module after orbit change, T0For solid cold air micro-propulsion module temperature, MN2Is the molar mass of nitrogen, 28 g/mol;
the calibrated average specific impulse is
Figure BDA0003037951220000044
Wherein, Δ mcalControlling the consumed gas quality for the rail;
the nonlinear programming minimization function is
Figure BDA0003037951220000045
Wherein tf is the track control end time, PtThe pressure in the solid cold air micro-propulsion module.
A computer-readable storage medium, storing a computer program which, when executed by a processor, implements the steps of the method for in-orbit application of the solid state cold gas micro-propulsion module.
Compared with the prior art, the invention has the advantages that:
(1) an accurate model of the thrust output of the solid cold air micro-propulsion module is established. Based on the cold air thruster and the flow calculation dynamic model of the solid cold air micro-propulsion module, a thrust output model of the solid cold air micro-propulsion module can be established, and the thrust output by the module air chamber in real time can be accurately obtained.
(2) An on-orbit calibration method and a flow based on a solid cold air micro-propulsion module are established, and high-purity nitrogen is introduced to the ground to calibrate the thrust output characteristic, so that the performance parameters of the thruster are obtained. And determining an on-orbit thrust model correction coefficient by a nonlinear optimization method according to the track change condition and the telemetering pressure temperature.
(3) An accurate calculation method for the original value of the on-orbit output time of the solid cold air micro-propulsion module is established. The solid cold air micro-propulsion module thruster works by adopting a pressure drop mode. According to the ideal gas state equation and the relevant calculation model of the thruster, a thrust time curve of a module of the thruster in the working process can be calculated, and impulse in a certain time period can be obtained by integrating thrust in the certain time period.
(4) The invention considers a plurality of physical variables such as gas production, temperature, pressure, module structure parameters and the like of a gas generator coupled with the working of the thruster, and can establish an accurate thrust model. By the method, the thrust time required by the rail can be accurately calculated, the consumed gas mass can be saved, and the control precision of the rail is improved.
Drawings
FIG. 1 is a flow chart of the method of the present invention.
Detailed Description
The invention is further explained and illustrated in the following figures and detailed description of the specification.
As shown in FIG. 1, the on-orbit application method of the solid cold air micro-propulsion module mainly comprises an on-orbit calibration method and a calculation model, wherein the on-orbit calibration model is used for determining a thrust output model of the module, and the accurate time required by orbit control is calculated and obtained through a nonlinear optimization algorithm.
(1) On-orbit calibration model for establishing solid cold air micro-propulsion module
And introducing high-purity nitrogen to the ground to calibrate the thrust output characteristic, thereby obtaining the performance parameters of the thruster. And determining the on-orbit equivalent combined thrust related characteristics according to the track change condition and the telemetering pressure temperature. The solid cold air micro-propulsion module generates gas by a cold air generator, boosts the gas to a certain pressure, controls gas discharge by a cold air thruster, and establishes a module internal pressure model after the generator works, a thruster working process module internal pressure change model and a thruster working time calculation model.
(a) And determining the current gas quality in the gas chamber according to the telemetered pressure and temperature.
P0Vc=nRT0 (1)
(b) According to the requirement of track change, the speed increment required to be provided is determined, and the impulse I is determinedcal
(c) Then measuring the calibrated pressure PfTemperature TfDetermining the mass of gas remaining in the current gas cell and thus the mass of gas consumed Δ mcal
Figure BDA0003037951220000061
(d) And determining the calibrated average specific impulse according to the impulse and the mass of the consumed gas.
Figure BDA0003037951220000062
(e) And determining the characteristic speed according to the telemetering average temperature, solving a thrust integral model by adopting a nonlinear programming optimization algorithm according to the average specific impulse and working time and impulse, and correcting the thrust model. Determining thrust model correction coefficients
Figure BDA0003037951220000063
And setting the track control time on the track, carrying out track control, and correcting the thrust coefficient according to the measured and calculated track control height.
Figure BDA0003037951220000064
Figure BDA0003037951220000065
Figure BDA0003037951220000066
The solution was performed using the nonlinear programming Min function with Matlab.
Figure BDA0003037951220000067
(f) Correction of positive coefficients from solution
Figure BDA0003037951220000068
Determining a thrust model:
Figure BDA0003037951220000069
(g) obtaining a thrust-time fitting curve
The relation model of thrust and time and the relation model of pressure and time can be calculated according to the formulas
F(t)=f(t) (9)
P(t)=g(t) (10)
n is the molar mass of the gas, M is the mass of the gas in the gas chamber, M isN2Is a molecular weight of 28, n ═ M/M for nitrogenN2。AtIs the area of the throat of the nozzle. P0Initial pressure in the chamber, P, for calibrationfIn order to calibrate the pressure in the rear air chamber,
