Movatterモバイル変換


[0]ホーム

URL:


CN113190987A - Deviation correction-based method for determining optimal rotation speed for pollen pini pollen removal - Google Patents

Deviation correction-based method for determining optimal rotation speed for pollen pini pollen removal
Download PDF

Info

Publication number
CN113190987A
CN113190987ACN202110438895.7ACN202110438895ACN113190987ACN 113190987 ACN113190987 ACN 113190987ACN 202110438895 ACN202110438895 ACN 202110438895ACN 113190987 ACN113190987 ACN 113190987A
Authority
CN
China
Prior art keywords
pine
pollen
pine flower
actual
ear
Prior art date
Legal status (The legal status is an assumption and is not a legal conclusion. Google has not performed a legal analysis and makes no representation as to the accuracy of the status listed.)
Granted
Application number
CN202110438895.7A
Other languages
Chinese (zh)
Other versions
CN113190987B (en
Inventor
朱林
邱建春
卢彦希
王鹏
郭广明
边义祥
Current Assignee (The listed assignees may be inaccurate. Google has not performed a legal analysis and makes no representation or warranty as to the accuracy of the list.)
Yangzhou University
Original Assignee
Yangzhou University
Priority date (The priority date is an assumption and is not a legal conclusion. Google has not performed a legal analysis and makes no representation as to the accuracy of the date listed.)
Filing date
Publication date
Application filed by Yangzhou UniversityfiledCriticalYangzhou University
Priority to CN202110438895.7ApriorityCriticalpatent/CN113190987B/en
Publication of CN113190987ApublicationCriticalpatent/CN113190987A/en
Application grantedgrantedCritical
Publication of CN113190987BpublicationCriticalpatent/CN113190987B/en
Activelegal-statusCriticalCurrent
Anticipated expirationlegal-statusCritical

Links

Images

Classifications

Landscapes

Abstract

The invention discloses a deviation correction-based method for determining the optimal rotation speed for pollen pini pollen removal, which comprises the following steps: s1, determining main working parameters of pollen pini pollen removal; s2, determining a powder removal rotating speed completion value based on the weibull distribution actual working condition; s3, calculating the deviation degree of the total mass center of the loose flower spikes in the pollen removing device; s4, calculating the dryness coefficient of the pine pollen ears; s5, determining the optimal rotation speed of pollen pini pollen removal based on deviation correction; the method can perform rolling pollen removal work on the pine pollen spikes, and has great research significance for efficient collection of the pine pollen.