Figure BDA0003037951220000071
is the flow rate of the thruster and is,
Figure BDA0003037951220000072
is a thrust force correction coefficient. R is a gas constant, and Cf is a thrust coefficient. PtThe pressure in the gas chamber during the thrust output process, t0To calibrate the starting time, tfIs the calibration end time.
(2) An accurate model for outputting thrust and impulse of the solid cold air micro-propulsion module is established
Based on the cold air thruster and the flow calculation dynamic model of the solid cold air micro-propulsion module, a thrust output model of the solid cold air micro-propulsion module can be established according to formulas (4) to (6), and the thrust output by the module air chamber in real time can be accurately obtained. The solid cold air micro-propulsion module thruster works by adopting a pressure drop mode. According to the ideal gas state equation and the relevant calculation model of the thruster, a thrust time curve of a module of the generator in the working process can be calculated, and impulse in a certain time period can be obtained by integrating thrust in the certain time period.
(3) Establishes a method for accurately calculating the original value of the on-orbit output time of the solid cold air micro-propulsion module
The solid cold air micro-propulsion module thruster works by adopting a pressure drop mode. According to the ideal gas state equation and the relevant calculation model of the thruster, a thrust time curve of a module of the thruster in the working process can be calculated, and impulse in a certain time period can be obtained by integrating thrust in the certain time period.
(a) When the method is applied to the whole satellite, the required impulse I is calculated according to the current orbit control heightre
(b) Pressure P from telemetrycAnd temperature TcDetermining the gas quality in the gas chamber in the current state;
PcVc=nRTc (15)
(c) and (4) solving a thrust time integral equation according to the formula (7) to determine the working time tf.
Based on the same inventive concept as that of fig. 1, the invention also provides an on-orbit application system of the solid cold air micro-propulsion module, which comprises:
the first module is used for calibrating the thrust output characteristic by introducing high-purity nitrogen to the ground so as to obtain a thrust model of the thruster;
the second module is used for calculating the required impulse according to the orbit control height when the whole satellite is applied;
the third module is used for determining the gas quality in the gas chamber in the current state according to the telemetered pressure and temperature;
and the fourth module is used for solving the orbit control working time according to the required impulse and the gas mass in the gas chamber in the current state as the input of the thrust model.
Further, the method for calibrating the thrust output characteristic by introducing high-purity nitrogen to the ground comprises the following steps:
determining the current gas quality in the gas chamber according to the telemetering pressure and temperature;
according to the requirement of track change, the speed increment required to be provided is determined, and the impulse I is determinedcal
Measuring the calibrated pressure PfTemperature TfDetermining the mass of the gas left in the current gas chamber, thereby determining the mass of the consumed gas;
according to impulse IcalDetermining the calibrated average specific impulse by using the mass of the consumed gas;
determining characteristic speed according to the telemetering average temperature, solving a thrust integral model by adopting a nonlinear programming optimization algorithm according to the average specific impulse and working time and impulse, and correcting the thrust model;
determining a thrust model correction coefficient;
solving the correction coefficient by adopting a nonlinear programming minimization function, and determining a thrust model;
further, the thrust model is
Figure BDA0003037951220000081
Wherein, FtIn order to provide the thrust force,
Figure BDA0003037951220000082
is a thrust model correction coefficient, Cf is a thrust coefficient, AtIs the throat area of the thruster, PcMicro-propelling module for solid cold airApplying pressure;
in one possible implementation, the method for determining the current gas quality in the gas chamber according to the telemetered pressure and temperature is as follows: from PcVc=nRTcCalculating the mass n of the gas in the current gas chamber; wherein, VcThe volume of the solid cold air micro-propulsion module is taken as R is a gas constant, and T is 8.31cThe temperature of the gas in the solid cold gas micro-propulsion module is measured;
in one possible implementation, the mass of gas consumed is
Figure BDA0003037951220000083
Figure BDA0003037951220000084
Wherein, P0For the pressure, P, in the solid cold air micro-propulsion module before orbital transferfIs the pressure in the solid cold air micro-propulsion module after orbit change, T0For solid cold air micro-propulsion module temperature, MN2Is the molar mass of nitrogen, 28 g/mol;
in one possible implementation, the calibrated average specific impulse is
Figure BDA0003037951220000085
Wherein, Δ mcalControlling the consumed gas quality for the rail;
in one possible implementation, the non-linear programming minimization function is
Figure BDA0003037951220000086
Figure BDA0003037951220000091
Wherein tf is the track control end time, PtThe pressure in the solid cold air micro-propulsion module.
Those skilled in the art will appreciate that those matters not described in detail in the present specification are well known in the art.

Claims (10)

Translated fromChinese
1.一种固体冷气微推进模块在轨应用方法,其特征在于,包括如下步骤:1. a solid cold air micro-propulsion module on-orbit application method, is characterized in that, comprises the steps:通过地面通入高纯氮气进行推力输出特性标定,从而获得推力器的推力模型;The thrust output characteristics are calibrated by introducing high-purity nitrogen on the ground, so as to obtain the thrust model of the thruster;整星应用时,根据本次轨控高度计算所需要的冲量;When the whole satellite is applied, the required impulse is calculated according to this orbital altitude;根据遥测的压力以及温度确定当前状态气室内气体质量;Determine the gas quality in the current state of the gas chamber according to the pressure and temperature of the telemetry;根据所需要的冲量和当前状态气室内气体质量作为推力模型的输入,求解轨控工作时间。According to the required impulse and the gas mass in the gas chamber in the current state as the input of the thrust model, the orbit control working time is solved.2.根据权利要求1所述的一种固体冷气微推进模块在轨应用方法,其特征在于,所述通过地面通入高纯氮气进行推力输出特性标定的方法包括如下步骤:2. a kind of solid cold gas micro-propulsion module on-orbit application method according to claim 1, is characterized in that, the described method for carrying out thrust output characteristic calibration by ground feeding high-purity nitrogen comprises the steps:根据遥测压力和温度确定当前气室内气体质量;Determine the current gas quality in the gas chamber based on the telemetry pressure and temperature;根据轨道变化需要,确定出需要提供的速度增量,从而确定冲量IcalDetermine the speed increment that needs to be provided according to the change of the orbit, so as to determine the impulse Ical ;测定标定完后的压力Pf、温度Tf,确定当前气室内剩余气体质量,从而确定消耗的气体质量;Measure the pressure Pf and temperature Tf after calibration, and determine the remaining gas quality in the current gas chamber, thereby determining the consumed gas quality;根据冲量Ical以及消耗气体质量确定标定平均比冲;Determine the calibrated average specific impulse according to the impulse Ical and the quality of the consumed gas;根据遥测平均温度确定特征速度,根据平均比冲,据工作时间、冲量,采用非线性规划优化算法,求解推力积分模型,进行推力模型修正;According to the average temperature of telemetry, the characteristic velocity is determined, according to the average specific impulse, according to the working time and impulse, the nonlinear programming optimization algorithm is used to solve the thrust integral model, and the thrust model is corrected;确定推力模型修正系数;Determine the thrust model correction factor;采用非线性规划最小化函数求解修正系数,确定推力模型。A nonlinear programming minimization function is used to solve the correction coefficient and determine the thrust model.3.根据权利要求2所述的一种固体冷气微推进模块在轨应用方法,其特征在于:所述推力模型为
Figure FDA0003037951210000011
其中,Ft为推力,
Figure FDA0003037951210000012
为推力模型修正系数,Cf为推力系数,At为推力器喷喉面积,Pc为固体冷气微推进模块工作压力。3. a kind of solid cold gas micro-propulsion module on-orbit application method according to claim 2, is characterized in that: described thrust model is:
Figure FDA0003037951210000011
where Ft is the thrust,
Figure FDA0003037951210000012
is the correction coefficient of the thrust model, Cf is the thrust coefficient, At is the nozzle area of the thruster, and Pc is the working pressure of the solid cold gas micro-propulsion module.4.根据权利要求2所述的一种固体冷气微推进模块在轨应用方法,其特征在于:所述根据遥测压力和温度确定当前气室内气体质量的方法为:由PcVc=nRTc计算当前气室内气体质量n;其中,Vc为固体冷气微推进模块容积,R为气体常数,取8.31,Tc为固体冷气微推进模块内气体温度。4. a kind of solid cold gas micro-propulsion module on-orbit application method according to claim 2, it is characterized in that: the described method of determining current gas quality in gas chamber according to telemetry pressure and temperature is: by Pc Vc =nRTc Calculate the gas mass n in the current gas chamber; where Vc is the volume of the solid cold gas micro-propulsion module, R is the gas constant, which is taken as 8.31, and Tc is the gas temperature in the solid cold gas micro-propulsion module.5.根据权利要求2所述的一种固体冷气微推进模块在轨应用方法,其特征在于:所述消耗的气体质量为
Figure FDA0003037951210000021
其中,P0为变轨前固体冷气微推进模块内压力,Pf为变轨后固体冷气微推进模块内压力,T0为固体冷气微推进模块温度,MN2为氮气的摩尔质量,28g/mol。
5. A kind of solid cold gas micro-propulsion module on-orbit application method according to claim 2, is characterized in that: the gas quality of described consumption is
Figure FDA0003037951210000021
Among them, P0 is the internal pressure of the solid cold gas micro-propulsion module before the orbit change, Pf is the internal pressure of the solid cold gas micro-propulsion module after the orbit change, T0 is the temperature of the solid cold gas micro-propulsion module, MN2 is the molar mass of nitrogen, 28 g/ mol.
6.根据权利要求2所述的一种固体冷气微推进模块在轨应用方法,其特征在于:所述标定平均比冲为
Figure FDA0003037951210000022
其中,Δmcal为轨控消耗的气体质量。
6. The method for on-orbit application of a solid cold air micro-propulsion module according to claim 2, wherein the calibration average specific impulse is
Figure FDA0003037951210000022
Among them, Δmcal is the gas mass consumed by orbit control.
7.根据权利要求2所述的一种固体冷气微推进模块在轨应用方法,其特征在于:所述非线性规划最小化函数为
Figure FDA0003037951210000023
其中,tf为轨控结束时间,Pt为固体冷气微推进模块内压力。
7. The method for on-orbit application of a solid cold gas micro-propulsion module according to claim 2, wherein the nonlinear programming minimization function is