Description

Deviation correction-based method for determining optimal rotation speed for pollen pini pollen removal
Technical Field
The invention relates to a pollen-removing rotating speed determining method, in particular to a deviation correction-based pollen-removing optimal rotating speed determining method for pine pollen.
Background
The pollen Pini is pollen of Pinaceae plant, such as Pinus massoniana lamb, Pinus tabulaeformis or plants of the same genus. The pine pollen mainly comprises 22 amino acids, 14 vitamins, 30 trace elements, a large amount of active protease, flavonoid compounds and other active substances, is called as the king of natural vitamin, has the functions of resisting oxidation, delaying senility and enhancing the immunity of the organism, can enhance the disease resistance of a human body to a certain extent, and is a health-care traditional Chinese medicine product which is popular among people. At present, mechanized arms or picking trolleys are used for pollen pini collection, but the collection methods of the devices have low integration level and low picking and pollen removing precision, and the pollen pini cannot be accurately positioned and completely pollen removed;
disclosure of Invention
The purpose of the invention is as follows: the invention aims to provide a deviation correction-based method for determining the optimal rotation speed of pollen pini pollen removal, which can automatically perform quantitative collection and subpackage of pollen pini.
The technical scheme is as follows: the invention provides a deviation correction-based method for determining the optimal rotation speed for pollen pini pollen removal, which comprises the following steps:
s1, determining main working parameters of pollen pini pollen removal;
s2, determining a powder removing rotating speed completion value based on Weibull distribution under an actual working condition;
s3, calculating the deviation degree of the total mass center of the loose flower spike in the pollen removing device;
s4, calculating the dryness coefficient of the pine pollen;
and S5, determining the optimal rotation speed of pollen pini pollen shedding based on deviation correction.
Further, determining main working parameters of pollen pini pollen removal: the quality of the pine cones after each picking is measured by a quality sensor and recorded as MiNumbering the sequence i of each picking, wherein i is 1, 2, 3.. N, and N is the total number of picked pine pollen ears entering the roller; obtaining the inner radius of the roller as R through actual measurement; in AdamsAnd introducing a three-dimensional model of the pollen-shedding roller complete machine into the body dynamics simulation software, setting boundary constraint and rolling load, performing simulation calculation by using a post-processing module, and finally extracting the optimal centripetal force F for pollen shedding of the spica.
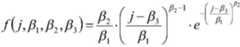
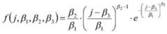
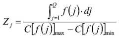
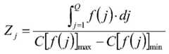
Further, based on the determination of the powder removal rotation speed completion value under the Weibull distribution actual working condition: pollen pini pollen removing operation is carried out according to the known parameters of S1, the actual rotating speed of the pollen pini pollen removing device is measured for multiple times by a rotating speed sensor before operation, the number of each measurement is j, and the actual rotating speed obtained by the jth measurement is recorded as njQ, Q is expressed as a total number of types for measuring the actual rotational speed thereof, and then compared with a theoretically preset rotational speed n0Comparing at 200 r/min; after a plurality of times of measurement, all the detected actual rotating speeds of the powder removing device are led into MATLAB software to automatically fit the Weibull distribution curve
Figure BDA0003032746650000021
Wherein, f (j, beta)1,β2,β3) The distribution equation of Weibull of the actually measured powder removing rotating speed is shown, j is the number of the rotating speed of the powder removing device, and j is 1, 2, 3. Beta is a1Size parameters for the Weibull distribution equation; beta is a2Is the shape parameter of Weibull distribution equation; beta is a3Position parameters of Weibull distribution equation; e is the number of fingers.
Then calculating the corresponding value Z of the intermediate density by substituting f (j) into the following formulajSo as to obtain the corresponding actual rotation speed of the powder removal
Figure BDA0003032746650000024
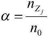
Then the rotation speed n between the two and the theoretical preset rotation speed is obtained through calculation0The ratio of 200r/min is recorded as α
Figure BDA0003032746650000022
Figure BDA0003032746650000023
Wherein, f (j) is a Weibull distribution equation of the actually measured powder removing rotating speed; j is a type number for measuring the rotating speed of the powder removing device, and j is 1, 2, 3.. Q; q is the total number of types for measuring the actual rotating speed; c [ f (x)]maxThe probability maximum value under the equation mode of all the actual rotating speeds is obtained; c [ f (x)]minThe probability minimum value in the equation mode of all the actual rotating speeds is obtained; zjIntermediate density value of actual rotation speed;
Figure BDA0003032746650000025
intermediate density value Z for actual rotation speedjThe corresponding powder removing rotating speed; n is0Taking 200r/min as a theoretically preset rotating speed; alpha is the ratio of the actual rotational speed to the theoretical rotational speed.
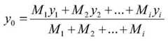
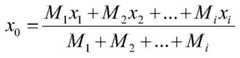
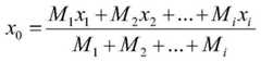
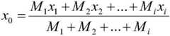
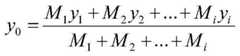
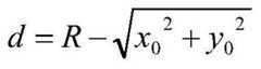
Further, calculating the deviation degree of the total mass center of the loose flower spike in the pollen removing device: the radius of the roller in the pollen removing device is R according to the measurement of S1, but due to the fact that the shapes of the pine pollen ears actually entering the inside of the roller are different and the mass distribution is not uniform, the coordinate of the ith pine pollen ear in the roller device in the plane is (x) detected by a coordinate measuring machinei,yi) N, wherein N is the total number of the picked pine pollen ears entering the roller, and the total mass center is (x) calculated through the mass center0,y0) Thereby obtaining the actual rolling radius d after correction
Figure BDA0003032746650000031
Figure BDA0003032746650000032
Figure BDA0003032746650000033
Wherein M isiN, i is the mass of the i-th picking of the pine spikes measured by the mass sensor, 1, 2, 3.. N; n represents the total number of the picked pine pollen ears entering the roller; (x)0,y0) Calculating the position of the total mass center of the pine flower spike in the pollen removing device; (x)i,yi) The coordinates of the ith pine pollen ear in the plane in the roller device are obtained through the detection of a coordinate measuring instrument; n ═ 1, 2, 3.; n represents the total number of the picked pine pollen ears entering the roller; d is the actual rolling radius of the pine pollen after deviation correction; r is the inner radius of the drum.
Further, calculating the pollen pini dryness coefficient: the moisture content in the loose flower spikes is detected through a penetration type microwave moisture meter, the phenomenon that the flower spikes are easy to adhere in the rolling pollen removal process is avoided, the dryness of the loose flower spikes can cause certain influence on the pollen removal effect of the loose flower spikes, and the moisture content measured through the penetration type microwave moisture meter is recorded as k1Then with an empirical standard k0Comparing to obtain the dryness coefficient of the pine cones, and recording as k
Figure BDA0003032746650000034
Wherein k is the dryness coefficient of the pine pollen ears; k is a radical of1Measured moisture content of the pine pollen ear, k0Is the common standard moisture content of the pine pollen.
Further, determining the optimal rotation speed of pollen pini pollen removal based on deviation correction: according to the parameter data calculated and determined in S1-S4, the optimal rotation speed of pollen pini pollen removal after deviation correction is
Figure BDA0003032746650000035
Wherein n is the optimal rotation speed of pollen pini pollen removal after deviation correction; f is pollen pini completely removedAn optimal centripetal force; miThe mass of the i-th picking of the pine pollen spikes, i is 1, 2, 3.. N, and N is the total number of the picked pine pollen spikes entering the roller; d is the actual rolling radius of the pine pollen after deviation correction; alpha is the ratio of the actual rotating speed to the theoretical rotating speed; k is the pollen pini dryness coefficient.
Has the advantages that: according to the method, the optimal rotating speed of pollen pini pollen shedding is determined under the correction of a plurality of influence deviations, so that accurate picking and vibration screening can be realized for different types and heights of pines in pine forests, full-automatic integrated pollen pini collection pollen shedding work can be realized, the yield of pollen pini pollen shedding is greatly improved, the cost of collecting and producing seeds of pollen pini is reduced, and the pollution and waste of pollen pini are greatly reduced.
Drawings
FIG. 1 is a flow chart of the method of the present invention.
Detailed Description
The method for determining the optimal pine pollen ear pollen-removal rotating speed based on deviation correction comprises the following steps:
s1, determining main working parameters of pollen pini pollen removal:
the quality of the pine cones after each picking is measured by a quality sensor and recorded as MiNumbering the sequence i of each picking, wherein i is 1, 2, 3.. N, and N is the total number of picked pine pollen ears entering the roller; obtaining the inner radius of the roller as R through actual measurement; and (3) introducing a three-dimensional model of the whole pollen-removing roller into Adams multi-body dynamics simulation software, setting boundary constraint and rolling load, then carrying out simulation calculation by using a post-processing module, and finally extracting the optimal centripetal force F for pollen emergence of the flower spikes.
S2, determining a powder removal rotating speed completion value based on Weibull distribution under an actual working condition:
pollen pini pollen removing operation is carried out according to the known parameters of S1, the actual rotating speed of the pollen pini pollen removing device is measured for multiple times by a rotating speed sensor before operation, the number of each measurement is j, and the actual rotating speed obtained by the jth measurement is recorded as nj,j=1,2,Q, Q is expressed as the total number of types for measuring the actual rotational speed thereof, and then compared with the theoretically preset rotational speed n0Comparing at 200 r/min; after a plurality of times of measurement, all the detected actual rotating speeds of the powder removing device are led into MATLAB software to automatically fit the Weibull distribution curve
Figure BDA0003032746650000041
Wherein, f (j, beta)1,β2,β3) The distribution equation of Weibull of the actually measured powder removing rotating speed is shown, j is the number of the rotating speed of the powder removing device, and j is 1, 2, 3. Beta is a1Size parameters for the Weibull distribution equation; beta is a2Is the shape parameter of Weibull distribution equation; beta is a3Position parameters of Weibull distribution equation; e is the number of fingers.
Then calculating the corresponding value Z of the intermediate density by substituting f (j) into the following formulajSo as to obtain the corresponding actual rotation speed of the powder removal
Figure BDA0003032746650000042
Then the rotation speed n between the two and the theoretical preset rotation speed is obtained through calculation0The ratio of 200r/min is recorded as α
Figure BDA0003032746650000051
Figure BDA0003032746650000052
Wherein, f (j) is a Weibull distribution equation of the actually measured powder removing rotating speed; j is a type number for measuring the rotating speed of the powder removing device, and j is 1, 2, 3.. Q; q is the total number of types for measuring the actual rotating speed; c [ f (x)]maxThe probability maximum value under the equation mode of all the actual rotating speeds is obtained; c [ f (x)]minSummary of equation modes for all actual rotational speedsA minimum value of rate; zjIntermediate density value of actual rotation speed;
Figure BDA0003032746650000056
intermediate density value Z for actual rotation speedjThe corresponding powder removing rotating speed; n is0Taking 200r/min as a theoretically preset rotating speed; alpha is the ratio of the actual rotational speed to the theoretical rotational speed.
S3, calculating the deviation degree of the total mass center of the loose flower spikes in the pollen removing device:
the radius of the roller in the pollen removing device is R according to the measurement of S1, but due to the fact that the shapes of the pine pollen ears actually entering the inside of the roller are different and the mass distribution is not uniform, the coordinate of the ith pine pollen ear in the roller device in the plane is (x) detected by a coordinate measuring machinei,yi) N, wherein N is the total number of the picked pine pollen ears entering the roller, and the total mass center is (x) calculated through the mass center0,y0) Thereby obtaining the actual rolling radius d after correction
Figure BDA0003032746650000053
Figure BDA0003032746650000054
Figure BDA0003032746650000055
Wherein M isiN, i is the mass of the i-th picking of the pine spikes measured by the mass sensor, 1, 2, 3.. N; n represents the total number of the picked pine pollen ears entering the roller; (x)0,y0) Calculating the position of the total mass center of the pine flower spike in the pollen removing device; (x)i,yi) The coordinates of the ith pine pollen ear in the plane in the roller device are obtained through the detection of a coordinate measuring instrument; n ═ 1, 2, 3.; n is expressed as pluckedThe total number of the loose panicles entering the roller; d is the actual rolling radius of the pine pollen after deviation correction; r is the inner radius of the drum.
S4, calculating the dryness coefficient of the pine pollen ears:
the moisture content in the loose flower spikes is detected through a penetration type microwave moisture meter, the phenomenon that the flower spikes are easy to adhere in the rolling pollen removal process is avoided, the dryness of the loose flower spikes can cause certain influence on the pollen removal effect of the loose flower spikes, and the moisture content measured through the penetration type microwave moisture meter is recorded as k1Then with an empirical standard k0Comparing to obtain the dryness coefficient of the pine cones, and recording as k
Figure BDA0003032746650000061
Wherein k is the dryness coefficient of the pine pollen ears; k is a radical of1Measured moisture content of the pine pollen ear, k0Is the common standard moisture content of the pine pollen.
S5, determining the optimal rotation speed of pollen pini pollen removal based on deviation correction:
according to the parameter data calculated and determined in S1-S4, the optimal rotation speed of pollen pini pollen removal after deviation correction is
Figure BDA0003032746650000062
Wherein n is the optimal rotation speed of pollen pini pollen removal after deviation correction; f is the optimal centripetal force for completely removing pollen from the pine pollen; miThe mass of the i-th picking of the pine pollen spikes, i is 1, 2, 3.. N, and N is the total number of the picked pine pollen spikes entering the roller; d is the actual rolling radius of the pine pollen after deviation correction; alpha is the ratio of the actual rotating speed to the theoretical rotating speed; k is the pollen pini dryness coefficient.