Figure FDA0003037951210000023
Among them, tf is the end time of orbit control, and Pt is the internal pressure of the solid cold gas micropropulsion module.
8.一种固体冷气微推进模块在轨应用系统,其特征在于,包括:8. A solid cold air micro-propulsion module on-orbit application system, characterized in that, comprising:第一模块,通过地面通入高纯氮气进行推力输出特性标定,从而获得推力器的推力模型;In the first module, the thrust output characteristics are calibrated by introducing high-purity nitrogen on the ground, so as to obtain the thrust model of the thruster;第二模块,根据本次整星应用时的轨控高度计算所需要的冲量;The second module, calculates the required impulse according to the orbital altitude of this whole-satellite application;第三模块,根据遥测的压力以及温度确定当前状态气室内气体质量;The third module determines the gas quality in the gas chamber in the current state according to the pressure and temperature of the telemetry;第四模块,根据所需要的冲量和当前状态气室内气体质量作为推力模型的输入,求解轨控工作时间。The fourth module, according to the required impulse and the gas mass in the gas chamber in the current state, is used as the input of the thrust model to solve the orbit control working time.9.根据权利要求8所述的一种固体冷气微推进模块在轨应用系统,其特征在于,所述通过地面通入高纯氮气进行推力输出特性标定的方法包括如下步骤:9. The on-orbit application system of a solid cold gas micro-propulsion module according to claim 8, wherein the method for demarcating thrust output characteristics by feeding high-purity nitrogen on the ground comprises the following steps:根据遥测压力和温度确定当前气室内气体质量;Determine the current gas quality in the gas chamber based on the telemetry pressure and temperature;根据轨道变化需要,确定出需要提供的速度增量,从而确定冲量IcalDetermine the speed increment that needs to be provided according to the change of the orbit, so as to determine the impulse Ical ;测定标定完后的压力Pf、温度Tf,确定当前气室内剩余气体质量,从而确定消耗的气体质量;Measure the pressure Pf and temperature Tf after calibration, and determine the remaining gas quality in the current gas chamber, thereby determining the consumed gas quality;根据冲量Ical以及消耗气体质量确定标定平均比冲;Determine the calibrated average specific impulse according to the impulse Ical and the quality of the consumed gas;根据遥测平均温度确定特征速度,根据平均比冲,据工作时间、冲量,采用非线性规划优化算法,求解推力积分模型,进行推力模型修正;According to the average temperature of telemetry, the characteristic velocity is determined, according to the average specific impulse, according to the working time and impulse, the nonlinear programming optimization algorithm is used to solve the thrust integral model, and the thrust model is corrected;确定推力模型修正系数;Determine the thrust model correction factor;采用非线性规划最小化函数求解修正系数,确定推力模型;Use the nonlinear programming minimization function to solve the correction coefficient and determine the thrust model;所述推力模型为
Figure FDA0003037951210000031
其中,Ft为推力,
Figure FDA0003037951210000032
为推力模型修正系数,Cf为推力系数,At为推力器喷喉面积,Pc为固体冷气微推进模块工作压力;
The thrust model is
Figure FDA0003037951210000031
where Ft is the thrust,
Figure FDA0003037951210000032
is the thrust model correction coefficient, Cf is the thrust coefficient, At is the thruster nozzle area, and Pc is the working pressure of the solid cold gas micro-propulsion module;
所述根据遥测压力和温度确定当前气室内气体质量的方法为:由PcVc=nRTc计算当前气室内气体质量n;其中,Vc为固体冷气微推进模块容积,R为气体常数,取8.31,Tc为固体冷气微推进模块内气体温度;The method for determining the gas quality in the current gas chamber according to the telemetry pressure and temperature is: calculating the current gas quality n in the gas chamber by Pc Vc =nRTc ; wherein, Vc is the volume of the solid cold gas micro-propulsion module, R is the gas constant, Take 8.31, Tc is the gas temperature in the solid cold gas micro-propulsion module;所述消耗的气体质量为
Figure FDA0003037951210000033
其中,P0为变轨前固体冷气微推进模块内压力,Pf为变轨后固体冷气微推进模块内压力,T0为固体冷气微推进模块温度,MN2为氮气的摩尔质量,28g/mol;
The gas mass consumed is
Figure FDA0003037951210000033
Among them, P0 is the internal pressure of the solid cold gas micro-propulsion module before the orbit change, Pf is the internal pressure of the solid cold gas micro-propulsion module after the orbit change, T0 is the temperature of the solid cold gas micro-propulsion module, MN2 is the molar mass of nitrogen, 28 g/ mol;
所述标定平均比冲为
Figure FDA0003037951210000034
其中,Δmcal为轨控消耗的气体质量;
The calibrated average specific impulse is
Figure FDA0003037951210000034
Among them, Δmcal is the gas mass consumed by orbit control;
所述非线性规划最小化函数为
Figure FDA0003037951210000035
其中,tf为轨控结束时间,Pt为固体冷气微推进模块内压力。
The nonlinear programming minimization function is
Figure FDA0003037951210000035
Among them, tf is the end time of orbit control, and Pt is the internal pressure of the solid cold gas micropropulsion module.
10.一种计算机可读存储介质,所述的计算机可读存储介质存储有计算机程序,其特征在于,所述的计算机程序被处理器执行时实现如权利要求1~权利要求7任一所述方法的步骤。10. A computer-readable storage medium, wherein the computer-readable storage medium stores a computer program, wherein when the computer program is executed by a processor, any one of claims 1 to 7 is implemented steps of the method.
CN202110448726.1A2021-04-252021-04-25 On-orbit application method of a solid-cooled gas micro-propulsion moduleActiveCN113191097B (en)