Claims (6)

Translated fromChinese
1.一种基于偏差修正的松花穗脱粉最佳转速确定方法,其特征在于:包括如下步骤:1. a method for determining the optimum rotational speed of pine flower ear de-powdering based on deviation correction, is characterized in that: comprise the steps:S1、松花穗脱粉主要工作参数的确定;S1. Determination of main working parameters of pine flower ear powder removal;S2、基于Weibull分布实际工况下脱粉转速完成值的确定;S2. Determination of the completion value of powder removal speed under actual working conditions based on Weibull distribution;S3、脱粉装置内松花穗总质心偏差程度的计算;S3. Calculation of the deviation degree of the total centroid deviation of the pine flower ear in the de-powdering device;S4、松花穗干燥度系数的计算;S4. Calculation of dryness coefficient of pine flower ear;S5、基于偏差修正后的松花穗脱粉最佳转速确定。S5. Determine the optimum rotational speed for de-powdering of the pine flower ear after the deviation correction.2.根据权利要求1所述的基于偏差修正的松花穗脱粉最佳转速确定方法,其特征在于:所述S1的松花穗脱粉主要工作参数的确定方法如下:松花穗每次采摘完通过质量传感器测量并记录其每次采摘的质量,记为Mi,对每次采摘的顺序i进行标号,i=1,2,3...N,N表示为采摘的松花穗进入到滚筒中的总数;通过实际测量得到滚筒内部半径为R;在Adams多体动力学仿真软件中导入脱粉滚筒整机的三维模型,通过设置边界约束和滚动载荷,然后利用后处理模块进行仿真计算,最后提取出花穗出粉的最佳向心力为F。2. the method for determining the optimum rotational speed of the pine flower ear dedusting based on deviation correction according to claim 1, it is characterized in that: the determination method of the main working parameter of the pine flower ear de-powdering of the described S1 is as follows: the pine flower ear is picked every time and passes through The quality sensor measures and records the quality of each picking, marked as Mi , and marks the order i of each picking, i=1, 2, 3...N, N means that the picked pine flower ears enter the drum The internal radius of the drum is R by actual measurement; the three-dimensional model of the complete de-powdering drum is imported into the Adams multi-body dynamics simulation software, and the boundary constraints and rolling loads are set, and then the post-processing module is used for simulation calculation, and finally The best centripetal force to extract the flower ear and powder is F.3.根据权利要求2所述的基于偏差修正的松花穗脱粉最佳转速确定方法,其特征在于:所述S2的基于Weibull分布实际工况下脱粉转速完成值的确定方法:3. the method for determining the optimum rotational speed for de-powdering of pine flower ear based on deviation correction according to claim 2, is characterized in that: the method for determining the completion value of de-powdering rotational speed based on the Weibull distribution actual working condition of described S2:根据S1的已知参数进行松花粉脱粉工作,在工作前通过转速传感器多次测量松花穗脱粉装置的实际转动速度,对每次的测量进行编号为j,第j次测量得到的实际转速记为nj,j=1,2,3...Q,Q表示为测量其实际转动速度的总类型数,然后与理论上预设的转动速度n0=200r/min进行比较;经过多次测量后,将所有检测到的脱粉装置的实际转动速度导入到MATLAB软件中自动拟合其Weibull分布曲线,According to the known parameters of S1, the pine pollen dedusting work is carried out. Before the work, the actual rotation speed of the pine flower ear dedusting device is measured for many times through the rotational speed sensor, and each measurement is numbered j, and the actual rotation speed obtained by the jth measurement is The shorthand is nj , j=1, 2, 3...Q, and Q is expressed as the total number of types whose actual rotational speed is measured, and then compared with the theoretically preset rotational speed n0 =200r/min; After the first measurement, the actual rotation speed of all the detected powder removal devices was imported into the MATLAB software to automatically fit its Weibull distribution curve.
Figure FDA0003032746640000011
Figure FDA0003032746640000011
其中,f(j,β1,β2,β3)为实测脱粉转速的Weibull分布方程,j为测量脱粉装置转速的编号,j=1,2,3...Q,Q表示为测量其实际转动速度的总类型数;β1为Weibull分布方程的尺寸参数;β2为Weibull分布方程的形状参数;β3为Weibull分布方程的位置参数;e为指数量,Among them, f(j, β1 , β2 , β3 ) is the Weibull distribution equation of the actual measured powder removal speed, j is the number of the measured speed of the powder removal device, j=1, 2, 3...Q, Q is expressed as β1 is the size parameter of the Weibull distribution equation; β2 is the shape parameter of the Weibull distribution equation; β3 is the position parameter of the Weibull distribution equation; e is the number of exponents,然后通过将f(j)代入下式计算出其中间密度对应值Zj,从而得到其对应的脱粉实际转速为
Figure FDA0003032746640000021
然后通过计算得到其与理论预设的转动速度n0=200r/min的比值记为α
Then, by substituting f(j) into the following formula, the corresponding value Zj of the intermediate density is calculated, and the corresponding actual speed of powder removal is obtained as:
Figure FDA0003032746640000021
Then, the ratio between it and the theoretical preset rotational speed n0 =200 r/min is obtained by calculation and denoted as α
Figure FDA0003032746640000022
Figure FDA0003032746640000022
Figure FDA0003032746640000023
Figure FDA0003032746640000023
其中,f(j)为实测脱粉转速的Weibull分布方程;j为测量脱粉装置转速的类型编号,j=1,2,3...Q;Q为测量其实际转动速度的总类型数;C[f(x)]max为所有实际转动速度的方程模式下的概率最大值;C[f(x)]min为所有实际转动速度的方程模式下的概率最小值;Zj为实际转动速度的中间密度值;
Figure FDA0003032746640000027
为实际转动速度的中间密度值Zj对应的脱粉转速:n0为理论上预设的转动速度,取200r/min;α为实际转动速度和理论转动速度的比值。
Among them, f(j) is the Weibull distribution equation of the actual measured rotation speed of the powder removal device; j is the type number of the rotation speed of the powder removal device measured, j=1, 2, 3...Q; Q is the total number of types that measure the actual rotation speed of the powder removal device. ; C[f(x)]max is the probability maximum value under the equation mode of all actual rotation speeds; C[f(x)]min is the probability minimum value under the equation mode of all actual rotation speeds; Zj is the actual rotation speed the median density value of the velocity;
Figure FDA0003032746640000027
is the powder removal speed corresponding to the intermediate density value Zj of the actual rotational speed: n0 is the theoretically preset rotational speed, taking 200r/min; α is the ratio of the actual rotational speed to the theoretical rotational speed.
4.根据权利要求3所述的基于偏差修正的松花穗脱粉最佳转速确定方法,其特征在于:所述S3的脱粉装置内松花穗总质心偏差程度的计算方法:4. the method for determining the optimum rotational speed of pine flower ear dedusting based on deviation correction according to claim 3, it is characterized in that: the calculation method of the total centroid deviation degree of pine flower ear in the dedusting device of described S3:根据S1的测量得到脱粉装置中滚筒的半径为R,但是由于实际进入到滚动内部的松花穗形状不一、质量分布不均等原因,通过坐标测量仪检测得到在滚筒装置内第i个松花穗在平面内的坐标为(xi,yi),i=1,2,3...N,N表示为采摘的松花穗进入到滚筒中的总数,通过质心计算得到其总质心为(x0,y0),从而得到了修正之后的实际滚动半径dAccording to the measurement of S1, the radius of the drum in the de-powdering device is R, but due to the different shapes and uneven mass distribution of the pine flower ears that actually enter the rolling interior, the i-th pine flower ear in the drum device is detected by the coordinate measuring instrument. The coordinates in the plane are (xi , yi ), i=1, 2, 3...N, N represents the total number of pine flower ears picked into the drum, and the total centroid is calculated by the centroid as (x0 , y0 ), thus obtaining the corrected actual rolling radius d
Figure FDA0003032746640000024
Figure FDA0003032746640000024
Figure FDA0003032746640000025
Figure FDA0003032746640000025
Figure FDA0003032746640000026
Figure FDA0003032746640000026
其中,Mi为通过质量传感器测量到的第i次采摘松花穗的质量,i=1,2,3...N;N表示为采摘的松花穗进入到滚筒中的总数;(x0,y0)为计算得出的脱粉装置内部松花穗的总质心的位置;(xi,yi)为通过坐标测量仪检测得到在滚筒装置内第i个松花穗在平面内的坐标;i=1,2,3...N;N表示为采摘的松花穗进入到滚筒中的总数;d为进行偏差修正之后的松花穗实际滚动半径;R为滚筒的内部半径。Among them, Mi is the quality of the i-th picking pine flower ears measured by the quality sensor, i=1, 2, 3...N; N represents the total number of picked pine flower ears entering the drum; (x0 , y0 ) is the calculated position of the total centroid of the pine flower ear inside the powder removing device; (xi , yi ) is the coordinate in the plane of the i-th pine flower ear in the drum device detected by the coordinate measuring instrument; i =1, 2, 3...N; N represents the total number of pine flower ears picked into the drum; d is the actual rolling radius of the pine flower ears after deviation correction; R is the inner radius of the drum.
5.根据权利要求4所述的基于偏差修正的松花穗脱粉最佳转速确定方法,其特征在于:所述S4的松花穗干燥度系数的计算方法:5. the method for determining the optimum rotational speed of pine flower ear de-powdering based on deviation correction according to claim 4, is characterized in that: the calculation method of the pine flower ear dryness coefficient of described S4:该步骤通过穿透式微波水分仪检测松花穗内部的水分含量,避免在滚动脱粉过程中易造成花穗粘连现象,其干燥度大小会对其脱粉效果造成一定的影响,通过穿透式微波水分仪测量的水分含量,记为k1,然后与经验标准值k0做比较,得到了松花穗的干燥度系数,记为k,In this step, the moisture content inside the pine flower ear is detected by a penetrating microwave moisture meter, so as to avoid the sticking phenomenon of the flower ear during the rolling and powder removal process. The moisture content measured by the microwave moisture meter is denoted as k1 , and then compared with the empirical standard value k0 to obtain the dryness coefficient of the pine flower ear, denoted as k,
Figure FDA0003032746640000031
Figure FDA0003032746640000031
其中,k为松花穗干燥度系数;k1为测量出的松花穗水分含量,k0为松花穗的一般标准含水量。Among them, k is the dryness coefficient of the pine flower ear; k1 is the measured water content of the pine flower ear, and k0 is the general standard water content of the pine flower ear.
6.根据权利要求5所述的基于偏差修正的松花穗脱粉最佳转速确定方法,其特征在于:所述S5的基于偏差修正后的松花穗脱粉最佳转速确定方法:6. the method for determining the optimum rotational speed of pine flower ear dedusting based on deviation correction according to claim 5, is characterized in that: the method for determining the optimum rotational speed of pine flower ear dedusting based on the deviation correction of described S5:根据S1-S4中计算和确定的参数数据,基于偏差修正后的松花穗脱粉最佳转速是According to the parameter data calculated and determined in S1-S4, the optimal rotation speed of the pine flower ear after the deviation correction is
Figure FDA0003032746640000032
Figure FDA0003032746640000032
其中,n为基于偏差修正后的松花穗脱粉最佳转速;F为松花穗完全脱粉的最佳向心力;Mi为第i次采摘松花穗的质量,i=1,2,3...N,N表示为采摘的松花穗进入到滚筒中的总数;d为进行偏差修正之后的松花穗实际滚动半径;α为实际转动速度和理论转动速度的比值;k为松花穗干燥度系数。Among them, n is the optimal rotation speed of the pine flower ear after the deviation correction; F is the best centripetal force for the pine flower ear to completely remove the powder; Mi is the quality of the pine flower ear picked at thei -th time, i=1, 2, 3.. .N, N represents the total number of pine flower ears picked into the drum; d is the actual rolling radius of the pine flower ears after the deviation correction; α is the ratio of the actual rotation speed to the theoretical rotation speed; k is the dryness coefficient of the pine flower ears.
CN202110438895.7A2021-04-222021-04-22 A Method for Determining the Optimum Rotational Speed of Pine and Flower Spike Depollination Based on Deviation CorrectionActiveCN113190987B (en)