Priority Applications (1)

Application NumberPriority DateFiling DateTitle
CN202110448726.1ACN113191097B (en)2021-04-252021-04-25 On-orbit application method of a solid-cooled gas micro-propulsion module

Applications Claiming Priority (1)

Application NumberPriority DateFiling DateTitle
CN202110448726.1ACN113191097B (en)2021-04-252021-04-25 On-orbit application method of a solid-cooled gas micro-propulsion module

Publications (2)

Publication NumberPublication Date
CN113191097Atrue CN113191097A (en)2021-07-30
CN113191097B CN113191097B (en)2023-07-14

Family

ID=76978768

Family Applications (1)

Application NumberTitlePriority DateFiling Date
CN202110448726.1AActiveCN113191097B (en)2021-04-252021-04-25 On-orbit application method of a solid-cooled gas micro-propulsion module

Country Status (1)

CountryLink
CN (1)CN113191097B (en)

Citations (6)

* Cited by examiner, † Cited by third party
Publication numberPriority datePublication dateAssigneeTitle
US20050230557A1 (en)*2003-12-302005-10-20Canadian Space AgencyZero-G emulating testbed for spacecraft control system
CN103921956A (en)*2014-04-162014-07-16南京理工大学Solid cool air micro-propelling system
CN106134395B (en)*2012-02-072014-09-03西安航天动力研究所Cold air micro thrust precise control device and method
CN104358663A (en)*2014-09-192015-02-18浙江大学Liquid ammonia propulsion system for pico-satellite or nano-satellite
CN106246411A (en)*2016-07-222016-12-21北京控制工程研究所A kind of height always rushes solid cold gas micro propulsion device
CN109649692A (en)*2018-12-282019-04-19上海航天控制技术研究所A kind of in-orbit modification method of Orbital Control Strategy based on thruster estimation of deviation and system