Priority Applications (1)

Application NumberPriority DateFiling DateTitle
CN202110438895.7ACN113190987B (en)2021-04-222021-04-22 A Method for Determining the Optimum Rotational Speed of Pine and Flower Spike Depollination Based on Deviation Correction

Applications Claiming Priority (1)

Application NumberPriority DateFiling DateTitle
CN202110438895.7ACN113190987B (en)2021-04-222021-04-22 A Method for Determining the Optimum Rotational Speed of Pine and Flower Spike Depollination Based on Deviation Correction

Publications (2)

Publication NumberPublication Date
CN113190987Atrue CN113190987A (en)2021-07-30
CN113190987B CN113190987B (en)2023-06-23

Family

ID=76978624

Family Applications (1)

Application NumberTitlePriority DateFiling Date
CN202110438895.7AActiveCN113190987B (en)2021-04-222021-04-22 A Method for Determining the Optimum Rotational Speed of Pine and Flower Spike Depollination Based on Deviation Correction

Country Status (1)

CountryLink
CN (1)CN113190987B (en)

Citations (9)

* Cited by examiner, † Cited by third party
Publication numberPriority datePublication dateAssigneeTitle
CN104019943A (en)*2014-07-022014-09-03中国民用航空飞行学院Method for carrying out dynamic balance on aeroplane propeller by dynamic mass center correction method
CN107197790A (en)*2017-06-072017-09-26常州诺丁精密机械制造有限公司A kind of detachable classification shedding type Honeybee pollen trap
CN107252780A (en)*2017-06-122017-10-17东北大学A kind of three machines driving double mass subresonance motor synchronizing probability equal thick screen and parameter determination method
CN207076638U (en)*2017-07-032018-03-09侯鹏军A kind of preserved egg flower spike pollen removing device
CN108076851A (en)*2018-01-192018-05-29中国农业大学A kind of adjustable corn ear differential speed roll modifying device in gap
CN110007593A (en)*2019-02-012019-07-12山东理工大学The adjusting method of straw counters-field set crushing thickness fuzzy self-adaption regulating system
KR102062612B1 (en)*2019-09-262020-01-06민원Vibrating screen having a vibration control function and method for sorting mixed waste using the same
CN210533607U (en)*2019-07-112020-05-15江苏大学 A single threshing drum online dynamic balance liquid balance ring device
CN111615937A (en)*2020-07-042020-09-04广州赢帝工业设计有限公司 An agricultural corn thresher

Patent Citations (9)

* Cited by examiner, † Cited by third party
Publication numberPriority datePublication dateAssigneeTitle
CN104019943A (en)*2014-07-022014-09-03中国民用航空飞行学院Method for carrying out dynamic balance on aeroplane propeller by dynamic mass center correction method
CN107197790A (en)*2017-06-072017-09-26常州诺丁精密机械制造有限公司A kind of detachable classification shedding type Honeybee pollen trap
CN107252780A (en)*2017-06-122017-10-17东北大学A kind of three machines driving double mass subresonance motor synchronizing probability equal thick screen and parameter determination method
CN207076638U (en)*2017-07-032018-03-09侯鹏军A kind of preserved egg flower spike pollen removing device
CN108076851A (en)*2018-01-192018-05-29中国农业大学A kind of adjustable corn ear differential speed roll modifying device in gap
CN110007593A (en)*2019-02-012019-07-12山东理工大学The adjusting method of straw counters-field set crushing thickness fuzzy self-adaption regulating system
CN210533607U (en)*2019-07-112020-05-15江苏大学 A single threshing drum online dynamic balance liquid balance ring device
KR102062612B1 (en)*2019-09-262020-01-06민원Vibrating screen having a vibration control function and method for sorting mixed waste using the same
CN111615937A (en)*2020-07-042020-09-04广州赢帝工业设计有限公司 An agricultural corn thresher

Non-Patent Citations (6)

* Cited by examiner, † Cited by third party
Title
任文涛;李宝筏;: "偏心振动排种器振动特性的理论分析", 沈阳农业大学学报*
张银平;刁培松;杜瑞成;刘林林;张将;: "穗茎兼收型玉米收获机茎秆切碎与输送装置设计与试验", 农业机械学报*
汪山刚;万芳新;黄晓鹏;钟磊;姜彦武;: "葵花脱籽辊的设计及有限元分析", 林业机械与木工设备*
王显仁;李耀明;: "脱粒原理与脱粒过程的研究现状与趋势", 农机化研究*
翟之平;高搏;杨忠义;吴雅梅;: "叶片式秸秆抛送装置功耗分析与参数优化", 农业工程学报*
陈丹阳;马跃进;郝建军;赵建国;杨欣;李建昌;闫棠;: "穗茎兼收型玉米收获机茎秆粉碎刀的设计", 农机化研究*

Also Published As

Publication numberPublication date
CN113190987B (en)2023-06-23

Similar Documents

PublicationPublication DateTitle
CN103521465B (en)A kind of automatic detection of solid grain and separation system and method
CN101226133B (en) A Classification and Recognition Method of Blood Cell Pulse Signal
CN103632157A (en)A method for counting seeds of a wheatear portion per wheat
CN101216379A (en) Stem cutting test device and method
CN102636452A (en)NIR (Near Infrared Spectrum) undamaged identification authenticity method for wild ginseng
CN104458743B (en)Swing-arm-type facility crop biomass multi-sensing detection device and swing-arm-type facility crop biomass multi-sensing detection method
CN109635847A (en)A kind of cutting-tool wear state recognition methods based on vibration and sound emission
CN105612922B (en)Cut quality appraisal procedure and device based on the vibration of cane harvesting machine cutterhead
CN103245619A (en)Nondestructive testing method for maturity level of organic flue-cured tobacco leaves at late growth stage
CN109220053B (en) A device and method for cutting whole sugarcane seeds based on visual recognition
CN104704969A (en)Self-propelled type transplanting machine with bad seedling removing function and transplanting method
CN111373908A (en) A control system and method for realizing precise seeding and fertilization using Beidou navigation
CN113190987A (en)Deviation correction-based method for determining optimal rotation speed for pollen pini pollen removal
CN109041645A (en)A kind of rotate cuts kind of an equipment for kind of a sugarcane
CN108008151A (en)A kind of moving state identification method and system based on 3-axis acceleration sensor
CN109499876B (en) Frequency conversion control system and control method for peanut cleaning and impurity removal based on adaptive perception
CN118821328A (en) A tire traction test data processing method and system
CN212116163U (en) A control system for precise sowing and fertilization using Beidou navigation
CN119539617B (en)Poria cocos pharmaceutical composition production quality control method based on intelligent monitoring technology
CN114659621B (en)Bridge vibration monitoring device
CN108956783A (en)A kind of grinding sound wheel loading condition detection method based on HDP-HSMM
CN100365392C (en) Track and field training information collection and feedback system based on digital track
CN105547130A (en)Method and device for detecting pitch error of ABS ring gear
CN108414677A (en)A kind of monomer live standing tree biomass estimation method and system
CN103549959B (en)Gait training correcting instrument is measured the gait data of system and is analyzed method

Legal Events

DateCodeTitleDescription
PB01Publication
PB01Publication
SE01Entry into force of request for substantive examination
SE01Entry into force of request for substantive examination
GR01Patent grant
GR01Patent grant

[8]ページ先頭

©2009-2025 Movatter.jp