Patent Citations (6)

* Cited by examiner, † Cited by third party
Publication numberPriority datePublication dateAssigneeTitle
US20050230557A1 (en)*2003-12-302005-10-20Canadian Space AgencyZero-G emulating testbed for spacecraft control system
CN106134395B (en)*2012-02-072014-09-03西安航天动力研究所Cold air micro thrust precise control device and method
CN103921956A (en)*2014-04-162014-07-16南京理工大学Solid cool air micro-propelling system
CN104358663A (en)*2014-09-192015-02-18浙江大学Liquid ammonia propulsion system for pico-satellite or nano-satellite
CN106246411A (en)*2016-07-222016-12-21北京控制工程研究所A kind of height always rushes solid cold gas micro propulsion device
CN109649692A (en)*2018-12-282019-04-19上海航天控制技术研究所A kind of in-orbit modification method of Orbital Control Strategy based on thruster estimation of deviation and system

Non-Patent Citations (3)

* Cited by examiner, † Cited by third party
Title
AMELIA GREIG,ET AL: "Spatiotemporalstudyofgasheatingmechanismsinaradio-frequencyelectrothermalplasmamicro-thruster", 《FRONTIERS IN PHYSICS》, pages 1 - 7*
周伟勇 等: "基于有效比冲的小卫星冷气推进系统设计", 《宇航学报》, pages 173 - 178*
梁振华: "固体冷气微推力器气体发生技术研究", 《中国优秀硕士学位论文全文数据库》, pages 031 - 267*

Also Published As

Publication numberPublication date
CN113191097B (en)2023-07-14

Similar Documents

PublicationPublication DateTitle
CN101079199B (en)Gas turbine output learning circuit and combustion control device for gas turbine
CN106874616B (en) A kind of parameter optimization adjustment method and system
EP3855062A1 (en)Hydrogen fueling control device and method
US9677504B2 (en)Rockets, methods of rocket control and methods of rocket evaluation utilizing pressure compensation
CN102424116A (en)Orbital transfer strategy optimization method for geostationary orbit satellite
CN111293333A (en) Control method and control device of air system of fuel cell
CN113157010B (en)Method and device for regulating and controlling thrust of deep variable thrust engine and electronic equipment
CN110525694B (en) A Propulsion System Mixing Ratio Control Method Considering Pressure Differences of Parallel Tanks
CN107776916B (en) A method for regulating and balancing emissions based on a propulsion system without gas bypass
CN113236443B (en)Self-tuning method for pressure feedback control parameter of variable thrust engine
CN113191097A (en)On-orbit application method of solid cold air micro-propulsion module
CN106114911B (en)A kind of in-orbit flight mixture ratio method of adjustment of satellite propulsion system
CN110525693B (en) A method for comprehensively balanced emission regulation of parallel tank propulsion system
US11774989B2 (en)Pulse shot-type flow rate control device, pulse shot-type flow rate control method, and program
CN102817735B (en)The method for correcting of rail pressure feedforward control amount and device in a kind of high pressure co-rail system
CN110387533B (en)Automatic control method of hot wire CVD nano diamond coating
CN112373728A (en)Combined electric propulsion device for space gravitational wave detection and control method
CN106198033A (en)A kind of satellite engine/motor specific impulse computational methods in-orbit
CN116044645B (en)Power feedforward control correction method for speed regulator of hydroelectric generating set
EP3970956B1 (en)Method of controlling a resin infusion process
US11598289B1 (en)Propellant volume and mixture ratio control
CN114542329B (en)Transient combustion speed reconstruction method of solid-liquid rocket engine
CN110735721B (en)Closed-loop control method for fuel flow of oil way of air hopper of liquid ramjet
CN107323688A (en)It is a kind of for when change propulsive spaceborne computer thruster jet duration calculation method
CN115169009A (en)Multi-propellant one-dimensional internal trajectory calculation method considering gas property difference

Legal Events

DateCodeTitleDescription
PB01Publication
PB01Publication
SE01Entry into force of request for substantive examination
SE01Entry into force of request for substantive examination
GR01Patent grant
GR01Patent grant

[8]ページ先頭

©2009-2025 Movatter.jp